Тарифное соглашение в сфере
обязательного медицинского страхования
Челябинской области
от 30 декабря 2022 года N 199-ОМС 
(с изменениями на 29 ноября 2023 года)
(в ред. Дополнительных соглашений к Тарифному соглашению в сфере обязательного медицинского страхования Челябинской области от 27.02.2023 N 1/199-ОМС, от 30.03.2023 N 2/199-ОМС, от 27.04.2023 N 3/199-ОМС, от 31.05.2023 N 4/199-ОМС, от 31.07.2023 N 5/199-ОМС, от 31.08.2023 N 6/199-ОМС, от 29.09.2023 N 7/199-ОМС, от 30.10.2023 N 8/199-ОМС, от 29.11.2023 N 9/199-ОМС)
Раздел I. ОБЩИЕ ПОЛОЖЕНИЯ 
     Министерство здравоохранения
Челябинской области в лице:
     - Министра здравоохранения
Челябинской области Ткачевой Агаты
Геннадьевны,
     - первого заместителя Министра
здравоохранения Челябинской области
Недочуковой Елены Сергеевны,
     Территориальный фонд
обязательного медицинского страхования
Челябинской области в лице:
     - исполняющего обязанности
директора Мироновой Натальи Юрьевны,
     - начальника отдела формирования
территориальной программы
обязательного медицинского страхования
Бушуевой Светланы Юрьевны,
     Челябинский филиал общества с
ограниченной ответственностью
"АльфаСтрахование-ОМС" в лице
Коноваленко Яны Александровны,
Полномочного представителя
Всероссийского союза страховщиков по
медицинскому страхованию в Челябинской
области,
     СТРАХОВАЯ МЕДИЦИНСКАЯ КОМПАНИЯ
"АСТРАМЕД-МС" (АКЦИОНЕРНОЕ ОБЩЕСТВО) в
лице первого заместителя директора
филиала Ковтуна Александра Алексеевича,
     Союз медицинского сообщества
"Медицинская палата Челябинской области"
в лице:
     - председателя Альтмана Давида
Шуровича,
     - члена Союза Москвичевой Марины
Геннадьевны,
     Челябинская областная организация
Профессионального союза работников
здравоохранения Российской Федерации в
лице:
     - председателя Рываева Дениса
Петровича,
     - главного специалиста по
социально-экономическим вопросам
Кинихиной Валентины Николаевны,
     именуемые в дальнейшем Стороны,
заключили настоящее Тарифное соглашение
в сфере обязательного медицинского
страхования Челябинской области (далее -
Тарифное соглашение) в соответствии с:
     - Федеральными законами от 29.11.2010 N
326-ФЗ "Об обязательном медицинском
страховании в Российской Федерации"
(далее - Федеральный закон от 29.11.2010 N
326-ФЗ), от 21.11.2011 N 323-ФЗ "Об основах охраны
здоровья граждан в Российской
Федерации",
     - постановлениями Правительства
Российской Федерации от 05.05.2012 N 462 "О
порядке распределения, предоставления и
расходования субвенций из бюджета
Федерального фонда обязательного
медицинского страхования бюджетам
территориальных фондов обязательного
медицинского страхования на
осуществление переданных органам
государственной власти субъектов
Российской Федерации полномочий
Российской Федерации в сфере
обязательного медицинского страхования"
(далее - Постановление Правительства РФ
от 05.05.2012 N 462), от 29.12.2022 N 2497 "О Программе
государственных гарантий бесплатного
оказания гражданам медицинской помощи
на 2023 год и на плановый период 2024 и 2025
годов" (далее - Программа), от 05.11.2022 N 1998 "Об
утверждении правил ведения
персонифицированного учета в сфере
обязательного медицинского страхования"
(далее - Постановление Правительства РФ
от 05.11.2022 N 1998),
     - приказами Министерства
здравоохранения и социального развития
Российской Федерации от 22.11.2004 N 255 "О
Порядке оказания первичной
медико-санитарной помощи гражданам,
имеющим право на получение набора
социальных услуг" (далее - приказ
Минздравсоцразвития России от 22.11.2004 N 255),
от 02.12.2009 N 942 "Об утверждении
статистического инструментария станции
(отделения), больницы скорой медицинской
помощи" (далее - приказ
Минздравсоцразвития России от 02.12.2009 N 942),
от 23.03.2012 N 252н "Об утверждении Порядка
возложения на фельдшера, акушерку
руководителем медицинской организации
при организации оказания первичной
медико-санитарной помощи и скорой
медицинской помощи отдельных функций
лечащего врача по непосредственному
оказанию медицинской помощи пациенту в
период наблюдения за ним и его лечения, в
том числе по назначению и применению
лекарственных препаратов, включая
наркотические лекарственные препараты и
психотропные лекарственные препараты"
(далее - приказ Минздравсоцразвития
России от 23.03.2012 N 252н), от 17.05.2012 N 555н "Об
утверждении номенклатуры коечного фонда
по профилям медицинской помощи" (далее -
приказ Минздравсоцразвития России от
17.05.2012 N 555н), от 15.05.2012 N 543н "Об утверждении
Положения об организации оказания
первичной медико-санитарной помощи
взрослому населению" (далее - приказ
Минздравсоцразвития России от 15.05.2012 N
543н),
- приказами Министерства
здравоохранения Российской Федерации от
30.12.2002 N 413 "Об утверждении учетной и
отчетной медицинской документации"
(далее - приказ Минздрава РФ от 30.12.2002 N 413),
от 13.11.2003 N 545 "Об утверждении инструкций
по заполнению учетной медицинской
документации" (далее - приказ Минздрава
РФ от 13.11.2003 N 545), от 15.02.2013 N 72н "О
проведении диспансеризации пребывающих
в стационарных учреждениях детей-сирот и
детей, находящихся в трудной жизненной
ситуации" (далее - приказ Минздрава РФ от
15.02.2013 N 72н), от 21.04.2022 N 275н "Об утверждении
Порядка диспансеризации детей-сирот и
детей, оставшихся без попечения
родителей, в том числе усыновленных
(удочеренных), принятых под опеку
(попечительство), в приемную или
патронатную семью" (далее - приказ
Минздрава РФ от 21.04.2022 N 275н), от 20.06.2013 N 388н
"Об утверждении Порядка оказания скорой,
в том числе скорой специализированной,
медицинской помощи" (далее - приказ
Минздрава РФ от 20.06.2013 N 388н), от 28.10.2020 N 1165н
"Об утверждении требований к
комплектации лекарственными
препаратами и медицинскими изделиями
укладок и наборов для оказания скорой
медицинской помощи" (далее - приказ
Минздрава РФ от 28.10.2020 N 1165н), от 10.08.2017 N 514н
"О порядке проведения профилактических
медицинских осмотров
несовершеннолетних" (далее - приказ
Минздрава РФ от 10.08.2017 N 514н), от 13.10.2017 N 804н
"Об утверждении номенклатуры
медицинских услуг" (далее - приказ
Минздрава РФ от 13.10.2017 N 804н), от 28.02.2019 N 108н
"Об утверждении Правил обязательного
медицинского страхования" (далее -
Правила ОМС), от 27.04.2021 N 404н "Об
утверждении Порядка проведения
профилактического медицинского осмотра
и диспансеризации определенных групп
взрослого населения" (далее - приказ
Минздрава РФ от 27.04.2021 N 404н), от 19.03.2020 N 198н
"О временном порядке организации работы
медицинских организаций в целях
реализации мер по профилактике и
снижению рисков распространения новой
коронавирусной инфекции COVID-19" (далее -
приказ Минздрава РФ от 19.03.2020 N 198н), от
24.03.2016 N 179н "О правилах проведения
патологоанатомических исследований"
(далее - приказ Минздрава РФ от 24.03.2016 N
179н), от 20.10.2020 N 1130н "Об утверждении
порядка оказания медицинской помощи по
профилю "акушерство и гинекология" (далее
- приказ Минздрава РФ от 20.10.2020 N 1130н), от
19.03.2021 N 231н "Об утверждении Порядка
проведения контроля объемов, сроков,
качества и условий предоставления
медицинской помощи по обязательному
медицинскому страхованию
застрахованным лицам, а также ее
финансового обеспечения" (далее - приказ
Минздрава РФ от 19.03.2021 N 231н), от 01.07.2021 N 698н
"Об утверждении Порядка направления
граждан на прохождение углубленной
диспансеризации, включая категории
граждан, проходящих углубленную
диспансеризацию в первоочередном
порядке" (далее - приказ Минздрава РФ от
01.07.2021 N 698н), от 15.03.2022 N 168н "Об утверждении
порядка проведения диспансерного
наблюдения за взрослыми" (далее - приказ
Минздрава РФ от 15.03.2022 N 168н), от 10.02.2023 N 44н
"Об утверждении Требований к структуре и
содержанию тарифного соглашения" (далее -
приказ Минздрава России от 10.02.2023 N 44н),
     (в ред. Дополнительного соглашения
к Тарифному соглашению в сфере
обязательного медицинского страхования
Челябинской области от 31.05.2023 N 4/199-ОМС)
     абзац двадцатый исключен с 31.05.2023. -
Дополнительное соглашение к Тарифному
соглашению в сфере обязательного
медицинского страхования Челябинской
области от 31.05.2023 N 4/199-ОМС;
     - постановлением Правительства
Челябинской области от 29.12.2022 N 783-П "О
Территориальной программе
государственных гарантий бесплатного
оказания гражданам медицинской помощи в
Челябинской области на 2023 год и на
плановый период 2024 и 2025 годов" (далее -
территориальная программа),
     - приказами Министерства
здравоохранения Челябинской области от
20.12.2012 N 1782 "Об утверждении порядка
направления прикрепленного гражданина к
медицинским
организациям-фондодержателям с целью
получения внешних медицинских услуг в
медицинских организациях-исполнителях
при взаиморасчетах за счет средств
подушевого финансирования" (далее -
приказ Минздрава Челябинской области от
20.12.2012 N 1782), от 27.06.2011 N 825 "Об организации
деятельности центров здоровья для
формирования здорового образа жизни у
граждан Российской Федерации, включая
сокращение потребления алкоголя и
табака", от 31.12.2015 N 2075 "Об организации
проведения диспансеризации пребывающих
в стационарных учреждениях детей-сирот и
детей, находящихся в трудной жизненной
ситуации, в Челябинской области" (далее -
приказ Минздрава Челябинской области от
31.12.2015 N 2075), от 31.12.2015 N 2076 "Об организации
проведения диспансеризации детей-сирот
и детей, оставшихся без попечения
родителей, в том числе усыновленных
(удочеренных), принятых под опеку
(попечительство), в приемную или
патронатную семью в Челябинской области"
(далее - приказ Минздрава Челябинской
области от 31.12.2015 N 2076), от 04.12.2020 N 2206 "О
совершенствовании пренатальной
дородовой диагностики на территории
Челябинской области" (далее - приказ
Минздрава Челябинской области от 04.12.2020 N
2206), от 30.12.2015 N 2043 "О маршрутизации
пациентов с хронической болезнью почек 5
стадии, нуждающихся в оказании диализной
помощи в Челябинской области" (далее -
приказ Минздрава Челябинской области от
30.12.2015 N 2043), от 09.09.2016 N 1517 "Об организации
оказания экстренной и
планово-консультативной медицинской
помощи в Челябинской области" (далее -
приказ Минздрава Челябинской области от
09.09.2016 N 1517), от 13.12.2016 N 2111 "О маршрутизации
взрослых пациентов с парентеральными
вирусными гепатитами в Челябинской
области" (далее - приказ Минздрава
Челябинской области от 13.12.2016 N 2111), от
23.12.2016 N 2180 "О создании кабинетов
мониторинга состояния здоровья и
развития детей из групп перинатального
риска, в том числе детей, родившихся с
экстремально низкой массой тела, очень
низкой массой тела и недоношенных, на
территории Челябинской области" (далее -
приказ Минздрава Челябинской области от
23.12.2016 N 2180), от 08.12.2016 N 2079 "О порядке
маршрутизации больных неврологического
профиля, страдающих рассеянным
склерозом, заболеваниями
экстрапирамидной нервной системы,
эпилепсией и другими пароксизмальными
заболеваниями нервной системы, на
амбулаторном этапе" (далее - приказ
Минздрава Челябинской области от 08.12.2016 N
2079), от 30.12.2020 N 2486 "О совершенствовании
работы консультативно-диагностических
центров Челябинской области" (далее -
приказ Минздрава Челябинской области от
30.12.2020 N 2486), от 17.08.2017 N 1528 "Об организации
деятельности специализированных
мобильных медицинских бригад для
оказания плановой первичной
специализированной медико-санитарной
помощи населению муниципальных
образований Челябинской области" (далее -
приказ Минздрава Челябинской области от
17.08.2017 N 1528), от 18.12.2017 N 2348 "Об организации
проведения несовершеннолетним
профилактических медицинских осмотров
на территории Челябинской области"
(далее - приказ Минздрава Челябинской
области от 18.12.2017 N 2348), от 17.03.2023 N 192 "О
маршрутизации взрослого населения для
оказания медицинской помощи при
онкологических заболеваниях в
Челябинской области" (далее - приказ
Минздрава Челябинской области от 17.03.2023 N
192), от 26.12.2019 N 1430 "О работе детских
консультативно-диагностических центров
в Челябинской области", от 27.01.2020 N 65 "Об
открытии и функционировании Центров
амбулаторной онкологической помощи в
Челябинской области" (далее - приказ
Минздрава Челябинской области от 27.01.2020 N
65), от 08.12.2020 N 2222 "О совершенствовании
пренатальной дородовой диагностики в
профилактике наследственных, врожденных
заболеваний у детей и мерах по снижению
рождения детей с врожденными и
наследственными заболеваниями на
территории Челябинской области" (далее -
приказ Минздрава Челябинской области от
08.12.2020 N 2222), от 13.05.2021 N 606 "Об организации
деятельности специализированных
мобильных медицинских бригад для
оказания первичной специализированной
медико-санитарной помощи по профилю
"офтальмология" населению муниципальных
образований Челябинской области" (далее -
приказ Минздрава Челябинской области от
13.05.2021 N 606), от 21.04.2021 N 512 "О маршрутизации
взрослых пациентов при оказании
медицинской помощи по профилю
"офтальмология" в Челябинской области"
(далее - приказ Минздрава Челябинской
области от 21.04.2021 N 512), от 28.04.2022 N 714 "Об
областном пульмонологическом центре на
базе Государственного автономного
учреждения здравоохранения "Областная
клиническая больница N 3" (далее - приказ
Минздрава Челябинской области от 28.04.2022 N
714), от 29.12.2022 N 1943 "О проведении
профилактических медицинских осмотров и
диспансеризации определенных групп
взрослого населения Челябинской области
в 2023 году" (далее - приказ Минздрава
Челябинской области от 29.12.2022 N 1943), от
14.07.2021 N 921 "О порядке проведения
сцинтиграфии (при необходимости
однофотонной эмиссионной компьютерной
томографии, однофотонной эмиссионной
компьютерной томографии, совмещенной с
компьютерной томографией) в Челябинской
области (далее - приказ Минздрава
Челябинской области от 14.07.2021 N 921), от
27.10.2022 N 1528 "О порядке проведения
диагностических исследований больным на
позитронно-эмиссионном томографе,
совмещенном с компьютерным томографом, в
Челябинской области" (далее - приказ
Минздрава Челябинской области от 27.10.2022 N
1528), от 21.12.2022 N 1881 "Об организации
тестирования прикрепленного населения
для обнаружения антигена вируса гриппа в
период неблагоприятной эпидемической
обстановки по гриппу и ОРВИ" (далее -
приказ Минздрава Челябинской области от
21.12.2022 N 1881), от 30.12.2022 N 1981 "Об организации
деятельности кабинетов
терапевтического обучения "Школа для
пациентов с сахарным диабетом" в
медицинских организациях Челябинской
области" (далее - приказ Минздрава
Челябинской области от 30.12.2022 N 1981), от
11.04.2023 N 279 "Об организации кабинетов
обучения несовершеннолетних с
установленным диагнозом сахарный диабет
"Школа для пациентов с сахарным диабетом"
в Челябинской области" (далее - приказ
Минздрава Челябинской области от 11.04.2023 N
279), от 29.03.2023 N 234 "Об организации оказания
экстренной консультативной скорой
медицинской помощи в Челябинской
области" (далее - приказ Минздрава
Челябинской области от 29.03.2023 N 234),
     (в ред. Дополнительных соглашений к
Тарифному соглашению в сфере
обязательного медицинского страхования
Челябинской области от 30.03.2023 N 2/199-ОМС, от
27.04.2023 N 3/199-ОМС, от 31.08.2023 N 6/199-ОМС)
     - приказами Министерства
здравоохранения Челябинской области,
Территориального фонда обязательного
медицинского страхования Челябинской
области от 14.03.2019 N 237/188 "Об утверждении
Порядка учета численности
застрахованных по обязательному
медицинскому страхованию лиц,
обслуживаемых медицинскими
организациями при оказании первичной
медико-санитарной помощи на территории
Челябинской области, и Порядка учета
численности застрахованных по
обязательному медицинскому страхованию
лиц, обслуживаемых медицинскими
организациями Челябинской области при
оказании скорой, в том числе скорой
специализированной, медицинской помощи"
(далее - приказ от 14.03.2019 N 237/188), от 20.02.2023 N
106/128 "Об информационном взаимодействии в
сфере обязательного медицинского
страхования Челябинской области",
     (в ред. Дополнительного соглашения
к Тарифному соглашению в сфере
обязательного медицинского страхования
Челябинской области от 30.03.2023 N 2/199-ОМС)
     - приказом Челябинского областного
фонда обязательного медицинского
страхования от 03.06.2011 N 392 "Об утверждении
Порядка организации проведения
межтерриториальных расчетов в сфере
обязательного медицинского страхования
Челябинской области" (далее - приказ
ЧОФОМС от 03.06.2011 N 392),
     - письмом Министерства
здравоохранения Российской Федерации от
30.01.2023 N 31-2/И/2-1287 "О формировании и
экономическом обосновании
территориальных программ
государственных гарантий бесплатного
оказания гражданам медицинской помощи
на 2023 - 2025 годы",
     (абзац введен Дополнительным
соглашением к Тарифному соглашению в
сфере обязательного медицинского
страхования Челябинской области от
27.02.2023 N 1/199-ОМС)
     - письмами Министерства
здравоохранения Российской Федерации,
Федерального фонда обязательного
медицинского страхования от 26.09.2012 N
14-0/10/2-2564, N 7155/30 "О направлении
Методических рекомендаций "Скорая
медицинская помощь в системе ОМС. Этап
становления, перспективы развития",
     - методическими рекомендациями по
способам оплаты медицинской помощи за
счет средств обязательного медицинского
страхования, утвержденными
Министерством здравоохранения
Российской Федерации N 31-2/И/2-1075,
Федеральным фондом обязательного
медицинского страхования 00-10-26-2-06/749 от
26.01.2023 (далее - Методические
рекомендации), и иными нормативными
правовыми актами.
     (в ред. Дополнительного соглашения
к Тарифному соглашению в сфере
обязательного медицинского страхования
Челябинской области от 27.02.2023 N 1/199-ОМС)
     и иными нормативными правовыми
актами.
     2. Предметом настоящего Тарифного
соглашения является тарифное
регулирование оплаты медицинским
организациям, осуществляющим
деятельность в сфере ОМС на территории
Челябинской области, медицинской помощи,
оказываемой застрахованным гражданам в
рамках территориальной программы
государственных гарантий бесплатного
оказания гражданам медицинской помощи в
Челябинской области на соответствующий
год, утверждаемой Правительством
Челябинской области, в части
территориальной программы ОМС (далее -
территориальная программа ОМС).
     Тарифное соглашение устанавливает
способы оплаты медицинской помощи,
применяемые в сфере ОМС на территории
Челябинской области, размер и структуру
тарифов на оплату медицинской помощи,
размер неоплаты или неполной оплаты
затрат на оказание медицинской помощи, а
также уплаты медицинской организацией
штрафов за неоказание, несвоевременное
оказание либо оказание медицинской
помощи ненадлежащего качества.
     3. В настоящем Тарифном соглашении
используются следующие Термины и
определения:
     - Базовая ставка - средний объем
финансового обеспечения медицинской
помощи в расчете на одного пролеченного
пациента, определенный исходя из
нормативов финансовых затрат на единицу
объема медицинской помощи,
установленных территориальной
программой ОМС.
     - Базовый тариф на оплату
гемодиализа (БТгд) - стоимость
медицинской услуги А18.05.002 "Гемодиализ".
     - Базовый тариф на оплату
перитонеального диализа (БТпд) -
стоимость медицинской услуги А18.30.001
"Перитонеальный диализ".
     - Внешние медицинские услуги (для
целей подушевого финансирования) -
консультативные,
лечебно-диагностические,
профилактические медицинские услуги,
оказанные застрахованным лицам
МО-Исполнителями по направлению
МО-Фондодержателей, а также без
направления МО-Фондодержателей в
случаях обращения застрахованных лиц за
экстренной и неотложной медицинской
помощью на основании первичной
медицинской документации (за
исключением медицинской помощи,
оказанной в кабинетах (отделениях)
неотложной медицинской помощи), которые
оплачиваются по тарифам на оплату
амбулаторной медицинской помощи.
     - Дополнительный тариф - тариф в
дополнение к базовой программе ОМС за
счет средств межбюджетных трансфертов
из бюджета Челябинской области на
финансовое обеспечение оплаты проезда
пациентов, страдающих почечной
недостаточностью и нуждающихся в
проведении заместительной почечной
терапии, к месту лечения и обратно.
     - Клинико-статистическая группа
заболеваний (КСГ) - группа заболеваний,
относящихся к одному профилю
медицинской помощи и сходных по
используемым методам диагностики и
лечения пациентов и средней
ресурсоемкости (стоимость, структура
затрат и набор используемых ресурсов).
     - Коэффициент дифференциации (КД) -
коэффициент, отражающий более высокий
уровень заработной платы и коэффициент
ценовой дифференциации бюджетных услуг
для отдельных территорий.
     - Коэффициент относительной
затратоемкости (КЗкс, КЗдс, КЗд) -
коэффициент, отражающий отношение:
     - стоимости конкретной
клинико-статистической группы
заболеваний (в стационарных условиях и в
условиях дневного стационара) к среднему
объему финансового обеспечения
медицинской помощи в расчете на одного
пролеченного пациента (базовой ставке);
     - стоимости услуг диализа к
базовому тарифу на оплату диализа.
     - Коэффициент уровня медицинской
организации - коэффициент, позволяющий
учесть различия: в размерах расходов
медицинских организаций в зависимости
от уровня медицинской организации,
оказывающей медицинскую помощь в
стационарных условиях; уровень расходов
медицинских организаций в амбулаторных
условиях, скорой медицинской помощи.
     - Коэффициент подуровня
медицинской организации - коэффициент,
позволяющий учесть различия в размерах
расходов медицинских организаций,
относящихся к одному уровню медицинской
организации в стационарных условиях,
обусловленный объективными причинами.
     - Коэффициент сложности лечения
пациента - коэффициент, применяемый в
отдельных случаях в связи со сложностью
лечения пациента и учитывающий более
высокий уровень затрат на оказание
медицинской помощи.
     - Коэффициент специфики (КСКС, КСДС)
- коэффициент, позволяющий
корректировать тариф
клинико-статистической группы с целью
управления структурой госпитализаций и
(или) учета региональных особенностей
оказания медицинской помощи по
конкретной клинико-статистической
группе заболеваний.
     - Медицинские организации -
Исполнители (далее - МО-Исполнители):
     - для целей подушевого
финансирования - медицинские
организации, оказывающие медицинскую
помощь в амбулаторных условиях, -
самостоятельные поликлиники,
поликлинические отделения в составе
медицинских организаций, включая врачей
общей практики, фельдшерские,
фельдшерско-акушерские пункты,
оказывающие внешние медицинские услуги,
медицинские организации, не имеющие
прикрепленного населения, указанные в
графе 4, 7 приложения 1 к Тарифному
соглашению. МО-Фондодержатель является
одновременно МО-Исполнителем в случае
оказания внешних медицинских услуг не
прикрепленным к ним лицам.
     - Медицинские организации -
Фондодержатели (далее -
МО-Фондодержатели) - медицинские
организации, оказывающие медицинскую
помощь в амбулаторных условиях, -
самостоятельные поликлиники,
поликлинические отделения в составе
медицинских организаций, включая врачей
общей практики, фельдшерские,
фельдшерско-акушерские пункты (за
исключением стоматологических
поликлиник), оказывающие в установленном
порядке медицинскую помощь за счет
средств ОМС в рамках территориальной
программы ОМС, имеющие лицензию на
осуществление медицинской деятельности,
имеющие застрахованных по ОМС
прикрепленных лиц, оплата медицинской
помощи которым осуществляется по
подушевому нормативу на прикрепившихся
лиц.
     - Медицинская услуга - медицинское
вмешательство или комплекс медицинских
вмешательств, направленных на
профилактику, диагностику и лечение
заболеваний, медицинскую реабилитацию и
имеющих самостоятельное законченное
значение.
     - Обращение по поводу заболевания -
законченный случай лечения заболевания
в амбулаторных условиях с кратностью не
менее двух посещений по поводу одного
заболевания (складывается из первичных и
повторных посещений), включающий
лечебно-диагностические и
реабилитационные мероприятия, в
результате которых наступает
выздоровление, улучшение, направление
пациента в дневной стационар, на
госпитализацию в круглосуточный
стационар.
     - Обслуживаемое население станции
(подстанции, отделения) скорой
медицинской помощи - это лица,
застрахованные по ОМС в соответствии с
Федеральным законом от 29.11.2010 N 326-ФЗ,
сведения о которых содержатся в
региональном сегменте единого регистра
застрахованных лиц Челябинской области
и место жительства которых относится к
территории обслуживания станции
(подстанции, отделения) скорой
медицинской помощи.
     Территория обслуживания станции
(подстанции, отделения) скорой
медицинской помощи устанавливается
Министерством здравоохранения
Челябинской области.
     Место жительства определяется
согласно сведениям, содержащимся в
региональном сегменте единого регистра
застрахованных лиц Челябинской области,
об адресе фактического проживания. В
случае отсутствия в региональном
сегменте единого регистра
застрахованных лиц Челябинской области
сведений об адресе фактического
проживания застрахованного лица, место
жительства определяется на основании
сведений об адресе его регистрации по
месту жительства.
     - Оплата медицинской помощи по КСГ -
оплата медицинской помощи по тарифу,
рассчитанному исходя из установленных:
базовой ставки, коэффициентов
относительной затратоемкости, специфики
оказания медицинской помощи, уровня
(подуровня) медицинской организации,
сложности лечения пациента и
коэффициента дифференциации.
     - Оплата медицинской помощи за
медицинскую услугу: в амбулаторных
условиях - за медицинскую услугу; в
условиях круглосуточного стационара - за
медицинскую услугу в сочетании с
основной КСГ, за медицинскую услугу в
сочетании с высокотехнологичной
медицинской помощью, за медицинскую
услугу; в условиях дневного стационара -
за медицинскую услугу, за медицинскую
услугу в сочетании с КСГ, учитывающей
основное (сопутствующее) заболевание.
     - Подгруппа в составе
клинико-статистической группы
заболеваний - группа заболеваний,
выделенная в составе
клинико-статистической группы
заболеваний с учетом классификационных
критериев, для которой установлен
коэффициент относительной
затратоемкости, отличный от
коэффициента относительной
затратоемкости по
клинико-статистической группе, с учетом
установленных правил выделения и
применения подгрупп.
     - Прикрепленное лицо к
МО-Фондодержателю - лицо, застрахованное
по ОМС в соответствии с Федеральным
законом от 29.11.2010 N 326-ФЗ, проживающее на
территории Челябинской области и
учтенное за МО-Фондодержателем в
соответствии с приказом от 14.03.2019 N 237/188
для получения первичной
медико-санитарной помощи.
     - Случай госпитализации в
круглосуточный стационар (случай
лечения в дневном стационаре) - случай
диагностики и лечения в стационарных
условиях и (или) условиях дневного
стационара, в рамках которого
осуществляется ведение одной
медицинской карты стационарного
больного, являющийся единицей объема
медицинской помощи в рамках реализации
территориальной программы ОМС.
     - Условная единица трудоемкости
(далее - УЕТ) - норматив времени,
затрачиваемый при оказании
стоматологической медицинской помощи.
     За одну условную единицу
трудоемкости (УЕТ) принимаются 10 минут.
Один визит пациента является одним
посещением.
     - Фондодержание - способ подушевого
финансирования МО-Фондодержателей, при
котором подушевой норматив включает
финансовые средства на оказание
амбулаторно-поликлинической
медицинской помощи прикрепленным лицам,
оплату внешних медицинских услуг,
оказанных прикрепленным лицам
МО-Исполнителями по тарифам на оплату
амбулаторно-поликлинической
медицинской помощи.
     4. Оплата медицинской помощи в сфере
ОМС Челябинской области осуществляется
по тарифам на оплату медицинской помощи
в сфере ОМС Челябинской области (далее -
Тарифы на оплату медицинской помощи) на
основании предоставленных медицинской
организацией реестров счетов и счетов на
оплату медицинской помощи, в пределах
объемов предоставления медицинской
помощи, установленных решением комиссии
по разработке территориальной программы
ОМС в Челябинской области (далее -
Комиссия), в соответствии с договором на
оказание и оплату медицинской помощи по
ОМС, с учетом результатов проведенного
контроля объемов, сроков, качества и
условий предоставления медицинской
помощи по ОМС, а также ее финансового
обеспечения, в соответствии с порядком,
установленным Правилами ОМС, с учетом
разделов II, III, IV настоящего Тарифного
соглашения.
     Оплата медицинской помощи в сфере
ОМС Челябинской области из средств
межбюджетных трансфертов из бюджета
Челябинской области, выделенных на
финансовое обеспечение:
     - дополнительных видов и условий
оказания медицинской помощи, не
установленных базовой программой ОМС;
     - объемов медицинской помощи,
установленных в дополнение к базовой
программе ОМС,
     осуществляется по тарифам на
оплату медицинской помощи на основании
предоставленных медицинской
организацией реестров счетов и счетов на
оплату медицинской помощи, в пределах
объемов предоставления медицинской
помощи, установленных решением Комиссии,
в соответствии с договором на оказание и
оплату медицинской помощи по ОМС, с
учетом результатов проведенного
контроля объемов, сроков, качества и
условий предоставления медицинской
помощи по ОМС, а также ее финансового
обеспечения, в соответствии с порядком,
установленным Правилами ОМС, с учетом
разделов II, III, IV настоящего Тарифного
соглашения.
     Дополнительное финансовое
обеспечение медицинской помощи в рамках
территориальной программы ОМС
осуществляется по дополнительным
тарифам на оплату медицинской помощи за
счет средств межбюджетных трансфертов
из бюджета Челябинской области на
основании предоставленных медицинской
организацией реестров счетов и счетов на
оплату медицинской помощи, в
соответствии с договором на оказание и
оплату медицинской помощи по ОМС, с
учетом разделов II, III настоящего
Тарифного соглашения.
     5. Оплата медицинской помощи,
оказанной застрахованным лицам за
пределами территории субъекта
Российской Федерации, в котором выдан
полис обязательного медицинского
страхования, в объеме, установленном
базовой программой обязательного
медицинского страхования,
осуществляется ТФОМС Челябинской
области на основании части 8 статьи 34,
статьи 39 Федерального закона от 29.11.2010 N
326-ФЗ, в соответствии с настоящим
Тарифным соглашением, договором на
оказание и оплату медицинской помощи по
ОМС, с учетом результатов проведенного
контроля объемов, сроков, качества и
условий предоставления медицинской
помощи в соответствии с порядком оплаты
медицинской помощи, установленным
правилами обязательного медицинского
страхования, и с учетом положений пункта
1.1.8 главы 1 раздела II, глав 2 и 3 раздела II,
пункта 4.12 главы 4 раздела II.
     Из средств межбюджетных
трансфертов Челябинской области не
подлежит оплате медицинская помощь,
установленная в дополнение к базовой
программе ОМС, оказанная лицам,
застрахованным в иных субъектах
Российской Федерации.
     6. Перечень медицинских
организаций, оказывающих медицинскую
помощь в сфере ОМС Челябинской области в
рамках Базовой программы ОМС, в разрезе
условий предоставления медицинской
помощи и способов ее оплаты установлен
Приложением 1 к Тарифному соглашению.
     7. Оплата медицинской помощи
осуществляется по тарифам и способам
оплаты медицинской помощи, действующим
на дату завершения случая оказания
медицинской помощи.
Раздел II. СПОСОБЫ ОПЛАТЫ МЕДИЦИНСКОЙ
ПОМОЩИ В СФЕРЕ ОМС ЧЕЛЯБИНСКОЙ ОБЛАСТИ 
     При оплате медицинской помощи в
сфере ОМС Челябинской области
применяются следующие способы:
     1) при оплате медицинской помощи,
оказанной в амбулаторных условиях:
     - по подушевому нормативу
финансирования на прикрепившихся лиц (за
исключением расходов на проведение
компьютерной томографии,
магнитно-резонансной томографии,
ультразвукового исследования
сердечно-сосудистой системы,
эндоскопических диагностических
исследований, молекулярно-генетических
исследований и патологоанатомических
исследований биопсийного
(операционного) материала с целью
диагностики онкологических заболеваний
и подбора противоопухолевой
лекарственной терапии, на проведение
тестирования на выявление новой
коронавирусной инфекции (COVID-19),
профилактических медицинских осмотров и
диспансеризации, в том числе углубленной
диспансеризации, а также средств на
оплату диспансерного наблюдения и
финансовое обеспечение фельдшерских,
фельдшерско-акушерских пунктов) с учетом
показателей результативности
деятельности медицинской организации
(включая показатели объема медицинской
помощи), перечень которых
устанавливается Министерством
здравоохранения Российской Федерации, в
том числе с включением расходов на
медицинскую помощь, оказываемую в иных
медицинских организациях и оплачиваемую
за единицу объема медицинской помощи;
     (в ред. Дополнительного соглашения
к Тарифному соглашению в сфере
обязательного медицинского страхования
Челябинской области от 30.03.2023 N 2/199-ОМС)
     - за единицу объема медицинской
помощи - за медицинскую услугу,
посещение, обращение (законченный
случай) при оплате:
     а) медицинской помощи, оказанной
застрахованным лицам за пределами
субъекта РФ, на территории которого
выдан полис ОМС;
     б) медицинской помощи, оказанной в
медицинских организациях, не имеющих
прикрепившихся лиц;
     в) по видам медицинской помощи, не
включенным в базовый подушевой норматив
финансирования на прикрепившихся лиц в
соответствии с пунктом 1.1.2.2;
     (пп. "в" в ред. Дополнительного
соглашения к Тарифному соглашению в
сфере обязательного медицинского
страхования Челябинской области от
30.03.2023 N 2/199-ОМС)
     г) медицинской помощи, оказанной
медицинской организацией (в том числе по
направлениям, выданным иной медицинской
организацией), источником финансового
обеспечения которой являются средства
подушевого норматива финансирования на
прикрепившихся лиц, получаемые иной
медицинской организацией;
     д) отдельных диагностических
(лабораторных) исследований:
компьютерной томографии,
магнитно-резонансной томографии,
ультразвукового исследования
сердечно-сосудистой системы,
эндоскопических диагностических
исследований, молекулярно-генетических
исследований и патологоанатомических
исследований биопсийного
(операционного) материала с целью
диагностики онкологических заболеваний
и подбора противоопухолевой
лекарственной терапии, тестирования на
выявление новой коронавирусной инфекции
(COVID-19);
     е) профилактических медицинских
осмотров и диспансеризации, в том числе
углубленной диспансеризации;
     ж) диспансерного наблюдения
отдельных категорий граждан из числа
взрослого населения;
     з) медицинской помощи по
медицинской реабилитации (комплексное
посещение);
     абзац двенадцатый исключен с 31.08.2023.
- Дополнительное соглашение к Тарифному
соглашению в сфере обязательного
медицинского страхования Челябинской
области от 31.08.2023 N 6/199-ОМС;
     - за единицу объема медицинской
помощи - за медицинскую услугу при оплате
медицинской помощи, установленной в
дополнение к базовой программе ОМС, в
части проведения прижизненных
патологоанатомических исследований
операционно-биопсийного материала
(гистологических исследований) при
заборе материала в амбулаторных
условиях, за исключением выявления
онкологических заболеваний; при заборе
материала в амбулаторных условиях и
направлении на проведение
иммуногистохимических исследований;
компьютерной томографии;
     - за единицу объема медицинской
помощи - за обращение (законченный
случай) при оплате медицинской помощи,
оказанной по решениям врачебной
комиссии в амбулаторных условиях в
дополнение к базовой программе ОМС;
     2) при оплате медицинской помощи,
оказанной в стационарных условиях, в том
числе для медицинской реабилитации в
специализированных медицинских
организациях (структурных
подразделениях):
     - за случай госпитализации
(законченный случай лечения) по поводу
заболевания, включенного в
соответствующую группу заболеваний (в
том числе клинико-статистическую группу
заболеваний, группу высокотехнологичной
медицинской помощи), в том числе в
сочетании с оплатой за услугу диализа;
     - за прерванный случай
госпитализации в случаях прерывания
лечения по медицинским показаниям,
перевода пациента из одного отделения
медицинской организации в другое,
изменения условий оказания медицинской
помощи пациенту с круглосуточного
стационара на дневной стационар,
оказания медицинской помощи с
проведением лекарственной терапии при
злокачественных новообразованиях, в
ходе которой медицинская помощь по
объективным причинам оказана пациенту
не в полном объеме по сравнению с
выбранной для оплаты схемой
лекарственной терапии, в том числе в
случае прерывания лечения при
возникновении абсолютных
противопоказаний к продолжению лечения,
не купируемых при проведении
симптоматического лечения, перевода
пациента в другую медицинскую
организацию, преждевременной выписки
пациента из медицинской организации в
случае его письменного отказа от
дальнейшего лечения, летального исхода,
выписки пациента до истечения 3-х дней
(включительно) со дня госпитализации
(начала лечения), за исключением случаев
оказания медицинской помощи по группам
заболеваний, состояний, приведенных в
приложении 7/3 к Тарифному соглашению, в
том числе в сочетании с оплатой за услугу
диализа;
     3) при оплате медицинской помощи,
оказанной в стационарных условиях в
дополнение к базовой программе ОМС:
     - за законченный случай лечения
заболевания, за прерванный случай
госпитализации при оплате медицинской
помощи, оказанной по профилю медицинской
помощи "онкология" в специализированном
отделении Государственного автономного
учреждения здравоохранения "Челябинский
областной клинический центр онкологии и
ядерной медицины"; пациентам с
сердечно-сосудистыми заболеваниями
(коронарография) по профилям медицинской
помощи "кардиология",
"сердечно-сосудистая хирургия";
высокотехнологичной медицинской помощи
по профилям медицинской помощи
"кардиология", "сердечно-сосудистая
хирургия" больным с острым коронарным
синдромом (баллонная вазодилатация),
пароксизмальными нарушениями ритма и
проводимости (имплантация
кардиостимуляторов) в соответствии с
клиническими рекомендациями
(протоколами лечения);
     - за единицу объема медицинской
помощи - за медицинскую услугу при оплате
медицинской помощи в части проведения
прижизненных патологоанатомических
исследований операционно-биопсийного
материала (гистологических
исследований) при заборе материала в
стационарных условиях для исследования
последов в родильных отделениях;
     4) при оплате медицинской помощи,
оказанной в условиях дневного
стационара:
     - за случай (законченный случай)
лечения заболевания, включенного в
соответствующую группу заболеваний (в
том числе клинико-статистическую группу
заболеваний, группу высокотехнологичной
медицинской помощи), за услугу диализа (в
том числе в сочетании с оплатой по
клинико-статистической группе
заболеваний, группе высокотехнологичной
медицинской помощи);
     - за прерванный случай оказания
медицинской помощи в случаях прерывания
лечения по медицинским показаниям,
перевода пациента из одного отделения
медицинской организации в другое,
изменения условий оказания медицинской
помощи пациенту с дневного стационара на
круглосуточный стационар, оказания
медицинской помощи с проведением
лекарственной терапии при
злокачественных новообразованиях, в
ходе которой медицинская помощь по
объективным причинам оказана пациенту
не в полном объеме по сравнению с
выбранной для оплаты схемой
лекарственной терапии, в том числе в
случае прерывания лечения при
возникновении абсолютных
противопоказаний к продолжению лечения,
не купируемых при проведении
симптоматического лечения, перевода
пациента в другую медицинскую
организацию, преждевременной выписки
пациента из медицинской организации в
случае его письменного отказа от
дальнейшего лечения, летального исхода,
выписки пациента до истечения 3-х дней
(включительно) со дня госпитализации
(начала лечения), за исключением случаев
оказания медицинской помощи по группам
заболеваний, состояний, приведенных в
приложении 7/4 к Тарифному соглашению, за
услугу диализа (том числе в сочетании с
оплатой по клинико-статистической
группе заболеваний, группе
высокотехнологичной медицинской
помощи);
     - за законченный случай лечения
заболевания - при оплате медицинской
помощи, оказанной в дополнение к базовой
программе ОМС в части проведения
процедуры криопереноса эмбриона;
     5) при оплате скорой медицинской
помощи, оказанной вне медицинской
организации (по месту вызова бригады
скорой, в том числе скорой
специализированной, медицинской помощи,
а также в транспортном средстве при
медицинской эвакуации):
     - по подушевому нормативу
финансирования;
     - за единицу объема медицинской
помощи - за вызов скорой медицинской
помощи (используется при оплате
медицинской помощи, оказанной
застрахованным лицам за пределами
субъекта Российской Федерации, на
территории которого выдан полис
обязательного медицинского страхования,
а также оказанной в отдельных
медицинских организациях, не имеющих
прикрепившихся лиц; по видам медицинской
помощи, не включенным в базовый
подушевой норматив финансирования).
     (в ред. Дополнительного соглашения
к Тарифному соглашению в сфере
обязательного медицинского страхования
Челябинской области от 30.03.2023 N 2/199-ОМС)
     Финансовое обеспечение
профилактических медицинских осмотров,
диспансеризации и диспансерного
наблюдения, проводимых в соответствии с
порядками, утверждаемыми Министерством
здравоохранения Российской Федерации в
соответствии с Федеральным законом от
21.11.2011 N 323-ФЗ "Об основах охраны здоровья
граждан в Российской Федерации",
осуществляется за единицу объема
медицинской помощи (комплексное
посещение).
     Финансовое обеспечение
фельдшерских и фельдшерско-акушерских
пунктов с учетом критериев соответствия
их требованиям, установленным
Положением об организации оказания
первичной медико-санитарной помощи
взрослому населению, утвержденным
приказом Минздравсоцразвития России от
15.05.2012 N 543н, осуществляется по нормативу
финансирования структурного
подразделения медицинской организации.
     (абзац введен Дополнительным
соглашением к Тарифному соглашению в
сфере обязательного медицинского
страхования Челябинской области от
31.08.2023 N 6/199-ОМС)
Глава 1. ОПЛАТА МЕДИЦИНСКОЙ ПОМОЩИ,
ОКАЗАННОЙ В АМБУЛАТОРНЫХ УСЛОВИЯХ 
     1.1. Оплата медицинской помощи,
оказанной в амбулаторных условиях по
подушевому нормативу финансирования.
     1.1.1. Оплата медицинской помощи,
оказанной в амбулаторных условиях
застрахованным гражданам медицинскими
организациями-Фондодержателями,
осуществляется по фактическому
дифференцированному подушевому
нормативу финансирования медицинской
помощи, оказываемой в амбулаторных
условиях.
     1.1.2. Порядок определения
фактического дифференцированного
подушевого норматива финансирования
медицинской помощи, оказываемой в
амбулаторных условиях, на
прикрепившихся лиц:
     1.1.2.1. Базовый подушевой норматив
финансирования на прикрепившихся лиц,
Фактический дифференцированный
подушевой норматив финансирования
медицинской помощи, оказываемой в
амбулаторных условиях, включает в себя
оплату:
     (в ред. Дополнительного соглашения
к Тарифному соглашению в сфере
обязательного медицинского страхования
Челябинской области от 30.03.2023 N 2/199-ОМС)
     - амбулаторной медицинской помощи,
оказанной прикрепленным лицам (в том
числе медицинских услуг дистанционного
диспансерного наблюдения больных с
артериальной гипертензией; медицинской
помощи, оказанной с применением
телемедицинских технологий);
     - внешних медицинских услуг.
     1.1.2.2. Базовый подушевой норматив
финансирования на прикрепившихся лиц,
Фактический дифференцированный
подушевой норматив финансирования
медицинской помощи, оказываемой в
амбулаторных условиях, не включает в
себя средства на:
     (в ред. Дополнительного соглашения
к Тарифному соглашению в сфере
обязательного медицинского страхования
Челябинской области от 30.03.2023 N 2/199-ОМС)
     - оплату неотложной медицинской
помощи;
     - оплату профилактических
медицинских осмотров, в том числе в
рамках диспансеризации, углубленной
диспансеризации;
     - диспансерного наблюдения
отдельных категорий граждан из числа
взрослого населения (далее -
диспансерное наблюдение);
     - оплату стоматологической
медицинской помощи;
     - оплату медицинской помощи,
оказываемой Центрами здоровья;
     - оплату медицинской помощи,
оказываемой специализированными
мобильными медицинскими бригадами;
     - оплату медицинской помощи,
оказываемой КДЦ неприкрепленному
населению медицинской организации, на
базе которой функционирует КДЦ в
соответствии с приказом Минздрава
Челябинской области;
     - оплату медицинской помощи,
оказываемой областным
пульмонологическим центром в
соответствии с приказом Минздрава
Челябинской области от 28.04.2022 N 714;
     - оплату медицинской помощи,
оказываемой офтальмологическими
центрами взрослому застрахованному
населению с заболеваниями органа зрения
и сопутствующей патологией "сахарный
диабет" в соответствии с приказом
Минздрава Челябинской области от 21.04.2021 N
512;
     - оплату медицинской помощи,
оказываемой межрайонными отделениями
пренатальной диагностики с кабинетами
антенатальной охраны плода;
     - оплату медицинских услуг диализа
в амбулаторных условиях;
     - оплату диагностических
исследований на ПЭТ/КТ, ОФЭКТ, ОФЭКТ/КТ;
     - оплату проведения отдельных
диагностических (лабораторных)
исследований (компьютерной томографии,
магнитно-резонансной томографии,
ультразвукового исследования
сердечно-сосудистой системы,
эндоскопических диагностических
исследований, молекулярно-генетических
исследований и патологоанатомических
исследований биопсийного
(операционного) материала с целью
диагностики онкологических заболеваний
и подбора противоопухолевой
лекарственной терапии, тестирования на
выявление новой коронавирусной инфекции
(COVID-19));
     - оплату медицинской помощи,
оказываемой центрами амбулаторной
онкологической помощи (далее - ЦАОП)
(посещения врачей-специалистов,
отдельных диагностических
(лабораторных) исследований);
     - финансовое обеспечение
фельдшерских, фельдшерско-акушерских
пунктов;
     - оплату медицинской помощи по
профилю "медицинская реабилитация",
оказываемой в амбулаторных условиях;
     - оплату проведения исследований на
наличие вирусов гриппа;
     (абзац введен Дополнительным
соглашением к Тарифному соглашению в
сфере обязательного медицинского
страхования Челябинской области от
27.04.2023 N 3/199-ОМС)
     - оплату медицинской помощи,
оказанной в школах для пациентов с
сахарным диабетом;
     (абзац введен Дополнительным
соглашением к Тарифному соглашению в
сфере обязательного медицинского
страхования Челябинской области от
31.08.2023 N 6/199-ОМС)
     - оплату медицинской помощи,
оказываемой в амбулаторных условиях
медицинскими организациями, не
участвующими в подушевом финансировании
амбулаторной медицинской помощи;
     (абзац введен Дополнительным
соглашением к Тарифному соглашению в
сфере обязательного медицинского
страхования Челябинской области от
27.02.2023 N 1/199-ОМС)
     - оплату медицинской помощи,
оказываемой в амбулаторных условиях, за
единицу объема медицинской помощи
застрахованным лицам за пределами
субъекта РФ, на территории которого
выдан полис ОМС.
     1.1.2.3. Общий объем средств на оплату
медицинской помощи, оказываемой в
амбулаторных условиях, для медицинских
организаций, участвующих в реализации
территориальной программы ОМС
Челябинской области, определяется по
следующей формуле:
     ОСАМБ = (НоПМО x НфзПМО + НоДИСП x
НфзДИСП + НоИЦ x НфзИЦ + НоОЗ x НфзОЗ +
НоНЕОТЛ x НфзНЕОТЛ + НоМР x НфзМР + НоДН x
НфзДН) x ЧЗ - ОСМТР, где:
     ОСАМБ - объем средств на оплату
медицинской помощи в амбулаторных
условиях для медицинских организаций,
участвующих в реализации
территориальной программы ОМС
Челябинской области, рублей;
     НоПМО - средний норматив объема
медицинской помощи, оказываемой в
амбулаторных условиях, для проведения
профилактических медицинских осмотров,
установленный территориальной
программой в части базовой программы
ОМС, посещений;
     НоДИСП - средний норматив объема
медицинской помощи, оказываемой в
амбулаторных условиях, для проведения
диспансеризации, установленный
территориальной программой в части
базовой программы ОМС, посещений;
     НоИЦ - средний норматив объема
медицинской помощи, оказываемой в
амбулаторных условиях, для посещений с
иными целями, установленный
территориальной программой в части
базовой программы ОМС, посещений;
     НоОЗ - средний норматив объема
медицинской помощи, оказываемой в
амбулаторных условиях в связи с
заболеваниями, установленный
территориальной программой в части
базовой программы ОМС, обращений;
     НоНЕОТЛ - средний норматив объема
медицинской помощи, оказываемой в
амбулаторных условиях в неотложной
форме, установленный территориальной
программой в части базовой программы
ОМС, посещений;
     НоМР - средний норматив объема
медицинской помощи, оказываемой в
амбулаторных условиях, для обращения по
заболеванию при оказании медицинской
помощи по профилю "медицинская
реабилитация", установленный
территориальной программой в части
базовой программы ОМС, комплексных
посещений;
     НоДН - средний норматив объема
медицинской помощи, оказываемой в
амбулаторных условиях, для
диспансерного наблюдения, установленный
территориальной программой в части
базовой программы ОМС, комплексных
посещений;
     НфзПМО - средний норматив
финансовых затрат на единицу объема
медицинской помощи, оказываемой в
амбулаторных условиях, для проведения
профилактических медицинских осмотров,
установленный территориальной
программой в части базовой программы
ОМС, рублей;
     НфзДИСП - средний норматив
финансовых затрат на единицу объема
медицинской помощи, оказываемой в
амбулаторных условиях, для проведения
диспансеризации, установленный
территориальной программой в части
базовой программы ОМС, рублей;
     НфзИЦ - средний норматив финансовых
затрат на единицу объема медицинской
помощи, оказываемой в амбулаторных
условиях, для посещений с иными целями,
установленный территориальной
программой в части базовой программы
ОМС, рублей;
     НфзОЗ - средний норматив финансовых
затрат на единицу объема медицинской
помощи, оказываемой в амбулаторных
условиях, в связи с заболеваниями,
установленный территориальной
программой в части базовой программы
ОМС, рублей;
     НфзНЕОТЛ - средний норматив
финансовых затрат на единицу объема
медицинской помощи, оказываемой в
амбулаторных условиях, в неотложной
форме, установленный территориальной
программой в части базовой программы
ОМС, рублей;
     НфзМР - средний норматив финансовых
затрат на единицу объема медицинской
помощи, оказываемой в амбулаторных
условиях, для обращения по заболеванию
при оказании медицинской помощи по
профилю "медицинская реабилитация",
установленный территориальной
программой в части базовой программы
ОМС, рублей;
     НфзДН - средний норматив финансовых
затрат на единицу объема медицинской
помощи, оказываемой в амбулаторных
условиях, для диспансерного наблюдения,
установленный территориальной
программой в части базовой программы
ОМС, рублей;
     ОСМТР - объем средств, направляемых
на оплату медицинской помощи,
оказываемой в амбулаторных условиях и
оплачиваемой за единицу объема
медицинской помощи застрахованным лицам
за пределами субъекта РФ, на территории
которого выдан полис ОМС, рублей;
     Чз - численность застрахованного
населения Челябинской области, человек.
     1.1.2.4. Средний размер финансового
обеспечения медицинской помощи,
оказываемой в амбулаторных условиях для
медицинских организаций, участвующих в
реализации территориальной программы
ОМС Челябинской области, в расчете на
одно застрахованное лицо (ФОСРАМБ),
определяется по следующей формуле:
      
     1.1.2.5. Объем средств на оплату
медицинской помощи в амбулаторных
условиях по подушевому нормативу
финансирования, оказываемой
медицинскими организациями,
участвующими в реализации
территориальной программы ОМС
Челябинской области, рассчитывается за
исключением объема средств на
финансовое обеспечение медицинской
помощи, оплачиваемой за единицу объема и
средств на финансовое обеспечение
фельдшерских, фельдшерско-акушерских
пунктов, по следующей формуле:
     ОСПНФ = ОСАМБ - ОСФАП - ОСИССЛЕД -
ОСНЕОТЛ - ОСЕО - ОСПО - ОСДИСП, где:
     ОСПНФ - объем средств на оплату
медицинской помощи по подушевому
нормативу финансирования;
     ОСФАП - объем средств, направляемых
на финансовое обеспечение фельдшерских,
фельдшерско-акушерских пунктов в
соответствии с установленными
территориальной программой размерами
финансового обеспечения фельдшерских,
фельдшерско-акушерских пунктов, рублей;
     ОСИССЛЕД - объем средств,
направляемых на оплату проведения
отдельных диагностических
(лабораторных) исследований
(компьютерной томографии,
магнитно-резонансной томографии,
ультразвукового исследования
сердечно-сосудистой системы,
эндоскопических диагностических
исследований, молекулярно-генетических
исследований и патологоанатомических
исследований биопсийного
(операционного) материала с целью
диагностики онкологических заболеваний
и подбора противоопухолевой
лекарственной терапии, тестирования на
выявление новой коронавирусной инфекции
(COVID-19)) в соответствии с нормативами,
установленными территориальной
программой в части базовой программы
ОМС, рублей;
     ОСНЕОТЛ - объем средств,
направляемых на оплату посещений в
неотложной форме в соответствии с
нормативами, установленными
территориальной программой в части
базовой программы ОМС, рублей;
     ОСЕО - объем средств, направляемых
на оплату медицинской помощи,
оказываемой в амбулаторных условиях, за
единицу объема медицинской помощи
застрахованным в Челябинской области
лицам; комплексных посещений по профилю
"медицинская реабилитация",
диспансерного наблюдения в соответствии
с нормативами, установленными
территориальной программой в части
базовой программы ОМС, рублей;
     ОСПО - объем средств, направляемых
на оплату проведения профилактических
медицинских осмотров, в соответствии с
нормативами, установленными
территориальной программой в части
базовой программы ОМС рублей;
     ОСДИСП - объем средств,
направляемых на оплату проведения
диспансеризации (в том числе углубленной
диспансеризации), включающей
профилактический медицинский осмотр, в
соответствии с нормативами,
установленными территориальной
программой в части базовой программы
ОМС, рублей.
     1.1.2.6. Базовый подушевой норматив
финансирования медицинской помощи,
оказываемой в амбулаторных условиях, на
прикрепившихся лиц рассчитывается по
следующей формуле:
      
     ПнБАЗ - базовый подушевой норматив
финансирования медицинской помощи,
оказываемой в амбулаторных условиях, на
прикрепившихся лиц, рублей;
     Рез - доля средств, направляемая на
выплаты медицинским организациям за
достижение показателей
результативности деятельности;
     КД - единый коэффициент
дифференциации, рассчитанный в
соответствии с постановлением
Правительства РФ от 05.05.2012 N 462.
     1.1.2.7. На основе базового подушевого
норматива финансирования медицинской
помощи, оказываемой в амбулаторных
условиях, на прикрепившихся лиц
рассчитываются дифференцированные
подушевые нормативы финансирования для
медицинских организаций по следующей
формуле:
     ДПiН = ПНБАЗ x КДiпв x КДiур x КДiзп x
КДiот x КДi, где:
     ДПiН - дифференцированный подушевой
норматив финансирования медицинской
помощи, оказываемой в амбулаторных
условиях для i-ой медицинской
организации, рублей;
     КДiпв - коэффициент половозрастного
состава, для i-ой медицинской
организации.
     Коэффициенты половозрастного
состава учитывают затраты на оплату
амбулаторной медицинской помощи,
оказанной застрахованным лицам по
половозрастным группам, в разрезе
медицинских организаций.
     Для расчета половозрастных
коэффициентов численность
застрахованных лиц в Челябинской
области распределяется на следующие
половозрастные группы:
     (в ред. Дополнительного соглашения
к Тарифному соглашению в сфере
обязательного медицинского страхования
Челябинской области от 31.07.2023 N 5/199-ОМС)
     - ноль - один год мужчины/женщины;
     - один год - четыре года
мужчины/женщины;
     - пять лет - семнадцать лет
мужчины/женщины;
     - восемнадцать лет - шестьдесят
четыре года мужчины/женщины;
     - шестьдесят пять лет и старше
мужчины/женщины.
     Половозрастные коэффициенты
рассчитываются для каждой
половозрастной группы застрахованных
лиц на основании данных о затратах на
оплату амбулаторной медицинской помощи,
оказанной прикрепленным застрахованным
лицам за определенный расчетный период,
но не реже одного раза в год, и
численности застрахованных
прикрепленных лиц за данный период;
     (в ред. Дополнительного соглашения
к Тарифному соглашению в сфере
обязательного медицинского страхования
Челябинской области от 31.07.2023 N 5/199-ОМС)
     КДiур - коэффициент уровня расходов
медицинских организаций для i-ой
медицинской организации;
     КДiзп - коэффициент достижения
целевых показателей уровня заработной
платы медицинских работников,
предусмотренных "дорожными картами"
развития здравоохранения в Челябинской
области, для i-ой медицинской организации
равный 1,0;
     (в ред. Дополнительного соглашения
к Тарифному соглашению в сфере
обязательного медицинского страхования
Челябинской области от 31.07.2023 N 5/199-ОМС)
     КДiОТ - коэффициент дифференциации
на прикрепившихся к медицинской
организации лиц с учетом наличия
подразделений, расположенных в сельской
местности, отдаленных территориях,
поселках городского типа и малых городах
с численностью населения до 50 тысяч
человек, и расходов на их содержание и
оплату труда персонала для i-й
медицинской организации;
     (в ред. Дополнительного соглашения
к Тарифному соглашению в сфере
обязательного медицинского страхования
Челябинской области от 31.07.2023 N 5/199-ОМС)
     КДi - коэффициент дифференциации
для i-ой медицинской организаций.
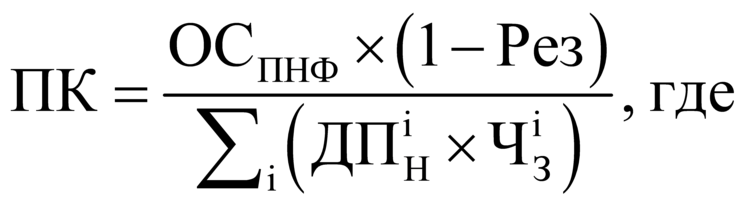
     1.1.2.8. В целях приведения в
соответствие объема средств,
рассчитанного по дифференцированным
подушевым нормативам финансирования
медицинской помощи, оказываемой в
амбулаторных условиях, к объему средств
на оплату медицинской помощи в
амбулаторных условиях по подушевому
нормативу финансирования (за
исключением средств на выплаты по итогам
оценки результативности деятельности
медицинских организаций) рассчитывается
поправочный коэффициент (ПК) по формуле:
      
     ЧiЗ - численность застрахованных
лиц, прикрепленных к i-ой медицинской
организации, человек.
     1.1.2.9. Фактический
дифференцированный подушевой норматив
финансирования медицинской помощи,
оказываемой в амбулаторных условиях, для
i-ой медицинской организации на
прикрепившихся лиц, рассчитывается по
формуле:
     ФДПiН = ДПiН x ПК, где:
     ФДПiН - фактический
дифференцированный подушевой норматив
финансирования медицинской помощи,
оказываемой в амбулаторных условиях, для
i-ой медицинской организации, рублей.
     1.1.3. Объем средств, направляемых на
финансовое обеспечение фельдшерских,
фельдшерско-акушерских пунктов в i-ой
медицинской организации, рассчитывается
по формуле:
      
     ОСiФАП - объем средств, направляемых
на финансовое обеспечение фельдшерских,
фельдшерско-акушерских пунктов в i-ой
медицинской организации;
     ЧnФАП - число фельдшерских,
фельдшерско-акушерских пунктов n типа (в
зависимости от численности
обслуживаемого населения и соответствия
требованиям, установленным приказом
Минздравсоцразвития России от 15.05.2012 N
543н);
     БНФnФАП - базовый норматив
финансовых затрат на финансовое
обеспечение структурных подразделений
медицинских организаций - фельдшерских,
фельдшерско-акушерских пунктов n-го
типа;
     КСnБНФ - коэффициент специфики
оказания медицинской помощи,
применяемый к базовому нормативу
финансовых затрат на финансовое
обеспечение структурных подразделений
медицинской организации, учитывающий
критерий соответствия их требованиям,
установленным приказом
Минздравсоцразвития России от 15.05.2012 N
543н, и доводится до медицинских
организаций по тарифам на финансовое
обеспечение фельдшерских,
фельдшерско-акушерских пунктов.
     Тарифы на финансовое обеспечение
фельдшерских, фельдшерско-акушерских
пунктов для медицинских организаций
рассчитываются по формуле:
      
     ТiФАП - тариф на финансовое
обеспечение фельдшерских,
фельдшерско-акушерских пунктов i-ой
медицинской организации.
     Годовой размер средств финансового
обеспечения фельдшерских,
фельдшерско-акушерских пунктов,
учитывающий объем средств, направленных
на финансовое обеспечение фельдшерских,
фельдшерско-акушерских пунктов за
предыдущие периоды с начала года,
пересчитывается в случае изменения
факта соответствия требованиям,
установленным приказом
Минздравсоцразвития России от 15.05.2012 N 543н
(изменения коэффициента специфики), а
также численности обслуживаемого
населения, по следующей формуле:
      
     ОСjФАП - фактический размер
финансового обеспечения фельдшерского,
фельдшерско-акушерского пункта;
      - объем средств, направленный на
финансовое обеспечение фельдшерского,
фельдшерско-акушерского пункта с начала
года;
 - объем средств, направленный на
финансовое обеспечение фельдшерского,
фельдшерско-акушерского пункта с начала
года;
     nМЕС - количество месяцев,
оставшихся до конца календарного года.
     Расходы на оплату транспортных
услуг не входят в размеры финансового
обеспечения фельдшерских,
фельдшерско-акушерских пунктов.
     1.1.4. Порядок оплаты медицинской
помощи по подушевому нормативу
финансирования с учетом показателей
результативности деятельности
медицинской организации, учитывающих
достижение целевых значений
показателей.
     Доля средств на осуществление
стимулирующих выплат медицинским
организациям, имеющим прикрепившихся
лиц, формируется в размере 3 % от объема
средств на оплату медицинской помощи по
подушевому нормативу финансирования.
     Мониторинг достижения значений
показателей результативности
деятельности по каждой медицинской
организации и ранжирование медицинских
организаций Челябинской области
проводятся Комиссией один раз в квартал
и доводятся до сведения медицинских
организаций в месяце, следующем за
отчетным периодом.
     Осуществление выплат по
результатам оценки достижения
медицинскими организациями,
оказывающими медицинскую помощь в
амбулаторных условиях, значений
показателей результативности
деятельности производится по итогам
года (декабрь 2022 года - ноябрь 2023 года) из
средств на осуществление стимулирующих
выплат медицинским организациям,
имеющим прикрепившихся лиц.
     Объем средств, направляемый в
медицинские организации по итогам
оценки достижения значений показателей
результативности деятельности,
рассчитывается в соответствии с пунктом
2.14 раздела II Методических рекомендаций.
     (в ред. Дополнительного соглашения
к Тарифному соглашению в сфере
обязательного медицинского страхования
Челябинской области от 31.05.2023 N 4/199-ОМС)
     Размер финансового обеспечения
медицинской помощи, оказанной
медицинской организацией, имеющей
прикрепившихся лиц, по подушевому
нормативу финансирования определяется
по следующей формуле:
     ОСПН = ФДПiН x ЧiЗср + ТiФАП x ЧiЗср +
ОСРД, где:
     ОСПН - финансовое обеспечение
медицинской помощи, оказанной
медицинской организацией, имеющей
прикрепившихся лиц, по подушевому
нормативу финансирования, рублей;
     ОСРД - объем средств, направляемых
медицинским организациям в случае
достижения ими значений показателей
результативности деятельности, согласно
балльной оценке, рублей;
     ЧiЗср - среднемесячная численность
застрахованных лиц, прикрепленных к i-ой
медицинской организации (среднее
значение между численностью на первое
число отчетного месяца и первое число
месяца, следующего за отчетным), человек.
     Среднемесячная численность
застрахованных лиц, прикрепленных к i-ой
МО-Фондодержателю, размещается на сайте
ТФОМС Челябинской области в течение 2-х
рабочих дней месяца, следующего за
отчетным.
     Показатели результативности
деятельности медицинских организаций,
имеющих прикрепленное население,
установлены приложением 14 к Тарифному
соглашению.
     Расчет значений показателей
результативности деятельности
медицинских организаций осуществляется
в соответствии с порядком, изложенным в
приложении 12 к Методическим
рекомендациям.
     1.1.5. Оплата амбулаторной
медицинской помощи с применением
телемедицинских технологий, оказанной
медицинскими организациями, имеющими
прикрепившихся лиц, при дистанционном
взаимодействии медицинских работников с
пациентами и (или) их законными
представителями в режиме реального
времени в соответствии с приказом
Министерства здравоохранения
Челябинской области от 13.11.2020 N 2073 "Об
организации и оказании в медицинских
организациях Челябинской области
медицинской помощи с применением
телемедицинских технологий при
дистанционном взаимодействии
медицинского работника с пациентами и
(или) их законными представителями"
осуществляется в рамках подушевого
норматива финансирования,
взаиморасчетов за оказанные внешние
медицинские услуги.
     При оплате учитывается:
     - обращение по заболеванию,
сформированное из первичного посещения
в очной форме и последующих посещений, в
т.ч. с применением телемедицинских
технологий (дистанционная
консультация);
     - посещение с применением
телемедицинских технологий
(дистанционная консультация) с целью
диспансерного наблюдения (без
предварительно проведенного очного
приема медицинским работником при
стабильном течении заболевания, по
поводу которого организовано
диспансерное наблюдение, и давности
ранее проведенного очного приема
медицинским работником не более 6
месяцев).
     1.1.6. Оплата оказанных
МО-Исполнителем внешних медицинских
услуг осуществляется СМО за счет средств
МО-Фондодержателя по тарифам на оплату
медицинской помощи, оказываемой в
амбулаторных условиях.
     Оплата внешних медицинских услуг
МО-Исполнителям осуществляется за
медицинскую помощь, оказанную на
основании направлений МО-Фондодержателя
в соответствии с приказом Минздрава
Челябинской области от 20.12.2012 N 1782, а также
в случаях обращения застрахованных лиц
за экстренной и неотложной медицинской
помощью на основании первичной
медицинской документации (за
исключением медицинской помощи,
оказанной в кабинетах (отделениях)
неотложной медицинской помощи).
     1.1.7. Медицинская помощь, оказанная
застрахованным лицам, не прикрепленным
ни к одной медицинской организации,
подлежит оплате из средств, направляемых
в СМО по фактическим дифференцированным
подушевым нормативам финансового
обеспечения ОМС, по тарифам на оплату
медицинской помощи, оказываемой в
амбулаторных условиях, за исключением
медицинской помощи, оказанной
застрахованным лицам за пределами
субъекта Российской Федерации, на
территории которого выдан полис ОМС.
     Оплата оказанной медицинской
помощи детям со дня рождения и до
реализации в отношении ребенка права
выбора СМО, но не позднее истечения
тридцати дней со дня государственной
регистрации рождения, осуществляется
СМО, в которой застрахованы их матери или
другие законные представители.
     1.1.8. Оплата медицинской помощи,
оказанной в амбулаторных условиях
застрахованным лицам за пределами
субъекта Российской Федерации, на
территории которого выдан полис ОМС,
производится по тарифам на оплату
медицинской помощи, оказанной в
амбулаторных условиях.
     1.2. Оплата медицинской помощи,
оказанной в амбулаторных условиях, за
единицу объема медицинской помощи, за
исключением медицинской помощи по
подушевому нормативу финансирования.
     1.2.1. Оплата медицинской помощи,
оказанной в амбулаторных условиях
медицинскими организациями, указанными
в приложениях 1, 2 к Тарифному соглашению,
осуществляется:
     1) за обращение по поводу
заболевания к врачам-специалистам в
зависимости от специальностей врачей,
категории обслуживаемого населения
(взрослые, дети), места и цели приема;
     2) за посещение к
врачам-специалистам в зависимости от
специальностей врачей, категории
обслуживаемого населения (взрослые,
дети), места и цели приема с
профилактической и иными целями, формы
оказания медицинской помощи,
включающее:
     - посещения в рамках II этапа
диспансеризации взрослого
застрахованного населения;
     - разовое посещение в связи с
заболеванием;
     - посещение при оказании
медицинской помощи в неотложной форме;
     - посещение центров здоровья;
     - посещение ЦАОП;
     - посещение в связи с выдачей
справок и иных документов и другие
причины;
     3) за комплексное посещение при
оплате:
     - I или I и II этапов диспансеризации
детского застрахованного населения;
     - профилактических медицинских
осмотров взрослого и детского
застрахованного населения;
     - диспансеризации I этапа взрослого
застрахованного населения;
     - I этапа углубленной
диспансеризации взрослого
застрахованного населения, включающего:
     а) измерение насыщения крови
кислородом (сатурация) в покое,
     б) проведение спирометрии или
спирографии,
     в) общий (клинический) анализ крови
развернутый,
     г) биохимический анализ крови
(включая исследование уровня
холестерина, уровня липопротеинов
низкой плотности, С-реактивного белка,
определение активности
аланинаминотрансферазы в крови,
определение активности
аспартатаминотрансферазы в крови,
определение активности
лактатдегидрогеназы в крови,
исследование уровня креатинина в крови),
     - медицинской помощи по профилю
"медицинская реабилитация" в
амбулаторных условиях;
     - диспансерного наблюдения
отдельных категорий граждан из числа
взрослого населения;
     - медицинской помощи, оказанной в
школах для пациентов с сахарным
диабетом;
     (абзац введен Дополнительным
соглашением к Тарифному соглашению в
сфере обязательного медицинского
страхования Челябинской области от
27.04.2023 N 3/199-ОМС)
     4) за медицинскую услугу при оплате:
     - медицинских услуг, оказываемых в
рамках II этапа диспансеризации
взрослого застрахованного населения;
     - медицинских услуг в рамках I этапа
углубленной диспансеризации взрослого
застрахованного населения (проведение
теста с 6-минутной ходьбой, определение
концентрации Д-димера в крови); II этапа
углубленной диспансеризации взрослого
застрахованного населения (проведение
эхокардиографии, компьютерной
томографии легких, дуплексного
сканирования вен нижних конечностей);
     - компьютерной томографии,
магнитно-резонансной томографии,
ультразвукового исследования
сердечно-сосудистой системы,
эндоскопических диагностических
исследований, молекулярно-генетических
исследований и патологоанатомических
исследований биопсийного
(операционного) материала с целью
диагностики онкологических заболеваний
и подбора противоопухолевой
лекарственной терапии, тестирования на
выявление новой коронавирусной инфекции
(COVID-19);
     - диагностических исследований на
ПЭТ/КТ, ОФЭКТ, ОФЭКТ/КТ;
     - диагностических (лабораторных)
исследований в ЦАОП;
     - услуг, оказываемых межрайонными
отделениями пренатальной диагностики с
кабинетами антенатальной охраны плода
на амбулаторном этапе беременным
женщинам при сроках беременности 11 - 14
недель (I ультразвуковой скрининг с
забором образцов крови для определения
материнских сывороточных маркеров) и 19 -
21 неделя (II ультразвуковой скрининг);
     - услуг, оказываемых межрайонным
отделением пренатальной диагностики с
кабинетом антенатальной охраны плода
при проведении биохимического
скрининга;
     - диализа.
     - исследований на наличие вирусов
гриппа;
     (абзац введен Дополнительным
соглашением к Тарифному соглашению в
сфере обязательного медицинского
страхования Челябинской области от
27.04.2023 N 3/199-ОМС)
     1.2.2. При возложении на фельдшера,
акушерку руководителем медицинской
организации при организации первичной
медико-санитарной помощи отдельных
функций лечащего врача по
непосредственному оказанию медицинской
помощи пациенту в период наблюдения за
ним и его лечения, в соответствии с
приказом Минздравсоцразвития РФ от
23.03.2012 N 252н, медицинскими организациями
применяется тариф за посещение,
обращение в зависимости от места и цели
приема.
     1.2.3. Тарифы на оплату медицинской
помощи, оказываемой в амбулаторных
условиях, используются для оплаты
медицинской помощи (по видам, не
включенным в подушевое финансирование; в
медицинских организациях, не имеющих
прикрепившихся лиц; лицам,
застрахованным по ОМС за пределами
субъекта РФ).
     1.2.4. Обращение как законченный
случай лечения складывается из
первичных и повторных (не менее двух)
посещений по поводу одного заболевания к
врачам-специалистам.
     Длительность между двумя соседними
посещениями и/или между датой посещения
и назначенной датой следующего
посещения в рамках одного обращения не
может превышать 3-х месяцев. Длительность
между первым и последним посещениями в
обращении или первым посещением и
назначенной датой следующего посещения
для "разового посещения по заболеванию"
не может превышать один год.
     1.2.5. Учет разовых посещений в связи
с заболеванием.
     Если первичное посещение
(включаемое в обращение по заболеванию)
оказано в одном отчетном периоде, а
последующие должны были быть оказаны в
последующих отчетных периодах, но в
результате неявки пациента на повторный
прием сформировать обращение по
заболеванию не представляется
возможным, медицинская организация
имеет право включить первичное
посещение, оказанное в одном из двух
предыдущих отчетных периодов, в реестр
за отчетный период как разовое посещение
в связи с заболеванием.
     1.2.6. Повторное посещение в один день
пациентом врача одной и той же
специальности с целью оценки результата
проведенного в тот же день
диагностического (лабораторного)
исследования учету и оплате не подлежит.
     1.2.7. Случаи диспансерного
наблюдения отдельных категорий граждан
из числа взрослого застрахованного
населения, проведенные в соответствии с
порядком, утвержденным приказом
Минздрава РФ от 15.03.2022 N 168н, оплачиваются
за комплексное посещение по тарифам,
установленным приложением 9/9 к Тарифному
соглашению.
     Первый в текущем году диспансерный
прием (осмотр, консультация) подлежит
оплате в рамках проведенного
профилактического медицинского осмотра,
за исключением диспансерного
наблюдения, проводимого в
специализированных медицинских
организациях онкологического профиля,
не включенных в перечень медицинских
организаций, проводящих
профилактические медицинские осмотры и
диспансеризацию, в том числе углубленную
диспансеризацию, в соответствии с
территориальной программой.
     (в ред. Дополнительного соглашения
к Тарифному соглашению в сфере
обязательного медицинского страхования
Челябинской области от 31.05.2023 N 4/199-ОМС)
     Оплата отдельных диагностических
(лабораторных) исследований
(компьютерная томография,
магнитно-резонансная томография,
ультразвуковое исследование
сердечно-сосудистой системы,
эндоскопические диагностические
исследования, молекулярно-генетические
исследования и патологоанатомические
исследования биопсийного
(операционного) материала с целью
диагностики онкологических заболеваний
и подбора противоопухолевой
лекарственной терапии), предусмотренных
порядком проведения диспансерного
наблюдения, утвержденным приказом
Минздрава РФ от 15.03.2022 N 168н, производится
за единицу объема медицинской помощи
(медицинскую услугу) дополнительно к
стоимости комплексного посещения.
     (п. 1.2.7 в ред. Дополнительного
соглашения к Тарифному соглашению в
сфере обязательного медицинского
страхования Челябинской области от
27.02.2023 N 1/199-ОМС)
     1.2.8. Оплата медицинской помощи,
оказанной Центрами здоровья,
осуществляется за посещения (первичный и
повторный приемы) в соответствии с
приложением 9/3 к Тарифному соглашению.
     1.2.9. Оплате за счет средств ОМС
подлежит
консультативно-диагностическая
медицинская помощь, оказанная в КДЦ,
организованных на базе медицинских
организаций, указанных в приложении 2 к
Тарифному соглашению, по направлению
профильного специалиста,
врача-терапевта (врача-педиатра) (в
случае отсутствия профильного
специалиста) той медицинской
организации, к которой застрахованное
лицо прикреплено для оказания первичной
медико-санитарной помощи (за исключением
направления в КДЦ Государственного
бюджетного учреждения здравоохранения
"Челябинский областной клинический
терапевтический госпиталь для ветеранов
войн", Государственного бюджетного
учреждения здравоохранения "Челябинский
областной кардиологический диспансер").
     Оплата
консультативно-диагностической
медицинской помощи, оказываемой КДЦ,
осуществляется за посещение, обращение
по установленным тарифам на оплату
медицинской помощи в соответствии с
приложением 9/5 к Тарифному соглашению.
     1.2.10. Оплата
консультативно-диагностической
медицинской помощи, оказанной взрослому
застрахованному населению в областном
пульмонологическом центре в
соответствии с приказом Минздрава
Челябинской области от 28.04.2022 N 714,
осуществляется за посещение по тарифу
"Пульмонолог (областного
пульмонологического центра)" при условии
выполнения медицинских услуг по кодам
номенклатуры B01.037.001 "Консультация
врача-пульмонолога (пульмоцентра)
первичная", A12.09.002.001 "Исследование
дыхательных объемов с применением
лекарственных препаратов".
     1.2.11. Оплата медицинской помощи,
оказанной взрослому застрахованному
населению с заболеваниями органа зрения
и сопутствующей патологией "сахарный
диабет" в офтальмологических центрах в
соответствии с приказом от 21.04.2021 N 512 ГАУЗ
"Городская клиническая больница N 11 г.
Челябинск", ГБУЗ "Челябинская областная
клиническая больница", осуществляется за
посещение по тарифам:
     - "Офтальмолог
(консультативно-диагностический прием
пациентов с сахарным диабетом)" при
условии выполнения медицинской услуги
по коду номенклатуры В01.029.001 "Прием
(осмотр, консультация)
врача-офтальмолога первичный" и кода
основного диагноза по МКБ-10 H36.0
"Диабетическая ретинопатия";
     - "Офтальмолог (фокальная лазерная
коагуляция пациентам с сахарным
диабетом)" при условии выполнения
медицинских услуг по кодам номенклатуры
В01.029.001 "Прием (осмотр, консультация)
врача-офтальмолога первичный", A03.26.019
"Оптическое исследование сетчатки с
помощью компьютерного анализатора",
А22.26.009 "Фокальная лазерная коагуляция
глазного дна" и кода основного диагноза
по МКБ-10 H36.0 "Диабетическая ретинопатия".
     1.2.12. Оплате за счет средств ОМС по
тарифам на оплату медицинской помощи,
установленным приложением 9/8 к Тарифному
соглашению, подлежит
консультативно-диагностическая
медицинская помощь:
     - оказанная в ЦАОП, организованных в
соответствии с приказом Минздрава
Челябинской области от 27.01.2020 N 65,
     - оказанная медицинскими
организациями в соответствии с
приказами Министерства здравоохранения
Челябинской области от 17.04.2020 N 553 "О
закреплении центров амбулаторной
онкологической помощи ООО МЦ "Лотос" и
ООО "НовоМед" за медицинскими
организациями на проведение
сцинтиграфии скелета и гистологических
исследований биоптата (1 - 5 категории
сложности) и/или иммуногистохимических
исследований биоптата", от 24.03.2022 N 513 "Об
утверждении схемы закрепления
медицинских организаций в Челябинской
области, осуществляющих деятельность по
проведению прижизненных
патологоанатомических и
иммуногистохимических исследований
операционно-биопсийного материала,
забор которого осуществляется в Центрах
амбулаторной онкологической помощи", от
21.12.2022 N 1876 "О маршрутизации пациентов,
закрепленных за Центрами амбулаторной
онкологической помощи Государственного
автономного учреждения здравоохранения
"Челябинский областной клинический
центр онкологии и ядерной медицины" и
Государственного автономного
учреждения здравоохранения "Областной
онкологический диспансер N 2", для
проведения консультаций врачами
специалистами".
     1.2.13. Медицинская реабилитация
(третий этап), оказанная в амбулаторных
условиях, в соответствии с приказами
Министерства здравоохранения
Челябинской области от 21.02.2022 N 293 "Об
организации оказания медицинской помощи
взрослому населению по профилю
"медицинская реабилитация" в Челябинской
области", от 29.04.2022 N 718 "Об организации
оказания медицинской помощи детскому
населению по профилю "медицинская
реабилитация" в Челябинской области"
подлежит оплате за комплексное
посещение, включающее набор необходимых
консультаций специалистов, проведение
методов реабилитации, определенных
индивидуальными программами
реабилитации, по тарифам на оплату
медицинской реабилитации, установленным
приложением 9/10 к Тарифному соглашению.
     1.2.13-1. Медицинская помощь, оказанная
в соответствии с приказами Минздрава
Челябинской области от 30.12.2022 N 1981, от
11.04.2023 N 279 в школах для пациентов с
сахарным диабетом, подлежит оплате за
комплексное посещение по тарифам на
оплату медицинской помощи,
установленным приложением 9/11 к
Тарифному соглашению.
     (п. 1.2.13-1 введен Дополнительным
соглашением к Тарифному соглашению в
сфере обязательного медицинского
страхования Челябинской области от
27.04.2023 N 3/199-ОМС)
     1.2.14. Пациентам в возрасте до 21 года
при отдельных онкологических
заболеваниях с целью продолжения
лечения, которое начато в возрасте 18 лет,
первичная специализированная
медицинская помощь в амбулаторных
условиях может быть оказана в
медицинских организациях, оказывающих
медицинскую помощь детям по профилю
"детская онкология", в случаях и при
соблюдении условий, установленных
порядком оказания медицинской помощи,
утвержденным Министерством
здравоохранения Российской Федерации.
     1.2.15. Оплата профилактических
медицинских осмотров, в том числе в
рамках диспансеризации (за исключением
углубленной диспансеризации),
определенных групп взрослого
застрахованного населения.
     1.2.15.1. Оплата проведенных в
соответствии с приказами Минздрава РФ от
27.04.2021 N 404н, Минздрава Челябинской
области от 29.12.2022 N 1943, иными
нормативно-правовыми актами:
     - профилактических медицинских
осмотров взрослого застрахованного
населения, диспансеризации (I этапа)
определенных групп взрослого
застрахованного населения
осуществляется по тарифам на оплату
комплексного посещения,
     - диспансеризации (II этапа)
определенных групп взрослого
застрахованного населения
осуществляется по тарифам осмотров
врачами-специалистами, исследований и
иных медицинских мероприятий.
     Профилактический медицинский
осмотр взрослого застрахованного
населения не может быть оплачен в
качестве самостоятельного мероприятия в
случае проведения диспансеризации (за
исключением углубленной
диспансеризации) в одном календарном
году (оплате подлежит только одно из двух
перечисленных мероприятий).
     1.2.15.2. Профилактический медицинский
осмотр и первый этап диспансеризации
взрослого застрахованного населения
считаются завершенными и подлежат
оплате в случае выполнения в течение
календарного года не менее 85 % от объема
профилактического медицинского осмотра
и первого этапа диспансеризации, при
этом обязательным для всех граждан
является проведение анкетирования и
прием (осмотр) врачом по медицинской
профилактике отделения (кабинета)
медицинской профилактики или центра
здоровья или фельдшером, а также
проведение маммографии, исследование
кала на скрытую кровь иммунохимическим
качественным или количественным
методом, осмотр фельдшером (акушеркой)
или врачом - акушером-гинекологом, взятие
мазка с шейки матки, цитологическое
исследование мазка с шейки матки,
определение простат-специфического
антигена в крови, которые проводятся в
соответствии с приложением 2 к порядку
проведения профилактического
медицинского осмотра и диспансеризации
определенных групп взрослого населения,
утвержденному приказом Минздрава РФ от
27.04.2021 N 404н.
     1.2.15.3. Оплата II этапа
диспансеризации взрослого
застрахованного населения
осуществляется за осмотры (консультации)
врачами-специалистами, исследования,
которые фактически проведены
гражданину. Прием (осмотр)
врачом-терапевтом осуществляется по
завершении консультаций и исследований
второго этапа диспансеризации.
     1.2.16. Оплата углубленной
диспансеризации взрослого
застрахованного населения, проводимой в
соответствии с приказами Минздрава РФ от
01.07.2021 N 698н, Минздрава Челябинской
области от 29.12.2022 N 1943 гражданам в
возрасте 18 лет и старше, переболевшим
новой коронавирусной инфекцией COVID-19, а
также по инициативе граждан, в отношении
которых отсутствуют сведения о
перенесенном заболевании новой
коронавирусной инфекцией COVID-19,
осуществляется по тарифам на оплату
комплексного посещения, медицинских
услуг, установленных таблицей 3
приложения 11.
     Оплата рентгенографии органов
грудной клетки, приема (осмотра)
врачом-терапевтом (участковым
терапевтом, врачом общей практики),
фельдшером включена в подушевой
норматив финансирования и дополнительно
за единицу объема оплате не подлежит.
     1.2.17. Оплата диспансеризации
пребывающих в стационарных учреждениях
детей-сирот и детей, находящихся в
трудной жизненной ситуации,
диспансеризации детей-сирот и детей,
оставшихся без попечения родителей, в
том числе усыновленных (удочеренных),
принятых под опеку (попечительство), в
приемную или патронатную семью.
     1.2.17.1. Оплата диспансеризации
пребывающих в стационарных учреждениях
детей-сирот и детей, находящихся в
трудной жизненной ситуации (далее -
диспансеризация детей-сирот и детей,
находящихся в трудной жизненной
ситуации), диспансеризации детей-сирот и
детей, оставшихся без попечения
родителей, в том числе усыновленных
(удочеренных), принятых под опеку
(попечительство), в приемную или
патронатную семью (далее -
диспансеризация детей-сирот и детей,
оставшихся без попечения родителей) в
Челябинской области, проведенной в
соответствии с приказами Минздрава РФ от
15.02.2013 N 72н, от 21.04.2022 N 275н, Минздрава
Челябинской области от 31.12.2015 N 2075, от
31.12.2015 N 2076, иными нормативно-правовыми
актами по тарифам на оплату комплексного
посещения диспансеризации (I этап, I и II
этапы).
     1.2.17.2. Первый этап диспансеризации
детей-сирот и детей, находящихся в
трудной жизненной ситуации,
диспансеризации детей-сирот и детей,
оставшихся без попечения родителей,
считается законченным и подлежит оплате
в случае проведения осмотров всеми
врачами-специалистами (в том числе
врачом психиатром детским,
врачом-психиатром подростковым),
выполнения лабораторных,
инструментальных и иных исследований,
предусмотренных Перечнем осмотров и
исследований, утвержденных в составе
Порядка проведения диспансеризации
пребывающих в стационарных учреждениях
детей-сирот и детей, находящихся в
трудной жизненной ситуации,
установленных приказом Минздрава РФ от
15.02.2013 N 72н (далее - Перечень осмотров и
исследований при проведении
диспансеризации), при отсутствии
подозрений на наличие у
несовершеннолетнего заболевания
(состояния) и (или) необходимости
получения информации о состоянии
здоровья несовершеннолетнего из других
медицинских организаций.
     1.2.17.3. Первый и второй этапы
диспансеризации детей-сирот и детей,
находящихся в трудной жизненной
ситуации, диспансеризации детей-сирот и
детей, оставшихся без попечения
родителей, считаются законченными в
случае проведения дополнительных
консультаций, исследований и (или)
получения информации о состоянии
здоровья несовершеннолетнего из других
медицинских организаций в случае
подозрения на наличие у
несовершеннолетнего заболевания
(состояния), диагностика которого не
входит в Перечень осмотров и
исследований при проведении
диспансеризации.
     1.2.17.4. В структуре тарифов на оплату
комплексного посещения диспансеризации
детей-сирот и детей, находящихся в
трудной жизненной ситуации,
диспансеризации детей-сирот и детей,
оставшихся без попечения родителей, не
предусмотрены расходы на проведение
осмотра врачом-психиатром детским
(врачом-психиатром подростковым) за счет
средств ОМС.
     1.2.18. Оплата профилактических
медицинских осмотров детского
застрахованного населения 
     1.2.18.1. Оплата проведенных в
соответствии с приказами Минздрава РФ от
10.08.2017 N 514н, Минздрава Челябинской
области от 18.12.2017 N 2348 медицинских
осмотров детского застрахованного
населения осуществляется по тарифам на
оплату комплексного посещения
медицинских осмотров детского
застрахованного населения Челябинской
области в поликлинике.
     1.2.18.2. Профилактический осмотр
является завершенным и подлежит оплате в
случае проведения осмотров
врачами-специалистами и выполнения
исследований, включенных в Перечень
исследований (I этап) в соответствии с
приказом Минздрава РФ от 10.08.2017 N 514н.
     В случае отказа
несовершеннолетнего (его родителя или
иного законного представителя) от
проведения одного или нескольких
медицинских вмешательств,
предусмотренных в рамках I этапа
профилактического осмотра,
профилактический осмотр считается
завершенным в объеме проведенных
осмотров врачами-специалистами и
выполненных исследований. При этом
оплате в рамках I этапа подлежит
комплексное посещение, сформированное в
объеме проведенных осмотров
врачами-специалистами и выполненных
исследований. Обязательным является
прием (осмотр) врача-педиатра.
     При проведении на II этапе
дополнительных консультаций,
исследований, назначенных
несовершеннолетнему, профилактический
осмотр является завершенным, при этом
оплачивается только прием (осмотр)
врача-педиатра.
     1.2.18.3. В структуре тарифов на оплату
комплексных посещений медицинских
осмотров детского застрахованного
населения Челябинской области не
предусмотрены расходы на проведение
осмотра врачом-психиатром детским
(врачом-психиатром подростковым) за счет
средств ОМС.
     1.2.19. Оплата профилактических
медицинских осмотров, в том числе в
рамках диспансеризации, осуществляется
по тарифам, установленным приложениями
11, 12 к Тарифному соглашению.
     В случае проведения
профилактических медицинских осмотров,
в том числе в рамках диспансеризации, в
выходные дни к тарифу комплексного
посещения применяется повышающий
коэффициент в размере 1,05.
     1.2.20. Оплата плановой первичной
специализированной медико-санитарной
помощи, оказанной специализированными
мобильными медицинскими бригадами.
     Оплата плановой первичной
специализированной медико-санитарной
помощи с лечебно-диагностической целью,
оказанной застрахованному населению
муниципальных образований Челябинской
области специализированными мобильными
медицинскими бригадами медицинских
организаций, организованными в
соответствии с приказами Минздрава
Челябинской области от 17.08.2017 N 1528, от
13.05.2021 N 606, осуществляется в пределах
объемов предоставления медицинской
помощи, установленных решением Комиссии,
по установленным тарифам на оплату
медицинской помощи в соответствии с
приложением 9/3 к Тарифному соглашению.
     Оплата профилактических
медицинских осмотров, в том числе в
рамках диспансеризации (за исключением
углубленной диспансеризации), оказанных
специализированными мобильными
медицинскими бригадами медицинской
организации, не имеющей прикрепившихся
лиц, осуществляется на основании
заключенных между медицинскими
организациями договоров без выставления
счетов и реестра счетов в ТФОМС
Челябинской области.
     1.2.21. Оплата медицинской помощи в
приемных отделениях круглосуточных
стационаров 
     1.2.21.1. К случаям оказания
медицинской помощи в приемных
отделениях круглосуточных стационаров,
которые учитываются в качестве
посещения, следует относить контакт
пациента с врачом приемного отделения
без последующей госпитализации: при
отсутствии показаний для
госпитализации, при отказе пациента от
госпитализации.
     В случаях оказания медицинской
помощи в приемных отделениях
круглосуточных стационаров и проведения
консультативно-диагностических услуг в
диагностических и лечебных отделениях
стационара медицинской организации без
последующей госпитализации единицей
объема оказанной услуги является
посещение.
     1.2.21.2. Оплата медицинской помощи
(посещений), оказанной застрахованным
лицам в приемных отделениях
круглосуточных стационаров медицинских
организаций, осуществляется по тарифам
на оплату неотложной медицинской помощи,
установленным приложением 9/4 к Тарифному
соглашению.
     (п. 1.2.21.2 в ред. Дополнительного
соглашения к Тарифному соглашению в
сфере обязательного медицинского
страхования Челябинской области от
31.08.2023 N 6/199-ОМС)
     1.2.22. Оплата медицинской помощи,
оказанной застрахованному населению за
медицинскую услугу 
     1.2.22.1. Оплата отдельных
диагностических (лабораторных)
исследований (компьютерной томографии,
магнитно-резонансной томографии,
ультразвукового исследования
сердечно-сосудистой системы,
эндоскопических диагностических
исследований, молекулярно-генетических
исследований и патологоанатомических
исследований биопсийного
(операционного) материала с целью
диагностики онкологических заболеваний
и подбора противоопухолевой
лекарственной терапии, тестирования на
выявление новой коронавирусной инфекции
(COVID-19)) осуществляется по тарифам на
оплату медицинских услуг в соответствии
с таблицей 1 приложения 9/7 к Тарифному
соглашению.
     1.2.22.2. Оплате подлежат отдельные
диагностические (лабораторные)
исследования, при наличии направления на
исследования от врача, оказывающего
первичную медико-санитарную помощь, в
том числе первичную специализированную,
при условии соблюдения утвержденного
порядка маршрутизации, в пределах
объемов предоставления медицинской
помощи, установленных решением
Комиссии.
     1.2.22.3. Оплата диагностических
исследований, проводимых медицинскими
организациями в соответствии с
приказами Минздрава Челябинской области
от 14.07.2021 N 921, 27.10.2022 N 1528, на ПЭТ/КТ, ОФЭКТ,
ОФЭКТ/КТ осуществляется в пределах
объемов предоставления медицинской
помощи, установленных решением Комиссии,
по тарифам на оплату медицинской помощи
за медицинскую услугу в соответствии с
таблицей 1 приложения 9/7 к Тарифному
соглашению.
     (в ред. Дополнительного соглашения
к Тарифному соглашению в сфере
обязательного медицинского страхования
Челябинской области от 30.03.2023 N 2/199-ОМС)
     1.2.22.4. Оплата медицинских услуг,
оказываемых межрайонными отделениями
пренатальной диагностики с кабинетами
антенатальной охраны плода,
организованными в соответствии с
приказом Минздрава Челябинской области,
на амбулаторном этапе беременным
женщинам при сроках беременности 11 - 14
недель (I ультразвуковой скрининг с
забором образцов крови для определения
материнских сывороточных маркеров) и 19 -
21 неделя (II ультразвуковой скрининг)
осуществляется по тарифам на оплату
медицинских услуг "Пренатальная
диагностика (I ультразвуковой скрининг с
забором образцов крови для определения
материнских сывороточных маркеров)",
"Пренатальная диагностика (II
ультразвуковой скрининг)" в соответствии
с таблицей 1 приложения 9/7 к Тарифному
соглашению.
     1.2.22.5. Оплата медицинских услуг,
оказываемых межрайонным отделением
пренатальной диагностики с кабинетом
антенатальной охраны плода,
организованным на базе медицинской
организации в соответствии с приказом
Минздрава Челябинской области от 08.12.2020 N
2222, при проведении биохимического
скрининга в I триместре беременности, на
амбулаторном этапе беременным женщинам
осуществляется по тарифам на оплату
медицинских услуг:
     - "Пренатальная диагностика
(биохимический скрининг)";
     - "Пренатальная диагностика
(биохимический скрининг с определением
плацентарного фактора роста (PLGF))"
(беременным женщинам группы высокого
риска развития преэклампсии)
     в соответствии с таблицей 1
приложения 9/7 к Тарифному соглашению.
     1.2.22.5-1. Оплата исследований на
наличие вирусов гриппа, проводимых в
соответствии с приказом Минздрава
Челябинской области от 21.12.2022 N 1881,
осуществляется по тарифам на оплату
медицинских услуг в соответствии с
таблицей 1 приложения 9/7 к Тарифному
соглашению.
     (п. 1.2.22.5-1 введен Дополнительным
соглашением к Тарифному соглашению в
сфере обязательного медицинского
страхования Челябинской области от
27.04.2023 N 3/199-ОМС)
     1.2.22.6. Оплата медицинских услуг,
оказанных в дополнение к базовой
программе ОМС в части проведения
прижизненных патологоанатомических
исследований операционно-биопсийного
материала (гистологических
исследований) при заборе материала в
амбулаторных условиях, за исключением
выявления онкологических заболеваний;
при заборе материала в амбулаторных
условиях и направлении на проведение
иммуногистохимических исследований;
компьютерной томографии, осуществляется
в пределах объемов предоставления
медицинской помощи, установленных
решением Комиссии, по тарифам на оплату
медицинских услуг в соответствии с
таблицей 2 приложения 9/7 к Тарифному
соглашению.
     1.2.23. Оплата медицинской помощи за
единицу объема медицинской помощи (за
исключением оплаты услуг диализа).
     1.2.23.1. При оплате медицинской помощи
за единицу объема медицинской помощи (за
исключением оплаты услуг диализа) размер
финансового обеспечения медицинской
организации складывается исходя из
фактически оказанных объемов
медицинской помощи и определяется по
следующей формуле:
      
     ФОФАКТ - фактический размер
финансового обеспечения медицинской
организации, рублей;
     ОМП - фактические объемы первичной
медико-санитарной помощи, оказанной в
амбулаторных условиях, обращений
(посещений, услуг);
     Т - тариф за единицу объема
первичной медико-санитарной помощи,
оказанной в амбулаторных условиях,
рублей.
     1.2.23.2. Обращения, сформированные из
двух и более посещений, оплачиваются по
тарифам на оплату медицинской помощи за
обращение, установленным приложениями
9/1, 9/2, 9/5, 9/6 к Тарифному соглашению.
     1.2.24. Оплата медицинской помощи с
применением методов диализа 
     1.2.24.1. Оплата медицинской помощи при
проведении заместительной почечной
терапии методом диализа пациентам,
получающим услуги диализа, в
амбулаторных условиях осуществляется по
стоимости услуг диализа.
     Стоимость услуг диализа (Cд) в
амбулаторных условиях определяется по
следующей формуле:
     Сд = (Тдi x Чуслуг фi) + (Тiдоп x Чуслуг
фi), где:
     Тдi - тариф на оплату услуг диализа;
     Чуслуг фi - количество фактически
выполненных услуг диализа.
     Тариф на оплату услуг диализа
определяется по следующей формуле:
     Тдi = БТгд (БТпд) x КЗд x (КДд x Дзп + (1 -
Дзп)), где:
     БТгд - базовый тариф на оплату
гемодиализа по коду услуги А18.05.002
"Гемодиализ";
     БТпд - базовый тариф на оплату
перитонеального диализа по коду услуги
А18.30.001 "Перитонеальный диализ";
     КЗд - коэффициент относительной
затратоемкости услуг диализа,
применяемый к базовому тарифу на оплату
диализа, установлен приложением 15 к
Тарифному соглашению;
     КДд - коэффициент дифференциации
установлен в размере 1,113;
     Дзп - доля расходов на заработную
плату в услуге диализа установлена
приложением 15 к Тарифному соглашению;
     Тiдоп - дополнительный тариф на
оплату проезда к месту лечения и обратно
пациентов, страдающих почечной
недостаточностью и нуждающихся в
проведении заместительной почечной
терапии, в дополнение к базовой
программе ОМС, рассчитанный для i-ой
медицинской организации и применяемый к
стоимости услуг гемодиализа:
      
     ФОiдост - сумма финансового
обеспечения на оплату проезда к месту
лечения и обратно пациентов, страдающих
почечной недостаточностью и нуждающихся
в проведении заместительной почечной
терапии, на 2023 год, установленная для i-ой
медицинской организации;
     ФОiдостф - фактическая сумма
средств, направленных на оплату проезда
к месту лечения и обратно пациентов,
страдающих почечной недостаточностью и
нуждающихся в проведении заместительной
почечной терапии, i-ой медицинской
организации;
     Чуслуг - количество медицинских
услуг гемодиализа в амбулаторных
условиях, установленных Комиссией на 2023
год;
     Чуслуг ф - фактическое количество
медицинских услуг гемодиализа в
амбулаторных условиях.
     1.2.24.2. Случай лечения при проведении
диализа в амбулаторных условиях
подлежит оплате, в том числе при
пересечении сроков лечения при оказании
медицинской помощи в стационарных
условиях и в условиях дневных
стационаров.
     1.2.24.3. Оплата проезда к месту
лечения и обратно пациентов, страдающих
почечной недостаточностью и нуждающихся
в проведении заместительной почечной
терапии, установленная в дополнение к
базовой программе ОМС, производится по
дополнительному тарифу на оплату
проезда к месту лечения и обратно
пациентов, страдающих почечной
недостаточностью и нуждающихся в
проведении заместительной почечной
терапии, в рамках утвержденных бюджетных
ассигнований, в соответствии с
установленными Министерством
здравоохранения Челябинской области
медицинским организациям суммами
финансового обеспечения на оплату
проезда к месту лечения и обратно
пациентов, страдающих почечной
недостаточностью и нуждающихся в
проведении заместительной почечной
терапии, на 2023 год (приложение 18/1 к
Тарифному соглашению).
     За счет средств ОМС не оплачивается
проезд к месту лечения и обратно
пациентов, страдающих почечной
недостаточностью и нуждающихся в
проведении заместительной почечной
терапии, застрахованных за пределами
Челябинской области.
     1.2.25. Оплата стоматологической
медицинской помощи 
     1.2.25.1. Оплата стоматологической
медицинской помощи в амбулаторных
условиях, оказанной взрослому и детскому
застрахованному населению,
осуществляется:
     1) за обращение по поводу
заболевания (стоимость обращения
формируется как произведение общего
количества УЕТ оказанных медицинских
услуг и стоимости 1 УЕТ) с кратностью не
менее 2-х посещений;
     2) за разовое посещение в связи с
заболеванием, стоимость которого
формируется с учетом количества УЕТ
оказанных медицинских услуг в посещении
и стоимости 1 УЕТ, в случае лечения с
недостигнутым результатом лечения,
содержащим однократное посещение к
одному врачу в течение одного дня;
     3) за посещение медицинских
работников, имеющих среднее медицинское
образование, ведущих самостоятельный
прием, стоимость которого формируется с
учетом количества УЕТ оказанных
медицинских услуг в посещении и
стоимости 1 УЕТ;
     4) за посещение с профилактической
целью, стоимость которого формируется с
учетом количества УЕТ оказанных
медицинских услуг в посещении и
стоимости 1 УЕТ;
     5) за посещение при оказании
медицинской помощи в неотложной форме,
стоимость которого формируется с учетом
количества УЕТ оказанных медицинских
услуг в посещении и стоимости 1 УЕТ.
     Стоимость 1 УЕТ установлена
таблицами 1, 2 приложения 10 к Тарифному
соглашению. Количество УЕТ оказанных
медицинских услуг в посещении
формируется в соответствии с таблицей 1
приложения 6 к Тарифному соглашению.
     Стоматологическая медицинская
помощь, оказанная в кабинетах при
стационарах всех типов, в счет на оплату
амбулаторной медицинской помощи
медицинской организации, финансируемой
СМО, не включается.
     1.2.25.2. Оплата стоматологической
медицинской помощи, оказанной в
дополнение к базовой программе ОМС
медицинскими организациями в
соответствии с приказом Министерства
здравоохранения Челябинской области от
24.12.2020 N 2382 "Об организации отбора и
направления на льготное
зубопротезирование отдельных категорий
граждан" (далее - стоматологическая
помощь, установленная в дополнение к
базовой программе ОМС), осуществляется в
пределах объемов предоставления
медицинской помощи, установленных
решением Комиссии, в рамках утвержденных
бюджетных ассигнований за законченный
случай лечения заболевания по коду МКБ-10
К08.1 "Потеря зубов вследствие несчастного
случая, удаления или локальной
периодонтальной болезни" с кратностью от
2-х посещений.
     1.2.25.2.1. Стоимость 1 УЕТ установлена
таблицей 3 приложения 10 к Тарифному
соглашению. Количество УЕТ оказанных
медицинских услуг в обращении
формируется в соответствии с таблицей 2
приложения 6 к Тарифному соглашению.
Глава 2. ОПЛАТА МЕДИЦИНСКОЙ ПОМОЩИ,
ОКАЗАННОЙ В СТАЦИОНАРНЫХ УСЛОВИЯХ 
     2.1. Основные подходы к оплате
медицинской помощи по КСГ.
     2.1.1. Отнесение случая лечения
заболевания к конкретной КСГ
осуществляется в соответствии с
Методическими рекомендациями, на
основании всех возможных комбинаций
классификационных критериев.
     Особенности формирования и порядок
оплаты отдельных КСГ устанавливаются и
реализуются в соответствии с
Приложением 9 к Методическим
рекомендациям.
     2.1.2. Стоимость законченного случая
лечения в круглосуточном стационаре по
КСГ (ССкс).
     2.1.2.1. Стоимость одного случая
госпитализации в стационаре (ССкс) по КСГ
(за исключением случаев, порядок оплаты
которых установлен пунктом 2.1.2.2)
определяется по следующей формуле:
     ССКС = БСКС x КД x КЗКС x КСКС x КУСМО +
БСКС x КД* x КСЛП, где:
     * - КД не применяется для КСЛП
"проведение сопроводительной
лекарственной терапии при
злокачественных новообразованиях у
взрослых в соответствии с клиническими
рекомендациями" (равно единице).
     БСКС - базовая ставка без учета
коэффициента дифференциации, рублей;
     КЗКС - коэффициент относительной
затратоемкости КСГ (подгруппы в составе
КСГ), к которой отнесен данный случай
госпитализации в стационарных условиях;
     КСКС - коэффициент специфики КСГ, к
которой отнесен данный случай
госпитализации;
     КУСМО - коэффициент уровня
(подуровня) медицинской организации, в
которой был пролечен пациент;
     КД - коэффициент дифференциации,
рассчитанный в соответствии с
постановлением Правительства РФ от
05.05.2012 N 462;
     КСЛП - коэффициент сложности
лечения пациента (при необходимости,
сумма применяемых КСЛП).
     В случае если в рамках одной
госпитализации возможно применение
нескольких КСЛП, итоговое значение КСЛП
рассчитывается путем суммирования
соответствующих КСЛП:
     КСЛПсумм = КСЛП1 + КСЛП2 + КСЛПn 
     При отсутствии оснований
применения КСЛП, предусмотренных
Приложением 8 к Тарифному соглашению,
значение параметра КСЛП при расчете
стоимости случая лечения принимается
равным 0.
     2.1.2.2. Расчет стоимости случаев
госпитализации в круглосуточном
стационаре по КСГ, составляющих
исключение из порядка расчета стоимости,
установленного п. 2.1.2.1:
     1) стоимость случая госпитализации
в круглосуточном стационаре по КСГ (ССкс)
с оказанием пациентам услуг диализа
определяется по следующей формуле:
     ССКС = (БСКС x КД x КЗКС x КСКС x КУСМО +
БСКС x КД* x КСЛП) + (Тдi x Чуслуг фi), где:
     Тдi - тариф на оплату услуг диализа;
     Чуслуг фi - количество фактически
выполненных услуг диализа.
     Тариф на оплату услуг диализа
(приложение 15 к Тарифному соглашению)
определяется по следующей формуле:
     Тдi = БТгд x КЗд x (КДд x Дзп + (1 - Дзп)),
где:
     БТгд - базовый тариф на оплату
гемодиализа по коду услуги А18.05.002
"Гемодиализ";
     КЗд - коэффициент относительной
затратоемкости услуг диализа,
применяемый к базовому тарифу на оплату
гемодиализа (приложение 15 к Тарифному
соглашению);
     КДд - коэффициент дифференциации
установлен в размере 1,113;
     Дзп - доля расходов на заработную
плату в услуге диализа установлена в
размере 22 %;
     2) стоимость одного случая
госпитализации по КСГ, в составе которой
Программой установлена доля заработной
платы и прочих расходов, определяется по
следующей формуле:
     ССКС = БСКС x КЗКС x ((1 - ДЗП) + ДЗП x
КСКС x КУСМО x КД) + БСКС x КД* x КСЛП, где:
     ДЗП - доля заработной платы и прочих
расходов в структуре стоимости КСГ,
установленная в приложении 7/7 к
Тарифному соглашению;
     3) стоимость одного случая
госпитализации по КСГ, в составе которой
Программой установлена доля заработной
платы и прочих расходов, с оказанием
услуг диализа определяется по следующей
формуле:
     ССКС = (БСКС x КЗКС x ((1 - ДЗП) + ДЗП x
КСКС x КУСМО x КД) + БС x КД* x КСЛП) + (Тдi x
Чуслуг фi)
     2.1.3. Размер финансового обеспечения
медицинской организации по КСГ
рассчитывается как сумма стоимости всех
случаев госпитализации по КСГ в
круглосуточном стационаре:
      
     ФОМО - размер финансового
обеспечения медицинской организации,
рублей;
     ССКС - стоимость случая
госпитализации по КСГ, рублей.
     2.1.4. Длительность лечения в
круглосуточных стационарах учитывается
следующим образом: от даты поступления
пациента в круглосуточный стационар до
даты его выбытия, включая выходные дни.
При подсчете дней лечения в
круглосуточном стационаре день
поступления и день выбытия считаются как
один койко-день.
     2.2. Порядок оплаты отдельных
случаев оказания медицинской помощи по
КСГ.
     2.2.1. Оплата прерванных случаев
оказания медицинской помощи.
     2.2.1.1. К прерванным случаям оказания
медицинской помощи относятся:
     1. случаи прерывания лечения по
медицинским показаниям;
     2. случаи прерывания лечения при
переводе пациента из одного отделения
медицинской организации в другое;
     3. случаи изменения условий
оказания медицинской помощи (перевода
пациента из стационарных условий в
условия дневного стационара);
     4. случаи перевода пациента в другую
медицинскую организацию;
     5. случаи прерывания лечения
вследствие преждевременной выписки
пациента из медицинской организации,
обусловленной его письменным отказом от
дальнейшего лечения;
     6. случаи лечения, закончившиеся
летальным исходом;
     7. случаи оказания медицинской
помощи с проведением лекарственной
терапии при злокачественных
новообразованиях, в ходе которой
медицинская помощь по объективным
причинам оказана пациенту не в полном
объеме по сравнению с выбранной для
оплаты схемой лекарственной терапии, в
том числе в случае прерывания лечения
при возникновении абсолютных
противопоказаний к продолжению лечения,
не купируемых при проведении
симптоматического лечения;
     8. законченные случаи лечения (не
являющиеся прерванными по основаниям 1 -
7) длительностью 3 дня и менее по КСГ, не
включенным в перечень КСГ, для которых
оптимальным сроком лечения является
период менее 3 дней включительно,
установленным в приложении 7/3 к
Тарифному соглашению;
     9. случаи медицинской реабилитации
по КСГ st37.002, st37.003, st37.006, st37.007, st37.024, st37.025,
st37.026 с длительностью лечения менее
количества дней, определенных
Программой и приложением 6 к
Методическим рекомендациям (далее -
Группировщик КС).
     2.2.1.2. В случае если перевод пациента
из одного отделения медицинской
организации в другое обусловлен
возникновением (наличием) нового
заболевания или состояния, относящегося
к тому же классу МКБ 10, что и диагноз
основного заболевания, и (или)
являющегося следствием закономерного
прогрессирования основного заболевания,
внутрибольничной инфекции или
осложнением основного заболевания, что
не соответствует критериям оплаты
случая лечения по 2 КСГ, оплата
производится в рамках одного случая
лечения по КСГ с наибольшим размером
оплаты, а отнесение такого случая к
прерванным по основанию перевода
пациента из одного отделения
медицинской организации в другое не
производится.
     При оплате случаев лечения,
подлежащих оплате по 2 КСГ по основаниям 2
- 9, установленным пунктом 2.2.3, случай до
перевода не может считаться прерванным
по основаниям прерванности 2 - 4 пункта
2.2.1.1.
     Приложением 7/3 к Тарифному
соглашению определен перечень КСГ, для
которых длительность 3 дня и менее
является оптимальными сроками лечения.
Законченный случай оказания медицинской
помощи по данным КСГ не может быть
отнесен к прерванным случаям по
основаниям, связанным с длительностью
лечения, и оплачивается в полном объеме
независимо от длительности лечения. При
этом в случае наличия оснований
прерванности, не связанных с
длительностью лечения, случай оказания
медицинской помощи оплачивается как
прерванный на общих основаниях.
     2.2.1.3. Доля оплаты случаев оказания
медицинской помощи, являющихся
прерванными, за исключением основания,
связанного с проведением лекарственной
терапии при ЗНО не в полном объеме,
определяется в зависимости от
выполнения хирургического
вмешательства и (или) проведения
тромболитической терапии, являющихся
классификационным критерием отнесения
данного случая лечения к конкретной КСГ.
     В случае если пациенту было
выполнено хирургическое вмешательство и
(или) проведена тромболитическая
терапия, случай оплачивается в размере:
     - при длительности лечения 3 дня и
менее - 80 % стоимости КСГ;
     - при длительности лечения более 3-х
дней - 85 % стоимости КСГ.
     Перечень КСГ круглосуточного
стационара, которые предполагают
хирургическое вмешательство или
тромболитическую терапию, установлены
приложением 7/5 к Тарифному соглашению.
     В случае если хирургическое
вмешательство и (или) тромболитическая
терапия не проводились, случай
оплачивается в размере:
     - при длительности лечения 3 дня и
менее - 40 % стоимости КСГ;
     - при длительности лечения более 3-х
дней - 50 % стоимости КСГ.
     2.2.1.4. Случаи проведения
лекарственной терапии пациентам в
возрасте 18 лет и старше и случаи
медицинской реабилитации, являющиеся
прерванными по основаниям, изложенным в
подпунктах 7 и 9 пункта 2.2.1.1, оплачиваются
аналогично случаям лечения, когда
хирургическое вмешательство и (или)
тромболитическая терапия не
проводились.
     2.2.2. Особенности оплаты случаев
проведения лекарственной терапии при
лечении пациентов в возрасте 18 лет и
старше.
     Режим введения лекарственных
препаратов в описании схем
лекарственной терапии включает в себя
наименование лекарственных препаратов,
длительность цикла, количество дней
введения, способ введения (в случае
указания в схеме), скорость введения
(капельно, струйно, в случае указания в
схеме), разовую дозу препарата
(фиксированная величина или разовая доза
в пересчете на массу тела или площадь
поверхности тела пациента).
     Если наименование лекарственных
препаратов, способ введения (в случае
указания в схеме) или скорость введения
(в случае указания в схеме) не
соответствуют описанию ни одной схемы
лекарственной терапии, представленной в
Группировщике КС, для оплаты однозначно
выбирается схема лекарственной терапии
sh9003 "Прочие схемы лекарственной терапии",
а случай считается законченным и
оплачивается в полном объеме, если он не
является прерванным по основаниям 1 - 6
пункта 2.2.1.1.
     Схема лекарственной терапии
считается выполненной полностью и
оплачивается в полном объеме (при
отсутствии оснований считать случай
прерванным по иным основаниям
прерванности) в следующих случаях:
     1. при условии проведения лечения в
полном соответствии с одной из схем
лекарственной терапии, указанных в
Группировщике КС;
     2. при условии снижения дозы
химиотерапевтических препаратов и/или
увеличения интервала между введениями
по сравнению с указанными в столбце
"Наименование и описание схемы"
Группировщика КС при соблюдении
следующих условий, отраженных в
первичной медицинской документации
(общее количество дней введения должно
точно соответствовать количеству дней
введения, предусмотренному в описании
схемы лекарственной терапии):
     - снижение дозы произведено в
соответствии с инструкцией к
химиотерапевтическому препарату в связи
усилением токсических реакций или с
тяжестью состояния пациента;
     - увеличение интервала между
введениями произведено в связи с
медицинскими противопоказаниями к
введению препаратов в день, указанный в
описании схемы.
     Случаи, в ходе которых
лекарственная терапия проведена в
полном объеме, предусмотренном
соответствующей схемой лекарственной
терапии, оплачиваются по
соответствующей КСГ в полном объеме
независимо от наличия иных оснований
считать случай лечения прерванным.
     Все остальные случаи (в том числе
случаи проведения лекарственной
терапии, при которых снижение дозы
химиотерапевтических препаратов и/или
увеличение интервала между введениями
произведено по другим причинам) являются
прерванными и оплачиваются в
соответствии с правилами оплаты
прерванных случаев лечения.
     Учитывая, что проведение лучевой
терапии предусмотрено начиная с одной
фракции, оплата случаев лечения
осуществляется путем отнесения случая к
соответствующей КСГ исходя из
фактически проведенного количества дней
облучения (фракций).
     2.2.3. Медицинская помощь,
оказываемая пациентам одновременно по
двум и более КСГ, осуществляется в
следующих случаях:
     1. перевод пациента из одного
отделения медицинской организации в
другое в рамках круглосуточного
стационара (в том числе в случае перевода
из круглосуточного стационара в дневной
стационар), если это обусловлено
возникновением (наличием) нового
заболевания или состояния, входящего в
другой класс МКБ 10 и не являющегося
следствием закономерного
прогрессирования основного заболевания,
внутрибольничной инфекции или
осложнением основного заболевания, а
также при переводе пациента из одной
медицинской организации в другую, оба
случая лечения заболевания подлежат
оплате в рамках соответствующих КСГ, при
этом случай лечения до осуществления
перевода относится к прерванным по
установленным основаниям прерванности;
     2. проведение медицинской
реабилитации пациента после завершения
лечения в той же медицинской организации
по поводу заболевания, по которому
осуществлялось лечение;
     3. оказание медицинской помощи,
связанной с установкой, заменой
порт-системы (катетера) для
лекарственной терапии злокачественных
новообразований с последующим
проведением лекарственной терапии или
после хирургического лечения в рамках
одной госпитализации;
     4. этапное хирургическое лечение
при злокачественных новообразованиях,
не предусматривающее выписку пациента
из стационара;
     5. проведение реинфузии аутокрови,
баллонной внутриаортальной
контрпульсации или экстракорпоральной
мембранной оксигенации на фоне лечения
основного заболевания;
     6. дородовая госпитализация
пациентки в отделение патологии
беременности в случае пребывания в
отделении патологии беременности в
течение 6 дней и более с последующим
родоразрешением.
     Также осуществляется оплата по
двум КСГ в случае дородовой
госпитализации пациентки в отделение
патологии беременности и пребывания в
нем в течение 2 дней и более с последующим
родоразрешением при оказании
медицинской помощи по следующим МКБ 10:
     - O14.1 Тяжелая преэклампсия;
     - O34.2 Послеоперационный рубец матки,
требующий предоставления медицинской
помощи матери;
     - O36.3 Признаки внутриутробной
гипоксии плода, требующие
предоставления медицинской помощи
матери;
     - O36.4 Внутриутробная гибель плода,
требующая предоставления медицинской
помощи матери;
     - O42.2 Преждевременный разрыв
плодных оболочек, задержка родов,
связанная с проводимой терапией;
     7. наличие у пациента тяжелой
сопутствующей патологии, требующей в
ходе оказания медицинской помощи в
период госпитализации имплантации в
организм пациента медицинского изделия;
     8. проведение иммунизации против
респираторно-синцитиальной вирусной
инфекции в период госпитализации по
поводу лечения нарушений, возникающих в
перинатальном периоде, являющихся
показанием к иммунизации;
     9. проведение антимикробной терапии
инфекций, вызванных полирезистентными
микроорганизмами.
     Выставление случая только по КСГ
st36.013 - st36.015 "Проведение антимикробной
терапии инфекций, вызванных
полирезистентными микроорганизмами
(уровень 1 - 3)", без основной КСГ, а также
выставление случая по двум КСГ из
перечня st36.013 - st36.015 "Проведение
антимикробной терапии инфекций,
вызванных полирезистентными
микроорганизмами (уровень 1 - 3)" с
пересекающимися сроками лечения не
допускается.
     2.2.4. В стоимость КСГ по профилю
"акушерство и гинекология",
предусматривающих родоразрешение (КСГ
st02.003 "Родоразрешение", КСГ st02.004 "Кесарево
сечение"), включены расходы на пребывание
новорожденного в медицинской
организации, где произошли роды.
Пребывание здорового новорожденного в
медицинской организации в период
восстановления здоровья матери после
родов не является основанием для
предоставления оплаты по КСГ по профилю
"неонатология".
     2.2.5. В случае если у пациента после
оказания специализированной
медицинской помощи определяются
показания к получению медицинской
помощи с применением метода лечения,
включенного в Перечень видов ВМП (Раздел
I приложения N 1 к Программе), либо после
оказания высокотехнологичной
медицинской помощи определяются
показания к оказанию специализированной
медицинской помощи, указанные случаи
оплачиваются дважды: в рамках
специализированной медицинской помощи
по соответствующей КСГ, а в рамках
высокотехнологичной медицинской помощи
- по тарифам на оплату
высокотехнологичной медицинской помощи,
установленным приложением 16 к Тарифному
соглашению. При этом предоперационный и
послеоперационный периоды включаются в
законченный случай лечения как для
специализированной, так и для
высокотехнологичной медицинской помощи,
и не могут быть представлены к оплате по
второму тарифу.
     Медицинская помощь в неотложной и
экстренной формах, а также медицинская
реабилитация в соответствии с порядками
оказания медицинской помощи, на основе
клинических рекомендаций и с учетом
стандартов медицинской помощи, может
быть предоставлена родителям (законным
представителям), госпитализированным по
уходу за детьми, страдающими тяжелыми
хроническими инвалидизирующими
заболеваниями, требующими
сверхдлительных сроков лечения, при
оказании детям специализированной либо
высокотехнологичной медицинской помощи
и оплачивается медицинским организациям
педиатрического профиля, имеющим
необходимые лицензии, в соответствии с
установленными способами оплаты.
     2.2.6. Оплата случаев лечения при
оказании услуг диализа.
     2.2.6.1. Оплата случаев оказания
медицинской помощи пациентам,
получающим услуги диализа в условиях
круглосуточного стационара,
осуществляется за услуги диализа с
учетом фактического объема услуг, по
тарифам, установленным приложением 15 к
Тарифному соглашению, в сочетании:
     - с оплатой по основной КСГ,
являющейся поводом для госпитализации, в
том числе при госпитализации на койки
реанимационного профиля;
     - с оплатой случая оказания
высокотехнологичной медицинской помощи,
в том числе при госпитализации на койки
реанимационного профиля.
     К законченному случаю проведения
диализа относится лечение в течение
всего периода нахождения пациента в
стационаре.
     В период лечения в круглосуточном
стационаре пациент, получающий диализ,
должен обеспечиваться всеми
необходимыми лекарственными
препаратами, в том числе для
профилактики осложнений.
     2.2.6.2. Оплата случаев лечения
пациентов с острым и устойчивым
нарушением функции почек (острая
почечная недостаточность и хронические
болезни почек) с проведением
заместительной почечной терапии
методами диализа осуществляется за
законченный случай лечения заболевания,
включенного в КСГ st18.001 "Почечная
недостаточность" или КСГ st18.002
"Формирование, имплантация,
реконструкция, удаление, смена доступа
для диализа" и стоимости услуг диализа,
оплачиваемых с учетом их фактического
количества и применяемых дополнительно
к оплате по КСГ в рамках одного случая
лечения.
     2.2.7. Пациентам в возрасте до 21 года
при отдельных онкологических
заболеваниях с целью продолжения
лечения, которое начато в возрасте до 18
лет, первичная специализированная
медико-санитарная помощь,
специализированная, в том числе
высокотехнологичная, медицинская помощь
может быть оказана в медицинских
организациях, оказывающих медицинскую
помощь детям по профилю "детская
онкология", в случаях и при соблюдении
условий, которые установлены порядком
оказания медицинской помощи,
утвержденным Министерством
здравоохранения Российской Федерации.
     2.2.8. Особенности оплаты отдельных
случаев хирургического лечения
пациентов с онкологическими
заболеваниями.
     Отнесение случая к онкологическим
хирургическим КСГ производится при
комбинации диагнозов C00 - C80, C97 и D00 - D09 и
услуг, обозначающих выполнение
оперативного вмешательства.
     Если больному со злокачественным
новообразованием выполнялось
оперативное вмешательство, не
являющееся классификационным критерием
для онкологических хирургических групп,
то отнесение такого случая к КСГ
производится по общим правилам, то есть к
КСГ, формируемой по коду выполненного
хирургического вмешательства.
     В случае если злокачественное
новообразование выявлено в результате
госпитализации с целью оперативного
лечения по поводу неонкологического
заболевания (доброкачественное
новообразование, кишечная
непроходимость и др.), отнесение к КСГ и
оплата осуществляются в соответствии с
классификационными критериями по коду
медицинской услуги без учета кода
диагноза злокачественного
новообразования. Данная информация в
обязательном порядке отражается в
реестре счетов.
     2.2.9. Оплата случаев лечения
пациентов с применением коэффициентов
сложности лечения пациента (далее - КСЛП)
осуществляется в случаях и по
основаниям, установленных Приложением 8
к Тарифному соглашению.
     В случаях проведения
сопроводительной терапии,
предусмотренной соответствующими
клиническими рекомендациями, оплата
стационарной медицинской помощи,
оказанной по КСГ st19.084 - st19.089, st19.094 - st19.102,
st19.125 - st19.143, осуществляется с применением
КСЛП "Проведение сопроводительной
лекарственной терапии при
злокачественных новообразованиях у
взрослых в соответствии с клиническими
рекомендациями". Перечень схем
сопроводительной лекарственной терапии
для применения данного КСЛП установлен
таблицей 4 приложения 8 к Тарифному
соглашению.
     При использовании схем
лекарственной терапии,
предусматривающих применение
лекарственных препаратов филграстим,
деносумаб, эмпэгфилграстим, КСЛП
"Проведение сопроводительной
лекарственной терапии при
злокачественных новообразованиях у
взрослых" не применяется.
     КСЛП "Проведение тестирования на
выявление респираторных вирусных
заболеваний (гриппа, новой
коронавирусной инфекции COVID-19) в период
госпитализации" не может применяться при
оплате случаев лечения по КСГ st12.012
"Грипп, вирус гриппа идентифицирован" и
КСГst12.015 - st12.019, используемых для оплаты
случаев лечения новой коронавирусной
инфекции COVID-19.
     2.2.10. Особенности формирования КСГ и
оплаты медицинской помощи для случаев
лечения пациентов с коронавирусной
инфекцией COVID-19 (st12.015 - st12.019).
     2.2.10.1. Формирование групп
осуществляется по коду МКБ 10 (U07.1 или U07.2)
в сочетании с кодами иного
классификационного критерия: "stt1" - "stt4",
отражающих тяжесть течения заболевания,
или "stt5", отражающим признак долечивания
пациента с коронавирусной инфекцией
COVID-19.
     Тяжесть течения заболевания
определяется в соответствии с
классификацией COVID-19 по степени тяжести,
представленной во Временных
методических рекомендациях
"Профилактика, диагностика и лечение
новой коронавирусной инфекции (COVID-19)",
утвержденных Министерством
здравоохранения Российской Федерации.
Каждому уровню тяжести состояния
соответствует отдельная КСГ st12.015 - st12.018
(уровни 1 - 4).
     Коэффициенты относительной
затратоемкости по КСГ st12.016 - st12.018 (уровни
2 - 4), соответствующим случаям
среднетяжелого, тяжелого и крайне
тяжелого течения заболевания, учитывают
период долечивания пациента.
     Оплата случаев оказания
медицинской помощи пациентам со
среднетяжелым течением коронавирусной
инфекции COVID-19 с применением
лекарственного препарата: левилимаб
(stt2.2), олокизумаб (stt2.3), тоцилизумаб (stt2.4),
сарилумаб (stt2.5), анакинра (stt2.7),
ремдесивир (stt2.6), иммуноглобулин
человека против COVID-19 (stt2.8), синтетическая
малая интерферирующая рибонуклеиновая
кислота (миРНК) (stt2.9), осуществляется по
КСГ st12.016.2 "Коронавирусная инфекция COVID-19
(уровень 2.2)".
     Оплата случаев оказания
медицинской помощи пациентам со
среднетяжелым течением коронавирусной
инфекции COVID-19 без применения
вышеизложенных лекарственных
препаратов (stt2.1) осуществляется по КСГ
st12.016.1 "Коронавирусная инфекция COVID-19
(уровень 2.1)".
     2.2.10.2. Правила оплаты
госпитализаций в случае перевода
пациента на долечивание:
     - в пределах одной медицинской
организации - оплата в рамках одного
случая оказания медицинской помощи (по
КСГ с наибольшей стоимостью
законченного случая лечения
заболевания);
     - в другую медицинскую организацию -
оплата случая лечения до перевода
осуществляется за прерванный случай
оказания медицинской помощи по КСГ,
соответствующей тяжести течения
заболевания. Оплата законченного случая
лечения после перевода осуществляется
по КСГ st12.019 "Коронавирусная инфекция
COVID-19 (долечивание)". Оплата прерванных
случаев после перевода осуществляется в
общем порядке;
     - в амбулаторных условиях - оплата
случая лечения до перевода
осуществляется за прерванный случай
оказания медицинской помощи по КСГ,
соответствующей тяжести течения
заболевания.
     2.2.11. Оплата случаев оказания
медицинской помощи по профилю
"Медицинская реабилитация"
осуществляется по КСГ st37.001 - st37.013, st37.021 -
st37.026.
     Случай реабилитации по КСГ (st37.002,
st37.003, st37.006, st37.007, st37.024, st37.025, st37.026)
длительностью менее предусмотренного
соответствующим классификационным
критерием значения, указанного в
Группировщике по КС, является прерванным
и оплачивается в соответствии с пунктом
2.2.1.
     Применение роботизированных
систем и/или введение ботулинического
токсина для КСГ не является
обязательным.
     Оплата первого этапа медицинской
реабилитации осуществляется с
использованием коэффициента сложности
лечения пациентов.
     КСЛП "Проведение 1 этапа
медицинской реабилитации пациентов"
применяется один раз к случаю лечения, в
том числе в случае, если оплата случая
лечения осуществляется по двум КСГ.
     2.3. Оплата высокотехнологичной
медицинской помощи.
     2.3.1. За счет средств ОМС
оплачивается высокотехнологичная
медицинская помощь, включенная в раздел I
приложения к Программе.
     Отнесение случая оказания
медицинской помощи к
высокотехнологичной медицинской помощи
осуществляется при соответствии
наименования вида высокотехнологичной
медицинской помощи, кодов МКБ 10, модели
пациента, вида лечения и метода лечения
аналогичным параметрам, установленным
Программой перечнем видов
высокотехнологичной медицинской помощи,
содержащим в том числе методы лечения и
источники финансового обеспечения
высокотехнологичной медицинской помощи
(далее - Перечень).
     Оплата высокотехнологичной
медицинской помощи, оказанной в
круглосуточном стационаре, производится
по установленным тарифам на оплату
высокотехнологичной медицинской помощи,
оказанной по ОМС взрослому и детскому
застрахованному населению Челябинской
области в круглосуточном стационаре
(ТВМПij), рассчитанным по формуле:
     ТВМПij = НФЗВМПj x ((1 - ДЗПj) + ДЗПj x КДi),
где:
     НФЗВМПj - норматив финансовых
затрат на единицу объема предоставления
j-ой высокотехнологичной медицинской
помощи, установленный приложением 1 (I
раздел) к Программе;
     ДЗПj - доля заработной платы в
составе норматива финансовых затрат на
оказание j-ой высокотехнологичной
медицинской помощи, установленного
приложением 1 к Программе;
     КДi - коэффициент дифференциации,
рассчитанный в соответствии с
постановлением Правительства РФ от
05.05.2012 N 462.
     В случае если хотя бы один из
вышеуказанных параметров не
соответствует Перечню, оплата случая
оказания медицинской помощи
осуществляется в рамках
специализированной медицинской помощи
по соответствующей КСГ исходя из
выполненной хирургической операции и
(или) других применяемых медицинских
технологий.
     При этом в рамках одной
госпитализации допускается оплата
одного случая ВМП на одной профильной
койке и койке реанимации и интенсивной
терапии (при необходимости) или койке
реанимации и интенсивной терапии при
летальном исходе.
     2.4. Оплата медицинской помощи,
оказанной в дополнение к базовой
программе ОМС, за счет средств
межбюджетных трансфертов Челябинской
области.
     2.4.1. Оплата медицинских услуг,
оказанных в дополнение к базовой
программе ОМС, в части проведения
прижизненных патологоанатомических
исследований операционно-биопсийного
материала (гистологических
исследований) при заборе материала в
стационарных условиях для исследования
последов в родильных отделениях
осуществляется в пределах объемов
предоставления медицинской помощи,
установленных решением Комиссии, по
тарифу на оплату медицинских услуг
"Гистологическое исследование 2
категории сложности (сверх БП ОМС)" в
соответствии с таблицей 2 приложения 9/7 к
Тарифному соглашению.
     2.4.2. Оплата высокотехнологичной
медицинской помощи, оказанной взрослому
застрахованному населению Челябинской
области, включенной в раздел I приложения
к Программе, осуществляется в рамках
объемов, установленных в дополнение к
базовой программе ОМС, по профилям
медицинской помощи "кардиология",
"сердечно-сосудистая хирургия":
     - по модели пациента "нестабильная
стенокардия, острый и повторный инфаркт
миокарда (с подъемом сегмента ST
электрокардиограммы)" по методу лечения
"баллонная вазодилатация с установкой 1
стента в сосуд (сосуды)";
     - по модели пациента "нестабильная
стенокардия, острый и повторный инфаркт
миокарда (с подъемом сегмента ST
электрокардиограммы)" по методу лечения
"баллонная вазодилатация с установкой 2
стентов в сосуд (сосуды)";
     - по модели пациента "нестабильная
стенокардия, острый и повторный инфаркт
миокарда (с подъемом сегмента ST
электрокардиограммы)" по методу лечения
"баллонная вазодилатация с установкой 3
стентов в сосуд (сосуды)";
     - по модели пациента "нестабильная
стенокардия, острый и повторный инфаркт
миокарда (без подъема сегмента ST
электрокардиограммы)" по методу лечения
"баллонная вазодилатация с установкой 1
стента в сосуд (сосуды)";
     - по модели пациента "нестабильная
стенокардия, острый и повторный инфаркт
миокарда (без подъема сегмента ST
электрокардиограммы)" по методу лечения
"баллонная вазодилатация с установкой 2
стентов в сосуд (сосуды)";
     - по модели пациента "нестабильная
стенокардия, острый и повторный инфаркт
миокарда (без подъема сегмента ST
электрокардиограммы)" по методу лечения
"баллонная вазодилатация с установкой 3
стентов в сосуд (сосуды)".
     Оплата случаев оказания
высокотехнологичной медицинской помощи,
том числе прерванных, осуществляется в
соответствии с пунктом 2.3, по тарифам на
оплату высокотехнологичной медицинской
помощи, установленным приложением 16/1 к
Тарифному соглашению.
     (в ред. Дополнительного соглашения
к Тарифному соглашению в сфере
обязательного медицинского страхования
Челябинской области от 30.03.2023 N 2/199-ОМС)
     2.4.3. Оплата стационарной
специализированной медицинской помощи,
оказанной в дополнение к базовой
программе ОМС взрослому застрахованному
населению с сердечно-сосудистыми
заболеваниями (коронарография).
     Для оплаты случаев оказания
стационарной специализированной
медицинской помощи взрослому
застрахованному населению с
сердечно-сосудистыми заболеваниями
(коронарография) по профилям медицинской
помощи "кардиология" и
"сердечно-сосудистая хирургия"
обязательным условием является указание
комбинации классификационных критериев:
кода медицинской услуги A06.10.006
"Коронарография" и кодов по МКБ 10: I05, I06, I07,
I08, I09, I11, I12, I20 (за исключением I20.0), I25, I26, I27
(за исключением I27.2), I28, I31, I34, I35, I36, I37, I38,
I39, I42, I43, I44.0 - I44.7, I45.1 - I45.6, I45.8, I45.9, I46, I47.0 -
I47.2, I47.9, I48.0 - I48.4, I48.9, I49, I50, I51, I70.0 - I70.2, I70.8,
I70.9, I71, I72 (за исключением I72.5, I72.6), I73, I74, I77,
I78, I79, I80, I82, I83, I85, Q20, Q21, Q22, Q23, Q24 (за
исключением Q24.6), Q25, Q26, Q27, Q28, R00, R07.2, R07.4, T82.
     Оплата случаев оказания
стационарной специализированной
медицинской помощи взрослому
застрахованному населению с
сердечно-сосудистыми заболеваниями
(коронарография) в дополнение к базовой
программе ОМС осуществляется в пределах
утвержденных объемов медицинской
помощи, бюджетных ассигнований по
тарифам "Сосудистой хирургии
(коронарография)", "Кардиологические
(коронарография)" в размере 100 % стоимости
законченного случая лечения, включая
прерванные случаи оказания медицинской
помощи.
     В рамках одной госпитализации в
движении больного могут быть
предъявлены на оплату случаи оказания
медицинской помощи, финансируемые как в
рамках базовой, так и в дополнение к
базовой программе ОМС. В движении
больного должна быть одна из коек по
профилю "сосудистой хирургии" или
"кардиологические", на которой была
оказана медицинская помощь в
соответствии с объемами, установленными
Комиссией в дополнение к базовой
программе ОМС, и койки реанимации и
интенсивной терапии (при необходимости).
     2.4.4. Оплата специализированной
медицинской помощи, оказанной по профилю
"онкология" в дополнение к базовой
программе ОМС.
     2.4.4.1. Оплата специализированной
медицинской помощи, оказанной по профилю
"онкология" в дополнение к базовой
программе ОМС в специализированном
отделении Государственного автономного
учреждения здравоохранения "Челябинский
областной клинический центр онкологии и
ядерной медицины", осуществляется в
пределах утвержденных бюджетных
ассигнований в соответствии с объемами
предоставления медицинской помощи,
утвержденными Комиссией, по тарифу на
оплату законченного случая лечения
заболевания "Онкологические (сверх БП
ОМС)".
     В рамках одной госпитализации в
движении больного должна быть только
одна койка по профилю "онкология", на
которой была оказана медицинская помощь
в соответствии с объемами,
установленными Комиссией в дополнение к
базовой программе ОМС за счет средств
межбюджетных трансфертов из бюджета
Челябинской области, и койки реанимации
и интенсивной терапии (при
необходимости).
     2.4.4.2. Оплата прерванных случаев
производится в следующем размере:
     - при длительности лечения 3 дня и
менее - 40 % стоимости законченного случая
лечения;
     - при длительности лечения более 3-х
дней - 50 % стоимости законченного случая
лечения.
     2.4.5. К прерванным случаям оказания
стационарной специализированной
медицинской помощи в дополнение к
базовой программе ОМС относятся случаи
прерывания лечения по медицинским
показаниям; перевода пациента в другую
медицинскую организацию;
преждевременной выписки пациента из
медицинской организации при его
письменном отказе от дальнейшего
лечения; летального исхода; законченные
случаи лечения длительностью 3 дня и
менее.
     2.4.6. Учет законченных случаев
лечения заболевания и койко-дней в
стационаре круглосуточного пребывания и
отделении реанимации и интенсивной
терапии ведется медицинскими
организациями в соответствии с учетными
формами, утвержденными приказом
Минздрава РФ от 30.12.2002 N 413.
Глава 3. ОПЛАТА МЕДИЦИНСКОЙ ПОМОЩИ,
ОКАЗАННОЙ В УСЛОВИЯХ ДНЕВНЫХ
СТАЦИОНАРОВ 
     3.1. Основные подходы к оплате
медицинской помощи по КСГ.
     3.1.1. Отнесение случая лечения
заболевания к конкретной КСГ
осуществляется в соответствии с
Методическими рекомендациями, на
основании всех возможных комбинаций
классификационных критериев.
     Особенности формирования и порядок
оплаты отдельных КСГ устанавливаются и
реализуются в соответствии с
Приложением 9 к Методическим
рекомендациям.
     Длительность лечения в дневных
стационарах учитывается следующим
образом: от даты поступления пациента в
дневной стационар до даты его выбытия,
включая выходные дни. При подсчете дней
лечения в дневном стационаре день
поступления и день выбытия считаются как
два дня лечения.
     3.1.2. Стоимость законченного случая
лечения в дневном стационаре по КСГ
(ССДС).
     3.1.2.1. Стоимость одного случая
лечения в дневном стационаре (ССдс) по
КСГ (за исключением случаев, порядок
оплаты которых установлен пунктом 3.1.2.2)
определяется по следующей формуле:
     ССДС = БСДС x КД x КЗДС x КСДС + БСДС x
КД* x КСЛП, где:
     * - КД не применяется для КСЛП
"проведение сопроводительной
лекарственной терапии при
злокачественных новообразованиях у
взрослых в соответствии с клиническими
рекомендациями" (равно единице).
     БСДС - базовая ставка без учета
коэффициента дифференциации, рублей;
     КЗДС - коэффициент относительной
затратоемкости по КСГ, к которой отнесен
данный случай лечения в условиях дневных
стационаров;
     КСДС - коэффициент специфики КСГ, к
которой отнесен случай лечения;
     КД - коэффициент дифференциации,
рассчитанный в соответствии с
Постановлением Правительства РФ от
05.05.2012 N 462;
     КСЛП - коэффициент сложности
лечения пациента;
     При отсутствии оснований
применения КСЛП, предусмотренных
приложением 8 к Тарифному соглашению,
значение параметра КСЛП при расчете
стоимости случая лечения принимается
равным 0.
     3.1.2.2. Расчет стоимости случаев
лечения в дневном стационаре по КСГ,
составляющих исключение из порядка
расчета стоимости, установленного п.
3.1.2.1:
     1) стоимость одного случая лечения
по КСГ, в составе которых Программой
установлена доля заработной платы и
прочих расходов, определяется по
следующей формуле:
     ССДС = БСДС x КЗДС x ((1 - ДЗП) + ДЗП x
КСДС x КД) + БСДС x КД* x КСЛП, где:
     ДЗП - доля заработной платы и прочих
расходов в структуре стоимости КСГ,
установленная в приложении 7/8 к
Тарифному соглашению;
     2) стоимость случая лечения в
условиях дневных стационаров по КСГ
(ССдс) при оказании медицинской помощи
пациентам, получающим услуги диализа, и
при необходимости в сочетании с оплатой
по КСГ определяется по следующей
формуле:
     ССДС = (БСДС x КД x КЗДС x КСДС + БСДС x
КД* x КСЛП) + (Тдi x Чуслуг фi) + (Тiдоп x Чуслуг
фi), где:
     Тдi - тариф на оплату услуг диализа;
     Чуслуг фi - количество фактически
выполненных услуг диализа;
     Тiдоп - дополнительный тариф на
оплату проезда к месту лечения и обратно
пациентов, страдающих почечной
недостаточностью и нуждающихся в
проведении заместительной почечной
терапии, в дополнение к базовой
программе ОМС, рассчитанный для i-ой
медицинской организации и применяемый к
стоимости услуг гемодиализа;
     3) стоимость случая лечения по КСГ, в
составе которых Программой установлена
доля заработной платы и прочих расходов,
с оказанием услуг диализа определяется
по следующей формуле:
     ССДС = БСДС x КЗДС x ((1 - ДЗП) + ДЗП x
КСДС x КД) + БСДС x КД* x КСЛП + (Тдi x Чуслуг фi)
+ (Тiдоп x Чуслуг фi).
     3.1.3. При оплате случаев оказания
медицинской помощи в условиях дневного
стационара коэффициент уровня
(подуровня) медицинской организации не
применяется.
     3.1.4. Оплата случаев лечения
пациентов с применением коэффициентов
сложности лечения пациента
осуществляется в случаях и по
основаниям, установленным приложением 8
к Тарифному соглашению.
     При отсутствии оснований
применения КСЛП, предусмотренных
Приложением 8 к Тарифному соглашению,
значение параметра КСЛП при расчете
стоимости законченного случая лечения
принимается равным 0.
     В случаях проведения
сопроводительной терапии,
предусмотренной соответствующими
клиническими рекомендациями, оплата
стационарной медицинской помощи,
оказанной по КСГ ds19.058 - ds19.062, ds19.067 - ds19.078,
ds19.097 - ds19.115, осуществляется с применением
КСЛП "Проведение сопроводительной
лекарственной терапии при
злокачественных новообразованиях у
взрослых в соответствии с клиническими
рекомендациями". Перечень схем
сопроводительной лекарственной терапии
для применения данного КСЛП установлен
таблицей 4 приложения 8 к Тарифному
соглашению.
     При использовании схем
лекарственной терапии,
предусматривающих применение
лекарственных препаратов филграстим,
деносумаб, эмпэгфилграстим, КСЛП
"Проведение сопроводительной
лекарственной терапии при
злокачественных новообразованиях у
взрослых" не применяется.
     3.1.5. Размер финансового обеспечения
медицинской организации по КСГ
рассчитывается как сумма стоимости всех
случаев лечения по КСГ в дневных
стационарах:
      
     ФОмо - размер финансового
обеспечения медицинской организации,
рублей;
     ССдс - стоимость случая лечения по
КСГ, рублей.
     3.2. Порядок оплаты отдельных
случаев оказания медицинской помощи по
КСГ.
     3.2.1. Оплата прерванных случаев
оказания медицинской помощи.
     3.2.1.1. К прерванным случаям оказания
медицинской помощи относятся:
     1. случаи прерывания лечения по
медицинским показаниям;
     2. случаи прерывания лечения при
переводе пациента из одного отделения
медицинской организации в другое;
     3. случаи изменения условий
оказания медицинской помощи (перевода
пациента из дневного стационара в
условия круглосуточного стационара);
     4. случаи перевода пациента в другую
медицинскую организацию;
     5. случаи прерывания лечения
вследствие преждевременной выписки
пациента из медицинской организации,
обусловленной его письменным отказом от
дальнейшего лечения;
     6. случаи лечения, закончившиеся
летальным исходом;
     7. случаи оказания медицинской
помощи с проведением лекарственной
терапии при злокачественных
новообразованиях, в ходе которой
медицинская помощь по объективным
причинам оказана пациенту не в полном
объеме по сравнению с выбранной для
оплаты схемой лекарственной терапии, в
том числе в случае прерывания лечения
при возникновении абсолютных
противопоказаний к продолжению лечения,
не купируемых при проведении
симптоматического лечения;
     8. законченные случаи лечения (не
являющиеся прерванными по основаниям 1 -
7) длительностью 3 дня и менее по КСГ, не
включенным в перечень КСГ, для которых
оптимальным сроком лечения является
период менее 3 дней включительно,
установленным в приложении 7/4 к
Тарифному соглашению.
     3.2.1.2. В случае если перевод пациента
из одного отделения медицинской
организации в другое обусловлен
возникновением (наличием) нового
заболевания или состояния, относящегося
к тому же классу МКБ 10, что и диагноз
основного заболевания, и (или)
являющегося следствием закономерного
прогрессирования основного заболевания,
внутрибольничной инфекции или
осложнением основного заболевания, что
не соответствует критериям оплаты
случая лечения по 2 КСГ, оплата
производится в рамках одного случая
лечения по КСГ с наибольшим размером
оплаты, а отнесение такого случая к
прерванным по основанию перевода
пациента из одного отделения
медицинской организации в другое не
производится.
     При оплате случаев лечения,
подлежащих оплате по 2 КСГ по основаниям 2
- 4, установленным пунктом 3.2.5, случай до
перевода не может считаться прерванным
по основаниям прерванности 2 - 4 пункта
3.2.1.1.
     Приложением 7/4 к Тарифному
соглашению определен перечень КСГ, для
которых длительность 3 дня и менее
является оптимальными сроками лечения.
Законченный случай оказания медицинской
помощи по данным КСГ не может быть
отнесен к прерванным случаям лечения по
основаниям, связанным с длительностью
лечения, и оплачивается в полном объеме
независимо от длительности лечения. При
этом в случае наличия оснований
прерванности, не связанных с
длительностью лечения, случай оказания
медицинской помощи оплачивается как
прерванный на общих основаниях.
     3.2.1.3. Доля оплаты случаев оказания
медицинской помощи, являющихся
прерванными, за исключением основания,
связанного с проведением лекарственной
терапии при ЗНО не в полном объеме,
определяется в зависимости от
выполнения хирургического
вмешательства и (или) проведения
тромболитической терапии, являющихся
классификационным критерием отнесения
данного случая лечения к конкретной КСГ.
     В случае если пациенту было
выполнено хирургическое вмешательство и
(или) проведена тромболитическая
терапия, случай оплачивается в размере:
     - при длительности лечения 3 дня и
менее - 80 % стоимости КСГ;
     - при длительности лечения более 3-х
дней - 85 % стоимости КСГ.
     Перечень КСГ дневного стационара,
которые предполагают хирургическое
вмешательство или тромболитическую
терапию, представлен в приложении 7/6 к
Тарифному соглашению.
     В случае если хирургическое
вмешательство и (или) тромболитическая
терапия не проводились, случай
оплачивается в размере:
     - при длительности лечения 3 дня и
менее - 40 % стоимости КСГ;
     - при длительности лечения более 3-х
дней - 50 % стоимости КСГ.
     3.2.1.4. Случаи проведения
лекарственной терапии пациентам в
возрасте 18 лет и старше и случаи
медицинской реабилитации, являющиеся
прерванными по основаниям, изложенным в
подпункте 7 пункта 3.2.1.1, оплачиваются
аналогично случаям лечения, когда
хирургическое вмешательство и (или)
тромболитическая терапия не
проводились.
     3.2.2. Особенности оплаты случаев с
проведением лекарственной терапии при
лечении пациентов в возрасте 18 лет и
старше.
     Режим введения лекарственных
препаратов в описании схем
лекарственной терапии включает в себя
наименование лекарственных препаратов,
длительность цикла, количество дней
введения, способ введения (в случае
указания в схеме), скорость введения
(капельно, струйно, в случае указания в
схеме), разовую дозу препарата
(фиксированная величина или разовая доза
в пересчете на массу тела или площадь
поверхности тела пациента).
     Если наименование лекарственных
препаратов, способ введения (в случае
указания в схеме) или скорость введения
(в случае указания в схеме) не
соответствуют описанию ни одной схемы
лекарственной терапии, представленной в
приложении 7 к Методическим
рекомендациям (далее - Группировщик ДС),
для оплаты однозначно выбирается схема
лекарственной терапии sh9003 "Прочие схемы
лекарственной терапии", а случай
считается законченным и оплачивается в
полном объеме, если он не является
прерванным по основаниям 1 - 6 пункта 3.2.1.1.
     Схема лекарственной терапии
считается выполненной полностью и
оплачивается в полном объеме (при
отсутствии оснований считать случай
прерванным по иным основаниям
прерванности) в следующих случаях:
     1. при условии проведения лечения в
полном соответствии с одной из схем
лекарственной терапии, указанных в
Группировщике ДС;
     2. при условии снижения дозы
химиотерапевтических препаратов и/или
увеличения интервала между введениями
по сравнению с указанными в столбце
"Наименование и описание схемы"
Группировщика ДС при соблюдении
следующих условий, отраженных в
первичной медицинской документации
(общее количество дней введения должно
точно соответствовать количеству дней
введения, предусмотренному в описании
схемы лекарственной терапии):
     - снижение дозы произведено в
соответствии с инструкцией к
химиотерапевтическому препарату в связи
усилением токсических реакций или с
тяжестью состояния пациента;
     - увеличение интервала между
введениями произведено в связи с
медицинскими противопоказаниями к
введению препаратов в день, указанный в
описании схемы.
     Случаи, в ходе которых
лекарственная терапия проведена в
полном объеме, предусмотренном
соответствующей схемой лекарственной
терапии, оплачиваются по
соответствующей КСГ в полном объеме
независимо от наличия иных оснований
считать случай лечения прерванным.
     Все остальные случаи (в том числе
случаи проведения лекарственной
терапии, при которых снижение дозы
химиотерапевтических препаратов и/или
увеличение интервала между введениями
произведено по другим причинам) являются
прерванными и оплачиваются в
соответствии с правилами оплаты
прерванных случаев лечения.
     Учитывая, что проведение лучевой
терапии предусмотрено начиная с одной
фракции, оплата случаев лечения
осуществляется путем отнесения случая к
соответствующей КСГ исходя из
фактически проведенного количества дней
облучения (фракций).
     3.2.3. Пациентам в возрасте до 21 года
при отдельных онкологических
заболеваниях с целью продолжения
лечения, которое начато в возрасте до 18
лет, медицинская помощь в условиях
дневных стационарах может быть оказана в
медицинских организациях, оказывающих
медицинскую помощь детям по профилю
"детская онкология", в случаях и при
соблюдении условий, которые установлены
порядком оказания медицинской помощи,
утвержденным Министерством
здравоохранения Российской Федерации.
     3.2.4. Особенности оплаты отдельных
случаев хирургического лечения
пациентов с онкологическими
заболеваниями.
     Отнесение случая к онкологическим
хирургическим КСГ производится при
комбинации диагнозов C00 - C80, C97 и D00 - D09 и
услуг, обозначающих выполнение
оперативного вмешательства.
     Если больному со злокачественным
новообразованием выполнялось
оперативное вмешательство, не
являющееся классификационным критерием
для онкологических хирургических групп,
то отнесение такого случая к КСГ
производится по общим правилам, то есть к
КСГ, формируемой по коду выполненного
хирургического вмешательства.
     В случае если злокачественное
новообразование выявлено в результате
госпитализации с целью оперативного
лечения по поводу неонкологического
заболевания (доброкачественное
новообразование, кишечная
непроходимость и др.), отнесение к КСГ и
оплата осуществляются в соответствии с
классификационными критериями по коду
медицинской услуги без учета кода
диагноза злокачественного
новообразования. Данная информация в
обязательном порядке отражается в
реестре счетов.
     3.2.5. Медицинская помощь,
оказываемая пациентам одновременно по
двум и более КСГ, осуществляется в
следующих случаях:
     1. перевод пациента из одного
отделения медицинской организации в
другое в рамках дневного стационара (в
том числе в случае перевода из дневного
стационара в круглосуточный стационар),
если это обусловлено возникновением
(наличием) нового заболевания или
состояния, входящего в другой класс МКБ 10
и не являющегося следствием
закономерного прогрессирования
основного заболевания, внутрибольничной
инфекции или осложнением основного
заболевания, а также при переводе
пациента из одной медицинской
организации в другую, оба случая лечения
заболевания подлежат оплате в рамках
соответствующих КСГ, при этом случай
лечения до осуществления перевода
относится к прерванным по установленным
основаниям прерванности;
     2. проведение медицинской
реабилитации пациента после завершения
лечения в той же медицинской организации
по поводу заболевания, по которому
осуществлялось лечение;
     3. оказание медицинской помощи,
связанной с установкой, заменой
порт-системы (катетера) для
лекарственной терапии злокачественных
новообразований с последующим
проведением лекарственной терапии или
после хирургического лечения в рамках
одной госпитализации;
     4. этапное хирургическое лечение
при злокачественных новообразованиях,
не предусматривающее выписку пациента
из стационара.
     3.2.6. Оплата процедуры
экстракорпорального оплодотворения, с
учетом проведения отдельных этапов, а
также возможность криоконсервации и
размораживания эмбрионов
осуществляется по КСГ ds02.008 - ds02.011.
     Хранение криоконсервированных
эмбрионов за счет средств обязательного
медицинского страхования не
осуществляется.
     3.3. Оплата случаев лечения при
оказании услуг диализа.
     3.3.1. Стоимость случая лечения в
дневном стационаре (Сд) при оказании
медицинской помощи пациентам,
получающим услуги диализа в условиях
дневного стационара, определяется по
формуле:
     Сд = (Тдi x Чуслуг фi) + (Тiдоп x Чуслуг
фi), где:
     Тдi - тариф на оплату услуг диализа;
     Чуслуг фi - количество фактически
выполненных услуг диализа.
     Тариф на оплату услуг диализа
(приложение 15 к Тарифному соглашению)
определяется по следующей формуле:
     Тдi = БТгд x КЗд x (КДд x Дзп + (1 - Дзп)),
где:
     БТгд - базовый тариф на оплату
гемодиализа по коду услуги А18.05.002
"Гемодиализ";
     КЗд - коэффициент относительной
затратоемкости услуг диализа,
применяемый к базовому тарифу на оплату
диализа, установлен приложением 15 к
Тарифному соглашению;
     КДд - коэффициент дифференциации
установлен в размере 1,113;
     Дзп - доля расходов на заработную
плату в услуге диализа установлена в
размере 22 %;
     Тiдоп - дополнительный тариф на
оплату проезда к месту лечения и обратно
пациентов, страдающих почечной
недостаточностью и нуждающихся в
проведении заместительной почечной
терапии, в дополнение к базовой
программе ОМС, рассчитанный для i-ой
медицинской организации и применяемый к
стоимости услуг гемодиализа.
      
     ФОiдост - сумма финансового
обеспечения на оплату проезда к месту
лечения и обратно пациентов, страдающих
почечной недостаточностью и нуждающихся
в проведении заместительной почечной
терапии, на 2023 год, установленная для i-ой
медицинской организации;
     ФОiдостф - фактическая сумма
средств, направленных на оплату проезда
к месту лечения и обратно пациентов,
страдающих почечной недостаточностью и
нуждающихся в проведении заместительной
почечной терапии, i-ой медицинской
организации;
     Чуслуг - количество медицинских
услуг гемодиализа в дневных стационарах,
установленных Комиссией на 2023 год для
i-ой медицинской организации;
     Чуслуг ф - фактическое количество
медицинских услуг гемодиализа,
оказанных в дневных стационарах i-ой
медицинской организацией.
     3.3.2. Оплата случаев оказания
медицинской помощи пациентам,
получающим услуги диализа в условиях
дневного стационара, осуществляется за
услуги диализа с учетом фактического
объема услуг, по тарифам, установленным
приложением 15 к Тарифному соглашению, и
при необходимости в сочетании с оплатой
по КСГ, учитывающей основное
(сопутствующее) заболевание, являющееся
поводом для госпитализации в дневной
стационар.
     В период лечения в дневном
стационаре пациент, получающий диализ,
должен обеспечиваться всеми
необходимыми лекарственными
препаратами, в том числе для
профилактики осложнений.
     3.3.3. Учитывая установленный способ
оплаты медицинской помощи, оказанной в
условиях дневных стационаров, - за
законченный случай лечения заболевания,
пожизненный характер проводимого
лечения и постоянное количество
процедур в месяц у подавляющего
большинства пациентов, в целях учета
выполненных объемов медицинской помощи
в рамках реализации территориальной
программы ОМС за единицу объема в
условиях дневных стационаров
принимается один месяц лечения.
     3.3.4. Случай оказания медицинской
помощи пациентам, получающим услуги
диализа в условиях дневного стационара,
предъявленный к оплате одной
медицинской организацией, подлежит
оплате в том числе при пересечении
сроков лечения в круглосуточных и
дневных стационарах другой медицинской
организации.
     3.4. Оплата медицинской помощи,
оказанной в дополнение к базовой
программе ОМС за счет средств
межбюджетных трансфертов из бюджета
Челябинской области в условиях дневного
стационара.
     3.4.1. Оплата проезда к месту лечения
и обратно пациентов, страдающих почечной
недостаточностью и нуждающихся в
проведении заместительной почечной
терапии в соответствии с клиническими
показаниями, производится по
дополнительному тарифу на оплату
проезда к месту лечения и обратно
пациентов, страдающих почечной
недостаточностью и нуждающихся в
проведении заместительной почечной
терапии, оказанной застрахованному
населению Челябинской области, в
дополнение к базовой программе ОМС, в
рамках утвержденных бюджетных
ассигнований, в соответствии с
установленными Министерством
здравоохранения Челябинской области
медицинским организациям суммами
финансового обеспечения на оплату
проезда к месту лечения и обратно
пациентов, страдающих почечной
недостаточностью и нуждающихся в
проведении заместительной почечной
терапии, на 2023 год (приложение 18/1 к
Тарифному соглашению).
     За счет средств ОМС не оплачивается
проезд к месту лечения и обратно
пациентов, страдающих почечной
недостаточностью и нуждающихся в
проведении заместительной почечной
терапии, застрахованных за пределами
Челябинской области.
     3.4.2. Оплата медицинской помощи,
оказанной в дополнение к базовой
программе ОМС за счет средств
межбюджетных трансфертов из бюджета
Челябинской области в условиях дневного
стационара, в части проведения процедуры
криопереноса эмбриона, производится в
размере 100 % стоимости законченного
случая лечения по тарифу
"Гинекологические (ЭКО криоперенос)
(сверх БП ОМС)" в рамках утвержденных
бюджетных ассигнований при условии
применения кода медицинской услуги
А11.20.030.001 "Внутриматочное введение
криоконсервированного эмбриона".
     В рамках одного случая лечения в
движении пациента должна быть одна койка
по профилю "гинекологические для
вспомогательных репродуктивных
технологий", на которой была оказана
медицинская помощь в соответствии с
объемами, установленными Комиссией в
дополнение к базовой программе ОМС за
счет средств межбюджетных трансфертов
из бюджета Челябинской области.
Глава 4. ОПЛАТА СКОРОЙ МЕДИЦИНСКОЙ
ПОМОЩИ, ОКАЗАННОЙ ВНЕ МЕДИЦИНСКОЙ
ОРГАНИЗАЦИИ 
     4.1. Оплата скорой медицинской
помощи (за исключением
санитарно-авиационной эвакуации),
оказанной по ОМС гражданам,
застрахованным на территории
Челябинской области, медицинскими
организациями, указанными в приложении 1
к Тарифному соглашению, осуществляется
по фактическому дифференцированному
подушевому нормативу финансирования
скорой медицинской помощи, оказываемой
вне медицинской организации на
обслуживаемое застрахованное население
в сочетании с оплатой за вызов скорой
медицинской помощи при:
     - остром коронарном синдроме с
проведением тромболитической терапии
(далее - ТЛТ);
     - оказании медицинской помощи в
соответствии с приказами Минздрава
Челябинской области от 09.09.2016 N 1517, от
29.03.2023 N 234.
     (в ред. Дополнительного соглашения
к Тарифному соглашению в сфере
обязательного медицинского страхования
Челябинской области от 27.04.2023 N 3/199-ОМС)
     4.2. Базовый подушевой норматив
финансирования скорой медицинской
помощи, оказываемой вне медицинской
организации, включает в себя оплату
скорой медицинской помощи, оказываемой
вне медицинской организации
застрахованному обслуживаемому
населению.
     Базовый подушевой норматив
финансирования скорой медицинской
помощи, оказываемой вне медицинской
организации, не включает в себя оплату:
     - вызовов скорой медицинской помощи
с применением ТЛТ;
     - вызовов скорой медицинской
помощи, оказываемой выездными бригадами
в соответствии с приказами Минздрава
Челябинской области от 09.09.2016 N 1517, от
29.03.2023 N 234;
     (в ред. Дополнительного соглашения
к Тарифному соглашению в сфере
обязательного медицинского страхования
Челябинской области от 27.04.2023 N 3/199-ОМС)
     - вызовов скорой медицинской помощи
вне медицинской организации,
оказываемой застрахованным лицам за
пределами субъекта Российской
Федерации, на территории которого выдан
полис ОМС.
     4.3. Объем средств на оплату скорой
медицинской помощи, оказываемой вне
медицинской организации, медицинскими
организациями, участвующими в
реализации территориальной программы
ОМС, определяется по следующей формуле:
     ОССМП = (НоСМП x НфзСМП) x Чз - ОСМТР,
где:
     ОССМП - объем средств на оплату
скорой медицинской помощи, оказываемой
вне медицинской организации,
медицинскими организациями,
участвующими в реализации
территориальной программы ОМС, рублей;
     НоСМП - средний норматив объема
скорой медицинской помощи вне
медицинской организации, установленный
территориальной программой в части
базовой программы ОМС, вызовов;
     НфзСМП - средний норматив
финансовых затрат на единицу объема
скорой медицинской помощи вне
медицинской организации, установленный
территориальной программой в части
базовой программы ОМС, рублей;
     ОСМТР - объем средств, направляемых
на оплату скорой медицинской помощи вне
медицинской организации, оказываемой
застрахованным лицам за пределами
субъекта Российской Федерации, на
территории которого выдан полис ОМС, за
вызов, рублей;
     Чз - численность застрахованного
населения Челябинской области, человек.
     4.4. Средний размер финансового
обеспечения скорой медицинской помощи,
оказываемой вне медицинской
организации, медицинскими
организациями, участвующими в
реализации территориальной программы
ОМС, в расчете на одно застрахованное
лицо (ФОСРСМП) определяется по следующей
формуле:
      
     4.5. Базовый подушевой норматив
финансирования скорой медицинской
помощи, оказываемой вне медицинской
организации, рассчитывается исходя из
объема средств на оплату скорой
медицинской помощи, оказываемой вне
медицинской организации, медицинскими
организациями, участвующими в
реализации территориальной программы
ОМС, по следующей формуле:
      
     ПНБАЗ - базовый подушевой норматив
финансирования скорой медицинской
помощи, оказываемой вне медицинской
организации, рублей;
     ОСВ - размер средств, направляемых
на оплату скорой медицинской помощи,
оказываемой вне медицинской организации
застрахованным лицам в Челябинской
области, за вызов, рублей;
     КД - единый коэффициент
дифференциации, рассчитанный в
соответствии с Постановлением
Правительства РФ от 05.05.2012 N 462.
     4.6. Дифференцированный подушевой
норматив финансирования скорой
медицинской помощи, оказываемой вне
медицинской организации, рассчитывается
на основе базового подушевого норматива
финансирования скорой медицинской
помощи, оказываемой вне медицинской
организации, с учетом объективных
критериев дифференциации стоимости
оказания медицинской помощи по
следующей формуле:
     ДПнi = ПНБАЗ x КДiПВ x КДiУР x КДiЗП x КДi,
где:
     ДПнi - дифференцированный подушевой
норматив финансирования скорой
медицинской помощи, оказываемой вне
медицинской организации, для i-ой
медицинской организации, рублей;
     КДiПВ - коэффициент половозрастного
состава для i-ой медицинской
организации.
     Коэффициенты половозрастного
состава учитывают затраты на оплату
скорой медицинской помощи, оказанной
застрахованным лицам по половозрастным
группам, в разрезе медицинских
организаций.
     Для расчета половозрастных
коэффициентов численность
застрахованных лиц в Челябинской
области распределяется по следующим
половозрастным группам:
     (в ред. Дополнительного соглашения
к Тарифному соглашению в сфере
обязательного медицинского страхования
Челябинской области от 31.07.2023 N 5/199-ОМС)
     - ноль - один год мужчины/женщины;
     - один год - четыре года
мужчины/женщины;
     - пять лет - семнадцать лет
мужчины/женщины;
     - восемнадцать лет - шестьдесят
четыре года мужчины/женщины;
     - шестьдесят пять лет и старше
мужчины/женщины.
     Половозрастные коэффициенты
рассчитываются для каждой
половозрастной группы застрахованных
лиц на основании данных о затратах на
оплату скорой медицинской помощи,
оказанной застрахованному
обслуживаемому населению за
определенный расчетный период, но не
реже одного раза в год, и численности
застрахованных лиц за данный период;
     (в ред. Дополнительного соглашения
к Тарифному соглашению в сфере
обязательного медицинского страхования
Челябинской области от 31.07.2023 N 5/199-ОМС)
     КДiУР - коэффициент уровня расходов
i-ой медицинской организации;
     КДiЗП - коэффициент достижения
целевых показателей уровня заработной
платы медицинских работников,
установленных "дорожной картой" развития
здравоохранения в Челябинской области,
для i-ой медицинской организации;
     КДi - коэффициент дифференциации
i-ой медицинской организации.
     4.7. В целях приведения в
соответствие объема средств,
рассчитанного по дифференцированным
подушевым нормативам финансирования
скорой медицинской помощи, оказываемой
вне медицинской организации, к общему
объему средств на финансирование
медицинских организаций рассчитывается
поправочный коэффициент (ПК) по формуле:
      
     ЧiЗ - численность застрахованных
лиц, обслуживаемых i-ой медицинской
организацией, человек.
     4.8. Фактический дифференцированный
подушевой норматив финансирования
скорой медицинской помощи, оказываемой
вне медицинской организации, для
медицинской организации рассчитывается
по формуле:
     ФДПнi = ДПнi x ПК, где:
     ФДПнi - фактический
дифференцированный подушевой норматив
финансирования скорой медицинской
помощи, оказываемой вне медицинской
организации, для i-ой медицинской
организации, рублей.
     4.9. Размер финансового обеспечения
медицинской организации, оказывающей
скорую медицинскую помощь вне
медицинской организации, определяется
исходя из значения фактического
дифференцированного подушевого
норматива финансирования скорой
медицинской помощи, оказываемой вне
медицинской организации, численности
обслуживаемого населения, а также
объемов медицинской помощи, оплата
которых осуществляется за вызов по
следующей формуле:
     ФОСМП = ФДПнi x ЧЗср + ОСВ, где:
     ФОСМП - размер финансового
обеспечения медицинской организации,
оказывающей скорую медицинскую помощь
вне медицинской организации, рублей;
     ЧЗср - среднемесячная численность
застрахованных лиц, обслуживаемых
данной медицинской организацией
(среднее значение между численностью на
первое число отчетного месяца и первое
число месяца, следующего за отчетным),
человек.
     Ежемесячно, в течение 2-х рабочих
дней месяца, следующего за отчетным,
информация о среднемесячной численности
застрахованных лиц, обслуживаемых
станциями (подстанциями) скорой
медицинской помощи, отделениями скорой
медицинской помощи в составе
медицинских организаций, размещается на
сайте ТФОМС Челябинской области.
     4.10. Оплата скорой медицинской
помощи при остром коронарном синдроме с
проведением ТЛТ производится по тарифам
за вызов скорой медицинской помощи.
Указанные тарифы включают в себя затраты
на лекарственное обеспечение ТЛТ с
применением алтеплазы, проурокиназы,
тенектеплазы, рекомбинантного белка,
содержащего аминокислотную
последовательность стафилокиназы.
     4.11. Оплата медицинской помощи,
оказанной выездными бригадами скорой
медицинской помощи в соответствии с
приказами Минздрава Челябинской области
от 09.09.2016 N 1517, от 29.03.2023 N 234, в т.ч. при
осуществлении медицинской эвакуации в
профильные медицинские организации,
которые оказывают медицинскую помощь в
сфере ОМС, производится по тарифам за
вызов выездной бригады медицинским
организациям, указанным в приложении 1 к
Тарифному соглашению.
     (в ред. Дополнительного соглашения
к Тарифному соглашению в сфере
обязательного медицинского страхования
Челябинской области от 27.04.2023 N 3/199-ОМС)
     4.12. Расчеты за скорую медицинскую
помощь, оказанную лицам, застрахованным
в иных субъектах Российской Федерации,
осуществляются по тарифам за вызов
скорой медицинской помощи, оказанной
населению, застрахованному на
территории других субъектов Российской
Федерации.
     4.13. Финансовое обеспечение станций
(подстанций) скорой медицинской помощи и
отделений скорой медицинской помощи
включает в себя в том числе стоимость
скорой медицинской помощи, оказанной
застрахованным гражданам, проживающим
вне территории обслуживания станции
(подстанции, отделений) скорой
медицинской помощи по Челябинской
области, за исключением скорой
медицинской помощи, оказанной
застрахованным лицам, указанным в
пунктах 4.10, 4.11.
     4.14. При проведении массовых
мероприятий (спортивных, культурных и
других) оплата дежурств бригад скорой
медицинской помощи осуществляется за
счет средств, предусмотренных на
организацию указанных мероприятий.
Раздел III. РАЗМЕР И СТРУКТУРА ТАРИФОВ НА
ОПЛАТУ МЕДИЦИНСКОЙ ПОМОЩИ 
     Тарифы на оплату медицинской
помощи рассчитываются в соответствии с
методикой расчета тарифов на оплату
медицинской помощи по ОМС, утвержденной
в составе Правил ОМС, Методическими
рекомендациями и включают в себя расходы
на заработную плату, начисления на
оплату труда, прочие выплаты,
приобретение лекарственных средств,
расходных материалов, продуктов питания,
мягкого инвентаря, медицинского
инструментария, реактивов и химикатов,
прочих материальных запасов, расходы на
оплату стоимости лабораторных и
инструментальных исследований,
проводимых в других учреждениях (при
отсутствии в медицинской организации
лаборатории и диагностического
оборудования), организации питания (при
отсутствии организованного питания в
медицинской организации), расходы на
оплату услуг связи, транспортных услуг,
коммунальных услуг, работ и услуг по
содержанию имущества, расходы на
арендную плату за пользование
имуществом, оплату программного
обеспечения и прочих услуг, социальное
обеспечение работников медицинских
организаций, установленное
законодательством РФ, прочие расходы,
расходы на приобретение основных
средств (оборудования,
производственного и хозяйственного
инвентаря) стоимостью до 100 тысяч рублей
за единицу, а также допускается
приобретение основных средств
(медицинских изделий, используемых для
проведения медицинских вмешательств,
лабораторных и инструментальных
исследований) стоимостью до 1 млн. рублей
при отсутствии у медицинской
организации не погашенной в течение 3
месяцев кредиторской задолженности за
счет средств обязательного медицинского
страхования.
     Стоимость медицинской помощи
определяется дифференцированно с учетом
коэффициента уровня медицинских
организаций:
     - коэффициент первого уровня
медицинской организации - для оплаты
медицинской помощи в медицинских
организациях, оказывающих населению в
пределах муниципального образования
(внутригородского округа) первичную
медико-санитарную помощь, и (или)
специализированную (за исключением
высокотехнологичной) медицинскую
помощь, и (или) скорую, в том числе скорую
специализированную, медицинскую помощь;
     - коэффициент второго уровня
медицинской организации - для оплаты
медицинской помощи в медицинских
организациях, имеющих в своей структуре
отделения и (или) центры, оказывающие
медицинскую помощь (за исключением
высокотехнологичной) населению
нескольких муниципальных образований,
медицинские организации, расположенные
на территории закрытых административных
территориальных образований, а также
специализированных больниц, центров,
диспансеров;
     (в ред. Дополнительного соглашения
к Тарифному соглашению в сфере
обязательного медицинского страхования
Челябинской области от 31.05.2023 N 4/199-ОМС)
     - коэффициент третьего уровня
медицинской организации - для оплаты
медицинской помощи в медицинских
организациях, оказывающих населению
высокотехнологичную медицинскую
помощь.
     Отнесение медицинской организации
к уровню оказания медицинской помощи
осуществляется по предложению
Министерства здравоохранения
Челябинской области.
     Расходы по оказанию медицинских
услуг параклиническими подразделениями,
отделениями реанимации и интенсивной
терапии, палатами интенсивной терапии,
расходы по содержанию параклинических
подразделений, отделений реанимации и
интенсивной терапии, палат интенсивной
терапии, вспомогательных подразделений
медицинских организаций включены в
тарифы на оплату медицинской помощи.
     Средства ОМС используются
медицинскими организациями в
соответствии с бюджетной классификацией
Российской Федерации, применяемой при
бухгалтерском (бюджетном) учете, на
следующие виды расходов:
     - заработная плата (включая расходы
на финансовое обеспечение осуществления
стимулирующих денежных выплат, в том
числе:
     врачам-терапевтам участковым,
врачам-педиатрам участковым, врачам
общей практики (семейным врачам),
медицинским сестрам участковым
врачей-терапевтов участковых,
врачей-педиатров участковых и
медицинским сестрам врачей общей
практики (семейных врачей) за оказанную
медицинскую помощь в амбулаторных
условиях;
     медицинским работникам
фельдшерских и фельдшерско-акушерских
пунктов (заведующим
фельдшерско-акушерскими пунктами,
фельдшерам, акушерам (акушеркам),
медицинским сестрам, в том числе
медицинским сестрам патронажным) за
оказанную медицинскую помощь в
амбулаторных условиях;
     врачам, фельдшерам и медицинским
сестрам медицинских организаций и
подразделений скорой медицинской помощи
за оказанную скорую медицинскую помощь
вне медицинской организации;
     врачам-специалистам за оказанную
медицинскую помощь в амбулаторных
условиях);
     - начисления на оплату труда;
     - прочие выплаты;
     - приобретение лекарственных
средств, расходных материалов;
     - приобретение продуктов питания,
мягкого инвентаря, медицинского
инструментария, реактивов и химикатов,
прочих материальных запасов;
     - расходы на оплату стоимости
лабораторных и инструментальных
исследований, проводимых в других
учреждениях (при отсутствии в
медицинской организации лаборатории и
диагностического оборудования),
организации питания (при отсутствии
организованного питания в медицинской
организации);
     - расходы на оплату услуг связи,
транспортных услуг, коммунальных услуг,
работ и услуг по содержанию имущества,
расходы на арендную плату за пользование
имуществом, оплату программного
обеспечения и прочих услуг, социальное
обеспечение работников медицинских
организаций, установленное
законодательством Российской Федерации,
прочие расходы, расходы на приобретение
основных средств (оборудования,
производственного и хозяйственного
инвентаря) стоимостью до 100 тысяч рублей
за единицу;
     - приобретение основных средств
(медицинских изделий, используемых для
проведения медицинских вмешательств,
лабораторных и инструментальных
исследований) стоимостью до 1 млн. рублей
при отсутствии у медицинской
организации не погашенной в течение 3
месяцев кредиторской задолженности за
счет средств обязательного медицинского
страхования.
     Тарифы на оплату медицинской
помощи по видам и условиям,
установленным в дополнение к Базовой
программе ОМС, в части
амбулаторно-поликлинической помощи (в
том числе проведение прижизненных
патологоанатомических исследований
операционно-биопсийного материала
(гистологических исследований), за
исключением выявления онкологических
заболеваний; проведение
иммуногистохимических исследований;
компьютерной томографии; оказание
дополнительных объемов
амбулаторно-поликлинической помощи по
решениям врачебной комиссии);
медицинской помощи, оказываемой в
стационарных условиях (проведение
прижизненных патологоанатомических
исследований операционно-биопсийного
материала (гистологических
исследований) для исследования последов;
оказание высокотехнологичной
медицинской помощи, медицинской помощи
по профилям онкология,
сердечно-сосудистая хирургия,
кардиология); медицинской помощи,
оказываемой в условиях дневных
стационаров (проведение процедуры
криопереноса эмбриона), включают в себя
расходы на заработную плату, начисления
на оплату труда, прочие выплаты,
приобретение лекарственных средств,
расходных материалов, продуктов питания,
мягкого инвентаря, медицинского
инструментария, реактивов и химикатов,
прочих материальных запасов, расходы на
оплату стоимости лабораторных и
инструментальных исследований,
проводимых в других учреждениях (при
отсутствии в медицинской организации
лаборатории и диагностического
оборудования), организации питания (при
отсутствии организованного питания в
медицинской организации), расходы на
оплату услуг связи, транспортных услуг,
коммунальных услуг, работ и услуг по
содержанию имущества, расходы на
арендную плату за пользование
имуществом, оплату программного
обеспечения и прочих услуг, социальное
обеспечение работников медицинских
организаций, установленное
законодательством Российской Федерации,
прочие расходы, расходы на приобретение
основных средств (оборудования,
производственного и хозяйственного
инвентаря) стоимостью до 100 тысяч рублей
за единицу, а также допускается
приобретение основных средств
(медицинских изделий, используемых для
проведения медицинских вмешательств,
лабораторных и инструментальных
исследований) стоимостью до 1 млн. рублей
при отсутствии у медицинской
организации не погашенной в течение 3
месяцев кредиторской задолженности за
счет средств обязательного медицинского
страхования.
     Дополнительные тарифы на оплату
проезда к месту лечения и обратно
пациентов, страдающих почечной
недостаточностью и нуждающихся в
проведении заместительной почечной
терапии, в дополнение к базовой
программе ОМС включают в себя расходы на
оплату транспортных услуг.
Глава 1. РАЗМЕР ТАРИФОВ НА ОПЛАТУ
МЕДИЦИНСКОЙ ПОМОЩИ, ОКАЗАННОЙ В
АМБУЛАТОРНЫХ УСЛОВИЯХ 
     1.1. Тарифы на оплату медицинской
помощи, оказанной в амбулаторных
условиях медицинскими организациями
Челябинской области.
     1.1.1. Тарифы на оплату медицинской
помощи (с учетом лабораторных и
инструментальных исследований),
оказанной взрослому и детскому
застрахованному населению в
поликлинике, медицинскими организациями
1, 2, 3 уровней оказания медицинской
помощи, не участвующими в подушевом
финансировании амбулаторной
медицинской помощи, а также медицинскими
организациями, участвующими в подушевом
финансировании (в том числе на оплату
внешней медицинской помощи
(взаиморасчетов)), установлены
приложением 9/1 к Тарифному соглашению.
     1.1.2. Тарифы на оплату медицинской
помощи (с учетом лабораторных и
инструментальных исследований),
оказанной взрослому и детскому
застрахованному населению на дому,
медицинскими организациями 1, 2, 3 уровней
оказания медицинской помощи, не
участвующими в подушевом финансировании
амбулаторной медицинской помощи, а также
медицинскими организациями,
участвующими в подушевом финансировании
(в том числе на оплату внешней
медицинской помощи (взаиморасчетов)),
установлены приложением 9/2 к Тарифному
соглашению.
     1.1.3 Тарифы на оплату медицинской
помощи (с учетом лабораторных и
инструментальных исследований),
оказанной взрослому и детскому
застрахованному населению в поликлинике
для медицинских организаций, не
участвующих в подушевом финансировании
амбулаторной медицинской помощи, а также
для медицинских организаций,
участвующих в подушевом финансировании,
по видам медицинской помощи, не
включенным в базовый подушевой норматив
финансирования медицинской помощи,
оказываемой в амбулаторных условиях,
установлены приложением 9/3 к Тарифному
соглашению.
     1.1.4. Тарифы на оплату неотложной
медицинской помощи (с учетом
лабораторных и инструментальных
исследований), оказанной взрослому и
детскому застрахованному населению в
поликлинике, на дому, установлены
приложением 9/4 к Тарифному соглашению.
     1.1.5. Тарифы на оплату
консультативно-диагностической
медицинской помощи (с учетом
лабораторных и инструментальных
исследований), оказанной взрослому и
детскому застрахованному населению в
консультативно-диагностических центрах
Челябинской области, установлены
приложением 9/5 к Тарифному соглашению.
     1.1.6. Тарифы на оплату дистанционных
консультаций в амбулаторных условиях,
оказанных с применением телемедицинских
технологий в режиме реального времени
взрослому и детскому застрахованному
населению на дому, для осуществления
взаиморасчетов между медицинскими
организациями, участвующими в подушевом
финансировании, установлены приложением
9/6 к Тарифному соглашению.
     1.1.7. Тарифы на оплату медицинских
услуг, оказываемых взрослому и детскому
застрахованному населению в поликлинике
медицинскими организациями, не
участвующими в подушевом финансировании
амбулаторной медицинской помощи, а также
медицинскими организациями,
участвующими в подушевом
финансировании, по видам медицинской
помощи, не включенным в базовый
подушевой норматив финансирования
медицинской помощи, оказываемой в
амбулаторных условиях, установлены
таблицей 1 приложения 9/7 к Тарифному
соглашению.
     Тарифы на оплату медицинских услуг,
оказанных в дополнение к базовой
программе ОМС взрослому и детскому
застрахованному населению, установлены
таблицей 2 приложения 9/7 к Тарифному
соглашению.
     1.1.8. Тарифы на оплату медицинской
помощи (с учетом лабораторных и
инструментальных исследований),
оказанной взрослому застрахованному
населению в центрах амбулаторной
онкологической помощи, установлены
таблицей 1 приложения 9/8 к Тарифному
соглашению.
     Тарифы на оплату медицинских услуг,
оказанных взрослому застрахованному
населению в центрах амбулаторной
онкологической помощи, установлены
таблицей 2 приложения 9/8 к Тарифному
соглашению.
     1.1.9. Тарифы на оплату комплексного
посещения диспансерного наблюдения
отдельных категорий граждан из числа
взрослого застрахованного населения в
поликлинике, на дому установлены
приложением 9/9 к Тарифному соглашению.
     1.1.10. Тарифы на оплату медицинской
реабилитации, оказанной взрослому и
детскому застрахованному населению в
амбулаторных условиях, установлены
приложением 9/10 к Тарифному соглашению.
     1.1.10-1. Тарифы на оплату медицинской
помощи, оказанной взрослому и детскому
застрахованному населению в школах для
пациентов с сахарным диабетом,
установлены приложением 9/11 к Тарифному
соглашению.
     (п. 1.1.10-1 в ред. Дополнительного
соглашения к Тарифному соглашению в
сфере обязательного медицинского
страхования Челябинской области от
31.08.2023 N 6/199-ОМС)
     1.1.11. Тарифы на оплату
стоматологических услуг (с учетом
лабораторных и инструментальных
исследований), оказанных взрослому и
детскому застрахованному населению,
установлены таблицей 1 приложения 10 к
Тарифному соглашению.
     Тарифы на оплату неотложной
стоматологической медицинской помощи (с
учетом лабораторных и инструментальных
исследований), оказанной взрослому и
детскому застрахованному населению,
установлены таблицей 2 приложения 10 к
Тарифному соглашению.
     Тарифы на оплату медицинской
помощи, оказанной по решениям врачебной
комиссии в амбулаторных условиях в
дополнение к базовой программе ОМС,
установлены таблицей 3 приложения 10 к
Тарифному соглашению.
     1.1.12. Тарифы на оплату комплексного
посещения диспансеризации взрослого и
детского застрахованного населения
установлены таблицей 1 приложения 11 к
Тарифному соглашению.
     Тарифы осмотров
врачами-специалистами, исследований и
иных медицинских мероприятий,
проводимых в рамках II этапа
диспансеризации взрослого
застрахованного населения, установлены
таблицей 2 приложения 11 к Тарифному
соглашению.
     Тарифы на оплату комплексного
посещения, медицинских услуг, проводимых
в рамках углубленной диспансеризации
взрослого застрахованного населения,
установлены таблицей 3 приложения 11 к
Тарифному соглашению.
     1.1.13. Тарифы на оплату комплексного
посещения профилактических медицинских
осмотров взрослого и детского
застрахованного населения установлены
таблицей 1 приложения 12 к Тарифному
соглашению.
     Тарифы осмотров
врачами-специалистами, исследований и
иных медицинских мероприятий,
проводимых в рамках I этапа
профилактических медицинских осмотров
несовершеннолетних, установлены
таблицей 2 приложения 12 к Тарифному
соглашению.
     1.1.14. Базовый норматив финансовых
затрат на единицу объема предоставления
медицинской помощи, оказываемой в
амбулаторных условиях, при оплате:
     1.1.14.1. посещений с
профилактическими и иными целями
установлен в размере 869,70 рублей, в том
числе:
     - комплексных посещений для
проведения профилактических
медицинских осмотров установлен в
размере 2283,30 рублей;
     - комплексных посещений для
проведения диспансеризации установлен в
размере 2790,50 рублей, в том числе
комплексных посещений для проведения
углубленной диспансеризации установлен
в размере 1206,60 рублей;
     - посещений с иными целями
установлен в размере 395,30 рублей;
     1.1.14.2. обращений в связи с
заболеваниями установлен в размере 1922,30
рубля, в том числе:
     - компьютерной томографии
установлен в размере 2787,33 рубля;
     - магнитно-резонансной томографии
установлен в размере 3086,65 рубля;
     - ультразвукового исследования
сердечно-сосудистой системы установлен
в размере 712,75 рубля;
     - эндоскопического
диагностического исследования
установлен в размере 1346,71 рубля;
     - молекулярно-генетического
исследования с целью диагностики
онкологических заболеваний установлен в
размере 9974,68 рубля;
     - патологоанатомического
исследования биопсийного
(операционного) материала с целью
диагностики онкологических заболеваний
и подбора противоопухолевой
лекарственной терапии установлен в
размере 1231,04 рубля;
     - тестирования на выявление новой
коронавирусной инфекции (COVID-19)
установлен в размере 439,58 рубля;
     (п. 1.1.14.2 в ред. Дополнительного
соглашения к Тарифному соглашению в
сфере обязательного медицинского
страхования Челябинской области от
31.08.2023 N 6/199-ОМС)
     1.14.3. комплексных посещений по
профилю "медицинская реабилитация"
установлен в размере 22155,40 рублей;
     1.14.4. комплексных посещений для
проведения диспансерного наблюдения из
числа взрослого населения установлен в
размере 1412,00 рублей;
     1.14.5. посещений в неотложной форме
установлен в размере 857,00 рублей.
     1.2. Тарифы на оплату медицинской
помощи, оказываемой в амбулаторных
условиях, по подушевому нормативу
финансирования в сфере ОМС Челябинской
области.
     1.2.1. Средний размер финансового
обеспечения медицинской помощи,
оказываемой в амбулаторных условиях, с
учетом коэффициента дифференциации
установлен в размере 6658,56 рублей на 1
застрахованное лицо в год.
     Базовый подушевой норматив
финансирования медицинской помощи,
оказываемой в амбулаторных условиях, на
прикрепившихся лиц без учета
коэффициента дифференциации установлен
в размере 451,81 рублей на 1 застрахованное
лицо в месяц.
     (в ред. Дополнительного соглашения
к Тарифному соглашению в сфере
обязательного медицинского страхования
Челябинской области от 27.04.2023 N 3/199-ОМС,
Дополнительного соглашения к Тарифному
соглашению в сфере обязательного
медицинского страхования Челябинской
области от 30.10.2023 N 8/199-ОМС)
     1.2.2. Коэффициенты дифференциации
подушевого норматива финансирования
медицинской помощи:
     1.2.2.1. Половозрастные коэффициенты,
учитывающие затраты на оплату
медицинской помощи, оказываемой в
амбулаторных условиях, в разрезе
половозрастных групп установлены в
размере:
     (в ред. Дополнительного соглашения
к Тарифному соглашению в сфере
обязательного медицинского страхования
Челябинской области от 31.07.2023 N 5/199-ОМС)
| 0 - 1 года | 1 - 4 года | от 5 до 17 лет | от 18 до 64 лет | 65 лет и старше | |||||||
| жен | муж | жен | муж | жен | муж | жен | муж | жен | муж | ||
| 3,185 | 3,334 | 1,956 | 2,035 | 0,979 | 0,985 | 0,928 | 0,545 | 1,603 | 1,603 | ||
     1.2.2.2. Коэффициенты дифференциации
на прикрепившихся к медицинской
организации лиц с учетом наличия
подразделений, расположенных в сельской
местности, отдаленных территориях,
поселках городского типа и малых городах
с численностью населения до 50 тысяч
человек, и расходов на их содержание и
оплату труда персонала (КДот)
установлены приложением 5 к Тарифному
соглашению.
     (п. 1.2.2.2 в ред. Дополнительного
соглашения к Тарифному соглашению в
сфере обязательного медицинского
страхования Челябинской области от
31.07.2023 N 5/199-ОМС)
     1.2.2.3. Коэффициенты дифференциации
для медицинской организации (КДi)
установлены:
     1.2.2.3.1. для медицинских организаций
Челябинской области (за исключением
изложенных в пункте 1.2.2.3.2) в размере 1,105;
     1.2.2.3.2. для медицинских организаций,
расположенных на территории закрытых
административно-территориальных
образований (ЗАТО), подведомственных
ФМБА:
     - Федеральное государственное
бюджетное учреждение здравоохранения
"Клиническая больница N 71 Федерального
медико-биологического агентства",
Федеральное государственное бюджетное
учреждение здравоохранения "Центральная
медико-санитарная часть N 15 Федерального
медико-биологического агентства" в
размере 1,21;
     - Федеральное государственное
бюджетное учреждение здравоохранения
"Медико-санитарная часть N 72 Федерального
медико-биологического агентства" в
размере 1,14.
     Фактический дифференцированный
подушевой норматив финансирования
медицинской помощи, оказываемой в
амбулаторных условиях, годовой размер
финансового обеспечения ФП, ФАП для
медицинских организаций
устанавливается в том числе с учетом
применения вышеперечисленных
коэффициентов дифференциации.
     1.2.3. Поправочный коэффициент,
рассчитанный в соответствии с пунктом
1.1.2.8 раздела II, установлен в размере 0,940.
     (в ред. Дополнительного соглашения
к Тарифному соглашению в сфере
обязательного медицинского страхования
Челябинской области от 27.04.2023 N 3/199-ОМС,
Дополнительного соглашения к Тарифному
соглашению в сфере обязательного
медицинского страхования Челябинской
области от 30.10.2023 N 8/199-ОМС)
     1.2.4. Размеры финансового
обеспечения фельдшерских,
фельдшерско-акушерских пунктов (без
учета коэффициентов дифференциации), при
условии их соответствия требованиям,
установленным положением об организации
оказания первичной медико-санитарной
помощи взрослому населению,
утвержденным Министерством
здравоохранения Российской Федерации,
составляют в среднем на 2023 год:
     Фельдшерский,
фельдшерско-акушерский пункт,
обслуживающий менее 100 жителей (с
применением коэффициента уровня
медицинской организации в размере 0,702,
применяемого к базовому нормативу
финансовых затрат на финансовое
обеспечение структурного подразделения
медицинской организации, обслуживающего
от 100 до 900 жителей), - 824,45 тыс. рублей,
     Фельдшерский,
фельдшерско-акушерский пункт,
обслуживающий от 100 до 900 жителей, - 1174,20
тыс. рублей,
     Фельдшерский,
фельдшерско-акушерский пункт,
обслуживающий от 900 до 1500 жителей, - 1860,30
тыс. рублей,
     Фельдшерский,
фельдшерско-акушерский пункт,
обслуживающий от 1500 до 2000 жителей, - 2088,90
тыс. рублей,
     Фельдшерский,
фельдшерско-акушерский пункт,
обслуживающий более 2000 жителей (с
применением коэффициента уровня
медицинской организации в размере 1,123,
применяемого к базовому нормативу
финансовых затрат на финансовое
обеспечение структурного подразделения
медицинской организации, обслуживающего
от 1500 до 2000 жителей), - 2345,59 тыс. рублей.
     Коэффициенты специфики оказания
медицинской помощи, учитывающие
критерии соответствия фельдшерских,
фельдшерско-акушерских пунктов
требованиям, установленным Положением
об организации оказания первичной
медико-санитарной помощи взрослому
населению, установлены приложением 4 к
Тарифному соглашению.
     1.2.5. Коэффициенты половозрастного
состава, коэффициенты уровня расходов
медицинских организаций, фактические
дифференцированные подушевые нормативы
финансирования медицинской помощи,
оказываемой в амбулаторных условиях,
тарифы на финансовое обеспечение
фельдшерских, фельдшерско-акушерских
пунктов установлены приложением 13 к
Тарифному соглашению.
     1.2.6. Показатели результативности
деятельности медицинских организаций,
имеющих прикрепленное население,
установлены в приложении 14 к Тарифному
соглашению.
     1.3. Базовый тариф на оплату
гемодиализа по коду услуги А18.05.002
"Гемодиализ" установлен в размере 6651,00
рублей. Базовый тариф на оплату
перитонеального диализа по коду услуги
А18.30.001 "Перитонеальный диализ"
установлен в размере 4790,00 рублей.
     1.4. Тарифы на оплату услуг диализа
установлены приложением 15 к Тарифному
соглашению.
     1.5. Дополнительные тарифы на оплату
проезда к месту лечения и обратно
пациентов, страдающих почечной
недостаточностью и нуждающихся в
проведении заместительной почечной
терапии, в дополнение к базовой
программе ОМС установлены приложением
18/2 к Тарифному соглашению.
Глава 2. РАЗМЕР ТАРИФОВ НА ОПЛАТУ
МЕДИЦИНСКОЙ ПОМОЩИ, ОКАЗАННОЙ В
СТАЦИОНАРНЫХ УСЛОВИЯХ 
     2.1. Средний норматив финансовых
затрат на единицу объема предоставления
медицинской помощи (без учета
коэффициента дифференциации, без учета
медицинской реабилитации) установлен в
размере 40203,03 рублей.
     (в ред. Дополнительных соглашений к
Тарифному соглашению в сфере
обязательного медицинского страхования
Челябинской области от 30.03.2023 N 2/199-ОМС, от
31.08.2023 N 6/199-ОМС, от 29.11.2023 N 9/199-ОМС)
     Базовая ставка в круглосуточном
стационаре с учетом коэффициента
дифференциации (1,105), рассчитанного в
соответствии с Постановлением
Правительства РФ от 05.05.2012 N 462,
установлена в размере 28875,83 рублей, без
учета коэффициента дифференциации
установлена в размере 26131,97 рублей.
     (в ред. Дополнительных соглашений к
Тарифному соглашению в сфере
обязательного медицинского страхования
Челябинской области от 30.03.2023 N 2/199-ОМС, от
31.08.2023 N 6/199-ОМС, от 29.11.2023 N 9/199-ОМС)
     Средний размер финансового
обеспечения медицинской помощи,
оказываемой в стационарных условиях (с
учетом коэффициента дифференциации, без
учета медицинской реабилитации)
установлен в размере 7171,28 рубля на 1
застрахованное лицо в год.
     (абзац введен Дополнительным
соглашением к Тарифному соглашению в
сфере обязательного медицинского
страхования Челябинской области от
31.05.2023 N 4/199-ОМС; в ред. Дополнительных
соглашений к Тарифному соглашению в
сфере обязательного медицинского
страхования Челябинской области от
31.08.2023 N 6/199-ОМС, от 29.11.2023 N 9/199-ОМС)
     2.2. Перечень КСГ, к которым
применяется/не применяется коэффициент
уровня/подуровня оказания медицинской
помощи, размер коэффициентов
относительной затратоемкости,
коэффициентов специфики, используемых
при оплате медицинской помощи, оказанной
в стационарных условиях, установлены
приложением 7/1 к Тарифному соглашению.
     2.3. Перечень групп заболеваний,
состояний (КСГ) в круглосуточном
стационаре с оптимальной длительностью
лечения до 3 дней включительно
установлен приложением 7/3 к Тарифному
соглашению.
     2.4. Перечень КСГ круглосуточного
стационара, которые предполагают
хирургическое вмешательство или
тромболитическую терапию, установлены
приложением 7/5 к Тарифному соглашению.
     2.5. Значения коэффициентов
уровня/подуровня медицинской
организации в разрезе медицинских
организаций, оказывающих медицинскую
помощь в стационарных условиях,
установлены приложением 3 к Тарифному
соглашению.
     2.6. Доля заработной платы и прочих
расходов в структуре стоимости КСГ,
используемая при оплате медицинской
помощи в стационарных условиях,
установлена приложением 7/7 к Тарифному
соглашению.
     2.7. Перечень случаев, для которых
установлен коэффициент сложности
лечения пациента в стационарных
условиях, значение коэффициента
установлены приложением 8 к Тарифному
соглашению.
     2.8. Коэффициент дифференциации (КД)
для медицинских организаций Челябинской
области установлен в размере 1,105.
     2.9. Базовый тариф на оплату
гемодиализа по коду услуги А18.05.002
"Гемодиализ" установлен в размере 6651,00
рублей.
     2.10. Тарифы на оплату услуг диализа
установлены приложением 15 к Тарифному
соглашению.
     2.11. Тарифы на оплату медицинских
услуг, оказанных в дополнение к базовой
программе ОМС взрослому и детскому
застрахованному населению, установлены
таблицей 2 приложения 9/7 к Тарифному
соглашению.
     2.12. Тарифы на оплату
высокотехнологичной медицинской помощи,
оказанной по ОМС взрослому и детскому
застрахованному населению Челябинской
области в круглосуточном стационаре,
установлены приложением 16/1 к Тарифному
соглашению.
     Тарифы на оплату
высокотехнологичной медицинской помощи,
оказанной застрахованным лицам
Челябинской области в круглосуточном
стационаре, в рамках объемов,
установленных в дополнение к базовой
программе ОМС, установлены приложением
16/1 к Тарифному соглашению.
     (в ред. Дополнительного соглашения
к Тарифному соглашению в сфере
обязательного медицинского страхования
Челябинской области от 30.03.2023 N 2/199-ОМС)
     2.13. Тарифы на оплату стационарной
специализированной медицинской помощи,
оказанной взрослому застрахованному
населению с сердечно-сосудистыми
заболеваниями (коронарография) в
дополнение к базовой программе ОМС
"Сосудистой хирургии (коронарография)",
"Кардиологические (коронарография)", за
законченный случай лечения заболевания
установлены в размере 25610,40 рублей.
     2.14. Тариф на оплату стационарной
специализированной медицинской помощи,
оказанной взрослому застрахованному
населению, в дополнение к базовой
программе ОМС в специализированном
отделении по профилю медицинской помощи
"онкология" Государственного
автономного учреждения здравоохранения
"Челябинский областной клинический
центр онкологии и ядерной медицины"
"Онкологические (сверх БП ОМС)", за
законченный случай лечения заболевания
установлен в размере 52238,15 рублей.
     2.15. Оплата оказанной медицинской
помощи производится в размере 100 %, 85 %, 80 %,
50 %, 40 % стоимости законченного случая
оказания медицинской помощи по КСГ
согласно условиям, определенным в том
числе пунктом 2.2.1 главы 2 раздела II.
Глава 3. РАЗМЕР ТАРИФОВ НА ОПЛАТУ
МЕДИЦИНСКОЙ ПОМОЩИ, ОКАЗАННОЙ В УСЛОВИЯХ
ДНЕВНОГО СТАЦИОНАРА 
     3.1. Средний норматив финансовых
затрат на единицу объема предоставления
медицинской помощи (без учета
коэффициента дифференциации, без учета
медицинской реабилитации) установлен в
размере 25048,50 рублей.
     Базовая ставка в дневном
стационаре без учета коэффициента
дифференциации установлена в размере
15029,11 рублей.
     Средний размер финансового
обеспечения медицинской помощи,
оказываемой в условиях дневного
стационара (с учетом коэффициента
дифференциации, без учета медицинской
реабилитации) установлен в размере 1854,89
рубля на 1 застрахованное лицо в год.
     (абзац введен Дополнительным
соглашением к Тарифному соглашению в
сфере обязательного медицинского
страхования Челябинской области от
31.05.2023 N 4/199-ОМС)
     3.2. Перечень КСГ, размер
коэффициентов относительной
затратоемкости, коэффициентов
специфики, используемых при оплате
медицинской помощи, оказанной в условиях
дневного стационара, установлены
приложением 7/2 к Тарифному соглашению.
     3.3. Перечень групп заболеваний,
состояний (КСГ) в дневном стационаре с
оптимальной длительностью лечения до 3
дней включительно установлен
приложением 7/4 к Тарифному соглашению.
     3.4. Перечень КСГ дневного
стационара, которые предполагают
хирургическое вмешательство или
тромболитическую терапию, установлен
приложением 7/6 к Тарифному соглашению.
     3.5. Доля заработной платы и прочих
расходов в структуре стоимости КСГ,
используемая при оплате медицинской
помощи в условиях дневного стационара,
установлена приложением 7/8 к Тарифному
соглашению.
     3.6. Перечень случаев, для которых
установлен коэффициент сложности
лечения пациента в условиях дневных
стационаров, значение коэффициента
установлены приложением 8 к Тарифному
соглашению.
     3.7. Коэффициент дифференциации (КД)
установлен:
     3.7.1. для медицинских организаций
Челябинской области (за исключением
изложенных в пункте 3.7.2) в размере 1,105;
     3.7.2. для медицинских организаций,
расположенных на территории закрытых
административно-территориальных
образований:
     - Федеральное государственное
бюджетное учреждение здравоохранения
"Клиническая больница N 71 Федерального
медико-биологического агентства",
Федеральное государственное бюджетное
учреждение здравоохранения "Центральная
медико-санитарная часть N 15 Федерального
медико-биологического агентства" в
размере 1,21;
     - Федеральное государственное
бюджетное учреждение здравоохранения
"Медико-санитарная часть N 72 Федерального
медико-биологического агентства" в
размере 1,14.
     3.8. Базовый тариф на оплату
гемодиализа по коду услуги А18.05.002
"Гемодиализ" установлен в размере 6651,00
рублей.
     3.9. Тарифы на оплату услуг диализа
установлены приложением 15 к Тарифному
соглашению.
     3.10. Дополнительные тарифы на оплату
проезда к месту лечения и обратно
пациентов, страдающих почечной
недостаточностью и нуждающихся в
проведении заместительной почечной
терапии, в дополнение к базовой
программе ОМС установлены приложением
18/2 к Тарифному соглашению.
     3.11. Оплата оказанной медицинской
помощи производится в размере 100 %, 85 %, 80 %,
50 %, 40 % стоимости законченного случая
оказания медицинской помощи по КСГ
согласно условиям, определенным в том
числе пунктом 3.2.1 главы 3 раздела II.
     3.12. Тариф на оплату медицинской
помощи (проведение процедуры
криопереноса эмбриона), оказанной в
условиях дневного стационара в
дополнение к базовой программе ОМС за
счет средств межбюджетных трансфертов
из бюджета Челябинской области,
"Гинекологические (ЭКО криоперенос)
(сверх БП ОМС)" установлен в размере 48062,82
рублей.
     (в ред. Дополнительного соглашения
к Тарифному соглашению в сфере
обязательного медицинского страхования
Челябинской области от 30.03.2023 N 2/199-ОМС)
Глава 4. РАЗМЕР ТАРИФОВ НА ОПЛАТУ СКОРОЙ
МЕДИЦИНСКОЙ ПОМОЩИ 
     4.1. Средний размер финансового
обеспечения скорой медицинской помощи,
оказываемой вне медицинской
организации, с учетом коэффициента
дифференциации установлен в размере 1046,01
рублей на 1 застрахованное лицо в год.
     4.2. Базовый подушевой норматив
финансирования скорой медицинской
помощи, оказываемой вне медицинской
организации, без учета коэффициента
дифференциации установлен в размере 76,83
рублей на 1 застрахованное лицо в месяц.
     4.3. Половозрастные коэффициенты,
учитывающие затраты на оплату скорой
медицинской помощи, оказываемой вне
медицинской организации, в разрезе
половозрастных групп установлены в
размере:
     (в ред. Дополнительного соглашения
к Тарифному соглашению в сфере
обязательного медицинского страхования
Челябинской области от 31.07.2023 N 5/199-ОМС)
| 0 - 1 года | 1 - 4 года | от 5 до 17 лет | от 18 до 64 лет | 65 лет и старше | ||||||||
| жен | муж | жен | муж | жен | муж | жен | муж | жен | муж | |||
| 2,484 | 3,069 | 1,853 | 2,118 | 0,700 | 0,739 | 0,764 | 0,660 | 2,082 | 1,856 | |||
     4.4. Коэффициент дифференциации для
медицинской организации (КДi)
установлен:
     4.4.1. для медицинских организаций
Челябинской области (за исключением
изложенных в пункте 4.4.2) в размере 1,105;
     4.4.2. для медицинских организаций,
расположенных на территории закрытых
административно-территориальных
образований (ЗАТО), подведомственных
ФМБА:
     - Федеральное государственное
бюджетное учреждение здравоохранения
"Клиническая больница N 71 Федерального
медико-биологического агентства",
Федеральное государственное бюджетное
учреждение здравоохранения "Центральная
медико-санитарная часть N 15 Федерального
медико-биологического агентства" в
размере 1,21;
     - Федеральное государственное
бюджетное учреждение здравоохранения
"Медико-санитарная часть N 72 Федерального
медико-биологического агентства" в
размере 1,14.
     4.5. Поправочный коэффициент,
рассчитанный в соответствии с пунктом 4.7
раздела II, установлен в размере 1,006.
     4.6. Коэффициенты половозрастного
состава, коэффициенты уровня расходов
медицинских организаций, коэффициенты
достижения целевых показателей уровня
заработной платы медицинских
работников, установленных "дорожной
картой" развития здравоохранения в
Челябинской области, фактические
дифференцированные подушевые нормативы
финансирования скорой медицинской
помощи, оказываемой вне медицинской
организации, установлены приложением 17/1
к Тарифному соглашению.
     4.7. Базовый норматив финансовых
затрат за вызов скорой медицинской
помощи установлен в размере 3660,50 рублей.
     4.8. Тарифы за вызов скорой
медицинской помощи, оказанной
застрахованному населению Челябинской
области, вне медицинской организации;
Тарифы за вызов скорой медицинской
помощи, оказанной населению,
застрахованному на территории других
субъектов Российской Федерации; Тарифы
за вызов выездной бригады скорой
медицинской помощи при оказании
медицинской помощи в соответствии с
приказами Минздрава Челябинской области
от 09.09.2016 N 1517, от 29.03.2023 N 234
застрахованному населению Челябинской
области, а также населению,
застрахованному на территории других
субъектов Российской Федерации,
установлены приложением 17/2 к Тарифному
соглашению.
     (в ред. Дополнительного соглашения
к Тарифному соглашению в сфере
обязательного медицинского страхования
Челябинской области от 27.04.2023 N 3/199-ОМС)
Раздел IV. РАЗМЕР НЕОПЛАТЫ ИЛИ НЕПОЛНОЙ
ОПЛАТЫ ЗАТРАТ МЕДИЦИНСКОЙ ОРГАНИЗАЦИИ
НА ОКАЗАНИЕ МЕДИЦИНСКОЙ ПОМОЩИ, А ТАКЖЕ
УПЛАТЫ МЕДИЦИНСКОЙ ОРГАНИЗАЦИЕЙ ШТРАФОВ
ЗА НЕОКАЗАНИЕ, НЕСВОЕВРЕМЕННОЕ ОКАЗАНИЕ
ЛИБО ОКАЗАНИЕ МЕДИЦИНСКОЙ ПОМОЩИ
НЕНАДЛЕЖАЩЕГО КАЧЕСТВА 
     1. Размер неоплаты или неполной
оплаты затрат медицинской организации
на оказание медицинской помощи и размер
штрафа, применяемого к медицинской
организации за неоказание,
несвоевременное оказание либо оказание
медицинской помощи ненадлежащего
качества, рассчитывается в соответствии
с пунктами 154, 155 Правил ОМС. Применение
неоплаты или неполной оплаты затрат
медицинской организации на оказание
медицинской помощи осуществляется к
единице объема медицинской помощи,
медицинской услуге, вызову скорой
медицинской помощи, к случаю лечения
заболевания по соответствующей КСГ.
     2. Подушевой норматив
финансирования для расчета размера
штрафа, применяемого к медицинской
организации за неоказание,
несвоевременное оказание либо оказание
медицинской помощи ненадлежащего
качества (за исключением случаев
применения кода нарушения/дефекта 2.16.1,
предусмотренного приложением N 5 к
Правилам ОМС, вступающим в силу 10.01.2023):
     2.1. при оказании медицинской помощи
в амбулаторных условиях - подушевой
норматив финансирования в соответствии
с территориальной программой
установлен:
     - комплексное посещение для
проведения профилактических
медицинских осмотров в размере 606,42
рублей;
     - комплексное посещение для
проведения диспансеризации в размере
924,81 рублей, в том числе для проведения
углубленной диспансеризации в размере
60,02 рублей;
     - посещение с иными целями в размере
843,28 рублей;
     - посещение по неотложной
медицинской помощи в размере 462,78 рублей;
     - обращение в размере 3436,50 рублей;
     - комплексное посещение по профилю
"медицинская реабилитация" в размере 65,45
рублей;
     - комплексное посещение для
проведения диспансерного наблюдения из
числа взрослого населения в размере 369,57
рублей;
     2.2. при оказании скорой медицинской
помощи вне медицинской организации -
подушевой норматив финансирования в
соответствии с территориальной
программой установлен - 1061,55 рублей;
     2.3. при оказании медицинской помощи
в стационарных условиях - подушевой
норматив финансирования в соответствии
с территориальной программой
установлен:
     - случай госпитализации в условиях
круглосуточного стационара, за
исключением медицинской помощи по
профилю "медицинская реабилитация", - 7364,52
рублей;
     (в ред. Дополнительных соглашений к
Тарифному соглашению в сфере
обязательного медицинского страхования
Челябинской области от 31.08.2023 N 6/199-ОМС, от
29.11.2023 N 9/199-ОМС)
     - случай госпитализации в условиях
круглосуточного стационара по профилю
"медицинская реабилитация" - 262,70 рублей;
     (п. 2.3 в ред. Дополнительного
соглашения к Тарифному соглашению в
сфере обязательного медицинского
страхования Челябинской области от
30.03.2023 N 2/199-ОМС)
     2.4. при оказании медицинской помощи
в условиях дневных стационаров -
подушевой норматив финансирования в
соответствии с территориальной
программой установлен:
     - случай лечения в условиях дневных
стационаров, за исключением медицинской
помощи по профилю "медицинская
реабилитация", - 1891,95 рублей;
     - случай лечения в условиях дневных
стационаров по профилю "медицинская
реабилитация" - 69,23 рублей.
     (п. 2.4 в ред. Дополнительного
соглашения к Тарифному соглашению в
сфере обязательного медицинского
страхования Челябинской области от
30.03.2023 N 2/199-ОМС)
     3. Перечень оснований для отказа в
оплате (уменьшения оплаты) медицинской
помощи и значения коэффициентов для
определения размера неоплаты или
неполной оплаты затрат медицинской
организации на оказание медицинской
помощи и размера штрафа за неоказание,
несвоевременное оказание либо оказание
медицинской помощи ненадлежащего
качества
| Код нарушения/дефекта | Перечень оснований | Значение коэффициента для определения размера неоплаты или неполной оплаты затрат медицинской организации на оказание медицинской помощи (Кно) | Значение коэффициента для определения размера штрафа за неоказание, несвоевременное оказание либо оказание медицинской помощи ненадлежащего качества (Кшт) | 
| 1 | 2 | 3 | 4 | 
| РАЗДЕЛ 1. НАРУШЕНИЯ, ВЫЯВЛЯЕМЫЕ ПРИ ПРОВЕДЕНИИ МЕДИКО-ЭКОНОМИЧЕСКОГО КОНТРОЛЯ | |||
| 1.1. | Нарушение условий оказания медицинской помощи, в том числе сроков ожидания медицинской помощи, несвоевременное включение в группу диспансерного наблюдения лиц, которым по результатам проведения профилактических мероприятий или оказания иной медицинской помощи впервые установлены диагнозы, при которых предусмотрено диспансерное наблюдение в соответствии с порядком проведения диспансерного наблюдения | 0 | 0,3 | 
| 1.2. | Невключение в группу диспансерного наблюдения лиц, которым по результатам проведения профилактических мероприятий или оказания иной медицинской помощи впервые установлены диагнозы, при которых предусмотрено диспансерное наблюдение в соответствии с порядком проведения диспансерного наблюдения (в случае, если установление диагноза и постановка на диспансерное наблюдение должны быть осуществлены в рамках одного случая оказания медицинской помощи) | 0 | 1 | 
| 1.3. | Госпитализация застрахованного лица, медицинская помощь которому должна быть оказана в стационаре другого профиля (непрофильная госпитализация), кроме случаев госпитализации для оказания медицинской помощи в неотложной и экстренной форме на койки терапевтического и хирургического профилей | 1 | 0,3 | 
| 1.4. | Нарушения, связанные с оформлением и предъявлением на оплату счетов и реестров счетов, в том числе: | ||
| 1.4.1. | наличие ошибок и/или недостоверной информации в реквизитах счета; | 1 | 0 | 
| 1.4.2. | сумма счета не соответствует итоговой сумме предоставленной медицинской помощи по реестру счетов; | 1 | 0 | 
| 1.4.3. | наличие незаполненных полей реестра счетов, обязательных к заполнению, в том числе отсутствие указаний о включении в группу диспансерного наблюдения лица, которому установлен диагноз, при котором предусмотрено диспансерное наблюдение, отсутствие сведений о страховом случае с летальным исходом при наличии сведений о смерти застрахованного лица в период оказания ему медицинской помощи по данным персонифицированного учета сведений о застрахованных лицах и (или) о медицинской помощи, оказанной застрахованным лицам; | 1 | 0 | 
| 1.4.4. | некорректное заполнение полей реестра счетов; | 1 | 0 | 
| 1.4.5. | заявленная сумма по позиции реестра счетов не корректна (содержит арифметическую ошибку); | 1 | 0 | 
| 1.4.6. | дата оказания медицинской помощи в реестре счетов не соответствует отчетному периоду/периоду оплаты; | 1 | 0 | 
| 1.5. | Введение в реестр счетов недостоверных персональных данных застрахованного лица, приводящее к невозможности его полной идентификации (включая ошибки в серии и номере полиса обязательного медицинского страхования, адресе); | 1 | 0 | 
| 1.6. | Нарушения, связанные с включением в реестр счетов медицинской помощи, не входящей в программу обязательного медицинского страхования, в том числе: | ||
| 1.6.1. | включение в реестр счетов видов медицинской помощи, не входящих в программу обязательного медицинского страхования; | 1 | 0 | 
| 1.6.2. | предъявление к оплате медицинской помощи сверх распределенного объема предоставления медицинской помощи, установленного медицинской организации в соответствии с законодательством об обязательном медицинском страховании; | 1 | 0 | 
| 1.6.3. | предъявление к оплате медицинской помощи сверх размера финансового обеспечения распределенного объема предоставления медицинской помощи, установленного медицинской организации в соответствии с законодательством об обязательном медицинском страховании; | 1 | 0 | 
| 1.6.4. | включение в реестр счетов медицинской помощи, подлежащей оплате из других источников финансирования, в том числе тяжелые несчастные случаи на производстве, оплачиваемые Фондом пенсионного и социального страхования Российской Федерации, медицинских услуг, оказываемой частными медицинскими организациями в рамках пилотного проекта по вовлечению частных медицинских организаций в оказание медико-социальных услуг лицам в возрасте 65 лет и старше, являющимся гражданами Российской Федерации, в том числе проживающим в сельской местности | 1 | 0 | 
| 1.7. | Нарушения, связанные с необоснованным применением тарифа на оплату медицинской помощи, в том числе: | ||
| 1.7.1. | включение в реестр счетов случаев оказания медицинской помощи по тарифам на оплату медицинской помощи, неустановленным в соответствии с законодательством об обязательном медицинском страховании; | 1 | 0 | 
| 1.7.2. | включение в реестр счетов случаев оказания медицинской по тарифам на оплату медицинской помощи, не соответствующим установленным в соответствии с законодательством об обязательном медицинском страховании | 1 | 0 | 
| 1.8. | Нарушения, связанные с включением в реестр счетов нелицензированных видов медицинской деятельности, в том числе с нарушением лицензионных требований: | ||
| 1.8.1. | включение в реестр счетов страховых случаев по видам медицинской деятельности, отсутствующим в действующей лицензии медицинской организации; | 1 | 0 | 
| 1.8.2. | предоставление реестров счетов в случае прекращения действия лицензии медицинской организации на осуществление медицинской деятельности по случаям оказания медицинской помощи, завершившимся после прекращения действия лицензии медицинской организации; | 1 | 0 | 
| 1.8.3. | предоставление на оплату реестров счетов, в случае нарушения лицензионных условий и требований при оказании медицинской помощи: в том числе данные лицензии не соответствуют фактическим адресам осуществления медицинской организацией лицензируемого вида деятельности (на основании информации лицензирующих органов) | 1 | 0 | 
| 1.9. | Включение в реестр счетов страховых случаев, при которых медицинская помощь оказана медицинским работником, не имеющим сертификата или свидетельства об аккредитации специалиста по профилю оказания медицинской помощи | 1 | 0 | 
| 1.10. | Нарушения, связанные с повторным включением в реестр счетов случаев оказания медицинской помощи, в том числе: | ||
| 1.10.1. | позиция реестра счетов оплачена ранее (повторное выставление счета на оплату случаев оказания медицинской помощи, которые были оплачены ранее); | 1 | 0 | 
| 1.10.2. | дублирование случаев оказания медицинской помощи в одном реестре; | 1 | 0 | 
| 1.10.3. | стоимость отдельной медицинской услуги, включенной в счет, учтена в тарифе на оплату медицинской помощи другой услуги, также предъявленной к оплате медицинской организацией; | 1 | 0 | 
| 1.10.4. | стоимость медицинской услуги включена в норматив финансового обеспечения оплаты медицинской помощи, оказанной амбулаторно, на прикрепленное население, застрахованное по обязательному медицинскому страхованию; | 1 | 0 | 
| 1.10.5. | включение в реестр счетов медицинской помощи, оказанной амбулаторно, в период пребывания застрахованного лица в условиях стационара (кроме дня поступления и выписки из стационара, а также оказания медицинской помощи (консультаций) в других медицинских организациях в экстренной и неотложной форме); | 1 | 0 | 
| 1.10.6. | включение в реестр счетов нескольких страховых случаев, при которых медицинская помощь оказана застрахованному лицу стационарно в один период оплаты с пересечением или совпадением сроков лечения | 1 | 0 | 
| РАЗДЕЛ 2. НАРУШЕНИЯ, ВЫЯВЛЯЕМЫЕ ПРИ ПРОВЕДЕНИИ МЕДИКО-ЭКОНОМИЧЕСКОЙ ЭКСПЕРТИЗЫ | |||
| 2.1. | Нарушение сроков ожидания медицинской помощи, установленных территориальной программой обязательного медицинского страхования | 0 | 0,3 | 
| 2.2. | Нарушение условий оказания скорой медицинской помощи, выразившееся в несоблюдении установленного программой обязательного медицинского страхования времени доезда бригады скорой медицинской помощи, при летальном исходе до приезда бригады скорой помощи | 1 | 3 | 
| 2.5. | Непроведение диспансерного наблюдения застрахованного лица (за исключением случаев отказа застрахованного лица, проинформированного лечащим врачом и (или) страховым представителем о возможности прохождения диспансерного наблюдения, от его прохождения), включенного в группу диспансерного наблюдения, в соответствии с порядком и периодичностью проведения диспансерного наблюдения и перечнем включаемых в них исследований, в том числе: | 
 | 
 | 
| 2.7. | Представление в реестрах счетов повторных случаев госпитализации застрахованного лица по одному и тому же заболеванию с длительностью три дня и менее (за исключением случаев, связанных с патологией беременности и родами) в течение четырнадцати календарных дней при оказании медицинской помощи в указанный период в амбулаторных условиях (за исключением случаев, при которых стоимость отдельной медицинской услуги, включенной в счет, учтена в тарифе на оплату медицинской помощи другой услуги, также предъявленной к оплате медицинской организацией) | 1 | 0,3 | 
| 2.8. | Необоснованное представление в реестрах счетов случаев оказания застрахованному лицу медицинской помощи, оказанной в условиях дневного стационара в период пребывания в условиях круглосуточного стационара (кроме дня поступления и выписки из стационара, а также консультаций в других медицинских организациях при экстренных и неотложных состояниях) | 1 | 0,3 | 
| 2.9. | Взимание платы с застрахованных лиц за оказанную медицинскую помощь, входящую в базовую либо территориальную программу обязательного медицинского страхования, при оказании медицинской помощи в рамках базовой либо территориальной программы обязательного медицинского страхования | 0 | 1 | 
| 2.10. | Приобретение пациентом или его представителем в период оказания медицинской помощи по назначению врача лекарственных препаратов для медицинского применения, включенных в перечень жизненно необходимых и важнейших лекарственных препаратов, и (или) медицинских изделий, включенных в перечень медицинских изделий, имплантируемых в организм человека, на основе клинических рекомендаций, с учетом стандартов медицинской помощи | 0,5 | 0,5 | 
| 2.11. | Отсутствие в реестре счетов сведений о страховом случае с летальным исходом при наличии сведений о смерти застрахованного лица в период оказания ему медицинской помощи в первичной медицинской документации и учетно-отчетной документации медицинской организации | 0 | 0,6 | 
| 2.12. | Непредставление медицинской документации, учетно-отчетной документации, подтверждающей факт оказания застрахованному лицу медицинской помощи в медицинской организации, а также результатов внутреннего и внешнего контроля медицинской организации, безопасности оказания медицинской помощи без объективных причин в течение 10 рабочих дней после получения медицинской организацией соответствующего запроса от Федерального фонда обязательного медицинского страхования или территориального фонда обязательного медицинского страхования, или страховой медицинской организации, или специалиста-эксперта, эксперта качества медицинской помощи, действующего по их поручению | 1 | 0 | 
| 2.13. | Отсутствие в документации (несоблюдение требований к оформлению) информированного добровольного согласия застрахованного лица на медицинское вмешательство или отказа застрахованного лица от медицинского вмешательства в установленных законодательством Российской Федерации случаях | 0,1 | 0 | 
| 2.14. | Наличие признаков искажения сведений, представленных в медицинской документации (дописки, исправления, "вклейки", полное переоформление с искажением сведений о проведенных диагностических и лечебных мероприятиях, клинической картине заболевания; расхождение сведений об оказании медицинской помощи в различных разделах медицинской документации и/или учетно-отчетной документации, запрошенной на проведение экспертизы) | 0,5 | 0 | 
| 2.15. | Дата оказания медицинской помощи, зарегистрированная в первичной медицинской документации и реестре счетов, не соответствует табелю учета рабочего времени врача (в том числе оказание медицинской помощи в период отпуска, обучения, командировок, выходных дней) | 1 | 0 | 
| 2.16. | Несоответствие данных медицинской документации данным реестра счетов, в том числе: | ||
| 2.16.1. | оплаченный случай оказания медицинской помощи не соответствует тарифу, установленному законодательством об обязательном медицинском страховании <*>; | 0,1 | 0,3 | 
| 2.16.2. | включение в счет на оплату медицинской помощи при отсутствии в медицинской документации сведений, подтверждающих факт оказания медицинской помощи застрахованному лицу; | 1 | 1 | 
| 2.16.3. | некорректное (неполное) отражение в реестре счета сведений медицинской документации | 1 | 
 | 
| 2.17. | Отсутствие в карте стационарного больного протокола врачебной комиссии в случаях назначения застрахованному лицу лекарственного препарата, не входящего в перечень жизненно необходимых и важнейших лекарственных препаратов | 0 | 0,3 | 
| 2.18. | Нарушение сроков ожидания медицинской помощи, установленных территориальной либо базовой программой обязательного медицинского страхования | 0 | 0,3 | 
| РАЗДЕЛ 3. НАРУШЕНИЯ, ВЫЯВЛЯЕМЫЕ ПРИ ПРОВЕДЕНИИ ЭКСПЕРТИЗЫ КАЧЕСТВА МЕДИЦИНСКОЙ ПОМОЩИ | |||
| 3.1. | Установление неверного диагноза, связанное с невыполнением, несвоевременным или ненадлежащим выполнением необходимых пациенту диагностических и (или) лечебных мероприятий, оперативных вмешательств в соответствии с порядками оказания медицинской помощи, на основе клинических рекомендаций и с учетом стандартов медицинской помощи, в том числе по результатам проведенного диспансерного наблюдения, с учетом рекомендаций по применению методов профилактики, диагностики, лечения и реабилитации, данных медицинскими работниками национальных медицинских центров в ходе консультаций/консилиумов с применением телемедицинских технологий: | ||
| 3.1.1. | не повлиявшее на состояние здоровья застрахованного лица; | 0,1 | 0 | 
| 3.1.2. | приведшее к удлинению или укорочению сроков лечения сверх установленных (за исключением случаев отказа застрахованного лица от медицинского вмешательства в установленных законодательством Российской Федерации случаях); | 0,3 | 0 | 
| 3.1.3. | приведшее к ухудшению состояния здоровья застрахованного лица, либо создавшее риск прогрессирования имеющегося заболевания, либо создавшее риск возникновения нового заболевания; | 0,4 | 0,3 | 
| 3.1.4. | приведшее к инвалидизации; | 0,9 | 1 | 
| 3.1.5. | приведшее к летальному исходу (в том числе при наличии расхождений клинического и патологоанатомического диагнозов); | 1 | 3 | 
| 3.2. | Невыполнение, несвоевременное или ненадлежащее выполнение необходимых пациенту диагностических и (или) лечебных мероприятий, оперативных вмешательств в соответствии с порядками оказания медицинской помощи, на основе клинических рекомендаций и с учетом стандартов медицинской помощи, в том числе по результатам проведенного диспансерного наблюдения, рекомендаций по применению методов профилактики, диагностики, лечения и реабилитации, данных медицинскими работниками национальных медицинских исследовательских центров в ходе консультаций/консилиумов с применением телемедицинских технологий: | ||
| 3.2.1. | не повлиявшее на состояние здоровья застрахованного лица; | 0,1 | 0 | 
| 3.2.2. | приведшее к ухудшению состояния здоровья застрахованного лица, либо создавшее риск прогрессирования имеющегося заболевания, либо создавшее риск возникновения нового заболевания (за исключением случаев отказа застрахованного лица от медицинского вмешательства в установленных законодательством Российской Федерации случаях); | 0,4 | 0,3 | 
| 3.2.3. | приведшее к инвалидизации (за исключением случаев отказа застрахованного лица от медицинского вмешательства в установленных законодательством Российской Федерации случаях); | 0,9 | 1 | 
| 3.2.4. | приведшее к летальному исходу (за исключением случаев отказа застрахованного лица от медицинского вмешательства в установленных законодательством Российской Федерации случаях); | 1 | 3 | 
| 3.2.5. | рекомендаций медицинских работников национальных медицинских исследовательских центров по применению методов профилактики, диагностики, лечения и реабилитации, данных при проведении указанными центрами консультаций/консилиумов с применением консультаций с применением телемедицинских технологий, при необоснованном невыполнении данных рекомендаций; | 0,9 | 1 | 
| 3.2.6. | по результатам проведенного диспансерного наблюдения | 0,9 | 1 | 
| 3.3. | Выполнение непоказанных, неоправданных с клинической точки зрения, не регламентированных порядками оказания медицинской помощи, клиническими рекомендациями, стандартами медицинской помощи мероприятий, приведшее к ухудшению состояния здоровья застрахованного лица, либо создавшее риск прогрессирования имеющегося заболевания, либо создавшее риск возникновения нового заболевания | 0,5 | 0,6 | 
| 3.4. | Преждевременное с клинической точки зрения прекращение оказания медицинской помощи при отсутствии клинического эффекта (за исключением случаев отказа застрахованного лица от медицинского вмешательства в установленных законодательством Российской Федерации случаях) | 0,5 | 0,3 | 
| 3.5. | Нарушения при оказании медицинской помощи (в частности, преждевременная выписка из медицинской организации), вследствие которых, при отсутствии положительной динамики в состоянии здоровья, потребовалось повторное обоснованное обращение застрахованного лица за медицинской помощью по поводу того же заболевания в течение четырнадцати дней со дня окончания оказания медицинской помощи амбулаторно, тридцати дней стационарно (повторная госпитализация) | 0,3 | 0 | 
| 3.6. | Нарушение по вине медицинской организации преемственности в оказании медицинской помощи (в том числе несвоевременный перевод пациента в медицинскую организацию более высокого уровня), приведшее к удлинению сроков оказания медицинской помощи и (или) ухудшению состояния здоровья застрахованного лица | 0,8 | 1 | 
| 3.7. | Госпитализация застрахованного лица в плановой или неотложной форме с нарушением требований к профильности оказанной медицинской помощи (непрофильная госпитализация), кроме случаев госпитализации в неотложной и экстренной форме с последующим переводом в течение суток в профильные медицинские организации (структурные подразделения медицинских организаций) | 1 | 0,3 | 
| 3.8. | Госпитализация застрахованного лица без медицинских показаний (необоснованная госпитализация), медицинская помощь которому могла быть предоставлена в установленном объеме амбулаторно, в дневном стационаре, отсутствие пациента в медицинской организации на дату проверки | 1 | 0,3 | 
| 3.9. | Необоснованное повторное посещение врача одной и той же специальности в один день при оказании медицинской помощи амбулаторно, за исключением повторного посещения для определения показаний к госпитализации, операции, консультациям в других медицинских организациях, в связи с выпиской лекарственных препаратов группам населения, при амбулаторном лечении которых лекарственные препараты отпускаются по рецептам врачей бесплатно и с 50-процентной скидкой, наблюдения беременных женщин, посещений, связанных с выдачей справок и иных медицинских документов | 1 | 0,3 | 
| 3.10. | Наличие расхождений клинического и патологоанатомического диагнозов 2 - 3 категории, обусловленное непроведением необходимых диагностических исследований (за исключением оказания медицинской помощи в экстренной форме) | 0,9 | 0,5 | 
| 3.11. | Отсутствие в медицинской документации результатов обследований, осмотров, консультаций специалистов, дневниковых записей, позволяющих оценить динамику состояния здоровья застрахованного лица, объем, характер, условия предоставления медицинской помощи и провести оценку качества оказанной медицинской помощи | 0,5 | 0 | 
| 3.12. | Нарушение прав застрахованных лиц на выбор медицинской организации из медицинских организаций, участвующих в реализации территориальной программы обязательного медицинского страхования, базовой программы обязательного медицинского страхования; на выбор врача | 0 | 0,3 | 
| 3.13. | Необоснованное назначение лекарственных препаратов; одновременное назначение лекарственных препаратов со схожим фармакологическим действием; нерациональная лекарственная терапия, в том числе несоответствие дозировок, кратности и длительности приема лекарственных препаратов с учетом стандартов медицинской помощи и клинических рекомендаций, связанные с риском для здоровья пациента | 0,5 | 0,6 | 
| 3.14. | Необоснованный отказ застрахованным лицам в оказании медицинской помощи в соответствии с программами обязательного медицинского страхования, в том числе: | ||
| 3.14.1. | с отсутствием последующего ухудшения состояния здоровья; | 
 | 1 | 
| 3.14.2. | с последующим ухудшением состояния здоровья; | 
 | 2 | 
| 3.14.3. | приведший к летальному исходу | 
 | 3 | 
| 3.15. | Непроведение диспансерного наблюдения застрахованного лица (за исключением случаев отказа застрахованного лица, проинформированного лечащим врачом и (или) страховым представителем о возможности прохождения диспансерного наблюдения, от его прохождения), включенного в группу диспансерного наблюдения, в соответствии с порядком и периодичностью проведения диспансерного наблюдения и перечнем включаемых в указанный порядок исследований, в том числе: | ||
| 3.15.1. | с отсутствием последующего ухудшения состояния здоровья; | 
 | 1 | 
| 3.15.2. | с последующим ухудшением состояния здоровья (за исключением случаев отказа застрахованного лица, проинформированного лечащим врачом и (или) страховым представителем о возможности прохождения диспансерного наблюдения, от его прохождения); | 
 | 2 | 
| 3.15.3. | приведший к летальному исходу (за исключением случаев отказа застрахованного лица, проинформированного лечащим врачом и (или) страховым представителем о возможности прохождения диспансерного наблюдения, от его прохождения) | 
 | 3 | 
     * В соответствии с п. 154, 155 Правил
ОМС.
Раздел V. ЗАКЛЮЧИТЕЛЬНЫЕ ПОЛОЖЕНИЯ 
Глава 1. ПОРЯДОК ВНЕСЕНИЯ ИЗМЕНЕНИЙ В
ТАРИФНОЕ СОГЛАШЕНИЕ 
     1.1. Все изменения, вносимые в
Тарифное соглашение, тарифы на оплату
медицинской помощи, оформляются
Дополнительным соглашением к Тарифному
соглашению и являются неотъемлемой
частью Тарифного соглашения.
     1.2. Тарифы на оплату медицинской
помощи пересматриваются Комиссией в
случаях, предусмотренных
законодательством Российской
Федерации.
Глава 2. СРОК ДЕЙСТВИЯ ТАРИФНОГО
СОГЛАШЕНИЯ 
     2.1. Настоящее Тарифное соглашение
вступает в силу с 01.01.2023 и действует в
рамках реализации базовой программы
обязательного медицинского страхования
и территориальной программы.
     2.2. Со дня вступления в силу
настоящего Тарифного соглашения
утрачивают силу Тарифное соглашение в
сфере обязательного медицинского
страхования Челябинской области от
30.12.2021 N 194-ОМС, Дополнительное соглашение
от 28.02.2022 N 1/194-ОМС к Тарифному соглашению
в сфере обязательного медицинского
страхования Челябинской области от
30.12.2021 N 194-ОМС, Дополнительное соглашение
от 30.03.2022 N 2/194-ОМС к Тарифному соглашению
в сфере обязательного медицинского
страхования Челябинской области от
30.12.2021 N 194-ОМС, Дополнительное соглашение
от 29.04.2022 N 3/194-ОМС к Тарифному соглашению
в сфере обязательного медицинского
страхования Челябинской области от
30.12.2021 N 194-ОМС, Дополнительное соглашение
от 04.05.2022 N 4/194-ОМС к Тарифному соглашению
в сфере обязательного медицинского
страхования Челябинской области от
30.12.2021 N 194-ОМС, Дополнительное соглашение
от 29.06.2022 N 5/194-ОМС к Тарифному соглашению
в сфере обязательного медицинского
страхования Челябинской области от
30.12.2021 N 194-ОМС, Дополнительное соглашение
от 29.07.2022 N 6/194-ОМС к Тарифному соглашению
в сфере обязательного медицинского
страхования Челябинской области от
30.12.2021 N 194-ОМС, Дополнительное соглашение
от 29.08.2022 N 7/194-ОМС к Тарифному соглашению
в сфере обязательного медицинского
страхования Челябинской области от
30.12.2021 N 194-ОМС, Дополнительное соглашение
от 30.09.2022 N 8/194-ОМС к Тарифному соглашению
в сфере обязательного медицинского
страхования Челябинской области от
30.12.2021 N 194-ОМС, Дополнительное соглашение
от 31.10.2022 N 9/194-ОМС к Тарифному соглашению
в сфере обязательного медицинского
страхования Челябинской области от
30.12.2021 N 194-ОМС, Дополнительное соглашение
от 30.11.2022 N 10/194-ОМС к Тарифному соглашению
в сфере обязательного медицинского
страхования Челябинской области от
30.12.2021 N 194-ОМС, Дополнительное соглашение
от 30.12.2022 N 11/194-ОМС к Тарифному соглашению
в сфере обязательного медицинского
страхования Челябинской области от
30.12.2021 N 194-ОМС.
Министр здравоохранения
Челябинской области
А.Г.ТКАЧЕВА 
Первый заместитель
Министра здравоохранения
Челябинской области
Е.С.НЕДОЧУКОВА 
Исполняющий обязанности
директора территориального фонда
обязательного медицинского
страхования
Челябинской области
Н.Ю.МИРОНОВА 
Начальник отдела
формирования
территориальной программы
обязательного медицинского
страхования
территориального фонда
обязательного медицинского
страхования
Челябинской области
С.Ю.БУШУЕВА 
Директор Челябинского филиала
Общества с ограниченной
ответственностью
"АльфаСтрахование-ОМС" -
заместитель директора
по региональному управлению
Общества с ограниченной
ответственностью
"АльфаСтрахование-ОМС",
Полномочный представитель
Всероссийского союза страховщиков
по медицинскому страхованию
в Челябинской области
Я.А.КОНОВАЛЕНКО 
Первый заместитель
директора филиала
СТРАХОВОЙ МЕДИЦИНСКОЙ КОМПАНИИ
"АСТРАМЕД-МС" (АКЦИОНЕРНОЕ ОБЩЕСТВО)
А.А.КОВТУН 
Председатель
Союза медицинского сообщества
"Медицинская палата
Челябинской области"
Д.Ш.АЛЬТМАН 
Член
Союза медицинского сообщества
"Медицинская палата
Челябинской области"
М.Г.МОСКВИЧЕВА 
Председатель
Челябинской областной организации
Профессионального союза
работников здравоохранения
Российской Федерации
Д.П.РЫВАЕВ 
Главный специалист
по социально-экономическим вопросам
Челябинской областной организации
Профессионального союза
работников здравоохранения
Российской Федерации
В.Н.КИНИХИНА 
Приложение N 1
к Тарифному соглашению
в сфере обязательного
медицинского страхования
Челябинской области
от 30 декабря 2022 г. N 199-ОМС 
Перечень медицинских организаций,
оказывающих медицинскую помощь в сфере
ОМС Челябинской области в 2023 году, в
разрезе условий предоставления
медицинской помощи и способов оплаты
медицинской помощи, применяемых в
медицинских организациях 
(в
ред. Дополнительных соглашений к
Тарифному соглашению в сфере
обязательного медицинского страхования
Челябинской области от 30.03.2023 N 2/199-ОМС, от
27.04.2023 N 3/199-ОМС, от 31.05.2023 N 4/199-ОМС, от 31.07.2023
N 5/199-ОМС, от 30.10.2023 N 8/199-ОМС)
| N п/п | Наименование медицинской организации | Код МО | Уровень МО | Медицинская помощь, оказанная в амбулаторных условиях | Медицинская помощь, оказанная в стационарных условиях | Медицинская помощь, оказанная в условиях дневного стационара | Скорая медицинская помощь | ||||||||||||||||||||||||||||||||||||||||||||||
| 
 | 
 | 
 | 
 | Способы оплаты медицинской помощи, применяемые в Челябинской области в рамках базовой программы ОМС | |||||||||||||||||||||||||||||||||||||||||||||||||
| 
 | 
 | 
 | 
 | по подушевому нормативу финансирования на прикрепившихся лиц с учетом показателей результативности деятельности медицинской организации (включая показатели объема медицинской помощи), в том числе с включением расходов на медицинскую помощь, оказываемую в иных медицинских организациях и оплачиваемую за единицу объема медицинской помощи; за единицу объема медицинской помощи - за медицинскую услугу, посещение, обращение (законченный случай) | за случай госпитализации (законченный случай лечения) по поводу заболевания, включенного в соответствующую группу заболеваний (КСГ), в том числе в сочетании с оплатой за услугу диализа; за прерванный случай госпитализации, в том числе в сочетании с оплатой за услугу диализа | за случай госпитализации (законченный случай лечения) по поводу заболевания, включенного в соответствующую группу заболеваний (ВМП), в том числе в сочетании с оплатой за услугу диализа | за случай (законченный случай) лечения заболевания, включенного в соответствующую группу заболеваний (КСГ); за прерванный случай оказания медицинской помощи | за услугу диализа, в том числе в сочетании с оплатой по КСГ | по подушевому нормативу финансирования; за единицу объема медицинской помощи - за вызов скорой медицинской помощи | ||||||||||||||||||||||||||||||||||||||||||||
| 
 | 
 | 
 | 
 | по подушевому нормативу финансирования (МО-Фондодержатели, МО-Исполнители) | по нормативу финансирования структурного подразделения медицинской организации | за посещение, за обращение (законченный случай) | за медицинскую услугу | 
 | 
 | по КСГ | в том числе медицинская помощь с применением экстракорпорального оплодотворения | медицинская помощь пациентам с почечной недостаточностью с применением методов диализа | по подушевому нормативу финансирования | за вызов | |||||||||||||||||||||||||||||||||||||||
| 
 | 
 | 
 | 
 | 
 | медицинская помощь, оказываемая ФП/ФАП | медицинские организации, не участвующие в подушевом финансировании | медицинские организации, участвующие в подушевом финансировании | стоматологическая медицинская помощь | медицинская помощь пациентам с почечной недостаточностью с применением методов диализа | при проведении в том числе диагностических (лабораторных) исследований (КТ, МРТ, УЗИ сердечно-сосудистой системы, эндоскопич. диагностич. исслед., молек.-генет. исслед. и патолог. исслед. биопсийного (операционного) материала, определ. РНК COVID-19 методом ПЦР) и прочие | 
 | 
 | 
 | 
 | 
 | 
 | медицинская помощь, оказанная в соответствии с приказами Минздрава Челябинской области от 09.09.2016 N 1517, от 29.03.2023 N 234 | с проведением тромболитической терапии | |||||||||||||||||||||||||||||||||||
| А | 1 | 2 | 3 | 4 | 5 | 6 | 7 | 8 | 9 | 10 | 11 | 12 | 13 | 14 | 15 | 16 | 17 | 18 | |||||||||||||||||||||||||||||||||||
| 
 | Ашинский муниципальный район | 
 | 
 | 
 | 
 | 
 | 
 | 
 | 
 | 
 | 
 | 
 | 
 | 
 | 
 | 
 | 
 | 
 | |||||||||||||||||||||||||||||||||||
| 1 | Государственное бюджетное учреждение здравоохранения "Районная больница г. Аша" | 242 | 2 | V | V | 
 | V | V | 
 | V | V | 
 | V | 
 | V | V | 
 | V | |||||||||||||||||||||||||||||||||||
| 2 | Публичное акционерное общество "Ашинский металлургический завод" | 408 | 1 | V | 
 | 
 | V <*> | V | 
 | 
 | 
 | 
 | 
 | 
 | 
 | 
 | 
 | 
 | |||||||||||||||||||||||||||||||||||
| 3 | Общество с ограниченной ответственностью "Торговый Дом ЭГЛЕ" | 775 | 1 | 
 | 
 | 
 | 
 | V | 
 | 
 | 
 | 
 | 
 | 
 | 
 | 
 | 
 | 
 | |||||||||||||||||||||||||||||||||||
| 
 | Верхнеуфалейский городской округ | 
 | 
 | 
 | 
 | 
 | 
 | 
 | 
 | 
 | 
 | 
 | 
 | 
 | 
 | 
 | 
 | 
 | |||||||||||||||||||||||||||||||||||
| 4 | Государственное бюджетное учреждение здравоохранения "Городская больница г. Верхний Уфалей" | 198 | 2 | V | V | 
 | V | 
 | 
 | V | V | 
 | V | 
 | 
 | V | 
 | V | |||||||||||||||||||||||||||||||||||
| 5 | Государственное бюджетное учреждение здравоохранения "Стоматологическая поликлиника г. Верхний Уфалей" | 203 | 1 | 
 | 
 | 
 | 
 | V | 
 | 
 | 
 | 
 | 
 | 
 | 
 | 
 | 
 | 
 | |||||||||||||||||||||||||||||||||||
| 
 | Еманжелинский муниципальный район | 
 | 
 | 
 | 
 | 
 | 
 | 
 | 
 | 
 | 
 | 
 | 
 | 
 | 
 | 
 | 
 | 
 | |||||||||||||||||||||||||||||||||||
| 6 | Государственное бюджетное учреждение здравоохранения "Районная больница г. Еманжелинск" | 205 | 2 | V | V | 
 | V | V | 
 | V | V | 
 | V | 
 | V | 
 | 
 | 
 | |||||||||||||||||||||||||||||||||||
| (в ред. Дополнительного соглашения к Тарифному соглашению в сфере обязательного медицинского страхования Челябинской области от 30.03.2023 N 2/199-ОМС) | |||||||||||||||||||||||||||||||||||||||||||||||||||||
| 
 | Златоустовский городской округ | 
 | 
 | 
 | 
 | 
 | 
 | 
 | 
 | 
 | 
 | 
 | 
 | 
 | 
 | 
 | 
 | 
 | |||||||||||||||||||||||||||||||||||
| 7 | Государственное бюджетное учреждение здравоохранения "Городская больница г. Златоуст" | 136 | 2 | V | V | 
 | V | V | 
 | V | V | 
 | V | 
 | 
 | 
 | 
 | 
 | |||||||||||||||||||||||||||||||||||
| 8 | Государственное бюджетное учреждение здравоохранения "Городская детская больница г. Златоуст" | 140 | 2 | V | 
 | 
 | V | V | 
 | V | V | 
 | V | 
 | 
 | 
 | 
 | 
 | |||||||||||||||||||||||||||||||||||
| 9 | Государственное бюджетное учреждение здравоохранения "Врачебно-физкультурный диспансер г. Златоуст" | 552 | 1 | 
 | 
 | V | 
 | 
 | 
 | 
 | 
 | 
 | 
 | 
 | 
 | 
 | 
 | 
 | |||||||||||||||||||||||||||||||||||
| 10 | Государственное бюджетное учреждение здравоохранения "Станция скорой медицинской помощи г. Златоуст" | 674 | 1 | 
 | 
 | 
 | 
 | 
 | 
 | 
 | 
 | 
 | 
 | 
 | 
 | V | 
 | V | |||||||||||||||||||||||||||||||||||
| 11 | Общество с ограниченной ответственностью "Здоровье" | 761 | 2 | 
 | 
 | 
 | 
 | 
 | 
 | V | 
 | 
 | 
 | 
 | 
 | 
 | 
 | 
 | |||||||||||||||||||||||||||||||||||
| 12 | Общество с ограниченной ответственностью "Центр семейной медицины "Созвездие" | 719 | 2 | 
 | 
 | 
 | 
 | 
 | 
 | V | 
 | 
 | 
 | 
 | 
 | 
 | 
 | 
 | |||||||||||||||||||||||||||||||||||
| 
 | Карабашский городской округ | 
 | 
 | 
 | 
 | 
 | 
 | 
 | 
 | 
 | 
 | 
 | 
 | 
 | 
 | 
 | 
 | 
 | |||||||||||||||||||||||||||||||||||
| 13 | Государственное бюджетное учреждение здравоохранения "Городская больница г. Карабаш" | 209 | 1 | V | 
 | 
 | V | V | 
 | V | V | 
 | V | 
 | 
 | V | 
 | V | |||||||||||||||||||||||||||||||||||
| (в ред. Дополнительного соглашения к Тарифному соглашению в сфере обязательного медицинского страхования Челябинской области от 31.07.2023 N 5/199-ОМС) | |||||||||||||||||||||||||||||||||||||||||||||||||||||
| 
 | Карталинский муниципальный район | 
 | 
 | 
 | 
 | 
 | 
 | 
 | 
 | 
 | 
 | 
 | 
 | 
 | 
 | 
 | 
 | 
 | |||||||||||||||||||||||||||||||||||
| 14 | Государственное бюджетное учреждение здравоохранения "Районная больница г. Карталы" | 264 | 2 | V | V | 
 | V | V | 
 | V | V | 
 | V | 
 | 
 | V | 
 | V | |||||||||||||||||||||||||||||||||||
| (в ред. Дополнительного соглашения к Тарифному соглашению в сфере обязательного медицинского страхования Челябинской области от 30.03.2023 N 2/199-ОМС) | |||||||||||||||||||||||||||||||||||||||||||||||||||||
| 15 | Частное учреждение здравоохранения "Поликлиника "РЖД-Медицина" города Карталы" | 441 | 1 | V | 
 | 
 | V | V | 
 | V | 
 | 
 | V | 
 | 
 | 
 | 
 | 
 | |||||||||||||||||||||||||||||||||||
| 
 | Локомотивный городской округ | 
 | 
 | 
 | 
 | 
 | 
 | 
 | 
 | 
 | 
 | 
 | 
 | 
 | 
 | 
 | 
 | 
 | |||||||||||||||||||||||||||||||||||
| 16 | Государственное бюджетное учреждение здравоохранения "Участковая больница" рабочего поселка Локомотивный | 447 | 1 | V | 
 | 
 | V | V | 
 | V | V | 
 | V | 
 | 
 | 
 | 
 | 
 | |||||||||||||||||||||||||||||||||||
| (в ред. Дополнительного соглашения к Тарифному соглашению в сфере обязательного медицинского страхования Челябинской области от 30.03.2023 N 2/199-ОМС) | |||||||||||||||||||||||||||||||||||||||||||||||||||||
| 
 | Катав-Ивановский муниципальный район | 
 | 
 | 
 | 
 | 
 | 
 | 
 | 
 | 
 | 
 | 
 | 
 | 
 | 
 | 
 | 
 | 
 | |||||||||||||||||||||||||||||||||||
| 17 | Государственное бюджетное учреждение здравоохранения "Районная больница г. Катав-Ивановск" | 278 | 1 | V | V | 
 | V | V | 
 | V | V | 
 | V | 
 | 
 | V | 
 | V | |||||||||||||||||||||||||||||||||||
| (в ред. Дополнительного соглашения к Тарифному соглашению в сфере обязательного медицинского страхования Челябинской области от 31.07.2023 N 5/199-ОМС) | |||||||||||||||||||||||||||||||||||||||||||||||||||||
| 
 | Копейский городской округ | 
 | 
 | 
 | 
 | 
 | 
 | 
 | 
 | 
 | 
 | 
 | 
 | 
 | 
 | 
 | 
 | 
 | |||||||||||||||||||||||||||||||||||
| 18 | Государственное бюджетное учреждение здравоохранения "Городская больница N 1 г. Копейск" | 148 | 2 | V | 
 | 
 | V | 
 | 
 | V | V | 
 | V | 
 | 
 | 
 | 
 | 
 | |||||||||||||||||||||||||||||||||||
| 19 | Государственное бюджетное учреждение здравоохранения "Городская больница N 3 г. Копейск" | 150 | 1 | V | V | 
 | V | V | 
 | V | 
 | 
 | V | 
 | 
 | 
 | 
 | 
 | |||||||||||||||||||||||||||||||||||
| (в ред. Дополнительного соглашения к Тарифному соглашению в сфере обязательного медицинского страхования Челябинской области от 31.07.2023 N 5/199-ОМС) | |||||||||||||||||||||||||||||||||||||||||||||||||||||
| 20 | Государственное бюджетное учреждение здравоохранения "Детская городская больница г. Копейск" | 157 | 2 | V | 
 | 
 | V | V | 
 | V | V | 
 | V | 
 | 
 | 
 | 
 | 
 | |||||||||||||||||||||||||||||||||||
| (в ред. Дополнительного соглашения к Тарифному соглашению в сфере обязательного медицинского страхования Челябинской области от 31.07.2023 N 5/199-ОМС) | |||||||||||||||||||||||||||||||||||||||||||||||||||||
| 21 | Государственное бюджетное учреждение здравоохранения "Стоматологическая поликлиника г. Копейск" | 158 | 1 | 
 | 
 | 
 | 
 | V | 
 | 
 | 
 | 
 | 
 | 
 | 
 | 
 | 
 | 
 | |||||||||||||||||||||||||||||||||||
| 22 | Государственное бюджетное учреждение здравоохранения "Врачебно-физкультурный диспансер г. Копейск" | 420 | 1 | 
 | 
 | V | 
 | 
 | 
 | 
 | 
 | 
 | 
 | 
 | 
 | 
 | 
 | 
 | |||||||||||||||||||||||||||||||||||
| 23 | Государственное бюджетное учреждение здравоохранения "Станция скорой медицинской помощи г. Копейск" | 491 | 1 | 
 | 
 | 
 | 
 | 
 | 
 | 
 | 
 | 
 | 
 | 
 | 
 | V | 
 | V | |||||||||||||||||||||||||||||||||||
| 24 | Общество с ограниченной ответственностью "ЭНЛИМЕД" | 800 | 2 | 
 | 
 | 
 | 
 | 
 | 
 | V | 
 | 
 | 
 | 
 | 
 | 
 | 
 | 
 | |||||||||||||||||||||||||||||||||||
| 
 | Коркинский муниципальный район | 
 | 
 | 
 | 
 | 
 | 
 | 
 | 
 | 
 | 
 | 
 | 
 | 
 | 
 | 
 | 
 | 
 | |||||||||||||||||||||||||||||||||||
| 25 | Государственное бюджетное учреждение здравоохранения "Городская больница N 1 г. Коркино" | 210 | 2 | V | V | 
 | V | V | 
 | V | V | 
 | V | 
 | 
 | 
 | 
 | 
 | |||||||||||||||||||||||||||||||||||
| 26 | Государственное бюджетное учреждение здравоохранения "Городская больница N 2 г. Коркино" | 211 | 1 | V | 
 | 
 | V | V | 
 | V | V | 
 | V | 
 | 
 | 
 | 
 | 
 | |||||||||||||||||||||||||||||||||||
| 27 | Государственное бюджетное учреждение здравоохранения "Городская больница N 3 г. Коркино" | 212 | 1 | V | 
 | 
 | V | V | 
 | V | 
 | 
 | V | 
 | 
 | 
 | 
 | 
 | |||||||||||||||||||||||||||||||||||
| 28 | Государственное бюджетное учреждение здравоохранения "Городская детская больница г. Коркино" | 213 | 1 | V | 
 | 
 | V | V | 
 | V | V | 
 | V | 
 | 
 | 
 | 
 | 
 | |||||||||||||||||||||||||||||||||||
| 29 | Государственное бюджетное учреждение здравоохранения "Станция скорой медицинской помощи г. Коркино" | 675 | 1 | 
 | 
 | 
 | 
 | 
 | 
 | 
 | 
 | 
 | 
 | 
 | 
 | V | 
 | V | |||||||||||||||||||||||||||||||||||
| 30 | Общество с ограниченной ответственностью "НоваАрт" | 633 | 1 | 
 | 
 | 
 | 
 | V | 
 | 
 | 
 | 
 | 
 | 
 | 
 | 
 | 
 | 
 | |||||||||||||||||||||||||||||||||||
| 31 | Общество с ограниченной ответственностью "НоваАРТ" | 740 | 1 | 
 | 
 | 
 | 
 | V | 
 | 
 | 
 | 
 | 
 | 
 | 
 | 
 | 
 | 
 | |||||||||||||||||||||||||||||||||||
| 
 | Кыштымский городской округ | 
 | 
 | 
 | 
 | 
 | 
 | 
 | 
 | 
 | 
 | 
 | 
 | 
 | 
 | 
 | 
 | 
 | |||||||||||||||||||||||||||||||||||
| 32 | Государственное бюджетное учреждение здравоохранения "Городская больница им. А.П. Силаева г. Кыштым" | 216 | 3 | V | V | 
 | V | V | 
 | V | V | V | V | 
 | V | V | 
 | V | |||||||||||||||||||||||||||||||||||
| (в ред. Дополнительного соглашения к Тарифному соглашению в сфере обязательного медицинского страхования Челябинской области от 31.07.2023 N 5/199-ОМС) | |||||||||||||||||||||||||||||||||||||||||||||||||||||
| 
 | Магнитогорский городской округ | 
 | 
 | 
 | 
 | 
 | 
 | 
 | 
 | 
 | 
 | 
 | 
 | 
 | 
 | 
 | 
 | 
 | |||||||||||||||||||||||||||||||||||
| 33 | Государственное автономное учреждение здравоохранения "Городская больница N 1 им. Г.И. Дробышева г. Магнитогорск" | 159 | 2 | V | 
 | 
 | V | 
 | 
 | V | V | 
 | V | 
 | V | 
 | 
 | 
 | |||||||||||||||||||||||||||||||||||
| 34 | Автономная некоммерческая организация "Центральная клиническая медико-санитарная часть" | 160 | 3 | V | 
 | 
 | V | V | 
 | V | V | V | V | 
 | 
 | 
 | 
 | 
 | |||||||||||||||||||||||||||||||||||
| 35 | Государственное автономное учреждение здравоохранения "Городская больница N 3 г. Магнитогорск" | 161 | 3 | V | 
 | 
 | V | 
 | 
 | V | V | V | V | 
 | 
 | 
 | 
 | 
 | |||||||||||||||||||||||||||||||||||
| 36 | Государственное автономное учреждение здравоохранения "Центр охраны материнства и детства г. Магнитогорск" | 164 | 3 | V | 
 | 
 | V | 
 | 
 | V | V | V | V | 
 | 
 | 
 | V | 
 | |||||||||||||||||||||||||||||||||||
| 37 | Государственное автономное учреждение здравоохранения "Родильный дом N 1 г. Магнитогорск" | 165 | 2 | V | 
 | 
 | V <*> | 
 | 
 | V | V | 
 | V | 
 | 
 | 
 | 
 | 
 | |||||||||||||||||||||||||||||||||||
| 38 | Государственное бюджетное учреждение здравоохранения "Детская стоматологическая поликлиника г. Магнитогорск" | 180 | 1 | 
 | 
 | 
 | 
 | V | 
 | 
 | 
 | 
 | 
 | 
 | 
 | 
 | 
 | 
 | |||||||||||||||||||||||||||||||||||
| 39 | Государственное бюджетное учреждение здравоохранения "Стоматологическая поликлиника N 2 г. Магнитогорск" | 182 | 1 | 
 | 
 | 
 | 
 | V | 
 | 
 | 
 | 
 | 
 | 
 | 
 | 
 | 
 | 
 | |||||||||||||||||||||||||||||||||||
| 40 | Государственное бюджетное учреждение здравоохранения "Стоматологическая поликлиника N 1 г. Магнитогорск" | 183 | 1 | 
 | 
 | 
 | 
 | V | 
 | 
 | 
 | 
 | 
 | 
 | 
 | 
 | 
 | 
 | |||||||||||||||||||||||||||||||||||
| 41 | Государственное автономное учреждение здравоохранения "Городская больница N 2 г. Магнитогорск" | 590 | 2 | V | 
 | 
 | V | 
 | 
 | V | V | 
 | V | 
 | 
 | 
 | 
 | 
 | |||||||||||||||||||||||||||||||||||
| 42 | Общество с ограниченной ответственностью "Медицина плюс" | 671 | 1 | 
 | 
 | 
 | 
 | 
 | 
 | V | 
 | 
 | 
 | 
 | 
 | 
 | 
 | 
 | |||||||||||||||||||||||||||||||||||
| 43 | Государственное бюджетное учреждение здравоохранения "Станция скорой медицинской помощи г. Магнитогорск" | 676 | 1 | 
 | 
 | 
 | 
 | 
 | 
 | 
 | 
 | 
 | 
 | 
 | 
 | V | 
 | V | |||||||||||||||||||||||||||||||||||
| 44 | Акционерное общество "Центр семейной медицины" | 690 | 2 | 
 | 
 | V | 
 | 
 | 
 | 
 | 
 | 
 | V | V | 
 | 
 | 
 | 
 | |||||||||||||||||||||||||||||||||||
| 45 | Общество с ограниченной ответственностью "ДНК КЛИНИКА" | 712 | 2 | 
 | 
 | V | 
 | 
 | 
 | 
 | 
 | 
 | V | V | 
 | 
 | 
 | 
 | |||||||||||||||||||||||||||||||||||
| (в ред. Дополнительного соглашения к Тарифному соглашению в сфере обязательного медицинского страхования Челябинской области от 30.03.2023 N 2/199-ОМС) | |||||||||||||||||||||||||||||||||||||||||||||||||||||
| 46 | Общество с ограниченной ответственностью "НовоМед" | 768 | 2 | 
 | 
 | 
 | 
 | 
 | 
 | V | 
 | 
 | 
 | 
 | 
 | 
 | 
 | 
 | |||||||||||||||||||||||||||||||||||
| 47 | Общество с ограниченной ответственностью "Вива-Дент" | 779 | 1 | 
 | 
 | 
 | 
 | V | 
 | 
 | 
 | 
 | 
 | 
 | 
 | 
 | 
 | 
 | |||||||||||||||||||||||||||||||||||
| 48 | Общество с ограниченной ответственностью "Клиника лазерной хирургии" | 793 | 1 | 
 | 
 | 
 | 
 | 
 | 
 | 
 | 
 | 
 | V | 
 | 
 | 
 | 
 | 
 | |||||||||||||||||||||||||||||||||||
| 49 | Общество с ограниченной ответственностью "Лечебно-диагностический центр Международного института биологических систем - Магнитогорск" | 815 | 1 | 
 | 
 | 
 | 
 | 
 | 
 | V | 
 | 
 | 
 | 
 | 
 | 
 | 
 | 
 | |||||||||||||||||||||||||||||||||||
| 
 | Миасский городской округ | 
 | 
 | 
 | 
 | 
 | 
 | 
 | 
 | 
 | 
 | 
 | 
 | 
 | 
 | 
 | 
 | 
 | |||||||||||||||||||||||||||||||||||
| 50 | Государственное бюджетное учреждение здравоохранения "Городская больница N 1 имени Г.К. Маврицкого г. Миасс" | 186 | 1 | V | V | 
 | V | V | 
 | V | V | 
 | V | 
 | 
 | 
 | 
 | 
 | |||||||||||||||||||||||||||||||||||
| 51 | Государственное автономное учреждение здравоохранения "Городская больница N 2 г. Миасс" | 187 | 2 | V | V | 
 | V | V | 
 | V | V | 
 | V | 
 | 
 | 
 | 
 | 
 | |||||||||||||||||||||||||||||||||||
| 52 | Государственное автономное учреждение здравоохранения "Городская больница N 3 г. Миасс" | 188 | 3 | V | V | 
 | V | V | 
 | V | V | V | V | 
 | 
 | 
 | 
 | 
 | |||||||||||||||||||||||||||||||||||
| 53 | Государственное бюджетное учреждение здравоохранения "Станция скорой медицинской помощи г. Миасс" | 193 | 1 | 
 | 
 | 
 | 
 | 
 | 
 | 
 | 
 | 
 | 
 | 
 | 
 | V | 
 | V | |||||||||||||||||||||||||||||||||||
| 54 | Федеральное государственное бюджетное учреждение здравоохранения "Медико-санитарная часть N 92 Федерального медико-биологического агентства" | 433 | 1 | V | 
 | 
 | V <*> | V | 
 | 
 | 
 | 
 | V | 
 | 
 | 
 | 
 | 
 | |||||||||||||||||||||||||||||||||||
| 55 | Государственное бюджетное учреждение здравоохранения "Стоматологическая поликлиника г. Миасс" | 451 | 1 | 
 | 
 | 
 | 
 | V | 
 | 
 | 
 | 
 | 
 | 
 | 
 | 
 | 
 | 
 | |||||||||||||||||||||||||||||||||||
| 56 | Государственное бюджетное учреждение здравоохранения "Городская детская поликлиника г. Миасс" | 452 | 1 | V | 
 | 
 | V | V | 
 | V | 
 | 
 | V | 
 | 
 | 
 | 
 | 
 | |||||||||||||||||||||||||||||||||||
| 57 | Общество с ограниченной ответственностью "Демидов" | 755 | 1 | 
 | 
 | V | 
 | V | 
 | V | V | 
 | V | 
 | 
 | 
 | 
 | 
 | |||||||||||||||||||||||||||||||||||
| 58 | Общество с ограниченной ответственностью "Стоматологическая поликлиника "Для всей семьи" | 799 | 1 | 
 | 
 | 
 | 
 | V | 
 | 
 | 
 | 
 | 
 | 
 | 
 | 
 | 
 | 
 | |||||||||||||||||||||||||||||||||||
| 59 | Общество с ограниченной ответственностью "МиассМедцентр" | 803 | 1 | 
 | 
 | 
 | 
 | 
 | 
 | 
 | 
 | 
 | V | 
 | 
 | 
 | 
 | 
 | |||||||||||||||||||||||||||||||||||
| 60 | Общество с ограниченной ответственностью "Стоматолог" | 825 | 1 | 
 | 
 | 
 | 
 | V | 
 | 
 | 
 | 
 | 
 | 
 | 
 | 
 | 
 | 
 | |||||||||||||||||||||||||||||||||||
| 
 | Озерский городской округ | 
 | 
 | 
 | 
 | 
 | 
 | 
 | 
 | 
 | 
 | 
 | 
 | 
 | 
 | 
 | 
 | 
 | |||||||||||||||||||||||||||||||||||
| 61 | Федеральное государственное бюджетное учреждение здравоохранения "Клиническая больница N 71 Федерального медико-биологического агентства" | 453 | 2 | V | V | 
 | V | V | 
 | V | 
 | 
 | V | 
 | V | V | 
 | V | |||||||||||||||||||||||||||||||||||
| 
 | Пластовский муниципальный район | 
 | 
 | 
 | 
 | 
 | 
 | 
 | 
 | 
 | 
 | 
 | 
 | 
 | 
 | 
 | 
 | 
 | |||||||||||||||||||||||||||||||||||
| 62 | Государственное бюджетное учреждение здравоохранения "Районная больница г. Пласт" | 218 | 1 | V | V | 
 | V | V | 
 | V | V | 
 | V | 
 | 
 | V | 
 | 
 | |||||||||||||||||||||||||||||||||||
| (в ред. Дополнительного соглашения к Тарифному соглашению в сфере обязательного медицинского страхования Челябинской области от 30.03.2023 N 2/199-ОМС) | |||||||||||||||||||||||||||||||||||||||||||||||||||||
| 
 | Саткинский муниципальный район | 
 | 
 | 
 | 
 | 
 | 
 | 
 | 
 | 
 | 
 | 
 | 
 | 
 | 
 | 
 | 
 | 
 | |||||||||||||||||||||||||||||||||||
| 63 | Государственное бюджетное учреждение здравоохранения "Областная больница г. Сатка" | 404 | 3 | V | V | 
 | V | V | 
 | V | V | V | V | 
 | V | 
 | 
 | 
 | |||||||||||||||||||||||||||||||||||
| (в ред. Дополнительных соглашений к Тарифному соглашению в сфере обязательного медицинского страхования Челябинской области от 30.03.2023 N 2/199-ОМС, от 31.07.2023 N 5/199-ОМС) | |||||||||||||||||||||||||||||||||||||||||||||||||||||
| 64 | Государственное бюджетное учреждение здравоохранения "Станция скорой медицинской помощи г. Сатка" | 530 | 1 | 
 | 
 | 
 | 
 | 
 | 
 | 
 | 
 | 
 | 
 | 
 | 
 | V | 
 | V | |||||||||||||||||||||||||||||||||||
| 
 | Снежинский городской округ | 
 | 
 | 
 | 
 | 
 | 
 | 
 | 
 | 
 | 
 | 
 | 
 | 
 | 
 | 
 | 
 | 
 | |||||||||||||||||||||||||||||||||||
| 65 | Федеральное государственное бюджетное учреждение здравоохранения "Центральная медико-санитарная часть N 15 Федерального медико-биологического агентства" | 444 | 2 | V | 
 | 
 | V | V | 
 | V | 
 | 
 | V | 
 | 
 | V | 
 | V | |||||||||||||||||||||||||||||||||||
| (в ред. Дополнительного соглашения к Тарифному соглашению в сфере обязательного медицинского страхования Челябинской области от 31.05.2023 N 4/199-ОМС) | |||||||||||||||||||||||||||||||||||||||||||||||||||||
| 66 | Общество с ограниченной ответственностью "Кристалл" | 797 | 1 | 
 | 
 | 
 | 
 | V | 
 | 
 | 
 | 
 | 
 | 
 | 
 | 
 | 
 | 
 | |||||||||||||||||||||||||||||||||||
| 
 | Трехгорный городской округ | 
 | 
 | 
 | 
 | 
 | 
 | 
 | 
 | 
 | 
 | 
 | 
 | 
 | 
 | 
 | 
 | 
 | |||||||||||||||||||||||||||||||||||
| 67 | Федеральное государственное бюджетное учреждение здравоохранения "Медико-санитарная часть N 72 Федерального медико-биологического агентства" | 445 | 2 | V | 
 | 
 | V | V | 
 | V | 
 | 
 | V | 
 | 
 | V | 
 | V | |||||||||||||||||||||||||||||||||||
| (в ред. Дополнительного соглашения к Тарифному соглашению в сфере обязательного медицинского страхования Челябинской области от 31.05.2023 N 4/199-ОМС) | |||||||||||||||||||||||||||||||||||||||||||||||||||||
| 
 | Троицкий городской округ | 
 | 
 | 
 | 
 | 
 | 
 | 
 | 
 | 
 | 
 | 
 | 
 | 
 | 
 | 
 | 
 | 
 | |||||||||||||||||||||||||||||||||||
| 68 | Государственное бюджетное учреждение здравоохранения "Областная больница г. Троицк" | 295 | 3 | V | V | 
 | V | V | 
 | V | V | V | V | 
 | V | V | 
 | V | |||||||||||||||||||||||||||||||||||
| 69 | Общество с ограниченной ответственностью "Орхидея" | 789 | 1 | 
 | 
 | V | 
 | 
 | 
 | V | 
 | 
 | V | 
 | 
 | 
 | 
 | 
 | |||||||||||||||||||||||||||||||||||
| 
 | Усть-Катавский городской округ | 
 | 
 | 
 | 
 | 
 | 
 | 
 | 
 | 
 | 
 | 
 | 
 | 
 | 
 | 
 | 
 | 
 | |||||||||||||||||||||||||||||||||||
| 70 | Федеральное государственное бюджетное учреждение здравоохранения "Медико-санитарная часть N 162 Федерального медико-биологического агентства" | 403 | 1 | V | V | 
 | V | V | 
 | V | 
 | 
 | 
 | 
 | 
 | V | 
 | 
 | |||||||||||||||||||||||||||||||||||
| 
 | Чебаркульский городской округ | 
 | 
 | 
 | 
 | 
 | 
 | 
 | 
 | 
 | 
 | 
 | 
 | 
 | 
 | 
 | 
 | 
 | |||||||||||||||||||||||||||||||||||
| 71 | Государственное бюджетное учреждение здравоохранения "Районная больница г. Чебаркуль" | 315 | 2 | V | V | 
 | V | V | 
 | V | V | 
 | V | 
 | 
 | V | 
 | V | |||||||||||||||||||||||||||||||||||
| (в ред. Дополнительного соглашения к Тарифному соглашению в сфере обязательного медицинского страхования Челябинской области от 30.03.2023 N 2/199-ОМС) | |||||||||||||||||||||||||||||||||||||||||||||||||||||
| 72 | Общество с ограниченной ответственностью "Курорт "Кисегач" | 471 | 2 | 
 | 
 | 
 | 
 | 
 | 
 | 
 | V | 
 | 
 | 
 | 
 | 
 | 
 | 
 | |||||||||||||||||||||||||||||||||||
| 73 | Общество с ограниченной ответственностью "Смайл" | 647 | 1 | 
 | 
 | 
 | 
 | V | 
 | 
 | 
 | 
 | 
 | 
 | 
 | 
 | 
 | 
 | |||||||||||||||||||||||||||||||||||
| 
 | Челябинский городской округ | 
 | 
 | 
 | 
 | 
 | 
 | 
 | 
 | 
 | 
 | 
 | 
 | 
 | 
 | 
 | 
 | 
 | |||||||||||||||||||||||||||||||||||
| 74 | Государственное автономное учреждение здравоохранения Ордена Трудового Красного Знамени "Городская клиническая больница N 1 г. Челябинск" | 79 | 3 | V | V | 
 | V | V | 
 | V | V | V | V | 
 | 
 | 
 | 
 | 
 | |||||||||||||||||||||||||||||||||||
| 75 | Государственное автономное учреждение здравоохранения "Областная клиническая больница N 3" | 456 | 3 | V | 
 | 
 | V | V | 
 | V | V | V | V | 
 | 
 | 
 | V | 
 | |||||||||||||||||||||||||||||||||||
| (в ред. Дополнительного соглашения к Тарифному соглашению в сфере обязательного медицинского страхования Челябинской области от 27.04.2023 N 3/199-ОМС) | |||||||||||||||||||||||||||||||||||||||||||||||||||||
| 76 | Государственное автономное учреждение здравоохранения "Городская клиническая больница N 6 г. Челябинск" | 85 | 3 | V | 
 | 
 | V | V | 
 | V | V | V | V | 
 | 
 | 
 | 
 | 
 | |||||||||||||||||||||||||||||||||||
| 77 | Государственное бюджетное учреждение здравоохранения "Областная клиническая больница N 2" | 86 | 2 | V | 
 | 
 | V | V | 
 | V | V | 
 | V | 
 | 
 | 
 | 
 | 
 | |||||||||||||||||||||||||||||||||||
| 78 | Федеральное государственное бюджетное образовательное учреждение высшего образования "Южно-Уральский государственный медицинский университет" Министерства здравоохранения Российской Федерации | 88 | 3 | 
 | 
 | V | 
 | V | 
 | V | V | 
 | V | 
 | 
 | 
 | 
 | 
 | |||||||||||||||||||||||||||||||||||
| 79 | Государственное автономное учреждение здравоохранения "Детская городская клиническая больница N 8 г. Челябинск" | 90 | 3 | V | 
 | 
 | V | V | 
 | V | V | V | V | 
 | 
 | 
 | V | 
 | |||||||||||||||||||||||||||||||||||
| (в ред. Дополнительного соглашения к Тарифному соглашению в сфере обязательного медицинского страхования Челябинской области от 31.07.2023 N 5/199-ОМС) | |||||||||||||||||||||||||||||||||||||||||||||||||||||
| 80 | Государственное автономное учреждение здравоохранения "Городская клиническая больница N 2 г. Челябинск" | 91 | 2 | V | 
 | 
 | V | V | 
 | V | V | 
 | V | 
 | 
 | 
 | 
 | 
 | |||||||||||||||||||||||||||||||||||
| 81 | Государственное бюджетное учреждение здравоохранения "Городская клиническая больница N 5 г. Челябинск" | 93 | 2 | V | 
 | 
 | V | V | 
 | V | V | 
 | V | 
 | 
 | 
 | 
 | 
 | |||||||||||||||||||||||||||||||||||
| 82 | Государственное автономное учреждение здравоохранения Ордена Знак Почета "Городская клиническая больница N 8 г. Челябинск" | 94 | 3 | V | 
 | 
 | V | V | V | V | V | V | V | 
 | V | 
 | 
 | 
 | |||||||||||||||||||||||||||||||||||
| 83 | Государственное автономное учреждение здравоохранения "Городская клиническая больница N 9 г. Челябинск" | 95 | 2 | V | 
 | 
 | V | 
 | 
 | V | V | 
 | V | 
 | 
 | 
 | 
 | 
 | |||||||||||||||||||||||||||||||||||
| 84 | Государственное автономное учреждение здравоохранения "Детская городская клиническая больница N 1 г. Челябинск" | 99 | 2 | V | 
 | 
 | V | V | 
 | V | V | 
 | V | 
 | 
 | 
 | 
 | 
 | |||||||||||||||||||||||||||||||||||
| 85 | Государственное автономное учреждение здравоохранения "Детская городская клиническая поликлиника N 9 г. Челябинск" | 102 | 2 | V | 
 | 
 | V | V | 
 | V | 
 | 
 | V | 
 | 
 | 
 | 
 | 
 | |||||||||||||||||||||||||||||||||||
| (в ред. Дополнительного соглашения к Тарифному соглашению в сфере обязательного медицинского страхования Челябинской области от 31.07.2023 N 5/199-ОМС) | |||||||||||||||||||||||||||||||||||||||||||||||||||||
| 86 | Государственное бюджетное учреждение здравоохранения "Городская клиническая поликлиника N 5 г. Челябинск" | 119 | 1 | V | 
 | 
 | V | 
 | 
 | V | 
 | 
 | V | 
 | 
 | 
 | 
 | 
 | |||||||||||||||||||||||||||||||||||
| (в ред. Дополнительного соглашения к Тарифному соглашению в сфере обязательного медицинского страхования Челябинской области от 31.07.2023 N 5/199-ОМС) | |||||||||||||||||||||||||||||||||||||||||||||||||||||
| 87 | Государственное автономное учреждение здравоохранения "Городская клиническая поликлиника N 8 г. Челябинск" | 122 | 1 | V | 
 | 
 | V | V | 
 | V | 
 | 
 | V | 
 | 
 | 
 | 
 | 
 | |||||||||||||||||||||||||||||||||||
| 88 | Государственное автономное учреждение здравоохранения "Детская городская поликлиника N 4 г. Челябинск" | 125 | 1 | V | 
 | 
 | V | V | 
 | V | 
 | 
 | V | 
 | 
 | 
 | 
 | 
 | |||||||||||||||||||||||||||||||||||
| 89 | Государственное автономное учреждение здравоохранения "Детская городская клиническая поликлиника N 8 имени Александра Невского г. Челябинск" | 127 | 2 | V | 
 | 
 | V | V | 
 | V | 
 | 
 | V | 
 | 
 | 
 | 
 | 
 | |||||||||||||||||||||||||||||||||||
| 90 | Государственное автономное учреждение здравоохранения "Стоматологическая поликлиника N 1 г. Челябинск" | 130 | 1 | 
 | 
 | 
 | 
 | V | 
 | 
 | 
 | 
 | 
 | 
 | 
 | 
 | 
 | 
 | |||||||||||||||||||||||||||||||||||
| 91 | Государственное автономное учреждение здравоохранения "Стоматологическая поликлиника N 6 г. Челябинск" | 133 | 1 | 
 | 
 | 
 | 
 | V | 
 | 
 | 
 | 
 | 
 | 
 | 
 | 
 | 
 | 
 | |||||||||||||||||||||||||||||||||||
| 92 | Общество с ограниченной ответственностью "Стоматологическая поликлиника N 4" | 401 | 1 | 
 | 
 | 
 | 
 | V | 
 | 
 | 
 | 
 | 
 | 
 | 
 | 
 | 
 | 
 | |||||||||||||||||||||||||||||||||||
| 93 | Государственное бюджетное учреждение здравоохранения "Диагностический центр г. Челябинск" | 410 | 2 | 
 | 
 | 
 | 
 | 
 | 
 | V | 
 | 
 | 
 | 
 | 
 | 
 | 
 | 
 | |||||||||||||||||||||||||||||||||||
| 94 | Государственное автономное учреждение здравоохранения "Городская клиническая больница N 11 г. Челябинск" | 413 | 2 | V | 
 | 
 | V | V | 
 | V | V | 
 | V | 
 | 
 | 
 | 
 | 
 | |||||||||||||||||||||||||||||||||||
| 95 | Государственное автономное учреждение здравоохранения "Детская городская клиническая поликлиника N 6 г. Челябинск" | 415 | 1 | V | 
 | 
 | V | V | 
 | V | 
 | 
 | V | 
 | 
 | 
 | 
 | 
 | |||||||||||||||||||||||||||||||||||
| 96 | Государственное автономное учреждение здравоохранения "Детская городская клиническая поликлиника N 1 г. Челябинск" | 417 | 2 | V | 
 | 
 | V | V | 
 | V | 
 | 
 | V | 
 | 
 | 
 | 
 | 
 | |||||||||||||||||||||||||||||||||||
| (в ред. Дополнительного соглашения к Тарифному соглашению в сфере обязательного медицинского страхования Челябинской области от 31.07.2023 N 5/199-ОМС) | |||||||||||||||||||||||||||||||||||||||||||||||||||||
| 97 | Государственное бюджетное учреждение здравоохранения "Детская городская клиническая больница N 7 г. Челябинск" | 439 | 2 | V | 
 | 
 | V | V | 
 | V | V | 
 | V | 
 | 
 | 
 | 
 | 
 | |||||||||||||||||||||||||||||||||||
| (в ред. Дополнительного соглашения к Тарифному соглашению в сфере обязательного медицинского страхования Челябинской области от 31.07.2023 N 5/199-ОМС) | |||||||||||||||||||||||||||||||||||||||||||||||||||||
| 98 | Частное учреждение здравоохранения "Клиническая больница "РЖД-Медицина" города Челябинск" | 440 | 3 | V | 
 | 
 | V | V | 
 | V | V | V | V | 
 | 
 | 
 | 
 | 
 | |||||||||||||||||||||||||||||||||||
| 99 | Федеральное казенное учреждение здравоохранения "Медико-санитарная часть Министерства внутренних дел Российской Федерации по Челябинской области" | 546 | 1 | V | 
 | 
 | V <*> | V | 
 | 
 | 
 | 
 | 
 | 
 | 
 | 
 | 
 | 
 | |||||||||||||||||||||||||||||||||||
| 100 | Общество с ограниченной ответственностью "Неврологическая клиника доктора Бубновой И.Д." | 634 | 1 | 
 | 
 | V | 
 | 
 | 
 | 
 | 
 | 
 | V | 
 | 
 | 
 | 
 | 
 | |||||||||||||||||||||||||||||||||||
| 101 | Общество с ограниченной ответственностью Медицинский центр "Лотос" | 635 | 2 | 
 | 
 | V | 
 | 
 | 
 | V | V | 
 | V | V | 
 | 
 | 
 | 
 | |||||||||||||||||||||||||||||||||||
| 102 | Закрытое акционерное общество "ВИСВИ" | 641 | 1 | 
 | 
 | 
 | 
 | V | 
 | 
 | 
 | 
 | 
 | 
 | 
 | 
 | 
 | 
 | |||||||||||||||||||||||||||||||||||
| 103 | Общество с ограниченной ответственностью "Лечебно-профилактический комплекс" | 642 | 1 | 
 | 
 | V | 
 | 
 | 
 | 
 | 
 | 
 | 
 | 
 | 
 | 
 | 
 | 
 | |||||||||||||||||||||||||||||||||||
| (в ред. Дополнительного соглашения к Тарифному соглашению в сфере обязательного медицинского страхования Челябинской области от 30.03.2023 N 2/199-ОМС) | |||||||||||||||||||||||||||||||||||||||||||||||||||||
| 104 | Общество с ограниченной ответственностью "ЭСТЕДЕНТ" | 653 | 1 | 
 | 
 | 
 | 
 | V | 
 | 
 | 
 | 
 | 
 | 
 | 
 | 
 | 
 | 
 | |||||||||||||||||||||||||||||||||||
| 105 | Общество с ограниченной ответственностью "Лечебно-диагностический центр Международного института биологических систем - Челябинск" | 658 | 1 | 
 | 
 | 
 | 
 | 
 | 
 | V | 
 | 
 | 
 | 
 | 
 | 
 | 
 | 
 | |||||||||||||||||||||||||||||||||||
| 106 | Общество с ограниченной ответственностью "Центр хирургии сердца" | 661 | 1 | 
 | 
 | 
 | 
 | 
 | 
 | 
 | V | 
 | 
 | 
 | 
 | 
 | 
 | 
 | |||||||||||||||||||||||||||||||||||
| 107 | Общество с ограниченной ответственностью Медицинская клиника "ЭФ ЭМ СИ" | 668 | 1 | 
 | 
 | 
 | 
 | 
 | 
 | 
 | V | 
 | 
 | 
 | 
 | 
 | 
 | 
 | |||||||||||||||||||||||||||||||||||
| 108 | Государственное автономное учреждение здравоохранения "Станция скорой медицинской помощи" | 672 | 1 | 
 | 
 | 
 | 
 | 
 | 
 | 
 | 
 | 
 | 
 | 
 | 
 | V | 
 | V | |||||||||||||||||||||||||||||||||||
| 109 | Федеральное государственное бюджетное учреждение науки "Уральский научно-практический центр радиационной медицины Федерального медико-биологического агентства" | 678 | 1 | 
 | 
 | V | 
 | 
 | 
 | 
 | 
 | 
 | 
 | 
 | 
 | 
 | 
 | 
 | |||||||||||||||||||||||||||||||||||
| 110 | Государственное автономное учреждение здравоохранения "Центр вспомогательных репродуктивных технологий г. Челябинск" | 679 | 2 | 
 | 
 | 
 | 
 | 
 | 
 | 
 | 
 | 
 | V | V | 
 | 
 | 
 | 
 | |||||||||||||||||||||||||||||||||||
| 111 | Общество с ограниченной ответственностью "Канон" | 689 | 1 | 
 | 
 | 
 | 
 | 
 | 
 | 
 | V | 
 | 
 | 
 | 
 | 
 | 
 | 
 | |||||||||||||||||||||||||||||||||||
| 112 | Муниципальное бюджетное общеобразовательное учреждение "Лицей N 11 г. Челябинска" | 698 | 1 | 
 | 
 | 
 | 
 | V | 
 | 
 | 
 | 
 | 
 | 
 | 
 | 
 | 
 | 
 | |||||||||||||||||||||||||||||||||||
| 113 | Общество с ограниченной ответственностью "ЦЕНТР ДИАЛИЗА" | 691 | 2 | 
 | 
 | 
 | 
 | 
 | V | 
 | 
 | 
 | 
 | 
 | V | 
 | 
 | 
 | |||||||||||||||||||||||||||||||||||
| 114 | Общество с ограниченной ответственностью "Медицинская организация "Оптик-Центр" | 707 | 1 | 
 | 
 | V | 
 | 
 | 
 | 
 | V | 
 | V | 
 | 
 | 
 | 
 | 
 | |||||||||||||||||||||||||||||||||||
| 115 | Закрытое акционерное общество "Жемчужина" | 710 | 1 | 
 | 
 | 
 | 
 | 
 | 
 | 
 | 
 | 
 | V | V | 
 | 
 | 
 | 
 | |||||||||||||||||||||||||||||||||||
| 116 | Общество с ограниченной ответственностью Медицинский центр "МЕДЕОР" | 733 | 2 | 
 | 
 | 
 | 
 | 
 | 
 | 
 | V | 
 | 
 | 
 | 
 | 
 | 
 | 
 | |||||||||||||||||||||||||||||||||||
| 117 | Общество с ограниченной ответственностью "ЦАД 74" | 736 | 2 | 
 | 
 | 
 | 
 | 
 | 
 | 
 | 
 | 
 | 
 | 
 | V | 
 | 
 | 
 | |||||||||||||||||||||||||||||||||||
| 118 | Исключен с 30.10.2023. - Дополнительное соглашение к Тарифному соглашению в сфере обязательного медицинского страхования Челябинской области от 30.10.2023 N 8/199-ОМС | ||||||||||||||||||||||||||||||||||||||||||||||||||||
| 
 | |||||||||||||||||||||||||||||||||||||||||||||||||||||
| 119 | Общество с ограниченной ответственностью "ЕВРОДЕНТ" | 738 | 1 | 
 | 
 | 
 | 
 | V | 
 | 
 | 
 | 
 | 
 | 
 | 
 | 
 | 
 | 
 | |||||||||||||||||||||||||||||||||||
| 120 | Общество с ограниченной ответственностью "РичСтом" | 745 | 1 | 
 | 
 | 
 | 
 | V | 
 | 
 | 
 | 
 | 
 | 
 | 
 | 
 | 
 | 
 | |||||||||||||||||||||||||||||||||||
| 121 | Общество с ограниченной ответственностью "Центр акушерства и гинекологии N 1" | 747 | 2 | 
 | 
 | V | 
 | 
 | 
 | 
 | 
 | 
 | V | V | 
 | 
 | 
 | 
 | |||||||||||||||||||||||||||||||||||
| 122 | Государственное бюджетное учреждение здравоохранения "Центр медицинской реабилитации "Вдохновение" | 749 | 2 | 
 | 
 | 
 | 
 | 
 | 
 | 
 | V | 
 | V | 
 | 
 | 
 | 
 | 
 | |||||||||||||||||||||||||||||||||||
| 123 | Общество с ограниченной ответственностью "Фортуна" | 752 | 1 | 
 | 
 | V | 
 | 
 | 
 | 
 | V | 
 | 
 | 
 | 
 | 
 | 
 | 
 | |||||||||||||||||||||||||||||||||||
| 124 | Общество с ограниченной ответственностью Лечебно-профилактическая медицинская организация "Новое сечение" | 760 | 1 | 
 | 
 | V | 
 | 
 | 
 | 
 | 
 | 
 | V | 
 | 
 | 
 | 
 | 
 | |||||||||||||||||||||||||||||||||||
| 125 | Общество с ограниченной ответственностью "ВЭХ ОМС" | 765 | 1 | 
 | 
 | 
 | 
 | 
 | 
 | 
 | 
 | 
 | V | 
 | 
 | 
 | 
 | 
 | |||||||||||||||||||||||||||||||||||
| 126 | Общество с ограниченной ответственностью "ПолиКлиника" | 766 | 1 | 
 | 
 | 
 | 
 | 
 | 
 | 
 | 
 | 
 | V | 
 | 
 | V | 
 | V | |||||||||||||||||||||||||||||||||||
| 127 | Общество с ограниченной ответственностью "ГИМЕНЕЙ" | 769 | 1 | 
 | 
 | 
 | 
 | 
 | 
 | 
 | V | 
 | V | 
 | 
 | 
 | 
 | 
 | |||||||||||||||||||||||||||||||||||
| 128 | Общество с ограниченной ответственностью "Полимедика Челябинск" | 771 | 2 | V | V | 
 | V | 
 | 
 | V | 
 | 
 | V | 
 | 
 | 
 | 
 | 
 | |||||||||||||||||||||||||||||||||||
| 129 | Общество с ограниченной ответственностью "ЭкоКлиника" | 772 | 2 | 
 | 
 | 
 | 
 | 
 | 
 | 
 | 
 | 
 | V | V | 
 | 
 | 
 | 
 | |||||||||||||||||||||||||||||||||||
| 130 | Акционерное общество "Клиника Вся Медицина" | 777 | 1 | 
 | 
 | V | 
 | 
 | 
 | 
 | 
 | 
 | V | 
 | 
 | 
 | 
 | 
 | |||||||||||||||||||||||||||||||||||
| 131 | Общество с ограниченной ответственностью "Независимость" | 780 | 1 | 
 | 
 | V | 
 | 
 | 
 | 
 | 
 | 
 | V | 
 | 
 | 
 | 
 | 
 | |||||||||||||||||||||||||||||||||||
| 132 | Общество с ограниченной ответственностью "Клиника АртОптика" | 781 | 1 | 
 | 
 | 
 | 
 | 
 | 
 | 
 | 
 | 
 | V | 
 | 
 | 
 | 
 | 
 | |||||||||||||||||||||||||||||||||||
| 133 | Общество с ограниченной ответственностью "Стоматолог" | 782 | 1 | 
 | 
 | 
 | 
 | V | 
 | 
 | 
 | 
 | 
 | 
 | 
 | 
 | 
 | 
 | |||||||||||||||||||||||||||||||||||
| 134 | Общество с ограниченной ответственностью "Челябинск "Доктор ОСТ" | 783 | 1 | 
 | 
 | V | 
 | 
 | 
 | 
 | 
 | 
 | V | 
 | 
 | 
 | 
 | 
 | |||||||||||||||||||||||||||||||||||
| 135 | ОБЩЕСТВО С ОГРАНИЧЕННОЙ ОТВЕТСТВЕННОСТЬЮ "СОВРЕМЕННЫЕ МЕДИЦИНСКИЕ ТЕХНОЛОГИИ" | 785 | 1 | 
 | 
 | V | 
 | 
 | 
 | 
 | V | 
 | V | 
 | 
 | 
 | 
 | 
 | |||||||||||||||||||||||||||||||||||
| 136 | Общество с ограниченной ответственностью "Личный доктор" | 786 | 2 | 
 | 
 | V | 
 | 
 | 
 | 
 | V | 
 | V | V | 
 | 
 | 
 | 
 | |||||||||||||||||||||||||||||||||||
| 137 | Общество с ограниченной ответственностью "ЛораВита" | 787 | 1 | 
 | 
 | V | 
 | 
 | 
 | 
 | V | 
 | V | 
 | 
 | 
 | 
 | 
 | |||||||||||||||||||||||||||||||||||
| 138 | Общество с ограниченной ответственностью "Частная врачебная практика" | 790 | 1 | 
 | 
 | 
 | 
 | 
 | 
 | 
 | 
 | 
 | V | 
 | 
 | 
 | 
 | 
 | |||||||||||||||||||||||||||||||||||
| 139 | Общество с ограниченной ответственностью "Торгово-производственное объединение "Оптика Перспектива" | 802 | 1 | 
 | 
 | 
 | 
 | 
 | 
 | 
 | 
 | 
 | V | 
 | 
 | 
 | 
 | 
 | |||||||||||||||||||||||||||||||||||
| 140 | Общество с ограниченной ответственностью Медицинское предприятие "Санта" | 805 | 1 | 
 | 
 | V | 
 | 
 | 
 | 
 | 
 | 
 | V | 
 | 
 | 
 | 
 | 
 | |||||||||||||||||||||||||||||||||||
| 141 | Общество с ограниченной ответственностью "Кристалл" | 807 | 1 | 
 | 
 | 
 | 
 | V | 
 | 
 | 
 | 
 | 
 | 
 | 
 | 
 | 
 | 
 | |||||||||||||||||||||||||||||||||||
| 142 | Общество с ограниченной ответственностью "ЦСМ-АРТ Челябинск" | 819 | 2 | 
 | 
 | V | 
 | 
 | 
 | 
 | 
 | 
 | V | V | 
 | 
 | 
 | 
 | |||||||||||||||||||||||||||||||||||
| 143 | Общество с ограниченной ответственностью "Мединвест" | 809 | 1 | 
 | 
 | 
 | 
 | 
 | 
 | 
 | 
 | 
 | V | 
 | 
 | 
 | 
 | 
 | |||||||||||||||||||||||||||||||||||
| 144 | Общество с ограниченной ответственностью "Ваш врач" | 820 | 1 | 
 | 
 | 
 | 
 | 
 | 
 | 
 | 
 | 
 | V | 
 | 
 | 
 | 
 | 
 | |||||||||||||||||||||||||||||||||||
| 145 | Общество с ограниченной ответственностью "Медицинский лучевой центр Челябинск" | 826 | 1 | 
 | 
 | 
 | 
 | 
 | 
 | V | 
 | 
 | 
 | 
 | 
 | 
 | 
 | 
 | |||||||||||||||||||||||||||||||||||
| 146 | Общество с ограниченной ответственностью "Дентсан" | 834 | 1 | 
 | 
 | 
 | 
 | V | 
 | 
 | 
 | 
 | 
 | 
 | 
 | 
 | 
 | 
 | |||||||||||||||||||||||||||||||||||
| (в ред. Дополнительного соглашения к Тарифному соглашению в сфере обязательного медицинского страхования Челябинской области от 30.03.2023 N 2/199-ОМС) | |||||||||||||||||||||||||||||||||||||||||||||||||||||
| 147 | ОБЩЕСТВО С ОГРАНИЧЕННОЙ ОТВЕТСТВЕННОСТЬЮ "КЛИНИКА ЭКСПЕРТ ЧЕЛЯБИНСК" | 836 | 1 | 
 | 
 | 
 | 
 | 
 | 
 | V | 
 | 
 | 
 | 
 | 
 | 
 | 
 | 
 | |||||||||||||||||||||||||||||||||||
| (в ред. Дополнительного соглашения к Тарифному соглашению в сфере обязательного медицинского страхования Челябинской области от 30.03.2023 N 2/199-ОМС) | |||||||||||||||||||||||||||||||||||||||||||||||||||||
| 
 | Южноуральский городской округ | 
 | 
 | 
 | 
 | 
 | 
 | 
 | 
 | 
 | 
 | 
 | 
 | 
 | 
 | 
 | 
 | 
 | |||||||||||||||||||||||||||||||||||
| 148 | Государственное бюджетное учреждение здравоохранения "Городская больница г. Южноуральск" | 222 | 2 | V | 
 | 
 | V | V | 
 | V | V | 
 | V | 
 | 
 | V | 
 | V | |||||||||||||||||||||||||||||||||||
| 
 | Агаповский муниципальный район | 
 | 
 | 
 | 
 | 
 | 
 | 
 | 
 | 
 | 
 | 
 | 
 | 
 | 
 | 
 | 
 | 
 | |||||||||||||||||||||||||||||||||||
| 149 | Государственное бюджетное учреждение здравоохранения "Районная больница с. Агаповка" | 224 | 1 | V | V | 
 | V | V | 
 | V | V | 
 | V | 
 | 
 | V | 
 | V | |||||||||||||||||||||||||||||||||||
| 
 | Аргаяшский муниципальный район | 
 | 
 | 
 | 
 | 
 | 
 | 
 | 
 | 
 | 
 | 
 | 
 | 
 | 
 | 
 | 
 | 
 | |||||||||||||||||||||||||||||||||||
| 150 | Государственное бюджетное учреждение здравоохранения "Районная больница с. Аргаяш" | 234 | 1 | V | V | 
 | V | V | 
 | V | V | 
 | V | 
 | 
 | V | 
 | 
 | |||||||||||||||||||||||||||||||||||
| 
 | Брединский муниципальный район | 
 | 
 | 
 | 
 | 
 | 
 | 
 | 
 | 
 | 
 | 
 | 
 | 
 | 
 | 
 | 
 | 
 | |||||||||||||||||||||||||||||||||||
| 151 | Государственное бюджетное учреждение здравоохранения "Районная больница п. Бреды" | 248 | 1 | V | V | 
 | V | V | 
 | V | V | 
 | V | 
 | 
 | V | 
 | V | |||||||||||||||||||||||||||||||||||
| 
 | Варненский муниципальный район | 
 | 
 | 
 | 
 | 
 | 
 | 
 | 
 | 
 | 
 | 
 | 
 | 
 | 
 | 
 | 
 | 
 | |||||||||||||||||||||||||||||||||||
| 152 | Государственное бюджетное учреждение здравоохранения "Районная больница с. Варна" | 324 | 2 | V | V | 
 | V | V | 
 | V | V | 
 | V | 
 | 
 | V | 
 | V | |||||||||||||||||||||||||||||||||||
| 
 | Верхнеуральский муниципальный район | 
 | 
 | 
 | 
 | 
 | 
 | 
 | 
 | 
 | 
 | 
 | 
 | 
 | 
 | 
 | 
 | 
 | |||||||||||||||||||||||||||||||||||
| 153 | Государственное бюджетное учреждение здравоохранения "Районная больница г. Верхнеуральск" | 257 | 1 | V | V | 
 | V | V | 
 | V | V | 
 | V | 
 | 
 | V | 
 | V | |||||||||||||||||||||||||||||||||||
| 154 | Общество с ограниченной ответственностью "Санаторий "Карагайский бор" | 734 | 2 | 
 | 
 | 
 | 
 | 
 | 
 | 
 | V | 
 | 
 | 
 | 
 | 
 | 
 | 
 | |||||||||||||||||||||||||||||||||||
| 
 | Еткульский муниципальный район | 
 | 
 | 
 | 
 | 
 | 
 | 
 | 
 | 
 | 
 | 
 | 
 | 
 | 
 | 
 | 
 | 
 | |||||||||||||||||||||||||||||||||||
| 155 | Государственное бюджетное учреждение здравоохранения "Районная больница с. Еткуль" | 329 | 1 | V | V | 
 | V | V | 
 | V | V | 
 | V | 
 | 
 | 
 | 
 | 
 | |||||||||||||||||||||||||||||||||||
| 
 | Каслинский муниципальный район | 
 | 
 | 
 | 
 | 
 | 
 | 
 | 
 | 
 | 
 | 
 | 
 | 
 | 
 | 
 | 
 | 
 | |||||||||||||||||||||||||||||||||||
| 156 | Государственное бюджетное учреждение здравоохранения "Районная больница г. Касли" | 274 | 1 | V | V | 
 | V | V | 
 | V | V | 
 | V | 
 | 
 | V | 
 | V | |||||||||||||||||||||||||||||||||||
| 157 | Общество с ограниченной ответственностью "Эм Эр Ай Клиник" | 696 | 2 | 
 | 
 | 
 | 
 | 
 | 
 | V | 
 | 
 | 
 | 
 | 
 | 
 | 
 | 
 | |||||||||||||||||||||||||||||||||||
| 
 | Кизильский муниципальный район | 
 | 
 | 
 | 
 | 
 | 
 | 
 | 
 | 
 | 
 | 
 | 
 | 
 | 
 | 
 | 
 | 
 | |||||||||||||||||||||||||||||||||||
| 158 | Государственное бюджетное учреждение здравоохранения "Районная больница с. Кизильское" | 334 | 1 | V | V | 
 | V | V | 
 | V | V | 
 | V | 
 | 
 | V | 
 | V | |||||||||||||||||||||||||||||||||||
| 
 | Красноармейский муниципальный район | 
 | 
 | 
 | 
 | 
 | 
 | 
 | 
 | 
 | 
 | 
 | 
 | 
 | 
 | 
 | 
 | 
 | |||||||||||||||||||||||||||||||||||
| 159 | Государственное бюджетное учреждение здравоохранения "Районная больница с. Миасское" | 344 | 1 | V | V | 
 | V | V | 
 | V | V | 
 | V | 
 | 
 | V | 
 | V | |||||||||||||||||||||||||||||||||||
| (в ред. Дополнительного соглашения к Тарифному соглашению в сфере обязательного медицинского страхования Челябинской области от 31.07.2023 N 5/199-ОМС) | |||||||||||||||||||||||||||||||||||||||||||||||||||||
| 160 | Общество с ограниченной ответственностью "МЕГАПОЛИС" | 784 | 1 | 
 | 
 | 
 | 
 | V | 
 | 
 | 
 | 
 | 
 | 
 | 
 | 
 | 
 | 
 | |||||||||||||||||||||||||||||||||||
| 
 | Кунашакский муниципальный район | 
 | 
 | 
 | 
 | 
 | 
 | 
 | 
 | 
 | 
 | 
 | 
 | 
 | 
 | 
 | 
 | 
 | |||||||||||||||||||||||||||||||||||
| 161 | Государственное бюджетное учреждение здравоохранения "Районная больница с. Кунашак" | 354 | 1 | V | V | 
 | V | V | 
 | V | V | 
 | V | 
 | 
 | V | 
 | V | |||||||||||||||||||||||||||||||||||
| 
 | Кусинский муниципальный район | 
 | 
 | 
 | 
 | 
 | 
 | 
 | 
 | 
 | 
 | 
 | 
 | 
 | 
 | 
 | 
 | 
 | |||||||||||||||||||||||||||||||||||
| 162 | Государственное бюджетное учреждение здравоохранения "Районная больница г. Куса" | 282 | 2 | V | V | 
 | V | V | 
 | V | V | 
 | V | 
 | 
 | V | 
 | V | |||||||||||||||||||||||||||||||||||
| 
 | Нагайбакский муниципальный район | 
 | 
 | 
 | 
 | 
 | 
 | 
 | 
 | 
 | 
 | 
 | 
 | 
 | 
 | 
 | 
 | 
 | |||||||||||||||||||||||||||||||||||
| 163 | Государственное бюджетное учреждение здравоохранения "Районная больница с. Фершампенуаз" | 363 | 1 | V | V | 
 | V | V | 
 | V | V | 
 | V | 
 | 
 | V | 
 | V | |||||||||||||||||||||||||||||||||||
| 
 | Нязепетровский муниципальный район | 
 | 
 | 
 | 
 | 
 | 
 | 
 | 
 | 
 | 
 | 
 | 
 | 
 | 
 | 
 | 
 | 
 | |||||||||||||||||||||||||||||||||||
| 164 | Государственное бюджетное учреждение здравоохранения "Районная больница г. Нязепетровск" | 286 | 1 | V | V | 
 | V | V | 
 | V | V | 
 | V | 
 | 
 | V | 
 | V | |||||||||||||||||||||||||||||||||||
| 
 | Октябрьский муниципальный район | 
 | 
 | 
 | 
 | 
 | 
 | 
 | 
 | 
 | 
 | 
 | 
 | 
 | 
 | 
 | 
 | 
 | |||||||||||||||||||||||||||||||||||
| 165 | Государственное бюджетное учреждение здравоохранения "Районная больница с. Октябрьское" | 372 | 1 | V | V | 
 | V | V | 
 | V | V | 
 | V | 
 | 
 | V | 
 | 
 | |||||||||||||||||||||||||||||||||||
| 
 | Сосновский муниципальный район | 
 | 
 | 
 | 
 | 
 | 
 | 
 | 
 | 
 | 
 | 
 | 
 | 
 | 
 | 
 | 
 | 
 | |||||||||||||||||||||||||||||||||||
| 166 | Государственное бюджетное учреждение здравоохранения "Районная больница с. Долгодеревенское" | 378 | 1 | V | V | 
 | V | V | 
 | V | V | 
 | V | 
 | 
 | V | 
 | 
 | |||||||||||||||||||||||||||||||||||
| 167 | Общество с ограниченной ответственностью Стоматологическая клиника "Нео-Дент" | 640 | 1 | 
 | 
 | 
 | 
 | V | 
 | 
 | 
 | 
 | 
 | 
 | 
 | 
 | 
 | 
 | |||||||||||||||||||||||||||||||||||
| 
 | Увельский муниципальный район | 
 | 
 | 
 | 
 | 
 | 
 | 
 | 
 | 
 | 
 | 
 | 
 | 
 | 
 | 
 | 
 | 
 | |||||||||||||||||||||||||||||||||||
| 168 | Государственное бюджетное учреждение здравоохранения "Районная больница п. Увельский" | 306 | 2 | V | V | 
 | V | V | 
 | V | V | 
 | V | 
 | 
 | V | 
 | V | |||||||||||||||||||||||||||||||||||
| 
 | Уйский муниципальный район | 
 | 
 | 
 | 
 | 
 | 
 | 
 | 
 | 
 | 
 | 
 | 
 | 
 | 
 | 
 | 
 | 
 | |||||||||||||||||||||||||||||||||||
| 169 | Государственное бюджетное учреждение здравоохранения "Районная больница с. Уйское" | 391 | 1 | V | V | 
 | V | V | 
 | V | V | 
 | V | 
 | 
 | V | 
 | V | |||||||||||||||||||||||||||||||||||
| 
 | Чесменский муниципальный район | 
 | 
 | 
 | 
 | 
 | 
 | 
 | 
 | 
 | 
 | 
 | 
 | 
 | 
 | 
 | 
 | 
 | |||||||||||||||||||||||||||||||||||
| 170 | Государственное бюджетное учреждение здравоохранения "Районная больница с. Чесма" | 397 | 1 | V | V | 
 | V | V | 
 | V | V | 
 | V | 
 | 
 | V | 
 | V | |||||||||||||||||||||||||||||||||||
| 
 | Областные и федеральные медицинские организации | 
 | 
 | 
 | 
 | 
 | 
 | 
 | 
 | 
 | 
 | 
 | 
 | 
 | 
 | 
 | 
 | 
 | |||||||||||||||||||||||||||||||||||
| 171 | Государственное автономное учреждение здравоохранения "Челябинская областная детская клиническая больница" | 55 | 3 | 
 | 
 | V | 
 | V | V | V | V | V | V | 
 | 
 | 
 | V | 
 | |||||||||||||||||||||||||||||||||||
| 172 | Государственное бюджетное учреждение здравоохранения "Областной перинатальный центр" | 58 | 3 | 
 | 
 | V | 
 | V | 
 | V | V | V | V | V | 
 | 
 | V | 
 | |||||||||||||||||||||||||||||||||||
| 173 | Государственное бюджетное учреждение здравоохранения "Челябинская областная клиническая больница" | 62 | 3 | 
 | 
 | V | 
 | 
 | V | V | V | V | V | 
 | V | 
 | V | 
 | |||||||||||||||||||||||||||||||||||
| 174 | Государственное бюджетное учреждение здравоохранения "Челябинский областной клинический терапевтический госпиталь для ветеранов войн" | 63 | 2 | 
 | 
 | V | 
 | 
 | 
 | V | V | 
 | V | 
 | 
 | 
 | 
 | 
 | |||||||||||||||||||||||||||||||||||
| (в ред. Дополнительного соглашения к Тарифному соглашению в сфере обязательного медицинского страхования Челябинской области от 31.07.2023 N 5/199-ОМС) | |||||||||||||||||||||||||||||||||||||||||||||||||||||
| 175 | Государственное бюджетное учреждение здравоохранения "Областная стоматологическая поликлиника" | 65 | 2 | 
 | 
 | 
 | 
 | V | 
 | 
 | 
 | 
 | 
 | 
 | 
 | 
 | 
 | 
 | |||||||||||||||||||||||||||||||||||
| 176 | Государственное автономное учреждение здравоохранения "Челябинский областной клинический центр онкологии и ядерной медицины" | 66 | 3 | 
 | 
 | V | 
 | 
 | 
 | V | V | V | V | 
 | 
 | 
 | 
 | 
 | |||||||||||||||||||||||||||||||||||
| 177 | Государственное бюджетное учреждение здравоохранения "Челябинский областной клинический кожно-венерологический диспансер" | 70 | 3 | 
 | 
 | V | 
 | 
 | 
 | V | V | V | V | 
 | 
 | 
 | 
 | 
 | |||||||||||||||||||||||||||||||||||
| 178 | Государственное бюджетное учреждение здравоохранения "Челябинский областной кардиологический диспансер" | 76 | 2 | 
 | 
 | V | 
 | 
 | 
 | V | 
 | 
 | V | 
 | 
 | 
 | 
 | 
 | |||||||||||||||||||||||||||||||||||
| 179 | Государственное бюджетное учреждение здравоохранения "Областной кожно-венерологический диспансер N 3" | 89 | 2 | 
 | 
 | V | 
 | 
 | 
 | 
 | V | 
 | V | 
 | 
 | 
 | 
 | 
 | |||||||||||||||||||||||||||||||||||
| 180 | Государственное автономное учреждение здравоохранения "Областной онкологический диспансер N 2" | 171 | 3 | 
 | 
 | V | 
 | 
 | 
 | V | V | V | V | 
 | 
 | 
 | 
 | 
 | |||||||||||||||||||||||||||||||||||
| 181 | Государственное бюджетное учреждение здравоохранения "Областной кожно-венерологический диспансер N 4" | 172 | 2 | 
 | 
 | V | 
 | 
 | 
 | V | V | 
 | V | 
 | 
 | 
 | 
 | 
 | |||||||||||||||||||||||||||||||||||
| 182 | Государственное бюджетное учреждение здравоохранения "Челябинское областное патологоанатомическое бюро" | 436 | 2 | 
 | 
 | 
 | 
 | 
 | 
 | V | 
 | 
 | 
 | 
 | 
 | 
 | 
 | 
 | |||||||||||||||||||||||||||||||||||
| 183 | Государственное бюджетное учреждение здравоохранения "Челябинский областной центр реабилитации" | 468 | 2 | 
 | 
 | 
 | 
 | 
 | 
 | 
 | V | 
 | 
 | 
 | 
 | 
 | 
 | 
 | |||||||||||||||||||||||||||||||||||
| 184 | Федеральное государственное бюджетное учреждение "Федеральный центр сердечно-сосудистой хирургии" Министерства здравоохранения Российской Федерации (г. Челябинск) | 639 | 3 | 
 | 
 | V | 
 | 
 | 
 | V | 
 | 
 | 
 | 
 | 
 | 
 | 
 | 
 | |||||||||||||||||||||||||||||||||||
| 185 | Государственное автономное учреждение здравоохранения "Областной центр медицинской реабилитации "Огонек" | 730 | 2 | 
 | 
 | 
 | 
 | 
 | 
 | 
 | V | 
 | V | 
 | 
 | 
 | 
 | 
 | |||||||||||||||||||||||||||||||||||
| 186 | Государственное бюджетное учреждение здравоохранения "Областной Центр по профилактике и борьбе со СПИДом и инфекционными заболеваниями" | 776 | 2 | 
 | 
 | 
 | 
 | 
 | 
 | V | 
 | 
 | 
 | 
 | 
 | 
 | 
 | 
 | |||||||||||||||||||||||||||||||||||
| 
 | Медицинские организации вне субъекта Российской Федерации | 
 | 
 | 
 | 
 | 
 | 
 | 
 | 
 | 
 | 
 | 
 | 
 | 
 | 
 | 
 | 
 | 
 | |||||||||||||||||||||||||||||||||||
| 187 | Общество с ограниченной ответственностью "МФЦ-Кузбасс" | 817 | 1 | 
 | 
 | 
 | 
 | 
 | 
 | 
 | 
 | 
 | V | 
 | 
 | 
 | 
 | 
 | |||||||||||||||||||||||||||||||||||
| (в ред. Дополнительного соглашения к Тарифному соглашению в сфере обязательного медицинского страхования Челябинской области от 30.03.2023 N 2/199-ОМС) | |||||||||||||||||||||||||||||||||||||||||||||||||||||
| 188 | Общество с ограниченной ответственностью "Клиника глазных болезней" | 822 | 1 | 
 | 
 | 
 | 
 | 
 | 
 | 
 | 
 | 
 | V | 
 | 
 | 
 | 
 | 
 | |||||||||||||||||||||||||||||||||||
| 189 | Общество с ограниченной ответственностью "Центр ПЭТ-Технолоджи" | 823 | 2 | 
 | 
 | 
 | 
 | 
 | 
 | V | 
 | 
 | 
 | 
 | 
 | 
 | 
 | 
 | |||||||||||||||||||||||||||||||||||
| (в ред. Дополнительного соглашения к Тарифному соглашению в сфере обязательного медицинского страхования Челябинской области от 30.03.2023 N 2/199-ОМС) | |||||||||||||||||||||||||||||||||||||||||||||||||||||
| 190 | Общество с ограниченной ответственностью "Лечебно-диагностический центр урологии и андрологии доктора Соколова А.В." | 828 | 1 | 
 | 
 | 
 | 
 | 
 | 
 | 
 | 
 | 
 | V | 
 | 
 | 
 | 
 | 
 | |||||||||||||||||||||||||||||||||||
| 191 | Общество с ограниченной ответственностью "Васкулаб" | 831 | 1 | 
 | 
 | 
 | 
 | 
 | 
 | 
 | 
 | 
 | V | 
 | 
 | 
 | 
 | 
 | |||||||||||||||||||||||||||||||||||
| (в ред. Дополнительного соглашения к Тарифному соглашению в сфере обязательного медицинского страхования Челябинской области от 30.03.2023 N 2/199-ОМС) | |||||||||||||||||||||||||||||||||||||||||||||||||||||
| 192 | Общество с ограниченной ответственностью "НИИ Педиатрии и Неврологии "Дети Индиго" | 832 | 1 | 
 | 
 | V | 
 | 
 | 
 | V | 
 | 
 | 
 | 
 | 
 | 
 | 
 | 
 | |||||||||||||||||||||||||||||||||||
| (в ред. Дополнительного соглашения к Тарифному соглашению в сфере обязательного медицинского страхования Челябинской области от 30.03.2023 N 2/199-ОМС) | |||||||||||||||||||||||||||||||||||||||||||||||||||||
| 193 | Общество с ограниченной ответственностью "АСТРА-МЕД" | 833 | 1 | 
 | 
 | 
 | 
 | V | 
 | 
 | 
 | 
 | 
 | 
 | 
 | 
 | 
 | 
 | |||||||||||||||||||||||||||||||||||
| 194 | Общество с ограниченной ответственностью "КристаллМед" | 835 | 1 | 
 | 
 | 
 | 
 | 
 | 
 | V | 
 | 
 | 
 | 
 | 
 | 
 | 
 | 
 | |||||||||||||||||||||||||||||||||||
| (в ред. Дополнительного соглашения к Тарифному соглашению в сфере обязательного медицинского страхования Челябинской области от 30.03.2023 N 2/199-ОМС) | |||||||||||||||||||||||||||||||||||||||||||||||||||||
     Примечание:* при оплате медицинской
помощи, оказанной медицинской
организацией (в том числе по
направлениям, выданным иной медицинской
организацией), источником финансового
обеспечения которой являются средства
подушевого норматива финансирования на
прикрепившихся лиц, получаемые иной
медицинской организацией.
Приложение N 2
к Тарифному соглашению
в сфере обязательного
медицинского страхования
Челябинской области
от 30 декабря 2022 г. N 199-ОМС 
Перечень специализированных отделений
(кабинетов) в структуре медицинских
организаций 
(в
ред. Дополнительных соглашений к
Тарифному соглашению в сфере
обязательного медицинского страхования
Челябинской области от 27.02.2023 N 1/199-ОМС, от
30.03.2023 N 2/199-ОМС)
| N п/п | Наименование медицинской организации | Код МО | Центры здоровья | Консультативно-диагностические центры в Челябинской области (КДЦ) | Медицинские организации, применяющие тарифы на оплату медицинской помощи "консультативно-диагностический прием" | Медицинские организации, применяющие тариф на оплату медицинской помощи "Инфекционист (с исследованием на фиброскане)" | Медицинские организации, применяющие тариф на оплату медицинской помощи "Педиатр (кабинет катамнеза)" | Медицинские организации, применяющие тариф на оплату медицинской помощи "Сурдолог-оториноларинголог (с проведением II этапа аудиологического скрининга)" | 
| А | 1 | 2 | 3 | 4 | 5 | 6 | 7 | 8 | 
| 
 | Верхнеуфалейский городской округ | 
 | 
 | 
 | 
 | 
 | 
 | 
 | 
| 1 | Государственное бюджетное учреждение здравоохранения "Городская больница г. Верхний Уфалей" | 198 | V | 
 | 
 | 
 | 
 | 
 | 
| 
 | Златоустовский городской округ | 
 | 
 | 
 | 
 | 
 | 
 | 
 | 
| 2 | Государственное бюджетное учреждение здравоохранения "Врачебно-физкультурный диспансер г. Златоуст" | 552 | V | 
 | 
 | 
 | 
 | 
 | 
| 
 | Копейский городской округ | 
 | 
 | 
 | 
 | 
 | 
 | 
 | 
| 3 | Государственное бюджетное учреждение здравоохранения "Врачебно-физкультурный диспансер г. Копейск" | 420 | V | 
 | 
 | 
 | 
 | 
 | 
| 
 | Коркинский муниципальный район | 
 | 
 | 
 | 
 | 
 | 
 | 
 | 
| 4 | Государственное бюджетное учреждение здравоохранения "Городская больница N 1 г. Коркино" | 210 | V | 
 | 
 | 
 | 
 | 
 | 
| 
 | Кыштымский городской округ | 
 | 
 | 
 | 
 | 
 | 
 | 
 | 
| 5 | Государственное бюджетное учреждение здравоохранения "Городская больница им. А.П. Силаева г. Кыштым" | 216 | V | 
 | 
 | 
 | 
 | 
 | 
| 
 | Магнитогорский городской округ | 
 | 
 | 
 | 
 | 
 | 
 | 
 | 
| 6 | Государственное автономное учреждение здравоохранения "Городская больница N 3 г. Магнитогорск" | 161 | V | 
 | 
 | 
 | 
 | 
 | 
| 7 | Государственное автономное учреждение здравоохранения "Центр охраны материнства и детства г. Магнитогорск" | 164 | V | V | 
 | 
 | V | V | 
| 
 | Миасский городской округ | 
 | 
 | 
 | 
 | 
 | 
 | 
 | 
| 8 | Государственное бюджетное учреждение здравоохранения "Городская детская поликлиника г. Миасс" | 452 | V | 
 | 
 | 
 | 
 | 
 | 
| 
 | Чебаркульский городской округ | 
 | 
 | 
 | 
 | 
 | 
 | 
 | 
| 9 | Государственное бюджетное учреждение здравоохранения "Районная больница г. Чебаркуль" | 315 | V | 
 | 
 | 
 | 
 | 
 | 
| (в ред. Дополнительного соглашения к Тарифному соглашению в сфере обязательного медицинского страхования Челябинской области от 30.03.2023 N 2/199-ОМС) | ||||||||
| 
 | Челябинский городской округ | 
 | 
 | 
 | 
 | 
 | 
 | 
 | 
| 10 | Государственное автономное учреждение здравоохранения "Городская клиническая больница N 2 г. Челябинск" | 91 | V | 
 | 
 | 
 | 
 | 
 | 
| 11 | Государственное автономное учреждение здравоохранения "Городская клиническая больница N 6 г. Челябинск" | 85 | V | 
 | 
 | 
 | 
 | 
 | 
| 12 | Федеральное государственное бюджетное образовательное учреждение высшего образования "Южно-Уральский государственный медицинский университет" Министерства здравоохранения Российской Федерации | 88 | 
 | 
 | V | 
 | 
 | 
 | 
| (п. 12 в ред. Дополнительного соглашения к Тарифному соглашению в сфере обязательного медицинского страхования Челябинской области от 27.02.2023 N 1/199-ОМС) | ||||||||
| 13 | Государственное автономное учреждение здравоохранения "Городская клиническая больница N 11 г. Челябинск" | 413 | V | 
 | 
 | 
 | 
 | 
 | 
| 14 | Государственное автономное учреждение здравоохранения "Детская городская клиническая больница N 1 г. Челябинск" | 99 | 
 | 
 | 
 | 
 | 
 | V | 
| 15 | Государственное автономное учреждение здравоохранения "Детская городская клиническая больница N 8 г. Челябинск" | 90 | 
 | V | 
 | 
 | V | 
 | 
| 16 | Государственное бюджетное учреждение здравоохранения "Городская клиническая поликлиника N 5 г. Челябинск" | 119 | V | 
 | 
 | 
 | 
 | 
 | 
| 17 | Государственное автономное учреждение здравоохранения "Детская городская клиническая поликлиника N 8 имени Александра Невского г. Челябинск" | 127 | V | 
 | 
 | 
 | 
 | 
 | 
| 18 | Государственное автономное учреждение здравоохранения "Детская городская клиническая поликлиника N 9 г. Челябинск" | 102 | 
 | V | 
 | 
 | 
 | 
 | 
| 18/1 | Государственное автономное учреждение здравоохранения "Областная клиническая больница N 3" | 456 | 
 | 
 | 
 | V | 
 | 
 | 
| (п. 18/1 введен Дополнительным соглашением к Тарифному соглашению в сфере обязательного медицинского страхования Челябинской области от 27.02.2023 N 1/199-ОМС) | ||||||||
| 
 | Южноуральский городской округ | 
 | 
 | 
 | 
 | 
 | 
 | 
 | 
| 19 | Государственное бюджетное учреждение здравоохранения "Городская больница г. Южноуральск" | 222 | V | 
 | 
 | 
 | 
 | 
 | 
| 
 | Варненский муниципальный район | 
 | 
 | 
 | 
 | 
 | 
 | 
 | 
| 20 | Государственное бюджетное учреждение здравоохранения "Районная больница с. Варна" | 324 | V | 
 | 
 | 
 | 
 | 
 | 
| 
 | Областные и Федеральные учреждения здравоохранения | 
 | 
 | 
 | 
 | 
 | 
 | 
 | 
| 21 | Государственное бюджетное учреждение здравоохранения "Челябинская областная клиническая больница" | 62 | 
 | 
 | V | 
 | 
 | 
 | 
| 22 | Государственное автономное учреждение здравоохранения "Челябинская областная детская клиническая больница" | 55 | V | 
 | V | 
 | V | V | 
| 23 | Государственное автономное учреждение здравоохранения "Челябинский областной клинический центр онкологии и ядерной медицины" | 66 | 
 | 
 | V | 
 | 
 | 
 | 
| 24 | Государственное бюджетное учреждение здравоохранения "Областной перинатальный центр" | 58 | 
 | 
 | V | 
 | V | 
 | 
| 25 | Государственное бюджетное учреждение здравоохранения "Челябинский областной кардиологический диспансер" | 76 | V | V | 
 | 
 | 
 | 
 | 
| 26 | Государственное бюджетное учреждение здравоохранения "Челябинский областной клинический терапевтический госпиталь для ветеранов войн" | 63 | 
 | V | V | 
 | 
 | 
 | 
| 27 | Государственное автономное учреждение здравоохранения "Областной онкологический диспансер N 2" | 171 | 
 | 
 | V | 
 | 
 | 
 | 
| 28 | Федеральное государственное бюджетное учреждение "Федеральный центр сердечно-сосудистой хирургии" Министерства здравоохранения Российской Федерации (г. Челябинск) | 639 | 
 | 
 | V | 
 | 
 | 
 | 
Приложение N 3
к Тарифному соглашению
в сфере обязательного
медицинского страхования
Челябинской области
от 30 декабря 2022 г. N 199-ОМС 
Значения коэффициентов уровня/подуровня
медицинской организации в разрезе
медицинских организаций, оказывающих
медицинскую помощь в стационарных
условиях 
(в
ред. Дополнительных соглашений к
Тарифному соглашению в сфере
обязательного медицинского страхования
Челябинской области от 30.03.2023 N 2/199-ОМС, от
30.10.2023 N 8/199-ОМС, от 29.11.2023 N 9/199-ОМС)
| N п/п | Наименование медицинской организации | Код МО | В стационарных условиях | ||||
| 
 | 
 | 
 | Уровень/подуровень МО | Коэффициент уровня/подуровня МО | |||
| А | 1 | 2 | 3 | 4 | |||
| 
 | Ашинский муниципальный район | 
 | 
 | 
 | |||
| 1 | Государственное бюджетное учреждение здравоохранения "Районная больница г. Аша" | 242 | 2.1 | 0,90 | |||
| 
 | Верхнеуфалейский городской округ | 
 | 
 | 
 | |||
| 2 | Государственное бюджетное учреждение здравоохранения "Городская больница г. Верхний Уфалей" | 198 | 2.1 | 0,90 | |||
| 
 | Еманжелинский муниципальный район | 
 | 
 | 
 | |||
| 3 | Государственное бюджетное учреждение здравоохранения "Районная больница г. Еманжелинск" | 205 | 2.1 | 0,90 | |||
| (в ред. Дополнительного соглашения к Тарифному соглашению в сфере обязательного медицинского страхования Челябинской области от 30.03.2023 N 2/199-ОМС) | |||||||
| 
 | Златоустовский городской округ | 
 | 
 | 
 | |||
| 4 | Государственное бюджетное учреждение здравоохранения "Городская больница г. Златоуст" | 136 | 2.2 | 1,00 | |||
| 5 | Государственное бюджетное учреждение здравоохранения "Городская детская больница г. Златоуст" | 140 | 2.1 | 0,90 | |||
| 
 | Карабашский городской округ | 
 | 
 | 
 | |||
| 6 | Государственное бюджетное учреждение здравоохранения "Городская больница г. Карабаш" | 209 | 1 | 0,90 | |||
| 
 | Карталинский муниципальный район | 
 | 
 | 
 | |||
| 7 | Государственное бюджетное учреждение здравоохранения "Районная больница г. Карталы" | 264 | 2.1 | 0,90 | |||
| (в ред. Дополнительного соглашения к Тарифному соглашению в сфере обязательного медицинского страхования Челябинской области от 30.03.2023 N 2/199-ОМС) | |||||||
| 
 | Локомотивный городской округ | 
 | 
 | 
 | |||
| 8 | Государственное бюджетное учреждение здравоохранения "Участковая больница" рабочего поселка Локомотивный" | 447 | 1 | 0,90 | |||
| (в ред. Дополнительного соглашения к Тарифному соглашению в сфере обязательного медицинского страхования Челябинской области от 30.03.2023 N 2/199-ОМС) | |||||||
| 
 | Катав-Ивановский муниципальный район | 
 | 
 | 
 | |||
| 9 | Государственное бюджетное учреждение здравоохранения "Районная больница г. Катав-Ивановск" | 278 | 1 | 0,90 | |||
| 
 | Копейский городской округ | 
 | 
 | 
 | |||
| 10 | Государственное бюджетное учреждение здравоохранения "Городская больница N 1 г. Копейск" | 148 | 2.1 | 0,90 | |||
| 11 | Государственное бюджетное учреждение здравоохранения "Детская городская больница г. Копейск" | 157 | 2.1 | 0,90 | |||
| 
 | Коркинский муниципальный район | 
 | 
 | 
 | |||
| 12 | Государственное бюджетное учреждение здравоохранения "Городская больница N 1 г. Коркино" | 210 | 2.1 | 0,90 | |||
| 13 | Государственное бюджетное учреждение здравоохранения "Городская больница N 2 г. Коркино" | 211 | 1 | 0,90 | |||
| 14 | Государственное бюджетное учреждение здравоохранения "Городская детская больница г. Коркино" | 213 | 1 | 0,90 | |||
| 
 | Кыштымский городской округ | 
 | 
 | 
 | |||
| 15 | Государственное бюджетное учреждение здравоохранения "Городская больница им. А.П. Силаева г. Кыштым" | 216 | 3.1 | 1,10 | |||
| 
 | Магнитогорский городской округ | 
 | 
 | 
 | |||
| 16 | Государственное автономное учреждение здравоохранения "Городская больница N 1 им. Г.И. Дробышева г. Магнитогорск" | 159 | 2.1 | 0,90 | |||
| 17 | Автономная некоммерческая организация "Центральная клиническая медико-санитарная часть" | 160 | 3.1 | 1,10 | |||
| 18 | Государственное автономное учреждение здравоохранения "Городская больница N 3 г. Магнитогорск" | 161 | 3.1 | 1,10 | |||
| 19 | Государственное автономное учреждение здравоохранения "Центр охраны материнства и детства г. Магнитогорск" | 164 | 3.1 | 1,10 | |||
| 20 | Государственное автономное учреждение здравоохранения "Родильный дом N 1 г. Магнитогорск" | 165 | 2.1 | 0,90 | |||
| 21 | Государственное автономное учреждение здравоохранения "Городская больница N 2 г. Магнитогорск" | 590 | 2.1 | 0,90 | |||
| 
 | Миасский городской округ | 
 | 
 | 
 | |||
| 22 | Государственное бюджетное учреждение здравоохранения "Городская больница N 1 имени Г.К. Маврицкого г. Миасс" | 186 | 1 | 0,90 | |||
| 23 | Государственное автономное учреждение здравоохранения "Городская больница N 2 г. Миасс" | 187 | 2.2 | 1,00 | |||
| 24 | Государственное автономное учреждение здравоохранения "Городская больница N 3 г. Миасс" | 188 | 3.1 | 1,10 | |||
| 25 | Общество с ограниченной ответственностью "Демидов" | 755 | 1 | 0,90 | |||
| 
 | Пластовский муниципальный район | 
 | 
 | 
 | |||
| 26 | Государственное бюджетное учреждение здравоохранения "Районная больница г. Пласт" | 218 | 1 | 0,90 | |||
| (в ред. Дополнительного соглашения к Тарифному соглашению в сфере обязательного медицинского страхования Челябинской области от 30.03.2023 N 2/199-ОМС) | |||||||
| 
 | Саткинский муниципальный район | 
 | 
 | 
 | |||
| 27 | Государственное бюджетное учреждение здравоохранения "Областная больница г. Сатка" | 404 | 3.1 | 1,10 | |||
| (в ред. Дополнительного соглашения к Тарифному соглашению в сфере обязательного медицинского страхования Челябинской области от 30.03.2023 N 2/199-ОМС) | |||||||
| 
 | Троицкий городской округ | 
 | 
 | 
 | |||
| 28 | Государственное бюджетное учреждение здравоохранения "Областная больница г. Троицк" | 295 | 3.1 | 1,10 | |||
| 
 | Чебаркульский городской округ | 
 | 
 | 
 | |||
| 29 | Государственное бюджетное учреждение здравоохранения "Районная больница г. Чебаркуль" | 315 | 2.1 | 0,90 | |||
| (в ред. Дополнительного соглашения к Тарифному соглашению в сфере обязательного медицинского страхования Челябинской области от 30.03.2023 N 2/199-ОМС) | |||||||
| 30 | Общество с ограниченной ответственностью "Курорт "Кисегач" | 471 | 2.1 | 0,90 | |||
| 
 | Челябинский городской округ | 
 | 
 | 
 | |||
| 31 | Государственное автономное учреждение здравоохранения Ордена Трудового Красного Знамени "Городская клиническая больница N 1 г. Челябинск" | 79 | 3.1 | 1,10 | |||
| 32 | Государственное автономное учреждение здравоохранения "Областная клиническая больница N 3" | 456 | 3.3 | 1,40 | |||
| (в ред. Дополнительного соглашения к Тарифному соглашению в сфере обязательного медицинского страхования Челябинской области от 29.11.2023 N 9/199-ОМС) | |||||||
| 33 | Государственное автономное учреждение здравоохранения "Городская клиническая больница N 6 г. Челябинск" | 85 | 3.1 | 1,10 | |||
| 34 | Государственное бюджетное учреждение здравоохранения "Областная клиническая больница N 2" | 86 | 2.1 | 0,90 | |||
| 35 | Федеральное государственное бюджетное образовательное учреждение высшего образования "Южно-Уральский государственный медицинский университет" Министерства здравоохранения Российской Федерации | 88 | 3.1 | 1,10 | |||
| 36 | Государственное автономное учреждение здравоохранения "Детская городская клиническая больница N 8 г. Челябинск" | 90 | 3.1 | 1,10 | |||
| 37 | Государственное автономное учреждение здравоохранения "Городская клиническая больница N 2 г. Челябинск" | 91 | 2.1 | 0,90 | |||
| 38 | Государственное бюджетное учреждение здравоохранения "Городская клиническая больница N 5 г. Челябинск" | 93 | 2.1 | 0,90 | |||
| 39 | Государственное автономное учреждение здравоохранения Ордена Знак Почета "Городская клиническая больница N 8 г. Челябинск" | 94 | 3.1 | 1,10 | |||
| 40 | Государственное автономное учреждение здравоохранения "Городская клиническая больница N 9 г. Челябинск" | 95 | 2.1 | 0,90 | |||
| 41 | Государственное автономное учреждение здравоохранения "Детская городская клиническая больница N 1 г. Челябинск" | 99 | 2.1 | 0,90 | |||
| 42 | Государственное автономное учреждение здравоохранения "Городская клиническая больница N 11 г. Челябинск" | 413 | 2.1 | 0,90 | |||
| 43 | Государственное бюджетное учреждение здравоохранения "Детская городская клиническая больница N 7 г. Челябинск" | 439 | 2.1 | 0,90 | |||
| 44 | Частное учреждение здравоохранения "Клиническая больница "РЖД-Медицина" города Челябинск" | 440 | 3.1 | 1,10 | |||
| 45 | Общество с ограниченной ответственностью Медицинский центр "Лотос" | 635 | 2.1 | 0,90 | |||
| 46 | Общество с ограниченной ответственностью "Центр хирургии сердца" | 661 | 1 | 0,90 | |||
| 47 | Общество с ограниченной ответственностью Медицинская клиника "ЭФ ЭМ СИ" | 668 | 1 | 0,90 | |||
| 48 | Общество с ограниченной ответственностью "Канон" | 689 | 1 | 0,90 | |||
| 49 | Общество с ограниченной ответственностью "Медицинская организация "Оптик-Центр" | 707 | 1 | 0,90 | |||
| 50 | Общество с ограниченной ответственностью Медицинский центр "МЕДЕОР" | 733 | 2.1 | 0,90 | |||
| 51 | Исключен с 30.10.2023. - Дополнительное соглашение к Тарифному соглашению в сфере обязательного медицинского страхования Челябинской области от 30.10.2023 N 8/199-ОМС | ||||||
| 
 | |||||||
| 52 | Государственное бюджетное учреждение здравоохранения "Центр медицинской реабилитации "Вдохновение" | 749 | 2.1 | 0,90 | |||
| 53 | Общество с ограниченной ответственностью "Фортуна" | 752 | 1 | 0,90 | |||
| 54 | Общество с ограниченной ответственностью "ГИМЕНЕЙ" | 769 | 1 | 0,90 | |||
| 55 | ОБЩЕСТВО С ОГРАНИЧЕННОЙ ОТВЕТСТВЕННОСТЬЮ "СОВРЕМЕННЫЕ МЕДИЦИНСКИЕ ТЕХНОЛОГИИ" | 785 | 1 | 0,90 | |||
| 56 | Общество с ограниченной ответственностью "Личный доктор" | 786 | 2.1 | 0,90 | |||
| 57 | Общество с ограниченной ответственностью "ЛораВита" | 787 | 1 | 0,90 | |||
| 
 | Южноуральский городской округ | 
 | 
 | 
 | |||
| 58 | Государственное бюджетное учреждение здравоохранения "Городская больница г. Южноуральск" | 222 | 2.1 | 0,90 | |||
| 
 | Агаповский муниципальный район | 
 | 
 | 
 | |||
| 59 | Государственное бюджетное учреждение здравоохранения "Районная больница с. Агаповка" | 224 | 1 | 0,90 | |||
| 
 | Аргаяшский муниципальный район | 
 | 
 | 
 | |||
| 60 | Государственное бюджетное учреждение здравоохранения "Районная больница с. Аргаяш" | 234 | 1 | 0,90 | |||
| 
 | Брединский муниципальный район | 
 | 
 | 
 | |||
| 61 | Государственное бюджетное учреждение здравоохранения "Районная больница п. Бреды" | 248 | 1 | 0,90 | |||
| 
 | Варненский муниципальный район | 
 | 
 | 
 | |||
| 62 | Государственное бюджетное учреждение здравоохранения "Районная больница с. Варна" | 324 | 2.1 | 0,90 | |||
| 
 | Верхнеуральский муниципальный район | 
 | 
 | 
 | |||
| 63 | Государственное бюджетное учреждение здравоохранения "Районная больница г. Верхнеуральск" | 257 | 1 | 0,90 | |||
| 64 | Общество с ограниченной ответственностью "Санаторий "Карагайский бор" | 734 | 2.1 | 0,90 | |||
| 
 | Еткульский муниципальный район | 
 | 
 | 
 | |||
| 65 | Государственное бюджетное учреждение здравоохранения "Районная больница с. Еткуль" | 329 | 1 | 0,90 | |||
| 
 | Каслинский муниципальный район | 
 | 
 | 
 | |||
| 66 | Государственное бюджетное учреждение здравоохранения "Районная больница г. Касли" | 274 | 1 | 0,90 | |||
| 
 | Кизильский муниципальный район | 
 | 
 | 
 | |||
| 67 | Государственное бюджетное учреждение здравоохранения "Районная больница с. Кизильское" | 334 | 1 | 0,90 | |||
| 
 | Красноармейский муниципальный район | 
 | 
 | 
 | |||
| 68 | Государственное бюджетное учреждение здравоохранения "Районная больница с. Миасское" | 344 | 1 | 0,90 | |||
| 
 | Кунашакский муниципальный район | 
 | 
 | 
 | |||
| 69 | Государственное бюджетное учреждение здравоохранения "Районная больница с. Кунашак" | 354 | 1 | 0,90 | |||
| 
 | Кусинский муниципальный район | 
 | 
 | 
 | |||
| 70 | Государственное бюджетное учреждение здравоохранения "Районная больница г. Куса" | 282 | 2.1 | 0,90 | |||
| 
 | Нагайбакский муниципальный район | 
 | 
 | 
 | |||
| 71 | Государственное бюджетное учреждение здравоохранения "Районная больница с. Фершампенуаз" | 363 | 1 | 0,90 | |||
| 
 | Нязепетровский муниципальный район | 
 | 
 | 
 | |||
| 72 | Государственное бюджетное учреждение здравоохранения "Районная больница г. Нязепетровск" | 286 | 1 | 0,90 | |||
| 
 | Октябрьский муниципальный район | 
 | 
 | 
 | |||
| 73 | Государственное бюджетное учреждение здравоохранения "Районная больница с. Октябрьское" | 372 | 1 | 0,90 | |||
| 
 | Сосновский муниципальный район | 
 | 
 | 
 | |||
| 74 | Государственное бюджетное учреждение здравоохранения "Районная больница с. Долгодеревенское" | 378 | 1 | 0,90 | |||
| 
 | Увельский муниципальный район | 
 | 
 | 
 | |||
| 75 | Государственное бюджетное учреждение здравоохранения "Районная больница п. Увельский" | 306 | 2.1 | 0,90 | |||
| 
 | Уйский муниципальный район | 
 | 
 | 
 | |||
| 76 | Государственное бюджетное учреждение здравоохранения "Районная больница с. Уйское" | 391 | 1 | 0,90 | |||
| 
 | Чесменский муниципальный район | 
 | 
 | 
 | |||
| 77 | Государственное бюджетное учреждение здравоохранения "Районная больница с. Чесма" | 397 | 1 | 0,90 | |||
| 
 | Областные и Федеральные учреждения здравоохранения | 
 | 
 | 
 | |||
| 78 | Государственное автономное учреждение здравоохранения "Челябинская областная детская клиническая больница" | 55 | 3.2 | 1,13 | |||
| 79 | Государственное бюджетное учреждение здравоохранения "Областной перинатальный центр" | 58 | 3.1 | 1,10 | |||
| 80 | Государственное бюджетное учреждение здравоохранения "Челябинская областная клиническая больница" | 62 | 3.3 | 1,40 | |||
| (в ред. Дополнительного соглашения к Тарифному соглашению в сфере обязательного медицинского страхования Челябинской области от 29.11.2023 N 9/199-ОМС) | |||||||
| 81 | Государственное бюджетное учреждение здравоохранения "Челябинский областной клинический терапевтический госпиталь для ветеранов войн" | 63 | 2.3 | 1,20 | |||
| 82 | Государственное автономное учреждение здравоохранения "Челябинский областной клинический центр онкологии и ядерной медицины" | 66 | 3.2 | 1,13 | |||
| 83 | Государственное бюджетное учреждение здравоохранения "Челябинский областной клинический кожно-венерологический диспансер" | 70 | 3.1 | 1,10 | |||
| 84 | Государственное бюджетное учреждение здравоохранения "Областной кожно-венерологический диспансер N 3" | 89 | 2.1 | 0,90 | |||
| 85 | Государственное автономное учреждение здравоохранения "Областной онкологический диспансер N 2" | 171 | 3.1 | 1,10 | |||
| 86 | Государственное бюджетное учреждение здравоохранения "Областной кожно-венерологический диспансер N 4" | 172 | 2.1 | 0,90 | |||
| 87 | Государственное бюджетное учреждение здравоохранения "Челябинский областной центр реабилитации" | 468 | 2.1 | 0,90 | |||
| 88 | Государственное автономное учреждение здравоохранения "Областной центр медицинской реабилитации "Огонек" | 730 | 2.1 | 0,90 | |||
Приложение N 4
к Тарифному соглашению
в сфере обязательного
медицинского страхования
Челябинской области
от 30 декабря 2022 г. N 199-ОМС 
Количество и финансовое обеспечение
фельдшерских, фельдшерско-акушерских
пунктов на 2023 год 
(в
ред. Дополнительного соглашения к
Тарифному соглашению в сфере
обязательного медицинского страхования
Челябинской области от 30.10.2023 N 8/199-ОМС)
| N | Наименование медицинской организации | Наименование ФП/ФАП | Код МО/ФП/ФАП | Диапазон обслуживаемого населения ФП/ФАП, жителей (с 1 октября 2023) | Соответствие требованиям Положения об организации оказания ПМСП (приказ МЗ и СР N 543н) | Коэффициент дифференциации (КД) по территориям оказания мед. помощи | Коэффициент специфики оказания медицинской помощи (с 1 октября 2023) <*> | Базовый норматив финансовых затрат на финансовое обеспечение фельдшерских, фельдшерско-акушерских пунктов с 1 октября 2023, руб. | Базовый норматив финансовых затрат на финансовое обеспечение ФП/ФАП с учетом коэффициента специфики с 1 октября 2023 (в месяц), руб. | Объем средств, направленных в ФП, ФАП за период январь - сентябрь 2023 года, руб. | Годовой размер финансового обеспечения ФП, ФАП на 2023 год, руб. | |||||||||||||||||||||||||||||||||||||||||
| А | 1 | 2 | 3 | 4 | 5 | 6 | 7 | 8 | 9 | 10 | 11 | |||||||||||||||||||||||||||||||||||||||||
| 
 | Агаповский муниципальный район | 
 | 
 | 
 | 
 | 
 | 
 | 
 | 
 | 
 | 
 | |||||||||||||||||||||||||||||||||||||||||
| 1 | Государственное бюджетное учреждение здравоохранения "Районная больница с. Агаповка" | ФАП п. Харьковский | 224.01 | от 100 до 900 | - | 1,105 | 0,5 | 1297491,00 | 54062,13 | 486559,17 | 648745,56 | |||||||||||||||||||||||||||||||||||||||||
| 2 | Государственное бюджетное учреждение здравоохранения "Районная больница с. Агаповка" | ФАП п. Гумбейский | 224.02 | от 100 до 900 | + | 1,105 | 1 | 1297491,00 | 108124,25 | 973118,25 | 1297491,00 | |||||||||||||||||||||||||||||||||||||||||
| 3 | Государственное бюджетное учреждение здравоохранения "Районная больница с. Агаповка" | ФАП п. Аблязаво | 224.03 | от 100 до 900 | - | 1,105 | 0,5 | 1297491,00 | 54062,13 | 486559,17 | 648745,56 | |||||||||||||||||||||||||||||||||||||||||
| 4 | Государственное бюджетное учреждение здравоохранения "Районная больница с. Агаповка" | ФАП с. Верхнекизильское | 224.04 | от 100 до 900 | - | 1,105 | 0,5 | 1297491,00 | 54062,13 | 486559,17 | 648745,56 | |||||||||||||||||||||||||||||||||||||||||
| 5 | Государственное бюджетное учреждение здравоохранения "Районная больница с. Агаповка" | ФАП п. Ржавка | 224.05 | от 100 до 900 | + | 1,105 | 1 | 1297491,00 | 108124,25 | 973118,25 | 1297491,00 | |||||||||||||||||||||||||||||||||||||||||
| 6 | Государственное бюджетное учреждение здравоохранения "Районная больница с. Агаповка" | ФАП п. Муравейник | 224.06 | от 100 до 900 | - | 1,105 | 0,5 | 1297491,00 | 54062,13 | 486559,17 | 648745,56 | |||||||||||||||||||||||||||||||||||||||||
| 7 | Государственное бюджетное учреждение здравоохранения "Районная больница с. Агаповка" | ФАП п. Желтинский | 224.07 | от 900 до 1500 | - | 1,105 | 0,5 | 2055632,00 | 85651,33 | 770861,97 | 1027815,96 | |||||||||||||||||||||||||||||||||||||||||
| 8 | Государственное бюджетное учреждение здравоохранения "Районная больница с. Агаповка" | ФАП п. ж/д ст. Буранная | 224.08 | от 900 до 1500 | - | 1,105 | 0,1 | 2055632,00 | 17130,27 | 1079206,83 | 1130597,64 | |||||||||||||||||||||||||||||||||||||||||
| 9 | Государственное бюджетное учреждение здравоохранения "Районная больница с. Агаповка" | ФАП п. Урожайный | 224.09 | от 100 до 900 | - | 1,105 | 0,1 | 1297491,00 | 10812,43 | 97311,87 | 129749,16 | |||||||||||||||||||||||||||||||||||||||||
| 10 | Государственное бюджетное учреждение здравоохранения "Районная больница с. Агаповка" | ФАП п. Красноярский | 224.10 | от 100 до 900 | - | 1,105 | 0,5 | 1297491,00 | 54062,13 | 486559,17 | 648745,56 | |||||||||||||||||||||||||||||||||||||||||
| 11 | Государственное бюджетное учреждение здравоохранения "Районная больница с. Агаповка" | ФАП п. Солодянка | 224.11 | от 100 до 900 | - | 1,105 | 0,5 | 1297491,00 | 54062,13 | 486559,17 | 648745,56 | |||||||||||||||||||||||||||||||||||||||||
| 12 | Государственное бюджетное учреждение здравоохранения "Районная больница с. Агаповка" | ФАП п. Новобуранное | 224.12 | от 100 до 900 | + | 1,105 | 1 | 1297491,00 | 108124,25 | 973118,25 | 1297491,00 | |||||||||||||||||||||||||||||||||||||||||
| 13 | Государственное бюджетное учреждение здравоохранения "Районная больница с. Агаповка" | ФАП п. Озерный | 224.13 | от 100 до 900 | + | 1,105 | 1 | 1297491,00 | 108124,25 | 973118,25 | 1297491,00 | |||||||||||||||||||||||||||||||||||||||||
| 14 | Государственное бюджетное учреждение здравоохранения "Районная больница с. Агаповка" | ФАП п. Ново-Янгелька | 224.14 | от 100 до 900 | - | 1,105 | 0,5 | 1297491,00 | 54062,13 | 227060,97 | 389247,36 | |||||||||||||||||||||||||||||||||||||||||
| 15 | Государственное бюджетное учреждение здравоохранения "Районная больница с. Агаповка" | ФАП п. Черниговский | 224.15 | от 100 до 900 | - | 1,105 | 0,5 | 1297491,00 | 54062,13 | 486559,17 | 648745,56 | |||||||||||||||||||||||||||||||||||||||||
| 16 | Государственное бюджетное учреждение здравоохранения "Районная больница с. Агаповка" | ФАП п. Требиат | 224.16 | от 100 до 900 | - | 1,105 | 0,1 | 1297491,00 | 10812,43 | 97311,87 | 129749,16 | |||||||||||||||||||||||||||||||||||||||||
| 17 | Государственное бюджетное учреждение здравоохранения "Районная больница с. Агаповка" | ФАП п. Алексеевский | 224.17 | от 100 до 900 | - | 1,105 | 0,5 | 1297491,00 | 54062,13 | 486559,17 | 648745,56 | |||||||||||||||||||||||||||||||||||||||||
| 18 | Государственное бюджетное учреждение здравоохранения "Районная больница с. Агаповка" | ФАП п. Кировский | 224.18 | от 100 до 900 | - | 1,105 | 0,5 | 1297491,00 | 54062,13 | 486559,17 | 648745,56 | |||||||||||||||||||||||||||||||||||||||||
| <**> | Государственное бюджетное учреждение здравоохранения "Районная больница с. Агаповка" | ФАП п. Южный <**> | 
 | закрыт | - | 1,105 | 
 | 0,00 | 0,00 | 22775,34 | 22775,34 | |||||||||||||||||||||||||||||||||||||||||
| 19 | Государственное бюджетное учреждение здравоохранения "Районная больница с. Агаповка" | ФАП п. ж/д ст. Субутак | 224.20 | от 900 до 1500 | + | 1,105 | 1 | 2055632,00 | 171302,67 | 1541724,03 | 2055632,04 | |||||||||||||||||||||||||||||||||||||||||
| 20 | Государственное бюджетное учреждение здравоохранения "Районная больница с. Агаповка" | ФАП п. ж/д ст. Гумбейка | 224.21 | от 100 до 900 | - | 1,105 | 0,5 | 1297491,00 | 54062,13 | 486559,17 | 648745,56 | |||||||||||||||||||||||||||||||||||||||||
| 21 | Государственное бюджетное учреждение здравоохранения "Районная больница с. Агаповка" | ФАП п. Наваринка | 224.22 | от 100 до 900 | - | 1,105 | 0,5 | 1297491,00 | 54062,13 | 486559,17 | 648745,56 | |||||||||||||||||||||||||||||||||||||||||
| 22 | Государственное бюджетное учреждение здравоохранения "Районная больница с. Агаповка" | ФАП п. Малиновка | 224.23 | от 100 до 900 | - | 1,105 | 0,5 | 1297491,00 | 54062,13 | 486559,17 | 648745,56 | |||||||||||||||||||||||||||||||||||||||||
| 23 | Государственное бюджетное учреждение здравоохранения "Районная больница с. Агаповка" | ФАП п. Базарский | 224.24 | от 100 до 900 | - | 1,105 | 0,5 | 1297491,00 | 54062,13 | 486559,17 | 648745,56 | |||||||||||||||||||||||||||||||||||||||||
| 24 | Государственное бюджетное учреждение здравоохранения "Районная больница с. Агаповка" | ФАП п. Черноотрог | 224.25 | от 100 до 900 | - | 1,105 | 0,1 | 1297491,00 | 10812,43 | 97311,87 | 129749,16 | |||||||||||||||||||||||||||||||||||||||||
| 25 | Государственное бюджетное учреждение здравоохранения "Районная больница с. Агаповка" | ФАП п. Зингейка | 224.26 | от 100 до 900 | - | 1,105 | 0,5 | 1297491,00 | 54062,13 | 486559,17 | 648745,56 | |||||||||||||||||||||||||||||||||||||||||
| 26 | Государственное бюджетное учреждение здравоохранения "Районная больница с. Агаповка" | ФАП п. Ташказган | 224.27 | от 100 до 900 | - | 1,105 | 0,5 | 1297491,00 | 54062,13 | 486559,17 | 648745,56 | |||||||||||||||||||||||||||||||||||||||||
| 27 | Государственное бюджетное учреждение здравоохранения "Районная больница с. Агаповка" | ФАП п. Воздвиженка | 224.28 | от 100 до 900 | - | 1,105 | 0,5 | 1297491,00 | 54062,13 | 486559,17 | 648745,56 | |||||||||||||||||||||||||||||||||||||||||
| <**> | Государственное бюджетное учреждение здравоохранения "Районная больница с. Агаповка" | ФАП п. Просторный <**> | 
 | закрыт | - | 1,105 | 
 | 0,00 | 0,00 | 22775,34 | 22775,34 | |||||||||||||||||||||||||||||||||||||||||
| 
 | Итого по Государственному бюджетному учреждению здравоохранения "Районная больница с. Агаповка" | X | 224 | X | X | X | X | X | 1658074,77 | 15633759,81 | 20607984,12 | |||||||||||||||||||||||||||||||||||||||||
| 
 | Аргаяшский муниципальный район | 
 | 
 | 
 | 
 | 
 | 
 | 
 | 
 | 
 | 
 | |||||||||||||||||||||||||||||||||||||||||
| 1 | Государственное бюджетное учреждение здравоохранения "Районная больница с. Аргаяш" | ФАП д. Абдырова | 234.01 | от 100 до 900 | - | 1,105 | 0,1 | 1297491,00 | 10812,43 | 97311,87 | 129749,16 | |||||||||||||||||||||||||||||||||||||||||
| 2 | Государственное бюджетное учреждение здравоохранения "Районная больница с. Аргаяш" | ФАП д. Айбатова | 234.02 | от 100 до 900 | + | 1,105 | 1 | 1297491,00 | 108124,25 | 973118,25 | 1297491,00 | |||||||||||||||||||||||||||||||||||||||||
| 3 | Государственное бюджетное учреждение здравоохранения "Районная больница с. Аргаяш" | ФАП д. Бажикаева | 234.03 | от 900 до 1500 | + | 1,105 | 1 | 2055632,00 | 171302,67 | 1541724,03 | 2055632,04 | |||||||||||||||||||||||||||||||||||||||||
| 4 | Государственное бюджетное учреждение здравоохранения "Районная больница с. Аргаяш" | ФАП д. Большая Куйсарина | 234.04 | от 100 до 900 | + | 1,105 | 1 | 1297491,00 | 108124,25 | 973118,25 | 1297491,00 | |||||||||||||||||||||||||||||||||||||||||
| 5 | Государственное бюджетное учреждение здравоохранения "Районная больница с. Аргаяш" | ФАП п. Горный | 234.05 | от 100 до 900 | + | 1,105 | 1 | 1297491,00 | 108124,25 | 973118,25 | 1297491,00 | |||||||||||||||||||||||||||||||||||||||||
| 6 | Государственное бюджетное учреждение здравоохранения "Районная больница с. Аргаяш" | ФАП с. Губернское | 234.06 | от 100 до 900 | + | 1,105 | 1 | 1297491,00 | 108124,25 | 973118,25 | 1297491,00 | |||||||||||||||||||||||||||||||||||||||||
| 7 | Государственное бюджетное учреждение здравоохранения "Районная больница с. Аргаяш" | ФАП д. Аязгулова | 234.07 | от 100 до 900 | + | 1,105 | 1 | 1297491,00 | 108124,25 | 681182,79 | 1005555,54 | |||||||||||||||||||||||||||||||||||||||||
| 8 | Государственное бюджетное учреждение здравоохранения "Районная больница с. Аргаяш" | ФАП д. Байгазина | 234.08 | от 100 до 900 | - | 1,105 | 0,1 | 1297491,00 | 10812,43 | 97311,87 | 129749,16 | |||||||||||||||||||||||||||||||||||||||||
| 9 | Государственное бюджетное учреждение здравоохранения "Районная больница с. Аргаяш" | ФАП д. Большая Исянгильдина | 234.09 | от 100 до 900 | + | 1,105 | 1 | 1297491,00 | 108124,25 | 973118,25 | 1297491,00 | |||||||||||||||||||||||||||||||||||||||||
| 10 | Государственное бюджетное учреждение здравоохранения "Районная больница с. Аргаяш" | ФАП д. Большая Усманова | 234.10 | от 100 до 900 | + | 1,105 | 1 | 1297491,00 | 108124,25 | 973118,25 | 1297491,00 | |||||||||||||||||||||||||||||||||||||||||
| 11 | Государственное бюджетное учреждение здравоохранения "Районная больница с. Аргаяш" | ФАП д. Медиак | 234.11 | от 100 до 900 | + | 1,105 | 1 | 1297491,00 | 108124,25 | 973118,25 | 1297491,00 | |||||||||||||||||||||||||||||||||||||||||
| 12 | Государственное бюджетное учреждение здравоохранения "Районная больница с. Аргаяш" | ФАП д. Новая Соболева | 234.12 | от 100 до 900 | - | 1,105 | 0,1 | 1297491,00 | 10812,43 | 97311,87 | 129749,16 | |||||||||||||||||||||||||||||||||||||||||
| 13 | Государственное бюджетное учреждение здравоохранения "Районная больница с. Аргаяш" | ФАП д. Илимбетова | 234.13 | от 100 до 900 | + | 1,105 | 1 | 1297491,00 | 108124,25 | 973118,25 | 1297491,00 | |||||||||||||||||||||||||||||||||||||||||
| 14 | Государственное бюджетное учреждение здравоохранения "Районная больница с. Аргаяш" | ФАП д. Ишалино | 234.14 | от 100 до 900 | + | 1,105 | 1 | 1297491,00 | 108124,25 | 973118,25 | 1297491,00 | |||||||||||||||||||||||||||||||||||||||||
| 15 | Государственное бюджетное учреждение здравоохранения "Районная больница с. Аргаяш" | ФАП д. Камышевка | 234.15 | от 900 до 1500 | + | 1,105 | 1 | 2055632,00 | 171302,67 | 1541724,03 | 2055632,04 | |||||||||||||||||||||||||||||||||||||||||
| 16 | Государственное бюджетное учреждение здравоохранения "Районная больница с. Аргаяш" | ФАП д. Кузяшева | 234.16 | от 100 до 900 | + | 1,105 | 1 | 1297491,00 | 108124,25 | 973118,25 | 1297491,00 | |||||||||||||||||||||||||||||||||||||||||
| 17 | Государственное бюджетное учреждение здравоохранения "Районная больница с. Аргаяш" | ФАП д. Курманова | 234.17 | от 900 до 1500 | + | 1,105 | 1 | 2055632,00 | 171302,67 | 1541724,03 | 2055632,04 | |||||||||||||||||||||||||||||||||||||||||
| 18 | Государственное бюджетное учреждение здравоохранения "Районная больница с. Аргаяш" | ФАП д. Куянбаева | 234.18 | от 100 до 900 | + | 1,105 | 1 | 1297491,00 | 108124,25 | 973118,25 | 1297491,00 | |||||||||||||||||||||||||||||||||||||||||
| 19 | Государственное бюджетное учреждение здравоохранения "Районная больница с. Аргаяш" | ФАП д. Мавлютова | 234.19 | от 100 до 900 | - | 1,105 | 0,1 | 1297491,00 | 10812,43 | 97311,87 | 129749,16 | |||||||||||||||||||||||||||||||||||||||||
| 20 | Государственное бюджетное учреждение здравоохранения "Районная больница с. Аргаяш" | ФАП д. Малая Ультракова | 234.20 | от 100 до 900 | + | 1,105 | 1 | 1297491,00 | 108124,25 | 973118,25 | 1297491,00 | |||||||||||||||||||||||||||||||||||||||||
| 21 | Государственное бюджетное учреждение здравоохранения "Районная больница с. Аргаяш" | ФАП д. Метелева | 234.21 | от 100 до 900 | + | 1,105 | 1 | 1297491,00 | 108124,25 | 973118,25 | 1297491,00 | |||||||||||||||||||||||||||||||||||||||||
| 22 | Государственное бюджетное учреждение здравоохранения "Районная больница с. Аргаяш" | ФАП п. Аргази | 234.22 | от 100 до 900 | + | 1,105 | 1 | 1297491,00 | 108124,25 | 973118,25 | 1297491,00 | |||||||||||||||||||||||||||||||||||||||||
| 23 | Государственное бюджетное учреждение здравоохранения "Районная больница с. Аргаяш" | ФАП п. Кировский | 234.23 | от 100 до 900 | - | 1,105 | 0,1 | 1297491,00 | 10812,43 | 97311,87 | 129749,16 | |||||||||||||||||||||||||||||||||||||||||
| 24 | Государственное бюджетное учреждение здравоохранения "Районная больница с. Аргаяш" | ФАП д. Старая Соболева | 234.24 | от 100 до 900 | + | 1,105 | 1 | 1297491,00 | 108124,25 | 973118,25 | 1297491,00 | |||||||||||||||||||||||||||||||||||||||||
| 25 | Государственное бюджетное учреждение здравоохранения "Районная больница с. Аргаяш" | ФАП п. Увильды | 234.25 | от 100 до 900 | + | 1,105 | 1 | 1297491,00 | 108124,25 | 973118,25 | 1297491,00 | |||||||||||||||||||||||||||||||||||||||||
| 26 | Государственное бюджетное учреждение здравоохранения "Районная больница с. Аргаяш" | ФАП п. Худайбердинский | 234.26 | от 900 до 1500 | + | 1,105 | 1 | 2055632,00 | 171302,67 | 1541724,03 | 2055632,04 | |||||||||||||||||||||||||||||||||||||||||
| 27 | Государственное бюджетное учреждение здравоохранения "Районная больница с. Аргаяш" | ФАП д. Чапаевка | 234.27 | от 100 до 900 | - | 1,105 | 0,1 | 1297491,00 | 10812,43 | 97311,87 | 129749,16 | |||||||||||||||||||||||||||||||||||||||||
| 28 | Государственное бюджетное учреждение здравоохранения "Районная больница с. Аргаяш" | ФАП д. Березовка | 234.28 | от 100 до 900 | + | 1,105 | 1 | 1297491,00 | 108124,25 | 973118,25 | 1297491,00 | |||||||||||||||||||||||||||||||||||||||||
| 29 | Государственное бюджетное учреждение здравоохранения "Районная больница с. Аргаяш" | ФАП д. Биккулова | 234.29 | от 100 до 900 | + | 1,105 | 1 | 1297491,00 | 108124,25 | 973118,25 | 1297491,00 | |||||||||||||||||||||||||||||||||||||||||
| 30 | Государственное бюджетное учреждение здравоохранения "Районная больница с. Аргаяш" | ФАП д. Давлетбаева | 234.30 | от 100 до 900 | + | 1,105 | 1 | 1297491,00 | 108124,25 | 973118,25 | 1297491,00 | |||||||||||||||||||||||||||||||||||||||||
| 31 | Государственное бюджетное учреждение здравоохранения "Районная больница с. Аргаяш" | ФАП п. Чубары | 234.31 | от 100 до 900 | + | 1,105 | 1 | 1297491,00 | 108124,25 | 973118,25 | 1297491,00 | |||||||||||||||||||||||||||||||||||||||||
| 32 | Государственное бюджетное учреждение здравоохранения "Районная больница с. Аргаяш" | ФАП д. Селяева | 234.32 | от 100 до 900 | + | 1,105 | 1 | 1297491,00 | 108124,25 | 389247,33 | 713620,08 | |||||||||||||||||||||||||||||||||||||||||
| 33 | Государственное бюджетное учреждение здравоохранения "Районная больница с. Аргаяш" | ФАП д. Буланцы | 234.33 | от 100 до 900 | + | 1,105 | 1 | 1297491,00 | 108124,25 | 973118,25 | 1297491,00 | |||||||||||||||||||||||||||||||||||||||||
| 34 | Государственное бюджетное учреждение здравоохранения "Районная больница с. Аргаяш" | ФАП п. Башакуль | 234.34 | от 100 до 900 | + | 1,105 | 1 | 1297491,00 | 108124,25 | 973118,25 | 1297491,00 | |||||||||||||||||||||||||||||||||||||||||
| 35 | Государственное бюджетное учреждение здравоохранения "Районная больница с. Аргаяш" | ФАП д. Уразбаева | 234.35 | от 100 до 900 | - | 1,105 | 0,1 | 1297491,00 | 10812,43 | 97311,87 | 129749,16 | |||||||||||||||||||||||||||||||||||||||||
| 
 | Итого по Государственному бюджетному учреждению здравоохранения "Районная больница с. Аргаяш" | X | 234 | X | X | X | X | X | 3355879,69 | 29327110,83 | 39394749,90 | |||||||||||||||||||||||||||||||||||||||||
| 
 | Ашинский муниципальный район | 
 | 
 | 
 | 
 | 
 | 
 | 
 | 
 | 
 | 
 | |||||||||||||||||||||||||||||||||||||||||
| 1 | Государственное бюджетное учреждение здравоохранения "Районная больница г. Аша" | ФАП п. Новозаречный | 242.01 | от 100 до 900 | - | 1,105 | 0,5 | 1297491,00 | 54062,13 | 486559,17 | 648745,56 | |||||||||||||||||||||||||||||||||||||||||
| 2 | Государственное бюджетное учреждение здравоохранения "Районная больница г. Аша" | Укский ФАП | 242.02 | от 900 до 1500 | + | 1,105 | 1 | 2055632,00 | 171302,67 | 1541724,03 | 2055632,04 | |||||||||||||||||||||||||||||||||||||||||
| 3 | Государственное бюджетное учреждение здравоохранения "Районная больница г. Аша" | Усть-Курышкинский ФАП | 242.03 | от 100 до 900 | - | 1,105 | 0,5 | 1297491,00 | 54062,13 | 486559,17 | 648745,56 | |||||||||||||||||||||||||||||||||||||||||
| 4 | Государственное бюджетное учреждение здравоохранения "Районная больница г. Аша" | Сухоатинский сельский ФАП | 242.04 | от 100 до 900 | - | 1,105 | 0,5 | 1297491,00 | 54062,13 | 486559,17 | 648745,56 | |||||||||||||||||||||||||||||||||||||||||
| 5 | Государственное бюджетное учреждение здравоохранения "Районная больница г. Аша" | Первомайский ФАП | 242.05 | менее 100 | - | 1,105 | 0,5 | 911014,00 | 37958,92 | 341630,28 | 455507,04 | |||||||||||||||||||||||||||||||||||||||||
| 6 | Государственное бюджетное учреждение здравоохранения "Районная больница г. Аша" | Волковский ФАП | 242.06 | менее 100 | + | 1,105 | 1 | 911014,00 | 75917,83 | 683260,47 | 911013,96 | |||||||||||||||||||||||||||||||||||||||||
| 7 | Государственное бюджетное учреждение здравоохранения "Районная больница г. Аша" | ФАП с. Биянка | 242.07 | от 100 до 900 | - | 1,105 | 0,5 | 1297491,00 | 54062,13 | 486559,17 | 648745,56 | |||||||||||||||||||||||||||||||||||||||||
| 8 | Государственное бюджетное учреждение здравоохранения "Районная больница г. Аша" | ФАП п. Караганка | 242.08 | менее 100 | + | 1,105 | 1 | 911014,00 | 75917,83 | 683260,47 | 911013,96 | |||||||||||||||||||||||||||||||||||||||||
| 9 | Государственное бюджетное учреждение здравоохранения "Районная больница г. Аша" | ФАП с. Ерал | 242.09 | от 100 до 900 | + | 1,105 | 1 | 1297491,00 | 108124,25 | 973118,25 | 1297491,00 | |||||||||||||||||||||||||||||||||||||||||
| 10 | Государственное бюджетное учреждение здравоохранения "Районная больница г. Аша" | ФАП с. Муратовка | 242.10 | менее 100 | + | 1,105 | 1 | 911014,00 | 75917,83 | 683260,47 | 911013,96 | |||||||||||||||||||||||||||||||||||||||||
| 11 | Государственное бюджетное учреждение здравоохранения "Районная больница г. Аша" | ФАП с. Илек | 242.11 | менее 100 | - | 1,105 | 0,5 | 911014,00 | 37958,92 | 341630,28 | 455507,04 | |||||||||||||||||||||||||||||||||||||||||
| 12 | Государственное бюджетное учреждение здравоохранения "Районная больница г. Аша" | ФАП с. Малояз | 242.12 | менее 100 | - | 1,105 | 0,5 | 911014,00 | 37958,92 | 341630,28 | 455507,04 | |||||||||||||||||||||||||||||||||||||||||
| 
 | Итого по Государственному бюджетному учреждению здравоохранения "Районная больница г. Аша" | X | 242 | X | X | X | X | X | 837305,69 | 7535751,21 | 10047668,28 | |||||||||||||||||||||||||||||||||||||||||
| 
 | Брединский муниципальный район | 
 | 
 | 
 | 
 | 
 | 
 | 
 | 
 | 
 | 
 | |||||||||||||||||||||||||||||||||||||||||
| 1 | Государственное бюджетное учреждение здравоохранения "Районная больница п. Бреды" | ФАП п. Коряжный | 248.01 | от 100 до 900 | - | 1,105 | 0,5 | 1297491,00 | 54062,13 | 486559,17 | 648745,56 | |||||||||||||||||||||||||||||||||||||||||
| 2 | Государственное бюджетное учреждение здравоохранения "Районная больница п. Бреды" | ФАП п. Амурский | 248.02 | от 100 до 900 | - | 1,105 | 0,1 | 1297491,00 | 10812,43 | 97311,87 | 129749,16 | |||||||||||||||||||||||||||||||||||||||||
| 3 | Государственное бюджетное учреждение здравоохранения "Районная больница п. Бреды" | ФАП п. Рымникский | 248.03 | от 900 до 1500 | + | 1,105 | 1 | 2055632,00 | 171302,67 | 1541724,03 | 2055632,04 | |||||||||||||||||||||||||||||||||||||||||
| 4 | Государственное бюджетное учреждение здравоохранения "Районная больница п. Бреды" | ФАП п. Березовка | 248.04 | менее 100 | - | 1,105 | 0,5 | 911014,00 | 37958,92 | 438249,54 | 552126,30 | |||||||||||||||||||||||||||||||||||||||||
| 5 | Государственное бюджетное учреждение здравоохранения "Районная больница п. Бреды" | ФАП с. Сосновка | 248.05 | от 100 до 900 | - | 1,105 | 0,5 | 1297491,00 | 54062,13 | 486559,17 | 648745,56 | |||||||||||||||||||||||||||||||||||||||||
| 6 | Государственное бюджетное учреждение здравоохранения "Районная больница п. Бреды" | ФАП п. Княженский | 248.06 | от 100 до 900 | + | 1,105 | 1 | 1297491,00 | 108124,25 | 973118,25 | 1297491,00 | |||||||||||||||||||||||||||||||||||||||||
| 7 | Государственное бюджетное учреждение здравоохранения "Районная больница п. Бреды" | ФАП п. Заозерный | 248.07 | от 100 до 900 | + | 1,105 | 1 | 1297491,00 | 108124,25 | 973118,25 | 1297491,00 | |||||||||||||||||||||||||||||||||||||||||
| 8 | Государственное бюджетное учреждение здравоохранения "Районная больница п. Бреды" | ФАП п. Мариинский | 248.08 | от 100 до 900 | - | 1,105 | 0,5 | 1297491,00 | 54062,13 | 227060,97 | 389247,36 | |||||||||||||||||||||||||||||||||||||||||
| 9 | Государственное бюджетное учреждение здравоохранения "Районная больница п. Бреды" | ФАП п. Могутовский | 248.09 | от 100 до 900 | - | 1,105 | 0,5 | 1297491,00 | 54062,13 | 227060,97 | 389247,36 | |||||||||||||||||||||||||||||||||||||||||
| 10 | Государственное бюджетное учреждение здравоохранения "Районная больница п. Бреды" | ФАП п. Гогино | 248.10 | от 100 до 900 | + | 1,105 | 1 | 1297491,00 | 108124,25 | 973118,25 | 1297491,00 | |||||||||||||||||||||||||||||||||||||||||
| 11 | Государственное бюджетное учреждение здравоохранения "Районная больница п. Бреды" | ФАП п. Новоамурский | 248.11 | от 100 до 900 | - | 1,105 | 0,1 | 1297491,00 | 10812,43 | 97311,87 | 129749,16 | |||||||||||||||||||||||||||||||||||||||||
| 12 | Государственное бюджетное учреждение здравоохранения "Районная больница п. Бреды" | ФАП п. Синий Шихан | 248.12 | менее 100 | - | 1,105 | 0,5 | 911014,00 | 37958,92 | 762622,26 | 876499,02 | |||||||||||||||||||||||||||||||||||||||||
| 13 | Государственное бюджетное учреждение здравоохранения "Районная больница п. Бреды" | ФАП п. Восточный | 248.13 | от 100 до 900 | + | 1,105 | 1 | 1297491,00 | 108124,25 | 973118,25 | 1297491,00 | |||||||||||||||||||||||||||||||||||||||||
| 14 | Государственное бюджетное учреждение здравоохранения "Районная больница п. Бреды" | ФАП п. Новый | 248.14 | от 100 до 900 | - | 1,105 | 0,5 | 1297491,00 | 54062,13 | 486559,17 | 648745,56 | |||||||||||||||||||||||||||||||||||||||||
| 15 | Государственное бюджетное учреждение здравоохранения "Районная больница п. Бреды" | ФАП п. Атамановский | 248.15 | от 100 до 900 | + | 1,105 | 1 | 1297491,00 | 108124,25 | 973118,25 | 1297491,00 | |||||||||||||||||||||||||||||||||||||||||
| 
 | Итого по Государственному бюджетному учреждению здравоохранения "Районная больница п. Бреды" | X | 248 | X | X | X | X | X | 1079777,27 | 9716610,27 | 12955942,08 | |||||||||||||||||||||||||||||||||||||||||
| 
 | Варненский муниципальный район | 
 | 
 | 
 | 
 | 
 | 
 | 
 | 
 | 
 | 
 | |||||||||||||||||||||||||||||||||||||||||
| 1 | Государственное бюджетное учреждение здравоохранения "Районная больница с. Варна" | ФАП п. Кызыл-Маяк | 324.01 | от 100 до 900 | + | 1,105 | 1 | 1297491,00 | 108124,25 | 973118,25 | 1297491,00 | |||||||||||||||||||||||||||||||||||||||||
| 2 | Государственное бюджетное учреждение здравоохранения "Районная больница с. Варна" | ФАП п. Караоба | 324.02 | от 100 до 900 | - | 1,105 | 0,1 | 1297491,00 | 10812,43 | 97311,87 | 129749,16 | |||||||||||||||||||||||||||||||||||||||||
| 3 | Государственное бюджетное учреждение здравоохранения "Районная больница с. Варна" | ФАП п. Заречье | 324.03 | от 100 до 900 | - | 1,105 | 0,1 | 1297491,00 | 10812,43 | 97311,87 | 129749,16 | |||||||||||||||||||||||||||||||||||||||||
| 4 | Государственное бюджетное учреждение здравоохранения "Районная больница с. Варна" | ФАП п. Красноармейский | 324.04 | от 100 до 900 | + | 1,105 | 1 | 1297491,00 | 108124,25 | 973118,25 | 1297491,00 | |||||||||||||||||||||||||||||||||||||||||
| 5 | Государственное бюджетное учреждение здравоохранения "Районная больница с. Варна" | ФАП п. Красная Заря | 324.05 | от 100 до 900 | - | 1,105 | 0,5 | 1297491,00 | 54062,13 | 973118,25 | 1135304,64 | |||||||||||||||||||||||||||||||||||||||||
| 6 | Государственное бюджетное учреждение здравоохранения "Районная больница с. Варна" | ФАП п. Алакамыс | 324.06 | от 100 до 900 | + | 1,105 | 1 | 1297491,00 | 108124,25 | 97311,87 | 421684,62 | |||||||||||||||||||||||||||||||||||||||||
| 7 | Государственное бюджетное учреждение здравоохранения "Районная больница с. Варна" | ФАП п. Маслоковцы | 324.07 | менее 100 | - | 1,105 | 0,1 | 911014,00 | 7591,78 | 68326,02 | 91101,36 | |||||||||||||||||||||||||||||||||||||||||
| 8 | Государственное бюджетное учреждение здравоохранения "Районная больница с. Варна" | ФАП п. Новокулевчи | 324.08 | от 100 до 900 | - | 1,105 | 0,1 | 1297491,00 | 10812,43 | 97311,87 | 129749,16 | |||||||||||||||||||||||||||||||||||||||||
| 9 | Государственное бюджетное учреждение здравоохранения "Районная больница с. Варна" | ФАП п. Ракитный | 324.10 | от 100 до 900 | - | 1,105 | 0,5 | 1297491,00 | 54062,13 | 356810,07 | 518996,46 | |||||||||||||||||||||||||||||||||||||||||
| 10 | Государственное бюджетное учреждение здравоохранения "Районная больница с. Варна" | ФАП п. Нововладимировский | 324.11 | от 100 до 900 | + | 1,105 | 1 | 1297491,00 | 108124,25 | 389247,33 | 713620,08 | |||||||||||||||||||||||||||||||||||||||||
| 11 | Государственное бюджетное учреждение здравоохранения "Районная больница с. Варна" | ФАП п. Алтырка | 324.13 | от 100 до 900 | - | 1,105 | 0,5 | 1297491,00 | 54062,13 | 356810,07 | 518996,46 | |||||||||||||||||||||||||||||||||||||||||
| 12 | Государственное бюджетное учреждение здравоохранения "Районная больница с. Варна" | ФАП п. Солнце | 324.14 | от 100 до 900 | + | 1,105 | 1 | 1297491,00 | 108124,25 | 486559,17 | 810931,92 | |||||||||||||||||||||||||||||||||||||||||
| 13 | Государственное бюджетное учреждение здравоохранения "Районная больница с. Варна" | ФАП п. Правда | 324.15 | от 100 до 900 | - | 1,105 | 0,5 | 1297491,00 | 54062,13 | 356810,07 | 518996,46 | |||||||||||||||||||||||||||||||||||||||||
| 14 | Государственное бюджетное учреждение здравоохранения "Районная больница с. Варна" | ФАП п. Казановка | 324.16 | от 100 до 900 | - | 1,105 | 0,1 | 1297491,00 | 10812,43 | 973118,25 | 1005555,54 | |||||||||||||||||||||||||||||||||||||||||
| 15 | Государственное бюджетное учреждение здравоохранения "Районная больница с. Варна" | ФАП с. Александровка | 324.17 | от 100 до 900 | + | 1,105 | 1 | 1297491,00 | 108124,25 | 973118,25 | 1297491,00 | |||||||||||||||||||||||||||||||||||||||||
| 16 | Государственное бюджетное учреждение здравоохранения "Районная больница с. Варна" | ФАП п. Белоглинка | 324.18 | от 100 до 900 | - | 1,105 | 0,5 | 1297491,00 | 54062,13 | 486559,17 | 648745,56 | |||||||||||||||||||||||||||||||||||||||||
| 17 | Государственное бюджетное учреждение здравоохранения "Районная больница с. Варна" | ФАП с. Николаевка | 324.19 | от 100 до 900 | + | 1,105 | 1 | 1297491,00 | 108124,25 | 973118,25 | 1297491,00 | |||||||||||||||||||||||||||||||||||||||||
| 18 | Государственное бюджетное учреждение здравоохранения "Районная больница с. Варна" | ФАП с. Владимировка | 324.20 | от 100 до 900 | + | 1,105 | 1 | 1297491,00 | 108124,25 | 973118,25 | 1297491,00 | |||||||||||||||||||||||||||||||||||||||||
| 19 | Государственное бюджетное учреждение здравоохранения "Районная больница с. Варна" | ФАП п. Саламат | 324.21 | от 100 до 900 | - | 1,105 | 0,5 | 1297491,00 | 54062,13 | 356810,07 | 518996,46 | |||||||||||||||||||||||||||||||||||||||||
| 20 | Государственное бюджетное учреждение здравоохранения "Районная больница с. Варна" | ФАП п. Дружный | 324.22 | от 100 до 900 | + | 1,105 | 1 | 1297491,00 | 108124,25 | 973118,25 | 1297491,00 | |||||||||||||||||||||||||||||||||||||||||
| 21 | Государственное бюджетное учреждение здравоохранения "Районная больница с. Варна" | ФАП п. Комсомольский | 324.23 | от 100 до 900 | - | 1,105 | 0,5 | 1297491,00 | 54062,13 | 486559,17 | 648745,56 | |||||||||||||||||||||||||||||||||||||||||
| 22 | Государственное бюджетное учреждение здравоохранения "Районная больница с. Варна" | ФАП п. Большевик | 324.24 | от 100 до 900 | - | 1,105 | 0,1 | 1297491,00 | 10812,43 | 389247,33 | 421684,62 | |||||||||||||||||||||||||||||||||||||||||
| 
 | Итого по Государственному бюджетному учреждению здравоохранения "Районная больница с. Варна" | X | 324 | X | X | X | X | X | 1413207,09 | 11907931,95 | 16147553,22 | |||||||||||||||||||||||||||||||||||||||||
| 
 | Верхнеуральский муниципальный район | 
 | 
 | 
 | 
 | 
 | 
 | 
 | 
 | 
 | 
 | |||||||||||||||||||||||||||||||||||||||||
| 1 | Государственное бюджетное учреждение здравоохранения "Районная больница г. Верхнеуральск" | Сухтелинский ФАП | 257.01 | от 100 до 900 | + | 1,105 | 1 | 1297491,00 | 108124,25 | 973118,25 | 1297491,00 | |||||||||||||||||||||||||||||||||||||||||
| 2 | Государственное бюджетное учреждение здравоохранения "Районная больница г. Верхнеуральск" | Крутоложский ФАП | 257.02 | от 100 до 900 | + | 1,105 | 1 | 1297491,00 | 108124,25 | 973118,25 | 1297491,00 | |||||||||||||||||||||||||||||||||||||||||
| 3 | Государственное бюджетное учреждение здравоохранения "Районная больница г. Верхнеуральск" | Кидышевский ФАП | 257.03 | от 100 до 900 | + | 1,105 | 1 | 1297491,00 | 108124,25 | 973118,25 | 1297491,00 | |||||||||||||||||||||||||||||||||||||||||
| 4 | Государственное бюджетное учреждение здравоохранения "Районная больница г. Верхнеуральск" | Ивановский ФАП | 257.04 | от 100 до 900 | - | 1,105 | 0,1 | 1297491,00 | 10812,43 | 973118,25 | 1005555,54 | |||||||||||||||||||||||||||||||||||||||||
| 5 | Государственное бюджетное учреждение здравоохранения "Районная больница г. Верхнеуральск" | Нововоронинский ФАП | 257.05 | от 100 до 900 | + | 1,105 | 1 | 1297491,00 | 108124,25 | 973118,25 | 1297491,00 | |||||||||||||||||||||||||||||||||||||||||
| 6 | Государственное бюджетное учреждение здравоохранения "Районная больница г. Верхнеуральск" | Бабарыкинский ФАП | 257.06 | от 100 до 900 | - | 1,105 | 0,5 | 1297491,00 | 54062,13 | 810931,89 | 973118,28 | |||||||||||||||||||||||||||||||||||||||||
| 7 | Государственное бюджетное учреждение здравоохранения "Районная больница г. Верхнеуральск" | Большой Бугодакский ФАП | 257.07 | от 100 до 900 | + | 1,105 | 1 | 1297491,00 | 108124,25 | 973118,25 | 1297491,00 | |||||||||||||||||||||||||||||||||||||||||
| 8 | Государственное бюджетное учреждение здравоохранения "Районная больница г. Верхнеуральск" | Вятский ФАП | 257.08 | от 100 до 900 | - | 1,105 | 0,1 | 1297491,00 | 10812,43 | 97311,87 | 129749,16 | |||||||||||||||||||||||||||||||||||||||||
| 9 | Государственное бюджетное учреждение здравоохранения "Районная больница г. Верхнеуральск" | Волковский ФАП | 257.09 | от 100 до 900 | + | 1,105 | 1 | 1297491,00 | 108124,25 | 973118,25 | 1297491,00 | |||||||||||||||||||||||||||||||||||||||||
| 10 | Государственное бюджетное учреждение здравоохранения "Районная больница г. Верхнеуральск" | Тайсаринский ФАП | 257.10 | от 100 до 900 | - | 1,105 | 0,1 | 1297491,00 | 10812,43 | 97311,87 | 129749,16 | |||||||||||||||||||||||||||||||||||||||||
| 11 | Государственное бюджетное учреждение здравоохранения "Районная больница г. Верхнеуральск" | Смеловский ФАП | 257.11 | от 100 до 900 | + | 1,105 | 1 | 1297491,00 | 108124,25 | 973118,25 | 1297491,00 | |||||||||||||||||||||||||||||||||||||||||
| 12 | Государственное бюджетное учреждение здравоохранения "Районная больница г. Верхнеуральск" | Казанцевский ФАП | 257.12 | от 100 до 900 | - | 1,105 | 0,1 | 1297491,00 | 10812,43 | 973118,25 | 1005555,54 | |||||||||||||||||||||||||||||||||||||||||
| 13 | Государственное бюджетное учреждение здравоохранения "Районная больница г. Верхнеуральск" | Новоахуновский ФАП | 257.13 | от 100 до 900 | + | 1,105 | 1 | 1297491,00 | 108124,25 | 973118,25 | 1297491,00 | |||||||||||||||||||||||||||||||||||||||||
| 14 | Государственное бюджетное учреждение здравоохранения "Районная больница г. Верхнеуральск" | Сафроновский ФАП | 257.14 | от 100 до 900 | + | 1,105 | 1 | 1297491,00 | 108124,25 | 973118,25 | 1297491,00 | |||||||||||||||||||||||||||||||||||||||||
| 15 | Государственное бюджетное учреждение здравоохранения "Районная больница г. Верхнеуральск" | Полосинский ФАП | 257.15 | от 100 до 900 | - | 1,105 | 0,5 | 1297491,00 | 54062,13 | 486559,17 | 648745,56 | |||||||||||||||||||||||||||||||||||||||||
| 16 | Государственное бюджетное учреждение здравоохранения "Районная больница г. Верхнеуральск" | Эстонский ФАП | 257.16 | от 100 до 900 | - | 1,105 | 0,5 | 1297491,00 | 54062,13 | 486559,17 | 648745,56 | |||||||||||||||||||||||||||||||||||||||||
| 17 | Государственное бюджетное учреждение здравоохранения "Районная больница г. Верхнеуральск" | Этовненский ФАП | 257.17 | от 100 до 900 | - | 1,105 | 0,1 | 1297491,00 | 10812,43 | 97311,87 | 129749,16 | |||||||||||||||||||||||||||||||||||||||||
| 18 | Государственное бюджетное учреждение здравоохранения "Районная больница г. Верхнеуральск" | Томинский ФАП | 257.18 | от 100 до 900 | - | 1,105 | 0,1 | 1297491,00 | 10812,43 | 97311,87 | 129749,16 | |||||||||||||||||||||||||||||||||||||||||
| 19 | Государственное бюджетное учреждение здравоохранения "Районная больница г. Верхнеуральск" | Новотоминский ФАП | 257.19 | от 100 до 900 | - | 1,105 | 0,1 | 1297491,00 | 10812,43 | 97311,87 | 129749,16 | |||||||||||||||||||||||||||||||||||||||||
| 20 | Государственное бюджетное учреждение здравоохранения "Районная больница г. Верхнеуральск" | Новокопаловский ФАП | 257.20 | менее 100 | - | 1,105 | 0,5 | 911014,00 | 37958,92 | 341630,28 | 455507,04 | |||||||||||||||||||||||||||||||||||||||||
| 21 | Государственное бюджетное учреждение здравоохранения "Районная больница г. Верхнеуральск" | Линевский ФАП | 257.21 | от 100 до 900 | - | 1,105 | 0,1 | 1297491,00 | 10812,43 | 97311,87 | 129749,16 | |||||||||||||||||||||||||||||||||||||||||
| 22 | Государственное бюджетное учреждение здравоохранения "Районная больница г. Верхнеуральск" | Комсомольский ФАП | 257.22 | от 100 до 900 | - | 1,105 | 0,1 | 1297491,00 | 10812,43 | 97311,87 | 129749,16 | |||||||||||||||||||||||||||||||||||||||||
| 23 | Государственное бюджетное учреждение здравоохранения "Районная больница г. Верхнеуральск" | Урлядинский ФАП | 257.23 | от 100 до 900 | + | 1,105 | 1 | 1297491,00 | 108124,25 | 973118,25 | 1297491,00 | |||||||||||||||||||||||||||||||||||||||||
| 24 | Государственное бюджетное учреждение здравоохранения "Районная больница г. Верхнеуральск" | Александровский ФАП | 257.24 | от 100 до 900 | - | 1,105 | 0,5 | 1297491,00 | 54062,13 | 486559,17 | 648745,56 | |||||||||||||||||||||||||||||||||||||||||
| 25 | Государственное бюджетное учреждение здравоохранения "Районная больница г. Верхнеуральск" | Сурменевский ФАП | 257.25 | от 100 до 900 | + | 1,105 | 1 | 1297491,00 | 108124,25 | 973118,25 | 1297491,00 | |||||||||||||||||||||||||||||||||||||||||
| 26 | Государственное бюджетное учреждение здравоохранения "Районная больница г. Верхнеуральск" | Шеметовский ФАП | 257.26 | от 100 до 900 | - | 1,105 | 0,5 | 1297491,00 | 54062,13 | 486559,17 | 648745,56 | |||||||||||||||||||||||||||||||||||||||||
| 27 | Государственное бюджетное учреждение здравоохранения "Районная больница г. Верхнеуральск" | Новоурлядинский ФАП | 257.27 | менее 100 | - | 1,105 | 0,1 | 911014,00 | 7591,78 | 68326,02 | 91101,36 | |||||||||||||||||||||||||||||||||||||||||
| 28 | Государственное бюджетное учреждение здравоохранения "Районная больница г. Верхнеуральск" | Ложкинский ФАП | 257.28 | от 100 до 900 | - | 1,105 | 0,1 | 1297491,00 | 10812,43 | 97311,87 | 129749,16 | |||||||||||||||||||||||||||||||||||||||||
| 29 | Государственное бюджетное учреждение здравоохранения "Районная больница г. Верхнеуральск" | Новоозерный ФАП | 257.29 | от 100 до 900 | - | 1,105 | 0,5 | 1297491,00 | 54062,13 | 486559,17 | 648745,56 | |||||||||||||||||||||||||||||||||||||||||
| 30 | Государственное бюджетное учреждение здравоохранения "Районная больница г. Верхнеуральск" | Малый Бугодакский ФАП | 257.30 | от 100 до 900 | - | 1,105 | 0,1 | 1297491,00 | 10812,43 | 973118,25 | 1005555,54 | |||||||||||||||||||||||||||||||||||||||||
| 31 | Государственное бюджетное учреждение здравоохранения "Районная больница г. Верхнеуральск" | Кожановский ФАП | 257.31 | от 100 до 900 | - | 1,105 | 0,1 | 1297491,00 | 10812,43 | 486559,17 | 518996,46 | |||||||||||||||||||||||||||||||||||||||||
| 32 | Государственное бюджетное учреждение здравоохранения "Районная больница г. Верхнеуральск" | Уфимский ФАП | 257.32 | от 100 до 900 | - | 1,105 | 0,5 | 1297491,00 | 54062,13 | 486559,17 | 648745,56 | |||||||||||||||||||||||||||||||||||||||||
| 33 | Государственное бюджетное учреждение здравоохранения "Районная больница г. Верхнеуральск" | Горбуновский ФАП | 257.33 | от 100 до 900 | - | 1,105 | 0,5 | 1297491,00 | 54062,13 | 486559,17 | 648745,56 | |||||||||||||||||||||||||||||||||||||||||
| 34 | Государственное бюджетное учреждение здравоохранения "Районная больница г. Верхнеуральск" | Подольский ФАП | 257.34 | от 100 до 900 | + | 1,105 | 1 | 1297491,00 | 108124,25 | 973118,25 | 1297491,00 | |||||||||||||||||||||||||||||||||||||||||
| 35 | Государственное бюджетное учреждение здравоохранения "Районная больница г. Верхнеуральск" | Самарский ФАП | 257.35 | от 100 до 900 | - | 1,105 | 0,5 | 1297491,00 | 54062,13 | 486559,17 | 648745,56 | |||||||||||||||||||||||||||||||||||||||||
| 36 | Государственное бюджетное учреждение здравоохранения "Районная больница г. Верхнеуральск" | Форштадтский ФАП | 257.36 | от 900 до 1500 | - | 1,105 | 0,1 | 2055632,00 | 17130,27 | 154172,43 | 205563,24 | |||||||||||||||||||||||||||||||||||||||||
| 37 | Государственное бюджетное учреждение здравоохранения "Районная больница г. Верхнеуральск" | Дзержинский ФАП | 257.37 | от 100 до 900 | - | 1,105 | 0,5 | 1297491,00 | 54062,13 | 486559,17 | 648745,56 | |||||||||||||||||||||||||||||||||||||||||
| 
 | Итого по Государственному бюджетному учреждению здравоохранения "Районная больница г. Верхнеуральск" | X | 257 | X | X | X | X | X | 2030542,43 | 21615921,03 | 27707548,32 | |||||||||||||||||||||||||||||||||||||||||
| 
 | Верхнеуфалейский городской округ | 
 | 
 | 
 | 
 | 
 | 
 | 
 | 
 | 
 | 
 | |||||||||||||||||||||||||||||||||||||||||
| 1 | Государственное бюджетное учреждение здравоохранения "Городская больница г. Верхний Уфалей" | ФАП пос. Силач | 198.01 | от 100 до 900 | + | 1,105 | 1 | 1297491,00 | 108124,25 | 973118,25 | 1297491,00 | |||||||||||||||||||||||||||||||||||||||||
| 2 | Государственное бюджетное учреждение здравоохранения "Городская больница г. Верхний Уфалей" | ФАП пос. Боровое | 198.02 | от 100 до 900 | + | 1,105 | 1 | 1297491,00 | 108124,25 | 973118,25 | 1297491,00 | |||||||||||||||||||||||||||||||||||||||||
| 3 | Государственное бюджетное учреждение здравоохранения "Городская больница г. Верхний Уфалей" | ФАП пос. Октябрьский | 198.03 | от 100 до 900 | + | 1,105 | 1 | 1297491,00 | 108124,25 | 973118,25 | 1297491,00 | |||||||||||||||||||||||||||||||||||||||||
| 4 | Государственное бюджетное учреждение здравоохранения "Городская больница г. Верхний Уфалей" | ФАП пос. Строителей | 198.04 | от 100 до 900 | - | 1,105 | 0,1 | 1297491,00 | 10812,43 | 486559,17 | 518996,46 | |||||||||||||||||||||||||||||||||||||||||
| 5 | Государственное бюджетное учреждение здравоохранения "Городская больница г. Верхний Уфалей" | ФАП пос. Уфимка | 198.05 | от 100 до 900 | - | 1,105 | 0,5 | 1297491,00 | 54062,13 | 973118,25 | 1135304,64 | |||||||||||||||||||||||||||||||||||||||||
| 6 | Государственное бюджетное учреждение здравоохранения "Городская больница г. Верхний Уфалей" | ФАП пос. Коркодин | 198.06 | от 100 до 900 | - | 1,105 | 0,5 | 1297491,00 | 54062,13 | 973118,25 | 1135304,64 | |||||||||||||||||||||||||||||||||||||||||
| 7 | Государственное бюджетное учреждение здравоохранения "Городская больница г. Верхний Уфалей" | ФАП пос. Черемшанка | 198.07 | от 900 до 1500 | + | 1,105 | 1 | 2055632,00 | 171302,67 | 1541724,03 | 2055632,04 | |||||||||||||||||||||||||||||||||||||||||
| 8 | Государственное бюджетное учреждение здравоохранения "Городская больница г. Верхний Уфалей" | ФАП с. Иткуль | 198.08 | от 100 до 900 | + | 1,105 | 1 | 1297491,00 | 108124,25 | 973118,25 | 1297491,00 | |||||||||||||||||||||||||||||||||||||||||
| 
 | Итого по Государственному бюджетному учреждению здравоохранения "Городская больница г. Верхний Уфалей" | X | 198 | X | X | X | X | X | 722736,36 | 7866992,70 | 10035201,78 | |||||||||||||||||||||||||||||||||||||||||
| 
 | Еманжелинский муниципальный район | 
 | 
 | 
 | 
 | 
 | 
 | 
 | 
 | 
 | 
 | |||||||||||||||||||||||||||||||||||||||||
| 1 | Государственное бюджетное учреждение здравоохранения "Районная больница г. Еманжелинск" | ФАП п. Борисовка | 205.01 | от 100 до 900 | + | 1,105 | 1 | 1297491,00 | 108124,25 | 973118,25 | 1297491,00 | |||||||||||||||||||||||||||||||||||||||||
| 2 | Государственное бюджетное учреждение здравоохранения "Районная больница г. Еманжелинск" | ФАП п. Ключи | 205.02 | от 100 до 900 | - | 1,105 | 0,5 | 1297491,00 | 54062,13 | 486559,17 | 648745,56 | |||||||||||||||||||||||||||||||||||||||||
| 
 | Итого по Государственному бюджетному учреждению здравоохранения "Районная больница г. Еманжелинск" | X | 205 | X | X | X | X | X | 162186,38 | 1459677,42 | 1946236,56 | |||||||||||||||||||||||||||||||||||||||||
| 
 | Еткульский муниципальный район | 
 | 
 | 
 | 
 | 
 | 
 | 
 | 
 | 
 | 
 | |||||||||||||||||||||||||||||||||||||||||
| 1 | Государственное бюджетное учреждение здравоохранения "Районная больница с. Еткуль" | ФАП п. Депутатский | 329.01 | от 100 до 900 | - | 1,105 | 0,1 | 1297491,00 | 10812,43 | 97311,87 | 129749,16 | |||||||||||||||||||||||||||||||||||||||||
| 2 | Государственное бюджетное учреждение здравоохранения "Районная больница с. Еткуль" | ФАП п. Березняки | 329.02 | от 100 до 900 | + | 1,105 | 1 | 1297491,00 | 108124,25 | 973118,25 | 1297491,00 | |||||||||||||||||||||||||||||||||||||||||
| 3 | Государственное бюджетное учреждение здравоохранения "Районная больница с. Еткуль" | ФАП с. Таянды | 329.03 | от 100 до 900 | - | 1,105 | 0,1 | 1297491,00 | 10812,43 | 97311,87 | 129749,16 | |||||||||||||||||||||||||||||||||||||||||
| 4 | Государственное бюджетное учреждение здравоохранения "Районная больница с. Еткуль" | ФАП с. Долговка | 329.04 | от 100 до 900 | - | 1,105 | 0,1 | 1297491,00 | 10812,43 | 97311,87 | 129749,16 | |||||||||||||||||||||||||||||||||||||||||
| 5 | Государственное бюджетное учреждение здравоохранения "Районная больница с. Еткуль" | ФАП д. Погорелка | 329.05 | от 100 до 900 | - | 1,105 | 0,1 | 1297491,00 | 10812,43 | 97311,87 | 129749,16 | |||||||||||||||||||||||||||||||||||||||||
| 6 | Государственное бюджетное учреждение здравоохранения "Районная больница с. Еткуль" | ФАП с. Александровка | 329.06 | от 100 до 900 | + | 1,105 | 1 | 1297491,00 | 108124,25 | 973118,25 | 1297491,00 | |||||||||||||||||||||||||||||||||||||||||
| 7 | Государственное бюджетное учреждение здравоохранения "Районная больница с. Еткуль" | ФАП с. Соколово | 329.07 | от 100 до 900 | - | 1,105 | 0,5 | 1297491,00 | 54062,13 | 486559,17 | 648745,56 | |||||||||||||||||||||||||||||||||||||||||
| 8 | Государственное бюджетное учреждение здравоохранения "Районная больница с. Еткуль" | ФАП п. Приозерный | 329.08 | от 100 до 900 | - | 1,105 | 0,5 | 1297491,00 | 54062,13 | 486559,17 | 648745,56 | |||||||||||||||||||||||||||||||||||||||||
| 9 | Государственное бюджетное учреждение здравоохранения "Районная больница с. Еткуль" | ФАП д. Сарыкуль | 329.09 | от 100 до 900 | - | 1,105 | 0,1 | 1297491,00 | 10812,43 | 97311,87 | 129749,16 | |||||||||||||||||||||||||||||||||||||||||
| 10 | Государственное бюджетное учреждение здравоохранения "Районная больница с. Еткуль" | ФАП п. Бектыш | 329.10 | от 100 до 900 | - | 1,105 | 0,5 | 1297491,00 | 54062,13 | 227060,97 | 389247,36 | |||||||||||||||||||||||||||||||||||||||||
| 11 | Государственное бюджетное учреждение здравоохранения "Районная больница с. Еткуль" | ФАП п. Лесной | 329.11 | от 100 до 900 | - | 1,105 | 0,5 | 1297491,00 | 54062,13 | 486559,17 | 648745,56 | |||||||||||||||||||||||||||||||||||||||||
| 12 | Государственное бюджетное учреждение здравоохранения "Районная больница с. Еткуль" | ФАП д. Копытово | 329.12 | от 100 до 900 | - | 1,105 | 0,1 | 1297491,00 | 10812,43 | 486559,17 | 518996,46 | |||||||||||||||||||||||||||||||||||||||||
| 13 | Государственное бюджетное учреждение здравоохранения "Районная больница с. Еткуль" | ФАП п. Грознецкий | 329.13 | от 100 до 900 | - | 1,105 | 0,5 | 1297491,00 | 54062,13 | 486559,17 | 648745,56 | |||||||||||||||||||||||||||||||||||||||||
| 14 | Государственное бюджетное учреждение здравоохранения "Районная больница с. Еткуль" | ФАП д. Новобаландино | 329.14 | менее 100 | - | 1,105 | 0,5 | 911014,00 | 37958,92 | 341630,28 | 455507,04 | |||||||||||||||||||||||||||||||||||||||||
| 15 | Государственное бюджетное учреждение здравоохранения "Районная больница с. Еткуль" | ФАП д. Сухоруково | 329.15 | от 100 до 900 | - | 1,105 | 0,5 | 1297491,00 | 54062,13 | 486559,17 | 648745,56 | |||||||||||||||||||||||||||||||||||||||||
| 16 | Государственное бюджетное учреждение здравоохранения "Районная больница с. Еткуль" | ФАП с. Николаевка | 329.16 | от 100 до 900 | - | 1,105 | 0,5 | 1297491,00 | 54062,13 | 486559,17 | 648745,56 | |||||||||||||||||||||||||||||||||||||||||
| 17 | Государственное бюджетное учреждение здравоохранения "Районная больница с. Еткуль" | ФАП с. Лебедевка | 329.17 | от 100 до 900 | + | 1,105 | 1 | 1297491,00 | 108124,25 | 973118,25 | 1297491,00 | |||||||||||||||||||||||||||||||||||||||||
| 18 | Государственное бюджетное учреждение здравоохранения "Районная больница с. Еткуль" | ФАП д. Погудино | 329.18 | от 100 до 900 | - | 1,105 | 0,1 | 1297491,00 | 10812,43 | 97311,87 | 129749,16 | |||||||||||||||||||||||||||||||||||||||||
| 19 | Государственное бюджетное учреждение здравоохранения "Районная больница с. Еткуль" | ФАП п. Новобатурино | 329.19 | от 100 до 900 | + | 1,105 | 1 | 1297491,00 | 108124,25 | 973118,25 | 1297491,00 | |||||||||||||||||||||||||||||||||||||||||
| 20 | Государственное бюджетное учреждение здравоохранения "Районная больница с. Еткуль" | ФАП д. Печенкино | 329.20 | от 100 до 900 | - | 1,105 | 0,1 | 1297491,00 | 10812,43 | 97311,87 | 129749,16 | |||||||||||||||||||||||||||||||||||||||||
| 21 | Государственное бюджетное учреждение здравоохранения "Районная больница с. Еткуль" | ФАП д. Потапово | 329.21 | от 100 до 900 | - | 1,105 | 0,5 | 1297491,00 | 54062,13 | 486559,17 | 648745,56 | |||||||||||||||||||||||||||||||||||||||||
| 22 | Государственное бюджетное учреждение здравоохранения "Районная больница с. Еткуль" | ФАП с. Шеломенцево | 329.22 | от 100 до 900 | + | 1,105 | 1 | 1297491,00 | 108124,25 | 973118,25 | 1297491,00 | |||||||||||||||||||||||||||||||||||||||||
| 23 | Государственное бюджетное учреждение здравоохранения "Районная больница с. Еткуль" | ФАП д. Журавлево | 329.23 | от 100 до 900 | - | 1,105 | 0,1 | 1297491,00 | 10812,43 | 97311,87 | 129749,16 | |||||||||||||||||||||||||||||||||||||||||
| 24 | Государственное бюджетное учреждение здравоохранения "Районная больница с. Еткуль" | ФАП с. Шибаево | 329.24 | от 100 до 900 | + | 1,105 | 1 | 1297491,00 | 108124,25 | 97311,87 | 421684,62 | |||||||||||||||||||||||||||||||||||||||||
| 25 | Государственное бюджетное учреждение здравоохранения "Районная больница с. Еткуль" | ФАП с. Писклово | 329.25 | от 100 до 900 | - | 1,105 | 0,5 | 1297491,00 | 54062,13 | 486559,17 | 648745,56 | |||||||||||||||||||||||||||||||||||||||||
| 26 | Государственное бюджетное учреждение здравоохранения "Районная больница с. Еткуль" | ФАП д. Кораблево (П) | 329.26 | от 100 до 900 | - | 1,105 | 0,5 | 1297491,00 | 54062,13 | 486559,17 | 648745,56 | |||||||||||||||||||||||||||||||||||||||||
| 27 | Государственное бюджетное учреждение здравоохранения "Районная больница с. Еткуль" | ФАП д. Шатрово | 329.27 | менее 100 | - | 1,105 | 0,5 | 911014,00 | 37958,92 | 341630,28 | 455507,04 | |||||||||||||||||||||||||||||||||||||||||
| 28 | Государственное бюджетное учреждение здравоохранения "Районная больница с. Еткуль" | ФАП д. Устьянцево | 329.28 | от 100 до 900 | - | 1,105 | 0,1 | 1297491,00 | 10812,43 | 97311,87 | 129749,16 | |||||||||||||||||||||||||||||||||||||||||
| 29 | Государственное бюджетное учреждение здравоохранения "Районная больница с. Еткуль" | ФАП д. Кораблево (С) | 329.29 | менее 100 | - | 1,105 | 0,5 | 911014,00 | 37958,92 | 341630,28 | 455507,04 | |||||||||||||||||||||||||||||||||||||||||
| 30 | Государственное бюджетное учреждение здравоохранения "Районная больница с. Еткуль" | ФАП д. Аткуль | 329.30 | от 100 до 900 | - | 1,105 | 0,5 | 1297491,00 | 54062,13 | 486559,17 | 648745,56 | |||||||||||||||||||||||||||||||||||||||||
| 31 | Государственное бюджетное учреждение здравоохранения "Районная больница с. Еткуль" | ФАП д. Назарово | 329.31 | от 100 до 900 | - | 1,105 | 0,5 | 1297491,00 | 54062,13 | 486559,17 | 648745,56 | |||||||||||||||||||||||||||||||||||||||||
| 
 | Итого по Государственному бюджетному учреждению здравоохранения "Районная больница с. Еткуль" | X | 329 | X | X | X | X | X | 1519492,12 | 12929371,80 | 17487848,16 | |||||||||||||||||||||||||||||||||||||||||
| 
 | Златоустовский городской округ | 
 | 
 | 
 | 
 | 
 | 
 | 
 | 
 | 
 | 
 | |||||||||||||||||||||||||||||||||||||||||
| 1 | Государственное бюджетное учреждение здравоохранения "Городская больница г. Златоуст" | ФАП с. Веселовка | 136.01 | от 100 до 900 | + | 1,105 | 1 | 1297491,00 | 108124,25 | 973118,25 | 1297491,00 | |||||||||||||||||||||||||||||||||||||||||
| 2 | Государственное бюджетное учреждение здравоохранения "Городская больница г. Златоуст" | ФАП с. Куваши | 136.02 | от 100 до 900 | - | 1,105 | 0,5 | 1297491,00 | 54062,13 | 486559,17 | 648745,56 | |||||||||||||||||||||||||||||||||||||||||
| 3 | Государственное бюджетное учреждение здравоохранения "Городская больница г. Златоуст" | ФАП п. Тайнак | 136.03 | от 100 до 900 | + | 1,105 | 1 | 1297491,00 | 108124,25 | 973118,25 | 1297491,00 | |||||||||||||||||||||||||||||||||||||||||
| 
 | Итого по Государственному бюджетному учреждению здравоохранения "Городская больница г. Златоуст" | X | 136 | X | X | X | X | X | 270310,63 | 2432795,67 | 3243727,56 | |||||||||||||||||||||||||||||||||||||||||
| 
 | Карталинский муниципальный район | 
 | 
 | 
 | 
 | 
 | 
 | 
 | 
 | 
 | 
 | |||||||||||||||||||||||||||||||||||||||||
| 1 | Государственное бюджетное учреждение здравоохранения "Районная больница г. Карталы" | ФАП п. Родники | 264.01 | от 100 до 900 | + | 1,105 | 1 | 1297491,00 | 108124,25 | 973118,25 | 1297491,00 | |||||||||||||||||||||||||||||||||||||||||
| 2 | Государственное бюджетное учреждение здравоохранения "Районная больница г. Карталы" | ФАП п. Краснотал | 264.02 | от 100 до 900 | - | 1,105 | 0,5 | 1297491,00 | 54062,13 | 486559,17 | 648745,56 | |||||||||||||||||||||||||||||||||||||||||
| 3 | Государственное бюджетное учреждение здравоохранения "Районная больница г. Карталы" | ФАП с. Еленинка | 264.03 | от 900 до 1500 | + | 1,105 | 1 | 2055632,00 | 171302,67 | 1541724,03 | 2055632,04 | |||||||||||||||||||||||||||||||||||||||||
| 4 | Государственное бюджетное учреждение здравоохранения "Районная больница г. Карталы" | ФАП п. Центральный | 264.04 | от 900 до 1500 | - | 1,105 | 0,5 | 2055632,00 | 85651,33 | 770861,97 | 1027815,96 | |||||||||||||||||||||||||||||||||||||||||
| 5 | Государственное бюджетное учреждение здравоохранения "Районная больница г. Карталы" | ФАП п. Первомайка | 264.05 | от 100 до 900 | - | 1,105 | 0,1 | 1297491,00 | 10812,43 | 97311,87 | 129749,16 | |||||||||||||||||||||||||||||||||||||||||
| 6 | Государственное бюджетное учреждение здравоохранения "Районная больница г. Карталы" | ФАП с. Елизаветопольское | 264.06 | от 100 до 900 | + | 1,105 | 1 | 1297491,00 | 108124,25 | 973118,25 | 1297491,00 | |||||||||||||||||||||||||||||||||||||||||
| 7 | Государственное бюджетное учреждение здравоохранения "Районная больница г. Карталы" | ФАП п. Ольховка | 264.07 | от 100 до 900 | - | 1,105 | 0,5 | 1297491,00 | 54062,13 | 486559,17 | 648745,56 | |||||||||||||||||||||||||||||||||||||||||
| 8 | Государственное бюджетное учреждение здравоохранения "Районная больница г. Карталы" | ФАП д. Горная | 264.08 | от 100 до 900 | - | 1,105 | 0,5 | 1297491,00 | 54062,13 | 227060,97 | 389247,36 | |||||||||||||||||||||||||||||||||||||||||
| 9 | Государственное бюджетное учреждение здравоохранения "Районная больница г. Карталы" | ФАП с. Татищево | 264.09 | от 100 до 900 | + | 1,105 | 1 | 1297491,00 | 108124,25 | 973118,25 | 1297491,00 | |||||||||||||||||||||||||||||||||||||||||
| 10 | Государственное бюджетное учреждение здравоохранения "Районная больница г. Карталы" | ФАП п. Джабык | 264.10 | от 100 до 900 | - | 1,105 | 0,5 | 1297491,00 | 54062,13 | 486559,17 | 648745,56 | |||||||||||||||||||||||||||||||||||||||||
| 11 | Государственное бюджетное учреждение здравоохранения "Районная больница г. Карталы" | ФАП п. Запасное | 264.11 | от 100 до 900 | - | 1,105 | 0,5 | 1297491,00 | 54062,13 | 486559,17 | 648745,56 | |||||||||||||||||||||||||||||||||||||||||
| 12 | Государственное бюджетное учреждение здравоохранения "Районная больница г. Карталы" | ФАП д. Михайловка | 264.12 | менее 100 | - | 1,105 | 0,1 | 911014,00 | 7591,78 | 68326,02 | 91101,36 | |||||||||||||||||||||||||||||||||||||||||
| 13 | Государственное бюджетное учреждение здравоохранения "Районная больница г. Карталы" | ФАП с. Кизилчилик | 264.13 | от 100 до 900 | - | 1,105 | 0,1 | 1297491,00 | 10812,43 | 87649,92 | 120087,21 | |||||||||||||||||||||||||||||||||||||||||
| 14 | Государственное бюджетное учреждение здравоохранения "Районная больница г. Карталы" | ФАП п. Акмулла | 264.14 | менее 100 | - | 1,105 | 0,1 | 911014,00 | 7591,78 | 68326,02 | 91101,36 | |||||||||||||||||||||||||||||||||||||||||
| 15 | Государственное бюджетное учреждение здравоохранения "Районная больница г. Карталы" | ФАП п. Коноплянка | 264.15 | менее 100 | - | 1,105 | 0,5 | 911014,00 | 37958,92 | 341630,28 | 455507,04 | |||||||||||||||||||||||||||||||||||||||||
| 16 | Государственное бюджетное учреждение здравоохранения "Районная больница г. Карталы" | ФАП п. Каракуль | 264.16 | менее 100 | - | 1,105 | 0,1 | 911014,00 | 7591,78 | 68326,02 | 91101,36 | |||||||||||||||||||||||||||||||||||||||||
| 17 | Государственное бюджетное учреждение здравоохранения "Районная больница г. Карталы" | ФАП п. Песчанка | 264.17 | менее 100 | - | 1,105 | 0,5 | 911014,00 | 37958,92 | 341630,28 | 455507,04 | |||||||||||||||||||||||||||||||||||||||||
| 18 | Государственное бюджетное учреждение здравоохранения "Районная больница г. Карталы" | ФАП п. Рассветный | 264.18 | от 100 до 900 | - | 1,105 | 0,5 | 1297491,00 | 54062,13 | 486559,17 | 648745,56 | |||||||||||||||||||||||||||||||||||||||||
| 19 | Государственное бюджетное учреждение здравоохранения "Районная больница г. Карталы" | ФАП п. Сенной | 264.19 | от 100 до 900 | - | 1,105 | 0,5 | 1297491,00 | 54062,13 | 486559,17 | 648745,56 | |||||||||||||||||||||||||||||||||||||||||
| 20 | Государственное бюджетное учреждение здравоохранения "Районная больница г. Карталы" | ФАП п. Новокатенино | 264.20 | менее 100 | - | 1,105 | 0,5 | 911014,00 | 37958,92 | 341630,28 | 455507,04 | |||||||||||||||||||||||||||||||||||||||||
| 21 | Государственное бюджетное учреждение здравоохранения "Районная больница г. Карталы" | ФАП п. Вишневый | 264.21 | от 100 до 900 | - | 1,105 | 0,5 | 1297491,00 | 54062,13 | 486559,17 | 648745,56 | |||||||||||||||||||||||||||||||||||||||||
| 22 | Государственное бюджетное учреждение здравоохранения "Районная больница г. Карталы" | ФАП п. Озерный | 264.22 | от 100 до 900 | - | 1,105 | 0,1 | 1297491,00 | 10812,43 | 97311,87 | 129749,16 | |||||||||||||||||||||||||||||||||||||||||
| 23 | Государственное бюджетное учреждение здравоохранения "Районная больница г. Карталы" | ФАП п. Варшавка | 264.23 | от 100 до 900 | + | 1,105 | 1 | 1297491,00 | 108124,25 | 973118,25 | 1297491,00 | |||||||||||||||||||||||||||||||||||||||||
| 24 | Государственное бюджетное учреждение здравоохранения "Районная больница г. Карталы" | ФАП п. Красный Яр | 264.24 | от 100 до 900 | - | 1,105 | 0,1 | 1297491,00 | 10812,43 | 97311,87 | 129749,16 | |||||||||||||||||||||||||||||||||||||||||
| 25 | Государственное бюджетное учреждение здравоохранения "Районная больница г. Карталы" | ФАП п. Некрасово | 264.25 | от 100 до 900 | - | 1,105 | 0,5 | 1297491,00 | 54062,13 | 486559,17 | 648745,56 | |||||||||||||||||||||||||||||||||||||||||
| 26 | Государственное бюджетное учреждение здравоохранения "Районная больница г. Карталы" | ФАП п. Мичуринский | 264.26 | от 100 до 900 | - | 1,105 | 0,5 | 1297491,00 | 54062,13 | 486559,17 | 648745,56 | |||||||||||||||||||||||||||||||||||||||||
| 27 | Государственное бюджетное учреждение здравоохранения "Районная больница г. Карталы" | ФАП п. Новониколаевка | 264.27 | от 100 до 900 | + | 1,105 | 1 | 1297491,00 | 108124,25 | 973118,25 | 1297491,00 | |||||||||||||||||||||||||||||||||||||||||
| 
 | Итого по Государственному бюджетному учреждению здравоохранения "Районная больница г. Карталы" | X | 264 | X | X | X | X | X | 1518098,37 | 13393725,18 | 17948020,29 | |||||||||||||||||||||||||||||||||||||||||
| 
 | Каслинский муниципальный район | 
 | 
 | 
 | 
 | 
 | 
 | 
 | 
 | 
 | 
 | |||||||||||||||||||||||||||||||||||||||||
| 1 | Государственное бюджетное учреждение здравоохранения "Районная больница г. Касли" | ФАП с. Шабурово | 274.01 | от 100 до 900 | - | 1,105 | 0,5 | 1297491,00 | 54062,13 | 486559,17 | 648745,56 | |||||||||||||||||||||||||||||||||||||||||
| 2 | Государственное бюджетное учреждение здравоохранения "Районная больница г. Касли" | ФАП с. Ларино | 274.02 | от 100 до 900 | + | 1,105 | 1 | 1297491,00 | 108124,25 | 973118,25 | 1297491,00 | |||||||||||||||||||||||||||||||||||||||||
| 3 | Государственное бюджетное учреждение здравоохранения "Районная больница г. Касли" | ФАП с. Тимино | 274.03 | от 100 до 900 | + | 1,105 | 1 | 1297491,00 | 108124,25 | 973118,25 | 1297491,00 | |||||||||||||||||||||||||||||||||||||||||
| 4 | Государственное бюджетное учреждение здравоохранения "Районная больница г. Касли" | ФАП с. Огневское | 274.04 | от 100 до 900 | - | 1,105 | 0,1 | 1297491,00 | 10812,43 | 97311,87 | 129749,16 | |||||||||||||||||||||||||||||||||||||||||
| 5 | Государственное бюджетное учреждение здравоохранения "Районная больница г. Касли" | ФАП с. Юшково | 274.05 | от 100 до 900 | + | 1,105 | 1 | 1297491,00 | 108124,25 | 973118,25 | 1297491,00 | |||||||||||||||||||||||||||||||||||||||||
| 6 | Государственное бюджетное учреждение здравоохранения "Районная больница г. Касли" | ФАП д. Усть-Караболка | 274.06 | менее 100 | - | 1,105 | 0,1 | 911014,00 | 7591,78 | 68326,02 | 91101,36 | |||||||||||||||||||||||||||||||||||||||||
| 7 | Государственное бюджетное учреждение здравоохранения "Районная больница г. Касли" | ФАП д. Кызылова | 274.07 | менее 100 | - | 1,105 | 0,1 | 911014,00 | 7591,78 | 68326,02 | 91101,36 | |||||||||||||||||||||||||||||||||||||||||
| 8 | Государственное бюджетное учреждение здравоохранения "Районная больница г. Касли" | ФАП с. Полднево | 274.08 | от 100 до 900 | - | 1,105 | 0,1 | 1297491,00 | 10812,43 | 97311,87 | 129749,16 | |||||||||||||||||||||||||||||||||||||||||
| 9 | Государственное бюджетное учреждение здравоохранения "Районная больница г. Касли" | ФАП д. Аллаки | 274.09 | от 100 до 900 | - | 1,105 | 0,1 | 1297491,00 | 10812,43 | 486559,17 | 518996,46 | |||||||||||||||||||||||||||||||||||||||||
| 10 | Государственное бюджетное учреждение здравоохранения "Районная больница г. Касли" | ФАП с. Красный партизан | 274.10 | от 100 до 900 | + | 1,105 | 1 | 1297491,00 | 108124,25 | 973118,25 | 1297491,00 | |||||||||||||||||||||||||||||||||||||||||
| 11 | Государственное бюджетное учреждение здравоохранения "Районная больница г. Касли" | ФАП п. Воздвиженка | 274.11 | от 100 до 900 | - | 1,105 | 0,5 | 1297491,00 | 54062,13 | 486559,17 | 648745,56 | |||||||||||||||||||||||||||||||||||||||||
| 12 | Государственное бюджетное учреждение здравоохранения "Районная больница г. Касли" | ФАП с. Воскресенское | 274.12 | от 100 до 900 | + | 1,105 | 1 | 1297491,00 | 108124,25 | 973118,25 | 1297491,00 | |||||||||||||||||||||||||||||||||||||||||
| 13 | Государственное бюджетное учреждение здравоохранения "Районная больница г. Касли" | ФАП д. Григорьевка | 274.13 | от 100 до 900 | - | 1,105 | 0,1 | 1297491,00 | 10812,43 | 97311,87 | 129749,16 | |||||||||||||||||||||||||||||||||||||||||
| 14 | Государственное бюджетное учреждение здравоохранения "Районная больница г. Касли" | ФАП с. Щербаковка | 274.14 | от 100 до 900 | + | 1,105 | 1 | 1297491,00 | 108124,25 | 97311,87 | 421684,62 | |||||||||||||||||||||||||||||||||||||||||
| 15 | Государственное бюджетное учреждение здравоохранения "Районная больница г. Касли" | ФАП с. Булзи | 274.15 | от 100 до 900 | + | 1,105 | 1 | 1297491,00 | 108124,25 | 389247,33 | 713620,08 | |||||||||||||||||||||||||||||||||||||||||
| 16 | Государственное бюджетное учреждение здравоохранения "Районная больница г. Касли" | ФАП п. Аракуль | 274.16 | менее 100 | - | 1,105 | 0,1 | 911014,00 | 7591,78 | 68326,02 | 91101,36 | |||||||||||||||||||||||||||||||||||||||||
| 17 | Государственное бюджетное учреждение здравоохранения "Районная больница г. Касли" | ФАП п. Маук | 274.17 | от 100 до 900 | + | 1,105 | 1 | 1297491,00 | 108124,25 | 973118,25 | 1297491,00 | |||||||||||||||||||||||||||||||||||||||||
| 18 | Государственное бюджетное учреждение здравоохранения "Районная больница г. Касли" | ФАП с. Клепалово | 274.18 | менее 100 | - | 1,105 | 0,1 | 911014,00 | 7591,78 | 68326,02 | 91101,36 | |||||||||||||||||||||||||||||||||||||||||
| 
 | Итого по Государственному бюджетному учреждению здравоохранения "Районная больница г. Касли" | X | 274 | X | X | X | X | X | 1046735,10 | 8350185,90 | 11490391,20 | |||||||||||||||||||||||||||||||||||||||||
| 
 | Катав-Ивановский муниципальный район | 
 | 
 | 
 | 
 | 
 | 
 | 
 | 
 | 
 | 
 | |||||||||||||||||||||||||||||||||||||||||
| 1 | Государственное бюджетное учреждение здравоохранения "Районная больница г. Катав-Ивановск" | ФАП с. Орловка | 278.01 | от 100 до 900 | + | 1,105 | 1 | 1297491,00 | 108124,25 | 973118,25 | 1297491,00 | |||||||||||||||||||||||||||||||||||||||||
| 2 | Государственное бюджетное учреждение здравоохранения "Районная больница г. Катав-Ивановск" | ФАП с. Серпиевка | 278.02 | от 100 до 900 | - | 1,105 | 0,5 | 1297491,00 | 54062,13 | 486559,17 | 648745,56 | |||||||||||||||||||||||||||||||||||||||||
| 3 | Государственное бюджетное учреждение здравоохранения "Районная больница г. Катав-Ивановск" | ФАП п. Шарлаш | 278.03 | менее 100 | - | 1,105 | 0,5 | 911014,00 | 37958,92 | 159427,44 | 273304,20 | |||||||||||||||||||||||||||||||||||||||||
| 4 | Государственное бюджетное учреждение здравоохранения "Районная больница г. Катав-Ивановск" | ФАП с. Аратское | 278.04 | от 100 до 900 | - | 1,105 | 0,5 | 1297491,00 | 54062,13 | 486559,17 | 648745,56 | |||||||||||||||||||||||||||||||||||||||||
| 5 | Государственное бюджетное учреждение здравоохранения "Районная больница г. Катав-Ивановск" | ФАП с. Меседа | 278.05 | от 100 до 900 | + | 1,105 | 1 | 1297491,00 | 108124,25 | 973118,25 | 1297491,00 | |||||||||||||||||||||||||||||||||||||||||
| 6 | Государственное бюджетное учреждение здравоохранения "Районная больница г. Катав-Ивановск" | ФАП с. Бедярыш | 278.06 | менее 100 | - | 1,105 | 0,5 | 911014,00 | 37958,92 | 341630,28 | 455507,04 | |||||||||||||||||||||||||||||||||||||||||
| 7 | Государственное бюджетное учреждение здравоохранения "Районная больница г. Катав-Ивановск" | ФАП с. Верх-Катавка | 278.07 | от 100 до 900 | - | 1,105 | 0,1 | 1297491,00 | 10812,43 | 97311,87 | 129749,16 | |||||||||||||||||||||||||||||||||||||||||
| 8 | Государственное бюджетное учреждение здравоохранения "Районная больница г. Катав-Ивановск" | ФАП с. Тюлюк | 278.08 | от 100 до 900 | - | 1,105 | 0,1 | 1297491,00 | 10812,43 | 97311,87 | 129749,16 | |||||||||||||||||||||||||||||||||||||||||
| 9 | Государственное бюджетное учреждение здравоохранения "Районная больница г. Катав-Ивановск" | ФАП п. Лемеза | 278.09 | менее 100 | - | 1,105 | 0,5 | 911014,00 | 37958,92 | 341630,28 | 455507,04 | |||||||||||||||||||||||||||||||||||||||||
| 10 | Государственное бюджетное учреждение здравоохранения "Районная больница г. Катав-Ивановск" | ФАП п. Совхозный | 278.10 | от 100 до 900 | - | 1,105 | 0,5 | 1297491,00 | 54062,13 | 486559,17 | 648745,56 | |||||||||||||||||||||||||||||||||||||||||
| 
 | Итого по Государственному бюджетному учреждению здравоохранения "Районная больница г. Катав-Ивановск" | X | 278 | X | X | X | X | X | 513936,51 | 4443225,75 | 5985035,28 | |||||||||||||||||||||||||||||||||||||||||
| 
 | Кизильский муниципальный район | 
 | 
 | 
 | 
 | 
 | 
 | 
 | 
 | 
 | 
 | |||||||||||||||||||||||||||||||||||||||||
| 1 | Государственное бюджетное учреждение здравоохранения "Районная больница с. Кизильское" | ФАП п. Сыртинский | 334.01 | от 900 до 1500 | - | 1,105 | 0,5 | 2055632,00 | 85651,33 | 1027815,99 | 1284769,98 | |||||||||||||||||||||||||||||||||||||||||
| 2 | Государственное бюджетное учреждение здравоохранения "Районная больница с. Кизильское" | ФАП п. Увальский | 334.02 | от 100 до 900 | + | 1,105 | 1 | 1297491,00 | 108124,25 | 973118,25 | 1297491,00 | |||||||||||||||||||||||||||||||||||||||||
| 3 | Государственное бюджетное учреждение здравоохранения "Районная больница с. Кизильское" | ФАП п. Новопокровский | 334.03 | от 100 до 900 | - | 1,105 | 0,5 | 1297491,00 | 54062,13 | 486559,17 | 648745,56 | |||||||||||||||||||||||||||||||||||||||||
| 4 | Государственное бюджетное учреждение здравоохранения "Районная больница с. Кизильское" | ФАП п. Чернышевский | 334.04 | от 100 до 900 | - | 1,105 | 0,5 | 1297491,00 | 54062,13 | 486559,17 | 648745,56 | |||||||||||||||||||||||||||||||||||||||||
| 5 | Государственное бюджетное учреждение здравоохранения "Районная больница с. Кизильское" | ФАП п. Урал | 334.05 | от 100 до 900 | + | 1,105 | 1 | 1297491,00 | 108124,25 | 486559,17 | 810931,92 | |||||||||||||||||||||||||||||||||||||||||
| 6 | Государственное бюджетное учреждение здравоохранения "Районная больница с. Кизильское" | ФАП п. Пролетарка | 334.06 | от 100 до 900 | - | 1,105 | 0,1 | 1297491,00 | 10812,43 | 97311,87 | 129749,16 | |||||||||||||||||||||||||||||||||||||||||
| 7 | Государственное бюджетное учреждение здравоохранения "Районная больница с. Кизильское" | ФАП п. Соколки | 334.07 | от 100 до 900 | - | 1,105 | 0,1 | 1297491,00 | 10812,43 | 97311,87 | 129749,16 | |||||||||||||||||||||||||||||||||||||||||
| 8 | Государственное бюджетное учреждение здравоохранения "Районная больница с. Кизильское" | ФАП п. Ждановский | 334.08 | менее 100 | - | 1,105 | 0,1 | 911014,00 | 7591,78 | 68326,02 | 91101,36 | |||||||||||||||||||||||||||||||||||||||||
| 9 | Государственное бюджетное учреждение здравоохранения "Районная больница с. Кизильское" | ФАП п. Смородинка | 334.09 | от 100 до 900 | - | 1,105 | 0,5 | 1297491,00 | 54062,13 | 97311,87 | 259498,26 | |||||||||||||||||||||||||||||||||||||||||
| 10 | Государственное бюджетное учреждение здравоохранения "Районная больница с. Кизильское" | ФАП п. Прудный | 334.10 | менее 100 | - | 1,105 | 0,1 | 911014,00 | 7591,78 | 68326,02 | 91101,36 | |||||||||||||||||||||||||||||||||||||||||
| 11 | Государственное бюджетное учреждение здравоохранения "Районная больница с. Кизильское" | ФАП п. Амамбайка | 334.11 | от 100 до 900 | - | 1,105 | 0,5 | 1297491,00 | 54062,13 | 486559,17 | 648745,56 | |||||||||||||||||||||||||||||||||||||||||
| 12 | Государственное бюджетное учреждение здравоохранения "Районная больница с. Кизильское" | ФАП п. Лесной | 334.12 | от 100 до 900 | - | 1,105 | 0,1 | 1297491,00 | 10812,43 | 97311,87 | 129749,16 | |||||||||||||||||||||||||||||||||||||||||
| 13 | Государственное бюджетное учреждение здравоохранения "Районная больница с. Кизильское" | ФАП п. Березки | 334.13 | от 100 до 900 | - | 1,105 | 0,5 | 1297491,00 | 54062,13 | 356810,07 | 518996,46 | |||||||||||||||||||||||||||||||||||||||||
| 14 | Государственное бюджетное учреждение здравоохранения "Районная больница с. Кизильское" | ФАП п. Браиловский | 334.14 | от 100 до 900 | - | 1,105 | 0,5 | 1297491,00 | 54062,13 | 486559,17 | 648745,56 | |||||||||||||||||||||||||||||||||||||||||
| 15 | Государственное бюджетное учреждение здравоохранения "Районная больница с. Кизильское" | ФАП п. Степной | 334.15 | менее 100 | - | 1,105 | 0,5 | 911014,00 | 37958,92 | 341630,28 | 455507,04 | |||||||||||||||||||||||||||||||||||||||||
| 16 | Государственное бюджетное учреждение здравоохранения "Районная больница с. Кизильское" | ФАП с. Полоцкое | 334.16 | от 100 до 900 | - | 1,105 | 0,5 | 1297491,00 | 54062,13 | 486559,17 | 648745,56 | |||||||||||||||||||||||||||||||||||||||||
| 17 | Государственное бюджетное учреждение здравоохранения "Районная больница с. Кизильское" | ФАП п. Новинка | 334.17 | менее 100 | - | 1,105 | 0,1 | 911014,00 | 7591,78 | 68326,02 | 91101,36 | |||||||||||||||||||||||||||||||||||||||||
| 18 | Государственное бюджетное учреждение здравоохранения "Районная больница с. Кизильское" | ФАП п. Каменный | 334.18 | от 100 до 900 | - | 1,105 | 0,1 | 1297491,00 | 10812,43 | 97311,87 | 129749,16 | |||||||||||||||||||||||||||||||||||||||||
| 19 | Государственное бюджетное учреждение здравоохранения "Районная больница с. Кизильское" | ФАП п. Черкасы | 334.19 | от 100 до 900 | - | 1,105 | 0,1 | 1297491,00 | 10812,43 | 97311,87 | 129749,16 | |||||||||||||||||||||||||||||||||||||||||
| 20 | Государственное бюджетное учреждение здравоохранения "Районная больница с. Кизильское" | ФАП п. Чапаевский | 334.20 | менее 100 | - | 1,105 | 0,1 | 911014,00 | 7591,78 | 68326,02 | 91101,36 | |||||||||||||||||||||||||||||||||||||||||
| 21 | Государственное бюджетное учреждение здравоохранения "Районная больница с. Кизильское" | ФАП п. Целинный | 334.21 | от 100 до 900 | - | 1,105 | 0,5 | 1297491,00 | 54062,13 | 486559,17 | 648745,56 | |||||||||||||||||||||||||||||||||||||||||
| 22 | Государственное бюджетное учреждение здравоохранения "Районная больница с. Кизильское" | ФАП п. Новый Кондуровский | 334.22 | от 100 до 900 | - | 1,105 | 0,1 | 1297491,00 | 10812,43 | 97311,87 | 129749,16 | |||||||||||||||||||||||||||||||||||||||||
| 23 | Государственное бюджетное учреждение здравоохранения "Районная больница с. Кизильское" | ФАП п. Ерлыгас | 334.23 | менее 100 | - | 1,105 | 0,1 | 911014,00 | 7591,78 | 68326,02 | 91101,36 | |||||||||||||||||||||||||||||||||||||||||
| 24 | Государственное бюджетное учреждение здравоохранения "Районная больница с. Кизильское" | ФАП п. Александровский | 334.24 | менее 100 | - | 1,105 | 0,1 | 911014,00 | 7591,78 | 68326,02 | 91101,36 | |||||||||||||||||||||||||||||||||||||||||
| 25 | Государственное бюджетное учреждение здравоохранения "Районная больница с. Кизильское" | ФАП п. Михайловка | 334.25 | от 100 до 900 | - | 1,105 | 0,5 | 1297491,00 | 54062,13 | 486559,17 | 648745,56 | |||||||||||||||||||||||||||||||||||||||||
| 26 | Государственное бюджетное учреждение здравоохранения "Районная больница с. Кизильское" | ФАП п. Симбирка | 334.26 | от 100 до 900 | - | 1,105 | 0,5 | 1297491,00 | 54062,13 | 486559,17 | 648745,56 | |||||||||||||||||||||||||||||||||||||||||
| 27 | Государственное бюджетное учреждение здравоохранения "Районная больница с. Кизильское" | ФАП п. Карабулак | 334.27 | от 100 до 900 | + | 1,105 | 1 | 1297491,00 | 108124,25 | 973118,25 | 1297491,00 | |||||||||||||||||||||||||||||||||||||||||
| 28 | Государственное бюджетное учреждение здравоохранения "Районная больница с. Кизильское" | ФАП п. Новый | 334.28 | менее 100 | - | 1,105 | 0,1 | 911014,00 | 7591,78 | 68326,02 | 91101,36 | |||||||||||||||||||||||||||||||||||||||||
| 29 | Государственное бюджетное учреждение здравоохранения "Районная больница с. Кизильское" | ФАП п. Ершовский | 334.29 | менее 100 | - | 1,105 | 0,1 | 911014,00 | 7591,78 | 68326,02 | 91101,36 | |||||||||||||||||||||||||||||||||||||||||
| 30 | Государственное бюджетное учреждение здравоохранения "Районная больница с. Кизильское" | ФАП п. Новоершовский | 334.30 | от 100 до 900 | - | 1,105 | 0,1 | 1297491,00 | 10812,43 | 97311,87 | 129749,16 | |||||||||||||||||||||||||||||||||||||||||
| 31 | Государственное бюджетное учреждение здравоохранения "Районная больница с. Кизильское" | ФАП п. Верхняя Сосновка | 334.31 | менее 100 | - | 1,105 | 0,1 | 911014,00 | 7591,78 | 68326,02 | 91101,36 | |||||||||||||||||||||||||||||||||||||||||
| 32 | Государственное бюджетное учреждение здравоохранения "Районная больница с. Кизильское" | ФАП п. Грязнушинский | 334.32 | от 100 до 900 | - | 1,105 | 0,1 | 1297491,00 | 10812,43 | 97311,87 | 129749,16 | |||||||||||||||||||||||||||||||||||||||||
| 33 | Государственное бюджетное учреждение здравоохранения "Районная больница с. Кизильское" | ФАП п. Мусино | 334.33 | менее 100 | - | 1,105 | 0,1 | 911014,00 | 7591,78 | 341630,28 | 364405,62 | |||||||||||||||||||||||||||||||||||||||||
| 34 | Государственное бюджетное учреждение здравоохранения "Районная больница с. Кизильское" | ФАП п. Каменка | 334.34 | менее 100 | - | 1,105 | 0,5 | 911014,00 | 37958,92 | 341630,28 | 455507,04 | |||||||||||||||||||||||||||||||||||||||||
| 35 | Государственное бюджетное учреждение здравоохранения "Районная больница с. Кизильское" | ФАП п. Свет | 334.35 | менее 100 | - | 1,105 | 0,5 | 911014,00 | 37958,92 | 341630,28 | 455507,04 | |||||||||||||||||||||||||||||||||||||||||
| 36 | Государственное бюджетное учреждение здравоохранения "Районная больница с. Кизильское" | ФАП п. Заря | 334.36 | менее 100 | - | 1,105 | 0,5 | 911014,00 | 37958,92 | 341630,28 | 455507,04 | |||||||||||||||||||||||||||||||||||||||||
| 37 | Государственное бюджетное учреждение здравоохранения "Районная больница с. Кизильское" | ФАП п. Гранитный | 334.37 | от 100 до 900 | + | 1,105 | 1 | 1297491,00 | 108124,25 | 973118,25 | 1297491,00 | |||||||||||||||||||||||||||||||||||||||||
| 38 | Государственное бюджетное учреждение здравоохранения "Районная больница с. Кизильское" | ФАП п. Октябрьский | 334.38 | от 100 до 900 | - | 1,105 | 0,5 | 1297491,00 | 54062,13 | 486559,17 | 648745,56 | |||||||||||||||||||||||||||||||||||||||||
| 39 | Государственное бюджетное учреждение здравоохранения "Районная больница с. Кизильское" | ФАП п. Ильинка | 334.39 | от 100 до 900 | - | 1,105 | 0,5 | 1297491,00 | 54062,13 | 356810,07 | 518996,46 | |||||||||||||||||||||||||||||||||||||||||
| 40 | Государственное бюджетное учреждение здравоохранения "Районная больница с. Кизильское" | ФАП п. Мартыновка | 334.40 | менее 100 | - | 1,105 | 0,5 | 911014,00 | 37958,92 | 250528,86 | 364405,62 | |||||||||||||||||||||||||||||||||||||||||
| 41 | Государственное бюджетное учреждение здравоохранения "Районная больница с. Кизильское" | ФАП п. Первомайка | 334.41 | от 100 до 900 | - | 1,105 | 0,5 | 1297491,00 | 54062,13 | 356810,07 | 518996,46 | |||||||||||||||||||||||||||||||||||||||||
| 42 | Государственное бюджетное учреждение здравоохранения "Районная больница с. Кизильское" | ФАП с. Богдановское | 334.42 | от 100 до 900 | + | 1,105 | 1 | 1297491,00 | 108124,25 | 973118,25 | 1297491,00 | |||||||||||||||||||||||||||||||||||||||||
| 
 | Итого по Государственному бюджетному учреждению здравоохранения "Районная больница с. Кизильское" | X | 334 | X | X | X | X | X | 1681292,11 | 14305732,17 | 19349608,50 | |||||||||||||||||||||||||||||||||||||||||
| 
 | Копейский городской округ | 
 | 
 | 
 | 
 | 
 | 
 | 
 | 
 | 
 | 
 | |||||||||||||||||||||||||||||||||||||||||
| 1 | Государственное бюджетное учреждение здравоохранения "Городская больница N 3 г. Копейск" | ФАП п. Заозерный | 150.01 | от 100 до 900 | + | 1,105 | 1 | 1297491,00 | 108124,25 | 973118,25 | 1297491,00 | |||||||||||||||||||||||||||||||||||||||||
| 2 | Государственное бюджетное учреждение здравоохранения "Городская больница N 3 г. Копейск" | ФАП с. Синеглазово | 150.02 | от 100 до 900 | + | 1,105 | 1 | 1297491,00 | 108124,25 | 973118,25 | 1297491,00 | |||||||||||||||||||||||||||||||||||||||||
| 
 | Итого по Государственному бюджетному учреждению здравоохранения "Городская больница N 3 г. Копейск" | X | 150 | X | X | X | X | X | 216248,50 | 1946236,50 | 2594982,00 | |||||||||||||||||||||||||||||||||||||||||
| 
 | Коркинский муниципальный район | 
 | 
 | 
 | 
 | 
 | 
 | 
 | 
 | 
 | 
 | |||||||||||||||||||||||||||||||||||||||||
| 1 | Государственное бюджетное учреждение здравоохранения "Городская больница N 1 г. Коркино" | ФАП п. Дубровка - Челябинская | 210.01 | от 100 до 900 | + | 1,105 | 1 | 1297491,00 | 108124,25 | 973118,25 | 1297491,00 | |||||||||||||||||||||||||||||||||||||||||
| 
 | Итого по Государственному бюджетному учреждению здравоохранения "Городская больница N 1 г. Коркино" | X | 210 | X | X | X | X | X | 108124,25 | 973118,25 | 1297491,00 | |||||||||||||||||||||||||||||||||||||||||
| 
 | Красноармейский муниципальный район | 
 | 
 | менее 100 | 
 | 
 | 
 | 
 | 
 | 
 | 
 | |||||||||||||||||||||||||||||||||||||||||
| 1 | Государственное бюджетное учреждение здравоохранения "Районная больница с. Миасское" | ФАП д. Берсеневка | 344.01 | от 100 до 900 | - | 1,105 | 0,5 | 1297491,00 | 54062,13 | 486559,17 | 648745,56 | |||||||||||||||||||||||||||||||||||||||||
| 2 | Государственное бюджетное учреждение здравоохранения "Районная больница с. Миасское" | ФАП д. Боровое | 344.02 | от 100 до 900 | - | 1,105 | 0,1 | 1297491,00 | 10812,43 | 973118,25 | 1005555,54 | |||||||||||||||||||||||||||||||||||||||||
| 3 | Государственное бюджетное учреждение здравоохранения "Районная больница с. Миасское" | ФАП д. Круглое | 344.03 | от 100 до 900 | + | 1,105 | 1 | 1297491,00 | 108124,25 | 973118,25 | 1297491,00 | |||||||||||||||||||||||||||||||||||||||||
| 4 | Государственное бюджетное учреждение здравоохранения "Районная больница с. Миасское" | ФАП с. Пашнино | 344.04 | от 100 до 900 | - | 1,105 | 0,5 | 1297491,00 | 54062,13 | 486559,17 | 648745,56 | |||||||||||||||||||||||||||||||||||||||||
| 5 | Государственное бюджетное учреждение здравоохранения "Районная больница с. Миасское" | ФАП п. Береговой | 344.05 | от 100 до 900 | + | 1,105 | 1 | 1297491,00 | 108124,25 | 681182,79 | 1005555,54 | |||||||||||||||||||||||||||||||||||||||||
| 6 | Государственное бюджетное учреждение здравоохранения "Районная больница с. Миасское" | ФАП с. Кирды | 344.06 | от 100 до 900 | + | 1,105 | 1 | 1297491,00 | 108124,25 | 973118,25 | 1297491,00 | |||||||||||||||||||||||||||||||||||||||||
| 7 | Государственное бюджетное учреждение здравоохранения "Районная больница с. Миасское" | ФАП с. Ачликуль | 344.07 | от 100 до 900 | + | 1,105 | 1 | 1297491,00 | 108124,25 | 227060,97 | 551433,72 | |||||||||||||||||||||||||||||||||||||||||
| 8 | Государственное бюджетное учреждение здравоохранения "Районная больница с. Миасское" | ФАП пос. Озерный | 344.08 | от 100 до 900 | + | 1,105 | 1 | 1297491,00 | 108124,25 | 973118,25 | 1297491,00 | |||||||||||||||||||||||||||||||||||||||||
| 9 | Государственное бюджетное учреждение здравоохранения "Районная больница с. Миасское" | ФАП с. Таукаево | 344.09 | от 100 до 900 | + | 1,105 | 1 | 1297491,00 | 108124,25 | 810931,89 | 1135304,64 | |||||||||||||||||||||||||||||||||||||||||
| 10 | Государственное бюджетное учреждение здравоохранения "Районная больница с. Миасское" | ФАП с. Харино | 344.10 | от 100 до 900 | - | 1,105 | 0,5 | 1297491,00 | 54062,13 | 486559,17 | 648745,56 | |||||||||||||||||||||||||||||||||||||||||
| 11 | Государственное бюджетное учреждение здравоохранения "Районная больница с. Миасское" | ФАП д. Теренкуль | 344.11 | от 100 до 900 | - | 1,105 | 0,1 | 1297491,00 | 10812,43 | 97311,87 | 129749,16 | |||||||||||||||||||||||||||||||||||||||||
| 12 | Государственное бюджетное учреждение здравоохранения "Районная больница с. Миасское" | ФАП д. Печенкино | 344.12 | от 100 до 900 | + | 1,105 | 1 | 1297491,00 | 108124,25 | 973118,25 | 1297491,00 | |||||||||||||||||||||||||||||||||||||||||
| 13 | Государственное бюджетное учреждение здравоохранения "Районная больница с. Миасское" | ФАП д. Березово | 344.13 | от 100 до 900 | + | 1,105 | 1 | 1297491,00 | 108124,25 | 973118,25 | 1297491,00 | |||||||||||||||||||||||||||||||||||||||||
| 14 | Государственное бюджетное учреждение здравоохранения "Районная больница с. Миасское" | ФАП с. Якупово | 344.14 | от 100 до 900 | - | 1,105 | 0,5 | 1297491,00 | 54062,13 | 486559,17 | 648745,56 | |||||||||||||||||||||||||||||||||||||||||
| 15 | Государственное бюджетное учреждение здравоохранения "Районная больница с. Миасское" | ФАП с. Устьянцево | 344.15 | от 100 до 900 | - | 1,105 | 0,5 | 1297491,00 | 54062,13 | 486559,17 | 648745,56 | |||||||||||||||||||||||||||||||||||||||||
| 16 | Государственное бюджетное учреждение здравоохранения "Районная больница с. Миасское" | ФАП п. Усольцево | 344.16 | от 100 до 900 | - | 1,105 | 0,5 | 1297491,00 | 54062,13 | 486559,17 | 648745,56 | |||||||||||||||||||||||||||||||||||||||||
| 17 | Государственное бюджетное учреждение здравоохранения "Районная больница с. Миасское" | ФАП с. Тавранкуль | 344.17 | от 100 до 900 | - | 1,105 | 0,1 | 1297491,00 | 10812,43 | 389247,33 | 421684,62 | |||||||||||||||||||||||||||||||||||||||||
| 18 | Государственное бюджетное учреждение здравоохранения "Районная больница с. Миасское" | ФАП п. Петровский | 344.18 | более 2000 | + | 1,105 | 1 | 2591878,00 | 215989,83 | 1943908,47 | 2591877,96 | |||||||||||||||||||||||||||||||||||||||||
| 19 | Государственное бюджетное учреждение здравоохранения "Районная больница с. Миасское" | ФАП п. Луговой | 344.19 | от 100 до 900 | - | 1,105 | 0,1 | 1297491,00 | 10812,43 | 97311,87 | 129749,16 | |||||||||||||||||||||||||||||||||||||||||
| 20 | Государственное бюджетное учреждение здравоохранения "Районная больница с. Миасское" | ФАП с. Черкасово | 344.20 | от 100 до 900 | - | 1,105 | 0,5 | 1297491,00 | 54062,13 | 486559,17 | 648745,56 | |||||||||||||||||||||||||||||||||||||||||
| 21 | Государственное бюджетное учреждение здравоохранения "Районная больница с. Миасское" | ФАП с. Калуга-Соловьевка | 344.21 | от 100 до 900 | - | 1,105 | 0,1 | 1297491,00 | 10812,43 | 97311,87 | 129749,16 | |||||||||||||||||||||||||||||||||||||||||
| 22 | Государственное бюджетное учреждение здравоохранения "Районная больница с. Миасское" | ФАП с. Беликуль | 344.22 | от 100 до 900 | - | 1,105 | 0,5 | 1297491,00 | 54062,13 | 486559,17 | 648745,56 | |||||||||||||||||||||||||||||||||||||||||
| 23 | Государственное бюджетное учреждение здравоохранения "Районная больница с. Миасское" | ФАП с. Нижнепетропавловское | 344.23 | от 100 до 900 | - | 1,105 | 0,1 | 1297491,00 | 10812,43 | 97311,87 | 129749,16 | |||||||||||||||||||||||||||||||||||||||||
| 24 | Государственное бюджетное учреждение здравоохранения "Районная больница с. Миасское" | ФАП д. Тирикуль | 344.24 | менее 100 | - | 1,105 | 0,1 | 911014,00 | 7591,78 | 68326,02 | 91101,36 | |||||||||||||||||||||||||||||||||||||||||
| 25 | Государственное бюджетное учреждение здравоохранения "Районная больница с. Миасское" | ФАП д. Пашнино-1 | 344.25 | от 100 до 900 | - | 1,105 | 0,1 | 1297491,00 | 10812,43 | 97311,87 | 129749,16 | |||||||||||||||||||||||||||||||||||||||||
| 26 | Государственное бюджетное учреждение здравоохранения "Районная больница с. Миасское" | ФАП п. Лесной | 344.26 | от 100 до 900 | + | 1,105 | 1 | 1297491,00 | 108124,25 | 681182,79 | 1005555,54 | |||||||||||||||||||||||||||||||||||||||||
| 27 | Государственное бюджетное учреждение здравоохранения "Районная больница с. Миасское" | ФАП с. Ханжино | 344.27 | от 100 до 900 | - | 1,105 | 0,1 | 1297491,00 | 10812,43 | 681182,79 | 713620,08 | |||||||||||||||||||||||||||||||||||||||||
| 28 | Государственное бюджетное учреждение здравоохранения "Районная больница с. Миасское" | ФАП д. Пятково | 344.28 | от 100 до 900 | - | 1,105 | 0,5 | 1297491,00 | 54062,13 | 486559,17 | 648745,56 | |||||||||||||||||||||||||||||||||||||||||
| 29 | Государственное бюджетное учреждение здравоохранения "Районная больница с. Миасское" | ФАП п. Родник | 344.29 | от 100 до 900 | - | 1,105 | 0,1 | 1297491,00 | 10812,43 | 97311,87 | 129749,16 | |||||||||||||||||||||||||||||||||||||||||
| 30 | Государственное бюджетное учреждение здравоохранения "Районная больница с. Миасское" | ФАП д. Фроловка | 344.30 | от 100 до 900 | - | 1,105 | 0,1 | 1297491,00 | 10812,43 | 97311,87 | 129749,16 | |||||||||||||||||||||||||||||||||||||||||
| 31 | Государственное бюджетное учреждение здравоохранения "Районная больница с. Миасское" | ФАП п. Баландино | 344.31 | от 100 до 900 | - | 1,105 | 0,1 | 1297491,00 | 10812,43 | 97311,87 | 129749,16 | |||||||||||||||||||||||||||||||||||||||||
| 32 | Государственное бюджетное учреждение здравоохранения "Районная больница с. Миасское" | ФАП д. Сычево | 344.32 | от 100 до 900 | - | 1,105 | 0,1 | 1297491,00 | 10812,43 | 97311,87 | 129749,16 | |||||||||||||||||||||||||||||||||||||||||
| 33 | Государственное бюджетное учреждение здравоохранения "Районная больница с. Миасское" | ФАП с. Русская Теча | 344.33 | от 100 до 900 | + | 1,105 | 1 | 1297491,00 | 108124,25 | 973118,25 | 1297491,00 | |||||||||||||||||||||||||||||||||||||||||
| 34 | Государственное бюджетное учреждение здравоохранения "Районная больница с. Миасское" | ФАП с. Попово | 344.34 | от 100 до 900 | + | 1,105 | 1 | 1297491,00 | 108124,25 | 973118,25 | 1297491,00 | |||||||||||||||||||||||||||||||||||||||||
| 
 | Итого по Государственному бюджетному учреждению здравоохранения "Районная больница с. Миасское" | X | 344 | X | X | X | X | X | 2029256,69 | 18522808,41 | 24610578,48 | |||||||||||||||||||||||||||||||||||||||||
| 
 | Кунашакский муниципальный район | 
 | 
 | 
 | 
 | 
 | 
 | 
 | 
 | 
 | 
 | |||||||||||||||||||||||||||||||||||||||||
| 1 | Государственное бюджетное учреждение здравоохранения "Районная больница с. Кунашак" | ФАП д. Аминева | 354.01 | от 100 до 900 | + | 1,105 | 1 | 1297491,00 | 108124,25 | 486559,17 | 810931,92 | |||||||||||||||||||||||||||||||||||||||||
| 2 | Государственное бюджетное учреждение здравоохранения "Районная больница с. Кунашак" | ФАП Баракова деревня | 354.02 | от 100 до 900 | - | 1,105 | 0,5 | 1297491,00 | 54062,13 | 486559,17 | 648745,56 | |||||||||||||||||||||||||||||||||||||||||
| 3 | Государственное бюджетное учреждение здравоохранения "Районная больница с. Кунашак" | ФАП д. Баязитова | 354.03 | от 100 до 900 | + | 1,105 | 1 | 1297491,00 | 108124,25 | 681182,79 | 1005555,54 | |||||||||||||||||||||||||||||||||||||||||
| 4 | Государственное бюджетное учреждение здравоохранения "Районная больница с. Кунашак" | ФАП деревня Большая Казакбаева | 354.04 | от 100 до 900 | + | 1,105 | 1 | 1297491,00 | 108124,25 | 973118,25 | 1297491,00 | |||||||||||||||||||||||||||||||||||||||||
| 5 | Государственное бюджетное учреждение здравоохранения "Районная больница с. Кунашак" | ФАП Большая Тюлякова деревня | 354.05 | от 100 до 900 | + | 1,105 | 1 | 1297491,00 | 108124,25 | 973118,25 | 1297491,00 | |||||||||||||||||||||||||||||||||||||||||
| 6 | Государственное бюджетное учреждение здравоохранения "Районная больница с. Кунашак" | ФАП д. Борисовка | 354.06 | от 100 до 900 | + | 1,105 | 1 | 1297491,00 | 108124,25 | 973118,25 | 1297491,00 | |||||||||||||||||||||||||||||||||||||||||
| 7 | Государственное бюджетное учреждение здравоохранения "Районная больница с. Кунашак" | ФАП Бурино деревня | 354.07 | от 100 до 900 | + | 1,105 | 1 | 1297491,00 | 108124,25 | 356810,07 | 681182,82 | |||||||||||||||||||||||||||||||||||||||||
| 8 | Государственное бюджетное учреждение здравоохранения "Районная больница с. Кунашак" | ФАП д. Голубинка | 354.08 | от 100 до 900 | - | 1,105 | 0,5 | 1297491,00 | 54062,13 | 486559,17 | 648745,56 | |||||||||||||||||||||||||||||||||||||||||
| 9 | Государственное бюджетное учреждение здравоохранения "Районная больница с. Кунашак" | ФАП Ибрагимова деревня | 354.09 | от 100 до 900 | + | 1,105 | 1 | 1297491,00 | 108124,25 | 973118,25 | 1297491,00 | |||||||||||||||||||||||||||||||||||||||||
| 10 | Государственное бюджетное учреждение здравоохранения "Районная больница с. Кунашак" | ФАП д. Каинкуль | 354.10 | от 100 до 900 | + | 1,105 | 1 | 1297491,00 | 108124,25 | 486559,17 | 810931,92 | |||||||||||||||||||||||||||||||||||||||||
| 11 | Государственное бюджетное учреждение здравоохранения "Районная больница с. Кунашак" | ФАП д. Карагайкуль | 354.11 | от 100 до 900 | + | 1,105 | 1 | 1297491,00 | 108124,25 | 973118,25 | 1297491,00 | |||||||||||||||||||||||||||||||||||||||||
| 12 | Государственное бюджетное учреждение здравоохранения "Районная больница с. Кунашак" | ФАП с. Кубагушева | 354.12 | от 100 до 900 | + | 1,105 | 1 | 1297491,00 | 108124,25 | 973118,25 | 1297491,00 | |||||||||||||||||||||||||||||||||||||||||
| 13 | Государственное бюджетное учреждение здравоохранения "Районная больница с. Кунашак" | ФАП деревня Кунакбаева | 354.13 | от 100 до 900 | - | 1,105 | 0,1 | 1297491,00 | 10812,43 | 389247,33 | 421684,62 | |||||||||||||||||||||||||||||||||||||||||
| 14 | Государственное бюджетное учреждение здравоохранения "Районная больница с. Кунашак" | ФАП д. Мансурова | 354.14 | от 100 до 900 | - | 1,105 | 0,5 | 1297491,00 | 54062,13 | 486559,17 | 648745,56 | |||||||||||||||||||||||||||||||||||||||||
| 15 | Государственное бюджетное учреждение здравоохранения "Районная больница с. Кунашак" | ФАП с. Сары | 354.15 | от 900 до 1500 | + | 1,105 | 1 | 2055632,00 | 171302,67 | 1079206,83 | 1593114,84 | |||||||||||||||||||||||||||||||||||||||||
| 16 | Государственное бюджетное учреждение здравоохранения "Районная больница с. Кунашак" | ФАП д. Сарыкульмяк | 354.16 | менее 100 | + | 1,105 | 1 | 911014,00 | 75917,83 | 683260,47 | 911013,96 | |||||||||||||||||||||||||||||||||||||||||
| 17 | Государственное бюджетное учреждение здравоохранения "Районная больница с. Кунашак" | ФАП д. Серкино | 354.17 | от 100 до 900 | - | 1,105 | 0,5 | 1297491,00 | 54062,13 | 227060,97 | 389247,36 | |||||||||||||||||||||||||||||||||||||||||
| 18 | Государственное бюджетное учреждение здравоохранения "Районная больница с. Кунашак" | ФАП д. Сосновка | 354.18 | от 100 до 900 | + | 1,105 | 1 | 1297491,00 | 108124,25 | 973118,25 | 1297491,00 | |||||||||||||||||||||||||||||||||||||||||
| 19 | Государственное бюджетное учреждение здравоохранения "Районная больница с. Кунашак" | ФАП Султанаева деревня | 354.19 | от 100 до 900 | + | 1,105 | 1 | 1297491,00 | 108124,25 | 681182,79 | 1005555,54 | |||||||||||||||||||||||||||||||||||||||||
| 20 | Государственное бюджетное учреждение здравоохранения "Районная больница с. Кунашак" | ФАП д. Султаново | 354.20 | от 100 до 900 | - | 1,105 | 0,5 | 1297491,00 | 54062,13 | 486559,17 | 648745,56 | |||||||||||||||||||||||||||||||||||||||||
| 21 | Государственное бюджетное учреждение здравоохранения "Районная больница с. Кунашак" | ФАП д. Сураково | 354.21 | от 100 до 900 | + | 1,105 | 1 | 1297491,00 | 108124,25 | 973118,25 | 1297491,00 | |||||||||||||||||||||||||||||||||||||||||
| 22 | Государственное бюджетное учреждение здравоохранения "Районная больница с. Кунашак" | ФАП д. Чебакуль | 354.22 | от 100 до 900 | + | 1,105 | 1 | 1297491,00 | 108124,25 | 486559,17 | 810931,92 | |||||||||||||||||||||||||||||||||||||||||
| 23 | Государственное бюджетное учреждение здравоохранения "Районная больница с. Кунашак" | ФАП Кулужбаева деревня | 354.23 | от 100 до 900 | - | 1,105 | 0,5 | 1297491,00 | 54062,13 | 356810,07 | 518996,46 | |||||||||||||||||||||||||||||||||||||||||
| 24 | Государственное бюджетное учреждение здравоохранения "Районная больница с. Кунашак" | ФАП п. Лесной | 354.24 | от 100 до 900 | + | 1,105 | 1 | 1297491,00 | 108124,25 | 973118,25 | 1297491,00 | |||||||||||||||||||||||||||||||||||||||||
| 25 | Государственное бюджетное учреждение здравоохранения "Районная больница с. Кунашак" | ФАП п. Маяк | 354.25 | от 100 до 900 | + | 1,105 | 1 | 1297491,00 | 108124,25 | 973118,25 | 1297491,00 | |||||||||||||||||||||||||||||||||||||||||
| 26 | Государственное бюджетное учреждение здравоохранения "Районная больница с. Кунашак" | ФАП Прибрежный поселок | 354.26 | менее 100 | + | 1,105 | 1 | 911014,00 | 75917,83 | 683260,47 | 911013,96 | |||||||||||||||||||||||||||||||||||||||||
| 27 | Государственное бюджетное учреждение здравоохранения "Районная больница с. Кунашак" | ФАП п. Трудовой | 354.27 | от 100 до 900 | - | 1,105 | 0,1 | 1297491,00 | 10812,43 | 97311,87 | 129749,16 | |||||||||||||||||||||||||||||||||||||||||
| 28 | Государственное бюджетное учреждение здравоохранения "Районная больница с. Кунашак" | ФАП с. Аширово | 354.28 | от 100 до 900 | + | 1,105 | 1 | 1297491,00 | 108124,25 | 973118,25 | 1297491,00 | |||||||||||||||||||||||||||||||||||||||||
| 29 | Государственное бюджетное учреждение здравоохранения "Районная больница с. Кунашак" | ФАП д. Канзафарова | 354.29 | от 100 до 900 | + | 1,105 | 1 | 1297491,00 | 108124,25 | 973118,25 | 1297491,00 | |||||||||||||||||||||||||||||||||||||||||
| 30 | Государственное бюджетное учреждение здравоохранения "Районная больница с. Кунашак" | ФАП Татарская Караболка село | 354.30 | от 100 до 900 | + | 1,105 | 1 | 1297491,00 | 108124,25 | 648745,53 | 973118,28 | |||||||||||||||||||||||||||||||||||||||||
| 31 | Государственное бюджетное учреждение здравоохранения "Районная больница с. Кунашак" | ФАП д. Чекурова | 354.31 | от 100 до 900 | - | 1,105 | 0,1 | 1297491,00 | 10812,43 | 97311,87 | 129749,16 | |||||||||||||||||||||||||||||||||||||||||
| 32 | Государственное бюджетное учреждение здравоохранения "Районная больница с. Кунашак" | ФАП п. Кумкуль | 354.32 | от 100 до 900 | + | 1,105 | 1 | 1297491,00 | 108124,25 | 973118,25 | 1297491,00 | |||||||||||||||||||||||||||||||||||||||||
| 33 | Государственное бюджетное учреждение здравоохранения "Районная больница с. Кунашак" | ФАП п. Элеваторный | 354.33 | менее 100 | - | 1,105 | 0,1 | 911014,00 | 7591,78 | 159427,44 | 182202,78 | |||||||||||||||||||||||||||||||||||||||||
| 34 | Государственное бюджетное учреждение здравоохранения "Районная больница с. Кунашак" | ФАП д. Иксанова | 354.34 | от 100 до 900 | + | 1,105 | 1 | 1297491,00 | 108124,25 | 97311,87 | 421684,62 | |||||||||||||||||||||||||||||||||||||||||
| 35 | Государственное бюджетное учреждение здравоохранения "Районная больница с. Кунашак" | ФАП с. Новое Курманово | 354.35 | от 100 до 900 | + | 1,105 | 1 | 1297491,00 | 108124,25 | 973118,25 | 1297491,00 | |||||||||||||||||||||||||||||||||||||||||
| 36 | Государственное бюджетное учреждение здравоохранения "Районная больница с. Кунашак" | ФАП с. Нугуманово | 354.36 | от 100 до 900 | + | 1,105 | 1 | 1297491,00 | 108124,25 | 973118,25 | 1297491,00 | |||||||||||||||||||||||||||||||||||||||||
| 
 | Итого по Государственному бюджетному учреждению здравоохранения "Районная больница с. Кунашак" | X | 354 | X | X | X | X | X | 3174397,93 | 24240818,31 | 33764012,10 | |||||||||||||||||||||||||||||||||||||||||
| 
 | Кусинский муниципальный район | 
 | 
 | 
 | 
 | 
 | 
 | 
 | 
 | 
 | 
 | |||||||||||||||||||||||||||||||||||||||||
| 1 | Государственное бюджетное учреждение здравоохранения "Районная больница г. Куса" | Вознесенский ФАП | 282.01 | от 100 до 900 | - | 1,105 | 0,1 | 1297491,00 | 10812,43 | 486559,17 | 518996,46 | |||||||||||||||||||||||||||||||||||||||||
| 2 | Государственное бюджетное учреждение здравоохранения "Районная больница г. Куса" | ФАП п. Октябрьский | 282.02 | от 100 до 900 | + | 1,105 | 1 | 1297491,00 | 108124,25 | 973118,25 | 1297491,00 | |||||||||||||||||||||||||||||||||||||||||
| 3 | Государственное бюджетное учреждение здравоохранения "Районная больница г. Куса" | ФАП д. Каскиново | 282.03 | от 100 до 900 | - | 1,105 | 0,5 | 1297491,00 | 54062,13 | 486559,17 | 648745,56 | |||||||||||||||||||||||||||||||||||||||||
| 
 | Итого по Государственному бюджетному учреждению здравоохранения "Районная больница г. Куса" | X | 282 | X | X | X | X | X | 172998,81 | 1946236,59 | 2465233,02 | |||||||||||||||||||||||||||||||||||||||||
| 
 | Кыштымский городской округ | 
 | 
 | 
 | 
 | 
 | 
 | 
 | 
 | 
 | 
 | |||||||||||||||||||||||||||||||||||||||||
| 1 | Государственное бюджетное учреждение здравоохранения "Городская больница им. А.П. Силаева г. Кыштым" | ФАП пос. Увильды | 216.01 | от 100 до 900 | + | 1,105 | 1 | 1297491,00 | 108124,25 | 973118,25 | 1297491,00 | |||||||||||||||||||||||||||||||||||||||||
| 2 | Государственное бюджетное учреждение здравоохранения "Городская больница им. А.П. Силаева г. Кыштым" | ФАП пос. Слюдорудник | 216.02 | от 100 до 900 | + | 1,105 | 1 | 1297491,00 | 108124,25 | 973118,25 | 1297491,00 | |||||||||||||||||||||||||||||||||||||||||
| 3 | Государственное бюджетное учреждение здравоохранения "Городская больница им. А.П. Силаева г. Кыштым" | ФАП пос. Северный | 216.03 | от 100 до 900 | + | 1,105 | 1 | 1297491,00 | 108124,25 | 973118,25 | 1297491,00 | |||||||||||||||||||||||||||||||||||||||||
| 
 | Итого по Государственному бюджетному учреждению здравоохранения "Городская больница им. А.П. Силаева г. Кыштым" | X | 216 | X | X | X | X | X | 324372,75 | 2919354,75 | 3892473,00 | |||||||||||||||||||||||||||||||||||||||||
| 
 | Миасский городской округ | 
 | 
 | 
 | 
 | 
 | 
 | 
 | 
 | 
 | 
 | |||||||||||||||||||||||||||||||||||||||||
| 1 | Государственное бюджетное учреждение здравоохранения "Городская больница N 1 имени Г.К. Маврицкого г. Миасс" | ФАП с. Черновское | 186.01 | от 100 до 900 | + | 1,105 | 1 | 1297491,00 | 108124,25 | 973118,25 | 1297491,00 | |||||||||||||||||||||||||||||||||||||||||
| 2 | Государственное бюджетное учреждение здравоохранения "Городская больница N 1 имени Г.К. Маврицкого г. Миасс" | ФАП с. Устиново | 186.02 | от 100 до 900 | + | 1,105 | 1 | 1297491,00 | 108124,25 | 973118,25 | 1297491,00 | |||||||||||||||||||||||||||||||||||||||||
| 
 | Итого по Государственному бюджетному учреждению здравоохранения "Городская больница N 1 имени Г.К. Маврицкого г. Миасс" | X | 186 | X | X | X | X | X | 216248,50 | 1946236,50 | 2594982,00 | |||||||||||||||||||||||||||||||||||||||||
| 1 | Государственное бюджетное учреждение здравоохранения "Городская больница N 2 г. Миасс" | ФАП "п. Хребет" | 187.01 | от 100 до 900 | - | 1,105 | 0,5 | 1297491,00 | 54062,13 | 973118,25 | 1135304,64 | |||||||||||||||||||||||||||||||||||||||||
| 2 | Государственное бюджетное учреждение здравоохранения "Городская больница N 2 г. Миасс" | ФАП "п. Нижний Атлян" | 187.02 | от 900 до 1500 | + | 1,105 | 1 | 2055632,00 | 171302,67 | 1541724,03 | 2055632,04 | |||||||||||||||||||||||||||||||||||||||||
| 3 | Государственное бюджетное учреждение здравоохранения "Городская больница N 2 г. Миасс" | ФАП "п. Верхний Атлян" | 187.03 | от 100 до 900 | + | 1,105 | 1 | 1297491,00 | 108124,25 | 973118,25 | 1297491,00 | |||||||||||||||||||||||||||||||||||||||||
| 4 | Государственное бюджетное учреждение здравоохранения "Городская больница N 2 г. Миасс" | Фельдшерско-акушерский пункт поселка Тыелга | 187.04 | от 100 до 900 | + | 1,105 | 1 | 1297491,00 | 108124,25 | 973118,25 | 1297491,00 | |||||||||||||||||||||||||||||||||||||||||
| 5 | Государственное бюджетное учреждение здравоохранения "Городская больница N 2 г. Миасс" | Фельдшерско-акушерский пункт поселка Новотагилка | 187.05 | от 100 до 900 | + | 1,105 | 1 | 1297491,00 | 108124,25 | 973118,25 | 1297491,00 | |||||||||||||||||||||||||||||||||||||||||
| 
 | Итого по Государственному бюджетному учреждению здравоохранения "Городская больница N 2 г. Миасс" | X | 187 | X | X | X | X | X | 549737,55 | 5434197,03 | 7083409,68 | |||||||||||||||||||||||||||||||||||||||||
| 1 | Государственное бюджетное учреждение здравоохранения "Городская больница N 3 г. Миасс" | ФАП пос. Северные Печи | 188.01 | от 900 до 1500 | + | 1,105 | 1 | 2055632,00 | 171302,67 | 1541724,03 | 2055632,04 | |||||||||||||||||||||||||||||||||||||||||
| 
 | Итого по Государственному бюджетному учреждению здравоохранения "Городская больница N 3 г. Миасс" | X | 188 | X | X | X | X | X | 171302,67 | 1541724,03 | 2055632,04 | |||||||||||||||||||||||||||||||||||||||||
| 
 | Нагайбакский муниципальный район | 
 | 
 | 
 | 
 | 
 | 
 | 
 | 
 | 
 | 
 | |||||||||||||||||||||||||||||||||||||||||
| 1 | Государственное бюджетное учреждение здравоохранения "Районная больница с. Фершампенуаз" | ФАП п. Арсламбаевский | 363.01 | от 100 до 900 | + | 1,105 | 1 | 1297491,00 | 108124,25 | 973118,25 | 1297491,00 | |||||||||||||||||||||||||||||||||||||||||
| 2 | Государственное бюджетное учреждение здравоохранения "Районная больница с. Фершампенуаз" | ФАП п. Астафьевский | 363.02 | от 100 до 900 | - | 1,105 | 0,5 | 1297491,00 | 54062,13 | 486559,17 | 648745,56 | |||||||||||||||||||||||||||||||||||||||||
| 3 | Государственное бюджетное учреждение здравоохранения "Районная больница с. Фершампенуаз" | ФАП п. Березовая Роща | 363.03 | от 100 до 900 | + | 1,105 | 1 | 1297491,00 | 108124,25 | 973118,25 | 1297491,00 | |||||||||||||||||||||||||||||||||||||||||
| 4 | Государственное бюджетное учреждение здравоохранения "Районная больница с. Фершампенуаз" | ФАП п. Гумбейский | 363.04 | от 100 до 900 | + | 1,105 | 1 | 1297491,00 | 108124,25 | 973118,25 | 1297491,00 | |||||||||||||||||||||||||||||||||||||||||
| 5 | Государственное бюджетное учреждение здравоохранения "Районная больница с. Фершампенуаз" | ФАП п. Заречный | 363.05 | от 100 до 900 | + | 1,105 | 1 | 1297491,00 | 108124,25 | 973118,25 | 1297491,00 | |||||||||||||||||||||||||||||||||||||||||
| 6 | Государственное бюджетное учреждение здравоохранения "Районная больница с. Фершампенуаз" | ФАП п. Знаменка | 363.06 | от 100 до 900 | + | 1,105 | 1 | 1297491,00 | 108124,25 | 973118,25 | 1297491,00 | |||||||||||||||||||||||||||||||||||||||||
| 7 | Государственное бюджетное учреждение здравоохранения "Районная больница с. Фершампенуаз" | ФАП п. Калининский | 363.07 | от 100 до 900 | + | 1,105 | 1 | 1297491,00 | 108124,25 | 681182,79 | 1005555,54 | |||||||||||||||||||||||||||||||||||||||||
| 8 | Государственное бюджетное учреждение здравоохранения "Районная больница с. Фершампенуаз" | ФАП п. Копаловский | 363.08 | менее 100 | - | 1,105 | 0,1 | 911014,00 | 7591,78 | 68326,02 | 91101,36 | |||||||||||||||||||||||||||||||||||||||||
| 9 | Государственное бюджетное учреждение здравоохранения "Районная больница с. Фершампенуаз" | ФАП с. Крупское | 363.09 | от 100 до 900 | + | 1,105 | 1 | 1297491,00 | 108124,25 | 973118,25 | 1297491,00 | |||||||||||||||||||||||||||||||||||||||||
| 10 | Государственное бюджетное учреждение здравоохранения "Районная больница с. Фершампенуаз" | ФАП п. Придорожный | 363.10 | от 100 до 900 | - | 1,105 | 0,1 | 1297491,00 | 10812,43 | 97311,87 | 129749,16 | |||||||||||||||||||||||||||||||||||||||||
| 11 | Государственное бюджетное учреждение здравоохранения "Районная больница с. Фершампенуаз" | ФАП п. Кужебаевский | 363.11 | от 100 до 900 | - | 1,105 | 0,5 | 1297491,00 | 54062,13 | 486559,17 | 648745,56 | |||||||||||||||||||||||||||||||||||||||||
| 12 | Государственное бюджетное учреждение здравоохранения "Районная больница с. Фершампенуаз" | ФАП п. Александро-Невский | 363.12 | от 100 до 900 | - | 1,105 | 0,5 | 1297491,00 | 54062,13 | 486559,17 | 648745,56 | |||||||||||||||||||||||||||||||||||||||||
| 13 | Государственное бюджетное учреждение здравоохранения "Районная больница с. Фершампенуаз" | ФАП п. Куликовский | 363.13 | от 100 до 900 | + | 1,105 | 1 | 1297491,00 | 108124,25 | 973118,25 | 1297491,00 | |||||||||||||||||||||||||||||||||||||||||
| 14 | Государственное бюджетное учреждение здравоохранения "Районная больница с. Фершампенуаз" | ФАП п. Курганный | 363.14 | от 100 до 900 | - | 1,105 | 0,1 | 1297491,00 | 10812,43 | 97311,87 | 129749,16 | |||||||||||||||||||||||||||||||||||||||||
| 15 | Государственное бюджетное учреждение здравоохранения "Районная больница с. Фершампенуаз" | ФАП п. Куропаткинский | 363.15 | от 100 до 900 | - | 1,105 | 0,1 | 1297491,00 | 10812,43 | 97311,87 | 129749,16 | |||||||||||||||||||||||||||||||||||||||||
| 16 | Государственное бюджетное учреждение здравоохранения "Районная больница с. Фершампенуаз" | ФАП с. Лебединое | 363.16 | от 100 до 900 | - | 1,105 | 0,5 | 1297491,00 | 54062,13 | 810931,89 | 973118,28 | |||||||||||||||||||||||||||||||||||||||||
| 17 | Государственное бюджетное учреждение здравоохранения "Районная больница с. Фершампенуаз" | ФАП п. Набережный | 363.17 | менее 100 | - | 1,105 | 0,1 | 911014,00 | 7591,78 | 68326,02 | 91101,36 | |||||||||||||||||||||||||||||||||||||||||
| 18 | Государственное бюджетное учреждение здравоохранения "Районная больница с. Фершампенуаз" | ФАП п. Новочерниговский | 363.18 | от 100 до 900 | + | 1,105 | 1 | 1297491,00 | 108124,25 | 973118,25 | 1297491,00 | |||||||||||||||||||||||||||||||||||||||||
| 19 | Государственное бюджетное учреждение здравоохранения "Районная больница с. Фершампенуаз" | ФАП п. Переселенческий | 363.19 | от 100 до 900 | - | 1,105 | 0,5 | 1297491,00 | 54062,13 | 486559,17 | 648745,56 | |||||||||||||||||||||||||||||||||||||||||
| 20 | Государственное бюджетное учреждение здравоохранения "Районная больница с. Фершампенуаз" | ФАП п. Петровский | 363.20 | от 100 до 900 | - | 1,105 | 0,5 | 1297491,00 | 54062,13 | 486559,17 | 648745,56 | |||||||||||||||||||||||||||||||||||||||||
| 21 | Государственное бюджетное учреждение здравоохранения "Районная больница с. Фершампенуаз" | ФАП п. Подгорный | 363.21 | от 100 до 900 | + | 1,105 | 1 | 1297491,00 | 108124,25 | 973118,25 | 1297491,00 | |||||||||||||||||||||||||||||||||||||||||
| 22 | Государственное бюджетное учреждение здравоохранения "Районная больница с. Фершампенуаз" | ФАП п. Рассвет | 363.22 | от 100 до 900 | - | 1,105 | 0,1 | 1297491,00 | 10812,43 | 97311,87 | 129749,16 | |||||||||||||||||||||||||||||||||||||||||
| 23 | Государственное бюджетное учреждение здравоохранения "Районная больница с. Фершампенуаз" | ФАП п. Северный | 363.23 | от 100 до 900 | + | 1,105 | 1 | 1297491,00 | 108124,25 | 973118,25 | 1297491,00 | |||||||||||||||||||||||||||||||||||||||||
| 24 | Государственное бюджетное учреждение здравоохранения "Районная больница с. Фершампенуаз" | ФАП д. Слюда | 363.24 | от 100 до 900 | + | 1,105 | 1 | 1297491,00 | 108124,25 | 681182,79 | 1005555,54 | |||||||||||||||||||||||||||||||||||||||||
| 25 | Государственное бюджетное учреждение здравоохранения "Районная больница с. Фершампенуаз" | ФАП п. Совхозный | 363.25 | от 100 до 900 | + | 1,105 | 1 | 1297491,00 | 108124,25 | 973118,25 | 1297491,00 | |||||||||||||||||||||||||||||||||||||||||
| 26 | Государственное бюджетное учреждение здравоохранения "Районная больница с. Фершампенуаз" | ФАП п. Требиятский | 363.26 | от 100 до 900 | - | 1,105 | 0,5 | 1297491,00 | 54062,13 | 486559,17 | 648745,56 | |||||||||||||||||||||||||||||||||||||||||
| 27 | Государственное бюджетное учреждение здравоохранения "Районная больница с. Фершампенуаз" | ФАП п. Чернореченский | 363.27 | от 100 до 900 | + | 1,105 | 1 | 1297491,00 | 108124,25 | 973118,25 | 1297491,00 | |||||||||||||||||||||||||||||||||||||||||
| 
 | Итого по Государственному бюджетному учреждению здравоохранения "Районная больница с. Фершампенуаз" | X | 363 | X | X | X | X | X | 1950607,69 | 17295971,01 | 23147794,08 | |||||||||||||||||||||||||||||||||||||||||
| 
 | Нязепетровский муниципальный район | 
 | 
 | 
 | 
 | 
 | 
 | 
 | 
 | 
 | 
 | |||||||||||||||||||||||||||||||||||||||||
| 1 | Государственное бюджетное учреждение здравоохранения "Районная больница г. Нязепетровск" | Шемахинский ФАП | 286.01 | от 100 до 900 | + | 1,105 | 1 | 1297491,00 | 108124,25 | 973118,25 | 1297491,00 | |||||||||||||||||||||||||||||||||||||||||
| 2 | Государственное бюджетное учреждение здравоохранения "Районная больница г. Нязепетровск" | Ункурдинский ФАП | 286.02 | от 100 до 900 | + | 1,105 | 1 | 1297491,00 | 108124,25 | 973118,25 | 1297491,00 | |||||||||||||||||||||||||||||||||||||||||
| 3 | Государственное бюджетное учреждение здравоохранения "Районная больница г. Нязепетровск" | Ситцевский ФАП | 286.03 | от 100 до 900 | + | 1,105 | 1 | 1297491,00 | 108124,25 | 973118,25 | 1297491,00 | |||||||||||||||||||||||||||||||||||||||||
| 4 | Государственное бюджетное учреждение здравоохранения "Районная больница г. Нязепетровск" | Аптряковский ФАП | 286.04 | от 100 до 900 | + | 1,105 | 1 | 1297491,00 | 108124,25 | 973118,25 | 1297491,00 | |||||||||||||||||||||||||||||||||||||||||
| 5 | Государственное бюджетное учреждение здравоохранения "Районная больница г. Нязепетровск" | Араслановский ФАП | 286.05 | от 100 до 900 | + | 1,105 | 1 | 1297491,00 | 108124,25 | 973118,25 | 1297491,00 | |||||||||||||||||||||||||||||||||||||||||
| 6 | Государственное бюджетное учреждение здравоохранения "Районная больница г. Нязепетровск" | Беляевский ФАП | 286.06 | менее 100 | - | 1,105 | 0,5 | 911014,00 | 37958,92 | 341630,28 | 455507,04 | |||||||||||||||||||||||||||||||||||||||||
| 7 | Государственное бюджетное учреждение здравоохранения "Районная больница г. Нязепетровск" | Бозовский ФАП | 286.07 | менее 100 | - | 1,105 | 0,1 | 911014,00 | 7591,78 | 68326,02 | 91101,36 | |||||||||||||||||||||||||||||||||||||||||
| 8 | Государственное бюджетное учреждение здравоохранения "Районная больница г. Нязепетровск" | Гривенский ФАП | 286.08 | менее 100 | + | 1,105 | 1 | 911014,00 | 75917,83 | 683260,47 | 911013,96 | |||||||||||||||||||||||||||||||||||||||||
| 9 | Государственное бюджетное учреждение здравоохранения "Районная больница г. Нязепетровск" | Калиновский ФАП | 286.09 | менее 100 | + | 1,105 | 1 | 911014,00 | 75917,83 | 683260,47 | 911013,96 | |||||||||||||||||||||||||||||||||||||||||
| 10 | Государственное бюджетное учреждение здравоохранения "Районная больница г. Нязепетровск" | Котовский ФАП | 286.10 | от 100 до 900 | - | 1,105 | 0,1 | 1297491,00 | 10812,43 | 97311,87 | 129749,16 | |||||||||||||||||||||||||||||||||||||||||
| 11 | Государственное бюджетное учреждение здравоохранения "Районная больница г. Нязепетровск" | Кургинский ФАП | 286.11 | от 100 до 900 | - | 1,105 | 0,5 | 1297491,00 | 54062,13 | 486559,17 | 648745,56 | |||||||||||||||||||||||||||||||||||||||||
| 12 | Государственное бюджетное учреждение здравоохранения "Районная больница г. Нязепетровск" | Межевской ФАП | 286.12 | менее 100 | - | 1,105 | 0,5 | 911014,00 | 37958,92 | 341630,28 | 455507,04 | |||||||||||||||||||||||||||||||||||||||||
| 13 | Государственное бюджетное учреждение здравоохранения "Районная больница г. Нязепетровск" | Нестеровский ФАП | 286.13 | от 100 до 900 | - | 1,105 | 0,1 | 1297491,00 | 10812,43 | 97311,87 | 129749,16 | |||||||||||||||||||||||||||||||||||||||||
| 14 | Государственное бюджетное учреждение здравоохранения "Районная больница г. Нязепетровск" | Ново-Араслановский ФАП | 286.14 | от 100 до 900 | - | 1,105 | 0,1 | 1297491,00 | 10812,43 | 97311,87 | 129749,16 | |||||||||||||||||||||||||||||||||||||||||
| 15 | Государственное бюджетное учреждение здравоохранения "Районная больница г. Нязепетровск" | Сказовский ФАП | 286.15 | от 100 до 900 | + | 1,105 | 1 | 1297491,00 | 108124,25 | 973118,25 | 1297491,00 | |||||||||||||||||||||||||||||||||||||||||
| 16 | Государственное бюджетное учреждение здравоохранения "Районная больница г. Нязепетровск" | Суховский ФАП | 286.16 | от 100 до 900 | + | 1,105 | 1 | 1297491,00 | 108124,25 | 973118,25 | 1297491,00 | |||||||||||||||||||||||||||||||||||||||||
| 17 | Государственное бюджетное учреждение здравоохранения "Районная больница г. Нязепетровск" | Ташкиновский ФАП | 286.17 | от 100 до 900 | + | 1,105 | 1 | 1297491,00 | 108124,25 | 973118,25 | 1297491,00 | |||||||||||||||||||||||||||||||||||||||||
| 
 | Итого по Государственному бюджетному учреждению здравоохранения "Районная больница г. Нязепетровск" | X | 286 | X | X | X | X | X | 1186838,70 | 10681548,30 | 14242064,40 | |||||||||||||||||||||||||||||||||||||||||
| 
 | Озерский городской округ | 
 | 
 | 
 | 
 | 
 | 
 | 
 | 
 | 
 | 
 | |||||||||||||||||||||||||||||||||||||||||
| 1 | Федеральное государственное бюджетное учреждение здравоохранения "Клиническая больница N 71 Федерального медико-биологического агентства" | ФАП п. Бижеляк | 453.01 | от 100 до 900 | - | 1,21 | 0,5 | 1420782,00 | 59199,25 | 887988,75 | 1065586,50 | |||||||||||||||||||||||||||||||||||||||||
| 
 | Итого по Федеральному государственному бюджетному учреждению здравоохранения "Клиническая больница N 71 Федерального медико-биологического агентства" | X | 453 | X | X | X | X | X | 59199,25 | 887988,75 | 1065586,50 | |||||||||||||||||||||||||||||||||||||||||
| 
 | Октябрьский муниципальный район | 
 | 
 | 
 | 
 | 
 | 
 | 
 | 
 | 
 | 
 | |||||||||||||||||||||||||||||||||||||||||
| 1 | Государственное бюджетное учреждение здравоохранения "Районная больница с. Октябрьское" | ФАП д. Александровка (Каракульское) | 372.01 | от 100 до 900 | - | 1,105 | 0,1 | 1297491,00 | 10812,43 | 681182,79 | 713620,08 | |||||||||||||||||||||||||||||||||||||||||
| 2 | Государственное бюджетное учреждение здравоохранения "Районная больница с. Октябрьское" | ФАП д. Александровка (Б-Никольское) | 372.02 | от 100 до 900 | - | 1,105 | 0,5 | 1297491,00 | 54062,13 | 486559,17 | 648745,56 | |||||||||||||||||||||||||||||||||||||||||
| 3 | Государственное бюджетное учреждение здравоохранения "Районная больница с. Октябрьское" | ФАП д. Барсучье | 372.03 | от 100 до 900 | - | 1,105 | 0,5 | 1297491,00 | 54062,13 | 810931,89 | 973118,28 | |||||||||||||||||||||||||||||||||||||||||
| 4 | Государственное бюджетное учреждение здравоохранения "Районная больница с. Октябрьское" | ФАП с. Большеникольское | 372.04 | от 100 до 900 | + | 1,105 | 1 | 1297491,00 | 108124,25 | 973118,25 | 1297491,00 | |||||||||||||||||||||||||||||||||||||||||
| 5 | Государственное бюджетное учреждение здравоохранения "Районная больница с. Октябрьское" | ФАП д. Быково | 372.05 | от 100 до 900 | + | 1,105 | 1 | 1297491,00 | 108124,25 | 973118,25 | 1297491,00 | |||||||||||||||||||||||||||||||||||||||||
| 6 | Государственное бюджетное учреждение здравоохранения "Районная больница с. Октябрьское" | ФАП с. Ваганово | 372.06 | от 100 до 900 | + | 1,105 | 1 | 1297491,00 | 108124,25 | 97311,87 | 421684,62 | |||||||||||||||||||||||||||||||||||||||||
| 7 | Государственное бюджетное учреждение здравоохранения "Районная больница с. Октябрьское" | ФАП д. Горелое | 372.07 | от 100 до 900 | + | 1,105 | 1 | 1297491,00 | 108124,25 | 973118,25 | 1297491,00 | |||||||||||||||||||||||||||||||||||||||||
| 8 | Государственное бюджетное учреждение здравоохранения "Районная больница с. Октябрьское" | ФАП д. Деньгино | 372.08 | от 100 до 900 | + | 1,105 | 1 | 1297491,00 | 108124,25 | 973118,25 | 1297491,00 | |||||||||||||||||||||||||||||||||||||||||
| 9 | Государственное бюджетное учреждение здравоохранения "Районная больница с. Октябрьское" | ФАП д. Журавлиное | 372.09 | от 100 до 900 | + | 1,105 | 1 | 1297491,00 | 108124,25 | 973118,25 | 1297491,00 | |||||||||||||||||||||||||||||||||||||||||
| 10 | Государственное бюджетное учреждение здравоохранения "Районная больница с. Октябрьское" | ФАП д. Камышное | 372.10 | от 100 до 900 | - | 1,105 | 0,5 | 1297491,00 | 54062,13 | 486559,17 | 648745,56 | |||||||||||||||||||||||||||||||||||||||||
| 11 | Государственное бюджетное учреждение здравоохранения "Районная больница с. Октябрьское" | ФАП д. Киевка | 372.11 | менее 100 | - | 1,105 | 0,1 | 911014,00 | 7591,78 | 68326,02 | 91101,36 | |||||||||||||||||||||||||||||||||||||||||
| 12 | Государственное бюджетное учреждение здравоохранения "Районная больница с. Октябрьское" | ФАП д. Кузнецово | 372.12 | менее 100 | - | 1,105 | 0,1 | 911014,00 | 7591,78 | 68326,02 | 91101,36 | |||||||||||||||||||||||||||||||||||||||||
| 13 | Государственное бюджетное учреждение здравоохранения "Районная больница с. Октябрьское" | ФАП д. Лафетное | 372.13 | менее 100 | - | 1,105 | 0,1 | 911014,00 | 7591,78 | 68326,02 | 91101,36 | |||||||||||||||||||||||||||||||||||||||||
| 14 | Государственное бюджетное учреждение здравоохранения "Районная больница с. Октябрьское" | ФАП д. Лебедки | 372.14 | от 100 до 900 | + | 1,105 | 1 | 1297491,00 | 108124,25 | 973118,25 | 1297491,00 | |||||||||||||||||||||||||||||||||||||||||
| 15 | Государственное бюджетное учреждение здравоохранения "Районная больница с. Октябрьское" | ФАП село Лысково | 372.15 | от 100 до 900 | + | 1,105 | 1 | 1297491,00 | 108124,25 | 973118,25 | 1297491,00 | |||||||||||||||||||||||||||||||||||||||||
| 16 | Государственное бюджетное учреждение здравоохранения "Районная больница с. Октябрьское" | ФАП с. Маячное | 372.16 | от 100 до 900 | + | 1,105 | 1 | 1297491,00 | 108124,25 | 973118,25 | 1297491,00 | |||||||||||||||||||||||||||||||||||||||||
| 17 | Государственное бюджетное учреждение здравоохранения "Районная больница с. Октябрьское" | ФАП д. Могильное | 372.17 | менее 100 | - | 1,105 | 0,1 | 911014,00 | 7591,78 | 68326,02 | 91101,36 | |||||||||||||||||||||||||||||||||||||||||
| 18 | Государственное бюджетное учреждение здравоохранения "Районная больница с. Октябрьское" | ФАП с. Мяконьки | 372.18 | от 100 до 900 | + | 1,105 | 1 | 1297491,00 | 108124,25 | 97311,87 | 421684,62 | |||||||||||||||||||||||||||||||||||||||||
| 19 | Государственное бюджетное учреждение здравоохранения "Районная больница с. Октябрьское" | ФАП д. Нововарламово | 372.19 | от 100 до 900 | + | 1,105 | 1 | 1297491,00 | 108124,25 | 973118,25 | 1297491,00 | |||||||||||||||||||||||||||||||||||||||||
| 20 | Государственное бюджетное учреждение здравоохранения "Районная больница с. Октябрьское" | ФАП с. Новомосковское | 372.20 | от 100 до 900 | + | 1,105 | 1 | 1297491,00 | 108124,25 | 973118,25 | 1297491,00 | |||||||||||||||||||||||||||||||||||||||||
| 21 | Государственное бюджетное учреждение здравоохранения "Районная больница с. Октябрьское" | ФАП п. Петровский | 372.21 | от 100 до 900 | - | 1,105 | 0,5 | 1297491,00 | 54062,13 | 486559,17 | 648745,56 | |||||||||||||||||||||||||||||||||||||||||
| 22 | Государственное бюджетное учреждение здравоохранения "Районная больница с. Октябрьское" | ФАП п. Свободный | 372.22 | от 100 до 900 | + | 1,105 | 1 | 1297491,00 | 108124,25 | 973118,25 | 1297491,00 | |||||||||||||||||||||||||||||||||||||||||
| 23 | Государственное бюджетное учреждение здравоохранения "Районная больница с. Октябрьское" | ФАП д. Сосновенькое | 372.23 | от 100 до 900 | + | 1,105 | 1 | 1297491,00 | 108124,25 | 486559,17 | 810931,92 | |||||||||||||||||||||||||||||||||||||||||
| 24 | Государственное бюджетное учреждение здравоохранения "Районная больница с. Октябрьское" | ФАП д. Спорное | 372.24 | менее 100 | - | 1,105 | 0,1 | 911014,00 | 7591,78 | 68326,02 | 91101,36 | |||||||||||||||||||||||||||||||||||||||||
| 25 | Государственное бюджетное учреждение здравоохранения "Районная больница с. Октябрьское" | ФАП д. Сысоево | 372.25 | от 100 до 900 | + | 1,105 | 1 | 1297491,00 | 108124,25 | 973118,25 | 1297491,00 | |||||||||||||||||||||||||||||||||||||||||
| 26 | Государственное бюджетное учреждение здравоохранения "Районная больница с. Октябрьское" | ФАП д. Теренкуль | 372.26 | от 100 до 900 | + | 1,105 | 1 | 1297491,00 | 108124,25 | 973118,25 | 1297491,00 | |||||||||||||||||||||||||||||||||||||||||
| 27 | Государственное бюджетное учреждение здравоохранения "Районная больница с. Октябрьское" | ФАП д. Уйско-Чебаркульская | 372.27 | от 100 до 900 | + | 1,105 | 1 | 1297491,00 | 108124,25 | 973118,25 | 1297491,00 | |||||||||||||||||||||||||||||||||||||||||
| 28 | Государственное бюджетное учреждение здравоохранения "Районная больница с. Октябрьское" | ФАП д. Харлуши | 372.28 | от 100 до 900 | + | 1,105 | 1 | 1297491,00 | 108124,25 | 973118,25 | 1297491,00 | |||||||||||||||||||||||||||||||||||||||||
| 29 | Государственное бюджетное учреждение здравоохранения "Районная больница с. Октябрьское" | ФАП д. Чернякино | 372.29 | менее 100 | - | 1,105 | 0,5 | 911014,00 | 37958,92 | 341630,28 | 455507,04 | |||||||||||||||||||||||||||||||||||||||||
| 30 | Государственное бюджетное учреждение здравоохранения "Районная больница с. Октябрьское" | ФАП д. Шипкино | 372.30 | от 100 до 900 | + | 1,105 | 1 | 1297491,00 | 108124,25 | 973118,25 | 1297491,00 | |||||||||||||||||||||||||||||||||||||||||
| 31 | Государственное бюджетное учреждение здравоохранения "Районная больница с. Октябрьское" | ФАП д. Шишминка | 372.31 | от 100 до 900 | + | 1,105 | 1 | 1297491,00 | 108124,25 | 486559,17 | 810931,92 | |||||||||||||||||||||||||||||||||||||||||
| 32 | Государственное бюджетное учреждение здравоохранения "Районная больница с. Октябрьское" | ФАП с. Боровое | 372.32 | от 100 до 900 | - | 1,105 | 0,5 | 1297491,00 | 54062,13 | 486559,17 | 648745,56 | |||||||||||||||||||||||||||||||||||||||||
| 33 | Государственное бюджетное учреждение здравоохранения "Районная больница с. Октябрьское" | ФАП д. Семеновка | 372.33 | менее 100 | - | 1,105 | 0,1 | 911014,00 | 7591,78 | 68326,02 | 91101,36 | |||||||||||||||||||||||||||||||||||||||||
| 34 | Государственное бюджетное учреждение здравоохранения "Районная больница с. Октябрьское" | ФАП п. Березовский | 372.34 | от 100 до 900 | + | 1,105 | 1 | 1297491,00 | 108124,25 | 973118,25 | 1297491,00 | |||||||||||||||||||||||||||||||||||||||||
| 35 | Государственное бюджетное учреждение здравоохранения "Районная больница с. Октябрьское" | ФАП с. Чудиново | 372.35 | от 100 до 900 | + | 1,105 | 1 | 1297491,00 | 108124,25 | 648745,50 | 973118,25 | |||||||||||||||||||||||||||||||||||||||||
| 36 | Государственное бюджетное учреждение здравоохранения "Районная больница с. Октябрьское" | ФАП п. Крутоярский | 372.36 | от 100 до 900 | + | 1,105 | 1 | 1297491,00 | 108124,25 | 0,00 | 324372,75 | |||||||||||||||||||||||||||||||||||||||||
| 
 | Итого по Государственному бюджетному учреждению здравоохранения "Районная больница с. Октябрьское" | X | 372 | X | X | X | X | X | 2851490,43 | 22549435,59 | 31103906,88 | |||||||||||||||||||||||||||||||||||||||||
| 
 | Пластовский муниципальный район | 
 | 
 | 
 | 
 | 
 | 
 | 
 | 
 | 
 | 
 | |||||||||||||||||||||||||||||||||||||||||
| 1 | Государственное бюджетное учреждение здравоохранения "Районная больница г. Пласт" | ФАП с. Кочкарь | 218.01 | от 100 до 900 | - | 1,105 | 0,5 | 1297491,00 | 54062,13 | 486559,17 | 648745,56 | |||||||||||||||||||||||||||||||||||||||||
| 2 | Государственное бюджетное учреждение здравоохранения "Районная больница г. Пласт" | ФАП с. Чукса | 218.02 | от 100 до 900 | - | 1,105 | 0,5 | 1297491,00 | 54062,13 | 486559,17 | 648745,56 | |||||||||||||||||||||||||||||||||||||||||
| 3 | Государственное бюджетное учреждение здравоохранения "Районная больница г. Пласт" | ФАП с. Новый Кумляк | 218.03 | от 100 до 900 | + | 1,105 | 1 | 1297491,00 | 108124,25 | 973118,25 | 1297491,00 | |||||||||||||||||||||||||||||||||||||||||
| 4 | Государственное бюджетное учреждение здравоохранения "Районная больница г. Пласт" | ФАП с. Старый Кумляк | 218.04 | от 100 до 900 | + | 1,105 | 1 | 1297491,00 | 108124,25 | 973118,25 | 1297491,00 | |||||||||||||||||||||||||||||||||||||||||
| 5 | Государственное бюджетное учреждение здравоохранения "Районная больница г. Пласт" | ФАП п. Светлый | 218.05 | от 100 до 900 | - | 1,105 | 0,5 | 1297491,00 | 54062,13 | 486559,17 | 648745,56 | |||||||||||||||||||||||||||||||||||||||||
| 6 | Государственное бюджетное учреждение здравоохранения "Районная больница г. Пласт" | ФАП п. Котлик | 218.06 | от 100 до 900 | - | 1,105 | 0,5 | 1297491,00 | 54062,13 | 486559,17 | 648745,56 | |||||||||||||||||||||||||||||||||||||||||
| 7 | Государственное бюджетное учреждение здравоохранения "Районная больница г. Пласт" | ФАП с. Поляновка | 218.07 | от 100 до 900 | + | 1,105 | 1 | 1297491,00 | 108124,25 | 973118,25 | 1297491,00 | |||||||||||||||||||||||||||||||||||||||||
| 8 | Государственное бюджетное учреждение здравоохранения "Районная больница г. Пласт" | ФАП с. Верхняя Санарка | 218.08 | от 100 до 900 | + | 1,105 | 1 | 1297491,00 | 108124,25 | 810931,89 | 1135304,64 | |||||||||||||||||||||||||||||||||||||||||
| 9 | Государственное бюджетное учреждение здравоохранения "Районная больница г. Пласт" | ФАП с. Верхняя Кабанка | 218.09 | от 100 до 900 | + | 1,105 | 1 | 1297491,00 | 108124,25 | 973118,25 | 1297491,00 | |||||||||||||||||||||||||||||||||||||||||
| 10 | Государственное бюджетное учреждение здравоохранения "Районная больница г. Пласт" | ФАП с. Степнинское | 218.10 | от 100 до 900 | + | 1,105 | 1 | 1297491,00 | 108124,25 | 973118,25 | 1297491,00 | |||||||||||||||||||||||||||||||||||||||||
| 11 | Государственное бюджетное учреждение здравоохранения "Районная больница г. Пласт" | ФАП с. Воронино | 218.11 | от 100 до 900 | - | 1,105 | 0,5 | 1297491,00 | 54062,13 | 486559,17 | 648745,56 | |||||||||||||||||||||||||||||||||||||||||
| 12 | Государственное бюджетное учреждение здравоохранения "Районная больница г. Пласт" | ФАП с. Радиомайка | 218.12 | от 100 до 900 | + | 1,105 | 1 | 1297491,00 | 108124,25 | 973118,25 | 1297491,00 | |||||||||||||||||||||||||||||||||||||||||
| 13 | Государственное бюджетное учреждение здравоохранения "Районная больница г. Пласт" | ФАП с. Михайловка | 218.13 | от 100 до 900 | - | 1,105 | 0,5 | 1297491,00 | 54062,13 | 486559,17 | 648745,56 | |||||||||||||||||||||||||||||||||||||||||
| 14 | Государственное бюджетное учреждение здравоохранения "Районная больница г. Пласт" | ФАП с. Кукушка | 218.14 | от 100 до 900 | - | 1,105 | 0,5 | 1297491,00 | 54062,13 | 486559,17 | 648745,56 | |||||||||||||||||||||||||||||||||||||||||
| 
 | Итого по Государственному бюджетному учреждению здравоохранения "Районная больница г. Пласт" | X | 218 | X | X | X | X | X | 1135304,66 | 10055555,58 | 13461469,56 | |||||||||||||||||||||||||||||||||||||||||
| 
 | Саткинский муниципальный район | 
 | 
 | 
 | 
 | 
 | 
 | 
 | 
 | 
 | 
 | |||||||||||||||||||||||||||||||||||||||||
| 1 | Государственное бюджетное учреждение здравоохранения "Областная больница г. Сатка" | ФАП п. Жукатау | 404.01 | от 100 до 900 | - | 1,105 | 0,1 | 1297491,00 | 10812,43 | 486559,17 | 518996,46 | |||||||||||||||||||||||||||||||||||||||||
| 2 | Государственное бюджетное учреждение здравоохранения "Областная больница г. Сатка" | ФАП п. Малый Бердяуш | 404.02 | от 100 до 900 | + | 1,105 | 1 | 1297491,00 | 108124,25 | 973118,25 | 1297491,00 | |||||||||||||||||||||||||||||||||||||||||
| 3 | Государственное бюджетное учреждение здравоохранения "Областная больница г. Сатка" | ФАП п. Нижняя Сатка | 404.03 | менее 100 | - | 1,105 | 0,1 | 911014,00 | 7591,78 | 341630,28 | 364405,62 | |||||||||||||||||||||||||||||||||||||||||
| 4 | Государственное бюджетное учреждение здравоохранения "Областная больница г. Сатка" | ФАП п. Большая Запань | 404.04 | от 100 до 900 | + | 1,105 | 1 | 1297491,00 | 108124,25 | 973118,25 | 1297491,00 | |||||||||||||||||||||||||||||||||||||||||
| 5 | Государственное бюджетное учреждение здравоохранения "Областная больница г. Сатка" | ФАП п. Сибирка | 404.05 | менее 100 | - | 1,105 | 0,1 | 911014,00 | 7591,78 | 97311,87 | 120087,21 | |||||||||||||||||||||||||||||||||||||||||
| 6 | Государственное бюджетное учреждение здравоохранения "Областная больница г. Сатка" | ФАП N 1 г. Бакал | 404.06 | менее 100 | - | 1,105 | 0,1 | 911014,00 | 7591,78 | 77987,97 | 100763,31 | |||||||||||||||||||||||||||||||||||||||||
| 7 | Государственное бюджетное учреждение здравоохранения "Областная больница г. Сатка" | ФАП N 2 г. Бакал | 404.07 | от 900 до 1500 | + | 1,105 | 1 | 2055632,00 | 171302,67 | 1541724,03 | 2055632,04 | |||||||||||||||||||||||||||||||||||||||||
| 8 | Государственное бюджетное учреждение здравоохранения "Областная больница г. Сатка" | ФАП д. Петромихайловка | 404.08 | от 100 до 900 | - | 1,105 | 0,5 | 1297491,00 | 54062,13 | 356810,07 | 518996,46 | |||||||||||||||||||||||||||||||||||||||||
| 9 | Государственное бюджетное учреждение здравоохранения "Областная больница г. Сатка" | ФАП д. Алексеевка | 404.09 | менее 100 | - | 1,105 | 0,5 | 911014,00 | 37958,92 | 250528,86 | 364405,62 | |||||||||||||||||||||||||||||||||||||||||
| 10 | Государственное бюджетное учреждение здравоохранения "Областная больница г. Сатка" | ФАП п. Чулковка | 404.10 | от 900 до 1500 | + | 1,105 | 1 | 2055632,00 | 171302,67 | 1541724,03 | 2055632,04 | |||||||||||||||||||||||||||||||||||||||||
| 11 | Государственное бюджетное учреждение здравоохранения "Областная больница г. Сатка" | ФАП с. Романовка | 404.11 | от 100 до 900 | - | 1,105 | 0,5 | 1297491,00 | 54062,13 | 486559,17 | 648745,56 | |||||||||||||||||||||||||||||||||||||||||
| 12 | Государственное бюджетное учреждение здравоохранения "Областная больница г. Сатка" | ФАП п. Черная речка | 404.12 | от 100 до 900 | - | 1,105 | 0,5 | 1297491,00 | 54062,13 | 486559,17 | 648745,56 | |||||||||||||||||||||||||||||||||||||||||
| 
 | Итого по Государственному бюджетному учреждению здравоохранения "Областная больница г. Сатка" | X | 404 | X | X | X | X | X | 792586,92 | 7613631,12 | 9991391,88 | |||||||||||||||||||||||||||||||||||||||||
| 
 | Сосновский муниципальный район | 
 | 
 | 
 | 
 | 
 | 
 | 
 | 
 | 
 | 
 | |||||||||||||||||||||||||||||||||||||||||
| 1 | Государственное бюджетное учреждение здравоохранения "Районная больница с. Долгодеревенское" | ФАП д. Ключевка | 378.01 | от 100 до 900 | + | 1,105 | 1 | 1297491,00 | 108124,25 | 973118,25 | 1297491,00 | |||||||||||||||||||||||||||||||||||||||||
| 2 | Государственное бюджетное учреждение здравоохранения "Районная больница с. Долгодеревенское" | ФАП с. Большое Баландино | 378.02 | от 1500 до 2000 | + | 1,105 | 1 | 2308235,00 | 192352,92 | 1731176,28 | 2308235,04 | |||||||||||||||||||||||||||||||||||||||||
| 3 | Государственное бюджетное учреждение здравоохранения "Районная больница с. Долгодеревенское" | ФАП д. Ключи | 378.03 | от 100 до 900 | + | 1,105 | 1 | 1297491,00 | 108124,25 | 973118,25 | 1297491,00 | |||||||||||||||||||||||||||||||||||||||||
| 4 | Государственное бюджетное учреждение здравоохранения "Районная больница с. Долгодеревенское" | ФАП с. Большие Харлуши | 378.04 | от 100 до 900 | + | 1,105 | 1 | 1297491,00 | 108124,25 | 973118,25 | 1297491,00 | |||||||||||||||||||||||||||||||||||||||||
| 5 | Государственное бюджетное учреждение здравоохранения "Районная больница с. Долгодеревенское" | ФАП п. Садовый | 378.05 | от 900 до 1500 | + | 1,105 | 1 | 2055632,00 | 171302,67 | 1541724,03 | 2055632,04 | |||||||||||||||||||||||||||||||||||||||||
| 6 | Государственное бюджетное учреждение здравоохранения "Районная больница с. Долгодеревенское" | ФАП д. Мамаева | 378.06 | от 900 до 1500 | + | 1,105 | 1 | 2055632,00 | 171302,67 | 1541724,03 | 2055632,04 | |||||||||||||||||||||||||||||||||||||||||
| 7 | Государственное бюджетное учреждение здравоохранения "Районная больница с. Долгодеревенское" | ФАП д. Малиновка | 378.07 | от 900 до 1500 | - | 1,105 | 0,1 | 2055632,00 | 17130,27 | 1541724,03 | 1593114,84 | |||||||||||||||||||||||||||||||||||||||||
| 8 | Государственное бюджетное учреждение здравоохранения "Районная больница с. Долгодеревенское" | ФАП д. Касарги | 378.08 | от 100 до 900 | + | 1,105 | 1 | 1297491,00 | 108124,25 | 973118,25 | 1297491,00 | |||||||||||||||||||||||||||||||||||||||||
| 9 | Государственное бюджетное учреждение здравоохранения "Районная больница с. Долгодеревенское" | ФАП п. Кисегачинский | 378.09 | от 100 до 900 | + | 1,105 | 1 | 1297491,00 | 108124,25 | 973118,25 | 1297491,00 | |||||||||||||||||||||||||||||||||||||||||
| 10 | Государственное бюджетное учреждение здравоохранения "Районная больница с. Долгодеревенское" | ФАП д. Бутаки | 378.10 | от 900 до 1500 | + | 1,105 | 1 | 2055632,00 | 171302,67 | 1541724,03 | 2055632,04 | |||||||||||||||||||||||||||||||||||||||||
| 11 | Государственное бюджетное учреждение здравоохранения "Районная больница с. Долгодеревенское" | ФАП п. Высокий | 378.11 | от 100 до 900 | + | 1,105 | 1 | 1297491,00 | 108124,25 | 973118,25 | 1297491,00 | |||||||||||||||||||||||||||||||||||||||||
| 12 | Государственное бюджетное учреждение здравоохранения "Районная больница с. Долгодеревенское" | ФАП д. Полетаево-2 | 378.12 | от 100 до 900 | + | 1,105 | 1 | 1297491,00 | 108124,25 | 973118,25 | 1297491,00 | |||||||||||||||||||||||||||||||||||||||||
| 13 | Государственное бюджетное учреждение здравоохранения "Районная больница с. Долгодеревенское" | ФАП д. Большое Таскино | 378.13 | от 100 до 900 | + | 1,105 | 1 | 1297491,00 | 108124,25 | 973118,25 | 1297491,00 | |||||||||||||||||||||||||||||||||||||||||
| 14 | Государственное бюджетное учреждение здравоохранения "Районная больница с. Долгодеревенское" | ФАП д. Смольное | 378.14 | от 100 до 900 | + | 1,105 | 1 | 1297491,00 | 108124,25 | 973118,25 | 1297491,00 | |||||||||||||||||||||||||||||||||||||||||
| 15 | Государственное бюджетное учреждение здравоохранения "Районная больница с. Долгодеревенское" | ФАП п. Теченский | 378.15 | от 900 до 1500 | - | 1,105 | 0,5 | 2055632,00 | 85651,33 | 1284770,01 | 1541724,00 | |||||||||||||||||||||||||||||||||||||||||
| 16 | Государственное бюджетное учреждение здравоохранения "Районная больница с. Долгодеревенское" | ФАП д. Чишма | 378.16 | от 100 до 900 | - | 1,105 | 0,5 | 1297491,00 | 54062,13 | 810931,89 | 973118,28 | |||||||||||||||||||||||||||||||||||||||||
| 17 | Государственное бюджетное учреждение здравоохранения "Районная больница с. Долгодеревенское" | ФАП с. Архангельское | 378.17 | от 900 до 1500 | + | 1,105 | 1 | 2055632,00 | 171302,67 | 1541724,03 | 2055632,04 | |||||||||||||||||||||||||||||||||||||||||
| 18 | Государственное бюджетное учреждение здравоохранения "Районная больница с. Долгодеревенское" | ФАП с. Вознесенка | 378.18 | от 900 до 1500 | + | 1,105 | 1 | 2055632,00 | 171302,67 | 1541724,03 | 2055632,04 | |||||||||||||||||||||||||||||||||||||||||
| 19 | Государственное бюджетное учреждение здравоохранения "Районная больница с. Долгодеревенское" | ФАП п. Полевой | 378.19 | от 900 до 1500 | + | 1,105 | 1 | 2055632,00 | 171302,67 | 1541724,03 | 2055632,04 | |||||||||||||||||||||||||||||||||||||||||
| 20 | Государственное бюджетное учреждение здравоохранения "Районная больница с. Долгодеревенское" | ФАП ст. Смолино | 378.20 | от 1500 до 2000 | + | 1,105 | 1 | 2308235,00 | 192352,92 | 1731176,28 | 2308235,04 | |||||||||||||||||||||||||||||||||||||||||
| 21 | Государственное бюджетное учреждение здравоохранения "Районная больница с. Долгодеревенское" | ФАП п. Нагорный | 378.21 | от 100 до 900 | + | 1,105 | 1 | 1297491,00 | 108124,25 | 973118,25 | 1297491,00 | |||||||||||||||||||||||||||||||||||||||||
| 22 | Государственное бюджетное учреждение здравоохранения "Районная больница с. Долгодеревенское" | ФАП д. Алишева | 378.22 | от 100 до 900 | + | 1,105 | 1 | 1297491,00 | 108124,25 | 973118,25 | 1297491,00 | |||||||||||||||||||||||||||||||||||||||||
| 23 | Государственное бюджетное учреждение здравоохранения "Районная больница с. Долгодеревенское" | ФАП с. Кайгородово | 378.23 | от 100 до 900 | + | 1,105 | 1 | 1297491,00 | 108124,25 | 973118,25 | 1297491,00 | |||||||||||||||||||||||||||||||||||||||||
| 24 | Государственное бюджетное учреждение здравоохранения "Районная больница с. Долгодеревенское" | ФАП с. Туктубаево | 378.24 | от 100 до 900 | + | 1,105 | 1 | 1297491,00 | 108124,25 | 973118,25 | 1297491,00 | |||||||||||||||||||||||||||||||||||||||||
| 25 | Государственное бюджетное учреждение здравоохранения "Районная больница с. Долгодеревенское" | ФАП п. Витаминный | 378.25 | от 100 до 900 | + | 1,105 | 1 | 1297491,00 | 108124,25 | 973118,25 | 1297491,00 | |||||||||||||||||||||||||||||||||||||||||
| 26 | Государственное бюджетное учреждение здравоохранения "Районная больница с. Долгодеревенское" | ФАП п. Северный | 378.26 | от 900 до 1500 | + | 1,105 | 1 | 2055632,00 | 171302,67 | 1541724,03 | 2055632,04 | |||||||||||||||||||||||||||||||||||||||||
| 
 | Итого по Государственному бюджетному учреждению здравоохранения "Районная больница с. Долгодеревенское" | X | 378 | X | X | X | X | X | 3254407,76 | 31515502,20 | 41278725,48 | |||||||||||||||||||||||||||||||||||||||||
| 
 | Троицкий городской округ | 
 | 
 | 
 | 
 | 
 | 
 | 
 | 
 | 
 | 
 | |||||||||||||||||||||||||||||||||||||||||
| 1 | Государственное бюджетное учреждение здравоохранения "Областная больница г. Троицк" | ФАП с. Дробышево | 295.01 | от 100 до 900 | + | 1,105 | 1 | 1297491,00 | 108124,25 | 973118,25 | 1297491,00 | |||||||||||||||||||||||||||||||||||||||||
| 2 | Государственное бюджетное учреждение здравоохранения "Областная больница г. Троицк" | ФАП п. Кварцитный | 295.02 | от 100 до 900 | + | 1,105 | 1 | 1297491,00 | 108124,25 | 97311,87 | 421684,62 | |||||||||||||||||||||||||||||||||||||||||
| 3 | Государственное бюджетное учреждение здравоохранения "Областная больница г. Троицк" | ФП п. Метличье | 295.03 | менее 100 | - | 1,105 | 0,5 | 911014,00 | 37958,92 | 250528,86 | 364405,62 | |||||||||||||||||||||||||||||||||||||||||
| 4 | Государственное бюджетное учреждение здравоохранения "Областная больница г. Троицк" | ФАП п. Морозкино | 295.04 | от 100 до 900 | - | 1,105 | 0,1 | 1297491,00 | 10812,43 | 389247,33 | 421684,62 | |||||||||||||||||||||||||||||||||||||||||
| 5 | Государственное бюджетное учреждение здравоохранения "Областная больница г. Троицк" | ФАП п. Березники | 295.05 | от 100 до 900 | - | 1,105 | 0,1 | 1297491,00 | 10812,43 | 97311,87 | 129749,16 | |||||||||||||||||||||||||||||||||||||||||
| 6 | Государственное бюджетное учреждение здравоохранения "Областная больница г. Троицк" | ФАП п. Лагерный | 295.06 | от 100 до 900 | - | 1,105 | 0,1 | 1297491,00 | 10812,43 | 97311,87 | 129749,16 | |||||||||||||||||||||||||||||||||||||||||
| 7 | Государственное бюджетное учреждение здравоохранения "Областная больница г. Троицк" | ФАП п. Тогузак | 295.07 | от 100 до 900 | - | 1,105 | 0,1 | 1297491,00 | 10812,43 | 97311,87 | 129749,16 | |||||||||||||||||||||||||||||||||||||||||
| 8 | Государственное бюджетное учреждение здравоохранения "Областная больница г. Троицк" | ФАП п. Новый Мир | 295.08 | от 100 до 900 | - | 1,105 | 0,1 | 1297491,00 | 10812,43 | 681182,79 | 713620,08 | |||||||||||||||||||||||||||||||||||||||||
| 9 | Государственное бюджетное учреждение здравоохранения "Областная больница г. Троицк" | ФАП п. Каракулька | 295.09 | от 100 до 900 | + | 1,105 | 1 | 1297491,00 | 108124,25 | 681182,79 | 1005555,54 | |||||||||||||||||||||||||||||||||||||||||
| 10 | Государственное бюджетное учреждение здравоохранения "Областная больница г. Троицк" | ФАП п. Каменная Речка | 295.10 | от 100 до 900 | + | 1,105 | 1 | 1297491,00 | 108124,25 | 973118,25 | 1297491,00 | |||||||||||||||||||||||||||||||||||||||||
| 11 | Государственное бюджетное учреждение здравоохранения "Областная больница г. Троицк" | ФАП с. Травянка | 295.11 | от 100 до 900 | - | 1,105 | 0,1 | 1297491,00 | 10812,43 | 97311,87 | 129749,16 | |||||||||||||||||||||||||||||||||||||||||
| 12 | Государственное бюджетное учреждение здравоохранения "Областная больница г. Троицк" | ФАП п. Каменная Санарка | 295.12 | от 100 до 900 | - | 1,105 | 0,1 | 1297491,00 | 10812,43 | 97311,87 | 129749,16 | |||||||||||||||||||||||||||||||||||||||||
| 13 | Государственное бюджетное учреждение здравоохранения "Областная больница г. Троицк" | ФАП с. Кособродка | 295.13 | от 100 до 900 | - | 1,105 | 0,1 | 1297491,00 | 10812,43 | 389247,33 | 421684,62 | |||||||||||||||||||||||||||||||||||||||||
| 14 | Государственное бюджетное учреждение здравоохранения "Областная больница г. Троицк" | ФАП с. Подгорное | 295.14 | от 100 до 900 | - | 1,105 | 0,1 | 1297491,00 | 10812,43 | 97311,87 | 129749,16 | |||||||||||||||||||||||||||||||||||||||||
| 15 | Государственное бюджетное учреждение здравоохранения "Областная больница г. Троицк" | ФАП п. Черноречье | 295.15 | от 100 до 900 | + | 1,105 | 1 | 1297491,00 | 108124,25 | 973118,25 | 1297491,00 | |||||||||||||||||||||||||||||||||||||||||
| 16 | Государственное бюджетное учреждение здравоохранения "Областная больница г. Троицк" | ФАП п. Стрелецк | 295.16 | от 100 до 900 | - | 1,105 | 0,5 | 1297491,00 | 54062,13 | 486559,17 | 648745,56 | |||||||||||||||||||||||||||||||||||||||||
| 17 | Государственное бюджетное учреждение здравоохранения "Областная больница г. Троицк" | ФАП п. Берлин | 295.17 | от 100 до 900 | + | 1,105 | 1 | 1297491,00 | 108124,25 | 973118,25 | 1297491,00 | |||||||||||||||||||||||||||||||||||||||||
| 18 | Государственное бюджетное учреждение здравоохранения "Областная больница г. Троицк" | ФП п. Белокаменка | 295.18 | менее 100 | - | 1,105 | 0,5 | 911014,00 | 37958,92 | 341630,28 | 455507,04 | |||||||||||||||||||||||||||||||||||||||||
| 19 | Государственное бюджетное учреждение здравоохранения "Областная больница г. Троицк" | ФАП п. Осиповка | 295.19 | от 100 до 900 | - | 1,105 | 0,1 | 1297491,00 | 10812,43 | 97311,87 | 129749,16 | |||||||||||||||||||||||||||||||||||||||||
| 20 | Государственное бюджетное учреждение здравоохранения "Областная больница г. Троицк" | ФАП п. Чкалова | 295.20 | менее 100 | - | 1,105 | 0,1 | 911014,00 | 7591,78 | 68326,02 | 91101,36 | |||||||||||||||||||||||||||||||||||||||||
| 21 | Государственное бюджетное учреждение здравоохранения "Областная больница г. Троицк" | ФП п. Херсонский | 295.21 | от 100 до 900 | - | 1,105 | 0,5 | 1297491,00 | 54062,13 | 486559,17 | 648745,56 | |||||||||||||||||||||||||||||||||||||||||
| 22 | Государственное бюджетное учреждение здравоохранения "Областная больница г. Троицк" | ФАП п. Садовый | 295.22 | от 100 до 900 | - | 1,105 | 0,1 | 1297491,00 | 10812,43 | 97311,87 | 129749,16 | |||||||||||||||||||||||||||||||||||||||||
| 23 | Государственное бюджетное учреждение здравоохранения "Областная больница г. Троицк" | ФП п. Белоключевка | 295.23 | от 100 до 900 | - | 1,105 | 0,1 | 1297491,00 | 10812,43 | 97311,87 | 129749,16 | |||||||||||||||||||||||||||||||||||||||||
| 24 | Государственное бюджетное учреждение здравоохранения "Областная больница г. Троицк" | ФАП п. Плодовый | 295.24 | от 100 до 900 | + | 1,105 | 1 | 1297491,00 | 108124,25 | 486559,17 | 810931,92 | |||||||||||||||||||||||||||||||||||||||||
| 25 | Государственное бюджетное учреждение здравоохранения "Областная больница г. Троицк" | ФАП п. Скалистый | 295.25 | от 900 до 1500 | + | 1,105 | 1 | 2055632,00 | 171302,67 | 1541724,03 | 2055632,04 | |||||||||||||||||||||||||||||||||||||||||
| 26 | Государственное бюджетное учреждение здравоохранения "Областная больница г. Троицк" | ФАП д. Бурханкуль | 295.26 | от 100 до 900 | - | 1,105 | 0,1 | 1297491,00 | 10812,43 | 97311,87 | 129749,16 | |||||||||||||||||||||||||||||||||||||||||
| 27 | Государственное бюджетное учреждение здравоохранения "Областная больница г. Троицк" | ФП д. Сары | 295.27 | от 100 до 900 | - | 1,105 | 0,5 | 1297491,00 | 54062,13 | 356810,07 | 518996,46 | |||||||||||||||||||||||||||||||||||||||||
| 28 | Государственное бюджетное учреждение здравоохранения "Областная больница г. Троицк" | ФАП д. Епанишниково | 295.28 | от 100 до 900 | - | 1,105 | 0,1 | 1297491,00 | 10812,43 | 97311,87 | 129749,16 | |||||||||||||||||||||||||||||||||||||||||
| 29 | Государственное бюджетное учреждение здравоохранения "Областная больница г. Троицк" | ФАП п. Шантарино | 295.29 | от 100 до 900 | + | 1,105 | 1 | 1297491,00 | 108124,25 | 973118,25 | 1297491,00 | |||||||||||||||||||||||||||||||||||||||||
| 30 | Государственное бюджетное учреждение здравоохранения "Областная больница г. Троицк" | ФАП с. Белозеры | 295.30 | от 100 до 900 | + | 1,105 | 1 | 1297491,00 | 108124,25 | 973118,25 | 1297491,00 | |||||||||||||||||||||||||||||||||||||||||
| 31 | Государственное бюджетное учреждение здравоохранения "Областная больница г. Троицк" | ФАП с. Кадымцево | 295.31 | от 100 до 900 | + | 1,105 | 1 | 1297491,00 | 108124,25 | 973118,25 | 1297491,00 | |||||||||||||||||||||||||||||||||||||||||
| 32 | Государственное бюджетное учреждение здравоохранения "Областная больница г. Троицк" | ФАП с. Карсы | 295.32 | от 100 до 900 | + | 1,105 | 1 | 1297491,00 | 108124,25 | 973118,25 | 1297491,00 | |||||||||||||||||||||||||||||||||||||||||
| 33 | Государственное бюджетное учреждение здравоохранения "Областная больница г. Троицк" | ФАП п. Кумысное | 295.33 | от 100 до 900 | - | 1,105 | 0,1 | 1297491,00 | 10812,43 | 356810,07 | 389247,36 | |||||||||||||||||||||||||||||||||||||||||
| 34 | Государственное бюджетное учреждение здравоохранения "Областная больница г. Троицк" | ФАП с. Клястицкое | 295.34 | от 900 до 1500 | - | 1,105 | 0,1 | 2055632,00 | 17130,27 | 359735,61 | 411126,42 | |||||||||||||||||||||||||||||||||||||||||
| 35 | Государственное бюджетное учреждение здравоохранения "Областная больница г. Троицк" | ФАП п. Карабаново | 295.35 | от 100 до 900 | + | 1,105 | 1 | 1297491,00 | 108124,25 | 648745,53 | 973118,28 | |||||||||||||||||||||||||||||||||||||||||
| 36 | Государственное бюджетное учреждение здравоохранения "Областная больница г. Троицк" | ФАП п. Полесье | 295.36 | от 100 до 900 | - | 1,105 | 0,1 | 1297491,00 | 10812,43 | 97311,87 | 129749,16 | |||||||||||||||||||||||||||||||||||||||||
| 37 | Государственное бюджетное учреждение здравоохранения "Областная больница г. Троицк" | ФАП п. Репино | 295.37 | от 100 до 900 | - | 1,105 | 0,1 | 1297491,00 | 10812,43 | 32437,29 | 64874,58 | |||||||||||||||||||||||||||||||||||||||||
| 
 | Итого по Государственному бюджетному учреждению здравоохранения "Областная больница г. Троицк" | X | 295 | X | X | X | X | X | 1915431,26 | 16607285,82 | 22353579,60 | |||||||||||||||||||||||||||||||||||||||||
| 
 | Увельский муниципальный район | 
 | 
 | 
 | 
 | 
 | 
 | 
 | 
 | 
 | 
 | |||||||||||||||||||||||||||||||||||||||||
| 1 | Государственное бюджетное учреждение здравоохранения "Районная больница п. Увельский" | ФАП д. Большое Шумаково | 306.01 | от 100 до 900 | + | 1,105 | 1 | 1297491,00 | 108124,25 | 973118,25 | 1297491,00 | |||||||||||||||||||||||||||||||||||||||||
| 2 | Государственное бюджетное учреждение здравоохранения "Районная больница п. Увельский" | ФАП с. Малое Шумаково | 306.02 | от 100 до 900 | + | 1,105 | 1 | 1297491,00 | 108124,25 | 973118,25 | 1297491,00 | |||||||||||||||||||||||||||||||||||||||||
| 3 | Государственное бюджетное учреждение здравоохранения "Районная больница п. Увельский" | ФАП с. Мордвиновка | 306.03 | от 100 до 900 | - | 1,105 | 0,5 | 1297491,00 | 54062,13 | 810931,89 | 973118,28 | |||||||||||||||||||||||||||||||||||||||||
| 4 | Государственное бюджетное учреждение здравоохранения "Районная больница п. Увельский" | ФАП д. Водопойка | 306.04 | от 100 до 900 | + | 1,105 | 1 | 1297491,00 | 108124,25 | 973118,25 | 1297491,00 | |||||||||||||||||||||||||||||||||||||||||
| 5 | Государственное бюджетное учреждение здравоохранения "Районная больница п. Увельский" | ФАП с. Половинка | 306.05 | от 100 до 900 | + | 1,105 | 1 | 1297491,00 | 108124,25 | 973118,25 | 1297491,00 | |||||||||||||||||||||||||||||||||||||||||
| 6 | Государственное бюджетное учреждение здравоохранения "Районная больница п. Увельский" | ФАП с. Дуванкуль | 306.06 | от 100 до 900 | - | 1,105 | 0,5 | 1297491,00 | 54062,13 | 486559,17 | 648745,56 | |||||||||||||||||||||||||||||||||||||||||
| 7 | Государственное бюджетное учреждение здравоохранения "Районная больница п. Увельский" | ФАП д. Родионово | 306.07 | от 100 до 900 | + | 1,105 | 1 | 1297491,00 | 108124,25 | 973118,25 | 1297491,00 | |||||||||||||||||||||||||||||||||||||||||
| 8 | Государственное бюджетное учреждение здравоохранения "Районная больница п. Увельский" | ФАП д. Ключи | 306.08 | от 100 до 900 | + | 1,105 | 1 | 1297491,00 | 108124,25 | 973118,25 | 1297491,00 | |||||||||||||||||||||||||||||||||||||||||
| 9 | Государственное бюджетное учреждение здравоохранения "Районная больница п. Увельский" | ФАП п. Зеленый Лог | 306.09 | от 100 до 900 | + | 1,105 | 1 | 1297491,00 | 108124,25 | 973118,25 | 1297491,00 | |||||||||||||||||||||||||||||||||||||||||
| 10 | Государственное бюджетное учреждение здравоохранения "Районная больница п. Увельский" | ФАП п. Подгорный | 306.10 | от 100 до 900 | + | 1,105 | 1 | 1297491,00 | 108124,25 | 973118,25 | 1297491,00 | |||||||||||||||||||||||||||||||||||||||||
| 11 | Государственное бюджетное учреждение здравоохранения "Районная больница п. Увельский" | ФАП с. Кабанка | 306.11 | от 100 до 900 | + | 1,105 | 1 | 1297491,00 | 108124,25 | 973118,25 | 1297491,00 | |||||||||||||||||||||||||||||||||||||||||
| 12 | Государственное бюджетное учреждение здравоохранения "Районная больница п. Увельский" | ФАП с. Катаево | 306.12 | от 100 до 900 | + | 1,105 | 1 | 1297491,00 | 108124,25 | 973118,25 | 1297491,00 | |||||||||||||||||||||||||||||||||||||||||
| 13 | Государственное бюджетное учреждение здравоохранения "Районная больница п. Увельский" | ФАП д. Копанцево | 306.13 | от 100 до 900 | + | 1,105 | 1 | 1297491,00 | 108124,25 | 973118,25 | 1297491,00 | |||||||||||||||||||||||||||||||||||||||||
| 14 | Государственное бюджетное учреждение здравоохранения "Районная больница п. Увельский" | ФАП с. Красносельское | 306.14 | от 100 до 900 | + | 1,105 | 1 | 1297491,00 | 108124,25 | 973118,25 | 1297491,00 | |||||||||||||||||||||||||||||||||||||||||
| 15 | Государственное бюджетное учреждение здравоохранения "Районная больница п. Увельский" | ФАП с. Михири | 306.15 | от 100 до 900 | + | 1,105 | 1 | 1297491,00 | 108124,25 | 973118,25 | 1297491,00 | |||||||||||||||||||||||||||||||||||||||||
| 16 | Государственное бюджетное учреждение здравоохранения "Районная больница п. Увельский" | ФАП п. Сухарыш | 306.16 | от 100 до 900 | - | 1,105 | 0,5 | 1297491,00 | 54062,13 | 486559,17 | 648745,56 | |||||||||||||||||||||||||||||||||||||||||
| 17 | Государственное бюджетное учреждение здравоохранения "Районная больница п. Увельский" | ФАП с. Песчаное | 306.17 | от 100 до 900 | + | 1,105 | 1 | 1297491,00 | 108124,25 | 973118,25 | 1297491,00 | |||||||||||||||||||||||||||||||||||||||||
| 18 | Государственное бюджетное учреждение здравоохранения "Районная больница п. Увельский" | ФАП п. Синий Бор | 306.18 | от 100 до 900 | + | 1,105 | 1 | 1297491,00 | 108124,25 | 973118,25 | 1297491,00 | |||||||||||||||||||||||||||||||||||||||||
| 19 | Государственное бюджетное учреждение здравоохранения "Районная больница п. Увельский" | ФАП п. Мирный | 306.19 | от 100 до 900 | - | 1,105 | 0,5 | 1297491,00 | 54062,13 | 486559,17 | 648745,56 | |||||||||||||||||||||||||||||||||||||||||
| 20 | Государственное бюджетное учреждение здравоохранения "Районная больница п. Увельский" | ФАП п. Формачево | 306.20 | от 100 до 900 | + | 1,105 | 1 | 1297491,00 | 108124,25 | 32437,29 | 356810,04 | |||||||||||||||||||||||||||||||||||||||||
| 
 | Итого по Государственному бюджетному учреждению здравоохранения "Районная больница п. Увельский" | X | 306 | X | X | X | X | X | 1946236,52 | 16899820,44 | 22738530,00 | |||||||||||||||||||||||||||||||||||||||||
| 
 | Уйский муниципальный район | 
 | 
 | 
 | 
 | 
 | 
 | 
 | 
 | 
 | 
 | |||||||||||||||||||||||||||||||||||||||||
| 1 | Государственное бюджетное учреждение здравоохранения "Районная больница с. Уйское" | Аминевский ФАП | 391.01 | от 100 до 900 | - | 1,105 | 0,1 | 1297491,00 | 10812,43 | 97311,87 | 129749,16 | |||||||||||||||||||||||||||||||||||||||||
| 2 | Государственное бюджетное учреждение здравоохранения "Районная больница с. Уйское" | Булатовский ФАП | 391.02 | от 100 до 900 | - | 1,105 | 0,1 | 1297491,00 | 10812,43 | 97311,87 | 129749,16 | |||||||||||||||||||||||||||||||||||||||||
| 3 | Государственное бюджетное учреждение здравоохранения "Районная больница с. Уйское" | Бирюковский ФАП | 391.03 | от 100 до 900 | + | 1,105 | 1 | 1297491,00 | 108124,25 | 973118,25 | 1297491,00 | |||||||||||||||||||||||||||||||||||||||||
| 4 | Государственное бюджетное учреждение здравоохранения "Районная больница с. Уйское" | Брюховский ФАП | 391.04 | от 100 до 900 | - | 1,105 | 0,1 | 1297491,00 | 10812,43 | 97311,87 | 129749,16 | |||||||||||||||||||||||||||||||||||||||||
| 5 | Государственное бюджетное учреждение здравоохранения "Районная больница с. Уйское" | Беловский ФАП | 391.05 | от 100 до 900 | - | 1,105 | 0,1 | 1297491,00 | 10812,43 | 97311,87 | 129749,16 | |||||||||||||||||||||||||||||||||||||||||
| 6 | Государственное бюджетное учреждение здравоохранения "Районная больница с. Уйское" | Березовский ФАП | 391.06 | от 100 до 900 | - | 1,105 | 0,1 | 1297491,00 | 10812,43 | 97311,87 | 129749,16 | |||||||||||||||||||||||||||||||||||||||||
| 7 | Государственное бюджетное учреждение здравоохранения "Районная больница с. Уйское" | Вишневский ФАП | 391.07 | от 100 до 900 | - | 1,105 | 0,1 | 1297491,00 | 10812,43 | 97311,87 | 129749,16 | |||||||||||||||||||||||||||||||||||||||||
| 8 | Государственное бюджетное учреждение здравоохранения "Районная больница с. Уйское" | Выдринский ФАП | 391.08 | от 100 до 900 | + | 1,105 | 1 | 1297491,00 | 108124,25 | 973118,25 | 1297491,00 | |||||||||||||||||||||||||||||||||||||||||
| 9 | Государственное бюджетное учреждение здравоохранения "Районная больница с. Уйское" | Воронинский ФАП | 391.09 | от 100 до 900 | + | 1,105 | 1 | 1297491,00 | 108124,25 | 973118,25 | 1297491,00 | |||||||||||||||||||||||||||||||||||||||||
| 10 | Государственное бюджетное учреждение здравоохранения "Районная больница с. Уйское" | Глазуновский ФАП | 391.10 | от 100 до 900 | - | 1,105 | 0,5 | 1297491,00 | 54062,13 | 356810,07 | 518996,46 | |||||||||||||||||||||||||||||||||||||||||
| 11 | Государственное бюджетное учреждение здравоохранения "Районная больница с. Уйское" | ФАП д. Гусары | 391.11 | от 100 до 900 | + | 1,105 | 1 | 1297491,00 | 108124,25 | 973118,25 | 1297491,00 | |||||||||||||||||||||||||||||||||||||||||
| 12 | Государственное бюджетное учреждение здравоохранения "Районная больница с. Уйское" | Замотохинский ФАП | 391.12 | от 100 до 900 | - | 1,105 | 0,1 | 1297491,00 | 10812,43 | 97311,87 | 129749,16 | |||||||||||||||||||||||||||||||||||||||||
| 13 | Государственное бюджетное учреждение здравоохранения "Районная больница с. Уйское" | Зерновой ФАП | 391.13 | от 100 до 900 | + | 1,105 | 1 | 1297491,00 | 108124,25 | 973118,25 | 1297491,00 | |||||||||||||||||||||||||||||||||||||||||
| 14 | Государственное бюджетное учреждение здравоохранения "Районная больница с. Уйское" | Кумлякский ФАП | 391.14 | от 100 до 900 | - | 1,105 | 0,1 | 1297491,00 | 10812,43 | 97311,87 | 129749,16 | |||||||||||||||||||||||||||||||||||||||||
| 15 | Государственное бюджетное учреждение здравоохранения "Районная больница с. Уйское" | Кочневский ФАП | 391.15 | от 100 до 900 | + | 1,105 | 1 | 1297491,00 | 108124,25 | 973118,25 | 1297491,00 | |||||||||||||||||||||||||||||||||||||||||
| 16 | Государственное бюджетное учреждение здравоохранения "Районная больница с. Уйское" | Лебедевский ФАП | 391.16 | от 100 до 900 | + | 1,105 | 1 | 1297491,00 | 108124,25 | 973118,25 | 1297491,00 | |||||||||||||||||||||||||||||||||||||||||
| 17 | Государственное бюджетное учреждение здравоохранения "Районная больница с. Уйское" | Лесной ФАП | 391.17 | от 100 до 900 | + | 1,105 | 1 | 1297491,00 | 108124,25 | 973118,25 | 1297491,00 | |||||||||||||||||||||||||||||||||||||||||
| 18 | Государственное бюджетное учреждение здравоохранения "Районная больница с. Уйское" | Масловский ФАП | 391.18 | от 100 до 900 | + | 1,105 | 1 | 1297491,00 | 108124,25 | 973118,25 | 1297491,00 | |||||||||||||||||||||||||||||||||||||||||
| 19 | Государственное бюджетное учреждение здравоохранения "Районная больница с. Уйское" | Магадеевский ФАП | 391.19 | от 100 до 900 | - | 1,105 | 0,1 | 1297491,00 | 10812,43 | 97311,87 | 129749,16 | |||||||||||||||||||||||||||||||||||||||||
| 20 | Государственное бюджетное учреждение здравоохранения "Районная больница с. Уйское" | Никольский ФАП | 391.20 | от 100 до 900 | + | 1,105 | 1 | 1297491,00 | 108124,25 | 973118,25 | 1297491,00 | |||||||||||||||||||||||||||||||||||||||||
| 21 | Государственное бюджетное учреждение здравоохранения "Районная больница с. Уйское" | Нижнеусцелемовский ФАП | 391.21 | от 100 до 900 | + | 1,105 | 1 | 1297491,00 | 108124,25 | 973118,25 | 1297491,00 | |||||||||||||||||||||||||||||||||||||||||
| 22 | Государственное бюджетное учреждение здравоохранения "Районная больница с. Уйское" | Петропавловский ФАП | 391.22 | от 100 до 900 | + | 1,105 | 1 | 1297491,00 | 108124,25 | 973118,25 | 1297491,00 | |||||||||||||||||||||||||||||||||||||||||
| 23 | Государственное бюджетное учреждение здравоохранения "Районная больница с. Уйское" | Речной ФАП | 391.23 | от 100 до 900 | + | 1,105 | 1 | 1297491,00 | 108124,25 | 973118,25 | 1297491,00 | |||||||||||||||||||||||||||||||||||||||||
| 24 | Государственное бюджетное учреждение здравоохранения "Районная больница с. Уйское" | Фоминский ФАП | 391.24 | от 100 до 900 | + | 1,105 | 1 | 1297491,00 | 108124,25 | 973118,25 | 1297491,00 | |||||||||||||||||||||||||||||||||||||||||
| 25 | Государственное бюджетное учреждение здравоохранения "Районная больница с. Уйское" | Октябрьский ФАП | 391.25 | от 100 до 900 | + | 1,105 | 1 | 1297491,00 | 108124,25 | 97311,87 | 421684,62 | |||||||||||||||||||||||||||||||||||||||||
| 26 | Государственное бюджетное учреждение здравоохранения "Районная больница с. Уйское" | Яринский ФАП | 391.26 | от 100 до 900 | - | 1,105 | 0,1 | 1297491,00 | 10812,43 | 973118,25 | 1005555,54 | |||||||||||||||||||||||||||||||||||||||||
| 27 | Государственное бюджетное учреждение здравоохранения "Районная больница с. Уйское" | Восточный ФАП | 391.27 | от 100 до 900 | - | 1,105 | 0,1 | 1297491,00 | 10812,43 | 97311,87 | 129749,16 | |||||||||||||||||||||||||||||||||||||||||
| 28 | Государственное бюджетное учреждение здравоохранения "Районная больница с. Уйское" | Краснокаменский ФАП | 391.28 | от 100 до 900 | + | 1,105 | 1 | 1297491,00 | 108124,25 | 973118,25 | 1297491,00 | |||||||||||||||||||||||||||||||||||||||||
| 29 | Государственное бюджетное учреждение здравоохранения "Районная больница с. Уйское" | ФАП д. Вандышевка | 391.29 | от 100 до 900 | + | 1,105 | 1 | 1297491,00 | 108124,25 | 973118,25 | 1297491,00 | |||||||||||||||||||||||||||||||||||||||||
| 30 | Государственное бюджетное учреждение здравоохранения "Районная больница с. Уйское" | ФАП п. Заозерный | 391.30 | от 100 до 900 | - | 1,105 | 0,1 | 1297491,00 | 10812,43 | 97311,87 | 129749,16 | |||||||||||||||||||||||||||||||||||||||||
| 
 | Итого по Государственному бюджетному учреждению здравоохранения "Районная больница с. Уйское" | X | 391 | X | X | X | X | X | 2021923,54 | 18067562,76 | 24133333,38 | |||||||||||||||||||||||||||||||||||||||||
| 
 | Усть-Катавский городской округ | 
 | 
 | 
 | 
 | 
 | 
 | 
 | 
 | 
 | 
 | |||||||||||||||||||||||||||||||||||||||||
| 1 | Федеральное государственное бюджетное учреждение здравоохранения "Медико-санитарная часть N 162 Федерального медико-биологического агентства" | ФАП с. Минка | 403.01 | от 100 до 900 | + | 1,105 | 1 | 1297491,00 | 108124,25 | 973118,25 | 1297491,00 | |||||||||||||||||||||||||||||||||||||||||
| 2 | Федеральное государственное бюджетное учреждение здравоохранения "Медико-санитарная часть N 162 Федерального медико-биологического агентства" | ФАП п. ж/д станция Минка | 403.02 | от 100 до 900 | + | 1,105 | 1 | 1297491,00 | 108124,25 | 973118,25 | 1297491,00 | |||||||||||||||||||||||||||||||||||||||||
| 3 | Федеральное государственное бюджетное учреждение здравоохранения "Медико-санитарная часть N 162 Федерального медико-биологического агентства" | ФАП с. Тюбеляс | 403.03 | от 100 до 900 | + | 1,105 | 1 | 1297491,00 | 108124,25 | 973118,25 | 1297491,00 | |||||||||||||||||||||||||||||||||||||||||
| 4 | Федеральное государственное бюджетное учреждение здравоохранения "Медико-санитарная часть N 162 Федерального медико-биологического агентства" | ФАП с. Вергаза | 403.04 | менее 100 | - | 1,105 | 0,5 | 911014,00 | 37958,92 | 341630,28 | 455507,04 | |||||||||||||||||||||||||||||||||||||||||
| 
 | Итого по Федеральному государственному бюджетному учреждению здравоохранения "Медико-санитарная часть N 162 Федерального медико-биологического агентства" | X | 403 | X | X | X | X | X | 362331,67 | 3260985,03 | 4347980,04 | |||||||||||||||||||||||||||||||||||||||||
| 
 | Чебаркульский городской округ | 
 | 
 | 
 | 
 | 
 | 
 | 
 | 
 | 
 | 
 | |||||||||||||||||||||||||||||||||||||||||
| 1 | Государственное бюджетное учреждение здравоохранения "Районная больница г. Чебаркуль" | ФАП д. Звягино | 315.01 | от 100 до 900 | - | 1,105 | 0,1 | 1297491,00 | 10812,43 | 97311,87 | 129749,16 | |||||||||||||||||||||||||||||||||||||||||
| 2 | Государственное бюджетное учреждение здравоохранения "Районная больница г. Чебаркуль" | ФАП д. Колотовка | 315.02 | от 100 до 900 | + | 1,105 | 1 | 1297491,00 | 108124,25 | 681182,79 | 1005555,54 | |||||||||||||||||||||||||||||||||||||||||
| 3 | Государственное бюджетное учреждение здравоохранения "Районная больница г. Чебаркуль" | ФАП д. Уштаганка | 315.03 | от 100 до 900 | + | 1,105 | 1 | 1297491,00 | 108124,25 | 973118,25 | 1297491,00 | |||||||||||||||||||||||||||||||||||||||||
| 4 | Государственное бюджетное учреждение здравоохранения "Районная больница г. Чебаркуль" | ФАП д. Камбулат | 315.04 | от 100 до 900 | + | 1,105 | 1 | 1297491,00 | 108124,25 | 681182,79 | 1005555,54 | |||||||||||||||||||||||||||||||||||||||||
| 5 | Государственное бюджетное учреждение здравоохранения "Районная больница г. Чебаркуль" | ФАП д. Мельниково | 315.05 | от 100 до 900 | - | 1,105 | 0,1 | 1297491,00 | 10812,43 | 97311,87 | 129749,16 | |||||||||||||||||||||||||||||||||||||||||
| 6 | Государственное бюджетное учреждение здравоохранения "Районная больница г. Чебаркуль" | ФАП д. Барановка | 315.06 | от 100 до 900 | - | 1,105 | 0,1 | 1297491,00 | 10812,43 | 97311,87 | 129749,16 | |||||||||||||||||||||||||||||||||||||||||
| 7 | Государственное бюджетное учреждение здравоохранения "Районная больница г. Чебаркуль" | ФАП д. Барсуки | 315.07 | от 100 до 900 | - | 1,105 | 0,1 | 1297491,00 | 10812,43 | 97311,87 | 129749,16 | |||||||||||||||||||||||||||||||||||||||||
| 8 | Государственное бюджетное учреждение здравоохранения "Районная больница г. Чебаркуль" | ФАП д. Щапино | 315.08 | от 100 до 900 | - | 1,105 | 0,5 | 1297491,00 | 54062,13 | 486559,17 | 648745,56 | |||||||||||||||||||||||||||||||||||||||||
| 9 | Государственное бюджетное учреждение здравоохранения "Районная больница г. Чебаркуль" | ФАП ДОС-2 | 315.09 | от 100 до 900 | + | 1,105 | 1 | 1297491,00 | 108124,25 | 973118,25 | 1297491,00 | |||||||||||||||||||||||||||||||||||||||||
| 10 | Государственное бюджетное учреждение здравоохранения "Районная больница г. Чебаркуль" | ФАП п. Ключи | 315.10 | от 100 до 900 | + | 1,105 | 1 | 1297491,00 | 108124,25 | 973118,25 | 1297491,00 | |||||||||||||||||||||||||||||||||||||||||
| 11 | Государственное бюджетное учреждение здравоохранения "Районная больница г. Чебаркуль" | ФАП д. Коротаново | 315.11 | от 100 до 900 | - | 1,105 | 0,1 | 1297491,00 | 10812,43 | 356810,07 | 389247,36 | |||||||||||||||||||||||||||||||||||||||||
| 12 | Государственное бюджетное учреждение здравоохранения "Районная больница г. Чебаркуль" | ФАП д. 2-я Ключевка | 315.12 | от 100 до 900 | - | 1,105 | 0,5 | 1297491,00 | 54062,13 | 347148,12 | 509334,51 | |||||||||||||||||||||||||||||||||||||||||
| 13 | Государственное бюджетное учреждение здравоохранения "Районная больница г. Чебаркуль" | ФАП д. Болотово | 315.13 | от 100 до 900 | + | 1,105 | 1 | 1297491,00 | 108124,25 | 973118,25 | 1297491,00 | |||||||||||||||||||||||||||||||||||||||||
| 14 | Государственное бюджетное учреждение здравоохранения "Районная больница г. Чебаркуль" | ФАП д. Большаково | 315.14 | от 100 до 900 | - | 1,105 | 0,1 | 1297491,00 | 10812,43 | 97311,87 | 129749,16 | |||||||||||||||||||||||||||||||||||||||||
| 15 | Государственное бюджетное учреждение здравоохранения "Районная больница г. Чебаркуль" | ФАП д. Зауралово | 315.15 | от 100 до 900 | - | 1,105 | 0,5 | 1297491,00 | 54062,13 | 486559,17 | 648745,56 | |||||||||||||||||||||||||||||||||||||||||
| 16 | Государственное бюджетное учреждение здравоохранения "Районная больница г. Чебаркуль" | ФАП д. Десятилетие | 315.16 | от 100 до 900 | + | 1,105 | 1 | 1297491,00 | 108124,25 | 973118,25 | 1297491,00 | |||||||||||||||||||||||||||||||||||||||||
| 17 | Государственное бюджетное учреждение здравоохранения "Районная больница г. Чебаркуль" | ФАП д. Попово | 315.17 | от 100 до 900 | - | 1,105 | 0,5 | 1297491,00 | 54062,13 | 486559,17 | 648745,56 | |||||||||||||||||||||||||||||||||||||||||
| 18 | Государственное бюджетное учреждение здравоохранения "Районная больница г. Чебаркуль" | ФАП д. Шабунино | 315.18 | от 100 до 900 | - | 1,105 | 0,1 | 1297491,00 | 10812,43 | 97311,87 | 129749,16 | |||||||||||||||||||||||||||||||||||||||||
| 19 | Государственное бюджетное учреждение здравоохранения "Районная больница г. Чебаркуль" | ФАП д. Алтынташ | 315.19 | от 100 до 900 | + | 1,105 | 1 | 1297491,00 | 108124,25 | 681182,79 | 1005555,54 | |||||||||||||||||||||||||||||||||||||||||
| 20 | Государственное бюджетное учреждение здравоохранения "Районная больница г. Чебаркуль" | ФАП д. Маскайка | 315.20 | от 100 до 900 | + | 1,105 | 1 | 1297491,00 | 108124,25 | 973118,25 | 1297491,00 | |||||||||||||||||||||||||||||||||||||||||
| 21 | Государственное бюджетное учреждение здравоохранения "Районная больница г. Чебаркуль" | ФАП с. Пустозерово | 315.21 | от 100 до 900 | - | 1,105 | 0,5 | 1297491,00 | 54062,13 | 227060,97 | 389247,36 | |||||||||||||||||||||||||||||||||||||||||
| 22 | Государственное бюджетное учреждение здравоохранения "Районная больница г. Чебаркуль" | ФАП д. Верхние Караси | 315.22 | от 100 до 900 | - | 1,105 | 0,1 | 1297491,00 | 10812,43 | 486559,17 | 518996,46 | |||||||||||||||||||||||||||||||||||||||||
| 23 | Государственное бюджетное учреждение здравоохранения "Районная больница г. Чебаркуль" | ФАП д. Нижние Караси | 315.23 | от 100 до 900 | + | 1,105 | 1 | 1297491,00 | 108124,25 | 973118,25 | 1297491,00 | |||||||||||||||||||||||||||||||||||||||||
| 24 | Государственное бюджетное учреждение здравоохранения "Районная больница г. Чебаркуль" | ФАП д. Запивалово | 315.24 | от 100 до 900 | - | 1,105 | 0,1 | 1297491,00 | 10812,43 | 97311,87 | 129749,16 | |||||||||||||||||||||||||||||||||||||||||
| 25 | Государственное бюджетное учреждение здравоохранения "Районная больница г. Чебаркуль" | ФАП д. Малково | 315.25 | от 100 до 900 | + | 1,105 | 1 | 1297491,00 | 108124,25 | 973118,25 | 1297491,00 | |||||||||||||||||||||||||||||||||||||||||
| 26 | Государственное бюджетное учреждение здравоохранения "Районная больница г. Чебаркуль" | ФАП д. Темир | 315.26 | от 100 до 900 | + | 1,105 | 1 | 1297491,00 | 108124,25 | 973118,25 | 1297491,00 | |||||||||||||||||||||||||||||||||||||||||
| 27 | Государственное бюджетное учреждение здравоохранения "Районная больница г. Чебаркуль" | ФАП д. Боровое | 315.27 | от 100 до 900 | + | 1,105 | 1 | 1297491,00 | 108124,25 | 973118,25 | 1297491,00 | |||||||||||||||||||||||||||||||||||||||||
| 28 | Государственное бюджетное учреждение здравоохранения "Районная больница г. Чебаркуль" | ФАП д. Крыжановка | 315.28 | от 100 до 900 | + | 1,105 | 1 | 1297491,00 | 108124,25 | 973118,25 | 1297491,00 | |||||||||||||||||||||||||||||||||||||||||
| 29 | Государственное бюджетное учреждение здравоохранения "Районная больница г. Чебаркуль" | ФАП д. Половинка | 315.29 | от 100 до 900 | + | 1,105 | 1 | 1297491,00 | 108124,25 | 973118,25 | 1297491,00 | |||||||||||||||||||||||||||||||||||||||||
| 30 | Государственное бюджетное учреждение здравоохранения "Районная больница г. Чебаркуль" | ФАП д. Самарка | 315.30 | от 100 до 900 | - | 1,105 | 0,5 | 1297491,00 | 54062,13 | 486559,17 | 648745,56 | |||||||||||||||||||||||||||||||||||||||||
| 31 | Государственное бюджетное учреждение здравоохранения "Районная больница г. Чебаркуль" | ФАП с. Медведево | 315.31 | от 100 до 900 | - | 1,105 | 0,5 | 1297491,00 | 54062,13 | 486559,17 | 648745,56 | |||||||||||||||||||||||||||||||||||||||||
| 32 | Государственное бюджетное учреждение здравоохранения "Районная больница г. Чебаркуль" | ФАП д. Ступино | 315.32 | от 100 до 900 | + | 1,105 | 1 | 1297491,00 | 108124,25 | 973118,25 | 1297491,00 | |||||||||||||||||||||||||||||||||||||||||
| 33 | Государственное бюджетное учреждение здравоохранения "Районная больница г. Чебаркуль" | ФАП д. Бутырки | 315.33 | от 100 до 900 | + | 1,105 | 1 | 1297491,00 | 108124,25 | 973118,25 | 1297491,00 | |||||||||||||||||||||||||||||||||||||||||
| 34 | Государственное бюджетное учреждение здравоохранения "Районная больница г. Чебаркуль" | ФАП п. Мирный | 315.34 | от 100 до 900 | - | 1,105 | 0,1 | 1297491,00 | 10812,43 | 97311,87 | 129749,16 | |||||||||||||||||||||||||||||||||||||||||
| 35 | Государственное бюджетное учреждение здравоохранения "Районная больница г. Чебаркуль" | ФАП ул. Станционная, дом 4А | 315.35 | от 100 до 900 | + | 1,105 | 1 | 1297491,00 | 108124,25 | 973118,25 | 1297491,00 | |||||||||||||||||||||||||||||||||||||||||
| 36 | Государственное бюджетное учреждение здравоохранения "Районная больница г. Чебаркуль" | ФАП пер. Крутой, дом 16 | 315.36 | от 100 до 900 | - | 1,105 | 0,5 | 1297491,00 | 54062,13 | 227060,97 | 389247,36 | |||||||||||||||||||||||||||||||||||||||||
| 
 | Итого по Государственному бюджетному учреждению здравоохранения "Районная больница г. Чебаркуль" | X | 315 | X | X | X | X | X | 2486857,84 | 21496252,23 | 28956825,75 | |||||||||||||||||||||||||||||||||||||||||
| 
 | Челябинский городской округ | 
 | 
 | 
 | 
 | 
 | 
 | 
 | 
 | 
 | 
 | |||||||||||||||||||||||||||||||||||||||||
| 1 | Государственное автономное учреждение здравоохранения Ордена Трудового Красного Знамени "Городская клиническая больница N 1 г. Челябинск" | ФАП пос. Исаково, ул. Дорожная, д. 1, поликлиники N 2 | 079.01 | от 900 до 1500 | + | 1,105 | 1 | 2055632,00 | 171302,67 | 1541724,03 | 2055632,04 | |||||||||||||||||||||||||||||||||||||||||
| 2 | Государственное автономное учреждение здравоохранения Ордена Трудового Красного Знамени "Городская клиническая больница N 1 г. Челябинск" | ФАП пос. Федоровка поликлиники N 4 | 079.02 | от 100 до 900 | - | 1,105 | 0,1 | 1297491,00 | 10812,43 | 97311,87 | 129749,16 | |||||||||||||||||||||||||||||||||||||||||
| 
 | Итого по Государственному автономному учреждению здравоохранения Ордена Трудового Красного Знамени "Городская клиническая больница N 1 г. Челябинск" | X | 79 | X | X | X | X | X | 182115,10 | 1639035,90 | 2185381,20 | |||||||||||||||||||||||||||||||||||||||||
| 1 | ООО "Полимедика Челябинск" | ФАП пос. Шершни, ул. Заводская, 8 | 771.01 | более 2000 | + | 1,105 | 1 | 2591878,00 | 215989,83 | 1943908,47 | 2591877,96 | |||||||||||||||||||||||||||||||||||||||||
| 
 | Итого по ООО "Полимедика Челябинск" | X | 771 | X | X | X | X | X | 215989,83 | 1943908,47 | 2591877,96 | |||||||||||||||||||||||||||||||||||||||||
| 
 | Чесменский муниципальный район | 
 | 
 | 
 | 
 | 
 | 
 | 
 | 
 | 
 | 
 | |||||||||||||||||||||||||||||||||||||||||
| 1 | Государственное бюджетное учреждение здравоохранения "Районная больница с. Чесма" | ФАП п. Тарасовка | 397.01 | от 100 до 900 | - | 1,105 | 0,1 | 1297491,00 | 10812,43 | 97311,87 | 129749,16 | |||||||||||||||||||||||||||||||||||||||||
| 2 | Государственное бюджетное учреждение здравоохранения "Районная больница с. Чесма" | ФАП п. Калиновский | 397.02 | от 100 до 900 | + | 1,105 | 1 | 1297491,00 | 108124,25 | 973118,25 | 1297491,00 | |||||||||||||||||||||||||||||||||||||||||
| 3 | Государственное бюджетное учреждение здравоохранения "Районная больница с. Чесма" | ФАП п. Новоеткульский | 397.03 | от 100 до 900 | + | 1,105 | 1 | 1297491,00 | 108124,25 | 681182,79 | 1005555,54 | |||||||||||||||||||||||||||||||||||||||||
| 4 | Государственное бюджетное учреждение здравоохранения "Районная больница с. Чесма" | ФАП п. Новоукраинский | 397.04 | от 100 до 900 | + | 1,105 | 1 | 1297491,00 | 108124,25 | 973118,25 | 1297491,00 | |||||||||||||||||||||||||||||||||||||||||
| 5 | Государственное бюджетное учреждение здравоохранения "Районная больница с. Чесма" | ФАП п. Редутово | 397.05 | от 100 до 900 | + | 1,105 | 1 | 1297491,00 | 108124,25 | 973118,25 | 1297491,00 | |||||||||||||||||||||||||||||||||||||||||
| 6 | Государственное бюджетное учреждение здравоохранения "Районная больница с. Чесма" | ФАП п. Цвиллинга | 397.06 | от 100 до 900 | - | 1,105 | 0,5 | 1297491,00 | 54062,13 | 486559,17 | 648745,56 | |||||||||||||||||||||||||||||||||||||||||
| 7 | Государственное бюджетное учреждение здравоохранения "Районная больница с. Чесма" | ФАП п. Бускульский | 397.07 | от 100 до 900 | - | 1,105 | 0,5 | 1297491,00 | 54062,13 | 486559,17 | 648745,56 | |||||||||||||||||||||||||||||||||||||||||
| 8 | Государственное бюджетное учреждение здравоохранения "Районная больница с. Чесма" | ФАП п. Камышный | 397.08 | от 100 до 900 | - | 1,105 | 0,1 | 1297491,00 | 10812,43 | 97311,87 | 129749,16 | |||||||||||||||||||||||||||||||||||||||||
| 9 | Государственное бюджетное учреждение здравоохранения "Районная больница с. Чесма" | ФАП п. Климовка | 397.09 | от 100 до 900 | - | 1,105 | 0,5 | 1297491,00 | 54062,13 | 486559,17 | 648745,56 | |||||||||||||||||||||||||||||||||||||||||
| 10 | Государственное бюджетное учреждение здравоохранения "Районная больница с. Чесма" | ФАП п. Порт-Артур | 397.10 | от 100 до 900 | - | 1,105 | 0,1 | 1297491,00 | 10812,43 | 97311,87 | 129749,16 | |||||||||||||||||||||||||||||||||||||||||
| 11 | Государственное бюджетное учреждение здравоохранения "Районная больница с. Чесма" | ФАП п. Зеленая Долина | 397.11 | от 100 до 900 | - | 1,105 | 0,5 | 1297491,00 | 54062,13 | 486559,17 | 648745,56 | |||||||||||||||||||||||||||||||||||||||||
| 12 | Государственное бюджетное учреждение здравоохранения "Районная больница с. Чесма" | ФАП п. Новотемирский | 397.12 | менее 100 | - | 1,105 | 0,1 | 911014,00 | 7591,78 | 68326,02 | 91101,36 | |||||||||||||||||||||||||||||||||||||||||
| 13 | Государственное бюджетное учреждение здравоохранения "Районная больница с. Чесма" | ФАП п. Натальинский | 397.13 | менее 100 | - | 1,105 | 0,5 | 911014,00 | 37958,92 | 341630,28 | 455507,04 | |||||||||||||||||||||||||||||||||||||||||
| 14 | Государственное бюджетное учреждение здравоохранения "Районная больница с. Чесма" | ФАП п. Маяк | 397.14 | менее 100 | - | 1,105 | 0,1 | 911014,00 | 7591,78 | 68326,02 | 91101,36 | |||||||||||||||||||||||||||||||||||||||||
| 15 | Государственное бюджетное учреждение здравоохранения "Районная больница с. Чесма" | ФАП п. Безводный | 397.15 | менее 100 | - | 1,105 | 0,1 | 911014,00 | 7591,78 | 68326,02 | 91101,36 | |||||||||||||||||||||||||||||||||||||||||
| 16 | Государственное бюджетное учреждение здравоохранения "Районная больница с. Чесма" | ФАП п. Клубовка | 397.16 | менее 100 | - | 1,105 | 0,5 | 911014,00 | 37958,92 | 389939,91 | 503816,67 | |||||||||||||||||||||||||||||||||||||||||
| 
 | Итого по Государственному бюджетному учреждению здравоохранения "Районная больница с. Чесма" | X | 397 | X | X | X | X | X | 779875,99 | 6775258,08 | 9114886,05 | |||||||||||||||||||||||||||||||||||||||||
| 
 | Южноуральский городской округ | 
 | 
 | 
 | 
 | 
 | 
 | 
 | 
 | 
 | 
 | |||||||||||||||||||||||||||||||||||||||||
| 1 | Государственное бюджетное учреждение здравоохранения "Городская больница г. Южноуральск" | ФАП п. Летягино | 222.01 | от 100 до 900 | + | 1,105 | 1 | 1297491,00 | 108124,25 | 0,00 | 324372,75 | |||||||||||||||||||||||||||||||||||||||||
| 
 | Итого по Государственному бюджетному учреждению здравоохранения "Городская больница г. Южноуральск" | X | 222 | X | X | X | X | X | 108124,25 | 0,00 | 324372,75 | |||||||||||||||||||||||||||||||||||||||||
| 
 | Всего по Челябинской области | 658 | X | X | X | X | X | X | 46021583,58 | 407679263,34 | 545744014,08 | |||||||||||||||||||||||||||||||||||||||||
     * Расчет размера средств,
направляемых на финансовое обеспечение
фельдшерских, фельдшерско-акушерских
пунктов на 2023 год, осуществлен в
соответствии с Постановлением
Правительства Челябинской области от
29.12.2022 N 783-П "О Территориальной программе
государственных гарантий бесплатного
оказания гражданам медицинской помощи в
Челябинской области на 2023 год и плановый
период 2024 и 2025 годов" и с применением
коэффициентов специфики оказания
медицинской помощи (методика отражена в
Протоколе заседания комиссии по
разработке Территориальной программы
ОМС в Челябинской области от 30.12.2020 N 17).
     ** ФАП закрыт, медицинская
деятельность не осуществляется.
Приложение N 5
к Тарифному соглашению
в сфере обязательного
медицинского страхования
Челябинской области
от 30 декабря 2022 г. N 199-ОМС 
Коэффициенты дифференциации на
прикрепившихся к медицинской
организации лиц с учетом наличия
подразделений, расположенных в сельской
местности, отдаленных территориях,
поселках городского типа и малых городах
с численностью населения до 50 тысяч
человек, и расходов на их содержание и
оплату труда персонала (КДот)
(в ред. Дополнительных соглашений к Тарифному соглашению в сфере обязательного медицинского страхования Челябинской области от 30.03.2023 N 2/199-ОМС, от 31.07.2023 N 5/199-ОМС)
Коэффициенты дифференциации на
прикрепившихся к медицинской
организации лиц, применяемые к
медицинской организации (в том числе
подразделениям), с учетом наличия
подразделений, расположенных в сельской
местности, отдаленных территориях,
поселках городского типа и малых городах
с численностью населения до 50 тысяч
человек, и расходов на их содержание и
оплату труда персонала 
(в ред. Дополнительного соглашения к Тарифному соглашению в сфере обязательного медицинского страхования Челябинской области от 31.07.2023 N 5/199-ОМС)
Таблица 1
| N п/п | Код МО | Наименование территорий | Наименование медицинской организации | Сведения о численности обслуживаемого населения, прикрепленного к медицинской организации | Коэффициент дифференциации | 
| А | 1 | 2 | 3 | 4 | 5 | 
| 1 | 224 | Агаповский муниципальный район | Государственное бюджетное учреждение здравоохранения "Районная больница с. Агаповка" | более 20000 | 1,040 | 
| 2 | 234 | Аргаяшский муниципальный район | Государственное бюджетное учреждение здравоохранения "Районная больница с. Аргаяш" | более 20000 | 1,040 | 
| 3 | 242 | Ашинский муниципальный район | Государственное бюджетное учреждение здравоохранения "Районная больница г. Аша" | более 20000 | 1,040 | 
| 4 | 248 | Брединский муниципальный район | Государственное бюджетное учреждение здравоохранения "Районная больница п. Бреды" | более 20000 | 1,040 | 
| 5 | 324 | Варненский муниципальный район | Государственное бюджетное учреждение здравоохранения "Районная больница с. Варна" | более 20000 | 1,040 | 
| 6 | 257 | Верхнеуральский муниципальный район | Государственное бюджетное учреждение здравоохранения "Районная больница г. Верхнеуральск" | более 20000 | 1,040 | 
| 7 | 198 | Верхнеуфалейский городской округ | Государственное бюджетное учреждение здравоохранения "Городская больница г. Верхний Уфалей" | более 20000 | 1,040 | 
| 8 | 205 | Еманжелинский муниципальный район | Государственное бюджетное учреждение здравоохранения "Районная больница г. Еманжелинск" | более 20000 | 1,040 | 
| (в ред. Дополнительного соглашения к Тарифному соглашению в сфере обязательного медицинского страхования Челябинской области от 30.03.2023 N 2/199-ОМС) | |||||
| 9 | 329 | Еткульский муниципальный район | Государственное бюджетное учреждение здравоохранения "Районная больница с. Еткуль" | более 20000 | 1,040 | 
| 10 | 209 | Карабашский городской округ | Государственное бюджетное учреждение здравоохранения "Городская больница г. Карабаш" | менее 20000 | 1,113 | 
| 11 | 264 | Карталинский муниципальный район | Государственное бюджетное учреждение здравоохранения "Районная больница г. Карталы" | более 20000 | 1,040 | 
| (в ред. Дополнительного соглашения к Тарифному соглашению в сфере обязательного медицинского страхования Челябинской области от 30.03.2023 N 2/199-ОМС) | |||||
| 12 | 441 | Карталинский муниципальный район | Частное учреждение здравоохранения "Поликлиника "РЖД-Медицина" города Карталы" | менее 20000 | 1,113 | 
| 13 | 274 | Каслинский муниципальный район | Государственное бюджетное учреждение здравоохранения "Районная больница г. Касли" | более 20000 | 1,040 | 
| 14 | 278 | Катав-Ивановский муниципальный район | Государственное бюджетное учреждение здравоохранения "Районная больница г. Катав-Ивановск" | более 20000 | 1,040 | 
| 15 | 334 | Кизильский муниципальный район | Государственное бюджетное учреждение здравоохранения "Районная больница с. Кизильское" | менее 20000 | 1,113 | 
| 16 | 210 | Коркинский муниципальный район | Государственное бюджетное учреждение здравоохранения "Городская больница N 1 г. Коркино" | более 20000 | 1,040 | 
| 17 | 211 | Коркинский муниципальный район | Государственное бюджетное учреждение здравоохранения "Городская больница N 2 г. Коркино" | менее 20000 | 1,113 | 
| 18 | 212 | Коркинский муниципальный район | Государственное бюджетное учреждение здравоохранения "Городская больница N 3 г. Коркино" | менее 20000 | 1,113 | 
| 19 | 213 | Коркинский муниципальный район | Государственное бюджетное учреждение здравоохранения "Городская детская больница г. Коркино" | менее 20000 | 1,113 | 
| 20 | 344 | Красноармейский муниципальный район | Государственное бюджетное учреждение здравоохранения "Районная больница с. Миасское" | более 20000 | 1,040 | 
| 21 | 354 | Кунашакский муниципальный район | Государственное бюджетное учреждение здравоохранения "Районная больница с. Кунашак" | более 20000 | 1,040 | 
| 22 | 282 | Кусинский муниципальный район | Государственное бюджетное учреждение здравоохранения "Районная больница г. Куса" | более 20000 | 1,040 | 
| 23 | 216 | Кыштымский городской округ | Государственное бюджетное учреждение здравоохранения "Городская больница им. А.П. Силаева г. Кыштым" | более 20000 | 1,040 | 
| 24 | 447 | Локомотивный городской округ | Государственное бюджетное учреждение здравоохранения "Участковая больница" рабочего поселка Локомотивный | менее 20000 | 1,113 | 
| (в ред. Дополнительного соглашения к Тарифному соглашению в сфере обязательного медицинского страхования Челябинской области от 30.03.2023 N 2/199-ОМС) | |||||
| 25 | 363 | Нагайбакский муниципальный район | Государственное бюджетное учреждение здравоохранения "Районная больница с. Фершампенуаз" | менее 20000 | 1,113 | 
| 26 | 286 | Нязепетровский муниципальный район | Государственное бюджетное учреждение здравоохранения "Районная больница г. Нязепетровск" | менее 20000 | 1,113 | 
| 27 | 372 | Октябрьский муниципальный район | Государственное бюджетное учреждение здравоохранения "Районная больница с. Октябрьское" | менее 20000 | 1,113 | 
| 28 | 218 | Пластовский муниципальный район | Государственное бюджетное учреждение здравоохранения "Районная больница г. Пласт" | более 20000 | 1,040 | 
| (в ред. Дополнительного соглашения к Тарифному соглашению в сфере обязательного медицинского страхования Челябинской области от 30.03.2023 N 2/199-ОМС) | |||||
| 29 | 404 | Саткинский муниципальный район | Государственное бюджетное учреждение здравоохранения "Областная больница г. Сатка" | более 20000 | 1,040 | 
| (в ред. Дополнительного соглашения к Тарифному соглашению в сфере обязательного медицинского страхования Челябинской области от 30.03.2023 N 2/199-ОМС) | |||||
| 30 | 378 | Сосновский муниципальный район | Государственное бюджетное учреждение здравоохранения "Районная больница с. Долгодеревенское" | более 20000 | 1,040 | 
| 31 | 445 | Трехгорный городской округ | Федеральное государственное бюджетное учреждение здравоохранения "Медико-санитарная часть N 72 Федерального медико-биологического агентства" | более 20000 | 1,040 | 
| 32 | 306 | Увельский муниципальный район | Государственное бюджетное учреждение здравоохранения "Районная больница п. Увельский" | более 20000 | 1,040 | 
| 33 | 391 | Уйский муниципальный район | Государственное бюджетное учреждение здравоохранения "Районная больница с. Уйское" | менее 20000 | 1,113 | 
| 34 | 403 | Усть-Катавский городской округ | Федеральное государственное бюджетное учреждение здравоохранения "Медико-санитарная часть N 162 Федерального медико-биологического агентства" | более 20000 | 1,040 | 
| 35 | 315 | Чебаркульский городской округ | Государственное бюджетное учреждение здравоохранения "Областная больница г. Сатка" | более 20000 | 1,040 | 
| (в ред. Дополнительного соглашения к Тарифному соглашению в сфере обязательного медицинского страхования Челябинской области от 30.03.2023 N 2/199-ОМС) | |||||
| 36 | 397 | Чесменский муниципальный район | Государственное бюджетное учреждение здравоохранения "Районная больница с. Чесма" | менее 20000 | 1,113 | 
| 37 | 222 | Южноуральский городской округ | Государственное бюджетное учреждение здравоохранения "Городская больница г. Южноуральск" | более 20000 | 1,040 | 
Коэффициенты дифференциации на
прикрепившихся к медицинской
организации лиц, применяемые к
медицинской организации (в том числе
подразделениям), с учетом наличия
подразделений, расположенных в сельской
местности, отдаленных территориях,
поселках городского типа и малых городах
с численностью населения до 50 тысяч
человек, и расходов на их содержание и
оплату труда персонала, в которой только
отдельные подразделения, а не
медицинская организация в целом,
соответствуют условиям применения КДот 
(в ред. Дополнительного соглашения к Тарифному соглашению в сфере обязательного медицинского страхования Челябинской области от 31.07.2023 N 5/199-ОМС)
Таблица 2
| N п/п | Код МО | Наименование территорий | Наименование медицинской организации | Наименование подразделения медицинской организации | Сведения о численности обслуживаемого населения, прикрепленного к медицинской организации/подразделению | Коэффициент дифференциации | 
| А | 1 | 2 | 3 | 4 | 5 | 6 | 
| 1 | 136 | Златоустовский городской округ | ГБУЗ "Городская больница г. Златоуст" | Кабинет общей врачебной практики п. Центральный | менее 20000 | 1,113 | 
| 
 | 
 | 
 | Итого по ГБУЗ "Городская больница г. Златоуст" | более 20000 | 1,002 | |
| 2 | 150 | Копейский городской округ | ГБУЗ "Городская больница N 3 г. Копейск" | Амбулатория с. Калачево | менее 20000 | 1,113 | 
| 
 | 
 | 
 | Итого по ГБУЗ "Городская больница N 3 г. Копейск" | более 20000 | 1,005 | |
| 3 | 186 | Миасский городской округ | ГБУЗ "Городская больница N 1 имени Г.К. Маврицкого г. Миасс" | Амбулатория с. Смородинка | менее 20000 | 1,113 | 
| 
 | 
 | 
 | 
 | Амбулатория п. Ленинск | менее 20000 | 1,113 | 
| 
 | 
 | 
 | Итого по ГБУЗ "Городская больница N 1 имени Г.К. Маврицкого г. Миасс" | более 20000 | 1,014 | |
| 4 | 187 | Миасский городской округ | ГАУЗ "Городская больница N 2 г. Миасс" | Амбулатория с. Сыростан | менее 20000 | 1,113 | 
| 
 | 
 | 
 | 
 | Офис врача общей практики с. Новоандреевка | менее 20000 | 1,113 | 
| 
 | 
 | 
 | Итого по ГАУЗ "Городская больница N 2 г. Миасс" | более 20000 | 1,002 | |
| 5 | 188 | Миасский городской округ | ГАУЗ "Городская больница N 3 г. Миасс" | Врачебная амбулатория п. Тургояк | менее 20000 | 1,113 | 
| 
 | 
 | 
 | Итого по ГАУЗ "Городская больница N 3 г. Миасс" | менее 20000 | 1,022 | |
| 6 | 453 | Озерский городской округ | ФГБУЗ "Клиническая больница N 71 Федерального медико-биологического агентства" | Городская больница N 2 п. Новогорный | менее 20000 | 1,113 | 
| 
 | 
 | 
 | 
 | Участковая больница п. Метлино | менее 20000 | 1,113 | 
| 
 | 
 | 
 | Итого по ФГБУЗ "Клиническая больница N 71 Федерального медико-биологического агентства" | более 20000 | 1,009 | |
| 7 | 295 | Троицкий городской округ | ГБУЗ "Областная больница г. Троицк" | Бобровская врачебная амбулатория | менее 20000 | 1,113 | 
| 
 | 
 | 
 | 
 | Родниковская врачебная амбулатория | менее 20000 | 1,113 | 
| 
 | 
 | 
 | 
 | Ключевская врачебная амбулатория | менее 20000 | 1,113 | 
| 
 | 
 | 
 | 
 | Кособродская врачебная амбулатория | менее 20000 | 1,113 | 
| 
 | 
 | 
 | 
 | Нижнесанарская врачебная амбулатория | менее 20000 | 1,113 | 
| 
 | 
 | 
 | 
 | Песчановская врачебная амбулатория | менее 20000 | 1,113 | 
| 
 | 
 | 
 | 
 | Ясно-Полянская врачебная амбулатория | менее 20000 | 1,113 | 
| 
 | 
 | 
 | ИТОГО по ГБУЗ "Областная больница г. Троицк" | более 20000 | 1,032 | |
Приложение N 6
к Тарифному соглашению
в сфере обязательного
медицинского страхования
Челябинской области
от 30 декабря 2022 г. N 199-ОМС 
Среднее количество УЕТ в одной
медицинской услуге, применяемое для
обоснования объема и стоимости
посещений при оказании первичной
медико-санитарной специализированной
стоматологической помощи в амбулаторных
условиях в рамках базовой программы ОМС 
Таблица 1
| N п/п | Код услуги | Наименование услуги | Число УЕТ | ||||
| 
 | 
 | 
 | взрослый прием | детский прием | |||
| А | 1 | 2 | 3 | 4 | |||
| 1 | A12.07.001 | Витальное окрашивание твердых тканей зуба | 0,35 | 0,35 | |||
| 2 | A12.07.003 | Определение индексов гигиены полости рта | 0,61 | 0,61 | |||
| 3 | A12.07.004 | Определение пародонтальных индексов | 0,76 | 0,76 | |||
| 4 | B01.003.004.002 | Проводниковая анестезия | 0,96 | 0,96 | |||
| 5 | B01.003.004.004 | Аппликационная анестезия | 0,31 | 0,31 | |||
| 6 | B01.003.004.005 | Инфильтрационная анестезия | 0,50 | 0,50 | |||
| 7 | A06.30.002 | Описание и интерпретация рентгенографических изображений | 0,93 | 0,93 | |||
| 8 | A06.07.010 | Радиовизиография челюстно-лицевой области | 0,75 | 0,75 | |||
| 9 | A06.07.003 | Прицельная внутриротовая контактная рентгенография | 0,75 | 0,75 | |||
| 10 | A11.07.026 | Взятие образца биологического материала из очагов поражения органов рта | 1,12 | 1,12 | |||
| 11 | A11.01.019 | Получение соскоба с эрозивно-язвенных элементов кожи и слизистых оболочек | 1,12 | 1,12 | |||
| 12 | A11.07.011 | Инъекционное введение лекарственных препаратов в челюстно-лицевую область | 1,10 | 1,10 | |||
| 13 | A25.07.001 | Назначение лекарственных препаратов при заболеваниях полости рта и зубов | 0,25 | 0,25 | |||
| 14 | A05.07.001 | Электроодонтометрия зуба | 0,42 | 0,42 | |||
| 15 | B01.064.003 | Прием (осмотр, консультация) врача-стоматолога детского первичный | 
 | 1,95 | |||
| 16 | B01.064.004 | Прием (осмотр, консультация) врача-стоматолога детского повторный | 
 | 1,37 | |||
| 17 | B04.064.001 | Диспансерный прием (осмотр, консультация) врача-стоматолога детского | 
 | 1,19 | |||
| 18 | B01.065.007 | Прием (осмотр, консультация) врача-стоматолога первичный | 1,68 | 1,95 | |||
| 19 | B01.065.008 | Прием (осмотр, консультация) врача-стоматолога повторный | 1,18 | 1,37 | |||
| 20 | B04.065.005 | Диспансерный прием (осмотр, консультация) врача-стоматолога | 1,25 | 1,19 | |||
| 21 | B01.065.001 | Прием (осмотр, консультация) врача - стоматолога-терапевта первичный | 1,68 | 
 | |||
| 22 | B01.065.002 | Прием (осмотр, консультация) врача - стоматолога-терапевта повторный | 1,18 | 
 | |||
| 23 | B04.065.001 | Диспансерный прием (осмотр, консультация) врача - стоматолога-терапевта | 1,25 | 
 | |||
| 24 | B01.065.003 | Прием (осмотр, консультация) зубного врача первичный | 1,68 | 1,95 | |||
| 25 | B01.065.004 | Прием (осмотр, консультация) зубного врача повторный | 1,18 | 1,37 | |||
| 26 | B04.065.003 | Диспансерный прием (осмотр, консультация) зубного врача | 1,25 | 1,19 | |||
| 27 | B01.065.005 | Прием (осмотр, консультация) гигиениста стоматологического первичный | 1,50 | 1,50 | |||
| 28 | B01.065.006 | Прием (осмотр, консультация) гигиениста стоматологического повторный | 0,90 | 0,90 | |||
| 29 | A03.07.001 | Люминесцентная стоматоскопия | 0,63 | 0,63 | |||
| 30 | A11.07.010 | Введение лекарственных препаратов в пародонтальный карман | 0,99 | 0,99 | |||
| 31 | A11.07.022 | Аппликация лекарственного препарата на слизистую оболочку полости рта | 0,45 | 0,45 | |||
| 32 | A16.07.051 | Профессиональная гигиена полости рта и зубов <1> | 2,00 | 2,00 | |||
| 33 | A16.07.082 | Сошлифовывание твердых тканей зуба | 0,25 | 0,25 | |||
| 34 | A11.07.023 | Применение метода серебрения зуба | 0,88 | 0,88 | |||
| 35 | A15.07.003 | Наложение лечебной повязки при заболеваниях слизистой оболочки полости рта и пародонта в области одной челюсти | 2,00 | 2,00 | |||
| 36 | A16.07.002.001 | Восстановление зуба пломбой I, II, III, V, VI класс по Блэку с использованием стоматологических цементов <2> | 1,53 | 1,53 | |||
| 37 | A16.07.002.002 | Восстановление зуба пломбой I, II, III, V, VI класс по Блэку с использованием материалов химического отверждения <2> | 1,95 | 1,95 | |||
| 38 | A16.07.002.003 | Восстановление зуба пломбой с нарушением контактного пункта II, III класс по Блэку с использованием стоматологических цементов <2> | 1,85 | 1,85 | |||
| 39 | A16.07.002.004 | Восстановление зуба пломбой с нарушением контактного пункта II, III класс по Блэку с использованием материалов химического отверждения <2> | 2,50 | 2,50 | |||
| 40 | A16.07.002.005 | Восстановление зуба пломбой IV класс по Блэку с использованием стеклоиномерных цементов <2> | 2,45 | 2,45 | |||
| 41 | A16.07.002.006 | Восстановление зуба пломбой IV класс по Блэку с использованием материалов химического отверждения <2> | 3,25 | 3,25 | |||
| 42 | A16.07.002.007 | Восстановление зуба пломбой из амальгамы I, V класс по Блэку <2> | 1,95 | 1,95 | |||
| 43 | A16.07.002.008 | Восстановление зуба пломбой из амальгамы II класс по Блэку <2> | 2,33 | 2,33 | |||
| 44 | A16.07.002.010 | Восстановление зуба пломбой I, V, VI класс по Блэку с использованием материалов из фотополимеров <2> | 3,35 | 3,35 | |||
| 45 | A16.07.002.011 | Восстановление зуба пломбой с нарушением контактного пункта II, III класс по Блэку с использованием материалов из фотополимеров <2> | 3,75 | 3,75 | |||
| 46 | A16.07.002.012 | Восстановление зуба пломбой IV класс по Блэку с использованием материалов из фотополимеров <2> | 4,00 | 4,00 | |||
| 47 | A16.07.002.009 | Наложение временной пломбы | 1,25 | 1,25 | |||
| 48 | A16.07.091 | Снятие временной пломбы | 0,25 | 0,25 | |||
| 49 | A16.07.092 | Трепанация зуба, искусственной коронки | 0,48 | 0,48 | |||
| 50 | A16.07.008.001 | Пломбирование корневого канала зуба пастой | 1,16 | 1,16 | |||
| 51 | A16.07.008.002 | Пломбирование корневого канала зуба гуттаперчивыми штифтами | 1,70 | 1,70 | |||
| 52 | A11.07.027 | Наложение девитализирующей пасты | 0,03 | 0,03 | |||
| 53 | A16.07.009 | Пульпотомия (ампутация коронковой пульпы) | 0,21 | 0,21 | |||
| 54 | A16.07.010 | Экстирпация пульпы | 0,46 | 0,46 | |||
| 55 | A16.07.019 | Временное шинирование при заболеваниях пародонта <3> | 1,98 | 1,98 | |||
| 56 | A16.07.020.001 | Удаление наддесневых и поддесневых зубных отложений в области зуба ручным методом <4> | 0,32 | 0,32 | |||
| 57 | A16.07.025.001 | Избирательное полирование зуба | 0,20 | 0,20 | |||
| 58 | A22.07.002 | Ультразвуковое удаление наддесневых и поддесневых зубных отложений в области зуба <4> | 0,20 | 0,20 | |||
| 59 | A16.07.030.001 | Инструментальная и медикаментозная обработка хорошо проходимого корневого канала | 0,92 | 0,92 | |||
| 60 | A16.07.030.002 | Инструментальная и медикаментозная обработка плохо проходимого корневого канала | 1,71 | 1,71 | |||
| 61 | A16.07.030.003 | Временное пломбирование лекарственным препаратом корневого канала | 0,50 | 0,50 | |||
| 62 | A16.07.039 | Закрытый кюретаж при заболеваниях пародонта в области зуба <4> | 0,31 | 0,31 | |||
| 63 | A16.07.082.001 | Распломбировка корневого канала, ранее леченного пастой | 2,00 | 2,00 | |||
| 64 | A16.07.082.002 | Распломбировка одного корневого канала ранее леченного фосфатцементом/резорцин-формальдегидным методом | 3,55 | 3,55 | |||
| 65 | B01.067.001 | Прием (осмотр, консультация) врача - стоматолога-хирурга первичный | 1,40 | 1,40 | |||
| 66 | B01.067.002 | Прием (осмотр, консультация) врача - стоматолога-хирурга повторный | 1,08 | 1,08 | |||
| 67 | A11.03.003 | Внутрикостное введение лекарственных препаратов | 0,82 | 0,82 | |||
| 68 | A15.03.007 | Наложение шины при переломах костей <5> | 6,87 | 6,87 | |||
| 69 | A15.03.011 | Снятие шины с одной челюсти | 1,43 | 1,43 | |||
| 70 | A15.04.002 | Наложение иммобилизационной повязки при вывихах (подвывихах) суставов | 2,55 | 2,55 | |||
| 71 | A15.07.001 | Наложение иммобилизационной повязки при вывихах (подвывихах) зубов | 2,96 | 2,96 | |||
| 72 | A11.07.001 | Биопсия слизистой полости рта | 1,15 | 1,15 | |||
| 73 | A11.07.002 | Биопсия языка | 1,15 | 1,15 | |||
| 74 | A11.07.005 | Биопсия слизистой преддверия полости рта | 1,15 | 1,15 | |||
| 75 | A11.07.007 | Биопсия тканей губы | 1,15 | 1,15 | |||
| 76 | A11.07.008 | Пункция кисты полости рта | 0,91 | 0,91 | |||
| 77 | A11.07.009 | Бужирование протоков слюнных желез | 3,01 | 3,01 | |||
| 78 | A11.07.013 | Пункция слюнной железы | 0,91 | 0,91 | |||
| 79 | A11.07.014 | Пункция тканей полости рта | 0,91 | 0,91 | |||
| 80 | A11.07.015 | Пункция языка | 0,91 | 0,91 | |||
| 81 | A11.07.016 | Биопсия слизистой ротоглотки | 1,15 | 1,15 | |||
| 82 | A11.07.018 | Пункция губы | 0,91 | 0,91 | |||
| 83 | A11.07.019 | Пункция патологического образования слизистой преддверия полости рта | 0,91 | 0,91 | |||
| 84 | A11.07.020 | Биопсия слюнной железы | 1,15 | 1,15 | |||
| 85 | A15.01.003 | Наложение повязки при операции в челюстно-лицевой области | 1,06 | 1,06 | |||
| 86 | A15.07.002 | Наложение повязки при операциях в полости рта | 1,06 | 1,06 | |||
| 87 | A16.01.004 | Хирургическая обработка раны или инфицированной ткани <6> | 1,30 | 1,30 | |||
| 88 | A16.01.008 | Сшивание кожи и подкожной клетчатки <7> | 0,84 | 0,84 | |||
| 89 | A16.07.097 | Наложение шва на слизистую оболочку рта | 0,84 | 0,84 | |||
| 90 | A16.01.012 | Вскрытие и дренирование флегмоны (абсцесса) | 2,00 | 2,00 | |||
| 91 | A16.01.016 | Удаление атеромы | 2,33 | 2,33 | |||
| 92 | A16.01.030 | Иссечение грануляции | 2,22 | 2,22 | |||
| 93 | A16.04.018 | Вправление вывиха сустава | 1,00 | 1,00 | |||
| 94 | A16.07.095.001 | Остановка луночного кровотечения без наложения швов методом тампонады | 1,25 | 1,25 | |||
| 95 | A16.07.095.002 | Остановка луночного кровотечения без наложения швов с использованием гемостатических материалов | 1,00 | 1,00 | |||
| 96 | A16.07.001.001 | Удаление временного зуба | 1,01 | 1,01 | |||
| 97 | A16.07.001.002 | Удаление постоянного зуба | 1,55 | 1,55 | |||
| 98 | A16.07.001.003 | Удаление зуба сложное с разъединением корней | 2,58 | 2,58 | |||
| 99 | A16.07.024 | Операция удаления ретинированного, дистопированного или сверхкомплектного зуба | 3,00 | 3,00 | |||
| 100 | A16.07.040 | Лоскутная операция в полости рта <8> | 2,70 | 2,70 | |||
| 101 | A16.07.007 | Резекция верхушки корня | 3,78 | 3,78 | |||
| 102 | A16.07.011 | Вскрытие подслизистого или поднадкостничного очага воспаления в полости рта | 1,00 | 1,00 | |||
| 103 | A16.07.012 | Вскрытие и дренирование одонтогенного абсцесса | 0,97 | 0,97 | |||
| 104 | A16.07.013 | Отсроченный кюретаж лунки удаленного зуба | 1,03 | 1,03 | |||
| 105 | A16.07.014 | Вскрытие и дренирование абсцесса полости рта | 2,14 | 2,14 | |||
| 106 | A16.07.015 | Вскрытие и дренирование очага воспаления мягких тканей лица или дна полости рта | 2,41 | 2,41 | |||
| 107 | A16.07.016 | Цистотомия или цистэктомия | 3,89 | 3,89 | |||
| 108 | A16.07.017.002 | Коррекция объема и формы альвеолярного отростка <9> | 1,22 | 1,22 | |||
| 109 | A16.07.026 | Гингивэктомия | 4,30 | 4,30 | |||
| 110 | A16.07.089 | Гингивопластика | 4,30 | 4,30 | |||
| 111 | A16.07.038 | Открытый кюретаж при заболеваниях пародонта в области зуба <4> | 1,00 | 1,00 | |||
| 112 | A16.07.042 | Пластика уздечки верхней губы | 2,10 | 2,10 | |||
| 113 | A16.07.043 | Пластика уздечки нижней губы | 2,10 | 2,10 | |||
| 114 | A16.07.044 | Пластика уздечки языка | 1,00 | 1,00 | |||
| 115 | A16.07.096 | Пластика перфорации верхнечелюстной пазухи | 4,00 | 4,00 | |||
| 116 | A16.07.008.003 | Закрытие перфорации стенки корневого канала зуба | 1,80 | 1,80 | |||
| 117 | A16.07.058 | Лечение перикоронита (промывание, рассечение и/или иссечение капюшона) | 1,04 | 1,04 | |||
| 118 | A16.07.059 | Гемисекция зуба | 2,60 | 2,60 | |||
| 119 | A11.07.025 | Промывание протока слюнной железы | 1,85 | 1,85 | |||
| 120 | A16.22.012 | Удаление камней из протоков слюнных желез | 3,00 | 3,00 | |||
| 121 | A16.30.064 | Иссечение свища мягких тканей | 2,25 | 2,25 | |||
| 122 | A16.30.069 | Снятие послеоперационных швов (лигатур) | 0,38 | 0,38 | |||
| 123 | B01.054.001 | Осмотр (консультация) врача-физиотерапевта | 1,50 | 1,50 | |||
| 124 | A17.07.001 | Электрофорез лекарственных препаратов при патологии полости рта и зубов | 1,50 | 1,50 | |||
| 125 | A17.07.003 | Диатермокоагуляция при патологии полости рта и зубов | 0,50 | 0,50 | |||
| 126 | A17.07.004 | Ионофорез при патологии полости рта и зубов | 1,01 | 1,01 | |||
| 127 | A17.07.006 | Депофорез корневого канала зуба | 1,50 | 1,50 | |||
| 128 | A17.07.007 | Дарсонвализация при патологии полости рта | 2,00 | 2,00 | |||
| 129 | A17.07.008 | Флюктуоризация при патологии полости рта и зубов | 1,67 | 1,67 | |||
| 130 | A17.07.009 | Воздействие электрическими полями при патологии полости рта и зубов | 1,00 | 1,00 | |||
| 131 | A17.07.010 | Воздействие токами надтональной частоты (ультратонотерапия) при патологии полости рта и зубов | 1,00 | 1,00 | |||
| 132 | A17.07.011 | Воздействие токами ультравысокой частоты при патологии полости рта и зубов | 1,25 | 1,25 | |||
| 133 | A17.07.012 | Ультравысокочастотная индуктотермия при патологии полости рта и зубов | 1,25 | 1,25 | |||
| 134 | A20.07.001 | Гидроорошение при заболевании полости рта и зубов | 1,50 | 1,50 | |||
| 135 | A21.07.001 | Вакуум-терапия в стоматологии | 0,68 | 0,68 | |||
| 136 | A22.07.005 | Ультрафиолетовое облучение ротоглотки | 1,25 | 1,25 | |||
| 137 | A22.07.007 | Ультрафонофорез лекарственных препаратов на область десен | 1,00 | 1,00 | |||
| Ортодонтия | |||||||
| 1 | B01.063.001 | Прием (осмотр, консультация) врача-ортодонта первичный | 
 | 4,21 | |||
| 2 | B01.063.002 | Прием (осмотр, консультация) врача-ортодонта повторный | 
 | 1,38 | |||
| 3 | B04.063.001 | Диспансерный прием (осмотр, консультация) врача-ортодонта | 
 | 1,69 | |||
| 4 | A02.07.004 | Антропометрические исследования | 
 | 1,10 | |||
| 5 | A23.07.002.027 | Изготовление контрольной модели | 
 | 2,50 | |||
| 6 | A02.07.010.001 | Снятие оттиска с одной челюсти | 
 | 1,40 | |||
| 7 | A02.07.010 | Исследование на диагностических моделях челюстей | 
 | 2,00 | |||
| 8 | A23.07.001.001 | Коррекция съемного ортодонического аппарата | 
 | 1,75 | |||
| 9 | A23.07.003 | Припасовка и наложение ортодонтического аппарата | 
 | 1,80 | |||
| 10 | A23.07.001.002 | Ремонт ортодонического аппарата | 
 | 1,55 | |||
| 11 | A23.07.002.037 | Починка перелома базиса самотвердеющей пластмассой | 
 | 1,75 | |||
| 12 | A23.07.002.045 | Изготовление дуги вестибулярной с дополнительными изгибами | 
 | 3,85 | |||
| 13 | A23.07.002.073 | Изготовление дуги вестибулярной | 
 | 2,70 | |||
| 14 | A23.07.002.051 | Изготовление кольца ортодонтического | 
 | 4,00 | |||
| 15 | A23.07.002.055 | Изготовление коронки ортодонтической | 
 | 4,00 | |||
| 16 | A23.07.002.058 | Изготовление пластинки вестибулярной | 
 | 2,70 | |||
| 17 | A23.07.002.059 | Изготовление пластинки с заслоном для языка (без кламмеров) | 
 | 2,50 | |||
| 18 | A23.07.002.060 | Изготовление пластинки с окклюзионными накладками | 
 | 18,00 | |||
| 19 | A16.07.053.002 | Распил ортодонтического аппарата через винт | 
 | 1,00 | |||
| Профилактические услуги | |||||||
| 1 | B04.064.002 | Профилактический прием (осмотр, консультация) врача-стоматолога детского | 
 | 1,57 | |||
| 2 | B04.065.006 | Профилактический прием (осмотр, консультация) врача-стоматолога | 1,30 | 1,57 | |||
| 3 | B04.065.002 | Профилактический прием (осмотр, консультация) врача - стоматолога-терапевта | 1,30 | 
 | |||
| 4 | B04.065.004 | Профилактический прием (осмотр, консультация) зубного врача | 1,30 | 1,30 | |||
| 5 | A11.07.012 | Глубокое фторирование эмали зуба | 0,30 | 0,30 | |||
| 6 | A11.07.024 | Местное применение реминерализующих препаратов в области зуба <4> | 0,70 | 0,70 | |||
| 7 | A13.30.007 | Обучение гигиене полости рта | 0,87 | 0,87 | |||
| 8 | A16.07.057 | Запечатывание фиссуры зуба герметиком | 1,00 | 1,00 | |||
     Примечания:
     <1> - одного квадранта 
     <2> - включая полирование пломбы 
     <3> - трех зубов 
     <4> - одного зуба 
     <5> - на одной челюсти 
     <6> - без наложения швов 
     <7> - один шов 
     <8> - в области двух - трех зубов 
     <9> - в области одного - двух
зубов.
Среднее количество УЕТ в одной
медицинской услуге, применяемое для
обоснования объема и стоимости
посещений при оказании первичной
медико-санитарной специализированной
стоматологической помощи в амбулаторных
условиях в дополнение к базовой
программе ОМС 
Таблица 2
| N п/п | Код услуги | Наименование услуги | Количество УЕТ | 
| 
 | 
 | 
 | взрослый прием | 
| А | 1 | 2 | 3 | 
| Раздел А | |||
| 1 | А02.07.006 | Определение прикуса | 0,40 | 
| 2 | А02.07.010.001 | Снятие оттиска с одной челюсти | 0,75 | 
| 3 | А06.30.002 | Описание и интерпретация рентгенографических изображений | 0,20 | 
| 4 | А16.07.053 | Снятие несъемной ортопедической конструкции | 0,75 | 
| 5 | А23.07.002.001 | Изготовление зуба литого металлического в несъемной конструкции протеза | 1,00 | 
| 6 | А23.07.002.004 | Изготовление зуба пластмассового простого | 1,00 | 
| 7 | А23.07.002.006 | Изготовление разборной модели | 0,50 | 
| 8 | А23.07.002.064 | Изготовление штифтовой конструкции | 4,00 | 
| 9 | А23.07.002.010 | Изготовление кламмера гнутого из стальной проволоки | 0,75 | 
| 10 | А23.07.002.011 | Изоляция торуса | 0,30 | 
| 11 | А23.07.002.012 | Изготовление армированной дуги литой | 3,00 | 
| 12 | А23.07.002.013 | Изготовление фасетки литой (металлической) | 3,00 | 
| 13 | А23.07.002.014 | Изготовление базиса бюгельного протеза с пластмассовыми зубами | 6,00 | 
| 14 | А23.07.002.015 | Изготовление бюгельного каркаса | 11,00 | 
| 15 | А23.07.002.016 | Изготовление огнеупорной модели | 2,00 | 
| 16 | А23.07.002.017 | Изготовление литого базиса | 10,00 | 
| 17 | А23.07.002.018 | Изготовление кламмера Роуча | 1,50 | 
| 18 | А23.07.002.019 | Изготовление литого опорно-удерживающего кламмера | 1,00 | 
| 19 | А23.07.002.021 | Изготовление ограничителя базиса бюгельного протеза | 0,50 | 
| 20 | А23.07.002.022 | Изготовление седла бюгельного протеза | 2,00 | 
| 21 | А23.07.002.023 | Изготовление ответвления в бюгеле (компайдер) | 0,50 | 
| 22 | А23.07.002.024 | Изготовление фасетки в бюгельном протезе | 1,50 | 
| 23 | А23.07.002.025 | Изготовление зуба литого в бюгельном протезе | 1,00 | 
| 24 | А23.07.002.026 | Изготовление лапки шинирующей в бюгельном протезе | 0,33 | 
| 25 | А23.07.002.028 | Изготовление коронки цельнолитой | 4,00 | 
| 26 | А23.07.002.030 | Изготовление коронки пластмассовой | 1,50 | 
| 27 | А23.07.002.033 | Изготовление частичного съемного протеза | 9,00 | 
| 28 | А23.07.002.039 | Изготовление эластической прокладки (лабораторный метод) | 1,50 | 
| 29 | А23.07.002.040 | Изготовление полного съемного пластинчатого протеза | 12,00 | 
| 30 | А23.07.002.048 | Изготовление зуба металлоакрилового | 4,00 | 
| 31 | А23.07.002.053 | Изготовление коронки бюгельной | 1,00 | 
| Раздел Б | |||
| 1 | В01.003.004.005 | Инфильтрационная анестезия | 0,50 | 
| 2 | В01.065.003 | Прием (осмотр, консультация) зубного врача первичный | 0,50 | 
| 3 | В01.065.004 | Прием (осмотр, консультация) зубного врача повторный | 0,25 | 
| 4 | В01.066.001 | Прием (осмотр, консультация) врача - стоматолога-ортопеда первичный | 0,50 | 
| 5 | В01.066.002 | Прием (осмотр, консультация) врача - стоматолога-ортопеда повторный | 0,25 | 
Приложение N 7/1
к Тарифному соглашению
в сфере обязательного
медицинского страхования
Челябинской области
от 30 декабря 2022 г. N 199-ОМС 
Перечень КСГ, к которым применяется/не
применяется коэффициент
уровня/подуровня оказания медицинской
помощи, размер коэффициентов
относительной затратоемкости,
коэффициентов специфики, используемых
при оплате медицинской помощи, оказанной
в стационарных условиях 
(в
ред. Дополнительного соглашения к
Тарифному соглашению в сфере
обязательного медицинского страхования
Челябинской области от 31.07.2023 N 5/199-ОМС)
| N п/п | N КСГ | Код КСГ | Наименование КСГ | Значение КЗкс | Значение КСкс | применяется (v), не применяется (-) коэффициент уровня/подуровня оказания медицинской помощи к КСГ для медицинских организаций Челябинской области | |||||||
| А | 1 | 2 | 3 | 4 | 5 | 6 | |||||||
| 1 | 1 | st01.001 | Беременность без патологии, дородовая госпитализация в отделение сестринского ухода | 0,50 | 1,0 | - | |||||||
| 2 | 2 | st02.001 | Осложнения, связанные с беременностью | 0,93 | 1,0 | v | |||||||
| 3 | 3 | st02.002 | Беременность, закончившаяся абортивным исходом | 0,28 | 1,0 | - | |||||||
| 4 | 4 | st02.003 | Родоразрешение | 0,98 | 1,0 | v | |||||||
| 5 | 5 | st02.004 | Кесарево сечение | 1,01 | 1,0 | v | |||||||
| 6 | 6 | st02.005 | Осложнения послеродового периода | 0,74 | 1,0 | v | |||||||
| 7 | 7 | st02.006 | Послеродовой сепсис | 3,21 | 1,0 | - | |||||||
| 8 | 8 | st02.007 | Воспалительные болезни женских половых органов | 0,71 | 1,0 | v | |||||||
| 9 | 9 | st02.008 | Доброкачественные новообразования, новообразования in situ, неопределенного и неизвестного характера женских половых органов | 0,89 | 1,0 | v | |||||||
| 10 | 10 | st02.009 | Другие болезни, врожденные аномалии, повреждения женских половых органов | 0,46 | 1,0 | v | |||||||
| 11 | 11 | st02.010 | Операции на женских половых органах (уровень 1) | 0,39 | 1,0 | v | |||||||
| 12 | 12 | st02.011 | Операции на женских половых органах (уровень 2) | 0,58 | 1,0 | v | |||||||
| 13 | 13 | st02.012 | Операции на женских половых органах (уровень 3) | 1,17 | 1,0 | - | |||||||
| 14 | 14 | st02.013 | Операции на женских половых органах (уровень 4) | 2,20 | 1,0 | v | |||||||
| 15 | 15 | st02.014 | Слинговые операции при недержании мочи | 3,85 | 1,0 | v | |||||||
| 16 | 16 | st03.001 | Нарушения с вовлечением иммунного механизма | 4,52 | 1,0 | v | |||||||
| 17 | 17 | st03.002 | Ангионевротический отек, анафилактический шок | 0,27 | 1,0 | - | |||||||
| 18 | 18 | st04.001 | Язва желудка и двенадцатиперстной кишки | 0,89 | 1,0 | - | |||||||
| 19 | 19 | st04.002 | Воспалительные заболевания кишечника | 2,01 | 1,0 | v | |||||||
| 20 | 20 | st04.003 | Болезни печени, невирусные (уровень 1) | 0,86 | 1,0 | v | |||||||
| 21 | 21 | st04.004 | Болезни печени, невирусные (уровень 2) | 1,21 | 1,0 | v | |||||||
| 22 | 22 | st04.005 | Болезни поджелудочной железы | 0,87 | 1,0 | v | |||||||
| 23 | 23 | st04.006 | Панкреатит с синдромом органной дисфункции | 4,19 | 1,0 | v | |||||||
| 24 | 24 | st05.001 | Анемии (уровень 1) | 0,94 | 1,0 | v | |||||||
| 25 | 25 | st05.002 | Анемии (уровень 2) | 5,32 | 1,0 | v | |||||||
| 26 | 26 | st05.003 | Нарушения свертываемости крови | 4,50 | 1,0 | v | |||||||
| 27 | 27 | st05.004 | Другие болезни крови и кроветворных органов (уровень 1) | 1,09 | 1,0 | v | |||||||
| 28 | 28 | st05.005 | Другие болезни крови и кроветворных органов (уровень 2) | 4,51 | 1,0 | v | |||||||
| 29 | 29 | st05.008 | Лекарственная терапия при доброкачественных заболеваниях крови и пузырном заносе | 2,05 | 1,0 | v | |||||||
| 30 | 30 | st06.004 | Лечение дерматозов с применением наружной терапии | 0,32 | 1,0 | v | |||||||
| 31 | 31 | st06.005 | Лечение дерматозов с применением наружной терапии, физиотерапии, плазмафереза | 1,39 | 1,0 | v | |||||||
| 32 | 32 | st06.006 | Лечение дерматозов с применением наружной и системной терапии | 2,10 | 1,0 | v | |||||||
| 33 | 33 | st06.007 | Лечение дерматозов с применением наружной терапии и фототерапии | 2,86 | 1,0 | v | |||||||
| 34 | 34 | st07.001 | Врожденные аномалии сердечно-сосудистой системы, дети | 1,84 | 1,0 | v | |||||||
| 35 | 35 | st08.001 | Лекарственная терапия при злокачественных новообразованиях других локализаций (кроме лимфоидной и кроветворной тканей), дети | 4,37 | 1,0 | v | |||||||
| 36 | 36 | st08.002 | Лекарственная терапия при остром лейкозе, дети | 7,82 | 1,0 | v | |||||||
| 37 | 37 | st08.003 | Лекарственная терапия при других злокачественных новообразованиях лимфоидной и кроветворной тканей, дети | 5,68 | 1,0 | v | |||||||
| 38 | 38 | st09.001 | Операции на мужских половых органах, дети (уровень 1) | 0,97 | 1,0 | v | |||||||
| 39 | 39 | st09.002 | Операции на мужских половых органах, дети (уровень 2) | 1,11 | 1,0 | v | |||||||
| 40 | 40 | st09.003 | Операции на мужских половых органах, дети (уровень 3) | 1,97 | 1,0 | - | |||||||
| 41 | 41 | st09.004 | Операции на мужских половых органах, дети (уровень 4) | 2,78 | 1,0 | - | |||||||
| 42 | 42 | st09.005 | Операции на почке и мочевыделительной системе, дети (уровень 1) | 1,15 | 1,0 | v | |||||||
| 43 | 43 | st09.006 | Операции на почке и мочевыделительной системе, дети (уровень 2) | 1,22 | 1,0 | v | |||||||
| 44 | 44 | st09.007 | Операции на почке и мочевыделительной системе, дети (уровень 3) | 1,78 | 1,0 | v | |||||||
| 45 | 45 | st09.008 | Операции на почке и мочевыделительной системе, дети (уровень 4) | 2,23 | 1,0 | - | |||||||
| 46 | 46 | st09.009 | Операции на почке и мочевыделительной системе, дети (уровень 5) | 2,36 | 1,0 | - | |||||||
| 47 | 47 | st09.010 | Операции на почке и мочевыделительной системе, дети (уровень 6) | 4,28 | 1,0 | - | |||||||
| 48 | 48 | st10.001 | Детская хирургия (уровень 1) | 2,95 | 1,0 | v | |||||||
| 49 | 49 | st10.002 | Детская хирургия (уровень 2) | 5,33 | 1,0 | v | |||||||
| 50 | 50 | st10.003 | Аппендэктомия, дети (уровень 1) | 0,77 | 1,0 | - | |||||||
| 51 | 51 | st10.004 | Аппендэктомия, дети (уровень 2) | 0,97 | 1,0 | v | |||||||
| 52 | 52 | st10.005 | Операции по поводу грыж, дети (уровень 1) | 0,88 | 1,0 | - | |||||||
| 53 | 53 | st10.006 | Операции по поводу грыж, дети (уровень 2) | 1,05 | 1,0 | v | |||||||
| 54 | 54 | st10.007 | Операции по поводу грыж, дети (уровень 3) | 1,25 | 1,0 | v | |||||||
| 55 | 55 | st11.001 | Сахарный диабет, дети | 1,51 | 1,0 | v | |||||||
| 56 | 56 | st11.002 | Заболевания гипофиза, дети | 2,26 | 1,0 | v | |||||||
| 57 | 57 | st11.003 | Другие болезни эндокринной системы, дети (уровень 1) | 1,38 | 1,0 | v | |||||||
| 58 | 58 | st11.004 | Другие болезни эндокринной системы, дети (уровень 2) | 2,82 | 1,0 | v | |||||||
| 59 | 59 | st12.001 | Кишечные инфекции, взрослые | 0,58 | 1,2 | v | |||||||
| (в ред. Дополнительного соглашения к Тарифному соглашению в сфере обязательного медицинского страхования Челябинской области от 31.07.2023 N 5/199-ОМС) | |||||||||||||
| 60 | 60 | st12.002 | Кишечные инфекции, дети | 0,62 | 1,2 | v | |||||||
| (в ред. Дополнительного соглашения к Тарифному соглашению в сфере обязательного медицинского страхования Челябинской области от 31.07.2023 N 5/199-ОМС) | |||||||||||||
| 61 | 61 | st12.003 | Вирусный гепатит острый | 1,40 | 1,2 | v | |||||||
| (в ред. Дополнительного соглашения к Тарифному соглашению в сфере обязательного медицинского страхования Челябинской области от 31.07.2023 N 5/199-ОМС) | |||||||||||||
| 62 | 62 | st12.004 | Вирусный гепатит хронический | 1,27 | 1,2 | v | |||||||
| (в ред. Дополнительного соглашения к Тарифному соглашению в сфере обязательного медицинского страхования Челябинской области от 31.07.2023 N 5/199-ОМС) | |||||||||||||
| 63 | 63 | st12.005 | Сепсис, взрослые | 3,12 | 1,2 | v | |||||||
| (в ред. Дополнительного соглашения к Тарифному соглашению в сфере обязательного медицинского страхования Челябинской области от 31.07.2023 N 5/199-ОМС) | |||||||||||||
| 64 | 64 | st12.006 | Сепсис, дети | 4,51 | 1,2 | v | |||||||
| (в ред. Дополнительного соглашения к Тарифному соглашению в сфере обязательного медицинского страхования Челябинской области от 31.07.2023 N 5/199-ОМС) | |||||||||||||
| 65 | 65 | st12.007 | Сепсис с синдромом органной дисфункции | 7,20 | 1,2 | v | |||||||
| (в ред. Дополнительного соглашения к Тарифному соглашению в сфере обязательного медицинского страхования Челябинской области от 31.07.2023 N 5/199-ОМС) | |||||||||||||
| 66 | 66 | st12.008 | Другие инфекционные и паразитарные болезни, взрослые | 1,18 | 1,2 | v | |||||||
| (в ред. Дополнительного соглашения к Тарифному соглашению в сфере обязательного медицинского страхования Челябинской области от 31.07.2023 N 5/199-ОМС) | |||||||||||||
| 67 | 67 | st12.009 | Другие инфекционные и паразитарные болезни, дети | 0,98 | 1,2 | v | |||||||
| (в ред. Дополнительного соглашения к Тарифному соглашению в сфере обязательного медицинского страхования Челябинской области от 31.07.2023 N 5/199-ОМС) | |||||||||||||
| 68 | 68 | st12.010 | Респираторные инфекции верхних дыхательных путей с осложнениями, взрослые | 0,35 | 1,2 | v | |||||||
| (в ред. Дополнительного соглашения к Тарифному соглашению в сфере обязательного медицинского страхования Челябинской области от 31.07.2023 N 5/199-ОМС) | |||||||||||||
| 69 | 69 | st12.011 | Респираторные инфекции верхних дыхательных путей, дети | 0,50 | 1,2 | v | |||||||
| (в ред. Дополнительного соглашения к Тарифному соглашению в сфере обязательного медицинского страхования Челябинской области от 31.07.2023 N 5/199-ОМС) | |||||||||||||
| 70 | 70 | st12.012 | Грипп, вирус гриппа идентифицирован | 1,00 | 1,2 | v | |||||||
| (в ред. Дополнительного соглашения к Тарифному соглашению в сфере обязательного медицинского страхования Челябинской области от 31.07.2023 N 5/199-ОМС) | |||||||||||||
| 71 | 71 | st12.013 | Грипп и пневмония с синдромом органной дисфункции | 4,40 | 1,2 | v | |||||||
| (в ред. Дополнительного соглашения к Тарифному соглашению в сфере обязательного медицинского страхования Челябинской области от 31.07.2023 N 5/199-ОМС) | |||||||||||||
| 72 | 72 | st12.014 | Клещевой энцефалит | 2,30 | 1,2 | v | |||||||
| (в ред. Дополнительного соглашения к Тарифному соглашению в сфере обязательного медицинского страхования Челябинской области от 31.07.2023 N 5/199-ОМС) | |||||||||||||
| 73 | 73 | st12.015 | Коронавирусная инфекция COVID-19 (уровень 1) | 1,89 | 1,0 | v | |||||||
| (в ред. Дополнительного соглашения к Тарифному соглашению в сфере обязательного медицинского страхования Челябинской области от 31.07.2023 N 5/199-ОМС) | |||||||||||||
| 74 | 74.1 | st12.016.1 | Коронавирусная инфекция COVID-19 (уровень 2.1) | 2,28 | 1,0 | v | |||||||
| (в ред. Дополнительного соглашения к Тарифному соглашению в сфере обязательного медицинского страхования Челябинской области от 31.07.2023 N 5/199-ОМС) | |||||||||||||
| 75 | 74.2 | st12.016.2 | Коронавирусная инфекция COVID-19 (уровень 2.2) | 4,65 | 1,0 | v | |||||||
| (в ред. Дополнительного соглашения к Тарифному соглашению в сфере обязательного медицинского страхования Челябинской области от 31.07.2023 N 5/199-ОМС) | |||||||||||||
| 76 | 75 | st12.017 | Коронавирусная инфекция COVID-19 (уровень 3) | 6,17 | 1,0 | v | |||||||
| (в ред. Дополнительного соглашения к Тарифному соглашению в сфере обязательного медицинского страхования Челябинской области от 31.07.2023 N 5/199-ОМС) | |||||||||||||
| 77 | 76 | st12.018 | Коронавирусная инфекция COVID-19 (уровень 4) | 12,07 | 1,0 | v | |||||||
| (в ред. Дополнительного соглашения к Тарифному соглашению в сфере обязательного медицинского страхования Челябинской области от 31.07.2023 N 5/199-ОМС) | |||||||||||||
| 78 | 77 | st12.019 | Коронавирусная инфекция COVID-19 (долечивание) | 2,07 | 1,0 | v | |||||||
| (в ред. Дополнительного соглашения к Тарифному соглашению в сфере обязательного медицинского страхования Челябинской области от 31.07.2023 N 5/199-ОМС) | |||||||||||||
| 79 | 78 | st13.001 | Нестабильная стенокардия, инфаркт миокарда, легочная эмболия (уровень 1) | 1,42 | 1,0 | v | |||||||
| 80 | 79 | st13.002 | Нестабильная стенокардия, инфаркт миокарда, легочная эмболия (уровень 2) | 2,81 | 1,0 | v | |||||||
| 81 | 80 | st13.004 | Нарушения ритма и проводимости (уровень 1) | 1,12 | 1,0 | v | |||||||
| 82 | 81 | st13.005 | Нарушения ритма и проводимости (уровень 2) | 2,01 | 1,0 | v | |||||||
| 83 | 82 | st13.006 | Эндокардит, миокардит, перикардит, кардиомиопатии (уровень 1) | 1,42 | 1,0 | v | |||||||
| 84 | 83 | st13.007 | Эндокардит, миокардит, перикардит, кардиомиопатии (уровень 2) | 2,38 | 1,0 | v | |||||||
| 85 | 84 | st13.008 | Инфаркт миокарда, легочная эмболия, лечение с применением тромболитической терапии (уровень 1) | 1,61 | 1,0 | v | |||||||
| 86 | 85 | st13.009 | Инфаркт миокарда, легочная эмболия, лечение с применением тромболитической терапии (уровень 2) | 2,99 | 1,0 | v | |||||||
| 87 | 86 | st13.010 | Инфаркт миокарда, легочная эмболия, лечение с применением тромболитической терапии (уровень 3) | 3,54 | 1,0 | v | |||||||
| 88 | 87 | st14.001 | Операции на кишечнике и анальной области (уровень 1) | 0,84 | 1,0 | - | |||||||
| 89 | 88 | st14.002 | Операции на кишечнике и анальной области (уровень 2) | 1,74 | 1,0 | v | |||||||
| 90 | 89 | st14.003 | Операции на кишечнике и анальной области (уровень 3) | 2,49 | 1,0 | v | |||||||
| 91 | 90 | st15.001 | Воспалительные заболевания ЦНС, взрослые | 0,98 | 1,0 | v | |||||||
| 92 | 91 | st15.002 | Воспалительные заболевания ЦНС, дети | 1,55 | 1,0 | v | |||||||
| 93 | 92 | st15.003 | Дегенеративные болезни нервной системы | 0,84 | 1,0 | v | |||||||
| 94 | 93 | st15.004 | Демиелинизирующие болезни нервной системы | 1,33 | 1,0 | v | |||||||
| 95 | 94 | st15.005 | Эпилепсия, судороги (уровень 1) | 0,96 | 1,0 | - | |||||||
| 96 | 95 | st15.007 | Расстройства периферической нервной системы | 1,02 | 1,0 | v | |||||||
| 97 | 96 | st15.008 | Неврологические заболевания, лечение с применением ботулотоксина (уровень 1) | 1,43 | 1,0 | - | |||||||
| 98 | 97 | st15.009 | Неврологические заболевания, лечение с применением ботулотоксина (уровень 2) | 2,11 | 1,0 | - | |||||||
| 99 | 98 | st15.010 | Другие нарушения нервной системы (уровень 1) | 0,74 | 1,0 | v | |||||||
| 100 | 99 | st15.011 | Другие нарушения нервной системы (уровень 2) | 0,99 | 1,0 | v | |||||||
| 101 | 100 | st15.012 | Транзиторные ишемические приступы, сосудистые мозговые синдромы | 1,15 | 1,0 | v | |||||||
| 102 | 101 | st15.013 | Кровоизлияние в мозг | 2,82 | 1,0 | v | |||||||
| 103 | 102 | st15.014 | Инфаркт мозга (уровень 1) | 2,52 | 1,0 | v | |||||||
| 104 | 103 | st15.015 | Инфаркт мозга (уровень 2) | 3,12 | 1,0 | v | |||||||
| 105 | 104 | st15.016 | Инфаркт мозга (уровень 3) | 4,51 | 1,0 | v | |||||||
| 106 | 105 | st15.017 | Другие цереброваскулярные болезни | 0,82 | 1,0 | v | |||||||
| 107 | 106 | st15.018 | Эпилепсия, судороги (уровень 2) | 2,30 | 1,0 | v | |||||||
| 108 | 107 | st15.019 | Эпилепсия (уровень 3) | 3,16 | 1,0 | v | |||||||
| 109 | 108 | st15.020 | Эпилепсия (уровень 4) | 4,84 | 1,0 | v | |||||||
| 110 | 109 | st16.001 | Паралитические синдромы, травма спинного мозга (уровень 1) | 0,98 | 1,0 | v | |||||||
| 111 | 110 | st16.002 | Паралитические синдромы, травма спинного мозга (уровень 2) | 1,49 | 1,0 | v | |||||||
| 112 | 111 | st16.003 | Дорсопатии, спондилопатии, остеопатии | 0,68 | 1,0 | - | |||||||
| 113 | 112 | st16.004 | Травмы позвоночника | 1,01 | 1,0 | v | |||||||
| 114 | 113 | st16.005 | Сотрясение головного мозга | 0,40 | 1,0 | - | |||||||
| 115 | 114 | st16.006 | Переломы черепа, внутричерепная травма | 1,54 | 1,0 | v | |||||||
| 116 | 115 | st16.007 | Операции на центральной нервной системе и головном мозге (уровень 1) | 4,13 | 1,0 | v | |||||||
| 117 | 116 | st16.008 | Операции на центральной нервной системе и головном мозге (уровень 2) | 5,82 | 1,0 | v | |||||||
| 118 | 117 | st16.009 | Операции на периферической нервной системе (уровень 1) | 1,41 | 1,0 | v | |||||||
| 119 | 118 | st16.010 | Операции на периферической нервной системе (уровень 2) | 2,19 | 1,0 | - | |||||||
| 120 | 119 | st16.011 | Операции на периферической нервной системе (уровень 3) | 2,42 | 1,0 | - | |||||||
| 121 | 120 | st16.012 | Доброкачественные новообразования нервной системы | 1,02 | 1,0 | v | |||||||
| 122 | 121 | st17.001 | Малая масса тела при рождении, недоношенность | 4,21 | 1,0 | v | |||||||
| 123 | 122 | st17.002 | Крайне малая масса тела при рождении, крайняя незрелость | 15,63 | 1,0 | v | |||||||
| 124 | 123 | st17.003 | Лечение новорожденных с тяжелой патологией с применением аппаратных методов поддержки или замещения витальных функций | 7,40 | 1,0 | v | |||||||
| 125 | 124 | st17.004 | Геморрагические и гемолитические нарушения у новорожденных | 1,92 | 1,0 | v | |||||||
| 126 | 125 | st17.005 | Другие нарушения, возникшие в перинатальном периоде (уровень 1) | 1,39 | 1,0 | v | |||||||
| 127 | 126 | st17.006 | Другие нарушения, возникшие в перинатальном периоде (уровень 2) | 1,89 | 1,0 | v | |||||||
| 128 | 127 | st17.007 | Другие нарушения, возникшие в перинатальном периоде (уровень 3) | 2,56 | 1,0 | v | |||||||
| 129 | 128 | st18.001 | Почечная недостаточность | 1,66 | 1,0 | v | |||||||
| 130 | 129 | st18.002 | Формирование, имплантация, реконструкция, удаление, смена доступа для диализа | 1,82 | 1,0 | v | |||||||
| 131 | 130 | st18.003 | Гломерулярные болезни | 1,71 | 1,0 | v | |||||||
| 132 | 131 | st19.001 | Операции на женских половых органах при злокачественных новообразованиях (уровень 1) | 2,41 | 1,0 | v | |||||||
| 133 | 132 | st19.002 | Операции на женских половых органах при злокачественных новообразованиях (уровень 2) | 4,02 | 1,0 | v | |||||||
| 134 | 133 | st19.003 | Операции на женских половых органах при злокачественных новообразованиях (уровень 3) | 4,89 | 1,0 | v | |||||||
| 135 | 134 | st19.004 | Операции на кишечнике и анальной области при злокачественных новообразованиях (уровень 1) | 3,05 | 1,0 | v | |||||||
| 136 | 135 | st19.005 | Операции на кишечнике и анальной области при злокачественных новообразованиях (уровень 2) | 5,31 | 1,0 | v | |||||||
| 137 | 136 | st19.006 | Операции при злокачественных новообразованиях почки и мочевыделительной системы (уровень 1) | 1,66 | 1,0 | v | |||||||
| 138 | 137 | st19.007 | Операции при злокачественных новообразованиях почки и мочевыделительной системы (уровень 2) | 2,77 | 1,0 | v | |||||||
| 139 | 138 | st19.008 | Операции при злокачественных новообразованиях почки и мочевыделительной системы (уровень 3) | 4,32 | 1,0 | v | |||||||
| 140 | 139 | st19.009 | Операции при злокачественных новообразованиях кожи (уровень 1) | 1,29 | 1,0 | v | |||||||
| 141 | 140 | st19.010 | Операции при злокачественных новообразованиях кожи (уровень 2) | 1,55 | 1,0 | v | |||||||
| 142 | 141 | st19.011 | Операции при злокачественных новообразованиях кожи (уровень 3) | 2,66 | 1,0 | v | |||||||
| 143 | 142 | st19.012 | Операции при злокачественном новообразовании щитовидной железы (уровень 1) | 2,29 | 1,0 | v | |||||||
| 144 | 143 | st19.013 | Операции при злокачественном новообразовании щитовидной железы (уровень 2) | 2,49 | 1,0 | v | |||||||
| 145 | 144 | st19.014 | Мастэктомия, другие операции при злокачественном новообразовании молочной железы (уровень 1) | 2,79 | 1,0 | v | |||||||
| 146 | 145 | st19.015 | Мастэктомия, другие операции при злокачественном новообразовании молочной железы (уровень 2) | 3,95 | 1,0 | v | |||||||
| 147 | 146 | st19.016 | Операции при злокачественном новообразовании желчного пузыря, желчных протоков и поджелудочной железы (уровень 1) | 2,38 | 1,0 | v | |||||||
| 148 | 147 | st19.017 | Операции при злокачественном новообразовании желчного пузыря, желчных протоков и поджелудочной железы (уровень 2) | 4,44 | 1,0 | v | |||||||
| 149 | 148 | st19.018 | Операции при злокачественном новообразовании пищевода, желудка (уровень 1) | 2,17 | 1,0 | v | |||||||
| 150 | 149 | st19.019 | Операции при злокачественном новообразовании пищевода, желудка (уровень 2) | 3,43 | 1,0 | v | |||||||
| 151 | 150 | st19.020 | Операции при злокачественном новообразовании пищевода, желудка (уровень 3) | 4,27 | 1,0 | v | |||||||
| 152 | 151 | st19.021 | Другие операции при злокачественном новообразовании брюшной полости | 3,66 | 1,0 | v | |||||||
| 153 | 152 | st19.022 | Операции на органе слуха, придаточных пазухах носа и верхних дыхательных путях при злокачественных новообразованиях | 2,81 | 1,0 | v | |||||||
| 154 | 153 | st19.023 | Операции на нижних дыхательных путях и легочной ткани при злокачественных новообразованиях (уровень 1) | 3,42 | 1,0 | v | |||||||
| 155 | 154 | st19.024 | Операции на нижних дыхательных путях и легочной ткани при злокачественных новообразованиях (уровень 2) | 5,31 | 1,0 | v | |||||||
| 156 | 155 | st19.025 | Операции при злокачественных новообразованиях мужских половых органов (уровень 1) | 2,86 | 1,0 | v | |||||||
| 157 | 156 | st19.026 | Операции при злокачественных новообразованиях мужских половых органов (уровень 2) | 4,31 | 1,0 | v | |||||||
| 158 | 157 | st19.123 | Прочие операции при ЗНО (уровень 1) | 1,11 | 1,0 | v | |||||||
| 159 | 158 | st19.124 | Прочие операции при ЗНО (уровень 2) | 2,90 | 1,0 | v | |||||||
| 160 | 159 | st19.037 | Фебрильная нейтропения, агранулоцитоз вследствие проведения лекарственной терапии злокачественных новообразований | 2,93 | 1,0 | v | |||||||
| 161 | 160 | st19.038 | Установка, замена порт-системы (катетера) для лекарственной терапии злокачественных новообразований | 1,24 | 1,0 | v | |||||||
| 162 | 161 | st19.075 | Лучевая терапия (уровень 1) | 0,79 | 1,0 | v | |||||||
| 163 | 162 | st19.076 | Лучевая терапия (уровень 2) | 1,14 | 1,0 | v | |||||||
| 164 | 163 | st19.077 | Лучевая терапия (уровень 3) | 2,46 | 1,0 | v | |||||||
| 165 | 164 | st19.078 | Лучевая терапия (уровень 4) | 2,51 | 1,0 | v | |||||||
| 166 | 165 | st19.079 | Лучевая терапия (уровень 5) | 2,82 | 1,0 | v | |||||||
| 167 | 166 | st19.080 | Лучевая терапия (уровень 6) | 4,51 | 1,0 | v | |||||||
| 168 | 167 | st19.081 | Лучевая терапия (уровень 7) | 4,87 | 1,0 | v | |||||||
| 169 | 168 | st19.082 | Лучевая терапия (уровень 8) | 14,55 | 1,0 | v | |||||||
| 170 | 169 | st19.084 | Лучевая терапия в сочетании с лекарственной терапией (уровень 2) | 3,78 | 1,0 | v | |||||||
| 171 | 170 | st19.085 | Лучевая терапия в сочетании с лекарственной терапией (уровень 3) | 4,37 | 1,0 | v | |||||||
| 172 | 171 | st19.086 | Лучевая терапия в сочетании с лекарственной терапией (уровень 4) | 5,85 | 1,0 | v | |||||||
| 173 | 172 | st19.087 | Лучевая терапия в сочетании с лекарственной терапией (уровень 5) | 6,57 | 1,0 | v | |||||||
| 174 | 173 | st19.088 | Лучевая терапия в сочетании с лекарственной терапией (уровень 6) | 9,49 | 1,0 | v | |||||||
| 175 | 174 | st19.089 | Лучевая терапия в сочетании с лекарственной терапией (уровень 7) | 16,32 | 1,0 | v | |||||||
| 176 | 175 | st19.090 | ЗНО лимфоидной и кроветворной тканей без специального противоопухолевого лечения (уровень 1) | 0,42 | 1,0 | v | |||||||
| 177 | 176 | st19.091 | ЗНО лимфоидной и кроветворной тканей без специального противоопухолевого лечения (уровень 2) | 1,60 | 1,0 | v | |||||||
| 178 | 177 | st19.092 | ЗНО лимфоидной и кроветворной тканей без специального противоопухолевого лечения (уровень 3) | 3,36 | 1,0 | v | |||||||
| 179 | 178 | st19.093 | ЗНО лимфоидной и кроветворной тканей без специального противоопухолевого лечения (уровень 4) | 6,00 | 1,0 | v | |||||||
| 180 | 179 | st19.094 | ЗНО лимфоидной и кроветворной тканей, лекарственная терапия, взрослые (уровень 1) | 1,64 | 1,0 | v | |||||||
| 181 | 180 | st19.095 | ЗНО лимфоидной и кроветворной тканей, лекарственная терапия, взрослые (уровень 2) | 4,10 | 1,0 | v | |||||||
| 182 | 181 | st19.096 | ЗНО лимфоидной и кроветворной тканей, лекарственная терапия, взрослые (уровень 3) | 7,78 | 1,0 | v | |||||||
| 183 | 182 | st19.097 | ЗНО лимфоидной и кроветворной тканей, лекарственная терапия с применением отдельных препаратов (по перечню), взрослые (уровень 1) | 3,59 | 1,0 | v | |||||||
| 184 | 183 | st19.098 | ЗНО лимфоидной и кроветворной тканей, лекарственная терапия с применением отдельных препаратов (по перечню), взрослые (уровень 2) | 6,24 | 1,0 | v | |||||||
| 185 | 184 | st19.099 | ЗНО лимфоидной и кроветворной тканей, лекарственная терапия с применением отдельных препаратов (по перечню), взрослые (уровень 3) | 9,54 | 1,0 | v | |||||||
| 186 | 185 | st19.100 | ЗНО лимфоидной и кроветворной тканей, лекарственная терапия с применением отдельных препаратов (по перечню), взрослые (уровень 4) | 13,88 | 1,0 | v | |||||||
| 187 | 186 | st19.101 | ЗНО лимфоидной и кроветворной тканей, лекарственная терапия с применением отдельных препаратов (по перечню), взрослые (уровень 5) | 16,87 | 1,0 | v | |||||||
| 188 | 187 | st19.102 | ЗНО лимфоидной и кроветворной тканей, лекарственная терапия с применением отдельных препаратов (по перечню), взрослые (уровень 6) | 20,32 | 1,0 | v | |||||||
| 189 | 188 | st19.103 | Лучевые повреждения | 2,64 | 1,0 | v | |||||||
| 190 | 189 | st19.104 | Эвисцерация малого таза при лучевых повреждениях | 19,75 | 1,0 | v | |||||||
| 191 | 190 | st19.122 | Посттрансплантационный период после пересадки костного мозга | 21,02 | 1,0 | v | |||||||
| 192 | 191 | st19.125 | Лекарственная терапия при злокачественных новообразованиях (кроме лимфоидной и кроветворной тканей), взрослые (уровень 1) | 0,38 | 1,0 | v | |||||||
| 193 | 192 | st19.126 | Лекарственная терапия при злокачественных новообразованиях (кроме лимфоидной и кроветворной тканей), взрослые (уровень 2) | 0,79 | 1,0 | v | |||||||
| 194 | 193 | st19.127 | Лекарственная терапия при злокачественных новообразованиях (кроме лимфоидной и кроветворной тканей), взрослые (уровень 3) | 1,09 | 1,0 | v | |||||||
| 195 | 194 | st19.128 | Лекарственная терапия при злокачественных новообразованиях (кроме лимфоидной и кроветворной тканей), взрослые (уровень 4) | 1,45 | 1,0 | v | |||||||
| 196 | 195 | st19.129 | Лекарственная терапия при злокачественных новообразованиях (кроме лимфоидной и кроветворной тканей), взрослые (уровень 5) | 2,08 | 1,0 | v | |||||||
| 197 | 196 | st19.130 | Лекарственная терапия при злокачественных новообразованиях (кроме лимфоидной и кроветворной тканей), взрослые (уровень 6) | 2,49 | 1,0 | v | |||||||
| 198 | 197 | st19.131 | Лекарственная терапия при злокачественных новообразованиях (кроме лимфоидной и кроветворной тканей), взрослые (уровень 7) | 3,21 | 1,0 | v | |||||||
| 199 | 198 | st19.132 | Лекарственная терапия при злокачественных новообразованиях (кроме лимфоидной и кроветворной тканей), взрослые (уровень 8) | 3,97 | 1,0 | v | |||||||
| 200 | 199 | st19.133 | Лекарственная терапия при злокачественных новообразованиях (кроме лимфоидной и кроветворной тканей), взрослые (уровень 9) | 4,47 | 1,0 | v | |||||||
| 201 | 200 | st19.134 | Лекарственная терапия при злокачественных новообразованиях (кроме лимфоидной и кроветворной тканей), взрослые (уровень 10) | 4,89 | 1,0 | v | |||||||
| 202 | 201 | st19.135 | Лекарственная терапия при злокачественных новообразованиях (кроме лимфоидной и кроветворной тканей), взрослые (уровень 11) | 5,51 | 1,0 | v | |||||||
| 203 | 202 | st19.136 | Лекарственная терапия при злокачественных новообразованиях (кроме лимфоидной и кроветворной тканей), взрослые (уровень 12) | 7,23 | 1,0 | v | |||||||
| 204 | 203 | st19.137 | Лекарственная терапия при злокачественных новообразованиях (кроме лимфоидной и кроветворной тканей), взрослые (уровень 13) | 8,84 | 1,0 | v | |||||||
| 205 | 204 | st19.138 | Лекарственная терапия при злокачественных новообразованиях (кроме лимфоидной и кроветворной тканей), взрослые (уровень 14) | 10,57 | 1,0 | v | |||||||
| 206 | 205 | st19.139 | Лекарственная терапия при злокачественных новообразованиях (кроме лимфоидной и кроветворной тканей), взрослые (уровень 15) | 13,73 | 1,0 | v | |||||||
| 207 | 206 | st19.140 | Лекарственная терапия при злокачественных новообразованиях (кроме лимфоидной и кроветворной тканей), взрослые (уровень 16) | 16,29 | 1,0 | v | |||||||
| 208 | 207 | st19.141 | Лекарственная терапия при злокачественных новообразованиях (кроме лимфоидной и кроветворной тканей), взрослые (уровень 17) | 19,96 | 1,0 | v | |||||||
| 209 | 208 | st19.142 | Лекарственная терапия при злокачественных новообразованиях (кроме лимфоидной и кроветворной тканей), взрослые (уровень 18) | 26,46 | 1,0 | v | |||||||
| 210 | 209 | st19.143 | Лекарственная терапия при злокачественных новообразованиях (кроме лимфоидной и кроветворной тканей), взрослые (уровень 19) | 35,35 | 1,0 | v | |||||||
| 211 | 210 | st20.001 | Доброкачественные новообразования, новообразования in situ уха, горла, носа, полости рта | 0,66 | 1,0 | v | |||||||
| 212 | 211 | st20.002 | Средний отит, мастоидит, нарушения вестибулярной функции | 0,47 | 1,0 | v | |||||||
| 213 | 212 | st20.003 | Другие болезни уха | 0,61 | 1,0 | v | |||||||
| 214 | 213 | st20.004 | Другие болезни и врожденные аномалии верхних дыхательных путей, симптомы и признаки, относящиеся к органам дыхания, нарушения речи | 0,71 | 1,0 | v | |||||||
| 215 | 214 | st20.005 | Операции на органе слуха, придаточных пазухах носа и верхних дыхательных путях (уровень 1) | 0,84 | 1,0 | v | |||||||
| 216 | 215 | st20.006 | Операции на органе слуха, придаточных пазухах носа и верхних дыхательных путях (уровень 2) | 0,91 | 1,0 | v | |||||||
| 217 | 216 | st20.007 | Операции на органе слуха, придаточных пазухах носа и верхних дыхательных путях (уровень 3) | 1,10 | 1,0 | v | |||||||
| 218 | 217 | st20.008 | Операции на органе слуха, придаточных пазухах носа и верхних дыхательных путях (уровень 4) | 1,35 | 1,0 | - | |||||||
| 219 | 218 | st20.009 | Операции на органе слуха, придаточных пазухах носа и верхних дыхательных путях (уровень 5) | 1,96 | 1,0 | - | |||||||
| 220 | 219 | st20.010 | Замена речевого процессора | 29,91 | 1,0 | - | |||||||
| 221 | 220 | st21.001 | Операции на органе зрения (уровень 1) | 0,49 | 1,0 | v | |||||||
| 222 | 221 | st21.002 | Операции на органе зрения (уровень 2) | 0,79 | 1,0 | v | |||||||
| 223 | 222 | st21.003 | Операции на органе зрения (уровень 3) | 1,07 | 1,0 | v | |||||||
| 224 | 223 | st21.004 | Операции на органе зрения (уровень 4) | 1,19 | 1,0 | - | |||||||
| 225 | 224 | st21.005 | Операции на органе зрения (уровень 5) | 2,11 | 1,0 | v | |||||||
| 226 | 225 | st21.006 | Операции на органе зрения (уровень 6) | 3,29 | 1,0 | - | |||||||
| 227 | 226 | st21.007 | Болезни глаза | 0,51 | 1,0 | v | |||||||
| 228 | 227 | st21.008 | Травмы глаза | 0,66 | 1,0 | v | |||||||
| 229 | 228 | st21.009 | Операции на органе зрения (факоэмульсификация с имплантацией ИОЛ) | 1,24 | 1,0 | - | |||||||
| 230 | 229 | st22.001 | Нарушения всасывания, дети | 1,11 | 1,0 | v | |||||||
| 231 | 230 | st22.002 | Другие болезни органов пищеварения, дети | 0,39 | 1,0 | v | |||||||
| 232 | 231 | st22.003 | Воспалительные артропатии, спондилопатии, дети | 1,85 | 1,0 | v | |||||||
| 233 | 232 | st22.004 | Врожденные аномалии головного и спинного мозга, дети | 2,12 | 1,0 | v | |||||||
| 234 | 233 | st23.001 | Другие болезни органов дыхания | 0,85 | 1,0 | v | |||||||
| 235 | 234 | st23.002 | Интерстициальные болезни легких, врожденные аномалии развития легких, бронхо-легочная дисплазия, дети | 2,48 | 1,0 | v | |||||||
| 236 | 235 | st23.003 | Доброкачественные новообразования, новообразования in situ органов дыхания, других и неуточненных органов грудной клетки | 0,91 | 1,0 | v | |||||||
| 237 | 236 | st23.004 | Пневмония, плеврит, другие болезни плевры | 1,28 | 1,0 | v | |||||||
| 238 | 237 | st23.005 | Астма, взрослые | 1,11 | 1,0 | v | |||||||
| 239 | 238 | st23.006 | Астма, дети | 1,25 | 1,0 | v | |||||||
| 240 | 239 | st24.001 | Системные поражения соединительной ткани | 1,78 | 1,0 | v | |||||||
| 241 | 240 | st24.002 | Артропатии и спондилопатии | 1,67 | 1,0 | v | |||||||
| 242 | 241 | st24.003 | Ревматические болезни сердца (уровень 1) | 0,87 | 1,0 | v | |||||||
| 243 | 242 | st24.004 | Ревматические болезни сердца (уровень 2) | 1,57 | 1,0 | v | |||||||
| 244 | 243 | st25.001 | Флебит и тромбофлебит, варикозное расширение вен нижних конечностей | 0,85 | 1,0 | v | |||||||
| 245 | 244 | st25.002 | Другие болезни, врожденные аномалии вен | 1,32 | 1,0 | v | |||||||
| 246 | 245 | st25.003 | Болезни артерий, артериол и капилляров | 1,05 | 1,0 | v | |||||||
| 247 | 246 | st25.004 | Диагностическое обследование сердечно-сосудистой системы | 1,01 | 1,0 | v | |||||||
| 248 | 247 | st25.005 | Операции на сердце и коронарных сосудах (уровень 1) | 2,11 | 1,0 | v | |||||||
| 249 | 248 | st25.006 | Операции на сердце и коронарных сосудах (уровень 2) | 3,97 | 1,0 | v | |||||||
| 250 | 249 | st25.007 | Операции на сердце и коронарных сосудах (уровень 3) | 4,31 | 1,0 | v | |||||||
| 251 | 250 | st25.008 | Операции на сосудах (уровень 1) | 1,20 | 1,0 | v | |||||||
| 252 | 251 | st25.009 | Операции на сосудах (уровень 2) | 2,37 | 1,0 | v | |||||||
| 253 | 252 | st25.010 | Операции на сосудах (уровень 3) | 4,13 | 1,0 | v | |||||||
| 254 | 253 | st25.011 | Операции на сосудах (уровень 4) | 6,08 | 1,0 | v | |||||||
| 255 | 254 | st25.012 | Операции на сосудах (уровень 5) | 7,12 | 1,0 | v | |||||||
| 256 | 255 | st26.001 | Болезни полости рта, слюнных желез и челюстей, врожденные аномалии лица и шеи, дети | 0,79 | 1,0 | v | |||||||
| 257 | 256 | st27.001 | Болезни пищевода, гастрит, дуоденит, другие болезни желудка и двенадцатиперстной кишки | 0,74 | 1,0 | - | |||||||
| 258 | 257 | st27.002 | Новообразования доброкачественные, in situ, неопределенного и неуточненного характера органов пищеварения | 0,69 | 1,0 | v | |||||||
| 259 | 258 | st27.003 | Болезни желчного пузыря | 0,72 | 1,0 | - | |||||||
| 260 | 259 | st27.004 | Другие болезни органов пищеварения, взрослые | 0,59 | 1,0 | v | |||||||
| 261 | 260 | st27.005 | Гипертоническая болезнь в стадии обострения | 0,70 | 1,0 | - | |||||||
| 262 | 261 | st27.006 | Стенокардия (кроме нестабильной), хроническая ишемическая болезнь сердца (уровень 1) | 0,78 | 1,0 | - | |||||||
| 263 | 262 | st27.007 | Стенокардия (кроме нестабильной), хроническая ишемическая болезнь сердца (уровень 2) | 1,70 | 1,0 | v | |||||||
| 264 | 263 | st27.008 | Другие болезни сердца (уровень 1) | 0,78 | 1,0 | v | |||||||
| 265 | 264 | st27.009 | Другие болезни сердца (уровень 2) | 1,54 | 1,0 | v | |||||||
| 266 | 265 | st27.010 | Бронхит необструктивный, симптомы и признаки, относящиеся к органам дыхания | 0,75 | 1,0 | - | |||||||
| 267 | 266 | st27.011 | ХОБЛ, эмфизема, бронхоэктатическая болезнь | 0,89 | 1,0 | v | |||||||
| 268 | 267 | st27.012 | Отравления и другие воздействия внешних причин | 0,53 | 1,0 | v | |||||||
| 269 | 268 | st27.013 | Отравления и другие воздействия внешних причин с синдромом органной дисфункции | 4,07 | 1,0 | v | |||||||
| 270 | 269 | st27.014 | Госпитализация в диагностических целях с постановкой/подтверждением диагноза злокачественного новообразования | 1,00 | 1,0 | v | |||||||
| 271 | 270 | st28.001 | Гнойные состояния нижних дыхательных путей | 2,05 | 1,0 | v | |||||||
| 272 | 271 | st28.002 | Операции на нижних дыхательных путях и легочной ткани, органах средостения (уровень 1) | 1,54 | 1,0 | v | |||||||
| 273 | 272 | st28.003 | Операции на нижних дыхательных путях и легочной ткани, органах средостения (уровень 2) | 1,92 | 1,0 | v | |||||||
| 274 | 273 | st28.004 | Операции на нижних дыхательных путях и легочной ткани, органах средостения (уровень 3) | 2,56 | 1,0 | - | |||||||
| 275 | 274 | st28.005 | Операции на нижних дыхательных путях и легочной ткани, органах средостения (уровень 4) | 4,12 | 1,0 | - | |||||||
| 276 | 275 | st29.001 | Приобретенные и врожденные костно-мышечные деформации | 0,99 | 1,0 | v | |||||||
| 277 | 276 | st29.002 | Переломы шейки бедра и костей таза | 1,52 | 1,0 | - | |||||||
| 278 | 277 | st29.003 | Переломы бедренной кости, другие травмы области бедра и тазобедренного сустава | 0,69 | 1,0 | - | |||||||
| 279 | 278 | st29.004 | Переломы, вывихи, растяжения области грудной клетки, верхней конечности и стопы | 0,56 | 1,0 | - | |||||||
| 280 | 279 | st29.005 | Переломы, вывихи, растяжения области колена и голени | 0,74 | 1,0 | - | |||||||
| 281 | 280 | st29.006 | Множественные переломы, травматические ампутации, размозжения и последствия травм | 1,44 | 1,0 | v | |||||||
| 282 | 281 | st29.007 | Тяжелая множественная и сочетанная травма (политравма) | 7,07 | 1,0 | v | |||||||
| 283 | 282 | st29.008 | Эндопротезирование суставов | 4,46 | 1,13 | v | |||||||
| 284 | 283 | st29.009 | Операции на костно-мышечной системе и суставах (уровень 1) | 0,79 | 1,0 | v | |||||||
| 285 | 284 | st29.010 | Операции на костно-мышечной системе и суставах (уровень 2) | 0,93 | 1,0 | v | |||||||
| 286 | 285 | st29.011 | Операции на костно-мышечной системе и суставах (уровень 3) | 1,37 | 1,0 | v | |||||||
| 287 | 286 | st29.012 | Операции на костно-мышечной системе и суставах (уровень 4) | 2,42 | 1,0 | - | |||||||
| 288 | 287 | st29.013 | Операции на костно-мышечной системе и суставах (уровень 5) | 3,15 | 1,0 | - | |||||||
| 289 | 288 | st30.001 | Тубулоинтерстициальные болезни почек, другие болезни мочевой системы | 0,86 | 1,0 | v | |||||||
| 290 | 289 | st30.002 | Камни мочевой системы; симптомы, относящиеся к мочевой системе | 0,49 | 1,0 | v | |||||||
| 291 | 290 | st30.003 | Доброкачественные новообразования, новообразования in situ, неопределенного и неизвестного характера мочевых органов и мужских половых органов | 0,64 | 1,0 | v | |||||||
| 292 | 291 | st30.004 | Болезни предстательной железы | 0,73 | 1,0 | - | |||||||
| 293 | 292 | st30.005 | Другие болезни, врожденные аномалии, повреждения мочевой системы и мужских половых органов | 0,67 | 1,0 | v | |||||||
| 294 | 293 | st30.006 | Операции на мужских половых органах, взрослые (уровень 1) | 1,20 | 1,0 | v | |||||||
| 295 | 294 | st30.007 | Операции на мужских половых органах, взрослые (уровень 2) | 1,42 | 1,0 | v | |||||||
| 296 | 295 | st30.008 | Операции на мужских половых органах, взрослые (уровень 3) | 2,31 | 1,0 | - | |||||||
| 297 | 296 | st30.009 | Операции на мужских половых органах, взрослые (уровень 4) | 3,12 | 1,0 | - | |||||||
| 298 | 297 | st30.010 | Операции на почке и мочевыделительной системе, взрослые (уровень 1) | 1,08 | 1,0 | v | |||||||
| 299 | 298 | st30.011 | Операции на почке и мочевыделительной системе, взрослые (уровень 2) | 1,12 | 1,0 | v | |||||||
| 300 | 299 | st30.012 | Операции на почке и мочевыделительной системе, взрослые (уровень 3) | 1,62 | 1,0 | v | |||||||
| 301 | 300 | st30.013 | Операции на почке и мочевыделительной системе, взрослые (уровень 4) | 1,95 | 1,0 | v | |||||||
| 302 | 301 | st30.014 | Операции на почке и мочевыделительной системе, взрослые (уровень 5) | 2,14 | 1,0 | v | |||||||
| 303 | 302 | st30.015 | Операции на почке и мочевыделительной системе, взрослые (уровень 6) | 4,13 | 1,0 | - | |||||||
| 304 | 303 | st31.001 | Болезни лимфатических сосудов и лимфатических узлов | 0,61 | 1,0 | v | |||||||
| 305 | 304 | st31.002 | Операции на коже, подкожной клетчатке, придатках кожи (уровень 1) | 0,55 | 1,0 | - | |||||||
| 306 | 305 | st31.003 | Операции на коже, подкожной клетчатке, придатках кожи (уровень 2) | 0,71 | 1,0 | v | |||||||
| 307 | 306 | st31.004 | Операции на коже, подкожной клетчатке, придатках кожи (уровень 3) | 1,38 | 1,0 | v | |||||||
| 308 | 307 | st31.005 | Операции на коже, подкожной клетчатке, придатках кожи (уровень 4) | 2,41 | 1,0 | v | |||||||
| 309 | 308 | st31.006 | Операции на органах кроветворения и иммунной системы (уровень 1) | 1,43 | 1,0 | v | |||||||
| 310 | 309 | st31.007 | Операции на органах кроветворения и иммунной системы (уровень 2) | 1,83 | 1,0 | v | |||||||
| 311 | 310 | st31.008 | Операции на органах кроветворения и иммунной системы (уровень 3) | 2,16 | 1,0 | v | |||||||
| 312 | 311 | st31.009 | Операции на эндокринных железах, кроме гипофиза (уровень 1) | 1,81 | 1,0 | - | |||||||
| 313 | 312 | st31.010 | Операции на эндокринных железах, кроме гипофиза (уровень 2) | 2,67 | 1,0 | - | |||||||
| 314 | 313 | st31.011 | Болезни молочной железы, новообразования молочной железы доброкачественные, in situ, неопределенного и неизвестного характера | 0,73 | 1,0 | v | |||||||
| 315 | 314 | st31.012 | Артрозы, другие поражения суставов, болезни мягких тканей | 0,76 | 1,0 | - | |||||||
| 316 | 315 | st31.013 | Остеомиелит (уровень 1) | 2,42 | 1,0 | v | |||||||
| 317 | 316 | st31.014 | Остеомиелит (уровень 2) | 3,51 | 1,0 | v | |||||||
| 318 | 317 | st31.015 | Остеомиелит (уровень 3) | 4,02 | 1,0 | v | |||||||
| 319 | 318 | st31.016 | Доброкачественные новообразования костно-мышечной системы и соединительной ткани | 0,84 | 1,0 | v | |||||||
| 320 | 319 | st31.017 | Доброкачественные новообразования, новообразования in situ кожи, жировой ткани и другие болезни кожи | 0,50 | 1,0 | v | |||||||
| 321 | 320 | st31.018 | Открытые раны, поверхностные, другие и неуточненные травмы | 0,37 | 1,0 | - | |||||||
| 322 | 321 | st31.019 | Операции на молочной железе (кроме злокачественных новообразований) | 1,19 | 1,0 | v | |||||||
| 323 | 322 | st32.001 | Операции на желчном пузыре и желчевыводящих путях (уровень 1) | 1,15 | 1,0 | v | |||||||
| 324 | 323 | st32.002 | Операции на желчном пузыре и желчевыводящих путях (уровень 2) | 1,43 | 1,0 | v | |||||||
| 325 | 324 | st32.003 | Операции на желчном пузыре и желчевыводящих путях (уровень 3) | 3,00 | 1,0 | v | |||||||
| 326 | 325 | st32.004 | Операции на желчном пузыре и желчевыводящих путях (уровень 4) | 4,30 | 1,0 | - | |||||||
| 327 | 326 | st32.005 | Операции на печени и поджелудочной железе (уровень 1) | 2,42 | 1,0 | v | |||||||
| 328 | 327 | st32.006 | Операции на печени и поджелудочной железе (уровень 2) | 2,69 | 1,0 | v | |||||||
| 329 | 328 | st32.007 | Панкреатит, хирургическое лечение | 4,12 | 1,0 | v | |||||||
| 330 | 329 | st32.008 | Операции на пищеводе, желудке, двенадцатиперстной кишке (уровень 1) | 1,16 | 1,0 | v | |||||||
| 331 | 330 | st32.009 | Операции на пищеводе, желудке, двенадцатиперстной кишке (уровень 2) | 1,95 | 1,0 | v | |||||||
| 332 | 331 | st32.010 | Операции на пищеводе, желудке, двенадцатиперстной кишке (уровень 3) | 2,46 | 1,0 | - | |||||||
| 333 | 332 | st32.011 | Аппендэктомия, взрослые (уровень 1) | 0,73 | 1,0 | - | |||||||
| 334 | 333 | st32.012 | Аппендэктомия, взрослые (уровень 2) | 0,91 | 1,0 | - | |||||||
| 335 | 334 | st32.013 | Операции по поводу грыж, взрослые (уровень 1) | 0,86 | 1,0 | - | |||||||
| 336 | 335 | st32.014 | Операции по поводу грыж, взрослые (уровень 2) | 1,24 | 1,0 | - | |||||||
| 337 | 336 | st32.015 | Операции по поводу грыж, взрослые (уровень 3) | 1,78 | 1,0 | - | |||||||
| 338 | 337 | st32.019 | Операции по поводу грыж, взрослые (уровень 4) | 5,60 | 1,0 | v | |||||||
| 339 | 338 | st32.016 | Другие операции на органах брюшной полости (уровень 1) | 1,13 | 1,0 | v | |||||||
| 340 | 339 | st32.017 | Другие операции на органах брюшной полости (уровень 2) | 1,19 | 1,0 | v | |||||||
| 341 | 340 | st32.018 | Другие операции на органах брюшной полости (уровень 3) | 2,13 | 1,0 | v | |||||||
| 342 | 341 | st33.001 | Отморожения (уровень 1) | 1,17 | 1,0 | v | |||||||
| 343 | 342 | st33.002 | Отморожения (уровень 2) | 2,91 | 1,0 | v | |||||||
| 344 | 343 | st33.003 | Ожоги (уровень 1) | 1,21 | 1,0 | v | |||||||
| 345 | 344 | st33.004 | Ожоги (уровень 2) | 2,03 | 1,0 | v | |||||||
| 346 | 345 | st33.005 | Ожоги (уровень 3) | 3,54 | 1,0 | v | |||||||
| 347 | 346 | st33.006 | Ожоги (уровень 4) | 5,20 | 1,0 | v | |||||||
| 348 | 347 | st33.007 | Ожоги (уровень 5) | 11,11 | 1,0 | v | |||||||
| 349 | 348 | st33.008 | Ожоги (уровень 4, 5) с синдромом органной дисфункции | 14,07 | 1,0 | v | |||||||
| 350 | 349 | st34.001 | Болезни полости рта, слюнных желез и челюстей, врожденные аномалии лица и шеи, взрослые | 0,89 | 1,0 | v | |||||||
| 351 | 350 | st34.002 | Операции на органах полости рта (уровень 1) | 0,74 | 1,0 | v | |||||||
| 352 | 351 | st34.003 | Операции на органах полости рта (уровень 2) | 1,27 | 1,0 | v | |||||||
| 353 | 352 | st34.004 | Операции на органах полости рта (уровень 3) | 1,63 | 1,0 | v | |||||||
| 354 | 353 | st34.005 | Операции на органах полости рта (уровень 4) | 1,90 | 1,0 | v | |||||||
| 355 | 354 | st35.001 | Сахарный диабет, взрослые (уровень 1) | 1,02 | 1,0 | v | |||||||
| 356 | 355 | st35.002 | Сахарный диабет, взрослые (уровень 2) | 1,49 | 1,0 | v | |||||||
| 357 | 356 | st35.003 | Заболевания гипофиза, взрослые | 2,14 | 1,0 | v | |||||||
| 358 | 357 | st35.004 | Другие болезни эндокринной системы, взрослые (уровень 1) | 1,25 | 1,0 | v | |||||||
| 359 | 358 | st35.005 | Другие болезни эндокринной системы, взрослые (уровень 2) | 2,76 | 1,0 | v | |||||||
| 360 | 359 | st35.006 | Новообразования эндокринных желез доброкачественные, in situ, неопределенного и неизвестного характера | 0,76 | 1,0 | v | |||||||
| 361 | 360 | st35.007 | Расстройства питания | 1,06 | 1,0 | v | |||||||
| 362 | 361 | st35.008 | Другие нарушения обмена веществ | 1,16 | 1,0 | v | |||||||
| 363 | 362 | st35.009 | Кистозный фиброз | 3,32 | 1,0 | v | |||||||
| 364 | 363 | st36.001 | Комплексное лечение с применением препаратов иммуноглобулина | 4,32 | 1,0 | - | |||||||
| 365 | 364 | st36.002 | Редкие генетические заболевания | 3,50 | 1,0 | v | |||||||
| 366 | 365 | st36.004 | Факторы, влияющие на состояние здоровья населения и обращения в учреждения здравоохранения | 0,32 | 1,0 | v | |||||||
| 367 | 370 | st36.005 | Госпитализация в диагностических целях с постановкой диагноза туберкулеза, ВИЧ-инфекции, психического заболевания | 0,46 | 1,0 | v | |||||||
| 368 | 371 | st36.006 | Отторжение, отмирание трансплантата органов и тканей | 8,40 | 1,0 | v | |||||||
| 369 | 372 | st36.007 | Установка, замена, заправка помп для лекарственных препаратов | 2,32 | 1,0 | - | |||||||
| 370 | 373 | st36.008 | Интенсивная терапия пациентов с нейрогенными нарушениями жизненно важных функций, нуждающихся в их длительном искусственном замещении | 18,15 | 1,0 | v | |||||||
| 371 | 374 | st36.009 | Реинфузия аутокрови | 2,05 | 1,0 | - | |||||||
| 372 | 375 | st36.010 | Баллонная внутриаортальная контрпульсация | 7,81 | 1,0 | - | |||||||
| 373 | 376 | st36.011 | Экстракорпоральная мембранная оксигенация | 40,00 | 1,0 | - | |||||||
| 374 | 377 | st36.012 | Злокачественное новообразование без специального противоопухолевого лечения | 0,50 | 1,0 | v | |||||||
| 375 | 378 | st36.013 | Проведение антимикробной терапии инфекций, вызванных полирезистентными микроорганизмами (уровень 1) | 1,67 | 1,0 | v | |||||||
| 376 | 379 | st36.014 | Проведение антимикробной терапии инфекций, вызванных полирезистентными микроорганизмами (уровень 2) | 3,23 | 1,0 | v | |||||||
| 377 | 380 | st36.015 | Проведение антимикробной терапии инфекций, вызванных полирезистентными микроорганизмами (уровень 3) | 9,91 | 1,0 | v | |||||||
| 378 | 381 | st36.024 | Радиойодтерапия | 2,46 | 1,0 | - | |||||||
| 379 | 382 | st36.025 | Проведение иммунизации против респираторно-синцитиальной вирусной инфекции (уровень 1) | 1,52 | 1,0 | v | |||||||
| 380 | 383 | st36.026 | Проведение иммунизации против респираторно-синцитиальной вирусной инфекции (уровень 2) | 3,24 | 1,0 | v | |||||||
| 381 | 384 | st36.027 | Лечение с применением генно-инженерных биологических препаратов и селективных иммунодепрессантов (инициация) | 3,17 | 1,0 | - | |||||||
| 382 | 385 | st36.028 | Лечение с применением генно-инженерных биологических препаратов и селективных иммунодепрессантов (уровень 1) | 0,25 | 1,0 | - | |||||||
| 383 | 386 | st36.029 | Лечение с применением генно-инженерных биологических препаратов и селективных иммунодепрессантов (уровень 2) | 0,33 | 1,0 | - | |||||||
| 384 | 387 | st36.030 | Лечение с применением генно-инженерных биологических препаратов и селективных иммунодепрессантов (уровень 3) | 0,40 | 1,0 | - | |||||||
| 385 | 388 | st36.031 | Лечение с применением генно-инженерных биологических препаратов и селективных иммунодепрессантов (уровень 4) | 0,52 | 1,0 | - | |||||||
| 386 | 389 | st36.032 | Лечение с применением генно-инженерных биологических препаратов и селективных иммунодепрессантов (уровень 5) | 0,65 | 1,0 | - | |||||||
| 387 | 390 | st36.033 | Лечение с применением генно-инженерных биологических препаратов и селективных иммунодепрессантов (уровень 6) | 0,88 | 1,0 | - | |||||||
| 388 | 391 | st36.034 | Лечение с применением генно-инженерных биологических препаратов и селективных иммунодепрессантов (уровень 7) | 1,09 | 1,0 | - | |||||||
| 389 | 392 | st36.035 | Лечение с применением генно-инженерных биологических препаратов и селективных иммунодепрессантов (уровень 8) | 1,28 | 1,0 | - | |||||||
| 390 | 393 | st36.036 | Лечение с применением генно-инженерных биологических препаратов и селективных иммунодепрессантов (уровень 9) | 1,58 | 1,0 | - | |||||||
| 391 | 394 | st36.037 | Лечение с применением генно-инженерных биологических препаратов и селективных иммунодепрессантов (уровень 10) | 1,79 | 1,0 | - | |||||||
| 392 | 395 | st36.038 | Лечение с применением генно-инженерных биологических препаратов и селективных иммунодепрессантов (уровень 11) | 2,21 | 1,0 | - | |||||||
| 393 | 396 | st36.039 | Лечение с применением генно-инженерных биологических препаратов и селективных иммунодепрессантов (уровень 12) | 3,00 | 1,0 | - | |||||||
| 394 | 397 | st36.040 | Лечение с применением генно-инженерных биологических препаратов и селективных иммунодепрессантов (уровень 13) | 4,34 | 1,0 | - | |||||||
| 395 | 398 | st36.041 | Лечение с применением генно-инженерных биологических препаратов и селективных иммунодепрессантов (уровень 14) | 5,39 | 1,0 | - | |||||||
| 396 | 399 | st36.042 | Лечение с применением генно-инженерных биологических препаратов и селективных иммунодепрессантов (уровень 15) | 6,72 | 1,0 | - | |||||||
| 397 | 400 | st36.043 | Лечение с применением генно-инженерных биологических препаратов и селективных иммунодепрессантов (уровень 16) | 10,11 | 1,0 | - | |||||||
| 398 | 401 | st36.044 | Лечение с применением генно-инженерных биологических препаратов и селективных иммунодепрессантов (уровень 17) | 20,34 | 1,0 | - | |||||||
| 399 | 402 | st36.045 | Лечение с применением генно-инженерных биологических препаратов и селективных иммунодепрессантов (уровень 18) | 21,93 | 1,0 | - | |||||||
| 400 | 403 | st36.046 | Лечение с применением генно-инженерных биологических препаратов и селективных иммунодепрессантов (уровень 19) | 42,61 | 1,0 | - | |||||||
| 401 | 404 | st36.047 | Лечение с применением генно-инженерных биологических препаратов и селективных иммунодепрессантов (уровень 20) | 87,15 | 1,0 | - | |||||||
| 402 | 405 | st37.001 | Медицинская реабилитация пациентов с заболеваниями центральной нервной системы (3 балла по ШРМ) | 1,53 | 1,0 | v | |||||||
| 403 | 406 | st37.002 | Медицинская реабилитация пациентов с заболеваниями центральной нервной системы (4 балла по ШРМ) | 3,40 | 1,0 | v | |||||||
| 404 | 407 | st37.003 | Медицинская реабилитация пациентов с заболеваниями центральной нервной системы (5 баллов по ШРМ) | 4,86 | 1,0 | v | |||||||
| 405 | 408 | st37.004 | Медицинская реабилитация пациентов с заболеваниями центральной нервной системы (6 баллов по ШРМ) | 8,60 | 1,0 | - | |||||||
| 406 | 409 | st37.005 | Медицинская реабилитация пациентов с заболеваниями опорно-двигательного аппарата и периферической нервной системы (3 балла по ШРМ) | 1,24 | 1,0 | v | |||||||
| 407 | 410 | st37.006 | Медицинская реабилитация пациентов с заболеваниями опорно-двигательного аппарата и периферической нервной системы (4 балла по ШРМ) | 2,62 | 1,0 | v | |||||||
| 408 | 411 | st37.007 | Медицинская реабилитация пациентов с заболеваниями опорно-двигательного аппарата и периферической нервной системы (5 баллов по ШРМ) | 3,93 | 1,0 | v | |||||||
| 409 | 412 | st37.008 | Медицинская кардиореабилитация (3 балла по ШРМ) | 1,02 | 1,0 | v | |||||||
| 410 | 413 | st37.009 | Медицинская кардиореабилитация (4 балла по ШРМ) | 1,38 | 1,0 | v | |||||||
| 411 | 414 | st37.010 | Медицинская кардиореабилитация (5 баллов по ШРМ) | 2,00 | 1,0 | v | |||||||
| 412 | 415 | st37.011 | Медицинская реабилитация при других соматических заболеваниях (3 балла по ШРМ) | 0,59 | 1,0 | v | |||||||
| 413 | 416 | st37.012 | Медицинская реабилитация при других соматических заболеваниях (4 балла по ШРМ) | 0,84 | 1,0 | v | |||||||
| 414 | 417 | st37.013 | Медицинская реабилитация при других соматических заболеваниях (5 баллов по ШРМ) | 1,17 | 1,0 | v | |||||||
| 415 | 418 | st37.014 | Медицинская реабилитация детей, перенесших заболевания перинатального периода | 1,50 | 1,0 | v | |||||||
| 416 | 419 | st37.015 | Медицинская реабилитация детей с нарушениями слуха без замены речевого процессора системы кохлеарной имплантации | 1,80 | 1,0 | v | |||||||
| 417 | 420 | st37.016 | Медицинская реабилитация детей с онкологическими, гематологическими и иммунологическими заболеваниями в тяжелых формах продолжительного течения | 4,81 | 1,0 | v | |||||||
| 418 | 421 | st37.017 | Медицинская реабилитация детей с поражениями центральной нервной системы | 2,75 | 1,0 | v | |||||||
| 419 | 422 | st37.018 | Медицинская реабилитация детей, после хирургической коррекции врожденных пороков развития органов и систем | 2,35 | 1,0 | v | |||||||
| 420 | 423 | st37.019 | Медицинская реабилитация после онкоортопедических операций | 1,44 | 1,0 | v | |||||||
| 421 | 424 | st37.020 | Медицинская реабилитация по поводу постмастэктомического синдрома в онкологии | 1,24 | 1,0 | v | |||||||
| 422 | 425 | st37.021 | Медицинская реабилитация после перенесенной коронавирусной инфекции COVID-19 (3 балла по ШРМ) | 1,08 | 1,0 | v | |||||||
| 423 | 426 | st37.022 | Медицинская реабилитация после перенесенной коронавирусной инфекции COVID-19 (4 балла по ШРМ) | 1,61 | 1,0 | v | |||||||
| 424 | 427 | st37.023 | Медицинская реабилитация после перенесенной коронавирусной инфекции COVID-19 (5 баллов по ШРМ) | 2,15 | 1,0 | v | |||||||
| 425 | 428 | st37.024 | Продолжительная медицинская реабилитация пациентов с заболеваниями центральной нервной системы | 7,29 | 1,0 | - | |||||||
| 426 | 429 | st37.025 | Продолжительная медицинская реабилитация пациентов с заболеваниями опорно-двигательного аппарата и периферической нервной системы | 6,54 | 1,0 | - | |||||||
| 427 | 430 | st37.026 | Продолжительная медицинская реабилитация пациентов с заболеваниями центральной нервной системы и с заболеваниями опорно-двигательного аппарата и периферической нервной системы (сестринский уход) | 3,86 | 1,0 | - | |||||||
| 428 | 431 | st38.001 | Соматические заболевания, осложненные старческой астенией | 1,50 | 1,0 | v | |||||||
Приложение N 7/2
к Тарифному соглашению
в сфере обязательного
медицинского страхования
Челябинской области
от 30 декабря 2022 г. N 199-ОМС 
Перечень КСГ, размер коэффициентов
относительной затратоемкости,
коэффициентов специфики, используемых
при оплате медицинской помощи, оказанной
в условиях дневного стационара
| N п/п | N КСГ | Код КСГ | Наименование КСГ | Значение КЗдс | Значение КСдс | |||
| А | 1 | 2 | 3 | 4 | 5 | |||
| 1 | 1 | ds02.001 | Осложнения беременности, родов, послеродового периода | 0,83 | 0,8 | |||
| 2 | 2 | ds02.002 | Болезни женских половых органов | 0,66 | 0,8 | |||
| 3 | 3 | ds02.003 | Операции на женских половых органах (уровень 1) | 0,71 | 0,8 | |||
| 4 | 4 | ds02.004 | Операции на женских половых органах (уровень 2) | 1,06 | 0,8 | |||
| 5 | 5 | ds02.006 | Искусственное прерывание беременности (аборт) | 0,33 | 0,8 | |||
| 6 | 6 | ds02.007 | Аборт медикаментозный | 0,38 | 0,8 | |||
| 7 | 7 | ds02.008 | Экстракорпоральное оплодотворение (уровень 1) | 3,26 | 0,8 | |||
| 8 | 8 | ds02.009 | Экстракорпоральное оплодотворение (уровень 2) | 5,99 | 0,8 | |||
| 9 | 9 | ds02.010 | Экстракорпоральное оплодотворение (уровень 3) | 9,74 | 0,8 | |||
| 10 | 10 | ds02.011 | Экстракорпоральное оплодотворение (уровень 4) | 10,65 | 0,8 | |||
| 11 | 11 | ds03.001 | Нарушения с вовлечением иммунного механизма | 0,98 | 0,8 | |||
| 12 | 12 | ds04.001 | Болезни органов пищеварения, взрослые | 0,89 | 0,8 | |||
| 13 | 13 | ds05.001 | Болезни крови (уровень 1) | 0,91 | 0,8 | |||
| 14 | 14 | ds05.002 | Болезни крови (уровень 2) | 2,41 | 0,8 | |||
| 15 | 15 | ds05.005 | Лекарственная терапия при доброкачественных заболеваниях крови и пузырном заносе | 3,73 | 0,8 | |||
| 16 | 16 | ds06.002 | Лечение дерматозов с применением наружной терапии | 0,35 | 0,8 | |||
| 17 | 17 | ds06.003 | Лечение дерматозов с применением наружной терапии, физиотерапии, плазмафереза | 0,97 | 0,8 | |||
| 18 | 18 | ds06.004 | Лечение дерматозов с применением наружной и системной терапии | 0,97 | 0,8 | |||
| 19 | 19 | ds06.005 | Лечение дерматозов с применением наружной терапии и фототерапии | 1,95 | 0,8 | |||
| 20 | 20 | ds07.001 | Болезни системы кровообращения, дети | 0,98 | 0,8 | |||
| 21 | 21 | ds08.001 | Лекарственная терапия при злокачественных новообразованиях других локализаций (кроме лимфоидной и кроветворной тканей), дети | 7,95 | 1,0 | |||
| 22 | 22 | ds08.002 | Лекарственная терапия при остром лейкозе, дети | 14,23 | 1,0 | |||
| 23 | 23 | ds08.003 | Лекарственная терапия при других злокачественных новообразованиях лимфоидной и кроветворной тканей, дети | 10,34 | 1,0 | |||
| 24 | 24 | ds09.001 | Операции на мужских половых органах, дети | 1,38 | 0,8 | |||
| 25 | 25 | ds09.002 | Операции на почке и мочевыделительной системе, дети | 2,09 | 0,8 | |||
| 26 | 26 | ds10.001 | Операции по поводу грыж, дети | 1,60 | 0,8 | |||
| 27 | 27 | ds11.001 | Сахарный диабет, дети | 1,49 | 0,8 | |||
| 28 | 28 | ds11.002 | Другие болезни эндокринной системы, дети | 1,36 | 0,8 | |||
| 29 | 29 | ds12.001 | Вирусный гепатит B хронический, лекарственная терапия | 2,75 | 0,8 | |||
| 30 | 30 | ds12.005 | Другие вирусные гепатиты | 0,97 | 0,8 | |||
| 31 | 31 | ds12.006 | Инфекционные и паразитарные болезни, взрослые | 1,16 | 0,8 | |||
| 32 | 32 | ds12.007 | Инфекционные и паразитарные болезни, дети | 0,97 | 0,8 | |||
| 33 | 33 | ds12.008 | Респираторные инфекции верхних дыхательных путей, взрослые | 0,52 | 0,8 | |||
| 34 | 34 | ds12.009 | Респираторные инфекции верхних дыхательных путей, дети | 0,65 | 0,8 | |||
| 35 | 35 | ds12.012 | Лечение хронического вирусного гепатита C (уровень 1) | 6,00 | 0,8 | |||
| 36 | 36 | ds12.013 | Лечение хронического вирусного гепатита C (уровень 2) | 9,07 | 0,8 | |||
| 37 | 37 | ds12.014 | Лечение хронического вирусного гепатита C (уровень 3) | 12,91 | 0,8 | |||
| 38 | 38 | ds12.015 | Лечение хронического вирусного гепатита C (уровень 4) | 18,77 | 0,8 | |||
| 39 | 39 | ds13.001 | Болезни системы кровообращения, взрослые | 0,80 | 0,8 | |||
| 40 | 40 | ds13.002 | Болезни системы кровообращения с применением инвазивных методов | 3,39 | 0,8 | |||
| 41 | 41 | ds14.001 | Операции на кишечнике и анальной области (уровень 1) | 1,53 | 0,8 | |||
| 42 | 42 | ds14.002 | Операции на кишечнике и анальной области (уровень 2) | 3,17 | 0,8 | |||
| 43 | 43 | ds15.001 | Болезни нервной системы, хромосомные аномалии | 0,98 | 0,8 | |||
| 44 | 44 | ds15.002 | Неврологические заболевания, лечение с применением ботулотоксина (уровень 1) | 1,75 | 0,8 | |||
| 45 | 45 | ds15.003 | Неврологические заболевания, лечение с применением ботулотоксина (уровень 2) | 2,89 | 0,8 | |||
| 46 | 46 | ds16.001 | Болезни и травмы позвоночника, спинного мозга, последствия внутричерепной травмы, сотрясение головного мозга | 0,94 | 0,8 | |||
| 47 | 47 | ds16.002 | Операции на периферической нервной системе | 2,57 | 0,8 | |||
| 48 | 48 | ds17.001 | Нарушения, возникшие в перинатальном периоде | 1,79 | 0,8 | |||
| 49 | 49 | ds18.001 | Гломерулярные болезни, почечная недостаточность (без диализа) | 1,60 | 0,8 | |||
| 50 | 50 | ds18.002 | Лекарственная терапия у пациентов, получающих диализ | 3,25 | 0,8 | |||
| 51 | 51 | ds18.003 | Формирование, имплантация, удаление, смена доступа для диализа | 3,18 | 0,8 | |||
| 52 | 52 | ds18.004 | Другие болезни почек | 0,80 | 0,8 | |||
| 53 | 53 | ds19.016 | Операции при злокачественных новообразованиях кожи (уровень 1) | 2,35 | 1,0 | |||
| 54 | 54 | ds19.017 | Операции при злокачественных новообразованиях кожи (уровень 2) | 2,48 | 1,0 | |||
| 55 | 55 | ds19.028 | Установка, замена порт-системы (катетера) для лекарственной терапии злокачественных новообразований | 2,17 | 1,0 | |||
| 56 | 57 | ds19.033 | Госпитализация в диагностических целях с проведением молекулярно-генетического и (или) иммуногистохимического исследования или иммунофенотипирования | 2,44 | 1,0 | |||
| 57 | 58 | ds19.050 | Лучевая терапия (уровень 1) | 0,74 | 1,0 | |||
| 58 | 59 | ds19.051 | Лучевая терапия (уровень 2) | 1,44 | 1,0 | |||
| 59 | 60 | ds19.052 | Лучевая терапия (уровень 3) | 2,22 | 1,0 | |||
| 60 | 61 | ds19.053 | Лучевая терапия (уровень 4) | 2,93 | 1,0 | |||
| 61 | 62 | ds19.054 | Лучевая терапия (уровень 5) | 3,14 | 1,0 | |||
| 62 | 63 | ds19.055 | Лучевая терапия (уровень 6) | 3,80 | 1,0 | |||
| 63 | 64 | ds19.056 | Лучевая терапия (уровень 7) | 4,70 | 1,0 | |||
| 64 | 65 | ds19.057 | Лучевая терапия (уровень 8) | 26,65 | 1,0 | |||
| 65 | 66 | ds19.058 | Лучевая терапия в сочетании с лекарственной терапией (уровень 1) | 4,09 | 1,0 | |||
| 66 | 67 | ds19.060 | Лучевая терапия в сочетании с лекарственной терапией (уровень 3) | 4,96 | 1,0 | |||
| 67 | 68 | ds19.061 | Лучевая терапия в сочетании с лекарственной терапией (уровень 4) | 13,27 | 1,0 | |||
| 68 | 69 | ds19.062 | Лучевая терапия в сочетании с лекарственной терапией (уровень 5) | 25,33 | 1,0 | |||
| 69 | 70 | ds19.063 | ЗНО лимфоидной и кроветворной тканей без специального противоопухолевого лечения (уровень 1) | 0,21 | 1,0 | |||
| 70 | 71 | ds19.064 | ЗНО лимфоидной и кроветворной тканей без специального противоопухолевого лечения (уровень 2) | 0,94 | 1,0 | |||
| 71 | 72 | ds19.065 | ЗНО лимфоидной и кроветворной тканей без специального противоопухолевого лечения (уровень 3) | 2,29 | 1,0 | |||
| 72 | 73 | ds19.066 | ЗНО лимфоидной и кроветворной тканей без специального противоопухолевого лечения (уровень 4) | 4,22 | 1,0 | |||
| 73 | 74 | ds19.067 | ЗНО лимфоидной и кроветворной тканей, лекарственная терапия, взрослые (уровень 1) | 0,37 | 1,0 | |||
| 74 | 75 | ds19.068 | ЗНО лимфоидной и кроветворной тканей, лекарственная терапия, взрослые (уровень 2) | 1,64 | 1,0 | |||
| 75 | 76 | ds19.069 | ЗНО лимфоидной и кроветворной тканей, лекарственная терапия, взрослые (уровень 3) | 3,67 | 1,0 | |||
| 76 | 77 | ds19.070 | ЗНО лимфоидной и кроветворной тканей, лекарственная терапия, взрослые (уровень 4) | 6,58 | 1,0 | |||
| 77 | 78 | ds19.071 | ЗНО лимфоидной и кроветворной тканей, лекарственная терапия с применением отдельных препаратов (по перечню), взрослые (уровень 1) | 4,04 | 1,0 | |||
| 78 | 79 | ds19.072 | ЗНО лимфоидной и кроветворной тканей, лекарственная терапия с применением отдельных препаратов (по перечню), взрослые (уровень 2) | 5,28 | 1,0 | |||
| 79 | 80 | ds19.073 | ЗНО лимфоидной и кроветворной тканей, лекарственная терапия с применением отдельных препаратов (по перечню), взрослые (уровень 3) | 7,46 | 1,0 | |||
| 80 | 81 | ds19.074 | ЗНО лимфоидной и кроветворной тканей, лекарственная терапия с применением отдельных препаратов (по перечню), взрослые (уровень 4) | 11,00 | 1,0 | |||
| 81 | 82 | ds19.075 | ЗНО лимфоидной и кроветворной тканей, лекарственная терапия с применением отдельных препаратов (по перечню), взрослые (уровень 5) | 30,73 | 1,0 | |||
| 82 | 83 | ds19.076 | ЗНО лимфоидной и кроветворной тканей, лекарственная терапия с применением отдельных препаратов (по перечню), взрослые (уровень 6) | 31,73 | 1,0 | |||
| 83 | 84 | ds19.077 | ЗНО лимфоидной и кроветворной тканей, лекарственная терапия с применением отдельных препаратов (по перечню), взрослые (уровень 7) | 34,50 | 1,0 | |||
| 84 | 85 | ds19.078 | ЗНО лимфоидной и кроветворной тканей, лекарственная терапия с применением отдельных препаратов (по перечню), взрослые (уровень 8) | 36,48 | 1,0 | |||
| 85 | 86 | ds19.079 | Лучевые повреждения | 2,62 | 1,0 | |||
| 86 | 87 | ds19.097 | Лекарственная терапия при злокачественных новообразованиях (кроме лимфоидной и кроветворной тканей), взрослые (уровень 1) | 0,39 | 1,0 | |||
| 87 | 88 | ds19.098 | Лекарственная терапия при злокачественных новообразованиях (кроме лимфоидной и кроветворной тканей), взрослые (уровень 2) | 1,06 | 1,0 | |||
| 88 | 89 | ds19.099 | Лекарственная терапия при злокачественных новообразованиях (кроме лимфоидной и кроветворной тканей), взрослые (уровень 3) | 1,64 | 1,0 | |||
| 89 | 90 | ds19.100 | Лекарственная терапия при злокачественных новообразованиях (кроме лимфоидной и кроветворной тканей), взрослые (уровень 4) | 2,33 | 1,0 | |||
| 90 | 91 | ds19.101 | Лекарственная терапия при злокачественных новообразованиях (кроме лимфоидной и кроветворной тканей), взрослые (уровень 5) | 3,51 | 1,0 | |||
| 91 | 92 | ds19.102 | Лекарственная терапия при злокачественных новообразованиях (кроме лимфоидной и кроветворной тканей), взрослые (уровень 6) | 4,91 | 1,0 | |||
| 92 | 93 | ds19.103 | Лекарственная терапия при злокачественных новообразованиях (кроме лимфоидной и кроветворной тканей), взрослые (уровень 7) | 6,01 | 1,0 | |||
| 93 | 94 | ds19.104 | Лекарственная терапия при злокачественных новообразованиях (кроме лимфоидной и кроветворной тканей), взрослые (уровень 8) | 7,09 | 1,0 | |||
| 94 | 95 | ds19.105 | Лекарственная терапия при злокачественных новообразованиях (кроме лимфоидной и кроветворной тканей), взрослые (уровень 9) | 8,07 | 1,0 | |||
| 95 | 96 | ds19.106 | Лекарственная терапия при злокачественных новообразованиях (кроме лимфоидной и кроветворной тканей), взрослые (уровень 10) | 9,22 | 1,0 | |||
| 96 | 97 | ds19.107 | Лекарственная терапия при злокачественных новообразованиях (кроме лимфоидной и кроветворной тканей), взрослые (уровень 11) | 10,83 | 1,0 | |||
| 97 | 98 | ds19.108 | Лекарственная терапия при злокачественных новообразованиях (кроме лимфоидной и кроветворной тканей), взрослые (уровень 12) | 13,25 | 1,0 | |||
| 98 | 99 | ds19.109 | Лекарственная терапия при злокачественных новообразованиях (кроме лимфоидной и кроветворной тканей), взрослые (уровень 13) | 15,43 | 1,0 | |||
| 99 | 100 | ds19.110 | Лекарственная терапия при злокачественных новообразованиях (кроме лимфоидной и кроветворной тканей), взрослые (уровень 14) | 19,97 | 1,0 | |||
| 100 | 101 | ds19.111 | Лекарственная терапия при злокачественных новообразованиях (кроме лимфоидной и кроветворной тканей), взрослые (уровень 15) | 24,82 | 1,0 | |||
| 101 | 102 | ds19.112 | Лекарственная терапия при злокачественных новообразованиях (кроме лимфоидной и кроветворной тканей), взрослые (уровень 16) | 30,78 | 1,0 | |||
| 102 | 103 | ds19.113 | Лекарственная терапия при злокачественных новообразованиях (кроме лимфоидной и кроветворной тканей), взрослые (уровень 17) | 34,42 | 1,0 | |||
| 103 | 104 | ds19.114 | Лекарственная терапия при злокачественных новообразованиях (кроме лимфоидной и кроветворной тканей), взрослые (уровень 18) | 45,47 | 1,0 | |||
| 104 | 105 | ds19.115 | Лекарственная терапия при злокачественных новообразованиях (кроме лимфоидной и кроветворной тканей), взрослые (уровень 19) | 61,22 | 1,0 | |||
| 105 | 106 | ds20.001 | Болезни уха, горла, носа | 0,74 | 0,8 | |||
| 106 | 107 | ds20.002 | Операции на органе слуха, придаточных пазухах носа и верхних дыхательных путях (уровень 1) | 1,12 | 0,8 | |||
| 107 | 108 | ds20.003 | Операции на органе слуха, придаточных пазухах носа и верхних дыхательных путях (уровень 2) | 1,66 | 0,8 | |||
| 108 | 109 | ds20.004 | Операции на органе слуха, придаточных пазухах носа и верхних дыхательных путях (уровень 3) | 2,00 | 0,8 | |||
| 109 | 110 | ds20.005 | Операции на органе слуха, придаточных пазухах носа и верхних дыхательных путях (уровень 4) | 2,46 | 0,8 | |||
| 110 | 111 | ds20.006 | Замена речевого процессора | 51,86 | 0,8 | |||
| 111 | 112 | ds21.001 | Болезни и травмы глаза | 0,39 | 0,8 | |||
| 112 | 113 | ds21.002 | Операции на органе зрения (уровень 1) | 0,67 | 0,8 | |||
| 113 | 114 | ds21.003 | Операции на органе зрения (уровень 2) | 1,09 | 0,8 | |||
| 114 | 115 | ds21.004 | Операции на органе зрения (уровень 3) | 1,62 | 0,8 | |||
| 115 | 116 | ds21.005 | Операции на органе зрения (уровень 4) | 2,01 | 0,8 | |||
| 116 | 117 | ds21.006 | Операции на органе зрения (уровень 5) | 3,50 | 0,8 | |||
| 117 | 118 | ds21.007 | Операции на органе зрения (факоэмульсификация с имплантацией ИОЛ) | 2,04 | 0,8 | |||
| 118 | 119 | ds22.001 | Системные поражения соединительной ткани, артропатии, спондилопатии, дети | 2,31 | 0,8 | |||
| 119 | 120 | ds22.002 | Болезни органов пищеварения, дети | 0,89 | 0,8 | |||
| 120 | 121 | ds23.001 | Болезни органов дыхания | 0,90 | 0,8 | |||
| 121 | 122 | ds24.001 | Системные поражения соединительной ткани, артропатии, спондилопатии, взрослые | 1,46 | 0,8 | |||
| 122 | 123 | ds25.001 | Диагностическое обследование сердечно-сосудистой системы | 1,84 | 0,8 | |||
| 123 | 124 | ds25.002 | Операции на сосудах (уровень 1) | 2,18 | 0,8 | |||
| 124 | 125 | ds25.003 | Операции на сосудах (уровень 2) | 4,31 | 0,8 | |||
| 125 | 126 | ds26.001 | Болезни полости рта, слюнных желез и челюстей, врожденные аномалии лица и шеи, дети | 0,98 | 0,8 | |||
| 126 | 127 | ds27.001 | Отравления и другие воздействия внешних причин | 0,74 | 0,8 | |||
| 127 | 128 | ds28.001 | Операции на нижних дыхательных путях и легочной ткани, органах средостения | 1,32 | 0,8 | |||
| 128 | 129 | ds29.001 | Операции на костно-мышечной системе и суставах (уровень 1) | 1,44 | 0,8 | |||
| 129 | 130 | ds29.002 | Операции на костно-мышечной системе и суставах (уровень 2) | 1,69 | 0,8 | |||
| 130 | 131 | ds29.003 | Операции на костно-мышечной системе и суставах (уровень 3) | 2,49 | 0,8 | |||
| 131 | 132 | ds29.004 | Заболевания опорно-двигательного аппарата, травмы, болезни мягких тканей | 1,05 | 0,8 | |||
| 132 | 133 | ds30.001 | Болезни, врожденные аномалии, повреждения мочевой системы и мужских половых органов | 0,80 | 0,8 | |||
| 133 | 134 | ds30.002 | Операции на мужских половых органах, взрослые (уровень 1) | 2,18 | 0,8 | |||
| 134 | 135 | ds30.003 | Операции на мужских половых органах, взрослые (уровень 2) | 2,58 | 0,8 | |||
| 135 | 136 | ds30.004 | Операции на почке и мочевыделительной системе, взрослые (уровень 1) | 1,97 | 0,8 | |||
| 136 | 137 | ds30.005 | Операции на почке и мочевыделительной системе, взрослые (уровень 2) | 2,04 | 0,8 | |||
| 137 | 138 | ds30.006 | Операции на почке и мочевыделительной системе, взрослые (уровень 3) | 2,95 | 0,8 | |||
| 138 | 139 | ds31.001 | Болезни, новообразования молочной железы | 0,89 | 0,8 | |||
| 139 | 140 | ds31.002 | Операции на коже, подкожной клетчатке, придатках кожи (уровень 1) | 0,75 | 0,8 | |||
| 140 | 141 | ds31.003 | Операции на коже, подкожной клетчатке, придатках кожи (уровень 2) | 1,00 | 0,8 | |||
| 141 | 142 | ds31.004 | Операции на коже, подкожной клетчатке, придатках кожи (уровень 3) | 4,34 | 0,8 | |||
| 142 | 143 | ds31.005 | Операции на органах кроветворения и иммунной системы | 1,29 | 0,8 | |||
| 143 | 144 | ds31.006 | Операции на молочной железе | 2,60 | 0,8 | |||
| 144 | 145 | ds32.001 | Операции на пищеводе, желудке, двенадцатиперстной кишке (уровень 1) | 2,11 | 0,8 | |||
| 145 | 146 | ds32.002 | Операции на пищеводе, желудке, двенадцатиперстной кишке (уровень 2) | 3,55 | 0,8 | |||
| 146 | 147 | ds32.003 | Операции по поводу грыж, взрослые (уровень 1) | 1,57 | 0,8 | |||
| 147 | 148 | ds32.004 | Операции по поводу грыж, взрослые (уровень 2) | 2,26 | 0,8 | |||
| 148 | 149 | ds32.005 | Операции по поводу грыж, взрослые (уровень 3) | 3,24 | 0,8 | |||
| 149 | 150 | ds32.006 | Операции на желчном пузыре и желчевыводящих путях | 1,70 | 0,8 | |||
| 150 | 151 | ds32.007 | Другие операции на органах брюшной полости (уровень 1) | 2,06 | 0,8 | |||
| 151 | 152 | ds32.008 | Другие операции на органах брюшной полости (уровень 2) | 2,17 | 0,8 | |||
| 152 | 153 | ds33.001 | Ожоги и отморожения | 1,10 | 0,8 | |||
| 153 | 154 | ds34.001 | Болезни полости рта, слюнных желез и челюстей, врожденные аномалии лица и шеи, взрослые | 0,88 | 0,8 | |||
| 154 | 155 | ds34.002 | Операции на органах полости рта (уровень 1) | 0,92 | 0,8 | |||
| 155 | 156 | ds34.003 | Операции на органах полости рта (уровень 2) | 1,56 | 0,8 | |||
| 156 | 157 | ds35.001 | Сахарный диабет, взрослые | 1,08 | 0,8 | |||
| 157 | 158 | ds35.002 | Другие болезни эндокринной системы, новообразования эндокринных желез доброкачественные, in situ, неопределенного и неизвестного характера, расстройства питания, другие нарушения обмена веществ | 1,41 | 0,8 | |||
| 158 | 159 | ds35.003 | Кистозный фиброз | 2,58 | 0,8 | |||
| 159 | 160 | ds35.004 | Лечение кистозного фиброза с применением ингаляционной антибактериальной терапии | 12,27 | 0,8 | |||
| 160 | 161 | ds36.001 | Комплексное лечение с применением препаратов иммуноглобулина | 7,86 | 0,8 | |||
| 161 | 162 | ds36.002 | Факторы, влияющие на состояние здоровья населения и обращения в учреждения здравоохранения | 0,56 | 0,8 | |||
| 162 | 164 | ds36.003 | Госпитализация в дневной стационар в диагностических целях с постановкой диагноза туберкулеза, ВИЧ-инфекции, психического заболевания | 0,46 | 0,8 | |||
| 163 | 165 | ds36.005 | Отторжение, отмирание трансплантата органов и тканей | 7,40 | 0,8 | |||
| 164 | 166 | ds36.006 | Злокачественное новообразование без специального противоопухолевого лечения | 0,40 | 0,8 | |||
| 165 | 167 | ds36.012 | Проведение иммунизации против респираторно-синцитиальной вирусной инфекции (уровень 1) | 2,50 | 0,8 | |||
| 166 | 168 | ds36.013 | Проведение иммунизации против респираторно-синцитиальной вирусной инфекции (уровень 2) | 5,36 | 0,8 | |||
| 167 | 169 | ds36.014 | Лечение с применением генно-инженерных биологических препаратов и селективных иммунодепрессантов (инициация) | 4,10 | 0,8 | |||
| 168 | 170 | ds36.015 | Лечение с применением генно-инженерных биологических препаратов и селективных иммунодепрессантов (уровень 1) | 0,17 | 0,8 | |||
| 169 | 171 | ds36.016 | Лечение с применением генно-инженерных биологических препаратов и селективных иммунодепрессантов (уровень 2) | 0,35 | 0,8 | |||
| 170 | 172 | ds36.017 | Лечение с применением генно-инженерных биологических препаратов и селективных иммунодепрессантов (уровень 3) | 0,61 | 0,8 | |||
| 171 | 173 | ds36.018 | Лечение с применением генно-инженерных биологических препаратов и селективных иммунодепрессантов (уровень 4) | 0,81 | 0,8 | |||
| 172 | 174 | ds36.019 | Лечение с применением генно-инженерных биологических препаратов и селективных иммунодепрессантов (уровень 5) | 1,14 | 0,8 | |||
| 173 | 175 | ds36.020 | Лечение с применением генно-инженерных биологических препаратов и селективных иммунодепрессантов (уровень 6) | 1,44 | 0,8 | |||
| 174 | 176 | ds36.021 | Лечение с применением генно-инженерных биологических препаратов и селективных иммунодепрессантов (уровень 7) | 1,80 | 0,8 | |||
| 175 | 177 | ds36.022 | Лечение с применением генно-инженерных биологических препаратов и селективных иммунодепрессантов (уровень 8) | 2,43 | 0,8 | |||
| 176 | 178 | ds36.023 | Лечение с применением генно-инженерных биологических препаратов и селективных иммунодепрессантов (уровень 9) | 2,78 | 0,8 | |||
| 177 | 179 | ds36.024 | Лечение с применением генно-инженерных биологических препаратов и селективных иммунодепрессантов (уровень 10) | 3,37 | 0,8 | |||
| 178 | 180 | ds36.025 | Лечение с применением генно-инженерных биологических препаратов и селективных иммунодепрессантов (уровень 11) | 4,08 | 0,8 | |||
| 179 | 181 | ds36.026 | Лечение с применением генно-инженерных биологических препаратов и селективных иммунодепрессантов (уровень 12) | 5,22 | 0,8 | |||
| 180 | 182 | ds36.027 | Лечение с применением генно-инженерных биологических препаратов и селективных иммунодепрессантов (уровень 13) | 7,13 | 0,8 | |||
| 181 | 183 | ds36.028 | Лечение с применением генно-инженерных биологических препаратов и селективных иммунодепрессантов (уровень 14) | 9,13 | 0,8 | |||
| 182 | 184 | ds36.029 | Лечение с применением генно-инженерных биологических препаратов и селективных иммунодепрессантов (уровень 15) | 11,32 | 0,8 | |||
| 183 | 185 | ds36.030 | Лечение с применением генно-инженерных биологических препаратов и селективных иммунодепрессантов (уровень 16) | 17,17 | 0,8 | |||
| 184 | 186 | ds36.031 | Лечение с применением генно-инженерных биологических препаратов и селективных иммунодепрессантов (уровень 17) | 35,58 | 0,8 | |||
| 185 | 187 | ds36.032 | Лечение с применением генно-инженерных биологических препаратов и селективных иммунодепрессантов (уровень 18) | 38,89 | 0,8 | |||
| 186 | 188 | ds36.033 | Лечение с применением генно-инженерных биологических препаратов и селективных иммунодепрессантов (уровень 19) | 73,34 | 0,8 | |||
| 187 | 189 | ds36.034 | Лечение с применением генно-инженерных биологических препаратов и селективных иммунодепрессантов (уровень 20) | 150,29 | 0,8 | |||
| 188 | 190 | ds36.035 | Лечение с применением методов афереза (каскадная плазмофильтрация, липидная фильтрация, иммуносорбция) в случае отсутствия эффективности базисной терапии | 5,07 | 0,8 | |||
| 189 | 191 | ds37.001 | Медицинская реабилитация пациентов с заболеваниями центральной нервной системы (2 балла по ШРМ) | 1,98 | 0,8 | |||
| 190 | 192 | ds37.002 | Медицинская реабилитация пациентов с заболеваниями центральной нервной системы (3 балла по ШРМ) | 2,31 | 0,8 | |||
| 191 | 193 | ds37.003 | Медицинская реабилитация пациентов с заболеваниями опорно-двигательного аппарата и периферической нервной системы (2 балла по ШРМ) | 1,52 | 0,8 | |||
| 192 | 194 | ds37.004 | Медицинская реабилитация пациентов с заболеваниями опорно-двигательного аппарата и периферической нервной системы (3 балла по ШРМ) | 1,82 | 0,8 | |||
| 193 | 195 | ds37.005 | Медицинская кардиореабилитация (2 балла по ШРМ) | 1,39 | 0,8 | |||
| 194 | 196 | ds37.006 | Медицинская кардиореабилитация (3 балла по ШРМ) | 1,67 | 0,8 | |||
| 195 | 197 | ds37.007 | Медицинская реабилитация при других соматических заболеваниях (2 балла по ШРМ) | 0,85 | 0,8 | |||
| 196 | 198 | ds37.008 | Медицинская реабилитация при других соматических заболеваниях (3 балла по ШРМ) | 1,09 | 0,8 | |||
| 197 | 199 | ds37.009 | Медицинская реабилитация детей, перенесших заболевания перинатального периода | 1,50 | 0,8 | |||
| 198 | 200 | ds37.010 | Медицинская реабилитация детей с нарушениями слуха без замены речевого процессора системы кохлеарной имплантации | 1,80 | 0,8 | |||
| 199 | 201 | ds37.011 | Медицинская реабилитация детей с поражениями центральной нервной системы | 2,75 | 0,8 | |||
| 200 | 202 | ds37.012 | Медицинская реабилитация детей после хирургической коррекции врожденных пороков развития органов и систем | 2,35 | 0,8 | |||
| 201 | 203 | ds37.013 | Медицинская реабилитация после онкоортопедических операций | 1,76 | 0,8 | |||
| 202 | 204 | ds37.014 | Медицинская реабилитация по поводу постмастэктомического синдрома в онкологии | 1,51 | 0,8 | |||
| 203 | 205 | ds37.015 | Медицинская реабилитация после перенесенной коронавирусной инфекции COVID-19 (2 балла по ШРМ) | 1,00 | 0,8 | |||
| 204 | 206 | ds37.016 | Медицинская реабилитация после перенесенной коронавирусной инфекции COVID-19 (3 балла по ШРМ) | 1,40 | 0,8 | |||
Приложение N 7/3
к Тарифному соглашению
в сфере обязательного
медицинского страхования
Челябинской области
от 30 декабря 2022 г. N 199-ОМС 
Перечень групп заболеваний, состояний
(КСГ) в круглосуточном стационаре с
оптимальной длительностью лечения до 3
дней включительно
| N п/п | N КСГ | Код КСГ | Наименование КСГ | 
| А | 1 | 2 | 3 | 
| 1 | 2 | st02.001 | Осложнения, связанные с беременностью | 
| 2 | 3 | st02.002 | Беременность, закончившаяся абортивным исходом | 
| 3 | 4 | st02.003 | Родоразрешение | 
| 4 | 5 | st02.004 | Кесарево сечение | 
| 5 | 11 | st02.010 | Операции на женских половых органах (уровень 1) | 
| 6 | 12 | st02.011 | Операции на женских половых органах (уровень 2) | 
| 7 | 17 | st03.002 | Ангионевротический отек, анафилактический шок | 
| 8 | 29 | st05.008 | Лекарственная терапия при доброкачественных заболеваниях крови и пузырном заносе <*> | 
| 9 | 35 | st08.001 | Лекарственная терапия при злокачественных новообразованиях других локализаций (кроме лимфоидной и кроветворной тканей), дети <*> | 
| 10 | 36 | st08.002 | Лекарственная терапия при остром лейкозе, дети <*> | 
| 11 | 37 | st08.003 | Лекарственная терапия при других злокачественных новообразованиях лимфоидной и кроветворной тканей, дети <*> | 
| 12 | 68 | st12.010 | Респираторные инфекции верхних дыхательных путей с осложнениями, взрослые | 
| 13 | 69 | st12.011 | Респираторные инфекции верхних дыхательных путей, дети | 
| 14 | 88 | st14.002 | Операции на кишечнике и анальной области (уровень 2) | 
| 15 | 96 | st15.008 | Неврологические заболевания, лечение с применением ботулотоксина (уровень 1) <*> | 
| 16 | 97 | st15.009 | Неврологические заболевания, лечение с применением ботулотоксина (уровень 2) <*> | 
| 17 | 113 | st16.005 | Сотрясение головного мозга | 
| 18 | 137 | st19.007 | Операции при злокачественных новообразованиях почки и мочевыделительной системы (уровень 2) | 
| 19 | 160 | st19.038 | Установка, замена порт-системы (катетера) для лекарственной терапии злокачественных новообразований | 
| 20 | 168 | st19.082 | Лучевая терапия (уровень 8) | 
| 21 | 175 | st19.090 | ЗНО лимфоидной и кроветворной тканей без специального противоопухолевого лечения (уровень 1) | 
| 22 | 179 | st19.094 | ЗНО лимфоидной и кроветворной тканей, лекарственная терапия, взрослые (уровень 1) | 
| 23 | 182 | st19.097 | ЗНО лимфоидной и кроветворной тканей, лекарственная терапия с применением отдельных препаратов (по перечню), взрослые (уровень 1) | 
| 24 | 185 | st19.100 | ЗНО лимфоидной и кроветворной тканей, лекарственная терапия с применением отдельных препаратов (по перечню), взрослые (уровень 4) | 
| 25 | 191 | st19.125 | Лекарственная терапия при злокачественных новообразованиях (кроме лимфоидной и кроветворной тканей), взрослые (уровень 1) <*> | 
| 26 | 192 | st19.126 | Лекарственная терапия при злокачественных новообразованиях (кроме лимфоидной и кроветворной тканей), взрослые (уровень 2) <*> | 
| 27 | 193 | st19.127 | Лекарственная терапия при злокачественных новообразованиях (кроме лимфоидной и кроветворной тканей), взрослые (уровень 3) <*> | 
| 28 | 194 | st19.128 | Лекарственная терапия при злокачественных новообразованиях (кроме лимфоидной и кроветворной тканей), взрослые (уровень 4) <*> | 
| 29 | 195 | st19.129 | Лекарственная терапия при злокачественных новообразованиях (кроме лимфоидной и кроветворной тканей), взрослые (уровень 5) <*> | 
| 30 | 196 | st19.130 | Лекарственная терапия при злокачественных новообразованиях (кроме лимфоидной и кроветворной тканей), взрослые (уровень 6) <*> | 
| 31 | 197 | st19.131 | Лекарственная терапия при злокачественных новообразованиях (кроме лимфоидной и кроветворной тканей), взрослые (уровень 7) <*> | 
| 32 | 198 | st19.132 | Лекарственная терапия при злокачественных новообразованиях (кроме лимфоидной и кроветворной тканей), взрослые (уровень 8) <*> | 
| 33 | 199 | st19.133 | Лекарственная терапия при злокачественных новообразованиях (кроме лимфоидной и кроветворной тканей), взрослые (уровень 9) <*> | 
| 34 | 200 | st19.134 | Лекарственная терапия при злокачественных новообразованиях (кроме лимфоидной и кроветворной тканей), взрослые (уровень 10) <*> | 
| 35 | 201 | st19.135 | Лекарственная терапия при злокачественных новообразованиях (кроме лимфоидной и кроветворной тканей), взрослые (уровень 11) <*> | 
| 36 | 202 | st19.136 | Лекарственная терапия при злокачественных новообразованиях (кроме лимфоидной и кроветворной тканей), взрослые (уровень 12) <*> | 
| 37 | 203 | st19.137 | Лекарственная терапия при злокачественных новообразованиях (кроме лимфоидной и кроветворной тканей), взрослые (уровень 13) <*> | 
| 38 | 204 | st19.138 | Лекарственная терапия при злокачественных новообразованиях (кроме лимфоидной и кроветворной тканей), взрослые (уровень 14) <*> | 
| 39 | 205 | st19.139 | Лекарственная терапия при злокачественных новообразованиях (кроме лимфоидной и кроветворной тканей), взрослые (уровень 15) <*> | 
| 40 | 206 | st19.140 | Лекарственная терапия при злокачественных новообразованиях (кроме лимфоидной и кроветворной тканей), взрослые (уровень 16) <*> | 
| 41 | 207 | st19.141 | Лекарственная терапия при злокачественных новообразованиях (кроме лимфоидной и кроветворной тканей), взрослые (уровень 17) <*> | 
| 42 | 208 | st19.142 | Лекарственная терапия при злокачественных новообразованиях (кроме лимфоидной и кроветворной тканей), взрослые (уровень 18) <*> | 
| 43 | 209 | st19.143 | Лекарственная терапия при злокачественных новообразованиях (кроме лимфоидной и кроветворной тканей), взрослые (уровень 19) <*> | 
| 44 | 214 | st20.005 | Операции на органе слуха, придаточных пазухах носа и верхних дыхательных путях (уровень 1) | 
| 45 | 215 | st20.006 | Операции на органе слуха, придаточных пазухах носа и верхних дыхательных путях (уровень 2) | 
| 46 | 219 | st20.010 | Замена речевого процессора | 
| 47 | 220 | st21.001 | Операции на органе зрения (уровень 1) | 
| 48 | 221 | st21.002 | Операции на органе зрения (уровень 2) | 
| 49 | 222 | st21.003 | Операции на органе зрения (уровень 3) | 
| 50 | 223 | st21.004 | Операции на органе зрения (уровень 4) | 
| 51 | 224 | st21.005 | Операции на органе зрения (уровень 5) | 
| 52 | 225 | st21.006 | Операции на органе зрения (уровень 6) | 
| 53 | 228 | st21.009 | Операции на органе зрения (факоэмульсификация с имплантацией ИОЛ) | 
| 54 | 246 | st25.004 | Диагностическое обследование сердечно-сосудистой системы | 
| 55 | 267 | st27.012 | Отравления и другие воздействия внешних причин | 
| 56 | 293 | st30.006 | Операции на мужских половых органах, взрослые (уровень 1) | 
| 57 | 297 | st30.010 | Операции на почке и мочевыделительной системе, взрослые (уровень 1) | 
| 58 | 298 | st30.011 | Операции на почке и мочевыделительной системе, взрослые (уровень 2) | 
| 59 | 299 | st30.012 | Операции на почке и мочевыделительной системе, взрослые (уровень 3) | 
| 60 | 301 | st30.014 | Операции на почке и мочевыделительной системе, взрослые (уровень 5) | 
| 61 | 319 | st31.017 | Доброкачественные новообразования, новообразования in situ кожи, жировой ткани и другие болезни кожи | 
| 62 | 323 | st32.002 | Операции на желчном пузыре и желчевыводящих путях (уровень 2) | 
| 63 | 333 | st32.012 | Аппендэктомия, взрослые (уровень 2) | 
| 64 | 338 | st32.016 | Другие операции на органах брюшной полости (уровень 1) | 
| 65 | 350 | st34.002 | Операции на органах полости рта (уровень 1) | 
| 66 | 363 | st36.001 | Комплексное лечение с применением препаратов иммуноглобулина <*> | 
| 67 | 372 | st36.007 | Установка, замена, заправка помп для лекарственных препаратов | 
| 68 | 374 | st36.009 | Реинфузия аутокрови | 
| 69 | 375 | st36.010 | Баллонная внутриаортальная контрпульсация | 
| 70 | 376 | st36.011 | Экстракорпоральная мембранная оксигенация | 
| 71 | 381 | st36.024 | Радиойодтерапия | 
| 72 | 382 | st36.025 | Проведение иммунизации против респираторно-синцитиальной вирусной инфекции (уровень 1) | 
| 73 | 383 | st36.026 | Проведение иммунизации против респираторно-синцитиальной вирусной инфекции (уровень 2) | 
| 74 | 385 | st36.028 | Лечение с применением генно-инженерных биологических препаратов и селективных иммунодепрессантов (уровень 1) <*> | 
| 75 | 386 | st36.029 | Лечение с применением генно-инженерных биологических препаратов и селективных иммунодепрессантов (уровень 2) <*> | 
| 76 | 387 | st36.030 | Лечение с применением генно-инженерных биологических препаратов и селективных иммунодепрессантов (уровень 3) <*> | 
| 77 | 388 | st36.031 | Лечение с применением генно-инженерных биологических препаратов и селективных иммунодепрессантов (уровень 4) <*> | 
| 78 | 389 | st36.032 | Лечение с применением генно-инженерных биологических препаратов и селективных иммунодепрессантов (уровень 5) <*> | 
| 79 | 390 | st36.033 | Лечение с применением генно-инженерных биологических препаратов и селективных иммунодепрессантов (уровень 6) <*> | 
| 80 | 391 | st36.034 | Лечение с применением генно-инженерных биологических препаратов и селективных иммунодепрессантов (уровень 7) <*> | 
| 81 | 392 | st36.035 | Лечение с применением генно-инженерных биологических препаратов и селективных иммунодепрессантов (уровень 8) <*> | 
| 82 | 393 | st36.036 | Лечение с применением генно-инженерных биологических препаратов и селективных иммунодепрессантов (уровень 9) <*> | 
| 83 | 394 | st36.037 | Лечение с применением генно-инженерных биологических препаратов и селективных иммунодепрессантов (уровень 10) <*> | 
| 84 | 395 | st36.038 | Лечение с применением генно-инженерных биологических препаратов и селективных иммунодепрессантов (уровень 11) <*> | 
| 85 | 396 | st36.039 | Лечение с применением генно-инженерных биологических препаратов и селективных иммунодепрессантов (уровень 12) <*> | 
| 86 | 397 | st36.040 | Лечение с применением генно-инженерных биологических препаратов и селективных иммунодепрессантов (уровень 13) <*> | 
| 87 | 398 | st36.041 | Лечение с применением генно-инженерных биологических препаратов и селективных иммунодепрессантов (уровень 14) <*> | 
| 88 | 399 | st36.042 | Лечение с применением генно-инженерных биологических препаратов и селективных иммунодепрессантов (уровень 15) <*> | 
| 89 | 400 | st36.043 | Лечение с применением генно-инженерных биологических препаратов и селективных иммунодепрессантов (уровень 16) <*> | 
| 90 | 401 | st36.044 | Лечение с применением генно-инженерных биологических препаратов и селективных иммунодепрессантов (уровень 17) <*> | 
| 91 | 402 | st36.045 | Лечение с применением генно-инженерных биологических препаратов и селективных иммунодепрессантов (уровень 18) <*> | 
| 92 | 403 | st36.046 | Лечение с применением генно-инженерных биологических препаратов и селективных иммунодепрессантов (уровень 19) <*> | 
| 93 | 404 | st36.047 | Лечение с применением генно-инженерных биологических препаратов и селективных иммунодепрессантов (уровень 20) <*> | 
     * При условии соблюдения режима
введения лекарственных препаратов
согласно инструкциям по применению
лекарственных препаратов для
медицинского применения.
Приложение N 7/4
к Тарифному соглашению
в сфере обязательного
медицинского страхования
Челябинской области
от 30 декабря 2022 г. N 199-ОМС 
Перечень групп заболеваний, состояний
(КСГ) в дневном стационаре с оптимальной
длительностью лечения до 3 дней
включительно
| N п/п | N КСГ | Код КСГ | Наименование КСГ | 
| А | 1 | 2 | 3 | 
| 1 | 1 | ds02.001 | Осложнения беременности, родов, послеродового периода | 
| 2 | 5 | ds02.006 | Искусственное прерывание беременности (аборт) | 
| 3 | 6 | ds02.007 | Аборт медикаментозный | 
| 4 | 7 | ds02.008 | Экстракорпоральное оплодотворение (уровень 1) | 
| 5 | 15 | ds05.005 | Лекарственная терапия при доброкачественных заболеваниях крови и пузырном заносе <*> | 
| 6 | 21 | ds08.001 | Лекарственная терапия при злокачественных новообразованиях других локализаций (кроме лимфоидной и кроветворной тканей), дети <*> | 
| 7 | 22 | ds08.002 | Лекарственная терапия при остром лейкозе, дети <*> | 
| 8 | 23 | ds08.003 | Лекарственная терапия при других злокачественных новообразованиях лимфоидной и кроветворной тканей, дети <*> | 
| 9 | 44 | ds15.002 | Неврологические заболевания, лечение с применением ботулотоксина (уровень 1) <*> | 
| 10 | 45 | ds15.003 | Неврологические заболевания, лечение с применением ботулотоксина (уровень 2) <*> | 
| 11 | 55 | ds19.028 | Установка, замена порт-системы (катетера) для лекарственной терапии злокачественных новообразований | 
| 12 | 57 | ds19.033 | Госпитализация в диагностических целях с проведением молекулярно-генетического и (или) иммуногистохимического исследования или иммунофенотипирования | 
| 13 | 65 | ds19.057 | Лучевая терапия (уровень 8) | 
| 14 | 70 | ds19.063 | ЗНО лимфоидной и кроветворной тканей без специального противоопухолевого лечения (уровень 1) | 
| 15 | 74 | ds19.067 | ЗНО лимфоидной и кроветворной тканей, лекарственная терапия, взрослые (уровень 1) | 
| 16 | 78 | ds19.071 | ЗНО лимфоидной и кроветворной тканей, лекарственная терапия с применением отдельных препаратов (по перечню), взрослые (уровень 1) | 
| 17 | 82 | ds19.075 | ЗНО лимфоидной и кроветворной тканей, лекарственная терапия с применением отдельных препаратов (по перечню), взрослые (уровень 5) | 
| 18 | 87 | ds19.097 | Лекарственная терапия при злокачественных новообразованиях (кроме лимфоидной и кроветворной тканей), взрослые (уровень 1) <*> | 
| 19 | 88 | ds19.098 | Лекарственная терапия при злокачественных новообразованиях (кроме лимфоидной и кроветворной тканей), взрослые (уровень 2) <*> | 
| 20 | 89 | ds19.099 | Лекарственная терапия при злокачественных новообразованиях (кроме лимфоидной и кроветворной тканей), взрослые (уровень 3) <*> | 
| 21 | 90 | ds19.100 | Лекарственная терапия при злокачественных новообразованиях (кроме лимфоидной и кроветворной тканей), взрослые (уровень 4) <*> | 
| 22 | 91 | ds19.101 | Лекарственная терапия при злокачественных новообразованиях (кроме лимфоидной и кроветворной тканей), взрослые (уровень 5) <*> | 
| 23 | 92 | ds19.102 | Лекарственная терапия при злокачественных новообразованиях (кроме лимфоидной и кроветворной тканей), взрослые (уровень 6) <*> | 
| 24 | 93 | ds19.103 | Лекарственная терапия при злокачественных новообразованиях (кроме лимфоидной и кроветворной тканей), взрослые (уровень 7) <*> | 
| 25 | 94 | ds19.104 | Лекарственная терапия при злокачественных новообразованиях (кроме лимфоидной и кроветворной тканей), взрослые (уровень 8) <*> | 
| 26 | 95 | ds19.105 | Лекарственная терапия при злокачественных новообразованиях (кроме лимфоидной и кроветворной тканей), взрослые (уровень 9) <*> | 
| 27 | 96 | ds19.106 | Лекарственная терапия при злокачественных новообразованиях (кроме лимфоидной и кроветворной тканей), взрослые (уровень 10) <*> | 
| 28 | 97 | ds19.107 | Лекарственная терапия при злокачественных новообразованиях (кроме лимфоидной и кроветворной тканей), взрослые (уровень 11) <*> | 
| 29 | 98 | ds19.108 | Лекарственная терапия при злокачественных новообразованиях (кроме лимфоидной и кроветворной тканей), взрослые (уровень 12) <*> | 
| 30 | 99 | ds19.109 | Лекарственная терапия при злокачественных новообразованиях (кроме лимфоидной и кроветворной тканей), взрослые (уровень 13) <*> | 
| 31 | 100 | ds19.110 | Лекарственная терапия при злокачественных новообразованиях (кроме лимфоидной и кроветворной тканей), взрослые (уровень 14) <*> | 
| 32 | 101 | ds19.111 | Лекарственная терапия при злокачественных новообразованиях (кроме лимфоидной и кроветворной тканей), взрослые (уровень 15) <*> | 
| 33 | 102 | ds19.112 | Лекарственная терапия при злокачественных новообразованиях (кроме лимфоидной и кроветворной тканей), взрослые (уровень 16) <*> | 
| 34 | 103 | ds19.113 | Лекарственная терапия при злокачественных новообразованиях (кроме лимфоидной и кроветворной тканей), взрослые (уровень 17) <*> | 
| 35 | 104 | ds19.114 | Лекарственная терапия при злокачественных новообразованиях (кроме лимфоидной и кроветворной тканей), взрослые (уровень 18) <*> | 
| 36 | 105 | ds19.115 | Лекарственная терапия при злокачественных новообразованиях (кроме лимфоидной и кроветворной тканей), взрослые (уровень 19) <*> | 
| 37 | 107 | ds20.002 | Операции на органе слуха, придаточных пазухах носа и верхних дыхательных путях (уровень 1) | 
| 38 | 108 | ds20.003 | Операции на органе слуха, придаточных пазухах носа и верхних дыхательных путях (уровень 2) | 
| 39 | 111 | ds20.006 | Замена речевого процессора | 
| 40 | 113 | ds21.002 | Операции на органе зрения (уровень 1) | 
| 41 | 114 | ds21.003 | Операции на органе зрения (уровень 2) | 
| 42 | 115 | ds21.004 | Операции на органе зрения (уровень 3) | 
| 43 | 116 | ds21.005 | Операции на органе зрения (уровень 4) | 
| 44 | 117 | ds21.006 | Операции на органе зрения (уровень 5) | 
| 45 | 118 | ds21.007 | Операции на органе зрения (факоэмульсификация с имплантацией ИОЛ) | 
| 46 | 123 | ds25.001 | Диагностическое обследование сердечно-сосудистой системы | 
| 47 | 127 | ds27.001 | Отравления и другие воздействия внешних причин | 
| 48 | 155 | ds34.002 | Операции на органах полости рта (уровень 1) | 
| 49 | 161 | ds36.001 | Комплексное лечение с применением препаратов иммуноглобулина <*> | 
| 50 | 167 | ds36.012 | Проведение иммунизации против респираторно-синцитиальной вирусной инфекции (уровень 1) | 
| 51 | 168 | ds36.013 | Проведение иммунизации против респираторно-синцитиальной вирусной инфекции (уровень 2) | 
| 52 | 170 | ds36.015 | Лечение с применением генно-инженерных биологических препаратов и селективных иммунодепрессантов (уровень 1) <*> | 
| 53 | 171 | ds36.016 | Лечение с применением генно-инженерных биологических препаратов и селективных иммунодепрессантов (уровень 2) <*> | 
| 54 | 172 | ds36.017 | Лечение с применением генно-инженерных биологических препаратов и селективных иммунодепрессантов (уровень 3) <*> | 
| 55 | 173 | ds36.018 | Лечение с применением генно-инженерных биологических препаратов и селективных иммунодепрессантов (уровень 4) <*> | 
| 56 | 174 | ds36.019 | Лечение с применением генно-инженерных биологических препаратов и селективных иммунодепрессантов (уровень 5) <*> | 
| 57 | 175 | ds36.020 | Лечение с применением генно-инженерных биологических препаратов и селективных иммунодепрессантов (уровень 6) <*> | 
| 58 | 176 | ds36.021 | Лечение с применением генно-инженерных биологических препаратов и селективных иммунодепрессантов (уровень 7) <*> | 
| 59 | 177 | ds36.022 | Лечение с применением генно-инженерных биологических препаратов и селективных иммунодепрессантов (уровень 8) <*> | 
| 60 | 178 | ds36.023 | Лечение с применением генно-инженерных биологических препаратов и селективных иммунодепрессантов (уровень 9) <*> | 
| 61 | 179 | ds36.024 | Лечение с применением генно-инженерных биологических препаратов и селективных иммунодепрессантов (уровень 10) <*> | 
| 62 | 180 | ds36.025 | Лечение с применением генно-инженерных биологических препаратов и селективных иммунодепрессантов (уровень 11) <*> | 
| 63 | 181 | ds36.026 | Лечение с применением генно-инженерных биологических препаратов и селективных иммунодепрессантов (уровень 12) <*> | 
| 64 | 182 | ds36.027 | Лечение с применением генно-инженерных биологических препаратов и селективных иммунодепрессантов (уровень 13) <*> | 
| 65 | 183 | ds36.028 | Лечение с применением генно-инженерных биологических препаратов и селективных иммунодепрессантов (уровень 14) <*> | 
| 66 | 184 | ds36.029 | Лечение с применением генно-инженерных биологических препаратов и селективных иммунодепрессантов (уровень 15) <*> | 
| 67 | 185 | ds36.030 | Лечение с применением генно-инженерных биологических препаратов и селективных иммунодепрессантов (уровень 16) <*> | 
| 68 | 186 | ds36.031 | Лечение с применением генно-инженерных биологических препаратов и селективных иммунодепрессантов (уровень 17) <*> | 
| 69 | 187 | ds36.032 | Лечение с применением генно-инженерных биологических препаратов и селективных иммунодепрессантов (уровень 18) <*> | 
| 70 | 188 | ds36.033 | Лечение с применением генно-инженерных биологических препаратов и селективных иммунодепрессантов (уровень 19) <*> | 
| 71 | 189 | ds36.034 | Лечение с применением генно-инженерных биологических препаратов и селективных иммунодепрессантов (уровень 20) <*> | 
| 72 | 190 | ds36.035 | Лечение с применением методов афереза (каскадная плазмофильтрация, липидная фильтрация, иммуносорбция) в случае отсутствия эффективности базисной терапии | 
     * При условии соблюдения режима
введения лекарственных препаратов
согласно инструкциям по применению
лекарственных препаратов для
медицинского применения.
Приложение N 7/5
к Тарифному соглашению
в сфере обязательного
медицинского страхования
Челябинской области
от 30 декабря 2022 г. N 199-ОМС 
Перечень КСГ круглосуточного
стационара, которые предполагают
хирургическое вмешательство или
тромболитическую терапию
| N п/п | N КСГ | Код КСГ | Наименование КСГ | 
| А | 1 | 2 | 3 | 
| 1 | 4 | st02.003 | Родоразрешение | 
| 2 | 5 | st02.004 | Кесарево сечение | 
| 3 | 11 | st02.010 | Операции на женских половых органах (уровень 1) | 
| 4 | 12 | st02.011 | Операции на женских половых органах (уровень 2) | 
| 5 | 13 | st02.012 | Операции на женских половых органах (уровень 3) | 
| 6 | 14 | st02.013 | Операции на женских половых органах (уровень 4) | 
| 7 | 15 | st02.014 | Слинговые операции при недержании мочи | 
| 8 | 38 | st09.001 | Операции на мужских половых органах, дети (уровень 1) | 
| 9 | 39 | st09.002 | Операции на мужских половых органах, дети (уровень 2) | 
| 10 | 40 | st09.003 | Операции на мужских половых органах, дети (уровень 3) | 
| 11 | 41 | st09.004 | Операции на мужских половых органах, дети (уровень 4) | 
| 12 | 42 | st09.005 | Операции на почке и мочевыделительной системе, дети (уровень 1) | 
| 13 | 43 | st09.006 | Операции на почке и мочевыделительной системе, дети (уровень 2) | 
| 14 | 44 | st09.007 | Операции на почке и мочевыделительной системе, дети (уровень 3) | 
| 15 | 45 | st09.008 | Операции на почке и мочевыделительной системе, дети (уровень 4) | 
| 16 | 46 | st09.009 | Операции на почке и мочевыделительной системе, дети (уровень 5) | 
| 17 | 47 | st09.010 | Операции на почке и мочевыделительной системе, дети (уровень 6) | 
| 18 | 48 | st10.001 | Детская хирургия (уровень 1) | 
| 19 | 49 | st10.002 | Детская хирургия (уровень 2) | 
| 20 | 50 | st10.003 | Аппендэктомия, дети (уровень 1) | 
| 21 | 51 | st10.004 | Аппендэктомия, дети (уровень 2) | 
| 22 | 52 | st10.005 | Операции по поводу грыж, дети (уровень 1) | 
| 23 | 53 | st10.006 | Операции по поводу грыж, дети (уровень 2) | 
| 24 | 54 | st10.007 | Операции по поводу грыж, дети (уровень 3) | 
| 25 | 79 | st13.002 | Нестабильная стенокардия, инфаркт миокарда, легочная эмболия (уровень 2) | 
| 26 | 81 | st13.005 | Нарушения ритма и проводимости (уровень 2) | 
| 27 | 83 | st13.007 | Эндокардит, миокардит, перикардит, кардиомиопатии (уровень 2) | 
| 28 | 84 | st13.008 | Инфаркт миокарда, легочная эмболия, лечение с применением тромболитической терапии (уровень 1) | 
| 29 | 85 | st13.009 | Инфаркт миокарда, легочная эмболия, лечение с применением тромболитической терапии (уровень 2) | 
| 30 | 86 | st13.010 | Инфаркт миокарда, легочная эмболия, лечение с применением тромболитической терапии (уровень 3) | 
| 31 | 87 | st14.001 | Операции на кишечнике и анальной области (уровень 1) | 
| 32 | 88 | st14.002 | Операции на кишечнике и анальной области (уровень 2) | 
| 33 | 89 | st14.003 | Операции на кишечнике и анальной области (уровень 3) | 
| 34 | 103 | st15.015 | Инфаркт мозга (уровень 2) | 
| 35 | 104 | st15.016 | Инфаркт мозга (уровень 3) | 
| 36 | 115 | st16.007 | Операции на центральной нервной системе и головном мозге (уровень 1) | 
| 37 | 116 | st16.008 | Операции на центральной нервной системе и головном мозге (уровень 2) | 
| 38 | 117 | st16.009 | Операции на периферической нервной системе (уровень 1) | 
| 39 | 118 | st16.010 | Операции на периферической нервной системе (уровень 2) | 
| 40 | 119 | st16.011 | Операции на периферической нервной системе (уровень 3) | 
| 41 | 129 | st18.002 | Формирование, имплантация, реконструкция, удаление, смена доступа для диализа | 
| 42 | 131 | st19.001 | Операции на женских половых органах при злокачественных новообразованиях (уровень 1) | 
| 43 | 132 | st19.002 | Операции на женских половых органах при злокачественных новообразованиях (уровень 2) | 
| 44 | 133 | st19.003 | Операции на женских половых органах при злокачественных новообразованиях (уровень 3) | 
| 45 | 134 | st19.004 | Операции на кишечнике и анальной области при злокачественных новообразованиях (уровень 1) | 
| 46 | 135 | st19.005 | Операции на кишечнике и анальной области при злокачественных новообразованиях (уровень 2) | 
| 47 | 136 | st19.006 | Операции при злокачественных новообразованиях почки и мочевыделительной системы (уровень 1) | 
| 48 | 137 | st19.007 | Операции при злокачественных новообразованиях почки и мочевыделительной системы (уровень 2) | 
| 49 | 138 | st19.008 | Операции при злокачественных новообразованиях почки и мочевыделительной системы (уровень 3) | 
| 50 | 139 | st19.009 | Операции при злокачественных новообразованиях кожи (уровень 1) | 
| 51 | 140 | st19.010 | Операции при злокачественных новообразованиях кожи (уровень 2) | 
| 52 | 141 | st19.011 | Операции при злокачественных новообразованиях кожи (уровень 3) | 
| 53 | 142 | st19.012 | Операции при злокачественном новообразовании щитовидной железы (уровень 1) | 
| 54 | 143 | st19.013 | Операции при злокачественном новообразовании щитовидной железы (уровень 2) | 
| 55 | 144 | st19.014 | Мастэктомия, другие операции при злокачественном новообразовании молочной железы (уровень 1) | 
| 56 | 145 | st19.015 | Мастэктомия, другие операции при злокачественном новообразовании молочной железы (уровень 2) | 
| 57 | 146 | st19.016 | Операции при злокачественном новообразовании желчного пузыря, желчных протоков и поджелудочной железы (уровень 1) | 
| 58 | 147 | st19.017 | Операции при злокачественном новообразовании желчного пузыря, желчных протоков и поджелудочной железы (уровень 2) | 
| 59 | 148 | st19.018 | Операции при злокачественном новообразовании пищевода, желудка (уровень 1) | 
| 60 | 149 | st19.019 | Операции при злокачественном новообразовании пищевода, желудка (уровень 2) | 
| 61 | 150 | st19.020 | Операции при злокачественном новообразовании пищевода, желудка (уровень 3) | 
| 62 | 151 | st19.021 | Другие операции при злокачественном новообразовании брюшной полости | 
| 63 | 152 | st19.022 | Операции на органе слуха, придаточных пазухах носа и верхних дыхательных путях при злокачественных новообразованиях | 
| 64 | 153 | st19.023 | Операции на нижних дыхательных путях и легочной ткани при злокачественных новообразованиях (уровень 1) | 
| 65 | 154 | st19.024 | Операции на нижних дыхательных путях и легочной ткани при злокачественных новообразованиях (уровень 2) | 
| 66 | 155 | st19.025 | Операции при злокачественных новообразованиях мужских половых органов (уровень 1) | 
| 67 | 156 | st19.026 | Операции при злокачественных новообразованиях мужских половых органов (уровень 2) | 
| 68 | 157 | st19.123 | Прочие операции при ЗНО (уровень 1) | 
| 69 | 158 | st19.124 | Прочие операции при ЗНО (уровень 2) | 
| 70 | 160 | st19.038 | Установка, замена порт-системы (катетера) для лекарственной терапии злокачественных новообразований | 
| 71 | 189 | st19.104 | Эвисцерация малого таза при лучевых повреждениях | 
| 72 | 214 | st20.005 | Операции на органе слуха, придаточных пазухах носа и верхних дыхательных путях (уровень 1) | 
| 73 | 215 | st20.006 | Операции на органе слуха, придаточных пазухах носа и верхних дыхательных путях (уровень 2) | 
| 74 | 216 | st20.007 | Операции на органе слуха, придаточных пазухах носа и верхних дыхательных путях (уровень 3) | 
| 75 | 217 | st20.008 | Операции на органе слуха, придаточных пазухах носа и верхних дыхательных путях (уровень 4) | 
| 76 | 218 | st20.009 | Операции на органе слуха, придаточных пазухах носа и верхних дыхательных путях (уровень 5) | 
| 77 | 219 | st20.010 | Замена речевого процессора | 
| 78 | 220 | st21.001 | Операции на органе зрения (уровень 1) | 
| 79 | 221 | st21.002 | Операции на органе зрения (уровень 2) | 
| 80 | 222 | st21.003 | Операции на органе зрения (уровень 3) | 
| 81 | 223 | st21.004 | Операции на органе зрения (уровень 4) | 
| 82 | 224 | st21.005 | Операции на органе зрения (уровень 5) | 
| 83 | 225 | st21.006 | Операции на органе зрения (уровень 6) | 
| 84 | 228 | st21.009 | Операции на органе зрения (факоэмульсификация с имплантацией ИОЛ) | 
| 85 | 242 | st24.004 | Ревматические болезни сердца (уровень 2) | 
| 86 | 246 | st25.004 | Диагностическое обследование сердечно-сосудистой системы | 
| 87 | 247 | st25.005 | Операции на сердце и коронарных сосудах (уровень 1) | 
| 88 | 248 | st25.006 | Операции на сердце и коронарных сосудах (уровень 2) | 
| 89 | 249 | st25.007 | Операции на сердце и коронарных сосудах (уровень 3) | 
| 90 | 250 | st25.008 | Операции на сосудах (уровень 1) | 
| 91 | 251 | st25.009 | Операции на сосудах (уровень 2) | 
| 92 | 252 | st25.010 | Операции на сосудах (уровень 3) | 
| 93 | 253 | st25.011 | Операции на сосудах (уровень 4) | 
| 94 | 254 | st25.012 | Операции на сосудах (уровень 5) | 
| 95 | 262 | st27.007 | Стенокардия (кроме нестабильной), хроническая ишемическая болезнь сердца (уровень 2) | 
| 96 | 264 | st27.009 | Другие болезни сердца (уровень 2) | 
| 97 | 271 | st28.002 | Операции на нижних дыхательных путях и легочной ткани, органах средостения (уровень 1) | 
| 98 | 272 | st28.003 | Операции на нижних дыхательных путях и легочной ткани, органах средостения (уровень 2) | 
| 99 | 273 | st28.004 | Операции на нижних дыхательных путях и легочной ткани, органах средостения (уровень 3) | 
| 100 | 274 | st28.005 | Операции на нижних дыхательных путях и легочной ткани, органах средостения (уровень 4) | 
| 101 | 281 | st29.007 | Тяжелая множественная и сочетанная травма (политравма) | 
| 102 | 282 | st29.008 | Эндопротезирование суставов | 
| 103 | 283 | st29.009 | Операции на костно-мышечной системе и суставах (уровень 1) | 
| 104 | 284 | st29.010 | Операции на костно-мышечной системе и суставах (уровень 2) | 
| 105 | 285 | st29.011 | Операции на костно-мышечной системе и суставах (уровень 3) | 
| 106 | 286 | st29.012 | Операции на костно-мышечной системе и суставах (уровень 4) | 
| 107 | 287 | st29.013 | Операции на костно-мышечной системе и суставах (уровень 5) | 
| 108 | 293 | st30.006 | Операции на мужских половых органах, взрослые (уровень 1) | 
| 109 | 294 | st30.007 | Операции на мужских половых органах, взрослые (уровень 2) | 
| 110 | 295 | st30.008 | Операции на мужских половых органах, взрослые (уровень 3) | 
| 111 | 296 | st30.009 | Операции на мужских половых органах, взрослые (уровень 4) | 
| 112 | 297 | st30.010 | Операции на почке и мочевыделительной системе, взрослые (уровень 1) | 
| 113 | 298 | st30.011 | Операции на почке и мочевыделительной системе, взрослые (уровень 2) | 
| 114 | 299 | st30.012 | Операции на почке и мочевыделительной системе, взрослые (уровень 3) | 
| 115 | 300 | st30.013 | Операции на почке и мочевыделительной системе, взрослые (уровень 4) | 
| 116 | 301 | st30.014 | Операции на почке и мочевыделительной системе, взрослые (уровень 5) | 
| 117 | 302 | st30.015 | Операции на почке и мочевыделительной системе, взрослые (уровень 6) | 
| 118 | 304 | st31.002 | Операции на коже, подкожной клетчатке, придатках кожи (уровень 1) | 
| 119 | 305 | st31.003 | Операции на коже, подкожной клетчатке, придатках кожи (уровень 2) | 
| 120 | 306 | st31.004 | Операции на коже, подкожной клетчатке, придатках кожи (уровень 3) | 
| 121 | 307 | st31.005 | Операции на коже, подкожной клетчатке, придатках кожи (уровень 4) | 
| 122 | 308 | st31.006 | Операции на органах кроветворения и иммунной системы (уровень 1) | 
| 123 | 309 | st31.007 | Операции на органах кроветворения и иммунной системы (уровень 2) | 
| 124 | 310 | st31.008 | Операции на органах кроветворения и иммунной системы (уровень 3) | 
| 125 | 311 | st31.009 | Операции на эндокринных железах кроме гипофиза (уровень 1) | 
| 126 | 312 | st31.010 | Операции на эндокринных железах кроме гипофиза (уровень 2) | 
| 127 | 317 | st31.015 | Остеомиелит (уровень 3) | 
| 128 | 321 | st31.019 | Операции на молочной железе (кроме злокачественных новообразований) | 
| 129 | 322 | st32.001 | Операции на желчном пузыре и желчевыводящих путях (уровень 1) | 
| 130 | 323 | st32.002 | Операции на желчном пузыре и желчевыводящих путях (уровень 2) | 
| 131 | 324 | st32.003 | Операции на желчном пузыре и желчевыводящих путях (уровень 3) | 
| 132 | 325 | st32.004 | Операции на желчном пузыре и желчевыводящих путях (уровень 4) | 
| 133 | 326 | st32.005 | Операции на печени и поджелудочной железе (уровень 1) | 
| 134 | 327 | st32.006 | Операции на печени и поджелудочной железе (уровень 2) | 
| 135 | 328 | st32.007 | Панкреатит, хирургическое лечение | 
| 136 | 329 | st32.008 | Операции на пищеводе, желудке, двенадцатиперстной кишке (уровень 1) | 
| 137 | 330 | st32.009 | Операции на пищеводе, желудке, двенадцатиперстной кишке (уровень 2) | 
| 138 | 331 | st32.010 | Операции на пищеводе, желудке, двенадцатиперстной кишке (уровень 3) | 
| 139 | 332 | st32.011 | Аппендэктомия, взрослые (уровень 1) | 
| 140 | 333 | st32.012 | Аппендэктомия, взрослые (уровень 2) | 
| 141 | 334 | st32.013 | Операции по поводу грыж, взрослые (уровень 1) | 
| 142 | 335 | st32.014 | Операции по поводу грыж, взрослые (уровень 2) | 
| 143 | 336 | st32.015 | Операции по поводу грыж, взрослые (уровень 3) | 
| 144 | 337 | st32.019 | Операции по поводу грыж, взрослые (уровень 4) | 
| 145 | 338 | st32.016 | Другие операции на органах брюшной полости (уровень 1) | 
| 146 | 339 | st32.017 | Другие операции на органах брюшной полости (уровень 2) | 
| 147 | 340 | st32.018 | Другие операции на органах брюшной полости (уровень 3) | 
| 148 | 350 | st34.002 | Операции на органах полости рта (уровень 1) | 
| 149 | 351 | st34.003 | Операции на органах полости рта (уровень 2) | 
| 150 | 352 | st34.004 | Операции на органах полости рта (уровень 3) | 
| 151 | 353 | st34.005 | Операции на органах полости рта (уровень 4) | 
| 152 | 374 | st36.009 | Реинфузия аутокрови | 
| 153 | 375 | st36.010 | Баллонная внутриаортальная контрпульсация | 
| 154 | 376 | st36.011 | Экстракорпоральная мембранная оксигенация | 
Приложение N 7/6
к Тарифному соглашению
в сфере обязательного
медицинского страхования
Челябинской области
от 30 декабря 2022 г. N 199-ОМС 
Перечень КСГ дневного стационара,
которые предполагают хирургическое
вмешательство или тромболитическую
терапию
| N п/п | N КСГ | Код КСГ | Наименование КСГ | 
| А | 1 | 2 | 3 | 
| 1 | 5 | ds02.006 | Искусственное прерывание беременности (аборт) | 
| 2 | 3 | ds02.003 | Операции на женских половых органах (уровень 1) | 
| 3 | 4 | ds02.004 | Операции на женских половых органах (уровень 2) | 
| 4 | 24 | ds09.001 | Операции на мужских половых органах, дети | 
| 5 | 25 | ds09.002 | Операции на почке и мочевыделительной системе, дети | 
| 6 | 26 | ds10.001 | Операции по поводу грыж, дети | 
| 7 | 40 | ds13.002 | Болезни системы кровообращения с применением инвазивных методов | 
| 8 | 41 | ds14.001 | Операции на кишечнике и анальной области (уровень 1) | 
| 9 | 42 | ds14.002 | Операции на кишечнике и анальной области (уровень 2) | 
| 10 | 47 | ds16.002 | Операции на периферической нервной системе | 
| 11 | 51 | ds18.003 | Формирование, имплантация, удаление, смена доступа для диализа | 
| 12 | 53 | ds19.016 | Операции при злокачественных новообразованиях кожи (уровень 1) | 
| 13 | 54 | ds19.017 | Операции при злокачественных новообразованиях кожи (уровень 2) | 
| 14 | 55 | ds19.028 | Установка, замена порт-системы (катетера) для лекарственной терапии злокачественных новообразований | 
| 15 | 107 | ds20.002 | Операции на органе слуха, придаточных пазухах носа и верхних дыхательных путях (уровень 1) | 
| 16 | 108 | ds20.003 | Операции на органе слуха, придаточных пазухах носа и верхних дыхательных путях (уровень 2) | 
| 17 | 109 | ds20.004 | Операции на органе слуха, придаточных пазухах носа и верхних дыхательных путях (уровень 3) | 
| 18 | 110 | ds20.005 | Операции на органе слуха, придаточных пазухах носа и верхних дыхательных путях (уровень 4) | 
| 19 | 111 | ds20.006 | Замена речевого процессора | 
| 20 | 113 | ds21.002 | Операции на органе зрения (уровень 1) | 
| 21 | 114 | ds21.003 | Операции на органе зрения (уровень 2) | 
| 22 | 115 | ds21.004 | Операции на органе зрения (уровень 3) | 
| 23 | 116 | ds21.005 | Операции на органе зрения (уровень 4) | 
| 24 | 117 | ds21.006 | Операции на органе зрения (уровень 5) | 
| 25 | 118 | ds21.007 | Операции на органе зрения (факоэмульсификация с имплантацией ИОЛ) | 
| 26 | 123 | ds25.001 | Диагностическое обследование сердечно-сосудистой системы | 
| 27 | 124 | ds25.002 | Операции на сосудах (уровень 1) | 
| 28 | 125 | ds25.003 | Операции на сосудах (уровень 2) | 
| 29 | 128 | ds28.001 | Операции на нижних дыхательных путях и легочной ткани, органах средостения | 
| 30 | 129 | ds29.001 | Операции на костно-мышечной системе и суставах (уровень 1) | 
| 31 | 130 | ds29.002 | Операции на костно-мышечной системе и суставах (уровень 2) | 
| 32 | 131 | ds29.003 | Операции на костно-мышечной системе и суставах (уровень 3) | 
| 33 | 134 | ds30.002 | Операции на мужских половых органах, взрослые (уровень 1) | 
| 34 | 135 | ds30.003 | Операции на мужских половых органах, взрослые (уровень 2) | 
| 35 | 136 | ds30.004 | Операции на почке и мочевыделительной системе, взрослые (уровень 1) | 
| 36 | 137 | ds30.005 | Операции на почке и мочевыделительной системе, взрослые (уровень 2) | 
| 37 | 138 | ds30.006 | Операции на почке и мочевыделительной системе, взрослые (уровень 3) | 
| 38 | 140 | ds31.002 | Операции на коже, подкожной клетчатке, придатках кожи (уровень 1) | 
| 39 | 141 | ds31.003 | Операции на коже, подкожной клетчатке, придатках кожи (уровень 2) | 
| 40 | 142 | ds31.004 | Операции на коже, подкожной клетчатке, придатках кожи (уровень 3) | 
| 41 | 143 | ds31.005 | Операции на органах кроветворения и иммунной системы | 
| 42 | 144 | ds31.006 | Операции на молочной железе | 
| 43 | 145 | ds32.001 | Операции на пищеводе, желудке, двенадцатиперстной кишке (уровень 1) | 
| 44 | 146 | ds32.002 | Операции на пищеводе, желудке, двенадцатиперстной кишке (уровень 2) | 
| 45 | 147 | ds32.003 | Операции по поводу грыж, взрослые (уровень 1) | 
| 46 | 148 | ds32.004 | Операции по поводу грыж, взрослые (уровень 2) | 
| 47 | 149 | ds32.005 | Операции по поводу грыж, взрослые (уровень 3) | 
| 48 | 150 | ds32.006 | Операции на желчном пузыре и желчевыводящих путях | 
| 49 | 151 | ds32.007 | Другие операции на органах брюшной полости (уровень 1) | 
| 50 | 152 | ds32.008 | Другие операции на органах брюшной полости (уровень 2) | 
| 51 | 155 | ds34.002 | Операции на органах полости рта (уровень 1) | 
| 52 | 156 | ds34.003 | Операции на органах полости рта (уровень 2) | 
Приложение N 7/7
к Тарифному соглашению
в сфере обязательного
медицинского страхования
Челябинской области
от 30 декабря 2022 г. N 199-ОМС 
Доля заработной платы и прочих расходов
в структуре стоимости КСГ, используемая
при оплате медицинской помощи в
стационарных условиях
| N п/п | N КСГ | Код КСГ | Наименование КСГ | Доля | 
| А | 1 | 2 | 3 | 4 | 
| 1 | 15 | st02.014 | Слинговые операции при недержании мочи | 0,3045 | 
| 2 | 30 | st06.004 | Лечение дерматозов с применением наружной терапии | 0,9747 | 
| 3 | 31 | st06.005 | Лечение дерматозов с применением наружной терапии, физиотерапии, плазмафереза | 0,9849 | 
| 4 | 32 | st06.006 | Лечение дерматозов с применением наружной и системной терапии | 0,9904 | 
| 5 | 33 | st06.007 | Лечение дерматозов с применением наружной терапии и фототерапии | 0,9800 | 
| 6 | 73 | st12.015 | Коронавирусная инфекция COVID-19 (уровень 1) | 0,9112 | 
| 7 | 74.1 | st12.016.1 | Коронавирусная инфекция COVID-19 (уровень 2.1) | 0,6653 | 
| 8 | 74.2 | st12.016.2 | Коронавирусная инфекция COVID-19 (уровень 2.2) | 0,6653 | 
| 9 | 75 | st12.017 | Коронавирусная инфекция COVID-19 (уровень 3) | 0,6324 | 
| 10 | 76 | st12.018 | Коронавирусная инфекция COVID-19 (уровень 4) | 0,7763 | 
| 11 | 157 | st19.123 | Прочие операции при ЗНО (уровень 1) | 0,2813 | 
| 12 | 158 | st19.124 | Прочие операции при ЗНО (уровень 2) | 0,3956 | 
| 13 | 169 | st19.084 | Лучевая терапия в сочетании с лекарственной терапией (уровень 2) | 0,8708 | 
| 14 | 170 | st19.085 | Лучевая терапия в сочетании с лекарственной терапией (уровень 3) | 0,8884 | 
| 15 | 171 | st19.086 | Лучевая терапия в сочетании с лекарственной терапией (уровень 4) | 0,8705 | 
| 16 | 172 | st19.087 | Лучевая терапия в сочетании с лекарственной терапией (уровень 5) | 0,8849 | 
| 17 | 173 | st19.088 | Лучевая терапия в сочетании с лекарственной терапией (уровень 6) | 0,4603 | 
| 18 | 174 | st19.089 | Лучевая терапия в сочетании с лекарственной терапией (уровень 7) | 0,2676 | 
| 19 | 179 | st19.094 | ЗНО лимфоидной и кроветворной тканей, лекарственная терапия, взрослые (уровень 1) | 0,7986 | 
| 20 | 180 | st19.095 | ЗНО лимфоидной и кроветворной тканей, лекарственная терапия, взрослые (уровень 2) | 0,7986 | 
| 21 | 181 | st19.096 | ЗНО лимфоидной и кроветворной тканей, лекарственная терапия, взрослые (уровень 3) | 0,7986 | 
| 22 | 182 | st19.097 | ЗНО лимфоидной и кроветворной тканей, лекарственная терапия с применением отдельных препаратов (по перечню), взрослые (уровень 1) | 0,3282 | 
| 23 | 183 | st19.098 | ЗНО лимфоидной и кроветворной тканей, лекарственная терапия с применением отдельных препаратов (по перечню), взрослые (уровень 2) | 0,5281 | 
| 24 | 184 | st19.099 | ЗНО лимфоидной и кроветворной тканей, лекарственная терапия с применением отдельных препаратов (по перечню), взрослые (уровень 3) | 0,6216 | 
| 25 | 185 | st19.100 | ЗНО лимфоидной и кроветворной тканей, лекарственная терапия с применением отдельных препаратов (по перечню), взрослые (уровень 4) | 0,0634 | 
| 26 | 186 | st19.101 | ЗНО лимфоидной и кроветворной тканей, лекарственная терапия с применением отдельных препаратов (по перечню), взрослые (уровень 5) | 0,1939 | 
| 27 | 187 | st19.102 | ЗНО лимфоидной и кроветворной тканей, лекарственная терапия с применением отдельных препаратов (по перечню), взрослые (уровень 6) | 0,2964 | 
| 28 | 190 | st19.122 | Посттрансплантационный период после пересадки костного мозга | 0,6244 | 
| 29 | 191 | st19.125 | Лекарственная терапия при злокачественных новообразованиях (кроме лимфоидной и кроветворной тканей), взрослые (уровень 1) | 0,5799 | 
| 30 | 192 | st19.126 | Лекарственная терапия при злокачественных новообразованиях (кроме лимфоидной и кроветворной тканей), взрослые (уровень 2) | 0,3781 | 
| 31 | 193 | st19.127 | Лекарственная терапия при злокачественных новообразованиях (кроме лимфоидной и кроветворной тканей), взрослые (уровень 3) | 0,2099 | 
| 32 | 194 | st19.128 | Лекарственная терапия при злокачественных новообразованиях (кроме лимфоидной и кроветворной тканей), взрослые (уровень 4) | 0,2900 | 
| 33 | 195 | st19.129 | Лекарственная терапия при злокачественных новообразованиях (кроме лимфоидной и кроветворной тканей), взрослые (уровень 5) | 0,2584 | 
| 34 | 196 | st19.130 | Лекарственная терапия при злокачественных новообразованиях (кроме лимфоидной и кроветворной тканей), взрослые (уровень 6) | 0,0865 | 
| 35 | 197 | st19.131 | Лекарственная терапия при злокачественных новообразованиях (кроме лимфоидной и кроветворной тканей), взрослые (уровень 7) | 0,0964 | 
| 36 | 198 | st19.132 | Лекарственная терапия при злокачественных новообразованиях (кроме лимфоидной и кроветворной тканей), взрослые (уровень 8) | 0,0830 | 
| 37 | 199 | st19.133 | Лекарственная терапия при злокачественных новообразованиях (кроме лимфоидной и кроветворной тканей), взрослые (уровень 9) | 0,0825 | 
| 38 | 200 | st19.134 | Лекарственная терапия при злокачественных новообразованиях (кроме лимфоидной и кроветворной тканей), взрослые (уровень 10) | 0,0581 | 
| 39 | 201 | st19.135 | Лекарственная терапия при злокачественных новообразованиях (кроме лимфоидной и кроветворной тканей), взрослые (уровень 11) | 0,0636 | 
| 40 | 202 | st19.136 | Лекарственная терапия при злокачественных новообразованиях (кроме лимфоидной и кроветворной тканей), взрослые (уровень 12) | 0,0372 | 
| 41 | 203 | st19.137 | Лекарственная терапия при злокачественных новообразованиях (кроме лимфоидной и кроветворной тканей), взрослые (уровень 13) | 0,0234 | 
| 42 | 204 | st19.138 | Лекарственная терапия при злокачественных новообразованиях (кроме лимфоидной и кроветворной тканей), взрослые (уровень 14) | 0,0211 | 
| 43 | 205 | st19.139 | Лекарственная терапия при злокачественных новообразованиях (кроме лимфоидной и кроветворной тканей), взрослые (уровень 15) | 0,0159 | 
| 44 | 206 | st19.140 | Лекарственная терапия при злокачественных новообразованиях (кроме лимфоидной и кроветворной тканей), взрослые (уровень 16) | 0,0125 | 
| 45 | 207 | st19.141 | Лекарственная терапия при злокачественных новообразованиях (кроме лимфоидной и кроветворной тканей), взрослые (уровень 17) | 0,0099 | 
| 46 | 208 | st19.142 | Лекарственная терапия при злокачественных новообразованиях (кроме лимфоидной и кроветворной тканей), взрослые (уровень 18) | 0,0075 | 
| 47 | 209 | st19.143 | Лекарственная терапия при злокачественных новообразованиях (кроме лимфоидной и кроветворной тканей), взрослые (уровень 19) | 0,0056 | 
| 48 | 219 | st20.010 | Замена речевого процессора | 0,0074 | 
| 49 | 228 | st21.009 | Операции на органе зрения (факоэмульсификация с имплантацией ИОЛ) | 0,1438 | 
| 50 | 376 | st36.011 | Экстракорпоральная мембранная оксигенация | 0,2722 | 
| 51 | 378 | st36.013 | Проведение антимикробной терапии инфекций, вызванных полирезистентными микроорганизмами (уровень 1) | 0,0000 | 
| 52 | 379 | st36.014 | Проведение антимикробной терапии инфекций, вызванных полирезистентными микроорганизмами (уровень 2) | 0,0000 | 
| 53 | 380 | st36.015 | Проведение антимикробной терапии инфекций, вызванных полирезистентными микроорганизмами (уровень 3) | 0,0000 | 
| 54 | 381 | st36.024 | Радиойодтерапия | 0,7066 | 
| 55 | 382 | st36.025 | Проведение иммунизации против респираторно-синцитиальной вирусной инфекции (уровень 1) | 0,0585 | 
| 56 | 383 | st36.026 | Проведение иммунизации против респираторно-синцитиальной вирусной инфекции (уровень 2) | 0,0458 | 
| 57 | 384 | st36.027 | Лечение с применением генно-инженерных биологических препаратов и селективных иммунодепрессантов (инициация) | 0,3450 | 
| 58 | 385 | st36.028 | Лечение с применением генно-инженерных биологических препаратов и селективных иммунодепрессантов (уровень 1) | 0,7321 | 
| 59 | 386 | st36.029 | Лечение с применением генно-инженерных биологических препаратов и селективных иммунодепрессантов (уровень 2) | 0,5598 | 
| 60 | 387 | st36.030 | Лечение с применением генно-инженерных биологических препаратов и селективных иммунодепрессантов (уровень 3) | 0,4689 | 
| 61 | 388 | st36.031 | Лечение с применением генно-инженерных биологических препаратов и селективных иммунодепрессантов (уровень 4) | 0,3590 | 
| 62 | 389 | st36.032 | Лечение с применением генно-инженерных биологических препаратов и селективных иммунодепрессантов (уровень 5) | 0,2865 | 
| 63 | 390 | st36.033 | Лечение с применением генно-инженерных биологических препаратов и селективных иммунодепрессантов (уровень 6) | 0,2107 | 
| 64 | 391 | st36.034 | Лечение с применением генно-инженерных биологических препаратов и селективных иммунодепрессантов (уровень 7) | 0,1705 | 
| 65 | 392 | st36.035 | Лечение с применением генно-инженерных биологических препаратов и селективных иммунодепрессантов (уровень 8) | 0,1457 | 
| 66 | 393 | st36.036 | Лечение с применением генно-инженерных биологических препаратов и селективных иммунодепрессантов (уровень 9) | 0,1177 | 
| 67 | 394 | st36.037 | Лечение с применением генно-инженерных биологических препаратов и селективных иммунодепрессантов (уровень 10) | 0,1039 | 
| 68 | 395 | st36.038 | Лечение с применением генно-инженерных биологических препаратов и селективных иммунодепрессантов (уровень 11) | 0,0843 | 
| 69 | 396 | st36.039 | Лечение с применением генно-инженерных биологических препаратов и селективных иммунодепрессантов (уровень 12) | 0,0621 | 
| 70 | 397 | st36.040 | Лечение с применением генно-инженерных биологических препаратов и селективных иммунодепрессантов (уровень 13) | 0,0429 | 
| 71 | 398 | st36.041 | Лечение с применением генно-инженерных биологических препаратов и селективных иммунодепрессантов (уровень 14) | 0,0346 | 
| 72 | 399 | st36.042 | Лечение с применением генно-инженерных биологических препаратов и селективных иммунодепрессантов (уровень 15) | 0,0278 | 
| 73 | 400 | st36.043 | Лечение с применением генно-инженерных биологических препаратов и селективных иммунодепрессантов (уровень 16) | 0,0184 | 
| 74 | 401 | st36.044 | Лечение с применением генно-инженерных биологических препаратов и селективных иммунодепрессантов (уровень 17) | 0,0092 | 
| 75 | 402 | st36.045 | Лечение с применением генно-инженерных биологических препаратов и селективных иммунодепрессантов (уровень 18) | 0,0085 | 
| 76 | 403 | st36.046 | Лечение с применением генно-инженерных биологических препаратов и селективных иммунодепрессантов (уровень 19) | 0,0044 | 
| 77 | 404 | st36.047 | Лечение с применением генно-инженерных биологических препаратов и селективных иммунодепрессантов (уровень 20) | 0,0021 | 
Приложение N 7/8
к Тарифному соглашению
в сфере обязательного
медицинского страхования
Челябинской области
от 30 декабря 2022 г. N 199-ОМС 
Доля заработной платы и прочих расходов
в структуре стоимости КСГ, используемая
при оплате медицинской помощи в условиях
дневного стационара
| N п/п | N КСГ | Код КСГ | Наименование КСГ | Доля | 
| А | 1 | 2 | 3 | 4 | 
| 1 | 7 | ds02.008 | Экстракорпоральное оплодотворение (уровень 1) | 0,1640 | 
| 2 | 8 | ds02.009 | Экстракорпоральное оплодотворение (уровень 2) | 0,2087 | 
| 3 | 9 | ds02.010 | Экстракорпоральное оплодотворение (уровень 3) | 0,1827 | 
| 4 | 10 | ds02.011 | Экстракорпоральное оплодотворение (уровень 4) | 0,1759 | 
| 5 | 16 | ds06.002 | Лечение дерматозов с применением наружной терапии | 0,9744 | 
| 6 | 17 | ds06.003 | Лечение дерматозов с применением наружной терапии, физиотерапии, плазмафереза | 0,9630 | 
| 7 | 18 | ds06.004 | Лечение дерматозов с применением наружной и системной терапии | 0,9827 | 
| 8 | 19 | ds06.005 | Лечение дерматозов с применением наружной терапии и фототерапии | 0,9820 | 
| 9 | 35 | ds12.012 | Лечение хронического вирусного гепатита C (уровень 1) | 0,1088 | 
| 10 | 36 | ds12.013 | Лечение хронического вирусного гепатита C (уровень 2) | 0,0736 | 
| 11 | 37 | ds12.014 | Лечение хронического вирусного гепатита C (уровень 3) | 0,0517 | 
| 12 | 38 | ds12.015 | Лечение хронического вирусного гепатита C (уровень 4) | 0,0357 | 
| 13 | 66 | ds19.058 | Лучевая терапия в сочетании с лекарственной терапией (уровень 1) | 0,7838 | 
| 14 | 67 | ds19.060 | Лучевая терапия в сочетании с лекарственной терапией (уровень 3) | 0,8264 | 
| 15 | 68 | ds19.061 | Лучевая терапия в сочетании с лекарственной терапией (уровень 4) | 0,3186 | 
| 16 | 69 | ds19.062 | Лучевая терапия в сочетании с лекарственной терапией (уровень 5) | 0,1669 | 
| 17 | 74 | ds19.067 | ЗНО лимфоидной и кроветворной тканей, лекарственная терапия, взрослые (уровень 1) | 0,6210 | 
| 18 | 75 | ds19.068 | ЗНО лимфоидной и кроветворной тканей, лекарственная терапия, взрослые (уровень 2) | 0,6210 | 
| 19 | 76 | ds19.069 | ЗНО лимфоидной и кроветворной тканей, лекарственная терапия, взрослые (уровень 3) | 0,6210 | 
| 20 | 77 | ds19.070 | ЗНО лимфоидной и кроветворной тканей, лекарственная терапия, взрослые (уровень 4) | 0,6210 | 
| 21 | 78 | ds19.071 | ЗНО лимфоидной и кроветворной тканей, лекарственная терапия с применением отдельных препаратов (по перечню), взрослые (уровень 1) | 0,0602 | 
| 22 | 79 | ds19.072 | ЗНО лимфоидной и кроветворной тканей, лекарственная терапия с применением отдельных препаратов (по перечню), взрослые (уровень 2) | 0,1912 | 
| 23 | 80 | ds19.073 | ЗНО лимфоидной и кроветворной тканей, лекарственная терапия с применением отдельных препаратов (по перечню), взрослые (уровень 3) | 0,3171 | 
| 24 | 81 | ds19.074 | ЗНО лимфоидной и кроветворной тканей, лекарственная терапия с применением отдельных препаратов (по перечню), взрослые (уровень 4) | 0,4149 | 
| 25 | 82 | ds19.075 | ЗНО лимфоидной и кроветворной тканей, лекарственная терапия с применением отдельных препаратов (по перечню), взрослые (уровень 5) | 0,0065 | 
| 26 | 83 | ds19.076 | ЗНО лимфоидной и кроветворной тканей, лекарственная терапия с применением отдельных препаратов (по перечню), взрослые (уровень 6) | 0,0259 | 
| 27 | 84 | ds19.077 | ЗНО лимфоидной и кроветворной тканей, лекарственная терапия с применением отдельных препаратов (по перечню), взрослые (уровень 7) | 0,0735 | 
| 28 | 85 | ds19.078 | ЗНО лимфоидной и кроветворной тканей, лекарственная терапия с применением отдельных препаратов (по перечню), взрослые (уровень 8) | 0,1033 | 
| 29 | 87 | ds19.097 | Лекарственная терапия при злокачественных новообразованиях (кроме лимфоидной и кроветворной тканей), взрослые (уровень 1) | 0,2892 | 
| 30 | 88 | ds19.098 | Лекарственная терапия при злокачественных новообразованиях (кроме лимфоидной и кроветворной тканей), взрослые (уровень 2) | 0,1319 | 
| 31 | 89 | ds19.099 | Лекарственная терапия при злокачественных новообразованиях (кроме лимфоидной и кроветворной тканей), взрослые (уровень 3) | 0,1485 | 
| 32 | 90 | ds19.100 | Лекарственная терапия при злокачественных новообразованиях (кроме лимфоидной и кроветворной тканей), взрослые (уровень 4) | 0,2877 | 
| 33 | 91 | ds19.101 | Лекарственная терапия при злокачественных новообразованиях (кроме лимфоидной и кроветворной тканей), взрослые (уровень 5) | 0,1339 | 
| 34 | 92 | ds19.102 | Лекарственная терапия при злокачественных новообразованиях (кроме лимфоидной и кроветворной тканей), взрослые (уровень 6) | 0,0488 | 
| 35 | 93 | ds19.103 | Лекарственная терапия при злокачественных новообразованиях (кроме лимфоидной и кроветворной тканей), взрослые (уровень 7) | 0,1523 | 
| 36 | 94 | ds19.104 | Лекарственная терапия при злокачественных новообразованиях (кроме лимфоидной и кроветворной тканей), взрослые (уровень 8) | 0,1506 | 
| 37 | 95 | ds19.105 | Лекарственная терапия при злокачественных новообразованиях (кроме лимфоидной и кроветворной тканей), взрослые (уровень 9) | 0,1414 | 
| 38 | 96 | ds19.106 | Лекарственная терапия при злокачественных новообразованиях (кроме лимфоидной и кроветворной тканей), взрослые (уровень 10) | 0,2312 | 
| 39 | 97 | ds19.107 | Лекарственная терапия при злокачественных новообразованиях (кроме лимфоидной и кроветворной тканей), взрослые (уровень 11) | 0,2053 | 
| 40 | 98 | ds19.108 | Лекарственная терапия при злокачественных новообразованиях (кроме лимфоидной и кроветворной тканей), взрослые (уровень 12) | 0,0411 | 
| 41 | 99 | ds19.109 | Лекарственная терапия при злокачественных новообразованиях (кроме лимфоидной и кроветворной тканей), взрослые (уровень 13) | 0,0984 | 
| 42 | 100 | ds19.110 | Лекарственная терапия при злокачественных новообразованиях (кроме лимфоидной и кроветворной тканей), взрослые (уровень 14) | 0,0729 | 
| 43 | 101 | ds19.111 | Лекарственная терапия при злокачественных новообразованиях (кроме лимфоидной и кроветворной тканей), взрослые (уровень 15) | 0,0348 | 
| 44 | 102 | ds19.112 | Лекарственная терапия при злокачественных новообразованиях (кроме лимфоидной и кроветворной тканей), взрослые (уровень 16) | 0,0564 | 
| 45 | 103 | ds19.113 | Лекарственная терапия при злокачественных новообразованиях (кроме лимфоидной и кроветворной тканей), взрослые (уровень 17) | 0,0661 | 
| 46 | 104 | ds19.114 | Лекарственная терапия при злокачественных новообразованиях (кроме лимфоидной и кроветворной тканей), взрослые (уровень 18) | 0,0022 | 
| 47 | 105 | ds19.115 | Лекарственная терапия при злокачественных новообразованиях (кроме лимфоидной и кроветворной тканей), взрослые (уровень 19) | 0,0036 | 
| 48 | 111 | ds20.006 | Замена речевого процессора | 0,0023 | 
| 49 | 118 | ds21.007 | Операции на органе зрения (факоэмульсификация с имплантацией ИОЛ) | 0,1032 | 
| 50 | 167 | ds36.012 | Проведение иммунизации против респираторно-синцитиальной вирусной инфекции (уровень 1) | 0,0109 | 
| 51 | 168 | ds36.013 | Проведение иммунизации против респираторно-синцитиальной вирусной инфекции (уровень 2) | 0,0051 | 
| 52 | 169 | ds36.014 | Лечение с применением генно-инженерных биологических препаратов и селективных иммунодепрессантов (инициация) | 0,1300 | 
| 53 | 170 | ds36.015 | Лечение с применением генно-инженерных биологических препаратов и селективных иммунодепрессантов (уровень 1) | 0,1919 | 
| 54 | 171 | ds36.016 | Лечение с применением генно-инженерных биологических препаратов и селективных иммунодепрессантов (уровень 2) | 0,0947 | 
| 55 | 172 | ds36.017 | Лечение с применением генно-инженерных биологических препаратов и селективных иммунодепрессантов (уровень 3) | 0,0542 | 
| 56 | 173 | ds36.018 | Лечение с применением генно-инженерных биологических препаратов и селективных иммунодепрессантов (уровень 4) | 0,0405 | 
| 57 | 174 | ds36.019 | Лечение с применением генно-инженерных биологических препаратов и селективных иммунодепрессантов (уровень 5) | 0,0288 | 
| 58 | 175 | ds36.020 | Лечение с применением генно-инженерных биологических препаратов и селективных иммунодепрессантов (уровень 6) | 0,0229 | 
| 59 | 176 | ds36.021 | Лечение с применением генно-инженерных биологических препаратов и селективных иммунодепрессантов (уровень 7) | 0,0183 | 
| 60 | 177 | ds36.022 | Лечение с применением генно-инженерных биологических препаратов и селективных иммунодепрессантов (уровень 8) | 0,0851 | 
| 61 | 178 | ds36.023 | Лечение с применением генно-инженерных биологических препаратов и селективных иммунодепрессантов (уровень 9) | 0,0119 | 
| 62 | 179 | ds36.024 | Лечение с применением генно-инженерных биологических препаратов и селективных иммунодепрессантов (уровень 10) | 0,0098 | 
| 63 | 180 | ds36.025 | Лечение с применением генно-инженерных биологических препаратов и селективных иммунодепрессантов (уровень 11) | 0,0932 | 
| 64 | 181 | ds36.026 | Лечение с применением генно-инженерных биологических препаратов и селективных иммунодепрессантов (уровень 12) | 0,0063 | 
| 65 | 182 | ds36.027 | Лечение с применением генно-инженерных биологических препаратов и селективных иммунодепрессантов (уровень 13) | 0,0620 | 
| 66 | 183 | ds36.028 | Лечение с применением генно-инженерных биологических препаратов и селективных иммунодепрессантов (уровень 14) | 0,0211 | 
| 67 | 184 | ds36.029 | Лечение с применением генно-инженерных биологических препаратов и селективных иммунодепрессантов (уровень 15) | 0,0029 | 
| 68 | 185 | ds36.030 | Лечение с применением генно-инженерных биологических препаратов и селективных иммунодепрессантов (уровень 16) | 0,0019 | 
| 69 | 186 | ds36.031 | Лечение с применением генно-инженерных биологических препаратов и селективных иммунодепрессантов (уровень 17) | 0,0009 | 
| 70 | 187 | ds36.032 | Лечение с применением генно-инженерных биологических препаратов и селективных иммунодепрессантов (уровень 18) | 0,0008 | 
| 71 | 188 | ds36.033 | Лечение с применением генно-инженерных биологических препаратов и селективных иммунодепрессантов (уровень 19) | 0,0004 | 
| 72 | 189 | ds36.034 | Лечение с применением генно-инженерных биологических препаратов и селективных иммунодепрессантов (уровень 20) | 0,0002 | 
Приложение N 8
к Тарифному соглашению
в сфере обязательного
медицинского страхования
Челябинской области
от 30 декабря 2022 г. N 199-ОМС 
Перечень случаев, для которых установлен
коэффициент сложности лечения пациента
в стационарных условиях и в условиях
дневных стационаров 
Таблица 1
| N п/п | Случаи, для которых установлен КСЛП | Условия оказания | Значение КСЛП | 
| А | 1 | 2 | 3 | 
| 1 | Предоставление спального места и питания законному представителю несовершеннолетних (дети до 4 лет, дети старше 4 лет при наличии медицинских показаний), за исключением случаев, к которым применяется КСЛП, предусмотренный пунктом 2 настоящего перечня | КС | 0,2 | 
| 2 | Предоставление спального места и питания законному представителю несовершеннолетних (детей до 4 лет, детей старше 4 лет при наличии медицинских показаний), получающих медицинскую помощь по профилю "детская онкология" и (или) "гематология" | КС | 0,6 | 
| 3 | Оказание медицинской помощи пациенту в возрасте старше 75 лет в случае проведения консультации врача-гериатра (кроме случаев госпитализации на геронтологические профильные койки) | КС | 0,2 | 
| 4 | Развертывание индивидуального поста | КС | 0,2 | 
| 5 | Наличие у пациента тяжелой сопутствующей патологии, требующей оказания медицинской помощи в период госпитализации <1> | КС | 0,6 | 
| 6 | Проведение сочетанных хирургических вмешательств или проведение однотипных операций на парных органах (уровень 1) <2> | КС | 0,05 | 
| 7 | Проведение сочетанных хирургических вмешательств или проведение однотипных операций на парных органах (уровень 2) <2> | КС | 0,47 | 
| 8 | Проведение сочетанных хирургических вмешательств или проведение однотипных операций на парных органах (уровень 3) <2> | КС | 1,16 | 
| 9 | Проведение сочетанных хирургических вмешательств или проведение однотипных операций на парных органах (уровень 4) <2> | КС | 2,07 | 
| 10 | Проведение сочетанных хирургических вмешательств или проведение однотипных операций на парных органах (уровень 5) <2> | КС | 3,49 | 
| 11 | Проведение 1 этапа медицинской реабилитации пациентов <3> | КС | 0,15 | 
| 12 | Проведение сопроводительной лекарственной терапии при злокачественных новообразованиях у взрослых в стационарных условиях в соответствии с клиническими рекомендациями <*> | КС | 0,63 | 
| 13 | Проведение сопроводительной лекарственной терапии при злокачественных новообразованиях у взрослых в условиях дневного стационара в соответствии с клиническими рекомендациями <*> | ДС | 1,2 | 
| 14 | Проведение тестирования на выявление респираторных вирусных заболеваний (гриппа, новой коронавирусной инфекции COVID-19) в период госпитализации | КС | 0,05 | 
     <1> К таким сопутствующим
заболеваниям и осложнениям заболеваний
целесообразно относить:
     - Рассеянный склероз (G35);
     - Хронический лимфоцитарный лейкоз
(C91.1);
     - Состояния после трансплантации
органов и (или) тканей (Z94.0; Z94.1; Z94.4; Z94.8);
     - Детский церебральный паралич (G80);
     - ВИЧ/СПИД, стадии 4Б и 4В, взрослые (B20
- B24);
     - Перинатальный контакт по
ВИЧ-инфекции, дети (Z20.6);
     - Пароксизмальная ночная
гемоглобинурия (Маркиафавы-Микели) (D59.5);
     - Идиопатическая
тромбоцитопеническая пурпура (синдром
Эванса) (D69.3);
     - Дефект в системе комплемента (D84.1);
     - Преждевременная половая зрелость
центрального происхождения (E22.8);
     - Нарушения обмена ароматических
аминокислот (классическая
фенилкетонурия, другие виды
гиперфенилаланинемии) (E70.0, E70.1);
     - Тирозинемия (E70.2);
     - Болезнь "кленового сиропа" (E71.0);
     - Другие виды нарушений обмена
аминокислот с разветвленной цепью
(изовалериановая ацидемия,
метилмалоновая ацидемия, пропионовая
ацидемия) (E71.1);
     - Нарушения обмена жирных кислот
(E71.3);
     - Гомоцистинурия (E72.1);
     - Глютарикацидурия (E72.3);
     - Галактоземия (E74.2);
     - Другие сфинголипидозы: болезнь
Фабри (Фабри-Андерсона), Нимана-Пика (E75.2);
     - Острая перемежающая (печеночная)
порфирия (E80.2);
     - Нарушения обмена меди (болезнь
Вильсона) (E83.0);
     - Незавершенный остеогенез (Q78.0);
     - Легочная (артериальная)
гипертензия (идиопатическая) (первичная)
(I27.0);
     - Сахарный диабет I типа (Е10).
     <2> Перечень возможных
сочетанных хирургических вмешательств
установлен таблицей 2. Перечень
возможных однотипных операций на парных
органах/частях тела установлен таблицей
3.
     <3> При проведении
реабилитационных мероприятий при
нахождении пациента на реанимационной
койке и/или койке интенсивной терапии,
начавшихся не позднее 48 часов от
поступления в отделение реанимации или
на койку интенсивной терапии, с общей
длительностью реабилитационных
мероприятий не менее 5-ти суток, включая
период после перевода на профильные
койки по окончании реанимационных
мероприятий, при обязательной
продолжительности реабилитационных
мероприятий не менее одного часа в сутки
(при условии организации отделения
ранней медицинской реабилитации на не
менее чем 12 коек отделения, оказывающего
медицинскую помощь по профилю
"анестезиология и реанимация", и его
укомплектования в соответствии с
порядком оказания медицинской помощи по
медицинской реабилитации).
     * - стоимость КСЛП "Проведение
сопроводительной лекарственной терапии
при злокачественных новообразованиях у
взрослых в соответствии с клиническими
рекомендациями" в стационарных условиях
и в условиях дневных стационаров
определяется без учета коэффициента
дифференциации субъекта Российской
Федерации.
Перечень возможных сочетанных
(симультанных) хирургических
вмешательств, выполняемых во время одной
госпитализации, при которых применяется
КСЛП 
Таблица 2
| Уровень 1 | |||
| Операция 1 | Операция 2 | ||
| A16.01.031 | Устранение рубцовой деформации | A16.01.017.001 | Удаление доброкачественных новообразований кожи методом электрокоагуляции | 
| A16.01.031 | Устранение рубцовой деформации | A16.01.017 | Удаление доброкачественных новообразований кожи | 
| A16.01.013 | Удаление сосудистой мальформации | A16.01.017 | Удаление доброкачественных новообразований кожи | 
| A16.01.013 | Удаление сосудистой мальформации | A16.01.017.001 | Удаление доброкачественных новообразований кожи методом электрокоагуляции | 
| A16.18.027 | Эндоскопическое электрохирургическое удаление новообразования толстой кишки | A16.19.017 | Удаление полипа анального канала и прямой кишки | 
| A16.18.027 | Эндоскопическое электрохирургическое удаление новообразования толстой кишки | A16.19.003.001 | Иссечение анальной трещины | 
| A16.26.093 | Факоэмульсификация без интраокулярной линзы. Факофрагментация, факоаспирация | A16.26.073.003 | Проникающая склерэктомия | 
| A16.26.093.002 | Факоэмульсификация с имплантацией интраокулярной линзы | A16.26.070 | Модифицированная синустрабекулэктомия | 
| A16.26.093.001 | Факоэмульсификация с использованием фемтосекундного лазера | A16.26.070 | Модифицированная синустрабекулэктомия | 
| A16.26.049.008 | Сквозная кератопластика | A16.26.092 | Экстракапсулярная экстракция катаракты с имплантацией ИОЛ | 
| A16.07.061.001 | Хейлоринопластика (устранение врожденной расщелины верхней губы) | A16.07.042 | Пластика уздечки верхней губы | 
| A16.07.061.001 | Хейлоринопластика (устранение врожденной расщелины верхней губы) | A16.07.044 | Пластика уздечки языка | 
| A16.07.066 | Уранопластика (устранение врожденной расщелины твердого и мягкого неба) | A16.07.042 | Пластика уздечки верхней губы | 
| A16.07.066 | Уранопластика (устранение врожденной расщелины твердого и мягкого неба) | A16.07.044 | Пластика уздечки языка | 
| A16.30.014 | Экстирпация срединных кист и свищей шеи | A16.01.018 | Удаление доброкачественных новообразований подкожно-жировой клетчатки | 
| A16.30.014 | Экстирпация срединных кист и свищей шеи | A16.01.017 | Удаление доброкачественных новообразований кожи | 
| A16.30.015 | Экстирпация боковых свищей шеи | A16.01.018 | Удаление доброкачественных новообразований подкожно-жировой клетчатки | 
| A16.30.015 | Экстирпация боковых свищей шеи | A16.01.017 | Удаление доброкачественных новообразований кожи | 
| A16.07.016 | Цистотомия или цистэктомия | A16.01.018 | Удаление доброкачественных новообразований подкожно-жировой клетчатки | 
| A16.01.031 | Устранение рубцовой деформации | A16.01.018 | Удаление доброкачественных новообразований подкожно-жировой клетчатки | 
| A16.01.013 | Удаление сосудистой мальформации | A16.01.018 | Удаление доброкачественных новообразований подкожно-жировой клетчатки | 
| A16.26.106 | Удаление инородного тела, новообразования из глазницы | A16.26.111 | Пластика века (блефаропластика) без и с пересадкой тканей | 
| A16.07.016 | Цистотомия или цистэктомия | A16.07.042 | Пластика уздечки верхней губы | 
| A16.07.016 | Цистотомия или цистэктомия | A16.07.043 | Пластика уздечки нижней губы | 
| Уровень 2 | |||
| Операция 1 | Операция 2 | ||
| A16.12.009 | Тромбэндартерэктомия | A06.12.015 | Ангиография бедренной артерии прямая, обеих сторон | 
| A16.12.009.001 | Тромбоэктомия из сосудистого протеза | A06.12.015 | Ангиография бедренной артерии прямая, обеих сторон | 
| A16.12.038.006 | Бедренно-подколенное шунтирование | A06.12.015 | Ангиография бедренной артерии прямая, обеих сторон | 
| A16.12.008.001 | Эндартерэктомия каротидная | A06.12.005 | Ангиография внутренней сонной артерии | 
| A16.12.038.008 | Сонно-подключичное шунтирование | A06.12.007 | Ангиография артерий верхней конечности прямая | 
| A16.12.006.001 | Удаление поверхностных вен нижней конечности | A16.30.001 | Оперативное лечение пахово-бедренной грыжи | 
| A16.12.006.001 | Удаление поверхностных вен нижней конечности | A16.30.001.001 | Оперативное лечение пахово-бедренной грыжи с использованием видеоэндоскопических технологий | 
| A16.12.006.001 | Удаление поверхностных вен нижней конечности | A16.30.001.002 | Оперативное лечение пахово-бедренной грыжи с использованием сетчатых имплантов | 
| A16.14.009 | Холецистэктомия | A16.30.002 | Оперативное лечение пупочной грыжи | 
| A16.14.009 | Холецистэктомия | A16.30.003 | Оперативное лечение околопупочной грыжи | 
| A16.14.009 | Холецистэктомия | A16.30.004 | Оперативное лечение грыжи передней брюшной стенки | 
| A16.14.009.002 | Холецистэктомия лапароскопическая | A16.30.002 | Оперативное лечение пупочной грыжи | 
| A16.14.009.002 | Холецистэктомия лапароскопическая | A16.30.003 | Оперативное лечение околопупочной грыжи | 
| A16.14.009.002 | Холецистэктомия лапароскопическая | A16.30.004 | Оперативное лечение грыжи передней брюшной стенки | 
| A16.14.009.001 | Холецистэктомия малоинвазивная | A16.30.002 | Оперативное лечение пупочной грыжи | 
| A16.14.009.001 | Холецистэктомия малоинвазивная | A16.30.003 | Оперативное лечение околопупочной грыжи | 
| A16.14.009.001 | Холецистэктомия малоинвазивная | A16.30.004 | Оперативное лечение грыжи передней брюшной стенки | 
| A16.09.026.004 | Пластика диафрагмы с использованием видеоэндоскопических технологий | A16.16.006.001 | Бужирование пищевода эндоскопическое | 
| A16.22.001 | Гемитиреоидэктомия | A16.14.009.002 | Холецистэктомия лапароскопическая | 
| A16.22.001 | Гемитиреоидэктомия | A16.30.001 | Оперативное лечение пахово-бедренной грыжи | 
| A16.22.001 | Гемитиреоидэктомия | A16.30.001.001 | Оперативное лечение пахово-бедренной грыжи с использованием видеоэндоскопических технологий | 
| A16.22.001 | Гемитиреоидэктомия | A16.30.001.002 | Оперативное лечение пахово-бедренной грыжи с использованием сетчатых имплантов | 
| A16.22.001 | Гемитиреоидэктомия | A16.30.002 | Оперативное лечение пупочной грыжи | 
| A16.22.001 | Гемитиреоидэктомия | A16.30.002.001 | Оперативное лечение пупочной грыжи с использованием видеоэндоскопических технологий | 
| A16.22.001 | Гемитиреоидэктомия | A16.30.004 | Оперативное лечение грыжи передней брюшной стенки | 
| A16.20.032 | Резекция молочной железы | A16.20.004 | Сальпингэктомия лапаротомическая | 
| A16.20.032 | Резекция молочной железы | A16.20.017 | Удаление параовариальной кисты лапаротомическое | 
| A16.20.032 | Резекция молочной железы | A16.20.061 | Резекция яичника лапаротомическая | 
| A16.20.005 | Кесарево сечение | A16.20.041 | Стерилизация маточных труб лапаротомическая | 
| A16.20.005 | Кесарево сечение | A16.20.075 | Перевязка маточных артерий | 
| A16.20.063.001 | Влагалищная экстирпация матки с придатками с использованием видеоэндоскопических технологий | A16.20.083 | Кольпоперинеоррафия и леваторопластика | 
| A16.16.033.001 | Фундопликация лапароскопическая | A16.14.009.002 | Холецистэктомия лапароскопическая | 
| A16.18.027 | Эндоскопическое электрохирургическое удаление новообразования толстой кишки | A16.19.013 | Удаление геморроидальных узлов | 
| A16.28.071.001 | Иссечение кисты почки лапароскопическое | A16.20.001.001 | Удаление кисты яичника с использованием видеоэндоскопических технологий | 
| A16.21.002 | Трансуретральная резекция простаты | A16.28.085 | Трансуретральная эндоскопическая цистолитотрипсия | 
| A16.26.111.001 | Пластика верхних век без пересадки тканей чрескожным доступом | A16.26.041.001 | Пластика конъюнктивальной полости с использованием свободного лоскута слизистой со щеки | 
| A16.26.145 | Пластика опорнодвигательной культи при анофтальме | A16.26.041.001 | Пластика конъюнктивальной полости с использованием свободного лоскута слизистой со щеки | 
| A16.19.013 | Удаление геморроидальных узлов | A16.19.003.001 | Иссечение анальной трещины | 
| A16.26.093 | Факоэмульсификация без интраокулярной линзы. Факофрагментация, факоаспирация | A16.26.069 | Трабекулотомия | 
| A16.26.093 | Факоэмульсификация без интраокулярной линзы. Факофрагментация, факоаспирация | A16.26.146 | Реконструкция угла передней камеры глаза | 
| A16.30.004.011 | Оперативное лечение грыжи передней брюшной стенки с использованием сетчатых имплантов | A16.30.001.002 | Оперативное лечение пахово-бедренной грыжи с использованием сетчатых имплантов | 
| A16.30.004.011 | Оперативное лечение грыжи передней брюшной стенки с использованием сетчатых имплантов | A16.30.001.001 | Оперативное лечение пахово-бедренной грыжи с использованием видеоэндоскопических технологий | 
| A16.30.002.001 | Оперативное лечение пупочной грыжи с использованием видеоэндоскопических технологий | A16.30.001.002 | Оперативное лечение пахово-бедренной грыжи с использованием сетчатых имплантов | 
| A16.30.002.001 | Оперативное лечение пупочной грыжи с использованием видеоэндоскопических технологий | A16.30.001.001 | Оперативное лечение пахово-бедренной грыжи с использованием видеоэндоскопических технологий | 
| A16.30.002 | Оперативное лечение пупочной грыжи | A16.30.001 | Оперативное лечение пахово-бедренной грыжи | 
| A16.30.004 | Оперативное лечение грыжи передней брюшной стенки | A16.30.001 | Оперативное лечение пахово-бедренной грыжи | 
| A16.08.013.001 | Пластика носовой перегородки с использованием видеоэндоскопических технологий | A16.08.017.001 | Гайморотомия с использованием видеоэндоскопических технологий | 
| A16.26.093 | Факоэмульсификация без интраокулярной линзы. Факофрагментация, факоаспирация | A16.26.115 | Удаление силиконового масла (или иного высокомолекулярного соединения) из витреальной полости | 
| A16.26.099 | Эвисцерация глазного яблока | A16.26.041.001 | Пластика конъюнктивальной полости с использованием свободного лоскута слизистой со щеки | 
| A16.26.115 | Удаление силиконового масла (или иного высокомолекулярного соединения) из витреальной полости | A16.26.094 | Имплантация интраокулярной линзы | 
| A16.12.019.001 | Ревизия бедренных артерий | A16.12.028 | Установка стента в сосуд | 
| A16.12.019.001 | Ревизия бедренных артерий | A16.12.026 | Баллонная вазодилатация | 
| A16.12.019.001 | Ревизия бедренных артерий | A16.12.026.018 | Баллонная ангиопластика подвздошной артерии | 
| A16.14.009 | Холецистэктомия | A16.30.002.001 | Оперативное лечение пупочной грыжи с использованием видеоэндоскопических технологий | 
| A16.14.009 | Холецистэктомия | A16.30.002.002 | Оперативное лечение пупочной грыжи с использованием сетчатых имплантов | 
| A16.14.009 | Холецистэктомия | A16.30.004.011 | Оперативное лечение грыжи передней брюшной стенки с использованием сетчатых имплантов | 
| A16.14.009.002 | Холецистэктомия лапароскопическая | A16.30.002.001 | Оперативное лечение пупочной грыжи с использованием видеоэндоскопических технологий | 
| A16.14.009.002 | Холецистэктомия лапароскопическая | A16.30.002.002 | Оперативное лечение пупочной грыжи с использованием сетчатых имплантов | 
| A16.14.009.002 | Холецистэктомия лапароскопическая | A16.30.004.011 | Оперативное лечение грыжи передней брюшной стенки с использованием сетчатых имплантов | 
| A16.14.009.001 | Холецистэктомия малоинвазивная | A16.30.002.001 | Оперативное лечение пупочной грыжи с использованием видеоэндоскопических технологий | 
| A16.14.009.001 | Холецистэктомия малоинвазивная | A16.30.002.002 | Оперативное лечение пупочной грыжи с использованием сетчатых имплантов | 
| A16.14.009.001 | Холецистэктомия малоинвазивная | A16.30.004.011 | Оперативное лечение грыжи передней брюшной стенки с использованием сетчатых имплантов | 
| A16.30.003 | Оперативное лечение околопупочной грыжи | A16.30.001.002 | Оперативное лечение пахово-бедренной грыжи с использованием сетчатых имплантов | 
| A16.30.002 | Оперативное лечение пупочной грыжи | A16.30.001.002 | Оперативное лечение пахово-бедренной грыжи с использованием сетчатых имплантов | 
| A16.30.004 | Оперативное лечение грыжи передней брюшной стенки | A16.30.001.002 | Оперативное лечение пахово-бедренной грыжи с использованием сетчатых имплантов | 
| A16.30.002 | Оперативное лечение пупочной грыжи | A16.16.033.001 | Фундопликация лапароскопическая | 
| A16.30.002 | Оперативное лечение пупочной грыжи | A16.09.026.004 | Пластика диафрагмы с использованием видеоэндоскопических технологий | 
| A16.30.005.003 | Устранение грыжи пищеводного отверстия диафрагмы с использованием видеоэндоскопических технологий | A16.16.046.002 | Лапароскопическая диафрагмокрурорафия | 
| A16.30.005.003 | Устранение грыжи пищеводного отверстия диафрагмы с использованием видеоэндоскопических технологий | A16.16.033.001 | Фундопликация лапароскопическая | 
| A16.20.043 | Мастэктомия | A16.20.011.002 | Тотальная гистерэктомия (экстирпация матки) с придатками лапаротомическая | 
| A16.20.005 | Кесарево сечение | A16.20.035 | Миомэктомия (энуклеация миоматозных узлов) лапаротомическая | 
| A16.20.005 | Кесарево сечение | A16.20.001 | Удаление кисты яичника | 
| A16.20.005 | Кесарево сечение | A16.20.061 | Резекция яичника лапаротомическая | 
| A16.20.005 | Кесарево сечение | A16.20.039 | Метропластика лапаротомическая | 
| A16.20.083 | Кольпоперинеоррафия и леваторопластика | A16.20.042.001 | Слинговые операции при недержании мочи | 
| A16.14.009.002 | Холецистэктомия лапароскопическая | A16.20.063.001 | Влагалищная экстирпация матки с придатками с использованием видеоэндоскопических технологий | 
| A16.18.009.001 | Аппендэктомия с использованием видеоэндоскопических технологий | A16.20.061.001 | Резекция яичника с использованием видеоэндоскопических технологий | 
| A16.18.009 | Аппендэктомия | A16.20.061 | Резекция яичника лапаротомическая | 
| A16.28.054 | Трансуретральная уретеролитоэкстракция | A16.28.003.001 | Лапароскопическая резекция почки | 
| A16.26.093 | Факоэмульсификация без интраокулярной линзы. Факофрагментация, факоаспирация | A16.26.049 | Кератопластика (трансплантация роговицы) | 
| A16.26.093 | Факоэмульсификация без интраокулярной линзы. Факофрагментация, факоаспирация | A16.26.087 | Замещение стекловидного тела | 
| A16.26.098 | Энуклеация глазного яблока | A16.26.041.001 | Пластика конъюнктивальной полости с использованием свободного лоскута слизистой со щеки | 
| A16.26.115 | Удаление силиконового масла (или иного высокомолекулярного соединения) из витреальной полости | A16.26.093.002 | Факоэмульсификация с имплантацией интраокулярной линзы | 
| A16.26.094 | Имплантация интраокулярной линзы | A16.26.086.001 | Интравитреальное введение лекарственных препаратов | 
| Уровень 3 | |||
| Операция 1 | Операция 2 | ||
| A16.22.001 | Гемитиреоидэктомия | A16.30.002.002 | Оперативное лечение пупочной грыжи с использованием сетчатых имплантов | 
| A16.18.016 | Гемиколэктомия правосторонняя | A16.14.030 | Резекция печени атипичная | 
| A16.30.002.002 | Оперативное лечение пупочной грыжи с использованием сетчатых имплантов | A16.30.001.002 | Оперативное лечение пахово-бедренной грыжи с использованием сетчатых имплантов | 
| A16.30.002.002 | Оперативное лечение пупочной грыжи с использованием сетчатых имплантов | A16.30.001.001 | Оперативное лечение пахово-бедренной грыжи с использованием видеоэндоскопических технологий | 
| A16.26.093.002 | Факоэмульсификация с имплантацией интраокулярной линзы | A16.26.049.005 | Неавтоматизированная эндотекатопластика | 
| A16.26.049.004 | Послойная кератопластика | A16.26.093.002 | Факоэмульсификация с имплантацией интраокулярной линзы | 
| A16.26.089.002 | Витреоэктомия задняя субтотальная закрытая | A16.26.093.002 | Факоэмульсификация с имплантацией интраокулярной линзы | 
| Уровень 4 | |||
| Операция 1 | Операция 2 | ||
| A16.09.026.004 | Пластика диафрагмы с использованием видеоэндоскопических технологий | A16.16.032.002 | Эндоскопическая кардиодилятация пищевода баллонным кардиодилятатором | 
| A16.28.004.001 | Лапароскопическая нефрэктомия | A16.21.002 | Трансуретральная резекция простаты | 
| A16.26.089.002 | Витреоэктомия задняя субтотальная закрытая | A16.26.094 | Имплантация интраокулярной линзы | 
| A16.26.089.002 | Витреоэктомия задняя субтотальная закрытая | A16.26.082 | Круговое эпиклеральное пломбирование | 
| A16.12.011.008 | Пластика глубокой бедренной артерии | A16.12.026 | Баллонная вазодилатация | 
| A16.26.093.001 | Факоэмульсификация с использованием фемтосекундного лазера | A16.26.049.005 | Неавтоматизированная эндотекатопластика | 
| A16.26.093.001 | Факоэмульсификация с использованием фемтосекундного лазера | A16.26.093.002 | Факоэмульсификация с имплантацией интраокулярной линзы | 
| A16.30.005.003 | Устранение грыжи пищеводного отверстия диафрагмы с использованием видеоэндоскопических технологий | A16.30.005.001 | Пластика диафрагмы с использованием импланта | 
| A16.20.014 | Влагалищная тотальная гистерэктомия (экстирпация матки) с придатками | A16.20.042.001 | Слинговые операции при недержании мочи | 
| A16.20.063.001 | Влагалищная экстирпация матки с придатками с использованием видеоэндоскопических технологий | A16.20.042.001 | Слинговые операции при недержании мочи | 
| A16.26.049.004 | Послойная кератопластика | A16.26.093.001 | Факоэмульсификация с использованием фемтосекундного лазера | 
| A16.12.009.001 | Тромбоэктомия из сосудистого протеза | A16.12.026.018 | Баллонная ангиопластика подвздошной артерии | 
| A16.12.038.006 | Бедренно-подколенное шунтирование | A16.12.026.018 | Баллонная ангиопластика подвздошной артерии | 
| A16.12.009.001 | Тромбоэктомия из сосудистого протеза | A16.12.028 | Установка стента в сосуд | 
| A16.12.011.008 | Пластика глубокой бедренной артерии | A16.12.028 | Установка стента в сосуд | 
| A16.12.011.008 | Пластика глубокой бедренной артерии | A16.12.026.018 | Баллонная ангиопластика подвздошной артерии | 
| A16.12.009 | Тромбэндартерэктомия | A16.12.028 | Установка стента в сосуд | 
| A16.12.009 | Тромбэндартерэктомия | A16.12.026.018 | Баллонная ангиопластика подвздошной артерии | 
| A16.12.038.006 | Бедренно-подколенное шунтирование | A16.12.026.002 | Баллонная ангиопластика подколенной артерии и магистральных артерий голени | 
| A16.12.038.006 | Бедренно-подколенное шунтирование | A16.12.026.004 | Баллонная ангиопластика со стентированием подколенной артерии и магистральных артерий голени | 
| A16.26.089.002 | Витреоэктомия задняя субтотальная закрытая | A16.26.093.001 | Факоэмульсификация с использованием фемтосекундного лазера | 
Перечень возможных однотипных операций
на парных органах и частях тела 
Таблица 3
| Уровень 1 | |
| Код услуги | Наименование | 
| A16.26.007 | Пластика слезных точек и слезных канальцев | 
| A16.26.019 | Устранение эпикантуса | 
| A16.26.020 | Устранение энтропиона или эктропиона | 
| A16.26.021 | Коррекция блефароптоза | 
| A16.26.021.001 | Устранение птоза | 
| A16.26.022 | Коррекция блефарохалязиса | 
| A16.26.023 | Устранение блефароспазма | 
| A16.26.028 | Миотомия, тенотомия глазной мышцы | 
| A22.26.004 | Лазерная корепраксия, дисцизия задней капсулы хрусталика | 
| A22.26.005 | Лазерная иридэктомия | 
| A22.26.006 | Лазергониотрабекулопунктура | 
| A22.26.007 | Лазерный трабекулоспазис | 
| A22.26.009 | Фокальная лазерная коагуляция глазного дна | 
| A22.26.010 | Панретинальная лазерная коагуляция | 
| A22.26.019 | Лазерная гониодесцеметопунктура | 
| A22.26.023 | Лазерная трабекулопластика | 
| Уровень 2 | |
| A16.03.033.002 | Наложение наружных фиксирующих устройств с использованием компрессионно-дистракционного аппарата внешней фиксации | 
| A16.12.006 | Разрез, иссечение и закрытие вен нижней конечности | 
| A16.12.006.002 | Подапоневротическая перевязка анастомозов между поверхностными и глубокими венами голени | 
| A16.12.012 | Перевязка и обнажение варикозных вен | 
| A16.26.075 | Склеропластика | 
| A16.26.075.001 | Склеропластика с использованием трансплантатов | 
| A16.26.079 | Реваскуляризация заднего сегмента глаза | 
| A16.26.094 | Имплантация интраокулярной линзы | 
| A16.26.147 | Ретросклеропломбирование | 
| Уровень 3 | |
| A16.12.006.001 | Удаление поверхностных вен нижней конечности | 
| A16.12.006.003 | Диссекция перфорантных вен с использованием видеоэндоскопических технологий | 
| A16.26.093.002 | Факоэмульсификация с имплантацией интраокулярной линзы | 
| Уровень 4 | |
| A16.03.022.002 | Остеосинтез титановой пластиной | 
| A16.03.022.004 | Интрамедуллярный стержневой остеосинтез | 
| A16.03.022.005 | Остеосинтез с использованием биодеградируемых материалов | 
| A16.03.022.006 | Интрамедуллярный блокируемый остеосинтез | 
| A16.03.024.005 | Реконструкция кости. Остеотомия кости с использованием комбинируемых методов фиксации | 
| A16.03.024.007 | Реконструкция кости. Корригирующая остеотомия при деформации стоп | 
| A16.03.024.008 | Реконструкция кости. Корригирующая остеотомия бедра | 
| A16.03.024.009 | Реконструкция кости. Корригирующая остеотомия голени | 
| A16.03.024.010 | Реконструкция кости при ложном суставе бедра | 
| A16.04.014 | Артропластика стопы и пальцев ноги | 
| A16.12.008.001 | Эндартерэктомия каротидная | 
| A16.12.008.002 | Эндартерэктомия каротидная с пластикой | 
| A16.20.043.003 | Мастэктомия радикальная с односторонней пластикой молочной железы с применением микрохирургической техники | 
| A16.20.043.004 | Мастэктомия расширенная модифицированная с пластическим закрытием дефекта грудной стенки | 
| A16.20.047 | Мастэктомия расширенная модифицированная с пластическим закрытием дефекта грудной стенки различными вариантами кожно-мышечных лоскутов | 
| A16.20.048 | Мастэктомия радикальная с реконструкцией TRAM-лоскутом | 
| Уровень 5 | |
| A16.20.032.007 | Резекция молочной железы субтотальная с маммопластикой и эндопротезированием | 
| A16.20.103 | Отсроченная реконструкция молочной железы с использованием эндопротеза | 
| A16.20.049.001 | Мастэктомия радикальная по Маддену с реконструкцией кожно-мышечным лоскутом и эндопротезированием | 
Перечень схем сопроводительной
лекарственной терапии 
Таблица 4
| Код схемы | Описание схемы | Условия применения | 
| supt01 | Филграстим 4 дня введения по 300 мкг | 
 | 
| supt02 | Деносумаб 1 день введения 120 мг | N 18.3, N 18.4, N 18.5 "Хроническая болезнь почки, стадия 3 - 5" (при клиренсе креатинина <59 мл/мин) | 
| supt03 | Тоцилизумаб 1 день введения 4 мг/кг | 
 | 
| supt04 | Филграстим 8 дней введения по 300 мкг | 
 | 
| supt05 | Эмпэгфилграстим 1 день введения 7,5 мг | 
 | 
| supt06 | Филграстим 10 дней введения по 300 мкг | 
 | 
| supt07 | Микофенолата мофетил 30 дней введения по 500 мг 2 раза в день | 
 | 
| supt08 | Такролимус 30 дней введения по 0,1 мг/кг | 
 | 
| supt09 | Ведолизумаб 1 день введения 300 мг | 
 | 
| supt10 | Инфликсимаб 1 день введения 800 мг | 
 | 
| supt11 | Иммуноглобулин человека нормальный 2 дня введения по 1000 мг/кг | 
 | 
| supt12 | Иммуноглобулин антитимоцитарный 8 - 14 дней введения 10 - 20 мг/кг | 
 | 
Приложение N 9/1
к Тарифному соглашению
в сфере обязательного
медицинского страхования
Челябинской области
от 30 декабря 2022 г. N 199-ОМС 
Тарифы на оплату медицинской помощи (с
учетом лабораторных и инструментальных
исследований), оказанной взрослому и
детскому застрахованному населению в
поликлинике, медицинскими организациями
1, 2, 3 уровней оказания медицинской
помощи, не участвующими в подушевом
финансировании амбулаторной
медицинской помощи, а также медицинскими
организациями, участвующими в подушевом
финансировании (в том числе на оплату
внешней медицинской помощи
(взаиморасчетов)) с 01.08.2023 
(в ред. Дополнительного соглашения к Тарифному соглашению в сфере обязательного медицинского страхования Челябинской области от 31.08.2023 N 6/199-ОМС)
     (рублей)
| N | Наименование тарифа | Тип | Лечебно-диагностическая цель | Тариф на оплату МП за посещение с проф. целью | |
| 
 | 
 | 
 | Тариф на оплату МП за посещение | Тариф на оплату МП за обращение | 
 | 
| 1 | 2 | 3 | 4 | 5 | 6 | 
| 1 | Акушер-гинеколог | взр. | 385,00 | 770,00 | 300,00 | 
| 2 | Акушер-гинеколог | дет. | 385,00 | 770,00 | 300,00 | 
| 3 | Акушер-гинеколог (консультативно-диагностический прием) | взр. | 900,00 | 1800,00 | 
 | 
| 4 | Акушер-гинеколог (консультативно-диагностический прием) | дет. | 900,00 | 1800,00 | 
 | 
| 5 | Акушер-гинеколог (по ведению беременности) | взр. | 565,00 | 1130,00 | 565,00 | 
| 6 | Акушерка | взр. | 270,00 | 540,00 | 210,00 | 
| 7 | Акушерка | дет. | 270,00 | 540,00 | 210,00 | 
| 8 | Акушерка (по ведению беременности) | взр. | 396,00 | 792,00 | 396,00 | 
| 9 | Акушерка ФП/ФАП | взр. | 270,00 | 540,00 | 210,00 | 
| 10 | Акушерка ФП/ФАП | дет. | 270,00 | 540,00 | 210,00 | 
| 11 | Аллерголог-иммунолог | взр. | 331,00 | 662,00 | 262,00 | 
| 12 | Аллерголог-иммунолог | дет. | 331,00 | 662,00 | 262,00 | 
| 13 | Аллерголог-иммунолог (консультативно-диагностический прием) | взр. | 900,00 | 1800,00 | 
 | 
| 14 | Аллерголог-иммунолог (консультативно-диагностический прием) | дет. | 900,00 | 1800,00 | 
 | 
| 15 | Врач общей практики | взр. | 312,00 | 624,00 | 312,00 | 
| 16 | Врач общей практики | дет. | 312,00 | 624,00 | 312,00 | 
| 17 | Врач общей практики (фельдшер) | взр. | 218,00 | 436,00 | 218,00 | 
| 18 | Врач общей практики (фельдшер) | дет. | 218,00 | 436,00 | 218,00 | 
| 19 | Врач по медицинской реабилитации | взр. | 248,00 | 496,00 | 
 | 
| 20 | Врач по медицинской реабилитации | дет. | 248,00 | 496,00 | 
 | 
| 21 | Гастроэнтеролог | взр. | 312,00 | 624,00 | 202,00 | 
| 22 | Гастроэнтеролог | дет. | 312,00 | 624,00 | 202,00 | 
| 23 | Гастроэнтеролог (консультативно-диагностический прием) | дет. | 900,00 | 1800,00 | 
 | 
| 24 | Гастроэнтеролог (консультативно-диагностический прием) | взр. | 900,00 | 1800,00 | 
 | 
| 25 | Гематолог | взр. | 312,00 | 624,00 | 
 | 
| 26 | Гематолог | дет. | 312,00 | 624,00 | 
 | 
| 27 | Гематолог (консультативно-диагностический прием) | дет. | 900,00 | 1800,00 | 
 | 
| 28 | Гематолог (консультативно-диагностический прием) | взр. | 900,00 | 1800,00 | 
 | 
| 29 | Гериатр | взр. | 352,00 | 704,00 | 
 | 
| 30 | Дерматовенеролог | взр. | 300,00 | 600,00 | 252,00 | 
| 31 | Дерматовенеролог | дет. | 300,00 | 600,00 | 252,00 | 
| 32 | Дерматовенеролог планового профилактического осмотра | взр. | 
 | 
 | 121,00 | 
| 33 | Дерматовенеролог планового профилактического осмотра | дет. | 
 | 
 | 121,00 | 
| 34 | Детский кардиолог | дет. | 311,00 | 622,00 | 311,00 | 
| 35 | Детский кардиолог (комплексное обследование сердечно-сосудистой системы) | дет. | 942,00 | 1884,00 | 
 | 
| 36 | Детский кардиолог (консультативно-диагностический прием) | дет. | 900,00 | 1800,00 | 
 | 
| 37 | Детский онколог | дет. | 312,00 | 624,00 | 
 | 
| 38 | Детский онколог (консультативно-диагностический прием) | дет. | 900,00 | 1800,00 | 
 | 
| 39 | Детский уролог-андролог | дет. | 320,00 | 640,00 | 306,00 | 
| 40 | Детский уролог-андролог (консультативно-диагностический прием) | дет. | 900,00 | 1800,00 | 
 | 
| 41 | Детский хирург | дет. | 314,00 | 628,00 | 263,00 | 
| 42 | Детский хирург (консультативно-диагностический прием) | дет. | 900,00 | 1800,00 | 
 | 
| 43 | Детский хирург (при укусе животного с обязательной постановкой антирабической вакцины) (повторный прием) | дет. | 1084,00 | 2168,00 | 
 | 
| 44 | Детский эндокринолог | дет. | 313,00 | 626,00 | 257,00 | 
| 45 | Детский эндокринолог (консультативно-диагностический прием) | дет. | 900,00 | 1800,00 | 
 | 
| 46 | Инфекционист | дет. | 328,00 | 656,00 | 202,00 | 
| 47 | Инфекционист | взр. | 328,00 | 656,00 | 202,00 | 
| 48 | Инфекционист (с исследованием на фиброскане) | взр. | 1406,00 | 
 | 
 | 
| 49 | Кардиолог | взр. | 311,00 | 622,00 | 311,00 | 
| 50 | Кардиолог (комплексное обследование сердечно-сосудистой системы) | взр. | 942,00 | 1884,00 | 
 | 
| 51 | Кардиолог (консультативно-диагностический прием) | взр. | 900,00 | 1800,00 | 
 | 
| 52 | Колопроктолог | взр. | 312,00 | 624,00 | 202,00 | 
| 53 | Колопроктолог (консультативно-диагностический прием) | взр. | 900,00 | 1800,00 | 
 | 
| 54 | Невролог | взр. | 320,00 | 640,00 | 265,00 | 
| 55 | Невролог | дет. | 320,00 | 640,00 | 265,00 | 
| 56 | Невролог (консультативно-диагностический прием) | взр. | 900,00 | 1800,00 | 
 | 
| 57 | Невролог (консультативно-диагностический прием) | дет. | 900,00 | 1800,00 | 
 | 
| 58 | Нейрохирург | взр. | 296,00 | 592,00 | 
 | 
| 59 | Нейрохирург (консультативно-диагностический прием) | дет. | 900,00 | 1800,00 | 
 | 
| 60 | Нейрохирург (консультативно-диагностический прием) | взр. | 900,00 | 1800,00 | 
 | 
| 61 | Нефролог | взр. | 320,00 | 640,00 | 306,00 | 
| 62 | Нефролог | дет. | 320,00 | 640,00 | 306,00 | 
| 63 | Нефролог (консультативно-диагностический прием) | взр. | 900,00 | 1800,00 | 
 | 
| 64 | Нефролог (консультативно-диагностический прием) | дет. | 900,00 | 1800,00 | 
 | 
| 65 | Онколог | взр. | 312,00 | 624,00 | 
 | 
| 66 | Онколог (консультативно-диагностический прием) | взр. | 900,00 | 1800,00 | 
 | 
| 67 | Онколог (проведение консилиума врачей) | взр. | 1155,00 | 
 | 
 | 
| 68 | Онколог-химиотерапевт (консультативно-диагностический прием) | взр. | 900,00 | 1800,00 | 
 | 
| 69 | Оториноларинголог | дет. | 313,00 | 626,00 | 284,00 | 
| 70 | Оториноларинголог | взр. | 313,00 | 626,00 | 284,00 | 
| 71 | Оториноларинголог (консультативно-диагностический прием) | взр. | 900,00 | 1800,00 | 
 | 
| 72 | Оториноларинголог (консультативно-диагностический прием) | дет. | 900,00 | 1800,00 | 
 | 
| 73 | Офтальмолог | взр. | 347,00 | 694,00 | 272,00 | 
| 74 | Офтальмолог | дет. | 347,00 | 694,00 | 272,00 | 
| 75 | Офтальмолог (консультативно-диагностический прием пациентов с сахарным диабетом) | взр. | 900,00 | 
 | 
 | 
| 76 | Офтальмолог (консультативно-диагностический прием) | взр. | 900,00 | 1800,00 | 
 | 
| 77 | Офтальмолог (консультативно-диагностический прием) | дет. | 900,00 | 1800,00 | 
 | 
| 78 | Офтальмолог (круглосуточного травмпункта) (повторный прием) | взр. | 596,00 | 1192,00 | 
 | 
| 79 | Офтальмолог (фокальная лазерная коагуляция пациентам с сахарным диабетом) | взр. | 1798,00 | 
 | 
 | 
| 80 | Педиатр | дет. | 312,00 | 624,00 | 312,00 | 
| 81 | Педиатр (кабинет катамнеза) | дет. | 1095,00 | 2190,00 | 
 | 
| 82 | Педиатр (консультативно-диагностический прием) | дет. | 900,00 | 1800,00 | 
 | 
| 83 | Педиатр участковый | дет. | 312,00 | 624,00 | 312,00 | 
| 84 | Пульмонолог | взр. | 312,00 | 624,00 | 312,00 | 
| 85 | Пульмонолог | дет. | 312,00 | 624,00 | 312,00 | 
| 86 | Пульмонолог (консультативно-диагностический прием) | взр. | 900,00 | 1800,00 | 
 | 
| 87 | Пульмонолог (консультативно-диагностический прием) | дет. | 900,00 | 1800,00 | 
 | 
| 88 | Пульмонолог (областного пульмонологического центра) | взр. | 1243,00 | 
 | 
 | 
| 89 | Радиолог | взр. | 312,00 | 624,00 | 
 | 
| 90 | Радиолог (консультативно-диагностический прием) | взр. | 900,00 | 1800,00 | 
 | 
| 91 | Ревматолог | взр. | 311,00 | 622,00 | 311,00 | 
| 92 | Ревматолог | дет. | 311,00 | 622,00 | 311,00 | 
| 93 | Ревматолог (консультативно-диагностический прием) | взр. | 900,00 | 1800,00 | 
 | 
| 94 | Ревматолог (консультативно-диагностический прием) | дет. | 900,00 | 1800,00 | 
 | 
| 95 | Сердечно-сосудистый хирург | взр. | 314,00 | 628,00 | 
 | 
| 96 | Сердечно-сосудистый хирург | дет. | 314,00 | 628,00 | 
 | 
| 97 | Сердечно-сосудистый хирург (консультативно-диагностический прием) | взр. | 900,00 | 1800,00 | 
 | 
| 98 | Сурдолог-оториноларинголог | взр. | 313,00 | 626,00 | 
 | 
| 99 | Сурдолог-оториноларинголог | дет. | 313,00 | 626,00 | 
 | 
| 100 | Сурдолог-оториноларинголог (консультативно-диагностический прием) | взр. | 900,00 | 1800,00 | 
 | 
| 101 | Сурдолог-оториноларинголог (консультативно-диагностический прием) | дет. | 900,00 | 1800,00 | 
 | 
| 102 | Сурдолог-оториноларинголог (с проведением II этапа аудиологического скрининга) | дет. | 1454,00 | 2908,00 | 
 | 
| 103 | Терапевт | взр. | 312,00 | 624,00 | 312,00 | 
| 104 | Терапевт (консультативно-диагностический прием) | взр. | 900,00 | 1800,00 | 
 | 
| 105 | Терапевт участковый | взр. | 312,00 | 624,00 | 312,00 | 
| 106 | Торакальный хирург | взр. | 314,00 | 628,00 | 
 | 
| 107 | Травматолог-ортопед | взр. | 314,00 | 628,00 | 263,00 | 
| 108 | Травматолог-ортопед | дет. | 314,00 | 628,00 | 263,00 | 
| 109 | Травматолог-ортопед (консультативно-диагностический прием) | дет. | 900,00 | 1800,00 | 
 | 
| 110 | Травматолог-ортопед (консультативно-диагностический прием) | взр. | 900,00 | 1800,00 | 
 | 
| 111 | Травматолог-ортопед (при укусе животного с обязательной постановкой антирабической вакцины) (повторный прием) | взр. | 1084,00 | 2168,00 | 
 | 
| 112 | Травматолог-ортопед (при укусе животного с обязательной постановкой антирабической вакцины) (повторный прием) | дет. | 1084,00 | 2168,00 | 
 | 
| 113 | Травматолог-ортопед круглосуточного травмпункта (повторный прием) | взр. | 596,00 | 1192,00 | 
 | 
| 114 | Травматолог-ортопед круглосуточного травмпункта (повторный прием) | дет. | 596,00 | 1192,00 | 
 | 
| 115 | Уролог | взр. | 320,00 | 640,00 | 306,00 | 
| 116 | Уролог (консультативно-диагностический прием) | взр. | 900,00 | 1800,00 | 
 | 
| 117 | Фельдшер (педиатр) | дет. | 218,00 | 436,00 | 218,00 | 
| 118 | Фельдшер (педиатр) участковый | дет. | 218,00 | 436,00 | 218,00 | 
| 119 | Фельдшер (терапевт) | взр. | 218,00 | 436,00 | 218,00 | 
| 120 | Фельдшер (терапевт) участковый | взр. | 218,00 | 436,00 | 218,00 | 
| 121 | Фельдшер ФП/ФАП (педиатр) | дет. | 218,00 | 436,00 | 218,00 | 
| 122 | Фельдшер ФП/ФАП (педиатр) участковый | дет. | 218,00 | 436,00 | 218,00 | 
| 123 | Фельдшер ФП/ФАП (терапевт) | взр. | 218,00 | 436,00 | 218,00 | 
| 124 | Фельдшер ФП/ФАП (терапевт) участковый | взр. | 218,00 | 436,00 | 218,00 | 
| 125 | Хирург | взр. | 314,00 | 628,00 | 263,00 | 
| 126 | Хирург (консультативно-диагностический прием) | взр. | 900,00 | 1800,00 | 
 | 
| 127 | Хирург (при укусе животного с обязательной постановкой антирабической вакцины) (повторный прием) | взр. | 1084,00 | 2168,00 | 
 | 
| 128 | Челюстно-лицевой хирург | дет. | 314,00 | 628,00 | 
 | 
| 129 | Челюстно-лицевой хирург | взр. | 314,00 | 628,00 | 
 | 
| 130 | Челюстно-лицевой хирург (консультативно-диагностический прием) | взр. | 900,00 | 1800,00 | 
 | 
| 131 | Челюстно-лицевой хирург (консультативно-диагностический прием) | дет. | 900,00 | 1800,00 | 
 | 
| 132 | Эндокринолог | взр. | 313,00 | 626,00 | 257,00 | 
| 133 | Эндокринолог (консультативно-диагностический прием) | взр. | 900,00 | 1800,00 | 
 | 
Приложение N 9/2
к Тарифному соглашению
в сфере обязательного
медицинского страхования
Челябинской области
от 30 декабря 2022 г. N 199-ОМС 
Тарифы на оплату медицинской помощи (с
учетом лабораторных и инструментальных
исследований), оказанной взрослому и
детскому застрахованному населению на
дому, медицинскими организациями 1, 2, 3
уровней оказания медицинской помощи, не
участвующими в подушевом финансировании
амбулаторной медицинской помощи, а также
медицинскими организациями,
участвующими в подушевом финансировании
(в том числе на оплату внешней
медицинской помощи (взаиморасчетов)), с
01.01.2023 
     (рублей)
| N | Наименование тарифа | Тип | Лечебно-диагностическая цель | Тариф на оплату МП за посещение с проф. целью | |
| 
 | 
 | 
 | Тариф на оплату МП за посещение | Тариф на оплату МП за обращение | 
 | 
| 1 | 2 | 3 | 4 | 5 | 6 | 
| 1 | Акушер-гинеколог | взр. | 385,00 | 770,00 | 
 | 
| 2 | Акушер-гинеколог | дет. | 385,00 | 770,00 | 
 | 
| 3 | Акушерка | взр. | 270,00 | 540,00 | 
 | 
| 4 | Акушерка | дет. | 270,00 | 540,00 | 
 | 
| 5 | Акушерка ФП/ФАП | взр. | 270,00 | 540,00 | 
 | 
| 6 | Аллерголог-иммунолог | взр. | 331,00 | 662,00 | 
 | 
| 7 | Аллерголог-иммунолог | дет. | 331,00 | 662,00 | 
 | 
| 8 | Врач общей практики | взр. | 312,00 | 624,00 | 312,00 | 
| 9 | Врач общей практики | дет. | 312,00 | 624,00 | 312,00 | 
| 10 | Врач общей практики (фельдшер) | взр. | 218,00 | 436,00 | 218,00 | 
| 11 | Врач общей практики (фельдшер) | дет. | 218,00 | 436,00 | 218,00 | 
| 12 | Гастроэнтеролог | взр. | 312,00 | 624,00 | 
 | 
| 13 | Гастроэнтеролог | дет. | 312,00 | 624,00 | 
 | 
| 14 | Гериатр | взр. | 352,00 | 704,00 | 
 | 
| 15 | Дерматовенеролог | взр. | 300,00 | 600,00 | 
 | 
| 16 | Дерматовенеролог | дет. | 300,00 | 600,00 | 
 | 
| 17 | Детский кардиолог | дет. | 311,00 | 622,00 | 
 | 
| 18 | Детский онколог | дет. | 312,00 | 624,00 | 
 | 
| 19 | Детский уролог-андролог | дет. | 320,00 | 640,00 | 
 | 
| 20 | Детский хирург | дет. | 314,00 | 628,00 | 
 | 
| 21 | Детский эндокринолог | дет. | 313,00 | 626,00 | 
 | 
| 22 | Инфекционист | дет. | 328,00 | 656,00 | 202,00 | 
| 23 | Инфекционист | взр. | 328,00 | 656,00 | 202,00 | 
| 24 | Кардиолог | взр. | 311,00 | 622,00 | 
 | 
| 25 | Колопроктолог | взр. | 312,00 | 624,00 | 
 | 
| 26 | Невролог | взр. | 320,00 | 640,00 | 
 | 
| 27 | Невролог | дет. | 320,00 | 640,00 | 
 | 
| 28 | Онколог | взр. | 312,00 | 624,00 | 
 | 
| 29 | Онколог (консультативно-диагностический прием) | взр. | 900,00 | 1800,00 | 
 | 
| 30 | Оториноларинголог | дет. | 313,00 | 626,00 | 
 | 
| 31 | Оториноларинголог | взр. | 313,00 | 626,00 | 284,00 | 
| 32 | Офтальмолог | взр. | 347,00 | 694,00 | 
 | 
| 33 | Офтальмолог | дет. | 347,00 | 694,00 | 
 | 
| 34 | Педиатр | дет. | 312,00 | 624,00 | 312,00 | 
| 35 | Педиатр участковый | дет. | 312,00 | 624,00 | 312,00 | 
| 36 | Пульмонолог | взр. | 312,00 | 624,00 | 
 | 
| 37 | Пульмонолог | дет. | 312,00 | 624,00 | 
 | 
| 38 | Ревматолог | взр. | 311,00 | 622,00 | 
 | 
| 39 | Ревматолог | дет. | 311,00 | 622,00 | 
 | 
| 40 | Терапевт | взр. | 312,00 | 624,00 | 312,00 | 
| 41 | Терапевт участковый | взр. | 312,00 | 624,00 | 312,00 | 
| 42 | Травматолог-ортопед | взр. | 314,00 | 628,00 | 
 | 
| 43 | Травматолог-ортопед | дет. | 314,00 | 628,00 | 
 | 
| 44 | Уролог | взр. | 320,00 | 640,00 | 
 | 
| 45 | Фельдшер (педиатр) | дет. | 218,00 | 436,00 | 218,00 | 
| 46 | Фельдшер (педиатр) участковый | дет. | 218,00 | 436,00 | 218,00 | 
| 47 | Фельдшер (терапевт) | взр. | 218,00 | 436,00 | 218,00 | 
| 48 | Фельдшер (терапевт) участковый | взр. | 218,00 | 436,00 | 218,00 | 
| 49 | Фельдшер ФП/ФАП (педиатр) | дет. | 218,00 | 436,00 | 218,00 | 
| 50 | Фельдшер ФП/ФАП (педиатр) участковый | дет. | 218,00 | 436,00 | 218,00 | 
| 51 | Фельдшер ФП/ФАП (терапевт) | взр. | 218,00 | 436,00 | 218,00 | 
| 52 | Фельдшер ФП/ФАП (терапевт) участковый | взр. | 218,00 | 436,00 | 218,00 | 
| 53 | Хирург | взр. | 314,00 | 628,00 | 
 | 
| 54 | Эндокринолог | взр. | 313,00 | 626,00 | 
 | 
Приложение N 9/3
к Тарифному соглашению
в сфере обязательного
медицинского страхования
Челябинской области
от 30 декабря 2022 г. N 199-ОМС 
Тарифы на оплату медицинской помощи (с
учетом лабораторных и инструментальных
исследований), оказанной взрослому и
детскому застрахованному населению в
поликлинике, для медицинских
организаций, не участвующих в подушевом
финансировании амбулаторной
медицинской помощи, а также для
медицинских организаций, участвующих в
подушевом финансировании, по видам
медицинской помощи, не включенным в
базовый подушевой норматив
финансирования медицинской помощи,
оказываемой в амбулаторных условиях, с
01.01.2023 
     (рублей)
| N | Наименование тарифа | Тип | Тариф на оплату МП за посещение с леч.-диагн. целью | Тариф на оплату МП за посещение с проф. целью | 
| 1 | 2 | 3 | 4 | 5 | 
| 1 | Акушер-гинеколог (мобильная бригада) | взр. | 894,00 | 
 | 
| 2 | Аллерголог-иммунолог (мобильная бригада) | дет. | 832,00 | 
 | 
| 3 | Врач центра здоровья (первичный прием) | взр. | 
 | 747,00 | 
| 4 | Врач центра здоровья (первичный прием) | дет. | 
 | 747,00 | 
| 5 | Врач центра здоровья (повторный прием) | взр. | 
 | 184,00 | 
| 6 | Врач центра здоровья (повторный прием) | дет. | 
 | 184,00 | 
| 7 | Гастроэнтеролог (мобильная бригада) | дет. | 1012,00 | 
 | 
| 8 | Гастроэнтеролог (мобильная бригада) | взр. | 1012,00 | 
 | 
| 9 | Десткий кардиолог (мобильная бригада) | дет. | 710,00 | 
 | 
| 10 | Детский уролог-андролог (мобильная бригада) | дет. | 757,00 | 
 | 
| 11 | Детский хирург (мобильная бригада) | дет. | 764,00 | 
 | 
| 12 | Детский эндокринолог (мобильная бригада) | дет. | 782,00 | 
 | 
| 13 | Кардиолог (мобильная бригада) | взр. | 710,00 | 
 | 
| 14 | Невролог (мобильная бригада) | взр. | 832,00 | 
 | 
| 15 | Невролог (мобильная бригада) | дет. | 832,00 | 
 | 
| 16 | Нефролог (мобильная бригада) | дет. | 750,00 | 
 | 
| 17 | Оториноларинголог (мобильная бригада) | взр. | 916,00 | 
 | 
| 18 | Оториноларинголог (мобильная бригада) | дет. | 916,00 | 
 | 
| 19 | Офтальмолог (мобильная бригада) | дет. | 943,00 | 
 | 
| 20 | Офтальмолог (мобильная бригада) | взр. | 943,00 | 
 | 
| 21 | Педиатр (мобильная бригада) | дет. | 716,00 | 
 | 
| 22 | Пульмонолог (мобильная бригада) | взр. | 811,00 | 
 | 
| 23 | Пульмонолог (мобильная бригада) | дет. | 771,00 | 
 | 
| 24 | Ревматолог (мобильная бригада) | взр. | 812,00 | 
 | 
| 25 | Сердечно-сосудистый хирург (мобильная бригада) | взр. | 1291,00 | 
 | 
| 26 | Сурдолог-оториноларинголог (мобильная бригада) | дет. | 916,00 | 
 | 
| 27 | Травматолог-ортопед (мобильная бригада) | дет. | 764,00 | 
 | 
| 28 | Травматолог-ортопед (мобильная бригада) | взр. | 764,00 | 
 | 
| 29 | Уролог (мобильная бригада) | взр. | 773,00 | 
 | 
| 30 | Эндокринолог (мобильная бригада) | взр. | 782,00 | 
 | 
Приложение N 9/4
к Тарифному соглашению
в сфере обязательного
медицинского страхования
Челябинской области
от 30 декабря 2022 г. N 199-ОМС 
Тарифы на оплату неотложной медицинской
помощи (с учетом лабораторных и
инструментальных исследований),
оказанной взрослому и детскому
застрахованному населению в
поликлинике, на дому с 01.08.2023 
(в ред. Дополнительных соглашений к Тарифному соглашению в сфере обязательного медицинского страхования Челябинской области от 31.08.2023 N 6/199-ОМС, от 29.09.2023 N 7/199-ОМС)
     (рублей)
| N п/п | Наименование тарифа | Вид | Тариф на оплату медицинской помощи за посещение | |
| 
 | 
 | 
 | в поликлинике | на дому | 
| А | 1 | 2 | 3 | 4 | 
| 1 | Акушер-гинеколог неотложной медицинской помощи | взр. | 1026,40 | 1026,40 | 
| 2 | Акушер-гинеколог неотложной медицинской помощи | дет. | 1026,40 | 1026,40 | 
| 3 | Акушерка неотложной медицинской помощи | взр. | 718,40 | 718,40 | 
| 4 | Акушерка неотложной медицинской помощи | дет. | 718,40 | 718,40 | 
| 5 | Акушерка ФП/ФАП неотложной медицинской помощи | взр. | 718,40 | 718,40 | 
| 6 | Аллерголог-иммунолог неотложной медицинской помощи | взр. | 1026,40 | 1026,40 | 
| 7 | Аллерголог-иммунолог неотложной медицинской помощи | дет. | 1026,40 | 1026,40 | 
| 8 | Врач общей практики неотложной медицинской помощи | взр. | 1026,40 | 1026,40 | 
| 9 | Врач общей практики неотложной медицинской помощи | дет. | 1026,40 | 1026,40 | 
| 10 | Врач общей практики (фельдшер) неотложной медицинской помощи | взр. | 718,40 | 718,40 | 
| 11 | Врач общей практики (фельдшер) неотложной медицинской помощи | дет. | 718,40 | 718,40 | 
| 12 | Гастроэнтеролог неотложной медицинской помощи | взр. | 1026,40 | 1026,40 | 
| 13 | Гастроэнтеролог неотложной медицинской помощи | дет. | 1026,40 | 1026,40 | 
| 14 | Гематолог неотложной медицинской помощи | взр. | 1026,40 | 
 | 
| 15 | Гематолог неотложной медицинской помощи | дет. | 1026,40 | 
 | 
| 16 | Детский кардиолог неотложной медицинской помощи | дет. | 1026,40 | 1026,40 | 
| 17 | Детский онколог неотложной медицинской помощи | дет. | 1026,40 | 1026,40 | 
| 18 | Детский уролог-андролог неотложной медицинской помощи | дет. | 1026,40 | 1026,40 | 
| 19 | Детский хирург неотложной медицинской помощи | дет. | 1026,40 | 1026,40 | 
| 20 | Детский хирург неотложной мед. помощи (при укусе животн. с обяз. постан. антираб. вакц. и/или антирабического иммуноглобулина) | дет. | 2221,00 | 
 | 
| 21 | Детский эндокринолог неотложной медицинской помощи | дет. | 1026,40 | 1026,40 | 
| 22 | Инфекционист неотложной медицинской помощи | взр. | 1026,40 | 1026,40 | 
| 23 | Инфекционист неотложной медицинской помощи | дет. | 1026,40 | 1026,40 | 
| 24 | Кардиолог неотложной медицинской помощи | взр. | 1026,40 | 1026,40 | 
| 25 | Колопроктолог неотложной медицинской помощи | взр. | 1026,40 | 1026,40 | 
| 26 | Невролог неотложной медицинской помощи | взр. | 1026,40 | 1026,40 | 
| 27 | Невролог неотложной медицинской помощи | дет. | 1026,40 | 1026,40 | 
| 28 | Нейрохирург неотложной медицинской помощи | взр. | 1026,40 | 
 | 
| 28/1 | Нейрохирург неотложной медицинской помощи | дет. | 1026,40 | 
 | 
| (п. 28/1 введен Дополнительным соглашением к Тарифному соглашению в сфере обязательного медицинского страхования Челябинской области от 29.09.2023 N 7/199-ОМС) | ||||
| 29 | Нефролог неотложной медицинской помощи | взр. | 1026,40 | 
 | 
| 30 | Нефролог неотложной медицинской помощи | дет. | 1026,40 | 
 | 
| 31 | Онколог неотложной медицинской помощи | взр. | 1026,40 | 1026,40 | 
| 32 | Оториноларинголог неотложной медицинской помощи | взр. | 1026,40 | 1026,40 | 
| 33 | Оториноларинголог неотложной медицинской помощи | дет. | 1026,40 | 1026,40 | 
| 34 | Офтальмолог неотложной медицинской помощи | взр. | 1026,40 | 1026,40 | 
| 35 | Офтальмолог неотложной медицинской помощи | дет. | 1026,40 | 1026,40 | 
| 36 | Офтальмолог неотложной медицинской помощи круглосуточного травмпункта | взр. | 1026,40 | 
 | 
| 37 | Педиатр неотложной медицинской помощи | дет. | 1026,40 | 1026,40 | 
| 38 | Педиатр участковый неотложной медицинской помощи | дет. | 1026,40 | 1026,40 | 
| 39 | Пульмонолог неотложной медицинской помощи | взр. | 1026,40 | 1026,40 | 
| 40 | Пульмонолог неотложной медицинской помощи | дет. | 1026,40 | 1026,40 | 
| 41 | Ревматолог неотложной медицинской помощи | взр. | 1026,40 | 1026,40 | 
| 42 | Ревматолог неотложной медицинской помощи | дет. | 1026,40 | 1026,40 | 
| 43 | Сердечно-сосудистый хирург неотложной медицинской помощи | взр. | 1026,40 | 
 | 
| 44 | Сердечно-сосудистый хирург неотложной медицинской помощи | дет. | 1026,40 | 
 | 
| 45 | Сурдолог-оториноларинголог неотложной медицинской помощи | взр. | 1026,40 | 
 | 
| 46 | Сурдолог-оториноларинголог неотложной медицинской помощи | дет. | 1026,40 | 
 | 
| 47 | Терапевт неотложной медицинской помощи | взр. | 1026,40 | 1026,40 | 
| 48 | Терапевт участковый неотложной медицинской помощи | взр. | 1026,40 | 1026,40 | 
| 49 | Торакальный хирург неотложной медицинской помощи | взр. | 1026,40 | 
 | 
| 50 | Травматолог-ортопед неотложной медицинской помощи | взр. | 1026,40 | 1026,40 | 
| 51 | Травматолог-ортопед неотложной медицинской помощи | дет. | 1026,40 | 1026,40 | 
| 52 | Травматолог-ортопед неотложной медицинской помощи круглосуточного травмпункта | взр. | 1026,40 | 
 | 
| 53 | Травматолог-ортопед неотложной медицинской помощи круглосуточного травмпункта | дет. | 1026,40 | 
 | 
| 54 | Травматолог-ортопед неотложной мед. помощи (при укусе животн. с обяз. постан. антираб. вакц. и/или антирабического иммуноглобулина) | взр. | 2662,00 | 
 | 
| 55 | Травматолог-ортопед неотложной мед. помощи (при укусе животн. с обяз. постан. антираб. вакц. и/или антирабического иммуноглобулина) | дет. | 2221,00 | 
 | 
| 56 | Уролог неотложной медицинской помощи | взр. | 1026,40 | 1026,40 | 
| 57 | Фельдшер (педиатр) неотложной медицинской помощи | дет. | 718,40 | 718,40 | 
| 58 | Фельдшер (педиатр) участковый неотложной медицинской помощи | дет. | 718,40 | 718,40 | 
| 59 | Фельдшер (терапевт) неотложной медицинской помощи | взр. | 718,40 | 718,40 | 
| 60 | Фельдшер (терапевт) участковый неотложной медицинской помощи | взр. | 718,40 | 718,40 | 
| 61 | Фельдшер ФП/ФАП (педиатр) неотложной медицинской помощи | дет. | 718,40 | 718,40 | 
| 62 | Фельдшер ФП/ФАП (педиатр) участковый неотложной медицинской помощи | дет. | 718,40 | 718,40 | 
| 63 | Фельдшер ФП/ФАП (терапевт) неотложной медицинской помощи | взр. | 718,40 | 718,40 | 
| 64 | Фельдшер ФП/ФАП (терапевт) участковый неотложной медицинской помощи | взр. | 718,40 | 718,40 | 
| 65 | Хирург неотложной медицинской помощи | взр. | 1026,40 | 1026,40 | 
| 66 | Хирург неотложной мед. помощи (при укусе животн. с обяз. постан. антираб. вакц. и/или антирабического иммуноглобулина) | взр. | 2662,00 | 
 | 
| 67 | Челюстно-лицевой хирург неотложной медицинской помощи | взр. | 1026,40 | 
 | 
| 68 | Челюстно-лицевой хирург неотложной медицинской помощи | дет. | 1026,40 | 
 | 
| 69 | Эндокринолог неотложной медицинской помощи | взр. | 1026,40 | 1026,40 | 
Приложение N 9/5
к Тарифному соглашению
в сфере обязательного
медицинского страхования
Челябинской области
от 30 декабря 2022 г. N 199-ОМС 
Тарифы на оплату
консультативно-диагностической
медицинской помощи (с учетом
лабораторных и инструментальных
исследований), оказанной взрослому и
детскому застрахованному населению в
консультативно-диагностических центрах
Челябинской области, с 01.01.2023 
     (рублей)
| N | Наименование тарифа | Вид | Лечебно-диагностическая цель | |
| 
 | 
 | 
 | Тариф на оплату МП за посещение | Тариф на оплату МП за обращение | 
| 1 | 2 | 3 | 4 | 5 | 
| 1 | Врач - акушер-гинеколог КДЦ | взр. | 755,00 | 1510,00 | 
| 2 | Врач - акушер-гинеколог КДЦ | дет. | 755,00 | 1510,00 | 
| 3 | Врач - аллерголог-иммунолог КДЦ | взр. | 755,00 | 1510,00 | 
| 4 | Врач - аллерголог-иммунолог КДЦ | дет. | 755,00 | 1510,00 | 
| 5 | Врач - гастроэнтеролог КДЦ | взр. | 755,00 | 1510,00 | 
| 6 | Врач - гастроэнтеролог КДЦ | дет. | 755,00 | 1510,00 | 
| 7 | Врач - детский кардиолог КДЦ | дет. | 755,00 | 1510,00 | 
| 8 | Врач - детский уролог-андролог КДЦ | дет. | 755,00 | 1510,00 | 
| 9 | Врач - детский хирург КДЦ | дет. | 755,00 | 1510,00 | 
| 10 | Врач - детский эндокринолог КДЦ | дет. | 755,00 | 1510,00 | 
| 11 | Врач-инфекционист КДЦ | взр. | 755,00 | 1510,00 | 
| 12 | Врач-инфекционист КДЦ | дет. | 755,00 | 1510,00 | 
| 13 | Врач-кардиолог КДЦ | взр. | 755,00 | 1510,00 | 
| 14 | Врач-колопроктолог КДЦ | взр. | 755,00 | 1510,00 | 
| 15 | Врач-невролог КДЦ | взр. | 755,00 | 1510,00 | 
| 16 | Врач-невролог КДЦ | дет. | 755,00 | 1510,00 | 
| 17 | Врач-нейрохирург КДЦ | взр. | 755,00 | 1510,00 | 
| 18 | Врач-нефролог КДЦ | взр. | 755,00 | 1510,00 | 
| 19 | Врач-нефролог КДЦ | дет. | 755,00 | 1510,00 | 
| 20 | Врач-оториноларинголог КДЦ | взр. | 755,00 | 1510,00 | 
| 21 | Врач-оториноларинголог КДЦ | дет. | 755,00 | 1510,00 | 
| 22 | Врач-офтальмолог КДЦ | взр. | 755,00 | 1510,00 | 
| 23 | Врач-офтальмолог КДЦ | дет. | 755,00 | 1510,00 | 
| 24 | Врач-педиатр КДЦ | дет. | 755,00 | 1510,00 | 
| 25 | Врач-пульмонолог КДЦ | взр. | 755,00 | 1510,00 | 
| 26 | Врач-пульмонолог КДЦ | дет. | 755,00 | 1510,00 | 
| 27 | Врач-ревматолог КДЦ | взр. | 755,00 | 1510,00 | 
| 28 | Врач-ревматолог КДЦ | дет. | 755,00 | 1510,00 | 
| 29 | Врач - сердечно-сосудистый хирург КДЦ | взр. | 755,00 | 1510,00 | 
| 30 | Врач - травматолог-ортопед КДЦ | взр. | 755,00 | 1510,00 | 
| 31 | Врач - травматолог-ортопед КДЦ | дет. | 755,00 | 1510,00 | 
| 32 | Врач-уролог КДЦ | взр. | 755,00 | 1510,00 | 
| 33 | Врач-хирург КДЦ | взр. | 755,00 | 1510,00 | 
| 34 | Врач-эндокринолог КДЦ | взр. | 755,00 | 1510,00 | 
Приложение N 9/6
к Тарифному соглашению
в сфере обязательного
медицинского страхования
Челябинской области
от 30 декабря 2022 г. N 199-ОМС 
Тарифы на оплату дистанционных
консультаций в амбулаторных условиях,
оказанных с применением телемедицинских
технологий в режиме реального времени
взрослому и детскому застрахованному
населению на дому, для осуществления
взаиморасчетов между медицинскими
организациями, участвующими в подушевом
финансировании, с 01.01.2023 
     (рублей)
| N п/п | Наименование тарифа | Вид | Лечебно-диагностическая цель | |
| 
 | 
 | 
 | Тариф на оплату МП за посещение | Тариф на оплату МП за обращение | 
| А | 1 | 2 | 3 | 4 | 
| 1 | Аллерголог-иммунолог (с применением ТМТ) | взр. | 137,00 | 468,00 | 
| 2 | Аллерголог-иммунолог (с применением ТМТ) | дет. | 137,00 | 468,00 | 
| 3 | Врач общей практики (с применением ТМТ) | взр. | 137,00 | 449,00 | 
| 4 | Врач общей практики (с применением ТМТ) | дет. | 137,00 | 449,00 | 
| 5 | Гастроэнтеролог (с применением ТМТ) | взр. | 137,00 | 449,00 | 
| 6 | Гастроэнтеролог (с применением ТМТ) | дет. | 137,00 | 449,00 | 
| 7 | Гематолог (с применением ТМТ) | взр. | 137,00 | 449,00 | 
| 8 | Гематолог (с применением ТМТ) | дет. | 137,00 | 449,00 | 
| 9 | Детский кардиолог (с применением ТМТ) | дет. | 137,00 | 448,00 | 
| 10 | Детский хирург (с применением ТМТ) | дет. | 137,00 | 451,00 | 
| 11 | Детский эндокринолог (с применением ТМТ) | дет. | 137,00 | 450,00 | 
| 12 | Инфекционист (с применением ТМТ) | взр. | 137,00 | 465,00 | 
| 13 | Инфекционист (с применением ТМТ) | дет. | 137,00 | 465,00 | 
| 14 | Кардиолог (с применением ТМТ) | взр. | 137,00 | 448,00 | 
| 15 | Невролог (с применением ТМТ) | взр. | 137,00 | 457,00 | 
| 16 | Невролог (с применением ТМТ) | дет. | 137,00 | 457,00 | 
| 17 | Нефролог (с применением ТМТ) | взр. | 137,00 | 457,00 | 
| 18 | Нефролог (с применением ТМТ) | дет. | 137,00 | 457,00 | 
| 19 | Оториноларинголог (с применением ТМТ) | взр. | 137,00 | 450,00 | 
| 20 | Оториноларинголог (с применением ТМТ) | дет. | 137,00 | 450,00 | 
| 21 | Офтальмолог (с применением ТМТ) | взр. | 137,00 | 484,00 | 
| 22 | Офтальмолог (с применением ТМТ) | дет. | 137,00 | 484,00 | 
| 23 | Педиатр (с применением ТМТ) | дет. | 137,00 | 449,00 | 
| 24 | Педиатр участковый (с применением ТМТ) | дет. | 137,00 | 449,00 | 
| 25 | Пульмонолог (с применением ТМТ) | взр. | 137,00 | 449,00 | 
| 26 | Пульмонолог (с применением ТМТ) | дет. | 137,00 | 449,00 | 
| 27 | Ревматолог (с применением ТМТ) | взр. | 137,00 | 448,00 | 
| 28 | Ревматолог (с применением ТМТ) | дет. | 137,00 | 448,00 | 
| 29 | Терапевт (с применением ТМТ) | взр. | 137,00 | 449,00 | 
| 30 | Терапевт участковый (с применением ТМТ) | взр. | 137,00 | 449,00 | 
| 31 | Травматолог-ортопед (с применением ТМТ) | взр. | 137,00 | 451,00 | 
| 32 | Травматолог-ортопед (с применением ТМТ) | дет. | 137,00 | 451,00 | 
| 33 | Фельдшер (с применением ТМТ) | взр. | 83,00 | 301,00 | 
| 34 | Фельдшер (с применением ТМТ) | дет. | 83,00 | 301,00 | 
| 35 | Хирург (с применением ТМТ) | взр. | 137,00 | 451,00 | 
| 36 | Эндокринолог (с применением ТМТ) | взр. | 137,00 | 450,00 | 
Приложение N 9/7
к Тарифному соглашению
в сфере обязательного
медицинского страхования
Челябинской области
от 30 декабря 2022 г. N 199-ОМС 
(в ред. Дополнительных соглашений к
Тарифному соглашению в
 сфере обязательного медицинского
страхования
 Челябинской области от 27.04.2023 N 3/199-ОМС,
 от 31.07.2023 N 5/199-ОМС, от 29.11.2023 N 9/199-ОМС)
Тарифы на оплату медицинских услуг,
оказываемых взрослому и детскому
застрахованному населению в поликлинике
медицинскими организациями, не
участвующими в подушевом финансировании
амбулаторной медицинской помощи, а также
медицинскими организациями,
участвующими в подушевом
финансировании, по видам медицинской
помощи, не включенным в базовый
подушевой норматив финансирования
медицинской помощи, оказываемой в
амбулаторных условиях, с 01.01.2023 
Таблица 1 
     (рублей)
| N п/п | Наименование медицинской услуги | Вид | Тариф на оплату медицинских услуг | 
| А | 1 | 2 | 3 | 
| 1 | КТ без контрастирования | взр., дет. | 2063,30 | 
| 2 | КТ с внутривенным контрастированием | взр., дет. | 4301,90 | 
| 3 | МРТ без контрастирования | взр., дет. | 2063,30 | 
| 4 | МРТ с внутривенным контрастированием | взр., дет. | 4989,80 | 
| 5.1 | УЗИ сердечно-сосудистой системы | взр., дет. | 541,00 | 
| 5.2 | Эхокардиография | взр., дет. | 712,90 | 
| 5.2.1 | Эхокардиография (врач функциональной диагностики) | взр., дет. | 712,90 | 
| (п. 5.2.1 введен Дополнительным соглашением к Тарифному соглашению в сфере обязательного медицинского страхования Челябинской области от 29.11.2023 N 9/199-ОМС) | |||
| 5.3 | Допплерография сосудов | взр., дет. | 712,20 | 
| 5.4 | Дуплексное сканирование сосудов | взр., дет. | 715,60 | 
| 6.1 | Исключен с 31.07.2023. - Дополнительное соглашение к Тарифному соглашению в сфере обязательного медицинского страхования Челябинской области от 31.07.2023 N 5/199-ОМС | ||
| 
 | |||
| 6.2 | Бронхоскопия | взр., дет. | 1392,80 | 
| 6.3 | Эзофагогастродуоденоскопия | взр., дет. | 1273,20 | 
| 6.4 | Колоноскопия | взр., дет. | 1487,30 | 
| 6.5 | Ректосигмоидоскопия | взр., дет. | 1487,30 | 
| 6.6 | Видеокапсульные исследования | взр. | 49346,60 | 
| 6.7 | Эндосонография | взр. | 1629,60 | 
| 7.1 | МГИ EGFR с целью диагностики онкологических заболеваний | взр. | 16247,70 | 
| 7.2 | МГИ BRAF с целью диагностики онкологических заболеваний | взр. | 9984,60 | 
| 7.3 | МГИ KRAS с целью диагностики онкологических заболеваний | взр. | 11080,90 | 
| 7.4 | МГИ NRAS с целью диагностики онкологических заболеваний | взр. | 8211,90 | 
| 7.5 | МГИ BRCA 1, 2 с целью диагностики онкологических заболеваний | взр. | 11821,00 | 
| 7.6 | МГИ FISH HER2 с целью диагностики онкологических заболеваний | взр. | 9097,90 | 
| 7.7 | МГИ определение микросателлитной нестабильности MSI с целью диагностики онкологических заболеваний | взр. | 9097,90 | 
| 7.8 - 7.9 | Исключены с 31.07.2023. - Дополнительное соглашение к Тарифному соглашению в сфере обязательного медицинского страхования Челябинской области от 31.07.2023 N 5/199-ОМС | ||
| 
 | |||
| 7.10 | Определение экспрессии мРНК BCR-ABLр210 (количественное) | взр. | 6443,00 | 
| 7.11 | МГИ мутации в гене V617F (замена 617-й аминокислоты с валина на фенилаланин) JAK2 (янус тирозин-киназа второго типа) в крови, колич. | взр. | 4523,00 | 
| 7.12 | МГИ маркеров Ph-негативных миелопролиферативных заболеваний (мутации в генах Jak2, MPL и CALR) | взр. | 6101,00 | 
| 7.13 | Определение экспрессии мРНК BCR-ABLp190 (количественное) | взр. | 8634,00 | 
| 7.14 | Определение экспрессии pML-RAR-a (количественное) | взр. | 9380,00 | 
| 7.15 | МГИ мутаций в гене PDGFRA | взр. | 7645,00 | 
| 7.16 | МГИ мутации гена FLT3 (fms-подобная тирозин-киназа третьего типа) в костном мозге | взр. | 4001,00 | 
| 8.1 | Патологоанатомич. исслед. биопс. (операц.) материала (гист. исслед. 1 кат. сложн.) с целью диагн-ки онкол. забол. и подбора противоопух. ЛТ | взр., дет. | 409,20 | 
| 8.2 | Патологоанатомич. исслед. биопс. (операц.) материала (гист. исслед. 2 кат. сложн.) с целью диагн-ки онкол. забол. и подбора противоопух. ЛТ | взр., дет. | 651,50 | 
| 8.3 | Патологоанатомич. исслед. биопс. (операц.) материала (гист. исслед. 3 кат. сложн.) с целью диагн-ки онкол. забол. и подбора противоопух. ЛТ | взр., дет. | 840,80 | 
| 8.4 | Патологоанатомич. исслед. биопс. (операц.) материала (гист. исслед. 4 кат. сложн.) с целью диагн-ки онкол. забол. и подбора противоопух. ЛТ | взр., дет. | 966,10 | 
| 8.5 | Патологоанатомич. исслед. биопс. (операц.) материала (гист. исслед. 5 кат. сложн.) с целью диагн-ки онкол. забол. и подбора противоопух. ЛТ | взр., дет. | 1168,90 | 
| 8.6 | Пат. иссл. биопс. (операц.) мат. (гист. иссл. 5 кат. сложн. с пров. ИГХ иссл. с прим. до 5 АТ вкл.) с целью диагн. онк. заб. и под. противоопух. ЛТ | взр., дет. | 5450,00 | 
| 8.7 | Пат. иссл. биопс. (операц.) мат. (гист. иссл. 5 кат. сложн. с пров. ИГХ иссл. с прим. более 5 АТ) с целью диагн. онк. заб. и под. противоопух. ЛТ | взр., дет. | 10459,77 | 
| 9 | ПЭТ/КТ | взр., дет. | 34581,40 | 
| 10 | ОФЭКТ | взр. | 9915,40 | 
| 11 | ОФЭКТ/КТ | взр. | 9915,40 | 
| 12 | Пренатальная диагностика (I ультразвуковой скрининг с забором образцов крови для определения материнских сывороточных маркеров) | взр. | 580,40 | 
| 13 | Пренатальная диагностика (II ультразвуковой скрининг) | взр. | 1024,40 | 
| 14 | Пренатальная диагностика (биохимический скрининг) | взр. | 1416,90 | 
| 15 | Пренатальная диагностика (биохимический скрининг с определением плацентарного фактора роста (PLGF)) | взр. | 2854,00 | 
| 16 | Исключен с 31.07.2023. - Дополнительное соглашение к Тарифному соглашению в сфере обязательного медицинского страхования Челябинской области от 31.07.2023 N 5/199-ОМС | ||
| 
 | |||
| 17 | Определение вирусов гриппа методом ПЦР | взр., дет. | 288,60 | 
| (п. 17 введен Дополнительным соглашением к Тарифному соглашению в сфере обязательного медицинского страхования Челябинской области от 27.04.2023 N 3/199-ОМС) | |||
| 18 | Определение вирусов гриппа методом экспресс-тестирования | взр., дет. | 374,00 | 
| (п. 18 введен Дополнительным соглашением к Тарифному соглашению в сфере обязательного медицинского страхования Челябинской области от 27.04.2023 N 3/199-ОМС) | |||
| 19 | Определение РНК COVID-19 методом ПЦР с тест-системой | взр., дет. | 456,50 | 
| (п. 19 введен Дополнительным соглашением к Тарифному соглашению в сфере обязательного медицинского страхования Челябинской области от 31.07.2023 N 5/199-ОМС) | |||
Тарифы на оплату медицинских услуг,
оказанных в дополнение к базовой
программе ОМС взрослому и детскому
застрахованному населению, с 01.01.2023 
Таблица 2 
     (рублей)
| N п/п | Наименование медицинской услуги | Вид | Тариф на оплату медицинских услуг | 
| А | 1 | 2 | 3 | 
| 1 | Гистологическое исследование 2 категории сложности (сверх БП ОМС) | взр., дет. | 651,50 | 
| 2 | Гистологическое исследование 3 категории сложности (сверх БП ОМС) | взр., дет. | 840,80 | 
| 3 | Гистологическое исследование 4 категории сложности (сверх БП ОМС) | взр., дет. | 966,10 | 
| 4 | Гистологическое исследование 5 категории сложности (сверх БП ОМС) | взр., дет. | 1168,90 | 
| 5 | Гистологическое исследование 5 категории сложности с провед. ИГХ исслед. с примен. до 5 антител включительно (сверх БП ОМС) | взр., дет. | 5450,00 | 
| 6 | Гистологическое исследование 5 категории сложности с провед. ИГХ исслед. с примен. более 5 антител (сверх БП ОМС) | взр., дет. | 10459,77 | 
| 7 | Гистологическое исследование 5 категории сложности с провед. ИГХ исслед. с примен. до 5 антител включительно (ЦАОП) (сверх БП ОМС) | взр. | 5450,00 | 
| 8 | Гистологическое исследование 5 категории сложности с провед. ИГХ исслед. с примен. более 5 антител (ЦАОП) (сверх БП ОМС) | взр. | 10459,77 | 
| 9 | КТ без контрастирования при подозрении у пациента COVID-19 (сверх БП ОМС) | взр., дет. | 2063,30 | 
| 10 | КТ без контрастирования при прочих заболеваниях и состояниях (сверх БП ОМС) | взр., дет. | 2063,30 | 
Приложение N 9/8
к Тарифному соглашению
в сфере обязательного
медицинского страхования
Челябинской области
от 30 декабря 2022 г. N 199-ОМС 
Тарифы на оплату медицинской помощи (с
учетом лабораторных и инструментальных
исследований), оказанной взрослому
застрахованному населению в центрах
амбулаторной онкологической помощи, с
01.01.2023 
Таблица 1 
     (рублей)
| N п/п | Наименование тарифа | Тариф на оплату МП за посещение | 
| А | 1 | 2 | 
| 1 | Акушер-гинеколог (ЦАОП) | 385,00 | 
| 2 | Врач по медицинской реабилитации (ЦАОП) | 248,00 | 
| 3 | Гастроэнтеролог (ЦАОП) | 312,00 | 
| 4 | Дерматовенеролог (ЦАОП) | 300,00 | 
| 5 | Кардиолог (ЦАОП) | 311,00 | 
| 6 | Колопроктолог (ЦАОП) | 312,00 | 
| 7 | Невролог (ЦАОП) | 320,00 | 
| 8 | Оториноларинголог (ЦАОП) | 313,00 | 
| 9 | Онколог (ЦАОП) | 900,00 | 
| 10 | Пульмонолог (ЦАОП) | 312,00 | 
| 11 | Терапевт (ЦАОП) | 312,00 | 
| 12 | Уролог (ЦАОП) | 320,00 | 
| 13 | Хирург (ЦАОП) | 314,00 | 
| 14 | Эндокринолог (ЦАОП) | 313,00 | 
Тарифы на оплату медицинских услуг,
оказанных взрослому застрахованному
населению в центрах амбулаторной
онкологической помощи, с 01.01.2023 
Таблица 2 
     (рублей)
| N п/п | Наименование медицинской услуги | Тариф на оплату медицинских услуг | 
| А | 1 | 2 | 
| 1 | Трепанбиопсия под контр. УЗИ простаты для провед. гистол. исслед. (ЦАОП) | 3133,00 | 
| 2 | Трепанбиопсия под контр. УЗИ поверхн. распол. органов (щитов. жел., мол. жел., лимф. узла, мягк. тканей) для провед. гистол. исслед. (ЦАОП) | 2918,00 | 
| 3 | Тонкоигольная аспирац. биопсия (пункция) под контр. УЗИ поверхн. распол. органов (щитов. жел., мол. жел., лимф. узла, мягк. тканей) (ЦАОП) | 1100,00 | 
| 4 | Гистологическое исследование биоптата 1 категории сложности (ЦАОП) | 409,20 | 
| 5 | Гистологическое исследование биоптата 2 категории сложности (ЦАОП) | 651,50 | 
| 6 | Гистологическое исследование биоптата 3 категории сложности (ЦАОП) | 840,80 | 
| 7 | Гистологическое исследование биоптата 4 категории сложности (ЦАОП) | 966,10 | 
| 8 | Гистологическое исследование биоптата 5 категории сложности (ЦАОП) | 1168,90 | 
| 9 | Цитологическое исследование биоптата (ЦАОП) | 530,00 | 
| 10 | Цитологическое исследование мазков с шейки матки и цервикального канала (ЦАОП) | 530,00 | 
| 11 | Назофаринголарингоскопия с биопсией опухоли (ЦАОП) | 790,00 | 
| 12 | Эзофагогастродуоденоскопия с биопсией опухоли (ЦАОП) | 1273,20 | 
| 13 | Колоноскопия тотальная с биопсией опухоли (ЦАОП) | 1850,00 | 
| 14 | Колоноскопия тотальная с биопсией опухоли с анестезиологическим пособием (ЦАОП) | 3700,00 | 
| 15 | Ректороманоскопия при раке прямой кишки или ректосигмоидного отдела с биопсией опухоли (ЦАОП) | 1487,30 | 
| 16 | Бронхоскопия с биопсией (ЦАОП) | 1930,00 | 
| 17 | Бронхоскопия с биопсией с анестезиологическим пособием (ЦАОП) | 3780,00 | 
| 18 | Уретроцистоскопия с биопсией опухоли (ЦАОП) | 2089,00 | 
| 19 | Биопсия шейки матки и цервикального канала (ЦАОП) | 371,00 | 
| 20 | УЗИ органов брюшной полости (комплексное) и забрюшинного пространства (ЦАОП) | 630,00 | 
| 21 | УЗИ органов малого таза внутриполостное (трансвагинальное (ТВУЗИ), трансректальное (ТРУЗИ))/трансабдоминальное (ЦАОП) | 623,00 | 
| 22 | УЗИ поверхн. распол. органов (щитов. жел., мол. жел., лимф. узлов, мягк. тканей, глазн. яблок, грудн. клетки, средостен., плевр. пол.) (ЦАОП) | 490,00 | 
| 23 | УЗИ почек и мочевого пузыря (ЦАОП) | 490,00 | 
| 24 | Рентгенография пищевода/желудка с контрастированием (ЦАОП) | 900,00 | 
| 25 | Билатеральная маммография (ЦАОП) | 652,40 | 
| 26 | Рентгенография органов грудной клетки в прямой и боковой проекциях (ЦАОП) | 458,30 | 
| 27 | КТ с контрастным усилением (ЦАОП) | 4301,90 | 
| 28 | КТ без контрастного усиления (ЦАОП) | 2063,30 | 
| 29 | МРТ без контрастного усиления (ЦАОП) | 2063,30 | 
| 30 | МРТ с контрастным усилением (ЦАОП) | 4989,80 | 
| 31 | Определение онкомаркеров (ЦАОП) | 416,00 | 
| 32 | Определение уровня гормонов (ЦАОП) | 270,00 | 
| 33 | Сцинтиграфия скелета (ЦАОП) | 3020,00 | 
| 34 | Внутривенная урография (ЦАОП) | 1760,00 | 
| 35 | Гистологическое исследование 5 категории сложности с провед. ИГХ исслед. с примен. до 5 антител включительно (ЦАОП) | 5450,00 | 
| 36 | Гистологическое исследование 5 категории сложности с провед. ИГХ исслед. с примен. более 5 антител (ЦАОП) | 10459,77 | 
Приложение N 9/9
к Тарифному соглашению
в сфере обязательного
медицинского страхования
Челябинской области
от 30 декабря 2022 г. N 199-ОМС 
Тарифы на оплату комплексного посещения
диспансерного наблюдения отдельных
категорий граждан из числа взрослого
застрахованного населения в
поликлинике, на дому с 01.01.2023 
рублей 
| N | Наименование тарифа | Вид | Тариф на оплату МП за комплексное посещение с лечебно-диагностической целью | 
| А | 1 | 2 | 3 | 
| 1 | Врач общей практики ДН | взр. | 1520,60 | 
| 2 | Врач общей практики (фельдшер) ДН | взр. | 1064,40 | 
| 3 | Врач-кардиолог ДН | взр. | 1520,60 | 
| 4 | Врач-онколог ДН | взр. | 1520,60 | 
| 5 | Врач-терапевт ДН | взр. | 1520,60 | 
| 6 | Врач-терапевт участковый ДН | взр. | 1520,60 | 
| 7 | Врач-эндокринолог ДН | взр. | 1520,60 | 
| 8 | Фельдшер (терапевт) ДН | взр. | 1064,40 | 
| 9 | Фельдшер (терапевт участковый) ДН | взр. | 1064,40 | 
| 10 | Фельдшер ФП/ФАП (терапевт) ДН | взр. | 1064,40 | 
| 11 | Фельдшер ФП/ФАП (терапевт участковый) ДН | взр. | 1064,40 | 
Приложение N 9/10
к Тарифному соглашению
в сфере обязательного
медицинского страхования
Челябинской области
от 30 декабря 2022 г. N 199-ОМС 
Тарифы на оплату медицинской
реабилитации, оказанной взрослому и
детскому застрахованному населению в
амбулаторных условиях, с 01.01.2023
| N | Наименование тарифа | Вид | Тариф, рублей | 
| А | 1 | 2 | 3 | 
| 1 | Компл. посещ. по профилю "медицинская реабилитация" пациентов с заболеваниями ЦНС | взр. | 12300,60 | 
| 2 | Компл. посещ. по профилю "медицинская реабилитация" пациентов с заболеваниями ЦНС (расшир.) | взр. | 15741,90 | 
| 3 | Компл. посещ. по профилю "медицинская реабилитация" пациентов с заболеваниями ЦНС | дет. | 15658,30 | 
| 4 | Компл. посещ. по профилю "медицинская реабилитация" пациентов с заболеваниями ЦНС (расшир.) | дет. | 24361,60 | 
| 5 | Компл. посещ. по профилю "медицинская реабилитация" пациентов при забол. или состоян. опорно-двигат. аппарата и перифер. нервной сист. | взр. | 10856,40 | 
| 6 | Компл. посещ. по профилю "медицинская реабилитация" пациентов при забол. или состоян. опор.-двиг. аппарата и периф. нервн. сист. (расшир.) | взр. | 14623,00 | 
| 7 | Компл. посещ. по профилю "медицинская реабилитация" пациентов при забол. или состоян. опорно-двигат. аппарата и перифер. нервной сист. | дет. | 8993,80 | 
| 8 | Компл. посещ. по профилю "медицинская реабилитация" пациентов при забол. или состоян. опор.-двиг. аппарата и периф. нервн. сист. (расшир.) | дет. | 17684,70 | 
| 9 | Компл. посещ. по профилю "медицинская реабилитация" пациентов при соматических заболеваниях (кардиореабилитация) | взр. | 10856,40 | 
| 10 | Компл. посещ. по профилю "медицинская реабилитация" пациентов при соматических заболеваниях (кардиореабилитация) (расшир.) | взр. | 14402,20 | 
| 11 | Компл. посещ. по профилю "медицинская реабилитация" пациентов при соматич. заболев. (за исключ. кардиореабилитации, НКВИ COVID-19) | взр. | 10602,40 | 
| 12 | Компл. посещ. по профилю "медицинская реабилитация" пациентов при сомат. забол. (за искл. кардиореабилитации, НКВИ COVID-19) (расшир.) | взр. | 11260,80 | 
| 13 | Компл. посещ. по профилю "медицинская реабилитация" пациентов при соматических заболеваниях (за исключением НКВИ COVID-19) | дет. | 7909,60 | 
| 14 | Компл. посещ. по профилю "медицинская реабилитация" пациентов при соматических заболеваниях (за исключением НКВИ COVID-19) (расшир.) | дет. | 14708,10 | 
| 15 | Компл. посещ. по профилю "медицинская реабилитация" пациентов при соматических заболеваниях после перенесенной НКВИ COVID-19 | взр. | 10856,40 | 
| 16 | Компл. посещ. по профилю "медицинская реабилитация" пациентов при соматич. заболеваниях после перенесенной НКВИ COVID-19 (расшир.) | взр. | 14402,20 | 
| 17 | Компл. посещ. по профилю "медицинская реабилитация" после перенесенной НКВИ COVID-19 | дет. | 7257,50 | 
| 18 | Компл. посещ. по профилю "медицинская реабилитация" после перенесенной НКВИ COVID-19 (расшир.) | дет. | 12616,10 | 
Приложение N 9/11
к Тарифному соглашению
в сфере обязательного
медицинского страхования
Челябинской области
от 30 декабря 2022 г. N 199-ОМС 
Тарифы на оплату медицинской помощи,
оказанной взрослому и детскому
застрахованному населению в школах для
пациентов с сахарным диабетом 
(введен Дополнительным
соглашением к Тарифному соглашению в
сфере обязательного медицинского
страхования Челябинской области от
27.04.2023 N 3/199-ОМС; в ред. Дополнительного
соглашения к Тарифному соглашению в
сфере обязательного медицинского
страхования Челябинской области от
31.08.2023 N 6/199-ОМС)
| N | Наименование тарифа | Вид | Тариф на оплату МП за комплексное посещение с профилактической целью, рублей | 
| А | 1 | 2 | 3 | 
| 1 | Школа для пациентов с сахарным диабетом 1 типа | взр. | 1511,40 | 
| 2 | Школа для пациентов с сахарным диабетом 2 типа | взр. | 1251,10 | 
| 3 | Школа для пациентов с сахарным диабетом | дет. | 1981,70 | 
Приложение N 10
к Тарифному соглашению
в сфере обязательного
медицинского страхования
Челябинской области
от 30 декабря 2022 г. N 199-ОМС 
Тарифы на оплату стоматологических
услуг (с учетом лабораторных и
инструментальных исследований),
оказанных взрослому и детскому
застрахованному населению, с 01.01.2023 
Таблица 1 
     (рублей)
| N п/п | Наименование тарифа | Тип | Стоимость 1 УЕТ в посещении | Стоимость 1 УЕТ в обращении | 
| А | 1 | 2 | 3 | 4 | 
| 1 | Врач-ортодонт | дет. | 171,40 | 171,40 | 
| 2 | Врач-стоматолог детский | дет. | 171,40 | 171,40 | 
| 3 | Врач-стоматолог общей практики | взр. | 171,40 | 171,40 | 
| 4 | Врач-стоматолог общей практики | дет. | 171,40 | 171,40 | 
| 5 | Врач - стоматолог-терапевт | взр. | 171,40 | 171,40 | 
| 6 | Врач - стоматолог-хирург | взр. | 171,40 | 171,40 | 
| 7 | Врач - стоматолог-хирург | дет. | 171,40 | 171,40 | 
| 8 | Зубной врач | взр. | 171,40 | 
 | 
| 9 | Зубной врач | дет. | 171,40 | 
 | 
Тарифы на оплату неотложной
стоматологической медицинской помощи (с
учетом лабораторных и инструментальных
исследований), оказанной взрослому и
детскому застрахованному населению, с
01.01.2023 
Таблица 2 
     (рублей)
| N п/п | Наименование тарифа | Тип | Стоимость 1 УЕТ в посещении | 
| А | 1 | 2 | 3 | 
| 1 | Врач-стоматолог детский неотложной медицинской помощи | дет. | 171,40 | 
| 2 | Врач-стоматолог общей практики неотложной медицинской помощи | взр. | 171,40 | 
| 3 | Врач-стоматолог общей практики неотложной медицинской помощи | дет. | 171,40 | 
| 4 | Врач - стоматолог-терапевт неотложной медицинской помощи | взр. | 171,40 | 
| 5 | Врач - стоматолог-хирург неотложной медицинской помощи | взр. | 171,40 | 
| 6 | Врач - стоматолог-хирург неотложной медицинской помощи | дет. | 171,40 | 
| 7 | Зубной врач неотложной медицинской помощи | взр. | 171,40 | 
| 8 | Зубной врач неотложной медицинской помощи | дет. | 171,40 | 
Тарифы на оплату медицинской помощи,
оказанной по решениям врачебной
комиссии в амбулаторных условиях в
дополнение к базовой программе ОМС, с
01.01.2023 
Таблица 3 
     (рублей)
| N п/п | Наименование тарифа | Стоимость 1 УЕТ | 
| 1 | Врач - стоматолог-ортопед (сверх БП ОМС) | 900,38 | 
| 2 | Зубной врач (сверх БП ОМС) | 900,38 | 
Приложение N 11
к Тарифному соглашению
в сфере обязательного
медицинского страхования
Челябинской области
от 30 декабря 2022 г. N 199-ОМС 
Тарифы на оплату комплексного посещения
диспансеризации взрослого и детского
застрахованного населения с 01.01.2023 
Таблица 1 
     (рублей)
| N | Наименование комплексного посещения диспансеризации | Вид | Леч.-диаг. | Профилакт. | 
| 1 | 2 | 3 | 4 | 5 | 
| 1 | Компл. посещ. дисп. взр. нас. (I эт.) (ж) (18, 24, 30) | взр. | 
 | 1571,90 | 
| 2 | Компл. посещ. дисп. взр. нас. (I эт.) (ж) (21, 27, 33) | взр. | 
 | 1266,70 | 
| 3 | Компл. посещ. дисп. взр. нас. (I эт.) (ж) (36) | взр. | 
 | 1892,20 | 
| 4 | Компл. посещ. дисп. взр. нас. (I эт.) (ж) (39) | взр. | 
 | 1587,00 | 
| 5 | Компл. посещ. дисп. взр. нас. (I эт.) (ж) (40, 44, 46, 50, 52, 56, 58, 62, 64) | взр. | 
 | 2608,70 | 
| 6 | Компл. посещ. дисп. взр. нас. (I эт.) (ж) (41, 43, 47, 49, 53, 55, 59, 61) | взр. | 
 | 1516,20 | 
| 7 | Компл. посещ. дисп. взр. нас. (I эт.) (ж) (42, 48, 54, 60) | взр. | 
 | 2999,50 | 
| 8 | Компл. посещ. дисп. взр. нас. (I эт.) (ж) (45) (без проведения ЭФГДС) | взр. | 
 | 1907,00 | 
| 9 | Компл. посещ. дисп. взр. нас. (I эт.) (ж) (45) (с проведением ЭФГДС) | взр. | 
 | 3180,20 | 
| 10 | Компл. посещ. дисп. взр. нас. (I эт.) (ж) (51, 57, 63) | взр. | 
 | 1907,00 | 
| 11 | Компл. посещ. дисп. взр. нас. (I эт.) (ж) (65, 67, 69, 71, 73, 75) | взр. | 
 | 1569,10 | 
| 12 | Компл. посещ. дисп. взр. нас. (I эт.) (ж) (66, 68, 70, 72, 74) | взр. | 
 | 2526,70 | 
| 13 | Компл. посещ. дисп. взр. нас. (I эт.) (ж) (76, 78, 80, 82, 84, 86, 88, 90, 92, 94, 96, 98) | взр. | 
 | 1739,40 | 
| 14 | Компл. посещ. дисп. взр. нас. (I эт.) (ж) (77, 79, 81, 83, 85, 87, 89, 91, 93, 95, 97, 99 и старше) | взр. | 
 | 1434,20 | 
| 15 | Компл. посещ. дисп. взр. нас. (I эт.) (м) (18, 24, 30) | взр. | 
 | 1071,10 | 
| 16 | Компл. посещ. дисп. взр. нас. (I эт.) (м) (21, 27, 33) | взр. | 
 | 765,90 | 
| 17 | Компл. посещ. дисп. взр. нас. (I эт.) (м) (36) | взр. | 
 | 1391,40 | 
| 18 | Компл. посещ. дисп. взр. нас. (I эт.) (м) (39) | взр. | 
 | 1086,20 | 
| 19 | Компл. посещ. дисп. взр. нас. (I эт.) (м) (40, 42, 44, 46, 48, 52, 54, 56, 58, 62) | взр. | 
 | 1846,30 | 
| 20 | Компл. посещ. дисп. взр. нас. (I эт.) (м) (41, 43, 47, 49, 51, 53, 57, 59, 61, 63) | взр. | 
 | 1406,20 | 
| 21 | Компл. посещ. дисп. взр. нас. (I эт.) (м) (45) (без проведения ЭФГДС) | взр. | 
 | 1619,80 | 
| 22 | Компл. посещ. дисп. взр. нас. (I эт.) (м) (45) (с проведением ЭФГДС) | взр. | 
 | 2893,00 | 
| 23 | Компл. посещ. дисп. взр. нас. (I эт.) (м) (50, 60, 64) | взр. | 
 | 2059,90 | 
| 24 | Компл. посещ. дисп. взр. нас. (I эт.) (м) (55) | взр. | 
 | 1619,80 | 
| 25 | Компл. посещ. дисп. взр. нас. (I эт.) (м) (65, 67, 69, 71, 73, 75) | взр. | 
 | 1459,10 | 
| 26 | Компл. посещ. дисп. взр. нас. (I эт.) (м) (66, 68, 70, 72, 74) | взр. | 
 | 1764,30 | 
| 27 | Компл. посещ. дисп. взр. нас. (I эт.) (м) (76, 78, 80, 82, 84, 86, 88, 90, 92, 94, 96, 98) | взр. | 
 | 1629,40 | 
| 28 | Компл. посещ. дисп. взр. нас. (I эт.) (м) (77, 79, 81, 83, 85, 87, 89, 91, 93, 95, 97, 99 и старше) | взр. | 
 | 1324,20 | 
| 29 | Компл. посещ. дисп. детей-сирот и детей, наход. в труд. жизнен. ситуации (I и II эт.) (ж) (0 - 2) | дет. | 
 | 4863,60 | 
| 30 | Компл. посещ. дисп. детей-сирот и детей, наход. в труд. жизнен. ситуации (I и II эт.) (ж) (15 - 17) | дет. | 
 | 6061,50 | 
| 31 | Компл. посещ. дисп. детей-сирот и детей, наход. в труд. жизнен. ситуации (I и II эт.) (ж) (3, 4) | дет. | 
 | 4687,70 | 
| 32 | Компл. посещ. дисп. детей-сирот и детей, наход. в труд. жизнен. ситуации (I и II эт.) (ж) (5, 6) | дет. | 
 | 4903,10 | 
| 33 | Компл. посещ. дисп. детей-сирот и детей, наход. в труд. жизнен. ситуации (I и II эт.) (ж) (7 - 14) | дет. | 
 | 5821,70 | 
| 34 | Компл. посещ. дисп. детей-сирот и детей, наход. в труд. жизнен. ситуации (I и II эт.) (м) (0 - 2) | дет. | 
 | 4748,50 | 
| 35 | Компл. посещ. дисп. детей-сирот и детей, наход. в труд. жизнен. ситуации (I и II эт.) (м) (15 - 17) | дет. | 
 | 5946,40 | 
| 36 | Компл. посещ. дисп. детей-сирот и детей, наход. в труд. жизнен. ситуации (I и II эт.) (м) (3, 4) | дет. | 
 | 4572,60 | 
| 37 | Компл. посещ. дисп. детей-сирот и детей, наход. в труд. жизнен. ситуации (I и II эт.) (м) (5, 6) | дет. | 
 | 4788,00 | 
| 38 | Компл. посещ. дисп. детей-сирот и детей, наход. в труд. жизнен. ситуации (I и II эт.) (м) (7 - 14) | дет. | 
 | 5706,60 | 
| 39 | Компл. посещ. дисп. детей-сирот и детей, наход. в труд. жизнен. ситуации (I эт.) (ж) (0 - 2) | дет. | 
 | 4697,60 | 
| 40 | Компл. посещ. дисп. детей-сирот и детей, наход. в труд. жизнен. ситуации (I эт.) (ж) (15 - 17) | дет. | 
 | 5895,50 | 
| 41 | Компл. посещ. дисп. детей-сирот и детей, наход. в труд. жизнен. ситуации (I эт.) (ж) (3, 4) | дет. | 
 | 4521,70 | 
| 42 | Компл. посещ. дисп. детей-сирот и детей, наход. в труд. жизнен. ситуации (I эт.) (ж) (5, 6) | дет. | 
 | 4737,10 | 
| 43 | Компл. посещ. дисп. детей-сирот и детей, наход. в труд. жизнен. ситуации (I эт.) (ж) (7 - 14) | дет. | 
 | 5655,70 | 
| 44 | Компл. посещ. дисп. детей-сирот и детей, наход. в труд. жизнен. ситуации (I эт.) (м) (0 - 2) | дет. | 
 | 4582,50 | 
| 45 | Компл. посещ. дисп. детей-сирот и детей, наход. в труд. жизнен. ситуации (I эт.) (м) (15 - 17) | дет. | 
 | 5780,40 | 
| 46 | Компл. посещ. дисп. детей-сирот и детей, наход. в труд. жизнен. ситуации (I эт.) (м) (3, 4) | дет. | 
 | 4406,60 | 
| 47 | Компл. посещ. дисп. детей-сирот и детей, наход. в труд. жизнен. ситуации (I эт.) (м) (5, 6) | дет. | 
 | 4622,00 | 
| 48 | Компл. посещ. дисп. детей-сирот и детей, наход. в труд. жизнен. ситуации (I эт.) (м) (7 - 14) | дет. | 
 | 5540,60 | 
| 49 | Компл. посещ. дисп. детей-сирот и детей, оставшихся б/попеч. родителей (I и II эт.) (ж) (0 - 2) | дет. | 
 | 4863,60 | 
| 50 | Компл. посещ. дисп. детей-сирот и детей, оставшихся б/попеч. родителей (I и II эт.) (ж) (15 - 17) | дет. | 
 | 6061,50 | 
| 51 | Компл. посещ. дисп. детей-сирот и детей, оставшихся б/попеч. родителей (I и II эт.) (ж) (3, 4) | дет. | 
 | 4687,70 | 
| 52 | Компл. посещ. дисп. детей-сирот и детей, оставшихся б/попеч. родителей (I и II эт.) (ж) (5, 6) | дет. | 
 | 4903,10 | 
| 53 | Компл. посещ. дисп. детей-сирот и детей, оставшихся б/попеч. родителей (I и II эт.) (ж) (7 - 14) | дет. | 
 | 5821,70 | 
| 54 | Компл. посещ. дисп. детей-сирот и детей, оставшихся б/попеч. родителей (I и II эт.) (м) (0 - 2) | дет. | 
 | 4748,50 | 
| 55 | Компл. посещ. дисп. детей-сирот и детей, оставшихся б/попеч. родителей (I и II эт.) (м) (15 - 17) | дет. | 
 | 5946,40 | 
| 56 | Компл. посещ. дисп. детей-сирот и детей, оставшихся б/попеч. родителей (I и II эт.) (м) (3, 4) | дет. | 
 | 4572,60 | 
| 57 | Компл. посещ. дисп. детей-сирот и детей, оставшихся б/попеч. родителей (I и II эт.) (м) (5, 6) | дет. | 
 | 4788,00 | 
| 58 | Компл. посещ. дисп. детей-сирот и детей, оставшихся б/попеч. родителей (I и II эт.) (м) (7 - 14) | дет. | 
 | 5706,60 | 
| 59 | Компл. посещ. дисп. детей-сирот и детей, оставшихся б/попеч. родителей (I эт.) (ж) (0 - 2) | дет. | 
 | 4697,60 | 
| 60 | Компл. посещ. дисп. детей-сирот и детей, оставшихся б/попеч. родителей (I эт.) (ж) (15 - 17) | дет. | 
 | 5895,50 | 
| 61 | Компл. посещ. дисп. детей-сирот и детей, оставшихся б/попеч. родителей (I эт.) (ж) (3, 4) | дет. | 
 | 4521,70 | 
| 62 | Компл. посещ. дисп. детей-сирот и детей, оставшихся б/попеч. родителей (I эт.) (ж) (5, 6) | дет. | 
 | 4737,10 | 
| 63 | Компл. посещ. дисп. детей-сирот и детей, оставшихся б/попеч. родителей (I эт.) (ж) (7 - 14) | дет. | 
 | 5655,70 | 
| 64 | Компл. посещ. дисп. детей-сирот и детей, оставшихся б/попеч. родителей (I эт.) (м) (0 - 2) | дет. | 
 | 4582,50 | 
| 65 | Компл. посещ. дисп. детей-сирот и детей, оставшихся б/попеч. родителей (I эт.) (м) (15 - 17) | дет. | 
 | 5780,40 | 
| 66 | Компл. посещ. дисп. детей-сирот и детей, оставшихся б/попеч. родителей (I эт.) (м) (3, 4) | дет. | 
 | 4406,60 | 
| 67 | Компл. посещ. дисп. детей-сирот и детей, оставшихся б/попеч. родителей (I эт.) (м) (5, 6) | дет. | 
 | 4622,00 | 
| 68 | Компл. посещ. дисп. детей-сирот и детей, оставшихся б/попеч. родителей (I эт.) (м) (7 - 14) | дет. | 
 | 5540,60 | 
| 69 | Компл. посещ. дисп. инвал. войн (I эт.) (ж) (18, 24, 30) | взр. | 
 | 1571,90 | 
| 70 | Компл. посещ. дисп. инвал. войн (I эт.) (ж) (21, 27, 33) | взр. | 
 | 1266,70 | 
| 71 | Компл. посещ. дисп. инвал. войн (I эт.) (ж) (36) | взр. | 
 | 1892,20 | 
| 72 | Компл. посещ. дисп. инвал. войн (I эт.) (ж) (39) | взр. | 
 | 1587,00 | 
| 73 | Компл. посещ. дисп. инвал. войн (I эт.) (ж) (40, 44, 46, 50, 52, 56, 58, 62, 64) | взр. | 
 | 2608,70 | 
| 74 | Компл. посещ. дисп. инвал. войн (I эт.) (ж) (41, 43, 47, 49, 53, 55, 59, 61) | взр. | 
 | 1516,20 | 
| 75 | Компл. посещ. дисп. инвал. войн (I эт.) (ж) (42, 48, 54, 60) | взр. | 
 | 2999,50 | 
| 76 | Компл. посещ. дисп. инвал. войн (I эт.) (ж) (45) (без проведения ЭФГДС) | взр. | 
 | 1907,00 | 
| 77 | Компл. посещ. дисп. инвал. войн (I эт.) (ж) (45) (с проведением ЭФГДС) | взр. | 
 | 3180,20 | 
| 78 | Компл. посещ. дисп. инвал. войн (I эт.) (ж) (51, 57, 63) | взр. | 
 | 1907,00 | 
| 79 | Компл. посещ. дисп. инвал. войн (I эт.) (ж) (65, 67, 69, 71, 73, 75) | взр. | 
 | 1569,10 | 
| 80 | Компл. посещ. дисп. инвал. войн (I эт.) (ж) (66, 68, 70, 72, 74) | взр. | 
 | 2526,70 | 
| 81 | Компл. посещ. дисп. инвал. войн (I эт.) (ж) (76, 78, 80, 82, 84, 86, 88, 90, 92, 94, 96, 98) | взр. | 
 | 1739,40 | 
| 82 | Компл. посещ. дисп. инвал. войн (I эт.) (ж) (77, 79, 81, 83, 85, 87, 89, 91, 93, 95, 97, 99 и старше) | взр. | 
 | 1434,20 | 
| 83 | Компл. посещ. дисп. инвал. войн (I эт.) (м) (18, 24, 30) | взр. | 
 | 1071,10 | 
| 84 | Компл. посещ. дисп. инвал. войн (I эт.) (м) (21, 27, 33) | взр. | 
 | 765,90 | 
| 85 | Компл. посещ. дисп. инвал. войн (I эт.) (м) (36) | взр. | 
 | 1391,40 | 
| 86 | Компл. посещ. дисп. инвал. войн (I эт.) (м) (39) | взр. | 
 | 1086,20 | 
| 87 | Компл. посещ. дисп. инвал. войн (I эт.) (м) (40, 42, 44, 46, 48, 52, 54, 56, 58, 62) | взр. | 
 | 1846,30 | 
| 88 | Компл. посещ. дисп. инвал. войн (I эт.) (м) (41, 43, 47, 49, 51, 53, 57, 59, 61, 63) | взр. | 
 | 1406,20 | 
| 89 | Компл. посещ. дисп. инвал. войн (I эт.) (м) (45) (без проведения ЭФГДС) | взр. | 
 | 1619,80 | 
| 90 | Компл. посещ. дисп. инвал. войн (I эт.) (м) (45) (с проведением ЭФГДС) | взр. | 
 | 2893,00 | 
| 91 | Компл. посещ. дисп. инвал. войн (I эт.) (м) (50, 60, 64) | взр. | 
 | 2059,90 | 
| 92 | Компл. посещ. дисп. инвал. войн (I эт.) (м) (55) | взр. | 
 | 1619,80 | 
| 93 | Компл. посещ. дисп. инвал. войн (I эт.) (м) (65, 67, 69, 71, 73, 75) | взр. | 
 | 1459,10 | 
| 94 | Компл. посещ. дисп. инвал. войн (I эт.) (м) (66, 68, 70, 72, 74) | взр. | 
 | 1764,30 | 
| 95 | Компл. посещ. дисп. инвал. войн (I эт.) (м) (76, 78, 80, 82, 84, 86, 88, 90, 92, 94, 96, 98) | взр. | 
 | 1629,40 | 
| 96 | Компл. посещ. дисп. инвал. войн (I эт.) (м) (77, 79, 81, 83, 85, 87, 89, 91, 93, 95, 97, 99 и старше) | взр. | 
 | 1324,20 | 
Тарифы осмотров врачами-специалистами,
исследований и иных медицинских
мероприятий, проводимых в рамках II этапа
диспансеризации взрослого
застрахованного населения, с 01.01.2023 
Таблица 2 
     (рублей)
| N п/п | Наименование тарифа | Пол | |
| 
 | 
 | женщины | мужчины | 
| А | 1 | 2 | 3 | 
| 1 | Дуплексное сканирование брахицефальных артерий | 1131,40 | 1131,40 | 
| 2 | Спирометрия | 181,80 | 181,80 | 
| 3 | Осмотр (консультация) врача-оториноларинголога | 210,80 | 210,80 | 
| 4 | Осмотр (консультация) врача - акушера-гинеколога | 278,00 | 
 | 
| 5 | Осмотр (консультация) врача-невролога | 278,00 | 278,00 | 
| 6 | Осмотр (консультация) врача-офтальмолога | 194,00 | 194,00 | 
| 7 | Осмотр (консультация) врача-уролога (хирурга) | 
 | 160,40 | 
| 8 | Осмотр (консультация) врача-колопроктолога (хирурга) | 194,00 | 194,00 | 
| 9 | Колоноскопия/ректоманоскопия | 1487,30 | 1487,30 | 
| 10 | Эзофагогастродуоденоскопия (с учетом биопсии и гистологического исследования) | 1605,80 | 1605,80 | 
| 11 | Рентгенография легких | 458,30 | 458,30 | 
| 12 | Компьютерная томография легких | 1628,70 | 1628,70 | 
| 13 | Проведение индивидуального или группового (школы для пациентов) углубленного профилактического консультирования | 306,00 | 306,00 | 
| 14 | Осмотр (консультация) врачом-дерматовенерологом, включая проведение дерматоскопии | 201,60 | 201,60 | 
| 15 | Проведение исследования уровня гликированного гемоглобина в крови | 245,60 | 245,60 | 
| 16 | Прием (осмотр) врачом-терапевтом по результатам второго этапа диспансеризации, включающий установление (уточнение) диагноза, определение (уточнение) группы здоровья, определение группы диспансерного наблюдения (с учетом заключений врачей-специалистов), направление граждан при наличии медицинских показаний на дополнительное обследование, не входящее в объем диспансеризации, в том числе направление на осмотр (консультацию) врачом-онкологом при подозрении на онкологические заболевания в соответствии с Порядком оказания медицинской помощи населению по профилю "онкология", утвержд. приказом Минздрава России от 15.11.2012 N 915н, а также для получения специализированной, в том числе высокотехнологичной, медицинской помощи, на санаторно-курортное лечение | 138,00 | 138,00 | 
| 17 | Прием (осмотр) фельдшером по результатам второго этапа диспансеризации, включающий установление (уточнение) диагноза, определение (уточнение) группы здоровья, определение группы диспансерного наблюдения (с учетом заключений врачей-специалистов), направление граждан при наличии медицинских показаний на дополнительное обследование, не входящее в объем диспансеризации, в том числе направление на осмотр (консультацию) врачом-онкологом при подозрении на онкологические заболевания в соответствии с Порядком оказания медицинской помощи населению по профилю "онкология", утвержд. приказом Минздрава России от 15.11.2012 N 915н, а также для получения специализированной, в том числе высокотехнологичной, медицинской помощи, на санаторно-курортное лечение | 138,00 | 138,00 | 
Тарифы на оплату комплексного посещения,
медицинских услуг, проводимых в рамках
углубленной диспансеризации взрослого
застрахованного населения, с 01.01.2023 
Таблица 3 
     (рублей)
| N п/п | Наименование тарифа | Тариф на оплату МП | 
| I этап углубленной диспансеризации | ||
| 1 | Компл. посещ. углубл. дисп. взр. нас. (I эт.) | 987,20 | 
| 2 | I эт. углубл. дисп. Проведение теста с 6-минутной ходьбой | 95,20 | 
| 3 | I эт. углубл. дисп. Определение концентрации Д-димера в крови | 500,00 | 
| II этап углубленной диспансеризации | ||
| 1 | II эт. углубл. дисп. Эхокардиография | 712,90 | 
| 2 | II эт. углубл. дисп. Компьютерная томография легких | 1628,70 | 
| 3 | II эт. углубл. дисп. Дуплексное сканирование вен нижних конечностей | 715,60 | 
Приложение N 12
к Тарифному соглашению
в сфере обязательного
медицинского страхования
Челябинской области
от 30 декабря 2022 г. N 199-ОМС 
Тарифы на оплату комплексного посещения
профилактических медицинских осмотров
взрослого и детского застрахованного
населения с 01.01.2023 
Таблица 1 
     (рублей)
| N | Наименование комплексного посещения медицинского осмотра | Вид | Леч.-диаг. | Профилакт. | 
| 1 | 2 | 3 | 4 | 5 | 
| 1 | Компл. посещ. проф. осмотра взрослого населения (ж) (18, 20, 22, 24, 26, 28, 30, 32, 34) | взр. | 
 | 1076,70 | 
| 2 | Компл. посещ. проф. осмотра взрослого населения (ж) (19, 21, 23, 25, 27, 29, 31, 33) | взр. | 
 | 771,50 | 
| 3 | Компл. посещ. проф. осмотра взрослого населения (ж) (35, 37, 39) | взр. | 
 | 1091,80 | 
| 4 | Компл. посещ. проф. осмотра взрослого населения (ж) (36, 38) | взр. | 
 | 1397,00 | 
| 5 | Компл. посещ. проф. осмотра взрослого населения (ж) (40, 42, 44, 46, 48, 50, 52, 54, 56, 58, 60, 62, 64) | взр. | 
 | 1341,00 | 
| 6 | Компл. посещ. проф. осмотра взрослого населения (ж) (41, 43, 45, 47, 49, 51, 53, 55, 57, 59, 61, 63) | взр. | 
 | 1035,80 | 
| 7 | Компл. посещ. проф. осмотра взрослого населения (ж) (65, 67, 69, 71, 73, 75, 77, 79, 81, 83, 85, 87, 89, 91, 93, 95, 97, 99 и старше) | взр. | 
 | 953,80 | 
| 8 | Компл. посещ. проф. осмотра взрослого населения (ж) (66, 68, 70, 72, 74, 76, 78, 80, 82, 84, 86, 88, 90, 92, 94, 96, 98) | взр. | 
 | 1259,00 | 
| 9 | Компл. посещ. проф. осмотра взрослого населения (м) (18, 20, 22, 24, 26, 28, 30, 32, 34) | взр. | 
 | 966,70 | 
| 10 | Компл. посещ. проф. осмотра взрослого населения (м) (19, 21, 23, 25, 27, 29, 31, 33) | взр. | 
 | 661,50 | 
| 11 | Компл. посещ. проф. осмотра взрослого населения (м) (35, 37, 39) | взр. | 
 | 981,80 | 
| 12 | Компл. посещ. проф. осмотра взрослого населения (м) (36, 38) | взр. | 
 | 1287,00 | 
| 13 | Компл. посещ. проф. осмотра взрослого населения (м) (40, 42, 44, 46, 48, 50, 52, 54, 56, 58, 60, 62, 64) | взр. | 
 | 1341,00 | 
| 14 | Компл. посещ. проф. осмотра взрослого населения (м) (41, 43, 45, 47, 49, 51, 53, 55, 57, 59, 61, 63) | взр. | 
 | 1035,80 | 
| 15 | Компл. посещ. проф. осмотра взрослого населения (м) (65, 67, 69, 71, 73, 75, 77, 79, 81, 83, 85, 87, 89, 91, 93, 95, 97, 99 и старше) | взр. | 
 | 953,80 | 
| 16 | Компл. посещ. проф. осмотра взрослого населения (м) (66, 68, 70, 72, 74, 76, 78, 80, 82, 84, 86, 88, 90, 92, 94, 96, 98) | взр. | 
 | 1259,00 | 
| 17 | Компл. посещ. проф. осмотра несоверш. (I и II эт.) (ж) (0 мес., новор.) | дет. | 
 | 595,90 | 
| 18 | Компл. посещ. проф. осмотра несоверш. (I и II эт.) (ж) (1 мес.) | дет. | 
 | 4625,30 | 
| 19 | Компл. посещ. проф. осмотра несоверш. (I и II эт.) (ж) (2 мес.) | дет. | 
 | 932,80 | 
| 20 | Компл. посещ. проф. осмотра несоверш. (I и II эт.) (ж) (3 мес.) | дет. | 
 | 643,40 | 
| 21 | Компл. посещ. проф. осмотра несоверш. (I и II эт.) (ж) (4 мес.) | дет. | 
 | 332,00 | 
| 22 | Компл. посещ. проф. осмотра несоверш. (I и II эт.) (ж) (5 мес.) | дет. | 
 | 332,00 | 
| 23 | Компл. посещ. проф. осмотра несоверш. (I и II эт.) (ж) (6 мес.) | дет. | 
 | 332,00 | 
| 24 | Компл. посещ. проф. осмотра несоверш. (I и II эт.) (ж) (7 мес.) | дет. | 
 | 332,00 | 
| 25 | Компл. посещ. проф. осмотра несоверш. (I и II эт.) (ж) (8 мес.) | дет. | 
 | 332,00 | 
| 26 | Компл. посещ. проф. осмотра несоверш. (I и II эт.) (ж) (9 мес.) | дет. | 
 | 332,00 | 
| 27 | Компл. посещ. проф. осмотра несоверш. (I и II эт.) (ж) (10 мес.) | дет. | 
 | 332,00 | 
| 28 | Компл. посещ. проф. осмотра несоверш. (I и II эт.) (ж) (11 мес.) | дет. | 
 | 332,00 | 
| 29 | Компл. посещ. проф. осмотра несоверш. (I и II эт.) (ж) (12 мес.) | дет. | 
 | 2031,30 | 
| 30 | Компл. посещ. проф. осмотра несоверш. (I и II эт.) (ж) (1 год 3 мес.) | дет. | 
 | 332,00 | 
| 31 | Компл. посещ. проф. осмотра несоверш. (I и II эт.) (ж) (1 год 6 мес.) | дет. | 
 | 332,00 | 
| 32 | Компл. посещ. проф. осмотра несоверш. (I и II эт.) (ж) (2 года) | дет. | 
 | 932,70 | 
| 33 | Компл. посещ. проф. осмотра несоверш. (I и II эт.) (ж) (3 года) | дет. | 
 | 2399,20 | 
| 34 | Компл. посещ. проф. осмотра несоверш. (I и II эт.) (ж) (4 года) | дет. | 
 | 932,70 | 
| 35 | Компл. посещ. проф. осмотра несоверш. (I и II эт.) (ж) (5 лет) | дет. | 
 | 932,70 | 
| 36 | Компл. посещ. проф. осмотра несоверш. (I и II эт.) (ж) (6 лет) | дет. | 
 | 5286,00 | 
| 37 | Компл. посещ. проф. осмотра несоверш. (I и II эт.) (ж) (7 лет) | дет. | 
 | 1984,90 | 
| 38 | Компл. посещ. проф. осмотра несоверш. (I и II эт.) (ж) (8 лет) | дет. | 
 | 932,70 | 
| 39 | Компл. посещ. проф. осмотра несоверш. (I и II эт.) (ж) (9 лет) | дет. | 
 | 932,70 | 
| 40 | Компл. посещ. проф. осмотра несоверш. (I и II эт.) (ж) (10 лет) | дет. | 
 | 2183,80 | 
| 41 | Компл. посещ. проф. осмотра несоверш. (I и II эт.) (ж) (11 лет) | дет. | 
 | 932,70 | 
| 42 | Компл. посещ. проф. осмотра несоверш. (I и II эт.) (ж) (12 лет) | дет. | 
 | 932,70 | 
| 43 | Компл. посещ. проф. осмотра несоверш. (I и II эт.) (ж) (13 лет) | дет. | 
 | 1098,70 | 
| 44 | Компл. посещ. проф. осмотра несоверш. (I и II эт.) (ж) (14 лет) | дет. | 
 | 1181,00 | 
| 45 | Компл. посещ. проф. осмотра несоверш. (I и II эт.) (ж) (15 лет) | дет. | 
 | 4189,00 | 
| 46 | Компл. посещ. проф. осмотра несоверш. (I и II эт.) (ж) (16 лет) | дет. | 
 | 2780,60 | 
| 47 | Компл. посещ. проф. осмотра несоверш. (I и II эт.) (ж) (17 лет) | дет. | 
 | 3095,70 | 
| 48 | Компл. посещ. проф. осмотра несоверш. (I и II эт.) (м) (0 мес., новор.) | дет. | 
 | 595,90 | 
| 49 | Компл. посещ. проф. осмотра несоверш. (I и II эт.) (м) (1 мес.) | дет. | 
 | 4625,30 | 
| 50 | Компл. посещ. проф. осмотра несоверш. (I и II эт.) (м) (2 мес.) | дет. | 
 | 932,80 | 
| 51 | Компл. посещ. проф. осмотра несоверш. (I и II эт.) (м) (3 мес.) | дет. | 
 | 643,40 | 
| 52 | Компл. посещ. проф. осмотра несоверш. (I и II эт.) (м) (4 мес.) | дет. | 
 | 332,00 | 
| 53 | Компл. посещ. проф. осмотра несоверш. (I и II эт.) (м) (5 мес.) | дет. | 
 | 332,00 | 
| 54 | Компл. посещ. проф. осмотра несоверш. (I и II эт.) (м) (6 мес.) | дет. | 
 | 332,00 | 
| 55 | Компл. посещ. проф. осмотра несоверш. (I и II эт.) (м) (7 мес.) | дет. | 
 | 332,00 | 
| 56 | Компл. посещ. проф. осмотра несоверш. (I и II эт.) (м) (8 мес.) | дет. | 
 | 332,00 | 
| 57 | Компл. посещ. проф. осмотра несоверш. (I и II эт.) (м) (9 мес.) | дет. | 
 | 332,00 | 
| 58 | Компл. посещ. проф. осмотра несоверш. (I и II эт.) (м) (10 мес.) | дет. | 
 | 332,00 | 
| 59 | Компл. посещ. проф. осмотра несоверш. (I и II эт.) (м) (11 мес.) | дет. | 
 | 332,00 | 
| 60 | Компл. посещ. проф. осмотра несоверш. (I и II эт.) (м) (12 мес.) | дет. | 
 | 2031,30 | 
| 61 | Компл. посещ. проф. осмотра несоверш. (I и II эт.) (м) (1 год 3 мес.) | дет. | 
 | 332,00 | 
| 62 | Компл. посещ. проф. осмотра несоверш. (I и II эт.) (м) (1 год 6 мес.) | дет. | 
 | 332,00 | 
| 63 | Компл. посещ. проф. осмотра несоверш. (I и II эт.) (м) (2 года) | дет. | 
 | 932,70 | 
| 64 | Компл. посещ. проф. осмотра несоверш. (I и II эт.) (м) (3 года) | дет. | 
 | 2284,10 | 
| 65 | Компл. посещ. проф. осмотра несоверш. (I и II эт.) (м) (4 года) | дет. | 
 | 932,70 | 
| 66 | Компл. посещ. проф. осмотра несоверш. (I и II эт.) (м) (5 лет) | дет. | 
 | 932,70 | 
| 67 | Компл. посещ. проф. осмотра несоверш. (I и II эт.) (м) (6 лет) | дет. | 
 | 5170,90 | 
| 68 | Компл. посещ. проф. осмотра несоверш. (I и II эт.) (м) (7 лет) | дет. | 
 | 1984,90 | 
| 69 | Компл. посещ. проф. осмотра несоверш. (I и II эт.) (м) (8 лет) | дет. | 
 | 932,70 | 
| 70 | Компл. посещ. проф. осмотра несоверш. (I и II эт.) (м) (9 лет) | дет. | 
 | 932,70 | 
| 71 | Компл. посещ. проф. осмотра несоверш. (I и II эт.) (м) (10 лет) | дет. | 
 | 2183,80 | 
| 72 | Компл. посещ. проф. осмотра несоверш. (I и II эт.) (м) (11 лет) | дет. | 
 | 932,70 | 
| 73 | Компл. посещ. проф. осмотра несоверш. (I и II эт.) (м) (12 лет) | дет. | 
 | 932,70 | 
| 74 | Компл. посещ. проф. осмотра несоверш. (I и II эт.) (м) (13 лет) | дет. | 
 | 1098,70 | 
| 75 | Компл. посещ. проф. осмотра несоверш. (I и II эт.) (м) (14 лет) | дет. | 
 | 1065,90 | 
| 76 | Компл. посещ. проф. осмотра несоверш. (I и II эт.) (м) (15 лет) | дет. | 
 | 4073,90 | 
| 77 | Компл. посещ. проф. осмотра несоверш. (I и II эт.) (м) (16 лет) | дет. | 
 | 2665,50 | 
| 78 | Компл. посещ. проф. осмотра несоверш. (I и II эт.) (м) (17 лет) | дет. | 
 | 2980,60 | 
| 79 | Компл. посещ. проф. осмотра несоверш. (I эт.) (ж) (0 мес., новорожд.) | дет. | 
 | 429,90 | 
| 80 | Компл. посещ. проф. осмотра несоверш. (I эт.) (ж) (1 мес.) | дет. | 
 | 4459,30 | 
| 81 | Компл. посещ. проф. осмотра несоверш. (I эт.) (ж) (2 мес.) | дет. | 
 | 766,80 | 
| 82 | Компл. посещ. проф. осмотра несоверш. (I эт.) (ж) (3 мес.) | дет. | 
 | 477,40 | 
| 83 | Компл. посещ. проф. осмотра несоверш. (I эт.) (ж) (4 мес.) | дет. | 
 | 166,00 | 
| 84 | Компл. посещ. проф. осмотра несоверш. (I эт.) (ж) (5 мес.) | дет. | 
 | 166,00 | 
| 85 | Компл. посещ. проф. осмотра несоверш. (I эт.) (ж) (6 мес.) | дет. | 
 | 166,00 | 
| 86 | Компл. посещ. проф. осмотра несоверш. (I эт.) (ж) (7 мес.) | дет. | 
 | 166,00 | 
| 87 | Компл. посещ. проф. осмотра несоверш. (I эт.) (ж) (8 мес.) | дет. | 
 | 166,00 | 
| 88 | Компл. посещ. проф. осмотра несоверш. (I эт.) (ж) (9 мес.) | дет. | 
 | 166,00 | 
| 89 | Компл. посещ. проф. осмотра несоверш. (I эт.) (ж) (10 мес.) | дет. | 
 | 166,00 | 
| 90 | Компл. посещ. проф. осмотра несоверш. (I эт.) (ж) (11 мес.) | дет. | 
 | 166,00 | 
| 91 | Компл. посещ. проф. осмотра несоверш. (I эт.) (ж) (12 мес.) | дет. | 
 | 1865,30 | 
| 92 | Компл. посещ. проф. осмотра несоверш. (I эт.) (ж) (1 год 3 мес.) | дет. | 
 | 166,00 | 
| 93 | Компл. посещ. проф. осмотра несоверш. (I эт.) (ж) (1 год 6 мес.) | дет. | 
 | 166,00 | 
| 94 | Компл. посещ. проф. осмотра несоверш. (I эт.) (ж) (2 года) | дет. | 
 | 766,70 | 
| 95 | Компл. посещ. проф. осмотра несоверш. (I эт.) (ж) (3 года) | дет. | 
 | 2233,20 | 
| 96 | Компл. посещ. проф. осмотра несоверш. (I эт.) (ж) (4 года) | дет. | 
 | 766,70 | 
| 97 | Компл. посещ. проф. осмотра несоверш. (I эт.) (ж) (5 лет) | дет. | 
 | 766,70 | 
| 98 | Компл. посещ. проф. осмотра несоверш. (I эт.) (ж) (6 лет) | дет. | 
 | 5120,00 | 
| 99 | Компл. посещ. проф. осмотра несоверш. (I эт.) (ж) (7 лет) | дет. | 
 | 1818,90 | 
| 100 | Компл. посещ. проф. осмотра несоверш. (I эт.) (ж) (8 лет) | дет. | 
 | 766,70 | 
| 101 | Компл. посещ. проф. осмотра несоверш. (I эт.) (ж) (9 лет) | дет. | 
 | 766,70 | 
| 102 | Компл. посещ. проф. осмотра несоверш. (I эт.) (ж) (10 лет) | дет. | 
 | 2017,80 | 
| 103 | Компл. посещ. проф. осмотра несоверш. (I эт.) (ж) (11 лет) | дет. | 
 | 766,70 | 
| 104 | Компл. посещ. проф. осмотра несоверш. (I эт.) (ж) (12 лет) | дет. | 
 | 766,70 | 
| 105 | Компл. посещ. проф. осмотра несоверш. (I эт.) (ж) (13 лет) | дет. | 
 | 932,70 | 
| 106 | Компл. посещ. проф. осмотра несоверш. (I эт.) (ж) (14 лет) | дет. | 
 | 1015,00 | 
| 107 | Компл. посещ. проф. осмотра несоверш. (I эт.) (ж) (15 лет) | дет. | 
 | 4023,00 | 
| 108 | Компл. посещ. проф. осмотра несоверш. (I эт.) (ж) (16 лет) | дет. | 
 | 2614,60 | 
| 109 | Компл. посещ. проф. осмотра несоверш. (I эт.) (ж) (17 лет) | дет. | 
 | 2929,70 | 
| 110 | Компл. посещ. проф. осмотра несоверш. (I эт.) (м) (0 мес., новорожд.) | дет. | 
 | 429,90 | 
| 111 | Компл. посещ. проф. осмотра несоверш. (I эт.) (м) (1 мес.) | дет. | 
 | 4459,30 | 
| 112 | Компл. посещ. проф. осмотра несоверш. (I эт.) (м) (2 мес.) | дет. | 
 | 766,80 | 
| 113 | Компл. посещ. проф. осмотра несоверш. (I эт.) (м) (3 мес.) | дет. | 
 | 477,40 | 
| 114 | Компл. посещ. проф. осмотра несоверш. (I эт.) (м) (4 мес.) | дет. | 
 | 166,00 | 
| 115 | Компл. посещ. проф. осмотра несоверш. (I эт.) (м) (5 мес.) | дет. | 
 | 166,00 | 
| 116 | Компл. посещ. проф. осмотра несоверш. (I эт.) (м) (6 мес.) | дет. | 
 | 166,00 | 
| 117 | Компл. посещ. проф. осмотра несоверш. (I эт.) (м) (7 мес.) | дет. | 
 | 166,00 | 
| 118 | Компл. посещ. проф. осмотра несоверш. (I эт.) (м) (8 мес.) | дет. | 
 | 166,00 | 
| 119 | Компл. посещ. проф. осмотра несоверш. (I эт.) (м) (9 мес.) | дет. | 
 | 166,00 | 
| 120 | Компл. посещ. проф. осмотра несоверш. (I эт.) (м) (10 мес.) | дет. | 
 | 166,00 | 
| 121 | Компл. посещ. проф. осмотра несоверш. (I эт.) (м) (11 мес.) | дет. | 
 | 166,00 | 
| 122 | Компл. посещ. проф. осмотра несоверш. (I эт.) (м) (12 мес.) | дет. | 
 | 1865,30 | 
| 123 | Компл. посещ. проф. осмотра несоверш. (I эт.) (м) (1 год 3 мес.) | дет. | 
 | 166,00 | 
| 124 | Компл. посещ. проф. осмотра несоверш. (I эт.) (м) (1 год 6 мес.) | дет. | 
 | 166,00 | 
| 125 | Компл. посещ. проф. осмотра несоверш. (I эт.) (м) (2 года) | дет. | 
 | 766,70 | 
| 126 | Компл. посещ. проф. осмотра несоверш. (I эт.) (м) (3 года) | дет. | 
 | 2118,10 | 
| 127 | Компл. посещ. проф. осмотра несоверш. (I эт.) (м) (4 года) | дет. | 
 | 766,70 | 
| 128 | Компл. посещ. проф. осмотра несоверш. (I эт.) (м) (5 лет) | дет. | 
 | 766,70 | 
| 129 | Компл. посещ. проф. осмотра несоверш. (I эт.) (м) (6 лет) | дет. | 
 | 5004,90 | 
| 130 | Компл. посещ. проф. осмотра несоверш. (I эт.) (м) (7 лет) | дет. | 
 | 1818,90 | 
| 131 | Компл. посещ. проф. осмотра несоверш. (I эт.) (м) (8 лет) | дет. | 
 | 766,70 | 
| 132 | Компл. посещ. проф. осмотра несоверш. (I эт.) (м) (9 лет) | дет. | 
 | 766,70 | 
| 133 | Компл. посещ. проф. осмотра несоверш. (I эт.) (м) (10 лет) | дет. | 
 | 2017,80 | 
| 134 | Компл. посещ. проф. осмотра несоверш. (I эт.) (м) (11 лет) | дет. | 
 | 766,70 | 
| 135 | Компл. посещ. проф. осмотра несоверш. (I эт.) (м) (12 лет) | дет. | 
 | 766,70 | 
| 136 | Компл. посещ. проф. осмотра несоверш. (I эт.) (м) (13 лет) | дет. | 
 | 932,70 | 
| 137 | Компл. посещ. проф. осмотра несоверш. (I эт.) (м) (14 лет) | дет. | 
 | 899,90 | 
| 138 | Компл. посещ. проф. осмотра несоверш. (I эт.) (м) (15 лет) | дет. | 
 | 3907,90 | 
| 139 | Компл. посещ. проф. осмотра несоверш. (I эт.) (м) (16 лет) | дет. | 
 | 2499,50 | 
| 140 | Компл. посещ. проф. осмотра несоверш. (I эт.) (м) (17 лет) | дет. | 
 | 2814,60 | 
Тарифы осмотров врачами-специалистами,
исследований и иных медицинских
мероприятий, проводимых в рамках I этапа
профилактических медицинских осмотров
несовершеннолетних 
Таблица 2 
     (рублей)
| N п/п | Наименование тарифа | Пол | |
| 
 | 
 | женщины | мужчины | 
| А | 1 | 2 | 3 | 
| 1 | Врач - акушер-гинеколог | 248,30 | 
 | 
| 2 | Врач - детский уролог-андролог | 
 | 133,20 | 
| 3 | Врач - детский хирург | 166,00 | 166,00 | 
| 4 | Врач - детский эндокринолог | 215,40 | 215,40 | 
| 5 | Врач-невролог | 248,30 | 248,30 | 
| 6 | Врач-оториноларинголог | 182,50 | 182,50 | 
| 7 | Врач-офтальмолог | 166,00 | 166,00 | 
| 8 | Врач-педиатр | 166,00 | 166,00 | 
| 9 | Врач - травматолог-ортопед | 166,00 | 166,00 | 
| 10 | Врач-стоматолог детский | 600,70 | 600,70 | 
| 11 | Аудиологический скрининг (проводится детям в возрасте до 3 месяцев включительно в случае отсутствия сведений о его проведении) | 145,40 | 145,40 | 
| 12 | Неонатальный скрининг | 118,50 | 118,50 | 
| 13 | Нейросонография | 305,50 | 305,50 | 
| 14 | Общий анализ крови | 280,10 | 280,10 | 
| 15 | Общий анализ мочи | 175,30 | 175,30 | 
| 16 | Ультразвуковое исследование органов брюшной полости (комплексное) | 638,80 | 638,80 | 
| 17 | Ультразвуковое исследование почек | 454,50 | 454,50 | 
| 18 | Эхокардиография | 1097,00 | 1097,00 | 
| 19 | Ультразвуковое исследование тазобедренных суставов | 471,10 | 471,10 | 
| 20 | Электрокардиография | 315,10 | 315,10 | 
Приложение N 13
к Тарифному соглашению
в сфере обязательного
медицинского страхования
Челябинской области
от 30 декабря 2022 г. N 199-ОМС 
(в ред. Дополнительного соглашения к
Тарифному
 соглашению в сфере обязательного
 медицинского страхования Челябинской
 области от 29.11.2023 N 9/199-ОМС)
Коэффициенты половозрастного состава,
коэффициенты уровня расходов
медицинских организаций, фактические
дифференцированные подушевые нормативы
финансирования медицинской помощи,
оказываемой в амбулаторных условиях,
тарифы на финансовое обеспечение
фельдшерских, фельдшерско-акушерских
пунктов на ноябрь 2023 года 
Таблица 1 
     (рублей)
| N п/п | Код медицинской организации | Наименование территории | Наименование медицинской организации | Коэффициент половозрастного состава | Коэффициент уровня расходов медицинской организации | Фактический дифференцированный подушевой норматив финансирования медицинской помощи, оказываемой в амбулаторных условиях | Тариф на финансовое обеспечение фельдшерских, фельдшерско-акушерских пунктов | 
| А | 1 | 2 | 3 | 4 | 5 | 6 | 7 | 
| 1 | 224 | Агаповский муниципальный район | Государственное бюджетное учреждение здравоохранения "Районная больница с. Агаповка" | 0,981 | 1,200 | 388,78 | 55,43 | 
| 2 | 234 | Аргаяшский муниципальный район | Государственное бюджетное учреждение здравоохранения "Районная больница с. Аргаяш" | 0,989 | 1,000 | 326,63 | 88,84 | 
| 3 | 242 | Ашинский муниципальный район | Государственное бюджетное учреждение здравоохранения "Районная больница г. Аша" | 1,005 | 1,000 | 331,91 | 15,81 | 
| 4 | 248 | Брединский муниципальный район | Государственное бюджетное учреждение здравоохранения "Районная больница п. Бреды" | 0,985 | 1,200 | 390,37 | 54,79 | 
| 5 | 324 | Варненский муниципальный район | Государственное бюджетное учреждение здравоохранения "Районная больница с. Варна" | 1,002 | 1,000 | 330,92 | 62,09 | 
| 6 | 257 | Верхнеуральский муниципальный район | Государственное бюджетное учреждение здравоохранения "Районная больница г. Верхнеуральск" | 0,995 | 1,200 | 394,33 | 66,06 | 
| 7 | 198 | Верхнеуфалейский городской округ | Государственное бюджетное учреждение здравоохранения "Городская больница г. Верхний Уфалей" | 1,017 | 1,000 | 335,87 | 24,65 | 
| 8 | 205 | Еманжелинский муниципальный район | Государственное бюджетное учреждение здравоохранения "Районная больница г. Еманжелинск" | 1,019 | 1,000 | 336,53 | 3,74 | 
| 9 | 329 | Еткульский муниципальный район | Государственное бюджетное учреждение здравоохранения "Районная больница с. Еткуль" | 1,005 | 1,000 | 331,91 | 68,94 | 
| 10 | 136 | Златоустовский городской округ | Государственное бюджетное учреждение здравоохранения "Городская больница г. Златоуст" | 0,961 | 1,000 | 305,78 | 2,70 | 
| 11 | 140 | Златоустовский городской округ | Государственное бюджетное учреждение здравоохранения "Городская детская больница г. Златоуст" | 1,225 | 1,167 | 453,97 | 
 | 
| 12 | 209 | Карабашский городской округ | Государственное бюджетное учреждение здравоохранения "Городская больница г. Карабаш" | 1,008 | 1,000 | 356,27 | 
 | 
| 13 | 264 | Карталинский муниципальный район | Государственное бюджетное учреждение здравоохранения "Районная больница г. Карталы" | 1,010 | 1,000 | 333,56 | 52,99 | 
| 14 | 441 | Карталинский муниципальный район | Частное учреждение здравоохранения "Поликлиника "РЖД-Медицина" города Карталы" | 0,932 | 1,000 | 329,41 | 
 | 
| 15 | 274 | Каслинский муниципальный район | Государственное бюджетное учреждение здравоохранения "Районная больница г. Касли" | 1,009 | 1,000 | 333,23 | 36,77 | 
| 16 | 278 | Катав-Ивановский муниципальный район | Государственное бюджетное учреждение здравоохранения "Районная больница г. Катав-Ивановск" | 1,017 | 1,000 | 335,87 | 18,45 | 
| 17 | 334 | Кизильский муниципальный район | Государственное бюджетное учреждение здравоохранения "Районная больница с. Кизильское" | 0,996 | 1,200 | 422,43 | 91,16 | 
| 18 | 148 | Копейский городской округ | Государственное бюджетное учреждение здравоохранения "Городская больница N 1 г. Копейск" | 0,916 | 1,000 | 290,88 | 
 | 
| 19 | 150 | Копейский городской округ | Государственное бюджетное учреждение здравоохранения "Городская больница N 3 г. Копейск" | 0,981 | 1,183 | 370,37 | 7,20 | 
| 20 | 157 | Копейский городской округ | Государственное бюджетное учреждение здравоохранения "Детская городская больница г. Копейск" | 1,249 | 1,183 | 469,21 | 
 | 
| 21 | 210 | Коркинский муниципальный район | Государственное бюджетное учреждение здравоохранения "Городская больница N 1 г. Коркино" | 0,943 | 1,000 | 311,43 | 3,73 | 
| 22 | 211 | Коркинский муниципальный район | Государственное бюджетное учреждение здравоохранения "Городская больница N 2 г. Коркино" | 0,985 | 1,000 | 348,14 | 
 | 
| 23 | 212 | Коркинский муниципальный район | Государственное бюджетное учреждение здравоохранения "Городская больница N 3 г. Коркино" | 1,000 | 1,183 | 418,12 | 
 | 
| 24 | 213 | Коркинский муниципальный район | Государственное бюджетное учреждение здравоохранения "Городская детская больница г. Коркино" | 1,245 | 1,000 | 440,03 | 
 | 
| 25 | 344 | Красноармейский муниципальный район | Государственное бюджетное учреждение здравоохранения "Районная больница с. Миасское" | 1,008 | 1,000 | 332,90 | 57,85 | 
| 26 | 354 | Кунашакский муниципальный район | Государственное бюджетное учреждение здравоохранения "Районная больница с. Кунашак" | 0,995 | 1,200 | 394,33 | 144,78 | 
| 27 | 282 | Кусинский муниципальный район | Государственное бюджетное учреждение здравоохранения "Районная больница г. Куса" | 1,011 | 1,167 | 389,65 | 7,16 | 
| 28 | 216 | Кыштымский городской округ | Государственное бюджетное учреждение здравоохранения "Городская больница им. А.П. Силаева г. Кыштым" | 1,008 | 1,000 | 332,90 | 8,54 | 
| 29 | 447 | Локомотивный городской округ | Государственное бюджетное учреждение здравоохранения "Участковая больница" рабочего поселка Локомотивный | 1,024 | 1,000 | 361,92 | 
 | 
| 30 | 159 | Магнитогорский городской округ | Государственное автономное учреждение здравоохранения "Городская больница N 1 им. Г.И. Дробышева г. Магнитогорск" | 0,899 | 1,000 | 285,48 | 
 | 
| 31 | 160 | Магнитогорский городской округ | Автономная некоммерческая организация "Центральная клиническая медико-санитарная часть" | 0,906 | 1,000 | 287,71 | 
 | 
| 32 | 161 | Магнитогорский городской округ | Государственное автономное учреждение здравоохранения "Городская больница N 3 г. Магнитогорск" | 0,942 | 1,000 | 299,14 | 
 | 
| 33 | 164 | Магнитогорский городской округ | Государственное автономное учреждение здравоохранения "Центр охраны материнства и детства г. Магнитогорск" | 1,262 | 1,000 | 400,76 | 
 | 
| 34 | 590 | Магнитогорский городской округ | Государственное автономное учреждение здравоохранения "Городская больница N 2 г. Магнитогорск" | 0,925 | 1,000 | 293,74 | 
 | 
| 35 | 186 | Миасский городской округ | Государственное бюджетное учреждение здравоохранения "Городская больница N 1 имени Г.К. Маврицкого г. Миасс" | 0,927 | 1,000 | 298,50 | 10,84 | 
| 36 | 187 | Миасский городской округ | Государственное автономное учреждение здравоохранения "Городская больница N 2 г. Миасс" | 0,950 | 1,000 | 302,28 | 5,29 | 
| 37 | 188 | Миасский городской округ | Государственное автономное учреждение здравоохранения "Городская больница N 3 г. Миасс" | 0,943 | 1,000 | 306,04 | 15,14 | 
| 38 | 452 | Миасский городской округ | Государственное бюджетное учреждение здравоохранения "Городская детская поликлиника г. Миасс" | 1,246 | 1,275 | 504,49 | 
 | 
| 39 | 363 | Нагайбакский муниципальный район | Государственное бюджетное учреждение здравоохранения "Районная больница с. Фершампенуаз" | 1,006 | 1,000 | 355,56 | 110,47 | 
| 40 | 286 | Нязепетровский муниципальный район | Государственное бюджетное учреждение здравоохранения "Районная больница г. Нязепетровск" | 1,008 | 1,000 | 356,27 | 76,69 | 
| 41 | 453 | Озерский городской округ | Федеральное государственное бюджетное учреждение здравоохранения "Клиническая больница N 71 Федерального медико-биологического агентства" | 1,011 | 1,100 | 390,19 | 0,76 | 
| 42 | 372 | Октябрьский муниципальный район | Государственное бюджетное учреждение здравоохранения "Районная больница с. Октябрьское" | 1,020 | 1,200 | 432,61 | 175,40 | 
| 43 | 218 | Пластовский муниципальный район | Государственное бюджетное учреждение здравоохранения "Районная больница г. Пласт" | 1,014 | 1,000 | 334,88 | 46,50 | 
| 44 | 404 | Саткинский муниципальный район | Государственное бюджетное учреждение здравоохранения "Областная больница г. Сатка" | 0,999 | 1,000 | 329,93 | 11,60 | 
| 45 | 444 | Снежинский городской округ | Федеральное государственное бюджетное учреждение здравоохранения "Центральная медико-санитарная часть N 15 Федерального медико-биологического агентства" | 1,023 | 1,100 | 391,30 | 
 | 
| 46 | 378 | Сосновский муниципальный район | Государственное бюджетное учреждение здравоохранения "Районная больница с. Долгодеревенское" | 0,989 | 1,000 | 326,63 | 48,30 | 
| 47 | 445 | Трехгорный городской округ | Федеральное государственное бюджетное учреждение здравоохранения "Медико-санитарная часть N 72 Федерального медико-биологического агентства" | 0,997 | 1,100 | 373,67 | 
 | 
| 48 | 295 | Троицкий городской округ | Государственное бюджетное учреждение здравоохранения "Областная больница г. Троицк" | 1,024 | 1,000 | 335,58 | 25,33 | 
| 49 | 306 | Увельский муниципальный район | Государственное бюджетное учреждение здравоохранения "Районная больница п. Увельский" | 1,000 | 1,000 | 330,26 | 70,92 | 
| 50 | 391 | Уйский муниципальный район | Государственное бюджетное учреждение здравоохранения "Районная больница с. Уйское" | 1,022 | 1,200 | 433,46 | 107,93 | 
| 51 | 403 | Усть-Катавский городской округ | Федеральное государственное бюджетное учреждение здравоохранения "Медико-санитарная часть N 162 Федерального медико-биологического агентства" | 1,006 | 1,000 | 332,24 | 15,42 | 
| 52 | 315 | Чебаркульский городской округ | Государственное бюджетное учреждение здравоохранения "Районная больница г. Чебаркуль" | 1,013 | 1,000 | 334,55 | 40,27 | 
| 53 | 79 | Челябинский городской округ | Государственное автономное учреждение здравоохранения Ордена Трудового Красного Знамени "Городская клиническая больница N 1 г. Челябинск" | 0,948 | 1,000 | 301,04 | 1,75 | 
| 54 | 85 | Челябинский городской округ | Государственное автономное учреждение здравоохранения "Городская клиническая больница N 6 г. Челябинск" | 0,928 | 1,000 | 294,69 | 
 | 
| 55 | 86 | Челябинский городской округ | Государственное бюджетное учреждение здравоохранения "Областная клиническая больница N 2" | 0,980 | 1,000 | 311,21 | 
 | 
| 56 | 90 | Челябинский городской округ | Государственное автономное учреждение здравоохранения "Детская городская клиническая больница N 8 г. Челябинск" | 1,250 | 1,275 | 506,11 | 
 | 
| 57 | 91 | Челябинский городской округ | Государственное автономное учреждение здравоохранения "Городская клиническая больница N 2 г. Челябинск" | 0,849 | 1,167 | 314,63 | 
 | 
| 58 | 93 | Челябинский городской округ | Государственное бюджетное учреждение здравоохранения "Городская клиническая больница N 5 г. Челябинск" | 0,911 | 1,000 | 289,29 | 
 | 
| 59 | 94 | Челябинский городской округ | Государственное автономное учреждение здравоохранения Ордена Знак Почета "Городская клиническая больница N 8 г. Челябинск" | 0,920 | 1,000 | 292,15 | 
 | 
| 60 | 95 | Челябинский городской округ | Государственное автономное учреждение здравоохранения "Городская клиническая больница N 9 г. Челябинск" | 0,911 | 1,000 | 289,29 | 
 | 
| 61 | 99 | Челябинский городской округ | Государственное автономное учреждение здравоохранения "Детская городская клиническая больница N 1 г. Челябинск" | 1,259 | 1,275 | 509,75 | 
 | 
| 62 | 102 | Челябинский городской округ | Государственное автономное учреждение здравоохранения "Детская городская клиническая поликлиника N 9 г. Челябинск" | 1,320 | 1,000 | 419,17 | 
 | 
| 63 | 119 | Челябинский городской округ | Государственное бюджетное учреждение здравоохранения "Городская клиническая поликлиника N 5 г. Челябинск" | 0,909 | 1,183 | 341,48 | 
 | 
| 64 | 122 | Челябинский городской округ | Государственное автономное учреждение здравоохранения "Городская клиническая поликлиника N 8 г. Челябинск" | 0,879 | 1,183 | 330,21 | 
 | 
| 65 | 125 | Челябинский городской округ | Государственное автономное учреждение здравоохранения "Детская городская поликлиника N 4 г. Челябинск" | 1,298 | 1,183 | 487,62 | 
 | 
| 66 | 127 | Челябинский городской округ | Государственное автономное учреждение здравоохранения "Детская городская клиническая поликлиника N 8 имени Александра Невского г. Челябинск" | 1,271 | 1,183 | 477,48 | 
 | 
| 67 | 413 | Челябинский городской округ | Государственное автономное учреждение здравоохранения "Городская клиническая больница N 11 г. Челябинск" | 0,936 | 1,000 | 297,23 | 
 | 
| 68 | 415 | Челябинский городской округ | Государственное автономное учреждение здравоохранения "Детская городская клиническая поликлиника N 6 г. Челябинск" | 1,268 | 1,183 | 476,35 | 
 | 
| 69 | 417 | Челябинский городской округ | Государственное автономное учреждение здравоохранения "Детская городская клиническая поликлиника N 1 г. Челябинск" | 1,308 | 1,183 | 491,38 | 
 | 
| 70 | 439 | Челябинский городской округ | Государственное бюджетное учреждение здравоохранения "Детская городская клиническая больница N 7 г. Челябинск" | 1,303 | 1,275 | 527,56 | 
 | 
| 71 | 440 | Челябинский городской округ | Частное учреждение здравоохранения "Клиническая больница "РЖД-Медицина" города Челябинск | 0,949 | 1,000 | 301,36 | 
 | 
| 72 | 456 | Челябинский городской округ | Государственное автономное учреждение здравоохранения "Областная клиническая больница N 3" | 0,925 | 1,000 | 293,74 | 
 | 
| 73 | 771 | Челябинский городской округ | Общество с ограниченной ответственностью "Полимедика Челябинск" | 0,903 | 1,183 | 339,23 | 2,65 | 
| 74 | 397 | Чесменский муниципальный район | Государственное бюджетное учреждение здравоохранения "Районная больница с. Чесма" | 0,998 | 1,200 | 423,28 | 52,93 | 
| 75 | 222 | Южноуральский городской округ | Государственное бюджетное учреждение здравоохранения "Городская больница г. Южноуральск" | 1,018 | 1,000 | 336,20 | 2,94 | 
Коэффициенты половозрастного состава,
коэффициенты уровня расходов
медицинских организаций, фактические
дифференцированные подушевые нормативы
финансирования медицинской помощи,
оказываемой в амбулаторных условиях,
тарифы на финансовое обеспечение
фельдшерских, фельдшерско-акушерских
пунктов с 01.12.2023 
Таблица 2 
     (рублей)
| N п/п | Код медицинской организации | Наименование территории | Наименование медицинской организации | Коэффициент половозрастного состава | Коэффициент уровня расходов медицинской организации | Фактический дифференцированный подушевой норматив финансирования медицинской помощи, оказываемой в амбулаторных условиях | Тариф на финансовое обеспечение фельдшерских, фельдшерско-акушерских пунктов | 
| А | 1 | 2 | 3 | 4 | 5 | 6 | 7 | 
| 1 | 224 | Агаповский муниципальный район | Государственное бюджетное учреждение здравоохранения "Районная больница с. Агаповка" | 0,981 | 1,200 | 217,10 | 55,43 | 
| 2 | 234 | Аргаяшский муниципальный район | Государственное бюджетное учреждение здравоохранения "Районная больница с. Аргаяш" | 0,989 | 1,000 | 182,40 | 88,84 | 
| 3 | 242 | Ашинский муниципальный район | Государственное бюджетное учреждение здравоохранения "Районная больница г. Аша" | 1,005 | 1,000 | 185,35 | 15,81 | 
| 4 | 248 | Брединский муниципальный район | Государственное бюджетное учреждение здравоохранения "Районная больница п. Бреды" | 0,985 | 1,200 | 217,99 | 54,79 | 
| 5 | 324 | Варненский муниципальный район | Государственное бюджетное учреждение здравоохранения "Районная больница с. Варна" | 1,002 | 1,000 | 184,79 | 62,09 | 
| 6 | 257 | Верхнеуральский муниципальный район | Государственное бюджетное учреждение здравоохранения "Районная больница г. Верхнеуральск" | 0,995 | 1,200 | 220,20 | 66,06 | 
| 7 | 198 | Верхнеуфалейский городской округ | Государственное бюджетное учреждение здравоохранения "Городская больница г. Верхний Уфалей" | 1,017 | 1,000 | 187,56 | 24,65 | 
| 8 | 205 | Еманжелинский муниципальный район | Государственное бюджетное учреждение здравоохранения "Районная больница г. Еманжелинск" | 1,019 | 1,000 | 187,93 | 3,74 | 
| 9 | 329 | Еткульский муниципальный район | Государственное бюджетное учреждение здравоохранения "Районная больница с. Еткуль" | 1,005 | 1,000 | 185,35 | 68,94 | 
| 10 | 136 | Златоустовский городской округ | Государственное бюджетное учреждение здравоохранения "Городская больница г. Златоуст" | 0,961 | 1,000 | 170,76 | 2,70 | 
| 11 | 140 | Златоустовский городской округ | Государственное бюджетное учреждение здравоохранения "Городская детская больница г. Златоуст" | 1,225 | 1,167 | 253,51 | 
 | 
| 12 | 209 | Карабашский городской округ | Государственное бюджетное учреждение здравоохранения "Городская больница г. Карабаш" | 1,008 | 1,000 | 198,95 | 
 | 
| 13 | 264 | Карталинский муниципальный район | Государственное бюджетное учреждение здравоохранения "Районная больница г. Карталы" | 1,010 | 1,000 | 186,27 | 52,99 | 
| 14 | 441 | Карталинский муниципальный район | Частное учреждение здравоохранения "Поликлиника "РЖД-Медицина" города Карталы" | 0,932 | 1,000 | 183,95 | 
 | 
| 15 | 274 | Каслинский муниципальный район | Государственное бюджетное учреждение здравоохранения "Районная больница г. Касли" | 1,009 | 1,000 | 186,08 | 36,77 | 
| 16 | 278 | Катав-Ивановский муниципальный район | Государственное бюджетное учреждение здравоохранения "Районная больница г. Катав-Ивановск" | 1,017 | 1,000 | 187,56 | 18,45 | 
| 17 | 334 | Кизильский муниципальный район | Государственное бюджетное учреждение здравоохранения "Районная больница с. Кизильское" | 0,996 | 1,200 | 235,90 | 91,16 | 
| 18 | 148 | Копейский городской округ | Государственное бюджетное учреждение здравоохранения "Городская больница N 1 г. Копейск" | 0,916 | 1,000 | 162,44 | 
 | 
| 19 | 150 | Копейский городской округ | Государственное бюджетное учреждение здравоохранения "Городская больница N 3 г. Копейск" | 0,981 | 1,183 | 206,83 | 7,20 | 
| 20 | 157 | Копейский городской округ | Государственное бюджетное учреждение здравоохранения "Детская городская больница г. Копейск" | 1,249 | 1,183 | 262,02 | 
 | 
| 21 | 210 | Коркинский муниципальный район | Государственное бюджетное учреждение здравоохранения "Городская больница N 1 г. Коркино" | 0,943 | 1,000 | 173,91 | 3,73 | 
| 22 | 211 | Коркинский муниципальный район | Государственное бюджетное учреждение здравоохранения "Городская больница N 2 г. Коркино" | 0,985 | 1,000 | 194,41 | 
 | 
| 23 | 212 | Коркинский муниципальный район | Государственное бюджетное учреждение здравоохранения "Городская больница N 3 г. Коркино" | 1,000 | 1,183 | 233,49 | 
 | 
| 24 | 213 | Коркинский муниципальный район | Государственное бюджетное учреждение здравоохранения "Городская детская больница г. Коркино" | 1,245 | 1,000 | 245,73 | 
 | 
| 25 | 344 | Красноармейский муниципальный район | Государственное бюджетное учреждение здравоохранения "Районная больница с. Миасское" | 1,008 | 1,000 | 185,90 | 57,85 | 
| 26 | 354 | Кунашакский муниципальный район | Государственное бюджетное учреждение здравоохранения "Районная больница с. Кунашак" | 0,995 | 1,200 | 220,20 | 144,78 | 
| 27 | 282 | Кусинский муниципальный район | Государственное бюджетное учреждение здравоохранения "Районная больница г. Куса" | 1,011 | 1,167 | 217,59 | 7,16 | 
| 28 | 216 | Кыштымский городской округ | Государственное бюджетное учреждение здравоохранения "Городская больница им. А.П. Силаева г. Кыштым" | 1,008 | 1,000 | 185,90 | 8,54 | 
| 29 | 447 | Локомотивный городской округ | Государственное бюджетное учреждение здравоохранения "Участковая больница" рабочего поселка Локомотивный | 1,024 | 1,000 | 202,11 | 
 | 
| 30 | 159 | Магнитогорский городской округ | Государственное автономное учреждение здравоохранения "Городская больница N 1 им. Г.И. Дробышева г. Магнитогорск" | 0,899 | 1,000 | 159,42 | 
 | 
| 31 | 160 | Магнитогорский городской округ | Автономная некоммерческая организация "Центральная клиническая медико-санитарная часть" | 0,906 | 1,000 | 160,66 | 
 | 
| 32 | 161 | Магнитогорский городской округ | Государственное автономное учреждение здравоохранения "Городская больница N 3 г. Магнитогорск" | 0,942 | 1,000 | 167,05 | 
 | 
| 33 | 164 | Магнитогорский городской округ | Государственное автономное учреждение здравоохранения "Центр охраны материнства и детства г. Магнитогорск" | 1,262 | 1,000 | 223,79 | 
 | 
| 34 | 590 | Магнитогорский городской округ | Государственное автономное учреждение здравоохранения "Городская больница N 2 г. Магнитогорск" | 0,925 | 1,000 | 164,03 | 
 | 
| 35 | 186 | Миасский городской округ | Государственное бюджетное учреждение здравоохранения "Городская больница N 1 имени Г.К. Маврицкого г. Миасс" | 0,927 | 1,000 | 166,69 | 10,84 | 
| 36 | 187 | Миасский городской округ | Государственное автономное учреждение здравоохранения "Городская больница N 2 г. Миасс" | 0,950 | 1,000 | 168,80 | 5,29 | 
| 37 | 188 | Миасский городской округ | Государственное автономное учреждение здравоохранения "Городская больница N 3 г. Миасс" | 0,943 | 1,000 | 170,90 | 15,14 | 
| 38 | 452 | Миасский городской округ | Государственное бюджетное учреждение здравоохранения "Городская детская поликлиника г. Миасс" | 1,246 | 1,275 | 281,72 | 
 | 
| 39 | 363 | Нагайбакский муниципальный район | Государственное бюджетное учреждение здравоохранения "Районная больница с. Фершампенуаз" | 1,006 | 1,000 | 198,55 | 110,47 | 
| 40 | 286 | Нязепетровский муниципальный район | Государственное бюджетное учреждение здравоохранения "Районная больница г. Нязепетровск" | 1,008 | 1,000 | 198,95 | 76,69 | 
| 41 | 453 | Озерский городской округ | Федеральное государственное бюджетное учреждение здравоохранения "Клиническая больница N 71 Федерального медико-биологического агентства" | 1,011 | 1,100 | 217,89 | 0,76 | 
| 42 | 372 | Октябрьский муниципальный район | Государственное бюджетное учреждение здравоохранения "Районная больница с. Октябрьское" | 1,020 | 1,200 | 241,58 | 175,40 | 
| 43 | 218 | Пластовский муниципальный район | Государственное бюджетное учреждение здравоохранения "Районная больница г. Пласт" | 1,014 | 1,000 | 187,01 | 46,50 | 
| 44 | 404 | Саткинский муниципальный район | Государственное бюджетное учреждение здравоохранения "Областная больница г. Сатка" | 0,999 | 1,000 | 184,24 | 11,60 | 
| 45 | 444 | Снежинский городской округ | Федеральное государственное бюджетное учреждение здравоохранения "Центральная медико-санитарная часть N 15 Федерального медико-биологического агентства" | 1,023 | 1,100 | 218,51 | 
 | 
| 46 | 378 | Сосновский муниципальный район | Государственное бюджетное учреждение здравоохранения "Районная больница с. Долгодеревенское" | 0,989 | 1,000 | 182,40 | 48,30 | 
| 47 | 445 | Трехгорный городской округ | Федеральное государственное бюджетное учреждение здравоохранения "Медико-санитарная часть N 72 Федерального медико-биологического агентства" | 0,997 | 1,100 | 208,67 | 
 | 
| 48 | 295 | Троицкий городской округ | Государственное бюджетное учреждение здравоохранения "Областная больница г. Троицк" | 1,024 | 1,000 | 187,40 | 25,33 | 
| 49 | 306 | Увельский муниципальный район | Государственное бюджетное учреждение здравоохранения "Районная больница п. Увельский" | 1,000 | 1,000 | 184,43 | 70,92 | 
| 50 | 391 | Уйский муниципальный район | Государственное бюджетное учреждение здравоохранения "Районная больница с. Уйское" | 1,022 | 1,200 | 242,05 | 107,93 | 
| 51 | 403 | Усть-Катавский городской округ | Федеральное государственное бюджетное учреждение здравоохранения "Медико-санитарная часть N 162 Федерального медико-биологического агентства" | 1,006 | 1,000 | 185,53 | 15,42 | 
| 52 | 315 | Чебаркульский городской округ | Государственное бюджетное учреждение здравоохранения "Районная больница г. Чебаркуль" | 1,013 | 1,000 | 186,82 | 40,27 | 
| 53 | 79 | Челябинский городской округ | Государственное автономное учреждение здравоохранения Ордена Трудового Красного Знамени "Городская клиническая больница N 1 г. Челябинск" | 0,948 | 1,000 | 168,11 | 1,75 | 
| 54 | 85 | Челябинский городской округ | Государственное автономное учреждение здравоохранения "Городская клиническая больница N 6 г. Челябинск" | 0,928 | 1,000 | 164,56 | 
 | 
| 55 | 86 | Челябинский городской округ | Государственное бюджетное учреждение здравоохранения "Областная клиническая больница N 2" | 0,980 | 1,000 | 173,79 | 
 | 
| 56 | 90 | Челябинский городской округ | Государственное автономное учреждение здравоохранения "Детская городская клиническая больница N 8 г. Челябинск" | 1,250 | 1,275 | 282,62 | 
 | 
| 57 | 91 | Челябинский городской округ | Государственное автономное учреждение здравоохранения "Городская клиническая больница N 2 г. Челябинск" | 0,849 | 1,167 | 175,70 | 
 | 
| 58 | 93 | Челябинский городской округ | Государственное бюджетное учреждение здравоохранения "Городская клиническая больница N 5 г. Челябинск" | 0,911 | 1,000 | 161,55 | 
 | 
| 59 | 94 | Челябинский городской округ | Государственное автономное учреждение здравоохранения Ордена Знак Почета "Городская клиническая больница N 8 г. Челябинск" | 0,920 | 1,000 | 163,14 | 
 | 
| 60 | 95 | Челябинский городской округ | Государственное автономное учреждение здравоохранения "Городская клиническая больница N 9 г. Челябинск" | 0,911 | 1,000 | 161,55 | 
 | 
| 61 | 99 | Челябинский городской округ | Государственное автономное учреждение здравоохранения "Детская городская клиническая больница N 1 г. Челябинск" | 1,259 | 1,275 | 284,66 | 
 | 
| 62 | 102 | Челябинский городской округ | Государственное автономное учреждение здравоохранения "Детская городская клиническая поликлиника N 9 г. Челябинск" | 1,320 | 1,000 | 234,08 | 
 | 
| 63 | 119 | Челябинский городской округ | Государственное бюджетное учреждение здравоохранения "Городская клиническая поликлиника N 5 г. Челябинск" | 0,909 | 1,183 | 190,69 | 
 | 
| 64 | 122 | Челябинский городской округ | Государственное автономное учреждение здравоохранения "Городская клиническая поликлиника N 8 г. Челябинск" | 0,879 | 1,183 | 184,40 | 
 | 
| 65 | 125 | Челябинский городской округ | Государственное автономное учреждение здравоохранения "Детская городская поликлиника N 4 г. Челябинск" | 1,298 | 1,183 | 272,30 | 
 | 
| 66 | 127 | Челябинский городской округ | Государственное автономное учреждение здравоохранения "Детская городская клиническая поликлиника N 8 имени Александра Невского г. Челябинск" | 1,271 | 1,183 | 266,63 | 
 | 
| 67 | 413 | Челябинский городской округ | Государственное автономное учреждение здравоохранения "Городская клиническая больница N 11 г. Челябинск" | 0,936 | 1,000 | 165,98 | 
 | 
| 68 | 415 | Челябинский городской округ | Государственное автономное учреждение здравоохранения "Детская городская клиническая поликлиника N 6 г. Челябинск" | 1,268 | 1,183 | 266,00 | 
 | 
| 69 | 417 | Челябинский городской округ | Государственное автономное учреждение здравоохранения "Детская городская клиническая поликлиника N 1 г. Челябинск" | 1,308 | 1,183 | 274,40 | 
 | 
| 70 | 439 | Челябинский городской округ | Государственное бюджетное учреждение здравоохранения "Детская городская клиническая больница N 7 г. Челябинск" | 1,303 | 1,275 | 294,61 | 
 | 
| 71 | 440 | Челябинский городской округ | Частное учреждение здравоохранения "Клиническая больница "РЖД-Медицина" города Челябинск | 0,949 | 1,000 | 168,29 | 
 | 
| 72 | 456 | Челябинский городской округ | Государственное автономное учреждение здравоохранения "Областная клиническая больница N 3" | 0,925 | 1,000 | 164,03 | 
 | 
| 73 | 771 | Челябинский городской округ | Общество с ограниченной ответственностью "Полимедика Челябинск" | 0,903 | 1,183 | 189,43 | 2,65 | 
| 74 | 397 | Чесменский муниципальный район | Государственное бюджетное учреждение здравоохранения "Районная больница с. Чесма" | 0,998 | 1,200 | 236,37 | 52,93 | 
| 75 | 222 | Южноуральский городской округ | Государственное бюджетное учреждение здравоохранения "Городская больница г. Южноуральск" | 1,018 | 1,000 | 187,74 | 2,94 | 
Приложение N 14
к Тарифному соглашению
в сфере обязательного
медицинского страхования
Челябинской области
от 30 декабря 2022 г. N 199-ОМС 
Показатели результативности
деятельности медицинских организаций,
имеющих прикрепленное население 
(в
ред. Дополнительного соглашения к
Тарифному соглашению в сфере
обязательного медицинского страхования
Челябинской области от 31.05.2023 N 4/199-ОМС)
| N | Наименование показателя | Предположительный результат | Индикаторы выполнения показателя | Максимальный балл | 
| Блок 1. Взрослое население (в возрасте 18 лет и старше) | 19 | |||
| Оценка эффективности профилактических мероприятий | ||||
| 1 | Доля врачебных посещений с профилактической целью за период, от общего числа посещений за период (включая посещения на дому) | Прирост показателя за период по отношению к показателю за предыдущий период | Прирост < 3 % - 0 баллов; Прирост >= 3 % - 0,5 балла; Прирост >= 7 % - 1 балл; Значение показателя в текущем периоде выше среднего значения по Челябинской области в текущем периоде (далее - выше среднего) - 0,5 балла; В текущем периоде достигнуто максимально возможное значение показателя (далее - максимально возможное значение) - 1 балл | 1 | 
| 2 | Доля взрослых с болезнями системы кровообращения, выявленными впервые при профилактических медицинских осмотрах и диспансеризации за период, от общего числа взрослых пациентов с болезнями системы кровообращения с впервые в жизни установленным диагнозом за период | Прирост показателя за период по отношению к показателю за предыдущий период | Прирост < 5 % - 0 баллов; Прирост >= 5 % - 1 балл; Прирост >= 10 % - 2 балла; Выше среднего - 1 балл; Максимально возможное значение - 2 балла | 2 | 
| 3 | Доля взрослых с установленным диагнозом злокачественное новообразование, выявленным впервые при профилактических медицинских осмотрах и диспансеризации за период, от общего числа взрослых пациентов с впервые в жизни установленным диагнозом злокачественное новообразование за период | Прирост показателя за период по отношению к показателю за предыдущий период | Прирост < 5 % - 0 баллов; Прирост >= 5 % - 0,5 балла; Прирост >= 10 % - 1 балл; Выше среднего - 0,5 балла; Максимально возможное значение - 1 балл | 1 | 
| 4 | Доля взрослых с установленным диагнозом хроническая обструктивная болезнь легких, выявленным впервые при профилактических медицинских осмотрах и диспансеризации за период, от общего числа взрослых пациентов с впервые в жизни установленным диагнозом хроническая обструктивная легочная болезнь за период | Прирост показателя за период по отношению к показателю за предыдущий период | Прирост < 5 % - 0 баллов; Прирост >= 5 % - 0,5 балла; Прирост >= 10 % - 1 балл; Выше среднего - 0,5 балла; Максимально возможное значение - 1 балл | 1 | 
| 5 | Доля взрослых с установленным диагнозом сахарный диабет, выявленным впервые при профилактических медицинских осмотрах и диспансеризации за период, от общего числа взрослых пациентов с впервые в жизни установленным диагнозом сахарный диабет за период | Прирост показателя за период по отношению к показателю за предыдущий период | Прирост < 5 % - 0 баллов; Прирост >= 5 % - 0,5 балла; Прирост >= 10 % - 1 балл; Выше среднего - 0,5 балла; Максимально возможное значение - 1 балл | 1 | 
| 6 | Выполнение плана вакцинации взрослых граждан по эпидемиологическим показаниям за период (коронавирусная инфекция COVID-19) | Достижение планового показателя | 100 % плана или более - 2 балла; Выше среднего - 1 балл | 2 | 
| Оценка эффективности диспансерного наблюдения | ||||
| 7 | Доля взрослых с болезнями системы кровообращения <*>, имеющих высокий риск преждевременной смерти, состоящих под диспансерным наблюдением, от общего числа взрослых пациентов с болезнями системы кровообращения <*>, имеющих высокий риск преждевременной смерти, за период | Прирост показателя за период по отношению к показателю за предыдущий период | Прирост < 3 % - 0 баллов; Прирост >= 3 % - 1 балл; Прирост >= 7 % - 2 балла; Выше среднего - 1 балл; Максимально возможное значение - 2 балла | 2 | 
| 8 | Число взрослых с болезнями системы кровообращения <*>, имеющих высокий риск преждевременной смерти, которым за период оказана медицинская помощь в экстренной и неотложной форме, от общего числа взрослых пациентов с болезнями системы кровообращения <*>, имеющих высокий риск преждевременной смерти, за период | Уменьшение показателя за период по отношению к показателю в предыдущем периоде | Уменьшение < 5 % - 0 баллов; Уменьшение >= 5 % - 0,5 балла; Уменьшение >= 10 % - 1 балл; Значение показателя в текущем периоде ниже среднего значения по Челябинской области в текущем периоде (далее - ниже среднего) - 0,5 балла; В текущем периоде достигнуто минимально возможное значение показателя (далее - минимально возможное значение) - 1 балл | 1 | 
| 9 | Доля взрослых с болезнями системы кровообращения, в отношении которых установлено диспансерное наблюдение за период, от общего числа взрослых пациентов с впервые в жизни установленным диагнозом болезни системы кровообращения за период | Достижение планового показателя | 100 % плана или более - 1 балл; Выше среднего - 0,5 балла | 1 | 
| 10 | Доля взрослых с установленным диагнозом хроническая обструктивная болезнь легких, в отношении которых установлено диспансерное наблюдение за период, от общего числа взрослых пациентов с впервые в жизни установленным диагнозом хроническая обструктивная болезнь легких за период | Достижение планового показателя | 100 % плана или более - 1 балл; Выше среднего - 0,5 балла | 1 | 
| 11 | Доля взрослых с установленным диагнозом сахарный диабет, в отношении которых установлено диспансерное наблюдение за период, от общего числа взрослых пациентов с впервые в жизни установленным диагнозом сахарный диабет за период | Достижение планового показателя | 100 % плана или более - 2 балла; Выше среднего - 1 балл | 2 | 
| 12 | Доля взрослых, госпитализированных за период по экстренным показаниям в связи с обострением (декомпенсацией) состояний, по поводу которых пациент находится под диспансерным наблюдением, от общего числа взрослых пациентов, находящихся под диспансерным наблюдением за период | Уменьшение показателя за период по отношению к показателю в предыдущем периоде | Уменьшение < 5 % - 0 баллов; Уменьшение >= 5 % - 0,5 балла; Уменьшение >= 10 % - 1 балл; Ниже среднего - 0,5 балла; Минимально возможное значение - 1 балл | 1 | 
| 13 | Доля взрослых, повторно госпитализированных за период по причине заболеваний сердечно-сосудистой системы или их осложнений в течение года с момента предыдущей госпитализации, от общего числа взрослых, госпитализированных за период по причине заболеваний сердечно-сосудистой системы или их осложнений | Уменьшение показателя за период по отношению к показателю в предыдущем периоде | Уменьшение < 3 % - 0 баллов; Уменьшение >= 3 % - 1 балл; Уменьшение >= 7 % - 2 балла; Ниже среднего - 1 балл; Минимально возможное значение - 2 балла | 2 | 
| 14 | Доля взрослых, находящихся под диспансерным наблюдением по поводу сахарного диабета, у которых впервые зарегистрированы осложнения за период (диабетическая ретинопатия, диабетическая стопа), от общего числа, находящихся под диспансерным наблюдением по поводу сахарного диабета за период | Уменьшение показателя за период по отношению к показателю в предыдущем периоде | Уменьшение < 5 % - 0 баллов; Уменьшение >= 5 % - 0,5 балла; Уменьшение >= 10 % - 1 балл; Ниже среднего - 0,5 балла; Минимально возможное значение - 1 балл | 1 | 
| Блок 2. Детское население (от 0 до 17 лет включительно) | 7 | |||
| Оценка эффективности профилактических мероприятий и диспансерного наблюдения | ||||
| 15 | Охват вакцинацией детей в рамках Национального календаря прививок | Достижение планового показателя | 100 % плана или более - 1 балл; Выше среднего - 0,5 балла | 1 | 
| 16 | Доля детей, в отношении которых установлено диспансерное наблюдение по поводу болезней костно-мышечной системы и соединительной ткани за период, от общего числа детей с впервые в жизни установленными диагнозами болезней костно-мышечной системы и соединительной ткани за период | Достижение планового показателя | 100 % от числа подлежащих диспансерному наблюдению - 1 балл; Выше среднего - 0,5 балла | 1 | 
| 17 | Доля детей, в отношении которых установлено диспансерное наблюдение по поводу болезней глаза и его придаточного аппарата за период, от общего числа детей с впервые в жизни установленными диагнозами болезней глаза и его придаточного аппарата за период | Достижение планового показателя | 100 % от числа подлежащих диспансерному наблюдению - 1 балл; Выше среднего - 0,5 балла | 1 | 
| 18 | Доля детей, в отношении которых установлено диспансерное наблюдение по поводу болезней органов пищеварения за период, от общего числа детей с впервые в жизни установленными диагнозами болезней органов пищеварения за период | Достижение планового показателя | 100 % от числа подлежащих диспансерному наблюдению - 1 балл; Выше среднего - 0,5 балла | 1 | 
| 19 | Доля детей, в отношении которых установлено диспансерное наблюдение по поводу болезней системы кровообращения за период от общего числа детей с впервые в жизни установленными диагнозами болезней системы кровообращения за период | Достижение планового показателя | 100 % от числа подлежащих диспансерному наблюдению - 2 балла; Выше среднего - 1 балл | 2 | 
| 20 | Доля детей, в отношении которых установлено диспансерное наблюдение по поводу болезней эндокринной системы, расстройства питания и нарушения обмена веществ за период, от общего числа детей с впервые в жизни установленными диагнозами болезней эндокринной системы, расстройства питания и нарушения обмена веществ за период | Достижение планового показателя | 100 % от числа подлежащих диспансерному наблюдению - 1 балл; Выше среднего - 0,5 балла | 1 | 
| Блок 3. Оказание акушерско-гинекологической помощи | 6 | |||
| Оценка эффективности профилактических мероприятий | ||||
| 21 | Доля женщин, отказавшихся от искусственного прерывания беременности, от числа женщин, прошедших доабортное консультирование за период | Прирост показателя за период по отношению к показателю за предыдущий период | Прирост < 5 % - 0 баллов; Прирост >= 5 % - 0,5 балла; Прирост >= 10 % - 1 балл; Выше среднего - 0,5 балла; Максимально возможное значение - 1 балл | 1 | 
| 22 | Доля беременных женщин, вакцинированных от новой коронавирусной инфекции (COVID-19), за период, от числа женщин, состоящих на учете по беременности и родам на начало периода | Достижение планового показателя | 100 % плана или более - 1 балл; Выше среднего - 0,5 балла | 1 | 
| 23 | Доля женщин с установленным диагнозом злокачественное новообразование шейки матки, выявленным впервые при диспансеризации, от общего числа женщин с установленным диагнозом злокачественное новообразование шейки матки за период | Прирост показателя за период по отношению к показателю за предыдущий период | Прирост < 5 % - 0 баллов; Прирост >= 5 % - 0,5 балла; Прирост >= 10 % - 1 балл; Выше среднего - 0,5 балла; Максимально возможное значение - 1 балл | 1 | 
| 24 | Доля женщин с установленным диагнозом злокачественное новообразование молочной железы, выявленным впервые при диспансеризации, от общего числа женщин с установленным диагнозом злокачественное новообразование молочной железы за период | Прирост показателя за период по отношению к показателю за предыдущий период | Прирост < 5 % - 0 баллов; Прирост >= 5 % - 0,5 балла; Прирост >= 10 % - 1 балл; Выше среднего - 0,5 балла; Максимально возможное значение - 1 балл | 1 | 
| 25 | Доля беременных женщин, прошедших скрининг в части оценки антенатального развития плода за период, от общего числа женщин, состоявших на учете по поводу беременности и родов за период | Достижение планового показателя | 100 % плана или более - 2 балла; Выше среднего - 1 балл | 2 | 
     * - По набору кодов МКБ-10.
Приложение N 15
к Тарифному соглашению
в сфере обязательного
медицинского страхования
Челябинской области
от 30 декабря 2022 г. N 199-ОМС 
Тарифы на оплату услуг диализа с 01.01.2023
| N | Код услуги | Наименование услуги | Единица оплаты | Условия оказания | Коэффициент относительной затратоемкости услуг диализа (КЗд) | Доля расходов на заработную плату | Тариф на оплату услуг диализа с учетом коэффициента дифференциации, применяемого к доле расходов на заработную плату, руб. (Тдi) | 
| А | 1 | 2 | 3 | 4 | 5 | 6 | 7 | 
| 1 | A18.05.002 | Гемодиализ | услуга | стационарно, дневной стационар, амбулаторно | 1,00 | 0,22 | 6816,30 | 
| 2 | A18.05.002.002 | Гемодиализ интермиттирующий низкопоточный | услуга | стационарно, дневной стационар, амбулаторно | 1,00 | 0,22 | 6816,30 | 
| 3 | A18.05.002.001 | Гемодиализ интермиттирующий высокопоточный | услуга | стационарно, дневной стационар, амбулаторно | 1,05 | 0,22 | 7157,20 | 
| 4 | A18.05.011 | Гемодиафильтрация | услуга | стационарно, дневной стационар, амбулаторно | 1,08 | 0,22 | 7361,70 | 
| 5 | A18.05.004 | Ультрафильтрация крови | услуга | стационарно | 0,92 | 0,22 | 6271,00 | 
| 6 | A18.05.002.003 | Гемодиализ интермиттирующий продленный | услуга | стационарно | 2,76 | 0,22 | 18813,10 | 
| 7 | A18.05.004.001 | Ультрафильтрация крови продленная | услуга | стационарно | 2,51 | 0,22 | 17109,00 | 
| 8 | A18.05.011.001 | Гемодиафильтрация продленная | услуга | стационарно | 3,01 | 0,22 | 20517,20 | 
| 9 | A18.05.002.005 | Гемодиализ продолжительный | сутки | стационарно | 5,23 | 0,22 | 35649,50 | 
| 10 | A18.05.011.002 | Гемодиафильтрация продолжительная | сутки | стационарно | 5,73 | 0,22 | 39057,70 | 
| 11 | A18.30.001 | Перитонеальный диализ | день обмена | амбулаторно | 1,00 | 0,20 | 4898,30 | 
| 12 | A18.30.001.002 | Перитонеальный диализ с использованием автоматизированных технологий | день обмена | амбулаторно | 1,24 | 0,20 | 6073,80 | 
Приложение N 16/1
к Тарифному соглашению
в сфере обязательного
медицинского страхования
Челябинской области
от 30 декабря 2022 г. N 199-ОМС 
Тарифы на оплату высокотехнологичной
медицинской помощи, оказанной по ОМС
взрослому и детскому застрахованному
населению Челябинской области в
круглосуточном стационаре, с 01.01.2023
| N группы ВМП | Наименование вида ВМП | Коды по МКБ-10 | Модель пациента | Вид лечения | Метод лечения | Норматив финансовых затрат на единицу объема медицинской помощи, рублей | Доля заработной платы в структуре затрат | Тариф, рублей | ||||||||||||||||||||||||||
| 1 | 2 | 3 | 4 | 5 | 6 | 7 | 8 | 9 | ||||||||||||||||||||||||||
| Акушерство и гинекология | ||||||||||||||||||||||||||||||||||
| 1. | Комплексное лечение при привычном невынашивании беременности, вызванном тромбофилическими мутациями, антифосфолипидным синдромом, резус-сенсибилизацией, с применением химиотерапевтических, биологических, онтогенетических, молекулярно-генетических и иммуногенетических методов коррекции | O36.0, O36.1 | привычный выкидыш, сопровождающийся резус-иммунизацией | терапевтическое лечение | терапия с введением иммуноглобулинов под контролем молекулярных диагностических методик, иммуноферментных, гемостазиологических методов исследования | 149270,00 | 0,34 | 154598,90 | ||||||||||||||||||||||||||
| 
 | 
 | O28.0 | привычный выкидыш, обусловленный сочетанной тромбофилией (антифосфолипидный синдром и врожденная тромбофилия) с гибелью плода или тромбозом при предыдущей беременности | терапевтическое лечение | терапия с введением иммуноглобулинов под контролем молекулярных диагностических методик, иммуноферментных, гемостазиологических методов исследования | 149270,00 | 0,34 | 154598,90 | ||||||||||||||||||||||||||
| 
 | Хирургическое органосохраняющее лечение женщин с несостоятельностью мышц тазового дна, опущением и выпадением органов малого таза, а также в сочетании со стрессовым недержанием мочи, соединительнотканными заболеваниями, включая реконструктивно-пластические операции (сакровагинопексию с лапароскопической ассистенцией, оперативные вмешательства с использованием сетчатых протезов) | N81, N88.4, N88.1 | цистоцеле, неполное и полное опущение матки и стенок влагалища, ректоцеле, гипертрофия и элонгация шейки матки у пациенток репродуктивного возраста | хирургическое лечение | операции эндоскопическим, влагалищным и абдоминальным доступом и их сочетание в различной комбинации (слинговая операция (TVT-0, TVT, TOT) с использованием имплантатов) | 149270,00 | 0,34 | 154598,90 | ||||||||||||||||||||||||||
| 
 | 
 | 
 | 
 | 
 | операции эндоскопическим, влагалищным и абдоминальным доступом и их сочетание в различной комбинации (промонтофиксация матки или культи влагалища с использованием синтетических сеток) | 149270,00 | 0,34 | 154598,90 | ||||||||||||||||||||||||||
| 
 | 
 | 
 | 
 | 
 | операции эндоскопическим, влагалищным и абдоминальным доступом и их сочетание в различной комбинации (укрепление связочного аппарата матки лапароскопическим доступом) | 149270,00 | 0,34 | 154598,90 | ||||||||||||||||||||||||||
| 
 | 
 | 
 | 
 | 
 | операции эндоскопическим, влагалищным и абдоминальным доступом и их сочетание в различной комбинации (пластика сфинктера прямой кишки) | 149270,00 | 0,34 | 154598,90 | ||||||||||||||||||||||||||
| 
 | 
 | 
 | 
 | 
 | операции эндоскопическим, влагалищным и абдоминальным доступом и их сочетание в различной комбинации (пластика шейки матки) | 149270,00 | 0,34 | 154598,90 | ||||||||||||||||||||||||||
| 
 | 
 | N99.3 | выпадение стенок влагалища после экстирпации матки | хирургическое лечение | операции эндоскопическим, влагалищным и абдоминальным доступом и их сочетание в различной комбинации (промонтофиксация культи влагалища, слинговая операция (TVT-0, TVT, TOT) с использованием имплантатов) | 149270,00 | 0,34 | 154598,90 | ||||||||||||||||||||||||||
| 2. | Хирургическое органосохраняющее лечение распространенных форм гигантских опухолей гениталий, смежных органов малого таза и других органов брюшной полости у женщин с использованием лапароскопического и комбинированного доступа | D26, D27, D25 | доброкачественная опухоль шейки матки у женщин репродуктивного возраста. Доброкачественная опухоль яичника (от 8 см и более) у женщин репродуктивного возраста. Гигантская миома матки у женщин репродуктивного возраста | хирургическое лечение | удаление опухоли в пределах здоровых тканей с использованием лапароскопического и комбинированного доступа, с иммуногистохимическим исследованием удаленных тканей | 226663,00 | 0,39 | 235944,80 | ||||||||||||||||||||||||||
| Гастроэнтерология | ||||||||||||||||||||||||||||||||||
| 3. | Поликомпонентное лечение при язвенном колите и болезни Крона 3 и 4 степени активности, гормонозависимых и гормонорезистентных формах, тяжелой форме целиакии с инициацией или заменой генно-инженерных биологических лекарственных препаратов и химиотерапевтических лекарственных препаратов под контролем иммунологических, морфологических, гистохимических инструментальных исследований | K50, K51, K90.0 | язвенный колит и болезнь Крона 3 и 4 степени активности, гормонозависимые и гормонорезистентные формы. Тяжелые формы целиакии | терапевтическое лечение | поликомпонентная терапия с инициацией или заменой генно-инженерных биологических лекарственных препаратов и химиотерапевтических лекарственных препаратов под контролем иммунологических, морфологических, гистохимических инструментальных исследований | 155640,00 | 0,22 | 159235,30 | ||||||||||||||||||||||||||
| 
 | Поликомпонентная терапия при аутоиммунном перекресте с применением химиотерапевтических, генно-инженерных биологических и противовирусных лекарственных препаратов под контролем иммунологических, морфологических, гистохимических инструментальных исследований (включая магнитно-резонансную холангиографию) | K73.2, K74.3, K83.0, B18.0, B18.1, B18.2 | хронический аутоиммунный гепатит в сочетании с первичносклерозирующим холангитом | терапевтическое лечение | поликомпонентная терапия при аутоиммунном перекресте с применением химиотерапевтических, генно-инженерных биологических и противовирусных лекарственных препаратов под контролем иммунологических, морфологических, гистохимических инструментальных исследований (включая магнитно-резонансную холангиографию) | 155640,00 | 0,22 | 159235,30 | ||||||||||||||||||||||||||
| 
 | 
 | 
 | хронический аутоиммунный гепатит в сочетании с первичным билиарным циррозом печени | 
 | 
 | 155640,00 | 0,22 | 159235,30 | ||||||||||||||||||||||||||
| 
 | 
 | 
 | хронический аутоиммунный гепатит в сочетании с хроническим вирусным гепатитом C | 
 | 
 | 155640,00 | 0,22 | 159235,30 | ||||||||||||||||||||||||||
| 
 | 
 | 
 | хронический аутоиммунный гепатит в сочетании с хроническим вирусным гепатитом B | 
 | 
 | 155640,00 | 0,22 | 159235,30 | ||||||||||||||||||||||||||
| Гематология | ||||||||||||||||||||||||||||||||||
| 4. | Комплексное лечение, включая полихимиотерапию, иммунотерапию, трансфузионную терапию препаратами крови и плазмы, методы экстракорпорального воздействия на кровь, дистанционную лучевую терапию, хирургические методы лечения при апластических анемиях, апластических, цитопенических и цитолитических синдромах, агранулоцитозе, нарушениях плазменного и тромбоцитарного гемостаза, острой лучевой болезни | D69.1, D82.0, D69.5, D58, D59 | патология гемостаза, резистентная к стандартной терапии, и (или) с течением, осложненным угрожаемыми геморрагическими явлениями. Гемолитическая анемия, резистентная к стандартной терапии, или с течением, осложненным тромбозами и другими жизнеугрожающими синдромами | терапевтическое лечение | прокоагулянтная терапия с использованием рекомбинантных препаратов факторов свертывания, массивные трансфузии компонентов донорской крови | 174719,00 | 0,31 | 180406,10 | ||||||||||||||||||||||||||
| 
 | 
 | D69.3 | патология гемостаза, резистентная к стандартной терапии, и (или) с течением, осложненным угрожаемыми геморрагическими явлениями | терапевтическое лечение | терапевтическое лечение, включающее иммуносупрессивную терапию с использованием моноклональных антител, иммуномодулирующую терапию с помощью рекомбинантных препаратов тромбопоэтина | 174719,00 | 0,31 | 180406,10 | ||||||||||||||||||||||||||
| 
 | 
 | D69.0 | патология гемостаза, резистентная к стандартной терапии, и (или) с течением, осложненным тромбозами или тромбоэмболиями | комбинированное лечение | комплексное консервативное и хирургическое лечение, в том числе антикоагулянтная, антиагрегантная и фибринолитическая терапия, ферментотерапия антипротеазными лекарственными препаратами, глюкокортикостероидная терапия и пульс-терапия высокодозная, комплексная иммуносупрессивная терапия с использованием моноклональных антител, заместительная терапия препаратами крови и плазмы, плазмаферез | 174719,00 | 0,31 | 180406,10 | ||||||||||||||||||||||||||
| 
 | 
 | M31.1 | патология гемостаза, резистентная к стандартной терапии, и (или) с течением, осложненным тромбозами или тромбоэмболиями, анемическим, тромбоцитопеническим синдромом | комбинированное лечение | комплексная иммуносупрессивная терапия с использованием моноклональных антител, высоких доз глюкокортикостероидных препаратов. Массивные плазмообмены. Диагностический мониторинг (определение мультимерности фактора Виллебранда, концентрации протеазы, расщепляющей фактор Виллебранда) | 174719,00 | 0,31 | 180406,10 | ||||||||||||||||||||||||||
| 
 | 
 | D68.8 | патология гемостаза, в том числе с катастрофическим антифосфолипидным синдромом, резистентным к стандартной терапии, и (или) с течением, осложненным тромбозами или тромбоэмболиями | комбинированное лечение | комплексное консервативное и хирургическое лечение, в том числе эфферентные методы лечения, антикоагулянтная и антиагрегантная терапия, иммуносупрессивная терапия с использованием моноклональных антител, массивный обменный плазмаферез | 174719,00 | 0,31 | 180406,10 | ||||||||||||||||||||||||||
| 
 | 
 | E83.0, E83.1, E83.2 | цитопенический синдром, перегрузка железом, цинком и медью | комбинированное лечение | комплексное консервативное и хирургическое лечение, включающее эфферентные и афферентные методы лечения, противовирусную терапию, метаболическую терапию, хелаторную терапию, антикоагулянтную и дезагрегантную терапию, заместительную терапию компонентами крови и плазмы | 174719,00 | 0,31 | 180406,10 | ||||||||||||||||||||||||||
| 
 | 
 | D59, D56, D57.0, D58 | гемолитический криз при гемолитических анемиях различного генеза, в том числе аутоиммунного, при пароксизмальной ночной гемоглобинурии | комбинированное лечение | комплексное консервативное и хирургическое лечение, в том числе высокодозная пульс-терапия стероидными гормонами, иммуномодулирующая терапия, иммуносупрессивная терапия с использованием моноклональных антител, использование рекомбинантных колониестимулирующих факторов роста | 174719,00 | 0,31 | 180406,10 | ||||||||||||||||||||||||||
| 
 | 
 | D70 | агранулоцитоз с показателями нейтрофильных лейкоцитов крови 0,5 x 109/л и ниже | терапевтическое лечение | консервативное лечение, в том числе антибактериальная, противовирусная, противогрибковая терапия, использование рекомбинантных колониестимулирующих факторов роста | 174719,00 | 0,31 | 180406,10 | ||||||||||||||||||||||||||
| 
 | 
 | D60 | парциальная красноклеточная аплазия, резистентная к терапии глюкокортикоидными гормонами, сопровождающаяся гемосидерозом (кроме пациентов, перенесших трансплантацию костного мозга, пациентов с почечным трансплантатом) | терапевтическое лечение | комплексное консервативное лечение, в том числе программная иммуносупрессивная терапия, заместительная терапия компонентами донорской крови, противовирусная терапия, хелаторная терапия | 174719,00 | 0,31 | 180406,10 | ||||||||||||||||||||||||||
| 5. | Интенсивная терапия, включающая методы экстракорпорального воздействия на кровь у больных с порфириями | E80.0, E80.1, E80.2 | прогрессирующее течение острых печеночных порфирий, осложненное развитием бульбарного синдрома, апноэ, нарушениями функций тазовых органов, торпидное к стандартной терапии, с тяжелой фотосенсибилизацией и обширными поражениями кожных покровов, с явлениями системного гемохроматоза (гемосидероза) тканей - эритропоэтической порфирией, поздней кожной порфирией | терапевтическое лечение | комплексная консервативная терапия, включая эфферентные и афферентные методы лечения, хирургические вмешательства, подавление избыточного синтеза продуктов порфиринового метаболизма инфузионной терапией, интенсивная терапия, включая методы протезирования функции дыхания и почечной функции, молекулярно-генетическое исследование больных с латентным течением острой порфирии с целью предотвращения развития кризового течения, хелаторная терапия | 514006,00 | 0,07 | 517783,90 | ||||||||||||||||||||||||||
| Детская хирургия в период новорожденности | ||||||||||||||||||||||||||||||||||
| 6. | Реконструктивно-пластические операции на грудной клетке при пороках развития у новорожденных (пороки легких, бронхов, пищевода), в том числе торакоскопические | Q33.0, Q33.2, Q39.0, Q39.1, Q39.2 | врожденная киста легкого. Секвестрация легкого. Атрезия пищевода. Свищ трахеопищеводный | хирургическое лечение | удаление кисты или секвестра легкого, в том числе с применением эндовидеохирургической техники | 305847,00 | 0,50 | 321904,00 | ||||||||||||||||||||||||||
| 
 | 
 | 
 | 
 | 
 | прямой эзофаго-эзофаго анастомоз, в том числе этапные операции на пищеводе и желудке, ликвидация трахеопищеводного свища | 305847,00 | 0,50 | 321904,00 | ||||||||||||||||||||||||||
| Дерматовенерология | ||||||||||||||||||||||||||||||||||
| 7. | Комплексное лечение больных тяжелыми распространенными формами псориаза, атопического дерматита, истинной пузырчатки, локализованной склеродермии, лучевого дерматита | L40.0 | тяжелые распространенные формы псориаза без поражения суставов при отсутствии эффективности ранее проводимых методов системного и физиотерапевтического лечения | терапевтическое лечение | лечение с применением узкополосной средневолновой фототерапии, в том числе локальной, комбинированной локальной и общей фотохимиотерапии, общей бальнеофотохимиотерапии, плазмафереза в сочетании с цитостатическими и иммуносупрессивными лекарственными препаратами и синтетическими производными витамина A | 118255,00 | 0,34 | 122476,70 | ||||||||||||||||||||||||||
| 
 | 
 | L40.1, L40.3 | пустулезные формы псориаза при отсутствии эффективности ранее проводимых методов системного и физиотерапевтического лечения | терапевтическое лечение | лечение с применением цитостатических и иммуносупрессивных лекарственных препаратов, синтетических производных витамина A в сочетании с применением плазмафереза | 118255,00 | 0,34 | 122476,70 | ||||||||||||||||||||||||||
| 
 | 
 | L40.5 | тяжелые распространенные формы псориаза артропатического при отсутствии эффективности ранее проводимых методов системного и физиотерапевтического лечения | терапевтическое лечение | лечение с применением низкоинтенсивной лазерной терапии, узкополосной средневолновой фототерапии, в том числе локальной, комбинированной локальной и общей фотохимиотерапии, общей бальнеофотохимиотерапии, в сочетании с цитостатическими и иммуносупрессивными лекарственными препаратами и синтетическими производными витамина A | 118255,00 | 0,34 | 122476,70 | ||||||||||||||||||||||||||
| 
 | 
 | L20 | тяжелые распространенные формы атопического дерматита при отсутствии эффективности ранее проводимых методов системного и физиотерапевтического лечения | терапевтическое лечение | лечение с применением узкополосной средневолновой, дальней длинноволновой фототерапии в сочетании с антибактериальными, иммуносупрессивными лекарственными препаратами и плазмаферезом | 118255,00 | 0,34 | 122476,70 | ||||||||||||||||||||||||||
| 
 | 
 | L10.0, L10.1, L10.2, L10.4 | истинная (акантолитическая) пузырчатка | терапевтическое лечение | лечение с применением системных глюкокортикостероидных, цитостатических, иммуносупрессивных, антибактериальных лекарственных препаратов | 118255,00 | 0,34 | 122476,70 | ||||||||||||||||||||||||||
| 
 | 
 | L94.0 | локализованная склеродермия при отсутствии эффективности ранее проводимых методов системного и физиотерапевтического лечения | терапевтическое лечение | лечение с применением дальней длинноволновой фототерапии в сочетании с антибактериальными, глюкокортикостероидными, сосудистыми и ферментными лекарственными препаратами | 118255,00 | 0,34 | 122476,70 | ||||||||||||||||||||||||||
| 
 | Поликомпонентное лечение тяжелых, резистентных форм атопического дерматита и псориаза, включая псориатический артрит с инициацией или заменой генно-инженерных биологических лекарственных препаратов | L40.0 | тяжелые распространенные формы псориаза, резистентные к другим видам системной терапии | терапевтическое лечение | поликомпонентная терапия с инициацией или заменой генно-инженерных биологических лекарственных препаратов в сочетании с иммуносупрессивными лекарственными препаратами | 118255,00 | 0,34 | 122476,70 | ||||||||||||||||||||||||||
| 
 | 
 | L40.5, L20 | тяжелые распространенные формы атопического дерматита и псориаза артропатического, резистентные к другим видам системной терапии | терапевтическое лечение | поликомпонентная терапия с инициацией или заменой генно-инженерных биологических лекарственных препаратов | 118255,00 | 0,34 | 122476,70 | ||||||||||||||||||||||||||
| Комбустиология | ||||||||||||||||||||||||||||||||||
| 8. | Комплексное лечение больных с обширными ожогами от 30 до 49 процентов поверхности тела различной локализации, в том числе термоингаляционными травмами | T20, T21, T22, T23, T24, T25, T27, T29, T30, T31.3, T31.4, T32.3, T32.4, T58, T59, T75.4 | термические, химические и электрические ожоги I - II - III степени от 30 до 49 процентов поверхности тела, в том числе с развитием тяжелых инфекционных осложнений (пневмония, сепсис) | комбинированное лечение | интенсивное поликомпонентное лечение в палатах (боксах) с абактериальной средой специализированного структурного подразделения (ожогового центра) с применением противоожоговых (флюидизирующих) кроватей, включающее круглосуточное мониторирование гемодинамики и волемического статуса; респираторную поддержку с применением аппаратов искусственной вентиляции легких; экстракорпоральное воздействие на кровь с применением аппаратов ультрагемофильтрации и плазмафереза; диагностику и лечение осложнений ожоговой болезни с использованием эндоскопического оборудования; нутритивную поддержку; местное медикаментозное лечение ожоговых ран с использованием современных раневых покрытий; хирургическую некрэктомию; кожную пластику для закрытия ран | 623703,00 | 0,49 | 655792,50 | ||||||||||||||||||||||||||
| 9. | Комплексное лечение больных с обширными ожогами более 50 процентов поверхности тела различной локализации, в том числе термоингаляционными травмами | T20, T21, T22, T23, T24, T25, T27, T29, T30, T31.3, T31.4, T32.3, T32.4, T58, T59, T75.4 | термические, химические и электрические ожоги I - II - III степени более 50 процентов поверхности тела, в том числе с развитием тяжелых инфекционных осложнений (пневмония, сепсис) | комбинированное лечение | интенсивное поликомпонентное лечение в палатах (боксах) с абактериальной средой специализированного структурного подразделения (ожогового центра) с применением противоожоговых (флюидизирующих) кроватей, включающее круглосуточное мониторирование гемодинамики и волемического статуса; респираторную поддержку с применением аппаратов искусственной вентиляции легких; экстракорпоральное воздействие на кровь с применением аппаратов ультрагемофильтрации и плазмафереза; диагностику и лечение осложнений ожоговой болезни с использованием эндоскопического оборудования; нутритивную поддержку; местное медикаментозное лечение ожоговых ран с использованием современных раневых покрытий; хирургическую некрэктомию; кожную пластику для закрытия ран | 1827887,00 | 0,28 | 1881626,90 | ||||||||||||||||||||||||||
| Нейрохирургия | ||||||||||||||||||||||||||||||||||
| 10. | Микрохирургические вмешательства с использованием операционного микроскопа, стереотаксической биопсии, интраоперационной навигации и нейрофизиологического мониторинга при внутримозговых новообразованиях головного мозга и каверномах функционально значимых зон головного мозга | C71.0, C71.1, C71.2, C71.3, C71.4, C79.3, D33.0, D43.0 | внутримозговые злокачественные новообразования (первичные и вторичные) и доброкачественные новообразования функционально значимых зон больших полушарий головного мозга | хирургическое лечение | удаление опухоли с применением интраоперационного ультразвукового сканирования | 188927,00 | 0,25 | 193886,30 | ||||||||||||||||||||||||||
| 
 | 
 | 
 | 
 | 
 | удаление опухоли с применением двух и более методов лечения (интраоперационных технологий) | 188927,00 | 0,25 | 193886,30 | ||||||||||||||||||||||||||
| 
 | 
 | C71.5, C79.3, D33.0, D43.0 | внутримозговые злокачественные (первичные и вторичные) и доброкачественные новообразования боковых и III желудочка мозга | хирургическое лечение | удаление опухоли с применением интраоперационной навигации | 188927,00 | 0,25 | 193886,30 | ||||||||||||||||||||||||||
| 
 | 
 | 
 | 
 | 
 | удаление опухоли с применением интраоперационного ультразвукового сканирования | 188927,00 | 0,25 | 193886,30 | ||||||||||||||||||||||||||
| 
 | 
 | 
 | 
 | 
 | удаление опухоли с применением двух и более методов лечения (интраоперационных технологий) | 188927,00 | 0,25 | 193886,30 | ||||||||||||||||||||||||||
| 
 | 
 | C71.6, C71.7, C79.3, D33.1, D18.0, D43.1 | внутримозговые злокачественные (первичные и вторичные) и доброкачественные новообразования мозжечка, IV желудочка мозга, стволовой и парастволовой локализации | хирургическое лечение | удаление опухоли с применением интраоперационной навигации | 188927,00 | 0,25 | 193886,30 | ||||||||||||||||||||||||||
| 
 | 
 | 
 | 
 | 
 | удаление опухоли с применением интраоперационного ультразвукового сканирования | 188927,00 | 0,25 | 193886,30 | ||||||||||||||||||||||||||
| 
 | 
 | 
 | 
 | 
 | удаление опухоли с применением двух и более методов лечения (интраоперационных технологий) | 188927,00 | 0,25 | 193886,30 | ||||||||||||||||||||||||||
| 
 | 
 | C71.6, C79.3, D33.1, D18.0, D43.1 | внутримозговые злокачественные (первичные и вторичные) и доброкачественные новообразования мозжечка | хирургическое лечение | удаление опухоли с применением нейрофизиологического мониторинга | 188927,00 | 0,25 | 193886,30 | ||||||||||||||||||||||||||
| 
 | 
 | 
 | 
 | 
 | удаление опухоли с применением интраоперационной флюоресцентной микроскопии и эндоскопии | 188927,00 | 0,25 | 193886,30 | ||||||||||||||||||||||||||
| 
 | 
 | D18.0, Q28.3 | кавернома (кавернозная ангиома) мозжечка | хирургическое лечение | удаление опухоли с применением нейрофизиологического мониторинга функционально значимых зон головного мозга | 188927,00 | 0,25 | 193886,30 | ||||||||||||||||||||||||||
| 
 | 
 | 
 | 
 | 
 | удаление опухоли с применением интраоперационной навигации | 188927,00 | 0,25 | 193886,30 | ||||||||||||||||||||||||||
| 
 | Микрохирургические вмешательства при злокачественных (первичных и вторичных) и доброкачественных новообразованиях оболочек головного мозга с вовлечением синусов, серповидного отростка и намета мозжечка | C70.0, C79.3, D32.0, D43.1, Q85 | злокачественные (первичные и вторичные) и доброкачественные новообразования оболочек головного мозга парасаггитальной локализации с вовлечением синусов, серповидного отростка и намета мозжечка, а также внутрижелудочковой локализации | хирургическое лечение | удаление опухоли с применением интраоперационной навигации | 188927,00 | 0,25 | 193886,30 | ||||||||||||||||||||||||||
| 
 | 
 | 
 | 
 | 
 | удаление опухоли с применением интраоперационного ультразвукового сканирования | 188927,00 | 0,25 | 193886,30 | ||||||||||||||||||||||||||
| 
 | Микрохирургические, эндоскопические вмешательства при глиомах зрительных нервов и хиазмы, краниофарингиомах, аденомах гипофиза, невриномах, в том числе внутричерепных новообразованиях при нейрофиброматозе I - II типов, врожденных (коллоидных, дермоидных, эпидермоидных) церебральных кистах, злокачественных и доброкачественных новообразований шишковидной железы (в том числе кистозных), туберозном склерозе, гамартозе | C72.3, D33.3, Q85 | доброкачественные и злокачественные новообразования зрительного нерва (глиомы, невриномы и нейрофибромы, в том числе внутричерепные новообразования при нейрофиброматозе I - II типов). Туберозный склероз. Гамартоз | хирургическое лечение | удаление опухоли с применением интраоперационной навигации | 188927,00 | 0,25 | 193886,30 | ||||||||||||||||||||||||||
| 
 | 
 | 
 | 
 | 
 | удаление опухоли с применением эндоскопической ассистенции | 188927,00 | 0,25 | 193886,30 | ||||||||||||||||||||||||||
| 
 | 
 | C75.3, D35.2 - D35.4, D44.5, Q04.6 | аденомы гипофиза, краниофарингиомы, злокачественные и доброкачественные новообразования шишковидной железы. Врожденные церебральные кисты | хирургическое лечение | удаление опухоли с применением интраоперационной навигации | 188927,00 | 0,25 | 193886,30 | ||||||||||||||||||||||||||
| 
 | 
 | 
 | 
 | 
 | удаление опухоли с применением эндоскопической ассистенции | 188927,00 | 0,25 | 193886,30 | ||||||||||||||||||||||||||
| 
 | Микрохирургические, эндоскопические, стереотаксические, а также комбинированные вмешательства при различных новообразованиях и других объемных процессах основания черепа и лицевого скелета, врастающих в полость черепа | C31 | злокачественные новообразования придаточных пазух носа, прорастающие в полость черепа | хирургическое лечение | удаление опухоли с применением двух и более методов лечения (интраоперационных технологий) | 188927,00 | 0,25 | 193886,30 | ||||||||||||||||||||||||||
| 
 | 
 | 
 | 
 | 
 | удаление опухоли с применением интраоперационной навигации | 188927,00 | 0,25 | 193886,30 | ||||||||||||||||||||||||||
| 
 | 
 | C41.0, C43.4, C44.4, C79.4, C79.5, C49.0, D16.4, D48.0 | злокачественные (первичные и вторичные) и доброкачественные новообразования костей черепа и лицевого скелета, прорастающие в полость черепа | хирургическое лечение | удаление опухоли с применением двух и более методов лечения (интраоперационных технологий) | 188927,00 | 0,25 | 193886,30 | ||||||||||||||||||||||||||
| 
 | 
 | C96.6, D76.3, M85.4, M85.5 | эозинофильная гранулема кости, ксантогранулема, аневризматическая костная киста | хирургическое лечение | эндоскопическое удаление опухоли с одномоментным пластическим закрытием хирургического дефекта при помощи формируемых ауто- или аллотрансплантатов | 188927,00 | 0,25 | 193886,30 | ||||||||||||||||||||||||||
| 
 | 
 | 
 | 
 | 
 | удаление опухоли с применением двух и более методов лечения (интраоперационных технологий) | 188927,00 | 0,25 | 193886,30 | ||||||||||||||||||||||||||
| 
 | 
 | D10.6, D21.0, D10.9 | доброкачественные новообразования носоглотки и мягких тканей головы, лица и шеи, прорастающие в полость черепа | хирургическое лечение | удаление опухоли с применением двух и более методов лечения (интраоперационных технологий) | 188927,00 | 0,25 | 193886,30 | ||||||||||||||||||||||||||
| 
 | Микрохирургическое удаление новообразований (первичных и вторичных) и дермоидов (липом) спинного мозга и его оболочек, корешков и спинномозговых нервов, позвоночного столба, костей таза, крестца и копчика при условии вовлечения твердой мозговой оболочки, корешков и спинномозговых нервов | C41.2, C41.4, C70.1, C72.0, C72.1, C72.8, C79.4, C79.5, C90.0, C90.2, D48.0, D16.6, D16.8, D18.0, D32.1, D33.4, D33.7, D36.1, D43.4, Q06.8, M85.5 | злокачественные (первичные и вторичные) и доброкачественные новообразования позвоночного столба, костей таза, крестца и копчика, в том числе с вовлечением твердой мозговой оболочки, корешков и спинномозговых нервов, дермоиды (липомы) спинного мозга | хирургическое лечение | микрохирургическое удаление опухоли | 188927,00 | 0,25 | 193886,30 | ||||||||||||||||||||||||||
| 
 | Микрохирургические вмешательства при патологии сосудов головного и спинного мозга, внутримозговых и внутрижелудочковых гематомах | Q28.2 | артериовенозная мальформация головного мозга | хирургическое лечение | удаление артериовенозных мальформаций | 188927,00 | 0,25 | 193886,30 | ||||||||||||||||||||||||||
| 
 | 
 | I60, I61, I62 | артериальная аневризма в условиях разрыва или артериовенозная мальформация головного мозга в условиях острого и подострого периода субарахноидального или внутримозгового кровоизлияния | хирургическое лечение | клипирование артериальных аневризм | 188927,00 | 0,25 | 193886,30 | ||||||||||||||||||||||||||
| 
 | 
 | 
 | 
 | 
 | стереотаксическое дренирование и тромболизис гематом | 188927,00 | 0,25 | 193886,30 | ||||||||||||||||||||||||||
| 
 | Реконструктивные вмешательства на экстракраниальных отделах церебральных артерий | I65.0 - I65.3, I65.8, I66, I67.8 | окклюзии, стенозы, эмболии, тромбозы, гемодинамически значимые патологические извитости экстракраниальных отделов церебральных артерий | хирургическое лечение | реконструктивные вмешательства на экстракраниальных отделах церебральных артерий | 188927,00 | 0,25 | 193886,30 | ||||||||||||||||||||||||||
| 
 | Реконструктивные вмешательства при сложных и гигантских дефектах и деформациях свода и основания черепа, орбиты врожденного и приобретенного генеза | M84.8, M85.0, M85.5, Q01, Q67.2, Q67.3, Q75.0, Q75.2, Q75.8, Q87.0, S02.1, S02.2, S02.7 - S02.9, T90.2, T88.8 | дефекты и деформации свода и основания черепа, лицевого скелета врожденного и приобретенного генеза | хирургическое лечение | микрохирургическая реконструкция при врожденных и приобретенных дефектах и деформациях свода и основания черепа, лицевого скелета с одномоментным применением ауто- и (или) аллотрансплантатов | 188927,00 | 0,25 | 193886,30 | ||||||||||||||||||||||||||
| 11. | Внутрисосудистый тромболизис при окклюзиях церебральных артерий и синусов | I67.6 | тромбоз церебральных артерий и синусов | хирургическое лечение | внутрисосудистый тромболизис церебральных артерий и синусов | 289032,00 | 0,20 | 295101,70 | ||||||||||||||||||||||||||
| 12. | Хирургические вмешательства при врожденной или приобретенной гидроцефалии окклюзионного или сообщающегося характера или приобретенных церебральных кистах. Повторные ликворошунтирующие операции при осложненном течении заболевания у взрослых | G91, G93.0, Q03 | врожденная или приобретенная гидроцефалия окклюзионного или сообщающегося характера. Приобретенные церебральные кисты | хирургическое лечение | ликворошунтирующие операции, в том числе с индивидуальным подбором ликворошунтирующих систем | 185045,00 | 0,18 | 188542,40 | ||||||||||||||||||||||||||
| 13. | Хирургические вмешательства при врожденной или приобретенной гидроцефалии окклюзионного или сообщающегося характера или приобретенных церебральных кистах. Повторные ликворошунтирующие операции при осложненном течении заболевания у детей | G91, G93.0, Q03 | врожденная или приобретенная гидроцефалия окклюзионного или сообщающегося характера. Приобретенные церебральные кисты | хирургическое лечение | ликворошунтирующие операции, в том числе с индивидуальным подбором ликворошунтирующих систем | 265852,00 | 0,17 | 270597,50 | ||||||||||||||||||||||||||
| 14. | Микрохирургические и эндоскопические вмешательства при поражениях межпозвоночных дисков шейных и грудных отделов с миелопатией, радикуло- и нейропатией, спондилолистезах и спинальных стенозах. Сложные декомпрессионно-стабилизирующие и реконструктивные операции при травмах и заболеваниях позвоночника, сопровождающихся развитием миелопатии, с использованием остеозамещающих материалов, погружных и наружных фиксирующих устройств. Имплантация временных электродов для нейростимуляции спинного мозга и периферических нервов | G95.1, G95.2, G95.8, G95.9, M42, M43, M45, M46, M48, M50, M51, M53, M92, M93, M95, G95.1, G95.2, G95.8, G95.9, Q76.2 | дегенеративно-дистрофическое поражение межпозвонковых дисков, суставов и связок позвоночника с формированием грыжи диска, деформацией (гипертрофией) суставов и связочного аппарата, нестабильностью сегмента, спондилолистезом, деформацией и стенозом позвоночного канала и его карманов | хирургическое лечение | декомпрессивно-стабилизирующее вмешательство с резекцией позвонка, межпозвонкового диска, связочных элементов сегмента позвоночника из заднего или вентрального доступов, с фиксацией позвоночника, с использованием костной пластики (спондилодеза), погружных имплантатов и стабилизирующих систем (ригидных или динамических) при помощи микроскопа, эндоскопической техники и малоинвазивного инструментария | 342474,00 | 0,38 | 356138,70 | ||||||||||||||||||||||||||
| 15. | Микрохирургические, эндоваскулярные и стереотаксические вмешательства с применением адгезивных клеевых композиций, микроэмболов, микроспиралей (менее 5 койлов), стентов при патологии сосудов головного и спинного мозга, богатокровоснабжаемых опухолях головы и головного мозга, внутримозговых и внутрижелудочковых гематомах | I60, I61, I62 | артериальная аневризма в условиях разрыва или артериовенозная мальформация головного мозга в условиях острого и подострого периода субарахноидального или внутримозгового кровоизлияния | хирургическое лечение | эндоваскулярное вмешательство с применением адгезивных клеевых композиций, микроэмболов, микроспиралей и стентов | 461361,00 | 0,29 | 475409,40 | ||||||||||||||||||||||||||
| Неонатология | ||||||||||||||||||||||||||||||||||
| 16. | Поликомпонентная терапия синдрома дыхательных расстройств, врожденной пневмонии, сепсиса новорожденного, тяжелой церебральной патологии новорожденного с применением аппаратных методов замещения или поддержки витальных функций на основе динамического инструментального мониторинга основных параметров газообмена, гемодинамики, а также лучевых, биохимических, иммунологических и молекулярно-генетических исследований | P22, P23, P36, P10.0, P10.1, P10.2, P10.3, P10.4, P10.8, P11.1, P11.5, P52.1, P52.2, P52.4, P52.6, P90, P91.0, P91.2, P91.4, P91.5 | внутрижелудочковое кровоизлияние. Церебральная ишемия 2 - 3 степени. Родовая травма. Сепсис новорожденных. Врожденная пневмония. Синдром дыхательных расстройств | комбинированное лечение | противосудорожная терапия с учетом характера электроэнцефалограммы и анализа записи видеомониторинга | 290737,00 | 0,22 | 297453,00 | ||||||||||||||||||||||||||
| 
 | 
 | 
 | 
 | 
 | традиционная пациент-триггерная искусственная вентиляция легких с контролем дыхательного объема | 290737,00 | 0,22 | 297453,00 | ||||||||||||||||||||||||||
| 
 | 
 | 
 | 
 | 
 | высокочастотная осцилляторная искусственная вентиляция легких | 290737,00 | 0,22 | 297453,00 | ||||||||||||||||||||||||||
| 
 | 
 | 
 | 
 | 
 | профилактика и лечение синдрома диссеминированного внутрисосудистого свертывания и других нарушений свертывающей системы крови под контролем тромбоэластограммы и коагулограммы | 290737,00 | 0,22 | 297453,00 | ||||||||||||||||||||||||||
| 
 | 
 | 
 | 
 | 
 | постановка наружного вентрикулярного дренажа | 290737,00 | 0,22 | 297453,00 | ||||||||||||||||||||||||||
| 17. | Выхаживание новорожденных с массой тела до 1000 г, включая детей с экстремально низкой массой тела при рождении, с созданием оптимальных контролируемых параметров поддержки витальных функций и щадяще-развивающих условий внешней среды под контролем динамического инструментального мониторинга основных параметров газообмена, гемодинамики, а также лучевых, биохимических, иммунологических и молекулярно-генетических исследований | P07.0; P07.1; P07.2 | другие случаи малой массы тела при рождении. Другие случаи недоношенности. Крайняя незрелость. "Маловесный" для гестационного возраста плод. Малый размер плода для гестационного возраста. Крайне малая масса тела при рождении | комбинированное лечение | инфузионная, кардиотоническая вазотропная и респираторная терапия на основании динамического инструментального мониторинга основных параметров газообмена, в том числе с возможным выполнением дополнительных исследований (доплерографического определения кровотока в магистральных артериях, а также лучевых (магнитно-резонансной томографии), иммунологических и молекулярно-генетических исследований) | 590590,00 | 0,31 | 609813,70 | ||||||||||||||||||||||||||
| 
 | 
 | 
 | 
 | 
 | терапия открытого артериального протока ингибиторами циклооксигеназы под контролем динамической доплерометрической оценки центрального и регионального кровотока | 590590,00 | 0,31 | 609813,70 | ||||||||||||||||||||||||||
| 
 | 
 | 
 | 
 | 
 | неинвазивная принудительная вентиляция легких | 590590,00 | 0,31 | 609813,70 | ||||||||||||||||||||||||||
| 
 | 
 | 
 | 
 | 
 | профилактика и лечение синдрома диссеминированного внутрисосудистого свертывания и других нарушений свертывающей системы крови под контролем тромбоэластограммы и коагулограммы | 590590,00 | 0,31 | 609813,70 | ||||||||||||||||||||||||||
| 
 | 
 | 
 | 
 | 
 | хирургическая коррекция (лигирование, клипирование) открытого артериального протока | 590590,00 | 0,31 | 609813,70 | ||||||||||||||||||||||||||
| 
 | 
 | 
 | 
 | 
 | индивидуальная противосудорожная терапия с учетом характера электроэнцефалограммы и анализа записи видеомониторинга | 590590,00 | 0,31 | 609813,70 | ||||||||||||||||||||||||||
| 
 | 
 | 
 | 
 | 
 | крио- или лазерокоагуляция сетчатки | 590590,00 | 0,31 | 609813,70 | ||||||||||||||||||||||||||
| 
 | 
 | 
 | 
 | 
 | лечение с использованием метода сухой иммерсии | 590590,00 | 0,31 | 609813,70 | ||||||||||||||||||||||||||
| Онкология | ||||||||||||||||||||||||||||||||||
| 18. | Видеоэндоскопические внутриполостные и видеоэндоскопические внутрипросветные хирургические вмешательства, интервенционные радиологические вмешательства, малоинвазивные органосохраняющие вмешательства при злокачественных новообразованиях, в том числе у детей | C00, C01, C02, C04 - C06, C09.0, C09.1, C09.8, C09.9, C10.0, C10.1, C10.2, C10.3, C10.4, C11.0, C11.1, C11.2, C11.3, C11.8, C11.9, C12, C13.0, C13.1, C13.2, C13.8, C13.9, C14.0, C14.2, C15.0, C30.0, C31.0, C31.1, C31.2, C31.3, C31.8, C31.9, C32, C43, C44, C69, C73, C15, C16, C17, C18, C19, C20, C21 | злокачественные новообразования головы и шеи (I - III стадия) | хирургическое лечение | гемитиреоидэктомия видеоассистированная | 220860,00 | 0,27 | 227121,40 | ||||||||||||||||||||||||||
| 
 | 
 | 
 | 
 | 
 | гемитиреоидэктомия видеоэндоскопическая | 220860,00 | 0,27 | 227121,40 | ||||||||||||||||||||||||||
| 
 | 
 | 
 | 
 | 
 | резекция щитовидной железы субтотальная видеоэндоскопическая | 220860,00 | 0,27 | 227121,40 | ||||||||||||||||||||||||||
| 
 | 
 | 
 | 
 | 
 | резекция щитовидной железы (доли, субтотальная) видеоассистированная | 220860,00 | 0,27 | 227121,40 | ||||||||||||||||||||||||||
| 
 | 
 | 
 | 
 | 
 | гемитиреоидэктомия с истмусэктомией видеоассистированная | 220860,00 | 0,27 | 227121,40 | ||||||||||||||||||||||||||
| 
 | 
 | 
 | 
 | 
 | резекция щитовидной железы с флюоресцентной навигацией паращитовидных желез видеоассистированная | 220860,00 | 0,27 | 227121,40 | ||||||||||||||||||||||||||
| 
 | 
 | 
 | 
 | 
 | биопсия сторожевого лимфатического узла шеи видеоассистированная | 220860,00 | 0,27 | 227121,40 | ||||||||||||||||||||||||||
| 
 | 
 | 
 | 
 | 
 | эндоларингеальная резекция видеоэндоскопическая с радиочастотной термоаблацией | 220860,00 | 0,27 | 227121,40 | ||||||||||||||||||||||||||
| 
 | 
 | 
 | 
 | 
 | видеоассистированные операции при опухолях головы и шеи | 220860,00 | 0,27 | 227121,40 | ||||||||||||||||||||||||||
| 
 | 
 | 
 | 
 | 
 | радиочастотная абляция, криодеструкция, лазерная абляция, фотодинамическая терапия опухолей головы и шеи под ультразвуковой навигацией и (или) под контролем компьютерной томографии | 220860,00 | 0,27 | 227121,40 | ||||||||||||||||||||||||||
| 
 | 
 | 
 | 
 | 
 | тиреоидэктомия видеоэндоскопическая | 220860,00 | 0,27 | 227121,40 | ||||||||||||||||||||||||||
| 
 | 
 | 
 | 
 | 
 | тиреоидэктомия видеоассистированная | 220860,00 | 0,27 | 227121,40 | ||||||||||||||||||||||||||
| 
 | 
 | 
 | 
 | 
 | удаление новообразования полости носа с использованием видеоэндоскопических технологий | 220860,00 | 0,27 | 227121,40 | ||||||||||||||||||||||||||
| 
 | 
 | 
 | 
 | 
 | резекция верхней челюсти видеоассистированная | 220860,00 | 0,27 | 227121,40 | ||||||||||||||||||||||||||
| 
 | 
 | C09, C10, C11, C12, C13, C14, C15, C30, C32 | злокачественные новообразования полости носа, глотки, гортани у функционально неоперабельных больных | хирургическое лечение | эндоскопическая лазерная реканализация и устранение дыхательной недостаточности при стенозирующей опухоли гортани | 220860,00 | 0,27 | 227121,40 | ||||||||||||||||||||||||||
| 
 | 
 | C22, C78.7, C24.0 | первичные и метастатические злокачественные новообразования печени | хирургическое или терапевтическое лечение | лапароскопическая радиочастотная термоаблация при злокачественных новообразованиях печени | 220860,00 | 0,27 | 227121,40 | ||||||||||||||||||||||||||
| 
 | 
 | 
 | 
 | 
 | внутриартериальная эмболизация (химиоэмболизация) опухолей | 220860,00 | 0,27 | 227121,40 | ||||||||||||||||||||||||||
| 
 | 
 | 
 | 
 | 
 | чрескожная радиочастотная термоаблация опухолей печени под ультразвуковой навигацией и (или) под контролем компьютерной навигации | 220860,00 | 0,27 | 227121,40 | ||||||||||||||||||||||||||
| 
 | 
 | 
 | 
 | 
 | видеоэндоскопическая сегментэктомия, атипичная резекция печени | 220860,00 | 0,27 | 227121,40 | ||||||||||||||||||||||||||
| 
 | 
 | 
 | злокачественные новообразования общего желчного протока | хирургическое лечение | эндоскопическая фотодинамическая терапия опухоли общего желчного протока | 220860,00 | 0,27 | 227121,40 | ||||||||||||||||||||||||||
| 
 | 
 | 
 | 
 | 
 | внутрипротоковая фотодинамическая терапия под рентгеноскопическим контролем | 220860,00 | 0,27 | 227121,40 | ||||||||||||||||||||||||||
| 
 | 
 | 
 | злокачественные новообразования общего желчного протока в пределах слизистого слоя T1 | хирургическое лечение | эндоскопическая фотодинамическая терапия опухоли общего желчного протока | 220860,00 | 0,27 | 227121,40 | ||||||||||||||||||||||||||
| 
 | 
 | C23 | локализованные и местнораспространенные формы злокачественных новообразований желчного пузыря | хирургическое лечение | лапароскопическая холецистэктомия с резекцией IV сегмента печени | 220860,00 | 0,27 | 227121,40 | ||||||||||||||||||||||||||
| 
 | 
 | 
 | 
 | 
 | внутрипротоковая фотодинамическая терапия под рентгеноскопическим контролем | 220860,00 | 0,27 | 227121,40 | ||||||||||||||||||||||||||
| 
 | 
 | C24 | нерезектабельные опухоли внепеченочных желчных протоков | хирургическое лечение | внутрипротоковая фотодинамическая терапия под рентгеноскопическим контролем | 220860,00 | 0,27 | 227121,40 | ||||||||||||||||||||||||||
| 
 | 
 | C25 | нерезектабельные опухоли поджелудочной железы. Злокачественные новообразования поджелудочной железы с обтурацией вирсунгова протока | хирургическое лечение | эндоскопическая фотодинамическая терапия опухоли вирсунгова протока | 220860,00 | 0,27 | 227121,40 | ||||||||||||||||||||||||||
| 
 | 
 | 
 | 
 | 
 | эндоскопическое стентирование вирсунгова протока при опухолевом стенозе под видеоэндоскопическим контролем | 220860,00 | 0,27 | 227121,40 | ||||||||||||||||||||||||||
| 
 | 
 | 
 | 
 | 
 | химиоэмболизация головки поджелудочной железы | 220860,00 | 0,27 | 227121,40 | ||||||||||||||||||||||||||
| 
 | 
 | 
 | 
 | 
 | радиочастотная абляция опухолей поджелудочной железы | 220860,00 | 0,27 | 227121,40 | ||||||||||||||||||||||||||
| 
 | 
 | 
 | 
 | 
 | радиочастотная абляция опухолей поджелудочной железы видеоэндоскопическая | 220860,00 | 0,27 | 227121,40 | ||||||||||||||||||||||||||
| 
 | 
 | C34, C33 | немелкоклеточный ранний центральный рак легкого (Tis-T1NoMo) | хирургическое лечение | эндопротезирование бронхов | 220860,00 | 0,27 | 227121,40 | ||||||||||||||||||||||||||
| 
 | 
 | C34, C33 | стенозирующий рак трахеи. Стенозирующий центральный рак легкого (T3-4NxMx) | хирургическое лечение | эндопротезирование трахеи | 220860,00 | 0,27 | 227121,40 | ||||||||||||||||||||||||||
| 
 | 
 | 
 | злокачественные новообразования легкого (периферический рак) | хирургическое лечение | радиочастотная аблация опухоли легкого под ультразвуковой навигацией и (или) под контролем компьютерной томографии | 220860,00 | 0,27 | 227121,40 | ||||||||||||||||||||||||||
| 
 | 
 | C37, C38.3, C38.2, C38.1 | опухоль вилочковой железы (I - II стадия). Опухоль переднего, заднего средостения (начальные формы). Метастатическое поражение средостения | хирургическое лечение | радиочастотная термоаблация опухоли под ультразвуковой навигацией и (или) контролем компьютерной томографии | 220860,00 | 0,27 | 227121,40 | ||||||||||||||||||||||||||
| 
 | 
 | 
 | 
 | 
 | видеоассистированное удаление опухоли средостения | 220860,00 | 0,27 | 227121,40 | ||||||||||||||||||||||||||
| 
 | 
 | 
 | 
 | 
 | видеоэндоскопическое удаление опухоли средостения с медиастинальной лимфаденэктомией | 220860,00 | 0,27 | 227121,40 | ||||||||||||||||||||||||||
| 
 | 
 | 
 | 
 | 
 | видеоэндоскопическое удаление опухоли средостения | 220860,00 | 0,27 | 227121,40 | ||||||||||||||||||||||||||
| 
 | 
 | C49.3 | опухоли мягких тканей грудной стенки | хирургическое лечение | селективная (суперселективная) эмболизация (химиоэмболизация) опухолевых сосудов при местнораспространенных формах первичных и рецидивных неорганных опухолей | 220860,00 | 0,27 | 227121,40 | ||||||||||||||||||||||||||
| 
 | 
 | C50.2, C50.9, C50.3 | злокачественные новообразования молочной железы IIa, IIb, IIIa стадии | хирургическое лечение | видеоассистированная парастернальная лимфаденэктомия | 220860,00 | 0,27 | 227121,40 | ||||||||||||||||||||||||||
| 
 | 
 | C54 | злокачественные новообразования эндометрия in situ - III стадии | хирургическое лечение | экстирпация матки с маточными трубами видеоэндоскопическая | 220860,00 | 0,27 | 227121,40 | ||||||||||||||||||||||||||
| 
 | 
 | 
 | 
 | 
 | видеоэндоскопическая экстирпация матки с придатками и тазовой лимфаденэктомией | 220860,00 | 0,27 | 227121,40 | ||||||||||||||||||||||||||
| 
 | 
 | C56 | злокачественные новообразования яичников I стадии | хирургическое лечение | лапароскопическая аднексэктомия или резекция яичников, субтотальная резекция большого сальника | 220860,00 | 0,27 | 227121,40 | ||||||||||||||||||||||||||
| 
 | 
 | 
 | 
 | 
 | лапароскопическая аднексэктомия односторонняя с резекцией контрлатерального яичника и субтотальная резекция большого сальника | 220860,00 | 0,27 | 227121,40 | ||||||||||||||||||||||||||
| 
 | 
 | 
 | 
 | 
 | лапароскопическая экстирпация матки с придатками, субтотальная резекция большого сальника | 220860,00 | 0,27 | 227121,40 | ||||||||||||||||||||||||||
| 
 | 
 | C61 | локализованные злокачественные новообразования предстательной железы I стадии (T1a-T2cNxMo) | хирургическое лечение | лапароскопическая простатэктомия | 220860,00 | 0,27 | 227121,40 | ||||||||||||||||||||||||||
| 
 | 
 | 
 | локализованные и местнораспространенные злокачественные новообразования предстательной железы (II - III стадия) | хирургическое лечение | селективная и суперселективная эмболизация (химиоэмболизация) ветвей внутренней подвздошной артерии | 220860,00 | 0,27 | 227121,40 | ||||||||||||||||||||||||||
| 
 | 
 | C62 | злокачественные новообразования яичка (TxN1-2MoS1-3) | хирургическое лечение | лапароскопическая забрюшинная лимфаденэктомия | 220860,00 | 0,27 | 227121,40 | ||||||||||||||||||||||||||
| 
 | 
 | C64 | злокачественные новообразования почки (I - III стадия), нефробластома | хирургическое лечение | радиочастотная аблация опухоли почки под ультразвуковой навигацией и (или) под контролем компьютерной томографии | 220860,00 | 0,27 | 227121,40 | ||||||||||||||||||||||||||
| 
 | 
 | 
 | 
 | 
 | селективная и суперселективная эмболизация (химиоэмболизация) почечных сосудов | 220860,00 | 0,27 | 227121,40 | ||||||||||||||||||||||||||
| 
 | 
 | C67 | злокачественные новообразования мочевого пузыря I - IV стадия (T1-T2bNxMo) при массивном кровотечении | хирургическое лечение | селективная и суперселективная эмболизация (химиоэмболизация) ветвей внутренней подвздошной артерии | 220860,00 | 0,27 | 227121,40 | ||||||||||||||||||||||||||
| 
 | Реконструктивно-пластические, микрохирургические, обширные циторедуктивные, расширенно-комбинированные хирургические вмешательства, в том числе с применением физических факторов (гипертермия, радиочастотная термоаблация, лазерная и криодеструкция и др.) при злокачественных новообразованиях, в том числе у детей | C00.0, C00.1, C00.2, C00.3, C00.4, C00.5, C00.6, C00.8, C00.9, C01, C02, C03.1, C03.9, C04.0, C04.1, C04.8, C04.9, C05, C06.0, C06.1, C06.2, C06.9, C07, C08.0, C08.1, C08.8, C08.9, C09.0, C09.8, C09.9, C10.0, C10.1, C10.2, C10.4, C10.8, C10.9, C11.0, C11.1, C11.2, C11.3, C11.8, C11.9, C13.0, C13.1, C13.2, C13.8, C13.9, C14.0, C12, C14.8, C15.0, C30.0, C30.1, C31.0, C31.1, C31.2, C31.3, C31.8, C31.9, C32.0, C32.1, C32.2, C32.3, C32.8, C32.9, C33, C43, C44, C49.0, C69, C73 | опухоли головы и шеи, первичные и рецидивные, метастатические опухоли центральной нервной системы | хирургическое лечение | энуклеация глазного яблока с одномоментной пластикой опорно-двигательной культи | 220860,00 | 0,27 | 227121,40 | ||||||||||||||||||||||||||
| 
 | 
 | 
 | 
 | 
 | энуклеация глазного яблока с формированием опорно-двигательной культи имплантатом | 220860,00 | 0,27 | 227121,40 | ||||||||||||||||||||||||||
| 
 | 
 | 
 | 
 | 
 | лимфаденэктомия шейная расширенная с реконструктивно-пластическим компонентом: реконструкция мягких тканей местными лоскутами | 220860,00 | 0,27 | 227121,40 | ||||||||||||||||||||||||||
| 
 | 
 | 
 | 
 | 
 | лимфаденэктомия шейная расширенная с реконструктивно-пластическим компонентом | 220860,00 | 0,27 | 227121,40 | ||||||||||||||||||||||||||
| 
 | 
 | 
 | 
 | 
 | гемиглоссэктомия с реконструктивно-пластическим компонентом | 220860,00 | 0,27 | 227121,40 | ||||||||||||||||||||||||||
| 
 | 
 | 
 | 
 | 
 | резекция околоушной слюнной железы с реконструктивно-пластическим компонентом | 220860,00 | 0,27 | 227121,40 | ||||||||||||||||||||||||||
| 
 | 
 | 
 | 
 | 
 | резекция верхней челюсти комбинированная с микрохирургической пластикой | 220860,00 | 0,27 | 227121,40 | ||||||||||||||||||||||||||
| 
 | 
 | 
 | 
 | 
 | резекция губы с микрохирургической пластикой | 220860,00 | 0,27 | 227121,40 | ||||||||||||||||||||||||||
| 
 | 
 | 
 | 
 | 
 | гемиглоссэктомия с микрохирургической пластикой | 220860,00 | 0,27 | 227121,40 | ||||||||||||||||||||||||||
| 
 | 
 | 
 | 
 | 
 | глоссэктомия с микрохирургической пластикой | 220860,00 | 0,27 | 227121,40 | ||||||||||||||||||||||||||
| 
 | 
 | 
 | 
 | 
 | резекция околоушной слюнной железы в плоскости ветвей лицевого нерва с микрохирургическим невролизом | 220860,00 | 0,27 | 227121,40 | ||||||||||||||||||||||||||
| 
 | 
 | 
 | 
 | 
 | гемитиреоидэктомия с микрохирургической пластикой периферического нерва | 220860,00 | 0,27 | 227121,40 | ||||||||||||||||||||||||||
| 
 | 
 | 
 | 
 | 
 | лимфаденэктомия шейная расширенная с реконструктивно-пластическим компонентом (микрохирургическая реконструкция) | 220860,00 | 0,27 | 227121,40 | ||||||||||||||||||||||||||
| 
 | 
 | 
 | 
 | 
 | широкое иссечение опухоли кожи с реконструктивно-пластическим компонентом расширенное (микрохирургическая реконструкция) | 220860,00 | 0,27 | 227121,40 | ||||||||||||||||||||||||||
| 
 | 
 | 
 | 
 | 
 | паротидэктомия радикальная с микрохирургической пластикой | 220860,00 | 0,27 | 227121,40 | ||||||||||||||||||||||||||
| 
 | 
 | 
 | 
 | 
 | широкое иссечение меланомы кожи с реконструктивно-пластическим компонентом расширенное (микрохирургическая реконструкция) | 220860,00 | 0,27 | 227121,40 | ||||||||||||||||||||||||||
| 
 | 
 | 
 | 
 | 
 | тиреоидэктомия расширенная с реконструктивно-пластическим компонентом | 220860,00 | 0,27 | 227121,40 | ||||||||||||||||||||||||||
| 
 | 
 | 
 | 
 | 
 | тиреоидэктомия расширенная комбинированная с реконструктивно-пластическим компонентом | 220860,00 | 0,27 | 227121,40 | ||||||||||||||||||||||||||
| 
 | 
 | 
 | 
 | 
 | резекция щитовидной железы с микрохирургическим невролизом возвратного гортанного нерва | 220860,00 | 0,27 | 227121,40 | ||||||||||||||||||||||||||
| 
 | 
 | 
 | 
 | 
 | тиреоидэктомия с микрохирургическим невролизом возвратного гортанного нерва | 220860,00 | 0,27 | 227121,40 | ||||||||||||||||||||||||||
| 
 | 
 | C15 | начальные, локализованные и местнораспространенные формы злокачественных новообразований пищевода | хирургическое лечение | резекция пищеводно-желудочного (пищеводно-кишечного) анастомоза трансторакальная | 220860,00 | 0,27 | 227121,40 | ||||||||||||||||||||||||||
| 
 | 
 | 
 | 
 | 
 | одномоментная эзофагэктомия (субтотальная резекция пищевода) с лимфаденэктомией 2S, 2F, 3F и пластикой пищевода | 220860,00 | 0,27 | 227121,40 | ||||||||||||||||||||||||||
| 
 | 
 | 
 | 
 | 
 | удаление экстраорганного рецидива злокачественного новообразования пищевода комбинированное | 220860,00 | 0,27 | 227121,40 | ||||||||||||||||||||||||||
| 
 | 
 | C16 | пациенты со злокачественными новообразованиями желудка, подвергшиеся хирургическому лечению с различными пострезекционными состояниями (синдром приводящей петли, синдром отводящей петли, демпинг-синдром, рубцовые деформации анастомозов), злокачественные новообразования желудка (I - IV стадия) | хирургическое лечение | реконструкция пищеводно-кишечного анастомоза при рубцовых деформациях, не подлежащих эндоскопическому лечению | 220860,00 | 0,27 | 227121,40 | ||||||||||||||||||||||||||
| 
 | 
 | 
 | 
 | 
 | реконструкция пищеводно-желудочного анастомоза при тяжелых рефлюкс-эзофагитах | 220860,00 | 0,27 | 227121,40 | ||||||||||||||||||||||||||
| 
 | 
 | 
 | 
 | 
 | резекция культи желудка с реконструкцией желудочно-кишечного или межкишечного анастомоза при болезнях оперированного желудка | 220860,00 | 0,27 | 227121,40 | ||||||||||||||||||||||||||
| 
 | 
 | 
 | 
 | 
 | расширенно-комбинированная экстирпация оперированного желудка | 220860,00 | 0,27 | 227121,40 | ||||||||||||||||||||||||||
| 
 | 
 | 
 | 
 | 
 | расширенно-комбинированная резекция оперированного желудка | 220860,00 | 0,27 | 227121,40 | ||||||||||||||||||||||||||
| 
 | 
 | 
 | 
 | 
 | резекция пищеводно-кишечного или пищеводно-желудочного анастомоза комбинированная | 220860,00 | 0,27 | 227121,40 | ||||||||||||||||||||||||||
| 
 | 
 | 
 | 
 | 
 | удаление экстраорганного рецидива злокачественных новообразований желудка комбинированное | 220860,00 | 0,27 | 227121,40 | ||||||||||||||||||||||||||
| 
 | 
 | C17 | местнораспространенные и диссеминированные формы злокачественных новообразований двенадцатиперстной и тонкой кишки | хирургическое лечение | панкреатодуоденальная резекция, в том числе расширенная или комбинированная | 220860,00 | 0,27 | 227121,40 | ||||||||||||||||||||||||||
| 
 | 
 | C18, C19, C20, C08, C48.1 | состояние после обструктивных резекций по поводу опухолей толстой кишки. Опухоли ободочной, сигмовидной, прямой кишки и ректосигмоидного соединения с перитонеальной диссеминацией, включая псевдомиксому брюшины | хирургическое лечение | реконструкция толстой кишки с формированием межкишечных анастомозов | 220860,00 | 0,27 | 227121,40 | ||||||||||||||||||||||||||
| 
 | 
 | 
 | 
 | 
 | правосторонняя гемиколэктомия с расширенной лимфаденэктомией, субтотальной париетальной перитонэктомией, экстирпацией большого сальника, с включением гипертермической внутрибрюшной химиотерапии | 220860,00 | 0,27 | 227121,40 | ||||||||||||||||||||||||||
| 
 | 
 | 
 | 
 | 
 | левосторонняя гемиколэктомия с расширенной лимфаденэктомией, субтотальной париетальной перитонэктомией, экстирпацией большого сальника, с включением гипертермической внутрибрюшной химиотерапии | 220860,00 | 0,27 | 227121,40 | ||||||||||||||||||||||||||
| 
 | 
 | 
 | 
 | 
 | резекция сигмовидной кишки с расширенной лимфаденэктомией, субтотальной париетальной перитонэктомией, экстирпацией большого сальника, с включением гипертермической внутрибрюшной химиотерапии | 220860,00 | 0,27 | 227121,40 | ||||||||||||||||||||||||||
| 
 | 
 | 
 | 
 | 
 | резекция прямой кишки с расширенной лимфаденэктомией, субтотальной перитонэктомией, экстирпацией большого сальника и гипертермической внутрибрюшной химиотерапией | 220860,00 | 0,27 | 227121,40 | ||||||||||||||||||||||||||
| 
 | 
 | 
 | местнораспространенные и метастатические формы первичных и рецидивных злокачественных новообразований ободочной, сигмовидной, прямой кишки и ректосигмоидного соединения (II - IV стадия) | хирургическое лечение | правосторонняя гемиколэктомия с расширенной лимфаденэктомией | 220860,00 | 0,27 | 227121,40 | ||||||||||||||||||||||||||
| 
 | 
 | 
 | 
 | 
 | резекция сигмовидной кишки с расширенной лимфаденэктомией | 220860,00 | 0,27 | 227121,40 | ||||||||||||||||||||||||||
| 
 | 
 | 
 | 
 | 
 | правосторонняя гемиколэктомия с резекцией легкого | 220860,00 | 0,27 | 227121,40 | ||||||||||||||||||||||||||
| 
 | 
 | 
 | 
 | 
 | левосторонняя гемиколэктомия с расширенной лимфаденэктомией | 220860,00 | 0,27 | 227121,40 | ||||||||||||||||||||||||||
| 
 | 
 | 
 | 
 | 
 | резекция прямой кишки с резекцией печени | 220860,00 | 0,27 | 227121,40 | ||||||||||||||||||||||||||
| 
 | 
 | 
 | 
 | 
 | резекция прямой кишки с расширенной лимфаденэктомией | 220860,00 | 0,27 | 227121,40 | ||||||||||||||||||||||||||
| 
 | 
 | 
 | 
 | 
 | комбинированная резекция прямой кишки с резекцией соседних органов | 220860,00 | 0,27 | 227121,40 | ||||||||||||||||||||||||||
| 
 | 
 | 
 | 
 | 
 | расширенно-комбинированная брюшно-промежностная экстирпация прямой кишки | 220860,00 | 0,27 | 227121,40 | ||||||||||||||||||||||||||
| 
 | 
 | 
 | 
 | 
 | расширенная, комбинированная брюшно-анальная резекция прямой кишки | 220860,00 | 0,27 | 227121,40 | ||||||||||||||||||||||||||
| 
 | 
 | C22, C23, C24 | местнораспространенные первичные и метастатические опухоли печени | хирургическое лечение | гемигепатэктомия комбинированная | 220860,00 | 0,27 | 227121,40 | ||||||||||||||||||||||||||
| 
 | 
 | 
 | 
 | 
 | резекция печени с реконструктивно-пластическим компонентом | 220860,00 | 0,27 | 227121,40 | ||||||||||||||||||||||||||
| 
 | 
 | 
 | 
 | 
 | резекция печени комбинированная с ангиопластикой | 220860,00 | 0,27 | 227121,40 | ||||||||||||||||||||||||||
| 
 | 
 | 
 | 
 | 
 | анатомические и атипичные резекции печени с применением радиочастотной термоаблации | 220860,00 | 0,27 | 227121,40 | ||||||||||||||||||||||||||
| 
 | 
 | 
 | 
 | 
 | правосторонняя гемигепатэктомия с применением радиочастотной термоаблации | 220860,00 | 0,27 | 227121,40 | ||||||||||||||||||||||||||
| 
 | 
 | 
 | 
 | 
 | левосторонняя гемигепатэктомия с применением радиочастотной термоаблации | 220860,00 | 0,27 | 227121,40 | ||||||||||||||||||||||||||
| 
 | 
 | 
 | 
 | 
 | расширенная правосторонняя гемигепатэктомия с применением радиочастотной термоаблации | 220860,00 | 0,27 | 227121,40 | ||||||||||||||||||||||||||
| 
 | 
 | 
 | 
 | 
 | расширенная левосторонняя гемигепатэктомия с применением радиочастотной термоаблации | 220860,00 | 0,27 | 227121,40 | ||||||||||||||||||||||||||
| 
 | 
 | 
 | 
 | 
 | изолированная гипертермическая хемиоперфузия печени | 220860,00 | 0,27 | 227121,40 | ||||||||||||||||||||||||||
| 
 | 
 | 
 | 
 | 
 | медианная резекция печени с применением радиочастотной термоаблации | 220860,00 | 0,27 | 227121,40 | ||||||||||||||||||||||||||
| 
 | 
 | 
 | 
 | 
 | расширенная правосторонняя гемигепатэктомия | 220860,00 | 0,27 | 227121,40 | ||||||||||||||||||||||||||
| 
 | 
 | 
 | 
 | 
 | расширенная левосторонняя гемигепатэктомия | 220860,00 | 0,27 | 227121,40 | ||||||||||||||||||||||||||
| 
 | 
 | 
 | 
 | 
 | анатомическая резекция печени | 220860,00 | 0,27 | 227121,40 | ||||||||||||||||||||||||||
| 
 | 
 | 
 | 
 | 
 | правосторонняя гемигепатэктомия | 220860,00 | 0,27 | 227121,40 | ||||||||||||||||||||||||||
| 
 | 
 | 
 | 
 | 
 | левосторонняя гемигепатэктомия | 220860,00 | 0,27 | 227121,40 | ||||||||||||||||||||||||||
| 
 | 
 | C25 | резектабельные опухоли поджелудочной железы | хирургическое лечение | расширенно-комбинированная дистальная гемипанкреатэктомия | 220860,00 | 0,27 | 227121,40 | ||||||||||||||||||||||||||
| 
 | 
 | C34 | опухоли легкого (I - III стадия) | хирургическое лечение | комбинированная лобэктомия с клиновидной, циркулярной резекцией соседних бронхов (формирование межбронхиального анастомоза) | 220860,00 | 0,27 | 227121,40 | ||||||||||||||||||||||||||
| 
 | 
 | 
 | 
 | 
 | расширенная, комбинированная лобэктомия, билобэктомия, пневмонэктомия | 220860,00 | 0,27 | 227121,40 | ||||||||||||||||||||||||||
| 
 | 
 | C37, C08.1, C38.2, C38.3, C78.1 | опухоль вилочковой железы III стадии. Опухоль переднего, заднего средостения местнораспространенной формы, метастатическое поражение средостения | хирургическое лечение | удаление опухоли средостения с резекцией соседних органов и структур (легкого, мышечной стенки пищевода, диафрагмы, предсердия, перикарда, грудной стенки, верхней полой вены, адвентиции аорты и др.) | 220860,00 | 0,27 | 227121,40 | ||||||||||||||||||||||||||
| 
 | 
 | C40.0, C40.1, C40.2, C40.3, C40.8, C40.9, C41.2, C41.3, C41.4, C41.8, C41.9, C79.5, C43.5 | первичные злокачественные новообразования костей и суставных хрящей туловища и конечностей Ia-b, IIa-b, IVa-b стадии. Метастатические новообразования костей, суставных хрящей туловища и конечностей | хирургическое лечение | удаление тела позвонка с реконструктивно-пластическим компонентом | 220860,00 | 0,27 | 227121,40 | ||||||||||||||||||||||||||
| 
 | 
 | 
 | 
 | 
 | декомпрессивная ламинэктомия позвонков с фиксацией | 220860,00 | 0,27 | 227121,40 | ||||||||||||||||||||||||||
| 
 | 
 | C43, C44 | злокачественные новообразования кожи | хирургическое лечение | широкое иссечение меланомы с пластикой дефекта свободным кожно-мышечным лоскутом с использованием микрохирургической техники | 220860,00 | 0,27 | 227121,40 | ||||||||||||||||||||||||||
| 
 | 
 | 
 | 
 | 
 | широкое иссечение опухоли кожи с реконструктивно-пластическим компонентом расширенное (микрохирургическая реконструкция) | 220860,00 | 0,27 | 227121,40 | ||||||||||||||||||||||||||
| 
 | 
 | 
 | 
 | 
 | иссечение опухоли кожи с эксцизионной биопсией сигнальных (сторожевых) лимфатических узлов или эксцизионная биопсия сигнальных (сторожевых) лимфатических узлов с реэксцизией послеоперационного рубца | 220860,00 | 0,27 | 227121,40 | ||||||||||||||||||||||||||
| 
 | 
 | C48 | местнораспространенные и диссеминированные формы первичных и рецидивных неорганных опухолей забрюшинного пространства | хирургическое лечение | удаление первичных и рецидивных неорганных забрюшинных опухолей комбинированное | 220860,00 | 0,27 | 227121,40 | ||||||||||||||||||||||||||
| 
 | 
 | C49.1, C49.2, C49.3, C49.5, C49.6, C47.1, C47.2, C47.3, C47.5, C43.5 | первичные злокачественные новообразования мягких тканей туловища и конечностей, злокачественные новообразования периферической нервной системы туловища, нижних и верхних конечностей Ia-b, IIa-b, III, IVa-b стадии | хирургическое лечение | изолированная гипертермическая регионарная химиоперфузия конечностей | 220860,00 | 0,27 | 227121,40 | ||||||||||||||||||||||||||
| 
 | 
 | C50 | злокачественные новообразования молочной железы (0 - IV стадия) | хирургическое лечение | отсроченная реконструкция молочной железы кожно-мышечным лоскутом (кожно-мышечным лоскутом прямой мышцы живота, торакодорзальным лоскутом), в том числе с использованием эндопротеза и микрохирургической техники | 220860,00 | 0,27 | 227121,40 | ||||||||||||||||||||||||||
| 
 | 
 | 
 | 
 | 
 | отсроченная реконструкция молочной железы свободным кожно-мышечным лоскутом, в том числе с применением микрохирургической техники | 220860,00 | 0,27 | 227121,40 | ||||||||||||||||||||||||||
| 
 | 
 | 
 | 
 | 
 | резекция молочной железы с определением "сторожевого" лимфоузла | 220860,00 | 0,27 | 227121,40 | ||||||||||||||||||||||||||
| 
 | 
 | C53 | злокачественные новообразования шейки матки | хирургическое лечение | расширенная экстирпация культи шейки матки | 220860,00 | 0,27 | 227121,40 | ||||||||||||||||||||||||||
| 
 | 
 | C54 | злокачественные новообразования тела матки (местнораспространенные формы). Злокачественные новообразования эндометрия (I - III стадия) с осложненным соматическим статусом (тяжелая степень ожирения, тяжелая степень сахарного диабета и т.д.) | хирургическое лечение | экстирпация матки с тазовой и парааортальной лимфаденэктомией, субтотальной резекцией большого сальника | 220860,00 | 0,27 | 227121,40 | ||||||||||||||||||||||||||
| 
 | 
 | 
 | 
 | 
 | экстирпация матки с тазовой лимфаденэктомией и интраоперационной лучевой терапией | 220860,00 | 0,27 | 227121,40 | ||||||||||||||||||||||||||
| 
 | 
 | C56 | злокачественные новообразования яичников (I - IV стадия). Рецидивы злокачественных новообразований яичников | хирургическое лечение | комбинированные циторедуктивные операции при злокачественных новообразованиях яичников | 220860,00 | 0,27 | 227121,40 | ||||||||||||||||||||||||||
| 
 | 
 | 
 | 
 | 
 | циторедуктивные операции с внутрибрюшной гипертермической химиотерапией | 220860,00 | 0,27 | 227121,40 | ||||||||||||||||||||||||||
| 
 | 
 | C53, C54, C56, C57.8 | рецидивы злокачественного новообразования тела матки, шейки матки и яичников | хирургическое лечение | удаление рецидивных опухолей малого таза | 220860,00 | 0,27 | 227121,40 | ||||||||||||||||||||||||||
| 
 | 
 | C60 | злокачественные новообразования полового члена (I - IV стадия) | хирургическое лечение | ампутация полового члена, двусторонняя подвздошно-пахово-бедренная лимфаденэктомия | 220860,00 | 0,27 | 227121,40 | ||||||||||||||||||||||||||
| 
 | 
 | C61 | локализованные злокачественные новообразования предстательной железы (I - II стадия), T1-2cN0M0 | хирургическое лечение | криодеструкция опухоли предстательной железы | 220860,00 | 0,27 | 227121,40 | ||||||||||||||||||||||||||
| 
 | 
 | C62 | злокачественные новообразования яичка | хирургическое лечение | забрюшинная лимфаденэктомия | 220860,00 | 0,27 | 227121,40 | ||||||||||||||||||||||||||
| 
 | 
 | C64 | злокачественные новообразования почки (III - IV стадия) | хирургическое лечение | нефрэктомия с тромбэктомией | 220860,00 | 0,27 | 227121,40 | ||||||||||||||||||||||||||
| 
 | 
 | 
 | 
 | 
 | радикальная нефрэктомия с расширенной забрюшинной лимфаденэктомией | 220860,00 | 0,27 | 227121,40 | ||||||||||||||||||||||||||
| 
 | 
 | 
 | 
 | 
 | радикальная нефрэктомия с резекцией соседних органов | 220860,00 | 0,27 | 227121,40 | ||||||||||||||||||||||||||
| 
 | 
 | 
 | злокачественные новообразования почки (I - II стадия) | хирургическое лечение | криодеструкция злокачественных новообразований почки | 220860,00 | 0,27 | 227121,40 | ||||||||||||||||||||||||||
| 
 | 
 | 
 | 
 | 
 | резекция почки с применением физических методов воздействия (радиочастотная аблация, интерстициальная лазерная аблация) | 220860,00 | 0,27 | 227121,40 | ||||||||||||||||||||||||||
| 
 | 
 | C67 | злокачественные новообразования мочевого пузыря (I - IV стадия) | хирургическое лечение | цистпростатвезикулэктомия с расширенной лимфаденэктомией | 220860,00 | 0,27 | 227121,40 | ||||||||||||||||||||||||||
| 
 | 
 | C74 | злокачественные новообразования надпочечника I - III стадия (T1a-T3aNxMo) | хирургическое лечение | удаление рецидивной опухоли надпочечника с расширенной лимфаденэктомией | 220860,00 | 0,27 | 227121,40 | ||||||||||||||||||||||||||
| 
 | 
 | 
 | злокачественные новообразования надпочечника (III - IV стадия) | хирургическое лечение | расширенная адреналэктомия или адреналэктомия с резекцией соседних органов | 220860,00 | 0,27 | 227121,40 | ||||||||||||||||||||||||||
| 
 | 
 | C78 | метастатическое поражение легкого | хирургическое лечение | удаление (прецизионное, резекция легкого) множественных метастазов в легких с применением физических факторов | 220860,00 | 0,27 | 227121,40 | ||||||||||||||||||||||||||
| 
 | 
 | 
 | 
 | 
 | изолированная регионарная гипертермическая химиоперфузия легкого | 220860,00 | 0,27 | 227121,40 | ||||||||||||||||||||||||||
| 
 | Комбинированное лечение злокачественных новообразований, сочетающее обширные хирургические вмешательства и противоопухолевое лечение лекарственными препаратами, требующее интенсивной поддерживающей и коррегирующей терапии | C38, C39 | местнораспространенные опухоли органов средостения | комбинированное лечение | предоперационная или послеоперационная химиотерапия с проведением хирургического вмешательства в течение одной госпитализации | 220860,00 | 0,27 | 227121,40 | ||||||||||||||||||||||||||
| 
 | 
 | C50 | первичный рак молочной железы T1N2-3M0, T2-3N1-3M0 | комбинированное лечение | послеоперационная химиотерапия с проведением хирургического вмешательства в течение одной госпитализации | 220860,00 | 0,27 | 227121,40 | ||||||||||||||||||||||||||
| 
 | 
 | 
 | 
 | 
 | предоперационная или послеоперационная химиотерапия с проведением хирургического вмешательства в течение одной госпитализации | 220860,00 | 0,27 | 227121,40 | ||||||||||||||||||||||||||
| 19. | Высокоинтенсивная фокусированная ультразвуковая терапия (HIFU) при злокачественных новообразованиях, в том числе у детей | C22 | злокачественные новообразования печени II - IV стадия (T3-4N0-1M0-1). Пациенты с множественными опухолями печени. Пациенты с нерезектабельными опухолями. Функционально неоперабельные пациенты | терапевтическое лечение | высокоинтенсивная фокусированная ультразвуковая терапия (HIFU) | 116510,00 | 0,55 | 123238,50 | ||||||||||||||||||||||||||
| 
 | 
 | C25 | злокачественные новообразования поджелудочной железы II - IV стадия (T3-4N0-1M0-1). Пациенты с нерезектабельными и условно резектабельными опухолями. Пациенты с генерализованными опухолями (в плане паллиативного лечения). Функционально неоперабельные пациенты | терапевтическое лечение | высокоинтенсивная фокусированная ультразвуковая терапия (HIFU) при злокачественных новообразованиях поджелудочной железы | 116510,00 | 0,55 | 123238,50 | ||||||||||||||||||||||||||
| 
 | 
 | C40, C41 | метастатическое поражение костей | терапевтическое лечение | высокоинтенсивная фокусированная ультразвуковая терапия (HIFU) при злокачественных новообразованиях костей | 116510,00 | 0,55 | 123238,50 | ||||||||||||||||||||||||||
| 
 | 
 | C48, C49 | злокачественные новообразования забрюшинного пространства I - IV стадия (G1-3T1-2N0-1M0-1). Пациенты с множественными опухолями. Функционально неоперабельные пациенты | терапевтическое лечение | высокоинтенсивная фокусированная ультразвуковая терапия (HIFU) при злокачественных новообразованиях забрюшинного пространства | 116510,00 | 0,55 | 123238,50 | ||||||||||||||||||||||||||
| 
 | 
 | C50, C67, C74, C73 | злокачественные новообразования молочной железы (T2-3N0-3M0-1). Пациенты с генерализованными опухолями при невозможности применения традиционных методов лечения. Функционально неоперабельные пациенты | терапевтическое лечение | высокоинтенсивная фокусированная ультразвуковая терапия (HIFU) при злокачественных новообразованиях молочной железы | 116510,00 | 0,55 | 123238,50 | ||||||||||||||||||||||||||
| 
 | 
 | C61 | локализованные злокачественные новообразования предстательной железы I - II стадия (T1-2cN0M0) | терапевтическое лечение | высокоинтенсивная фокусированная ультразвуковая терапия (HIFU) при злокачественных новообразованиях простаты | 116510,00 | 0,55 | 123238,50 | ||||||||||||||||||||||||||
| 20. | Комплексная и высокодозная химиотерапия (включая эпигеномную терапию) острых лейкозов, высокозлокачественных лимфом, рецидивов и рефрактерных форм лимфопролиферативных и миелопролиферативных заболеваний у детей. Комплексная, высокоинтенсивная и высокодозная химиотерапия (включая таргетную терапию) солидных опухолей, рецидивов и рефрактерных форм солидных опухолей у детей | C81 - C90, C91.0, C91.5 - C91.9, C92, C93, C94.0, C94.2 - C94.7, C95, C96.9, C00 - C14, C15 - C21, C22, C23 - C26, C30 - C32, C34, C37, C38, C39, C40, C41, C45, C46, C47, C48, C49, C51 - C58, C60, C61, C62, C63, C64, C65, C66, C67, C68, C69, C71, C72, C73, C74, C75, C76, C77, C78, C79 | острые лейкозы, высокозлокачественные лимфомы, рецидивы и резистентные формы других лимфопролиферативных заболеваний, хронический миелолейкоз в фазах акселерации и бластного криза. Солидные опухоли у детей высокого риска: опухоли центральной нервной системы, ретинобластома, нейробластома и другие опухоли периферической нервной системы, опухоли почки, опухоли печени, опухоли костей, саркомы мягких тканей, герминогенные опухоли. Рак носоглотки. Меланома. Другие злокачественные эпителиальные опухоли. Опухоли головы и шеи у детей (остеосаркома, опухоли семейства саркомы Юинга, хондросаркома, злокачественная фиброзная гистиоцитома, саркомы мягких тканей, ретинобластома, опухоли параменингеальной области). Высокий риск | терапевтическое лечение | комплексная терапия таргетными лекарственными препаратами и химиопрепаратами с поддержкой ростовыми факторами и использованием антибактериальной, противогрибковой и противовирусной терапии | 157802,00 | 0,37 | 163932,60 | ||||||||||||||||||||||||||
| 21. | Комплексная и высокодозная химиотерапия острых лейкозов, лимфопролиферативных и миелопролиферативных заболеваний у взрослых миелодиспластического синдрома, AL-амилоидоза у взрослых | C81 - C96, D45 - D47, E85.8 | острые и хронические лейкозы, лимфомы (кроме высокозлокачественных лимфом, хронического миелолейкоза в фазе бластного криза и фазе акселерации), миелодиспластический синдром, хронические миелопролиферативные заболевания, множественная миелома, AL-амилоидоз | терапевтическое лечение | высокодозная химиотерапия, применение таргетных лекарственных препаратов с поддержкой ростовыми факторами, использованием компонентов крови, антибактериальных, противогрибковых, противовирусных лекарственных препаратов и методов афферентной терапии | 449414,00 | 0,23 | 460267,30 | ||||||||||||||||||||||||||
| 
 | 
 | 
 | 
 | 
 | комплексное лечение с использованием таргетных лекарственных препаратов, биопрепаратов, высокодозная химиотерапия с применением факторов роста, поддержкой стволовыми клетками | 449414,00 | 0,23 | 460267,30 | ||||||||||||||||||||||||||
| 22. | Дистанционная лучевая терапия в радиотерапевтических отделениях при злокачественных новообразованиях | C00 - C14, C15 - C17, C18 - C22, C23 - C25, C30, C31, C32, C33, C34, C37, C39, C40, C41, C44, C48, C49, C50, C51, C55, C60, C61, C64, C67, C68, C73, C74, C77 | злокачественные новообразования головы и шеи, трахеи, бронхов, легкого, плевры, средостения, щитовидной железы, молочной железы, пищевода, желудка, тонкой кишки, ободочной кишки, желчного пузыря, поджелудочной железы, толстой и прямой кишки, анального канала, печени, мочевого пузыря, надпочечников, почки, полового члена, предстательной железы, костей и суставных хрящей, кожи, мягких тканей (T1-4N любая M0), локализованные и местнораспространенные формы. Вторичное поражение лимфоузлов | терапевтическое лечение | конформная дистанционная лучевая терапия, в том числе IMRT, IGRT, VMAT, стереотаксическая (1 - 39 Гр). Радиомодификация. Компьютерно-томографическая и (или) магнитно-резонансная топометрия. 3D - 4D планирование. Фиксирующие устройства. Объемная визуализация мишени. Синхронизация дыхания | 83834,00 | 0,38 | 87179,00 | ||||||||||||||||||||||||||
| 
 | 
 | C51, C52, C53, C54, C55 | интраэпителиальные, микроинвазивные и инвазивные злокачественные новообразования вульвы, влагалища, шейки и тела матки (T0-4N0-1M0-1), в том числе с метастазированием в параортальные или паховые лимфоузлы | терапевтическое лечение | конформная дистанционная лучевая терапия, в том числе IMRT, IGRT, VMAT (1 - 39 Гр). Радиомодификация. Компьютерно-томографическая и (или) магнитно-резонансная топометрия. 3D - 4D планирование. Фиксирующие устройства. Объемная визуализация мишени | 83834,00 | 0,38 | 87179,00 | ||||||||||||||||||||||||||
| 
 | 
 | C56 | злокачественные новообразования яичников. Локальный рецидив, поражение лимфатических узлов после неоднократных курсов полихимиотерапии и невозможности выполнить хирургическое вмешательство | терапевтическое лечение | конформная дистанционная лучевая терапия, в том числе IMRT, IGRT, VMAT (1 - 39 Гр). Радиомодификация. Компьютерно-томографическая и (или) магнитно-резонансная топометрия. 3D - 4D планирование. Фиксирующие устройства. Объемная визуализация мишени | 83834,00 | 0,38 | 87179,00 | ||||||||||||||||||||||||||
| 
 | 
 | C57 | злокачественные новообразования маточных труб. Локальный рецидив после неоднократных курсов полихимиотерапии и невозможности выполнить хирургическое вмешательство | терапевтическое лечение | конформная дистанционная лучевая терапия, в том числе IMRT, IGRT, VMAT (1 - 39 Гр). Радиомодификация. Компьютерно-томографическая и (или) магнитно-резонансная топометрия. 3D - 4D планирование. Фиксирующие устройства. Объемная визуализация мишени | 83834,00 | 0,38 | 87179,00 | ||||||||||||||||||||||||||
| 
 | 
 | C70, C71, C72, C75.1, C75.3, C79.3, C79.4 | Первичные и вторичные злокачественные новообразования оболочек головного мозга, спинного мозга, головного мозга | терапевтическое лечение | конформная дистанционная лучевая терапия, в том числе IMRT, IGRT, VMAT (1 - 39 Гр). Радиомодификация. Компьютерно-томографическая и (или) магнитно-резонансная топометрия. 3D - 4D планирование. Фиксирующие устройства. Объемная визуализация мишени | 83834,00 | 0,38 | 87179,00 | ||||||||||||||||||||||||||
| 
 | 
 | C81, C82, C83, C84, C85 | злокачественные новообразования лимфоидной ткани | терапевтическое лечение | конформная дистанционная лучевая терапия, в том числе IMRT, IGRT, VMAT, стереотаксическая (1 - 39 Гр). Радиомодификация. Компьютерно-томографическая и (или) магнитно-резонансная топометрия. 3D - 4D планирование. Фиксирующие устройства. Объемная визуализация мишени. Синхронизация дыхания | 83834,00 | 0,38 | 87179,00 | ||||||||||||||||||||||||||
| 23. | Дистанционная лучевая терапия в радиотерапевтических отделениях при злокачественных новообразованиях | C00 - C14, C15 - C17, C18 - C22, C23 - C25, C30, C31, C32, C33, C34, C37, C39, C40, C41, C44, C48, C49, C50, C51, C55, C60, C61, C64, C67, C68, C73, C74, C77 | злокачественные новообразования головы и шеи, трахеи, бронхов, легкого, плевры, средостения, щитовидной железы, молочной железы, пищевода, желудка, тонкой кишки, ободочной кишки, желчного пузыря, поджелудочной железы, толстой и прямой кишки, анального канала, печени, мочевого пузыря, надпочечников, почки, полового члена, предстательной железы, костей и суставных хрящей, кожи, мягких тканей (T1-4N любая M0), локализованные и местнораспространенные формы. Вторичное поражение лимфоузлов | терапевтическое лечение | конформная дистанционная лучевая терапия, в том числе IMRT, IGRT, VMAT, стереотаксическая (40 - 69 Гр). Радиомодификация. Компьютерно-томографическая и (или) магнитно-резонансная топометрия. 3D - 4D планирование. Фиксирующие устройства. Объемная визуализация мишени. Синхронизация дыхания | 189795,00 | 0,36 | 196969,30 | ||||||||||||||||||||||||||
| 
 | 
 | C51, C52, C53, C54, C55 | интраэпителиальные, микроинвазивные и инвазивные злокачественные новообразования вульвы, влагалища, шейки и тела матки (T0-4N0-1M0-1), в том числе с метастазированием в параортальные или паховые лимфоузлы | терапевтическое лечение | конформная дистанционная лучевая терапия, в том числе IMRT, IGRT, VMAT, стереотаксическая (40 - 69 Гр). Радиомодификация. Компьютерно-томографическая и (или) магнитно-резонансная топометрия. 3D - 4D планирование. Фиксирующие устройства. Объемная визуализация мишени | 189795,00 | 0,36 | 196969,30 | ||||||||||||||||||||||||||
| 
 | 
 | C56 | злокачественные новообразования яичников. Локальный рецидив, поражение лимфатических узлов после неоднократных курсов полихимиотерапии и невозможности выполнить хирургическое вмешательство | терапевтическое лечение | конформная дистанционная лучевая терапия, в том числе IMRT, IGRT, VMAT (40 - 69 Гр). Радиомодификация. Компьютерно-томографическая и (или) магнитно-резонансная топометрия. 3D - 4D планирование. Фиксирующие устройства. Объемная визуализация мишени | 189795,00 | 0,36 | 196969,30 | ||||||||||||||||||||||||||
| 
 | 
 | C57 | злокачественные новообразования маточных труб. Локальный рецидив после неоднократных курсов полихимиотерапии и невозможности выполнить хирургическое вмешательство | терапевтическое лечение | конформная дистанционная лучевая терапия, в том числе IMRT, IGRT, VMAT (40 - 69 Гр). Радиомодификация. Компьютерно-томографическая и (или) магнитно-резонансная топометрия. 3D - 4D планирование. Фиксирующие устройства. Объемная визуализация мишени | 189795,00 | 0,36 | 196969,30 | ||||||||||||||||||||||||||
| 
 | 
 | C70, C71, C72, C75.1, C75.3, C79.3, C79.4 | Первичные и вторичные злокачественные новообразования оболочек головного мозга, спинного мозга, головного мозга | терапевтическое лечение | конформная дистанционная лучевая терапия, в том числе IMRT, IGRT, VMAT, стереотаксическая (40 - 69 Гр). Радиомодификация. Компьютерно-томографическая и (или) магнитно-резонансная топометрия. 3D - 4D планирование. Фиксирующие устройства. Объемная визуализация мишени | 189795,00 | 0,36 | 196969,30 | ||||||||||||||||||||||||||
| 
 | 
 | C81, C82, C83, C84, C85 | злокачественные новообразования лимфоидной ткани | терапевтическое лечение | конформная дистанционная лучевая терапия, в том числе IMRT, IGRT, VMAT (40 - 69 Гр). Радиомодификация. Компьютерно-томографическая и (или) магнитно-резонансная топометрия. 3D - 4D планирование. Фиксирующие устройства. Объемная визуализация мишени. Синхронизация дыхания | 189795,00 | 0,36 | 196969,30 | ||||||||||||||||||||||||||
| 24. | Дистанционная лучевая терапия в радиотерапевтическнх отделениях при злокачественных новообразованиях | C00 - C14, C15 - C17, C18 - C22, C23 - C25, C30, C31, C32, C33, C34, C37, C39, C40, C41, C44, C48, C49, C50, C51, C55, C60, C61, C64, C67, C68, C73, C74, C77 | злокачественные новообразования головы и шеи, трахеи, бронхов, легкого, плевры, средостения, щитовидной железы, молочной железы, пищевода, желудка, тонкой кишки, ободочной кишки, желчного пузыря, поджелудочной железы, толстой и прямой кишки, анального канала, печени, мочевого пузыря, надпочечников, почки, полового члена, предстательной железы, костей и суставных хрящей, кожи, мягких тканей (T1-4N любая M0), локализованные и местнораспространенные формы. Вторичное поражение лимфоузлов | терапевтическое лечение | конформная дистанционная лучевая терапия, в том числе IMRT, IGRT, VMAT, стереотаксическая (70 - 99 Гр). Радиомодификация. Компьютерно-томографическая и (или) магнитно-резонансная топометрия. 3D - 4D планирование. Фиксирующие устройства. Объемная визуализация мишени. Синхронизация дыхания | 252718,00 | 0,35 | 262005,40 | ||||||||||||||||||||||||||
| 
 | 
 | C51, C52, C53, C54, C55 | интраэпителиальные, микроинвазивные и инвазивные злокачественные новообразования вульвы, влагалища, шейки и тела матки (T0-4N0-1M0-1), в том числе с метастазированием в параортальные или паховые лимфоузлы | терапевтическое лечение | конформная дистанционная лучевая терапия, в том числе IMRT, IGRT, VMAT (70 - 99 Гр). Радиомодификация. Компьютерно-томографическая и (или) магнитно-резонансная топометрия. 3D - 4D планирование. Фиксирующие устройства. Объемная визуализация мишени | 252718,00 | 0,35 | 262005,40 | ||||||||||||||||||||||||||
| 
 | 
 | C56 | злокачественные новообразования яичников. Локальный рецидив, поражение лимфатических узлов после неоднократных курсов полихимиотерапии и невозможности выполнить хирургическое вмешательство | терапевтическое лечение | конформная дистанционная лучевая терапия, в том числе IMRT, IGRT, VMAT (70 - 99 Гр). Радиомодификация. Компьютерно-томографическая и (или) магнитно-резонансная топометрия. 3D - 4D планирование. Фиксирующие устройства. Объемная визуализация мишени | 252718,00 | 0,35 | 262005,40 | ||||||||||||||||||||||||||
| 
 | 
 | C57 | злокачественные новообразования маточных труб. Локальный рецидив после неоднократных курсов полихимиотерапии и невозможности выполнить хирургическое вмешательство | терапевтическое лечение | конформная дистанционная лучевая терапия, в том числе IMRT, IGRT, VMAT (70 - 99 Гр). Радиомодификация. Компьютерно-томографическая и (или) магнитно-резонансная топометрия. 3D - 4D планирование. Фиксирующие устройства. Объемная визуализация мишени | 252718,00 | 0,35 | 262005,40 | ||||||||||||||||||||||||||
| 
 | 
 | C70, C71, C72, C75.1, C75.3, C79.3, C79.4 | Первичные и вторичные злокачественные новообразования оболочек головного мозга, спинного мозга, головного мозга | терапевтическое лечение | конформная дистанционная лучевая терапия, в том числе IMRT, IGRT, VMAT (70 - 99 Гр). Радиомодификация. Компьютерно-томографическая и (или) магнитно-резонансная топометрия. 3D - 4D планирование. Фиксирующие устройства. Объемная визуализация мишени | 252718,00 | 0,35 | 262005,40 | ||||||||||||||||||||||||||
| 
 | 
 | C81, C82, C83, C84, C85 | злокачественные новообразования лимфоидной ткани | терапевтическое лечение | конформная дистанционная лучевая терапия, в том числе IMRT, IGRT, VMAT (70 - 99 Гр). Радиомодификация. Компьютерно-томографическая и (или) магнитно-резонансная топометрия. 3D - 4D планирование. Фиксирующие устройства. Объемная визуализация мишени. Синхронизация дыхания | 252718,00 | 0,35 | 262005,40 | ||||||||||||||||||||||||||
| Оториноларингология | ||||||||||||||||||||||||||||||||||
| 25. | Реконструктивные операции на звукопроводящем аппарате среднего уха | H66.1, H66.2, Q16, H80.0, H80.1, H80.9, H74.1, H74.2, H74.3, H90 | хронический туботимпальный гнойный средний отит. Хронический эпитимпано-антральный гнойный средний отит. Адгезивная болезнь среднего уха. Разрыв и дислокация слуховых косточек. Другие приобретенные дефекты слуховых косточек. Врожденные аномалии (пороки развития) уха, вызывающие нарушение слуха. Отосклероз, вовлекающий овальное окно, необлитерирующий. Отосклероз неуточненный. Кондуктивная и нейросенсорная потеря слуха. Отосклероз, вовлекающий овальное окно, облитерирующий | хирургическое лечение | реконструкция анатомических структур и звукопроводящего аппарата среднего уха с применением микрохирургической техники, аутотканей и аллогенных трансплантатов, в том числе металлических, с обнажением лицевого нерва, реиннервацией и использованием системы мониторинга лицевого нерва | 132398,00 | 0,26 | 136012,50 | ||||||||||||||||||||||||||
| 
 | 
 | 
 | 
 | 
 | реконструктивные операции при врожденных аномалиях развития и приобретенной атрезии вследствие хронического гнойного среднего отита с применением микрохирургической техники, лучевой техники, аутотканей и аллогенных трансплантатов, в том числе металлических | 132398,00 | 0,26 | 136012,50 | ||||||||||||||||||||||||||
| 
 | 
 | 
 | 
 | 
 | реконструктивные слухоулучшающие операции после радикальной операции на среднем ухе при хроническом гнойном среднем отите | 132398,00 | 0,26 | 136012,50 | ||||||||||||||||||||||||||
| 
 | 
 | 
 | 
 | 
 | слухоулучшающие операции с применением частично имплантируемого устройства костной проводимости | 132398,00 | 0,26 | 136012,50 | ||||||||||||||||||||||||||
| 
 | 
 | 
 | 
 | 
 | тимпанопластика с применением микрохирургической техники, аллогенных трансплантатов, в том числе металлических | 132398,00 | 0,26 | 136012,50 | ||||||||||||||||||||||||||
| 
 | 
 | 
 | 
 | 
 | стапедопластика при патологическом процессе, врожденном или приобретенном, с вовлечением окна преддверия, с применением аутотканей и аллогенных трансплантатов, в том числе металлических | 132398,00 | 0,26 | 136012,50 | ||||||||||||||||||||||||||
| 
 | 
 | 
 | 
 | 
 | слухоулучшающие операции с применением имплантата среднего уха | 132398,00 | 0,26 | 136012,50 | ||||||||||||||||||||||||||
| 26. | Хирургическое лечение болезни Меньера и других нарушений вестибулярной функции | H81.0, H81.1. H81.2 | болезнь Меньера. Доброкачественное пароксизмальное головокружение. Вестибулярный нейронит. Фистула лабиринта | хирургическое лечение | селективная нейротомия | 78623,00 | 0,20 | 80274,10 | ||||||||||||||||||||||||||
| 
 | 
 | 
 | 
 | 
 | деструктивные микрохирургические вмешательства на структурах внутреннего уха с применением лучевой техники | 78623,00 | 0,20 | 80274,10 | ||||||||||||||||||||||||||
| 
 | 
 | H81.1, H81.2 | доброкачественное пароксизмальное головокружение. Вестибулярный нейронит. Фистула лабиринта | хирургическое лечение | дренирование эндолимфатических пространств внутреннего уха с применением микрохирургической и лучевой техники | 78623,00 | 0,20 | 80274,10 | ||||||||||||||||||||||||||
| 
 | Хирургическое лечение доброкачественных новообразований и хронических воспалительных заболеваний носа и околоносовых пазух | J32.1, J32.3, J32.4 | доброкачественное новообразование и хронические воспалительные заболевания полости носа, придаточных пазух носа, пазух клиновидной кости | хирургическое лечение | удаление новообразования с применением эндоскопической, шейверной техники и при необходимости навигационной системы | 78623,00 | 0,20 | 80274,10 | ||||||||||||||||||||||||||
| 
 | Реконструктивно-пластическое восстановление функции гортани и трахеи | J38.6, D14.1, D14.2, J38.0, J38.3, R49.0, R49.1 | стеноз гортани. Доброкачественное новообразование гортани. Доброкачественное новообразование трахеи. Паралич голосовых складок и гортани. Другие болезни голосовых складок. Дисфония. Афония | хирургическое лечение | удаление новообразования или рубца гортани и трахеи с использованием микрохирургической и лучевой техники | 78623,00 | 0,20 | 80274,10 | ||||||||||||||||||||||||||
| 
 | 
 | 
 | 
 | 
 | эндоларингеальные реконструктивно-пластические вмешательства на голосовых складках с использованием имплантатов и аллогенных материалов с применением микрохирургической техники | 78623,00 | 0,20 | 80274,10 | ||||||||||||||||||||||||||
| 
 | 
 | J38.3, R49.0, R49.1 | другие болезни голосовых складок. Дисфония. Афония | хирургическое лечение | ларинготрахеопластика при доброкачественных новообразованиях гортани, параличе голосовых складок и гортани, стенозе гортани | 78623,00 | 0,20 | 80274,10 | ||||||||||||||||||||||||||
| 
 | 
 | 
 | 
 | 
 | операции по реиннервации и заместительной функциональной пластике гортани и трахеи с применением микрохирургической техники и электромиографическим мониторингом | 78623,00 | 0,20 | 80274,10 | ||||||||||||||||||||||||||
| 
 | Хирургические вмешательства на околоносовых пазухах, требующие реконструкции лицевого скелета | T90.2, T90.4, D14.0 | последствия перелома черепа и костей лица. Последствия травмы глаза окологлазничной области. Доброкачественное новообразование среднего уха, полости носа и придаточных пазух носа | хирургическое лечение | костная пластика стенок околоносовых пазух с использованием аутокостных трансплантатов, аллогенных трансплантатов, имплантатов, в том числе металлических, эндопротезов, биодеградирующих и фиксирующих материалов | 78623,00 | 0,20 | 80274,10 | ||||||||||||||||||||||||||
| 27. | Хирургическое лечение доброкачественных новообразований среднего уха, полости носа и придаточных пазух, гортани и глотки | D14.0, D14.1. D10.0 - D10.9 | доброкачественное новообразование среднего уха, полости носа и придаточных пазух, гортани и глотки | хирургическое лечение | удаление новообразования с применением микрохирургической техники и эндоскопической техники | 150466,00 | 0,45 | 157575,50 | ||||||||||||||||||||||||||
| 
 | 
 | 
 | 
 | 
 | фотодинамическая терапия новообразования с применением микроскопической и эндоскопической техники | 150466,00 | 0,45 | 157575,50 | ||||||||||||||||||||||||||
| Офтальмология | ||||||||||||||||||||||||||||||||||
| 28. | Комплексное хирургическое лечение глаукомы, включая микроинвазивную энергетическую оптико-реконструктивную и лазерную хирургию, имплантацию различных видов дренажей | H26.0 - H26.4, H40.1 - H40.8, Q15.0 | глаукома с повышенным или высоким внутриглазным давлением развитой, далеко зашедшей стадии, в том числе с осложнениями, у взрослых. Врожденная глаукома, глаукома вторичная вследствие воспалительных и других заболеваний глаза, в том числе с осложнениями, у детей | хирургическое лечение | модифицированная синустрабекулэктомия, в том числе ультразвуковая факоэмульсификация осложненной катаракты с имплантацией интраокулярной линзы | 70775,00 | 0,35 | 73376,00 | ||||||||||||||||||||||||||
| 
 | 
 | 
 | 
 | 
 | подшивание цилиарного тела с задней трепанацией склеры | 70775,00 | 0,35 | 73376,00 | ||||||||||||||||||||||||||
| 
 | 
 | 
 | 
 | 
 | непроникающая глубокая склерэктомия с ультразвуковой факоэмульсификацией осложненной катаракты с имплантацией интраокулярной линзы, в том числе с применением лазерной хирургии | 70775,00 | 0,35 | 73376,00 | ||||||||||||||||||||||||||
| 
 | 
 | 
 | 
 | 
 | реконструкция передней камеры, иридопластика с ультразвуковой факоэмульсификацией осложненной катаракты с имплантацией интраокулярной линзы, в том числе с применением лазерной хирургии | 70775,00 | 0,35 | 73376,00 | ||||||||||||||||||||||||||
| 
 | 
 | 
 | 
 | 
 | удаление вторичной катаракты с реконструкцией задней камеры с имплантацией интраокулярной линзы | 70775,00 | 0,35 | 73376,00 | ||||||||||||||||||||||||||
| 
 | 
 | 
 | 
 | 
 | модифицированная синустрабекулэктомия с задней трепанацией склеры с имплантацией антиглаукоматозного дренажа, в том числе с применением лазерной хирургии | 70775,00 | 0,35 | 73376,00 | ||||||||||||||||||||||||||
| 
 | Транспупиллярная, микроинвазивная энергетическая оптико-реконструктивная, интравитреальная, эндовитреальная 23 - 27 гейджевая хирургия при витреоретинальной патологии различного генеза | E10.3, E11.3, H25.0 - H25.9, H26.0 - H26.4, H27.0, H28, H30.0 - H30.9, H31.3, H32.8, H33.0 - H33.5, H34.8, H35.2 - H35.4, H36.8, H43.1, H43.3, H44.0, H44.1 | сочетанная патология глаза у взрослых и детей (хориоретинальные воспаления, хориоретинальные нарушения при болезнях, классифицированных в других рубриках: ретиношизис и ретинальные кисты, ретинальные сосудистые окклюзии, пролиферативная ретинопатия, дегенерация макулы и заднего полюса, кровоизлияние в стекловидное тело), осложненная патологией роговицы, хрусталика, стекловидного тела. Диабетическая ретинопатия взрослых, пролиферативная стадия, в том числе с осложнением или с патологией хрусталика, стекловидного тела, вторичной глаукомой, макулярным отеком. Отслойка и разрывы сетчатки, тракционная отслойка сетчатки, другие формы отслойки сетчатки у взрослых и детей, осложненные патологией роговицы, хрусталика, стекловидного тела. Катаракта незрелая и зрелая у взрослых и детей, осложненная сублюксацией хрусталика, глаукомой, патологией стекловидного тела, сетчатки, сосудистой оболочки. Осложнения, возникшие в результате предшествующих оптико-реконструктивных, эндовитреальных вмешательств у взрослых и детей. Возрастная макулярная дегенерация, влажная форма, в том числе с осложнениями | хирургическое лечение | эписклеральное круговое и (или) локальное пломбирование в сочетании с транспупиллярной лазеркоагуляцией сетчатки | 70775,00 | 0,35 | 73376,00 | ||||||||||||||||||||||||||
| 
 | 
 | 
 | 
 | 
 | удаление вторичной катаракты, реконструкция задней камеры, в том числе с имплантацией интраокулярной линзы, в том числе с применением лазерной хирургии | 70775,00 | 0,35 | 73376,00 | ||||||||||||||||||||||||||
| 
 | Реконструктивно-пластические и оптико-реконструктивные операции при травмах (открытых, закрытых) глаза, его придаточного аппарата, орбиты | H02.0 - H02.5, H04.0 - H04.6, H05.0 - H05.5, H11.2, H21.5, H27.0, H27.1, H26.0 - H26.9, H31.3, H40.3, S00.1, S00.2, S02.30, S02.31, S02.80, S02.81, S04.0 - S04.5, S05.0 - S05.9, T26.0 - T26.9, H44.0 - H44.8, T85.2, T85.3, T90.4, T95.0, T95.8 | травма глаза и глазницы, термические и химические ожоги, ограниченные областью глаза и его придаточного аппарата, при острой или стабильной фазе при любой стадии у взрослых и детей, осложненные патологией хрусталика, стекловидного тела, офтальмогипертензией, переломом дна орбиты, открытой раной века и окологлазничной области, вторичной глаукомой, энтропионом и трихиазом века, эктропионом века, лагофтальмом, птозом века, стенозом и недостаточностью слезных протоков, деформацией орбиты, энофтальмом, рубцами конъюнктивы, рубцами и помутнением роговицы, слипчивой лейкомой, гнойным эндофтальмитом, дегенеративными состояниями глазного яблока, травматическим косоглазием или в сочетании с неудаленным инородным телом орбиты вследствие проникающего ранения, неудаленным магнитным инородным телом, неудаленным немагнитным инородным телом, осложнениями механического происхождения, связанными с имплантатами и трансплантатами | хирургическое лечение | имплантация дренажа при посттравматической глаукоме | 70775,00 | 0,35 | 73376,00 | ||||||||||||||||||||||||||
| 
 | 
 | 
 | 
 | 
 | исправление травматического косоглазия с пластикой экстраокулярных мышц | 70775,00 | 0,35 | 73376,00 | ||||||||||||||||||||||||||
| 
 | 
 | 
 | 
 | 
 | факоаспирация травматической катаракты с имплантацией различных моделей интраокулярной линзы | 70775,00 | 0,35 | 73376,00 | ||||||||||||||||||||||||||
| 
 | 
 | 
 | 
 | 
 | трансплантация амниотической мембраны | 70775,00 | 0,35 | 73376,00 | ||||||||||||||||||||||||||
| 
 | Хирургическое и (или) лучевое лечение злокачественных новообразований глаза, его придаточного аппарата и орбиты, включая внутриорбитальные доброкачественные опухоли, реконструктивно-пластическая хирургия при их последствиях | C43.1, C44.1, C69, C72.3, D31.5, D31.6, Q10.7, Q11.0 - Q11.2 | злокачественные новообразования глаза и его придаточного аппарата, орбиты у взрослых и детей (стадии T1 - T3 N0 M0). Доброкачественные и злокачественные опухоли орбиты, включающие врожденные пороки развития орбиты, без осложнений или осложненные патологией роговицы, хрусталика, стекловидного тела, зрительного нерва, глазодвигательных мышц, офтальмогипертензией | комбинированное лечение | реконструктивные операции на экстраокулярных мышцах при новообразованиях орбиты | 70775,00 | 0,35 | 73376,00 | ||||||||||||||||||||||||||
| 
 | 
 | 
 | 
 | 
 | отсроченная реконструкция леватора при новообразованиях орбиты | 70775,00 | 0,35 | 73376,00 | ||||||||||||||||||||||||||
| 
 | 
 | 
 | 
 | 
 | отграничительная и разрушающая лазеркоагуляция при новообразованиях глаза | 70775,00 | 0,35 | 73376,00 | ||||||||||||||||||||||||||
| 
 | 
 | 
 | 
 | 
 | радиоэксцизия, в том числе с одномоментной реконструктивной пластикой, при новообразованиях придаточного аппарата глаза | 70775,00 | 0,35 | 73376,00 | ||||||||||||||||||||||||||
| 
 | 
 | 
 | 
 | 
 | лазерэксцизия с одномоментной реконструктивной пластикой при новообразованиях придаточного аппарата глаза | 70775,00 | 0,35 | 73376,00 | ||||||||||||||||||||||||||
| 
 | 
 | 
 | 
 | 
 | радиоэксцизия с лазериспарением при новообразованиях придаточного аппарата глаза | 70775,00 | 0,35 | 73376,00 | ||||||||||||||||||||||||||
| 
 | 
 | 
 | 
 | 
 | лазерэксцизия, в том числе с лазериспарением, при новообразованиях придаточного аппарата глаза | 70775,00 | 0,35 | 73376,00 | ||||||||||||||||||||||||||
| 
 | 
 | 
 | 
 | 
 | транспупиллярная термотерапия, в том числе с ограничительной лазеркоагуляцией при новообразованиях глаза | 70775,00 | 0,35 | 73376,00 | ||||||||||||||||||||||||||
| 
 | 
 | 
 | 
 | 
 | криодеструкция при новообразованиях глаза | 70775,00 | 0,35 | 73376,00 | ||||||||||||||||||||||||||
| 
 | Хирургическое и (или) лазерное лечение ретролентальной фиброплазии у детей (ретинопатии недоношенных), в том числе с применением комплексного офтальмологического обследования под общей анестезией | H35.2 | ретролентальная фиброплазия у детей (ретинопатия недоношенных) при активной и рубцовой фазе любой стадии без осложнений или осложненная патологией роговицы, хрусталика, стекловидного тела, глазодвигательных мышц, врожденной и вторичной глаукомой | хирургическое и (или) лучевое лечение | модифицированная синустрабекулэктомия | 70775,00 | 0,35 | 73376,00 | ||||||||||||||||||||||||||
| 
 | 
 | 
 | 
 | 
 | эписклеральное круговое и (или) локальное пломбирование, в том числе с трансклеральной лазерной коагуляцией сетчатки | 70775,00 | 0,35 | 73376,00 | ||||||||||||||||||||||||||
| 
 | 
 | 
 | 
 | 
 | транспупиллярная лазеркоагуляция вторичных ретинальных дистрофий и ретиношизиса | 70775,00 | 0,35 | 73376,00 | ||||||||||||||||||||||||||
| 
 | 
 | 
 | 
 | 
 | лазерная корепраксия (создание искусственного зрачка) | 70775,00 | 0,35 | 73376,00 | ||||||||||||||||||||||||||
| 
 | 
 | 
 | 
 | 
 | лазерная иридокореопластика | 70775,00 | 0,35 | 73376,00 | ||||||||||||||||||||||||||
| 
 | 
 | 
 | 
 | 
 | лазерная витреошвартотомия | 70775,00 | 0,35 | 73376,00 | ||||||||||||||||||||||||||
| 
 | 
 | 
 | 
 | 
 | лазерные комбинированные операции на структурах угла передней камеры | 70775,00 | 0,35 | 73376,00 | ||||||||||||||||||||||||||
| 
 | 
 | 
 | 
 | 
 | лазерная деструкция зрачковой мембраны с коагуляцией (без коагуляции) сосудов | 70775,00 | 0,35 | 73376,00 | ||||||||||||||||||||||||||
| 29. | Реконструктивное, восстановительное, реконструктивно-пластическое хирургическое и лазерное лечение при врожденных аномалиях (пороках развития) века, слезного аппарата, глазницы, переднего и заднего сегментов глаза, хрусталика, в том числе с применением комплексного офтальмологического обследования под общей анестезией | H26.0, H26.1, H26.2, H26.4, H27.0, H33.0, H33.2 - 33.5, H35.1, H40.3, H40.4, H40.5, H43.1, H43.3, H49.9, Q10.0, Q10.1, Q10.4 - Q10.7, Q11.1, Q12.0, Q12.1, Q12.3, Q12.4, Q12.8, Q13.0, Q13.3, Q13.4, Q13.8, Q14.0, Q14.1, Q14.3, Q15.0, H02.0 - H02.5, H04.5, H05.3, H11.2 | врожденные аномалии хрусталика, переднего сегмента глаза, врожденная, осложненная и вторичная катаракта, кератоконус, кисты радужной оболочки, цилиарного тела и передней камеры глаза, колобома радужки, врожденное помутнение роговицы, другие пороки развития роговицы без осложнений или осложненные патологией роговицы, стекловидного тела, частичной атрофией зрительного нерва. Врожденные аномалии заднего сегмента глаза (врожденная аномалия сетчатки, врожденная аномалия стекловидного тела, врожденная аномалия сосудистой оболочки без осложнений или осложненные патологией стекловидного тела, частичной атрофией зрительного нерва). Врожденные аномалии век, слезного аппарата, глазницы, врожденный птоз, отсутствие или агенезия слезного аппарата, другие пороки развития слезного аппарата без осложнений или осложненные патологией роговицы. Врожденные болезни мышц глаза, нарушение содружественного движения глаз | хирургическое лечение | устранение врожденного птоза верхнего века подвешиванием или укорочением леватора | 102860,00 | 0,35 | 106640,10 | ||||||||||||||||||||||||||
| 
 | 
 | 
 | 
 | 
 | исправление косоглазия с пластикой экстраокулярных мышц | 102860,00 | 0,35 | 106640,10 | ||||||||||||||||||||||||||
| 
 | 
 | 
 | 
 | 
 | эписклеральное круговое и (или) локальное пломбирование, в том числе с трансклеральной лазерной коагуляцией сетчатки | 102860,00 | 0,35 | 106640,10 | ||||||||||||||||||||||||||
| 
 | 
 | 
 | 
 | 
 | панретинальная лазеркоагуляция сетчатки | 102860,00 | 0,35 | 106640,10 | ||||||||||||||||||||||||||
| 
 | 
 | 
 | 
 | 
 | модифицированная синустрабекулэктомия, в том числе с задней трепанацией склеры | 102860,00 | 0,35 | 106640,10 | ||||||||||||||||||||||||||
| 
 | 
 | 
 | 
 | 
 | лазерная корепраксия (создание искусственного зрачка) | 102860,00 | 0,35 | 106640,10 | ||||||||||||||||||||||||||
| 
 | 
 | 
 | 
 | 
 | лазерная иридокореопластика | 102860,00 | 0,35 | 106640,10 | ||||||||||||||||||||||||||
| 
 | 
 | 
 | 
 | 
 | лазерная витреошвартотомия | 102860,00 | 0,35 | 106640,10 | ||||||||||||||||||||||||||
| 
 | 
 | 
 | 
 | 
 | лазерные комбинированные операции на структурах угла передней камеры | 102860,00 | 0,35 | 106640,10 | ||||||||||||||||||||||||||
| 
 | 
 | 
 | 
 | 
 | лазерная деструкция зрачковой мембраны, в том числе с коагуляцией сосудов | 102860,00 | 0,35 | 106640,10 | ||||||||||||||||||||||||||
| 30. | Комплексное лечение болезней роговицы, включая оптико-реконструктивную и лазерную хирургию, интенсивное консервативное лечение язвы роговицы | H16.0, H17.0 - H17.9, H18.0 - H18.9 | язва роговицы острая, стромальная или перфорирующая у взрослых и детей, осложненная гипопионом, эндофтальмитом, патологией хрусталика. Рубцы и помутнения роговицы, другие болезни роговицы (буллезная кератопатия, дегенерация, наследственные дистрофии роговицы, кератоконус) у взрослых и детей вне зависимости от осложнений | хирургическое лечение | трансплантация амниотической мембраны | 101569,00 | 0,25 | 104235,20 | ||||||||||||||||||||||||||
| 
 | 
 | 
 | 
 | 
 | интенсивное консервативное лечение язвы роговицы | 101569,00 | 0,25 | 104235,20 | ||||||||||||||||||||||||||
| Педиатрия | ||||||||||||||||||||||||||||||||||
| 31. | Поликомпонентное лечение болезни Вильсона, болезни Гоше, мальабсорбции с применением химиотерапевтических лекарственных препаратов | E83.0 | болезнь Вильсона | терапевтическое лечение | поликомпонентное лечение с применением специфических хелаторов меди и препаратов цинка под контролем эффективности лечения, с применением комплекса иммунологических, биохимических, молекулярно-биологических методов диагностики, определения концентраций микроэлементов в биологических жидкостях, комплекса методов визуализации | 97040,00 | 0,39 | 101013,80 | ||||||||||||||||||||||||||
| 
 | 
 | K90.0, K90.4, K90.8, K90.9, K63.8, E73, E74.3 | тяжелые формы мальабсорбции | терапевтическое лечение | поликомпонентное лечение с применением гормональных, цитостатических лекарственных препаратов, частичного или полного парентерального питания с подбором специализированного энтерального питания под контролем эффективности терапии с применением комплекса биохимических, цитохимических, иммунологических, морфологических и иммуногистохимических методов диагностики, а также методов визуализации | 97040,00 | 0,39 | 101013,80 | ||||||||||||||||||||||||||
| 
 | 
 | E75.5 | болезнь Гоше I и III типа, протекающая с поражением жизненно важных органов (печени, селезенки, легких), костно-суставной системы и (или) с развитием тяжелой неврологической симптоматики | терапевтическое лечение | комплексное лечение с применением дифференцированного назначения парентеральной заместительной терапии ферментом и лекарственных препаратов, влияющих на формирование костной ткани | 97040,00 | 0,39 | 101013,80 | ||||||||||||||||||||||||||
| 
 | Поликомпонентное иммуносупрессивное лечение локальных и распространенных форм системного склероза | M34 | системный склероз (локальные и распространенные формы) | терапевтическое лечение | поликомпонентное иммуномодулирующее лечение с применением глюкокортикоидов и цитотоксических иммунодепрессантов под контролем лабораторных и инструментальных методов диагностики, включая иммунологические, а также эндоскопические, рентгенологические, ультразвуковые методы | 97040,00 | 0,39 | 101013,80 | ||||||||||||||||||||||||||
| 32. | Поликомпонентное лечение наследственных нефритов, тубулопатий, стероидрезистентного и стероидзависимого нефротических синдромов с применением иммуносупрессивной и (или) симптоматической терапии | N04, N07, N25 | нефротический синдром неустановленной этиологии и морфологического варианта, стероидчувствительный и стероидзависимый, сопровождающийся отечным синдромом, постоянным или транзиторным нарушением функции почек | терапевтическое лечение | поликомпонентное иммуносупрессивное лечение с применением циклоспорина A и (или) микофенолатов под контролем иммунологических, биохимических и инструментальных методов диагностики | 200897,00 | 0,23 | 205748,70 | ||||||||||||||||||||||||||
| 
 | 
 | 
 | наследственные нефропатии, в том числе наследственный нефрит, кистозные болезни почек. Наследственные и приобретенные тубулопатии без снижения функции почек и экстраренальных проявлений | терапевтическое лечение | поликомпонентное лечение при приобретенных и врожденных заболеваниях почек под контролем лабораторных и инструментальных методов диагностики | 200897,00 | 0,23 | 205748,70 | ||||||||||||||||||||||||||
| 33. | Поликомпонентное лечение кардиомиопатий, миокардитов, перикардитов, эндокардитов с недостаточностью кровообращения II - IV функционального класса (NYHA), резистентных нарушений сердечного ритма и проводимости сердца с аритмогенной дисфункцией миокарда с применением кардиотропных, химиотерапевтических и генно-инженерных биологических лекарственных препаратов | I27.0, I27.8, I30.0, I30.9, I31.0, I31.1, I33.0, I33.9, I34.0, I34.2, I35.1, I35.2, I36.0, I36.1, I36.2, I42, I44.2, I45.6, I45.8, I47.0, I47.1, I47.2, I47.9, I48, I49.0, I49.3, I49.5, I49.8, I51.4, Q21.1, Q23.0, Q23.1, Q23.2, Q23.3, Q24.5, Q25.1, Q25.3 | кардиомиопатии: дилатационная кардиомиопатия, другая рестриктивная кардиомиопатия, другие кардиомиопатии, кардиомиопатия неуточненная. Миокардит неуточненный, фиброз миокарда. Неревматическое поражение митрального, аортального и трикуспидального клапанов: митральная (клапанная) недостаточность, неревматический стеноз митрального клапана, аортальная (клапанная) недостаточность, аортальный (клапанный) стеноз с недостаточностью, неревматический стеноз трехстворчатого клапана, неревматическая недостаточность трехстворчатого клапана, неревматический стеноз трехстворчатого клапана с недостаточностью. Врожденные аномалии (пороки развития) системы кровообращения: дефект предсердножелудочковой перегородки, врожденный стеноз аортального клапана. Врожденная недостаточность аортального клапана, врожденный митральный стеноз, врожденная митральная недостаточность, коарктация аорты, стеноз аорты, аномалия развития коронарных сосудов | терапевтическое лечение | поликомпонентное лечение метаболических нарушений в миокарде и нарушений нейровегетативной регуляции с применением блокаторов нейрогормонов, диуретиков, кардиотоников, антиаритмиков, кардиопротекторов, антибиотиков, противовоспалительных нестероидных, гормональных и цитостатических лекарственных препаратов, внутривенных иммуноглобулинов под контролем уровня иммунобиохимических маркеров повреждения миокарда, хронической сердечной недостаточности (pro-BNP), состояния энергетического обмена методом цитохимического анализа, суточного мониторирования показателей внутрисердечной гемодинамики с использованием комплекса визуализирующих методов диагностики (ультразвуковой диагностики с доплерографией, магнитно-резонансной томографии, мультиспиральной компьютерной томографии, вентрикулографии, коронарографии), генетических исследований | 115261,00 | 0,34 | 119375,80 | ||||||||||||||||||||||||||
| 34. | Поликомпонентное лечение тяжелых форм аутоиммунного и врожденных моногенных форм сахарного диабета и гиперинсулинизма с использованием систем суточного мониторирования глюкозы и помповых дозаторов инсулина | E10, E13, E14, E16.1 | диабет новорожденных. Приобретенный аутоиммунный инсулинзависимый сахарный диабет, лабильное течение. Сахарный диабет с осложнениями (автономная и периферическая полинейропатия, нефропатия, хроническая почечная недостаточность, энцефаопатия, кардиомиопатия, остеоартропатия). Синдромальные моногенные формы сахарного диабета (MODY, DIDMOAD, синдром Альстрема, митохондриальные формы и другие), врожденный гиперинсулинизм | терапевтическое лечение | комплексное лечение тяжелых форм сахарного диабета и гиперинсулинизма на основе молекулярно-генетических, гормональных и иммунологических исследований с установкой помпы под контролем систем суточного мониторирования глюкозы | 199272,00 | 0,22 | 203875,20 | ||||||||||||||||||||||||||
| 35. | Поликомпонентное лечение юношеского артрита с инициацией или заменой генно-инженерных биологических лекарственных препаратов или селективных иммунодепрессантов | M08.1, M08.3, M08.4, M09 | юношеский артрит с высокой/средней степенью активности воспалительного процесса и (или) резистентностью к проводимому лекарственному лечению | терапевтическое лечение | поликомпонентная терапия с инициацией или заменой генно-инженерных биологических лекарственных препаратов или селективных иммунодепрессантов в сочетании или без глюкокортикоидов, и (или) иммунодепрессантов под контролем лабораторных и инструментальных методов, включая биохимические, иммунологические и (или) молекулярно-генетические методы, и (или) молекулярно-биологические и (или) микробиологические, и (или) эндоскопические, и (или) рентгенологические (компьютерная томография, магнитно-резонансная томография), и (или) ультразвуковые методы | 198387,00 | 0,19 | 202344,80 | ||||||||||||||||||||||||||
| Ревматология | ||||||||||||||||||||||||||||||||||
| 36. | Поликомпонентная иммуномодулирующая терапия с включением генно-инженерных биологических лекарственных препаратов, или селективных ингибиторов семейства янус-киназ с использованием специальных методов лабораторной и инструментальной диагностики больных (старше 18 лет) системными воспалительными ревматическими заболеваниями, с возможностью повторной госпитализации, требующейся в связи с применением насыщающих доз в соответствии с инструкцией по применению препарата | M05.0, M05.1, M05.2, M05.3, M05.8, M06.0, M06.1, M06.4, M06.8, M08, M45, M32, M34, M07.2 | впервые выявленное или установленное заболевание с высокой степенью активности воспалительного процесса или заболевание с резистентностью к проводимой лекарственной терапии | терапевтическое лечение | поликомпонентная иммуномодулирующая терапия с инициацией или заменой генно-инженерных биологических лекарственных препаратов или селективных ингибиторов семейства янус-киназ, лабораторной диагностики с использованием комплекса иммунологических исследований и (или) лучевых и (или) ультразвуковых методов диагностики | 154450,00 | 0,36 | 160288,20 | ||||||||||||||||||||||||||
| Сердечно-сосудистая хирургия | ||||||||||||||||||||||||||||||||||
| 37. | Коронарная реваскуляризация миокарда с применением ангиопластики в сочетании со стентированием при ишемической болезни сердца | I20.0, I21.0, I21.1, I21.2, I21.3, I21.9, I22 | нестабильная стенокардия, острый и повторный инфаркт миокарда (с подъемом сегмента ST электрокардиограммы) | хирургическое лечение | баллонная вазодилатация с установкой 1 стента в сосуд (сосуды) | 185214,00 | 0,56 | 196104,60 | ||||||||||||||||||||||||||
| 38. | Коронарная реваскуляризация миокарда с применением ангиопластики в сочетании со стентированием при ишемической болезни сердца | I20.0, I21.0, I21.1, I21.2, I21.3, I21.9, I22 | нестабильная стенокардия, острый и повторный инфаркт миокарда (с подъемом сегмента ST электрокардиограммы) | хирургическое лечение | баллонная вазодилатация с установкой 2 стентов в сосуд (сосуды) | 214756,00 | 0,50 | 226030,70 | ||||||||||||||||||||||||||
| 39. | Коронарная реваскуляризация миокарда с применением ангиопластики в сочетании со стентированием при ишемической болезни сердца | I20.0, I21.0, I21.1, I21.2, I21.3, I21.9, I22 | нестабильная стенокардия, острый и повторный инфаркт миокарда (с подъемом сегмента ST электрокардиограммы) | хирургическое лечение | баллонная вазодилатация с установкой 3 стентов в сосуд (сосуды) | 244136,00 | 0,44 | 255415,10 | ||||||||||||||||||||||||||
| 40. | Коронарная реваскуляризация миокарда с применением ангиопластики в сочетании со стентированием при ишемической болезни сердца | I20.0, I21.4, I21.9, I22 | нестабильная стенокардия, острый и повторный инфаркт миокарда (без подъема сегмента ST электрокардиограммы) | хирургическое лечение | баллонная вазодилатация с установкой 1 стента в сосуд (сосуды) | 137762,00 | 0,54 | 145573,10 | ||||||||||||||||||||||||||
| 41. | Коронарная реваскуляризация миокарда с применением ангиопластики в сочетании со стентированием при ишемической болезни сердца | I20.0, I21.4, I21.9, I22 | нестабильная стенокардия, острый и повторный инфаркт миокарда (без подъема сегмента ST электрокардиограммы) | хирургическое лечение | баллонная вазодилатация с установкой 2 стентов в сосуд (сосуды) | 167354,00 | 0,46 | 175437,20 | ||||||||||||||||||||||||||
| 42. | Коронарная реваскуляризация миокарда с применением ангиопластики в сочетании со стентированием при ишемической болезни сердца | I20.0, I21.4, I21.9, I22 | нестабильная стенокардия, острый и повторный инфаркт миокарда (без подъема сегмента ST электрокардиограммы) | хирургическое лечение | баллонная вазодилатация с установкой 3 стентов в сосуд (сосуды) | 209573,00 | 0,34 | 217054,80 | ||||||||||||||||||||||||||
| 43. | Коронарная реваскуляризация миокарда с применением ангиопластики в сочетании со стентированием при ишемической болезни сердца с установкой 1 стента | I20.1, I20.8, I25 | ишемическая болезнь сердца со стенозированием 1 коронарной артерии | хирургическое лечение | баллонная вазодилатация с установкой 1 стента в сосуд | 129747,00 | 0,20 | 132471,70 | ||||||||||||||||||||||||||
| 44. | Коронарная реваскуляризация миокарда с применением ангиопластики в сочетании со стентированием при ишемической болезни сердца с установкой 2 стентов | I20.1, I20.8, I25 | ишемическая болезнь сердца со стенозированием 2 коронарных артерий | хирургическое лечение | баллонная вазодилатация с установкой 2 стентов в сосуд (сосуды) | 154258,00 | 0,17 | 157011,50 | ||||||||||||||||||||||||||
| 45. | Коронарная реваскуляризация миокарда с применением ангиопластики в сочетании со стентированием при ишемической болезни сердца с установкой 3 стентов | I20.1, I20.8, I25 | ишемическая болезнь сердца со стенозированием 3 коронарных артерий | хирургическое лечение | баллонная вазодилатация с установкой 3 стентов в сосуд (сосуды) | 191926,00 | 0,14 | 194747,30 | ||||||||||||||||||||||||||
| 46. | Коронарная ангиопластика со стентированием с выполнением внутрисосудистого ультразвукового исследования (ВСУЗИ) и оценкой фракционированного коронарного резерва и градиента давления на стенозе коронарной артерии (FFR) (1 стент) | I20.0, I20.1, I20.8, I20.9, I21.0, I21.1, I21.2, I21.3, I21.9, I22, I25, I25.0, I25.1, I25.2, I25.3, I25.4, I25.5, I25.6, I25.8, I25.9 | стабильная стенокардия | хирургическое лечение | баллонная вазодилятация и (или) стентирование с установкой 1 стента в сосуд с применением методов внутрисосудистой визуализации и (или) в сочетании с оценкой гемодинамической значимости стеноза по данным физиологической оценки коронарного кровотока (ФРК или МРК) при ишемической болезни сердца | 273416,00 | 0,10 | 276286,90 | ||||||||||||||||||||||||||
| 47. | Коронарная ангиопластика со стентированием при многососудистом поражении с выполнением внутрисосудистого ультразвукового исследования (ВСУЗИ) и оценкой фракционированного коронарного резерва и градиента давления на стенозе коронарной артерии (FFR) (2 стента) | I20.0, I20.1, I20.8, I20.9, I21.0, I21.1, I21.2, I21.3, I21.9, I22, I25, I25.0, I25.1, I25.2, I25.3, I25.4, I25.5, I25.6, I25.8, I25.9 | стабильная стенокардия | хирургическое лечение | баллонная вазодилятация и (или) стентирование с установкой 2 стентов в сосуд с применением методов внутрисосудистой визуализации и (или) в сочетании с оценкой гемодинамической значимости стеноза по данным физиологической оценки коронарного кровотока (ФРК или МРК) при ишемической болезни сердца | 298371,00 | 0,10 | 301503,90 | ||||||||||||||||||||||||||
| 48. | Коронарная ангиопластика со стентированием при многососудистом поражении с выполнением внутрисосудистого ультразвукового исследования (ВСУЗИ) и оценкой фракционированного коронарного резерва и градиента давления на стенозе коронарной артерии (FFR) (3 стента) | I20.0, I20.1, I20.8, I20.9, I21.0, I21.1, I21.2, I21.3, I21.9, I22, I25, I25.0, I5.1, I25.2, I25.3, I25.4, I25.5, I25.6, I25.8, I25.9 | стабильная стенокардия | хирургическое лечение | баллонная вазодилятация и (или) стентирование с установкой 3 стентов в сосуд с применением методов внутрисосудистой визуализации и (или) в сочетании с оценкой гемодинамической значимости стеноза по данным физиологической оценки коронарного кровотока (ФРК или МРК) при ишемической болезни сердца | 327854,00 | 0,09 | 330952,20 | ||||||||||||||||||||||||||
| 49. | Эндоваскулярная, хирургическая коррекция нарушений ритма сердца без имплантации кардиовертера-дефибриллятора у взрослых | I44.1, I44.2, I45.2, I45.3, I45.6, I46.0, I47.0, I47.1, I47.2, I47.9, I48, I49.0, I49.5, Q22.5, Q24.6 | пароксизмальные нарушения ритма и проводимости различного генеза, сопровождающиеся сердечной недостаточностью, гемодинамическими расстройствами и отсутствием эффекта от медикаментозной терапии | хирургическое лечение | имплантация частотно-адаптированного однокамерного кардиостимулятора | 162154,00 | 0,17 | 165048,40 | ||||||||||||||||||||||||||
| 50. | Эндоваскулярная, хирургическая коррекция нарушений ритма сердца без имплантации кардиовертера-дефибриллятора у детей | I44.1, I44.2, I45.2, I45.3, I45.6, I46.0, I47.0, I47.1, I47.2, I47.9, I48, I49.0, I49.5, Q22.5, Q24.6 | пароксизмальные нарушения ритма и проводимости различного генеза, сопровождающиеся сердечной недостаточностью, гемодинамическими расстройствами и отсутствием эффекта от медикаментозной терапии | хирургическое лечение | имплантация частотно-адаптированного однокамерного кардиостимулятора | 302578,00 | 0,15 | 307343,60 | ||||||||||||||||||||||||||
| 51. | Эндоваскулярная, хирургическая коррекция нарушений ритма сердца без имплантации кардиовертера-дефибриллятора | I44.1, I44.2, I45.2, I45.3, I45.6, I46.0, I47.0, I47.1, I47.2, I47.9, I48, I49.0, I49.5, Q22.5, Q24.6 | пароксизмальные нарушения ритма и проводимости различного генеза, сопровождающиеся сердечной недостаточностью, гемодинамическими расстройствами и отсутствием эффекта от лечения лекарственными препаратами | хирургическое лечение | имплантация частотно-адаптированного двухкамерного кардиостимулятора | 240444,00 | 0,38 | 250037,70 | ||||||||||||||||||||||||||
| 52. | Эндоваскулярная тромбэкстракция при остром ишемическом инсульте | I63.0, I63.1, I63.2, I63.3, I63.4, I63.5, I63.8, I63.9 | острый ишемический инсульт, вызванный тромботической или эмболической окклюзией церебральных или прецеребральных артерий | хирургическое лечение | эндоваскулярная механическая тромбэкстракция и (или) тромбоаспирация | 770187,00 | 0,17 | 783934,80 | ||||||||||||||||||||||||||
| 53. | Коронарная реваскуляризация миокарда с применением аортокоронарного шунтирования при ишемической болезни и различных формах сочетанной патологии | I20.0, I21, I22, I24.0 | ишемическая болезнь сердца со значительным проксимальным стенозированием главного ствола левой коронарной артерии, наличие 3 и более стенозов коронарных артерий в сочетании с патологией 1 или 2 клапанов сердца, аневризмой, дефектом межжелудочковой перегородки, нарушениями ритма и проводимости, другими полостными операциями | хирургическое лечение | коронарное шунтирование в условиях искусственного кровоснабжения | 415101,00 | 0,52 | 437765,50 | ||||||||||||||||||||||||||
| 
 | 
 | 
 | 
 | 
 | коронарное шунтирование на работающем сердце без использования искусственного кровообращения | 415101,00 | 0,52 | 437765,50 | ||||||||||||||||||||||||||
| Торакальная хирургия | ||||||||||||||||||||||||||||||||||
| 54. | Эндоскопические и эндоваскулярные операции на органах грудной полости | I27.0 | первичная легочная гипертензия | хирургическое лечение | атриосептостомия | 167250,00 | 0,18 | 170411,00 | ||||||||||||||||||||||||||
| 
 | 
 | I37 | стеноз клапана легочной артерии | хирургическое лечение | баллонная ангиопластика | 167250,00 | 0,18 | 170411,00 | ||||||||||||||||||||||||||
| 
 | Видеоторакоскопические операции на органах грудной полости | J43 | эмфизема легкого | хирургическое лечение | видеоторакоскопическая резекция легких при осложненной эмфиземе | 167250,00 | 0,18 | 170411,00 | ||||||||||||||||||||||||||
| 55. | Расширенные и реконструктивно-пластические операции на органах грудной полости | J43 | эмфизема легкого | хирургическое лечение | пластика гигантских булл легкого | 291572,00 | 0,15 | 296164,30 | ||||||||||||||||||||||||||
| Травматология и ортопедия | ||||||||||||||||||||||||||||||||||
| 56. | Реконструктивные и декомпрессивные операции при травмах и заболеваниях позвоночника с резекцией позвонков, корригирующей вертебротомией с использованием протезов тел позвонков и межпозвонковых дисков, костного цемента и остеозамещающих материалов с применением погружных и наружных фиксирующих устройств | B67, D16, D18, M88 | деструкция и деформация (патологический перелом) позвонков вследствие их поражения доброкачественным новообразованием непосредственно или контактным путем в результате воздействия опухоли спинного мозга, спинномозговых нервов, конского хвоста и их оболочек | хирургическое лечение | восстановление высоты тела позвонка и его опорной функции путем введения костного цемента или биокомпозитных материалов под интраоперационной флюороскопией | 156563,00 | 0,25 | 160672,80 | ||||||||||||||||||||||||||
| 
 | 
 | M42, M43, M45, M46, M48, M50, M51, M53, M92, M93, M95, Q76.2 | дегенеративно-дистрофическое поражение межпозвонковых дисков, суставов и связок позвоночника с формированием грыжи диска, деформацией (гипертрофией) суставов и связочного аппарата, нестабильностью сегмента, спондилолистезом, деформацией и стенозом позвоночного канала и его карманов | хирургическое лечение | восстановление формы и функции межпозвонкового диска путем пункционной декомпрессивной нуклеопластики с обязательной интраоперационной флюороскопией | 156563,00 | 0,25 | 160672,80 | ||||||||||||||||||||||||||
| 
 | Пластика крупных суставов конечностей с восстановлением целостности внутрисуставных образований, замещением костно-хрящевых дефектов синтетическими и биологическими материалами | M00, M01, M03.0, M12.5, M17 | выраженное нарушение функции крупного сустава конечности любой этиологии | хирургическое лечение | артродез крупных суставов конечностей с различными видами фиксации и остеосинтеза | 156563,00 | 0,25 | 160672,80 | ||||||||||||||||||||||||||
| 
 | Реконструктивно-пластические операции при комбинированных дефектах и деформациях дистальных отделов конечностей с использованием чрескостных аппаратов и прецизионной техники, а также замещением мягкотканных и костных хрящевых дефектов синтетическими и биологическими материалами | M24.6, Z98.1, G80.1, G80.2, M21.0, M21.2, M21.4, M21.5, M21.9, Q68.1, Q72.5, Q72.6, Q72.8, Q72.9, Q74.2, Q74.3, Q74.8, Q77.7, Q87.3, G11.4, G12.1, G80.9, S44, S45, S46, S50, M19.1, M20.1, M20.5, Q05.9, Q66.0, Q66.5, Q66.8, Q68.2 | врожденные и приобретенные дефекты и деформации стопы и кисти, предплечья различной этиологии у взрослых. Любой этиологии деформации стопы и кисти у детей | хирургическое лечение | артролиз и артродез суставов кисти с различными видами чрескостного, накостного и интрамедуллярного остеосинтеза | 156563,00 | 0,25 | 160672,80 | ||||||||||||||||||||||||||
| 
 | 
 | 
 | 
 | 
 | реконструктивно-пластическое хирургическое вмешательство на костях стоп с использованием ауто- и аллотрансплантатов, имплантатов, остеозамещающих материалов, металлоконструкций | 156563,00 | 0,25 | 160672,80 | ||||||||||||||||||||||||||
| 
 | Реконструктивно-пластические операции на костях таза, верхних и нижних конечностях с использованием погружных или наружных фиксирующих устройств, синтетических и биологических остеозамещающих материалов, компьютерной навигации | S70.7, S70.9, S71, S72, S77, S79, S42, S43, S47, S49, S50, M99.9, M21.6, M95.1, M21.8, M21.9, Q66, Q78, M86, G11.4, G12.1, G80.9, G80.1, G80.2 | любой этиологии деформации таза, костей верхних и нижних конечностей (угловая деформация не менее 20 градусов, смещение по периферии не менее 20 мм) любой локализации, в том числе многоуровневые и сопровождающиеся укорочением конечности (не менее 30 мм), стойкими контрактурами суставов. Любой этиологии дефекты костей таза, верхних и нижних конечностей (не менее 20 мм) любой локализации, в том числе сопровождающиеся укорочением конечности (не менее 30 мм), стойкими контрактурами суставов. Деформации костей таза, бедренной кости у детей со спастическим синдромом | хирургическое лечение | чрескостный остеосинтез с использованием метода цифрового анализа | 156563,00 | 0,25 | 160672,80 | ||||||||||||||||||||||||||
| 
 | 
 | 
 | 
 | 
 | чрескостный остеосинтез методом компоновок аппаратов с использованием модульной трансформации | 156563,00 | 0,25 | 160672,80 | ||||||||||||||||||||||||||
| 
 | 
 | 
 | 
 | 
 | корригирующие остеотомии костей верхних и нижних конечностей | 156563,00 | 0,25 | 160672,80 | ||||||||||||||||||||||||||
| 
 | 
 | 
 | 
 | 
 | комбинированное и последовательное использование чрескостного и блокируемого интрамедуллярного или накостного остеосинтеза | 156563,00 | 0,25 | 160672,80 | ||||||||||||||||||||||||||
| 
 | 
 | M25.3, M91, M95.8, Q65.0, Q65.1, Q65.3, Q65.4, Q65.8, M16.2, M16.3, M92 | дисплазии, аномалии развития, последствия травм крупных суставов | хирургическое лечение | реконструкция проксимального, дистального отдела бедренной, большеберцовой костей при пороках развития, приобретенных деформациях, требующих корригирующей остеотомии, с остеосинтезом погружными имплантатами | 156563,00 | 0,25 | 160672,80 | ||||||||||||||||||||||||||
| 
 | 
 | 
 | 
 | 
 | создание оптимальных взаимоотношений в суставе путем выполнения различных вариантов остеотомий бедренной и большеберцовой костей с изменением их пространственного положения и фиксацией имплантатами или аппаратами внешней фиксации | 156563,00 | 0,25 | 160672,80 | ||||||||||||||||||||||||||
| 
 | 
 | M24.6 | анкилоз крупного сустава в порочном положении | хирургическое лечение | корригирующие остеотомии с фиксацией имплантатами или аппаратами внешней фиксации | 156563,00 | 0,25 | 160672,80 | ||||||||||||||||||||||||||
| 57. | Реконструктивные и декомпрессивные операции при травмах и заболеваниях позвоночника с резекцией позвонков, корригирующей вертебротомией с использованием протезов тел позвонков и межпозвонковых дисков, костного цемента и остеозамещающих материалов с применением погружных и наружных фиксирующих устройств | A18.0, S12.0, S12.1, S13, S14, S19, S22.0, S22.1, S23, S24, S32.0, S32.1, S33, S34, T08, T09, T85, T91, M80, M81, M82, M86, M85, M87, M96, M99, Q67, Q76.0, Q76.1, Q76.4, Q77, Q76.3 | переломы позвонков, повреждения (разрыв) межпозвонковых дисков и связок позвоночника, деформации позвоночного столба вследствие его врожденной патологии или перенесенных заболеваний | хирургическое лечение | декомпрессивно-стабилизирующее вмешательство с резекцией позвонка, межпозвонкового диска, связочных элементов сегмента позвоночника из вентрального или заднего доступов, репозиционно-стабилизирующий спондилосинтез с использованием костной пластики (спондилодеза), погружных имплантатов | 319018,00 | 0,33 | 330072,00 | ||||||||||||||||||||||||||
| 58. | Эндопротезирование коленных суставов при выраженных деформациях, дисплазии, анкилозах, неправильно сросшихся и несросшихся переломах области сустава, посттравматических вывихах и подвывихах, остеопорозе, в том числе с использованием компьютерной навигации | M17 | деформирующий артроз в сочетании с посттравматическими и послеоперационными деформациями конечности на различном уровне и в различных плоскостях | хирургическое лечение | имплантация эндопротеза с одновременной реконструкцией биологической оси конечности | 185111,00 | 0,23 | 189581,40 | ||||||||||||||||||||||||||
| 59. | Эндопротезирование суставов конечностей при выраженных деформациях, дисплазии, анкилозах, неправильно сросшихся и несросшихся переломах области сустава, посттравматических вывихах и подвывихах, остеопорозе и системных заболеваниях, в том числе с использованием компьютерной навигации | M16 | деформирующий артроз в сочетании с посттравматическими и послеоперационными деформациями конечности на различном уровне и в различных плоскостях | хирургическое лечение | имплантация эндопротеза, в том числе под контролем компьютерной навигации, с одновременной реконструкцией биологической оси конечности | 245582,00 | 0,45 | 257185,70 | ||||||||||||||||||||||||||
| 
 | 
 | 
 | 
 | 
 | устранение сложных многоплоскостных деформаций за счет использования чрескостных аппаратов со свойствами пассивной компьютерной навигации | 245582,00 | 0,45 | 257185,70 | ||||||||||||||||||||||||||
| 
 | 
 | 
 | 
 | 
 | имплантация эндопротеза, в том числе под контролем компьютерной навигации, с предварительным удалением аппаратов внешней фиксации | 245582,00 | 0,45 | 257185,70 | ||||||||||||||||||||||||||
| 
 | 
 | M16.2, M16.3 | деформирующий артроз в сочетании с дисплазией сустава | хирургическое лечение | имплантация специальных диспластических компонентов эндопротеза с костной аутопластикой крыши вертлужной впадины или замещением дефекта крыши опорными блоками из трабекулярного металла | 245582,00 | 0,45 | 257185,70 | ||||||||||||||||||||||||||
| 
 | 
 | 
 | 
 | 
 | укорачивающая остеотомия бедренной кости и имплантация специальных диспластических компонентов эндопротеза с реконструкцией отводящего механизма бедра путем транспозиции большого вертела | 245582,00 | 0,45 | 257185,70 | ||||||||||||||||||||||||||
| 
 | 
 | M16.4, M16.5 | посттравматический деформирующий артроз сустава с вывихом или подвывихом | хирургическое лечение | имплантация эндопротеза, в том числе с использованием компьютерной навигации, и замещением дефекта костным аутотрансплантатом или опорными блоками из трабекулярного металла | 245582,00 | 0,45 | 257185,70 | ||||||||||||||||||||||||||
| 
 | 
 | 
 | 
 | 
 | артролиз и управляемое восстановление длины конечности посредством применения аппаратов внешней фиксации | 245582,00 | 0,45 | 257185,70 | ||||||||||||||||||||||||||
| 
 | 
 | 
 | 
 | 
 | имплантация эндопротеза с замещением дефекта костным аутотрансплантатом или опорными блоками из трабекулярного металла с предварительным удалением аппарата внешней фиксации | 245582,00 | 0,45 | 257185,70 | ||||||||||||||||||||||||||
| 60. | Реконструктивные и корригирующие операции при сколиотических деформациях позвоночника 3 - 4 степени с применением имплантатов, стабилизирующих систем, аппаратов внешней фиксации, в том числе у детей, в сочетании с аномалией развития грудной клетки | M40, M41, Q67, Q76, Q77.4, Q85, Q87 | реберный горб. Врожденные деформации позвоночника. Врожденные деформации грудной клетки. Остеохондродисплазия и спондилоэпифизарная дисплазия. Ахондроплазия. Нейрофиброматоз. Синдром Марфана | хирургическое лечение | пластика грудной клетки, в том числе с применением погружных фиксаторов | 396727,00 | 0,09 | 400476,10 | ||||||||||||||||||||||||||
| Урология | ||||||||||||||||||||||||||||||||||
| 61. | Реконструктивно-пластические операции на органах мочеполовой системы, включающие кишечную пластику мочевых путей, реимплантацию мочеточников, пластику мочевых путей с использованием аутологичных лоскутов, коррекцию урогенитальных свищей | N13.0, N13.1, N13.2, N35, Q54, Q64.0, Q64.1, Q62.1, Q62.2, Q62.3, Q62.7, C67, N82.1, N82.8, N82.0, N32.2, N33.8 | стриктура мочеточника. Стриктура уретры. Сморщенный мочевой пузырь. Гипоспадия. Эписпадия. Экстрофия мочевого пузыря. Врожденный уретерогидронефроз. Врожденный мегауретер. Врожденное уретероцеле, в том числе при удвоении почки. Врожденный пузырно-мочеточниковый рефлюкс. Опухоль мочевого пузыря. Урогенитальный свищ, осложненный, рецидивирующий | хирургическое лечение | уретропластика кожным лоскутом | 110511,00 | 0,29 | 113876,10 | ||||||||||||||||||||||||||
| 
 | 
 | 
 | 
 | 
 | кишечная пластика мочеточника | 110511,00 | 0,29 | 113876,10 | ||||||||||||||||||||||||||
| 
 | 
 | 
 | 
 | 
 | уретероцистоанастомоз (операция Боари), в том числе у детей | 110511,00 | 0,29 | 113876,10 | ||||||||||||||||||||||||||
| 
 | 
 | 
 | 
 | 
 | уретероцистоанастомоз при рецидивных формах уретерогидронефроза | 110511,00 | 0,29 | 113876,10 | ||||||||||||||||||||||||||
| 
 | 
 | 
 | 
 | 
 | уретероилеосигмостомия у детей | 110511,00 | 0,29 | 113876,10 | ||||||||||||||||||||||||||
| 
 | 
 | 
 | 
 | 
 | эндоскопическое бужирование и стентирование мочеточника у детей | 110511,00 | 0,29 | 113876,10 | ||||||||||||||||||||||||||
| 
 | 
 | 
 | 
 | 
 | цистопластика и восстановление уретры при гипоспадии, эписпадии и экстрофии | 110511,00 | 0,29 | 113876,10 | ||||||||||||||||||||||||||
| 
 | 
 | 
 | 
 | 
 | пластическое ушивание свища с анатомической реконструкцией | 110511,00 | 0,29 | 113876,10 | ||||||||||||||||||||||||||
| 
 | 
 | 
 | 
 | 
 | аппендикоцистостомия по Митрофанову у детей с нейрогенным мочевым пузырем | 110511,00 | 0,29 | 113876,10 | ||||||||||||||||||||||||||
| 
 | 
 | 
 | 
 | 
 | радикальная цистэктомия с кишечной пластикой мочевого пузыря | 110511,00 | 0,29 | 113876,10 | ||||||||||||||||||||||||||
| 
 | 
 | 
 | 
 | 
 | аугментационная цистопластика | 110511,00 | 0,29 | 113876,10 | ||||||||||||||||||||||||||
| 
 | 
 | 
 | 
 | 
 | восстановление уретры с использованием реваскуляризированного свободного лоскута | 110511,00 | 0,29 | 113876,10 | ||||||||||||||||||||||||||
| 
 | 
 | 
 | 
 | 
 | уретропластика лоскутом из слизистой рта | 110511,00 | 0,29 | 113876,10 | ||||||||||||||||||||||||||
| 
 | 
 | 
 | 
 | 
 | иссечение и закрытие свища женских половых органов (фистулопластика) | 110511,00 | 0,29 | 113876,10 | ||||||||||||||||||||||||||
| 
 | Оперативные вмешательства на органах мочеполовой системы с использованием лапароскопической техники | N28.1, Q61.0, N13.0, N13.1, N13.2, N28, I86.1 | опухоль предстательной железы. Опухоль почки. Опухоль мочевого пузыря. Опухоль почечной лоханки. Прогрессивно растущая киста почки. Стриктура мочеточника | хирургическое лечение | лапаро- и экстраперитонеоскопическая простатэктомия | 110511,00 | 0,29 | 113876,10 | ||||||||||||||||||||||||||
| 
 | 
 | 
 | 
 | 
 | лапаро- и экстраперитонеоскопическая цистэктомия | 110511,00 | 0,29 | 113876,10 | ||||||||||||||||||||||||||
| 
 | 
 | 
 | 
 | 
 | лапаро- и ретроперитонеоскопическая тазовая лимфаденэктомия | 110511,00 | 0,29 | 113876,10 | ||||||||||||||||||||||||||
| 
 | 
 | 
 | 
 | 
 | лапаро- и ретроперитонеоскопическая нефрэктомия | 110511,00 | 0,29 | 113876,10 | ||||||||||||||||||||||||||
| 
 | 
 | 
 | 
 | 
 | лапаро- и ретроперитонеоскопическое иссечение кисты почки | 110511,00 | 0,29 | 113876,10 | ||||||||||||||||||||||||||
| 
 | 
 | 
 | 
 | 
 | лапаро- и ретроперитонеоскопическая пластика лоханочно-мочеточникового сегмента, мочеточника | 110511,00 | 0,29 | 113876,10 | ||||||||||||||||||||||||||
| 
 | 
 | 
 | опухоль предстательной железы. Опухоль почки. Опухоль мочевого пузыря. Опухоль почечной лоханки | хирургическое лечение | лапаро- и ретроперитонеоскопическая нефроуретерэктомия | 110511,00 | 0,29 | 113876,10 | ||||||||||||||||||||||||||
| 
 | 
 | 
 | 
 | 
 | лапаро- и ретроперитонеоскопическая резекция почки | 110511,00 | 0,29 | 113876,10 | ||||||||||||||||||||||||||
| 
 | Рецидивные и особо сложные операции на органах мочеполовой системы | N20.0, N20.1, N20.2, N13.0, N13.1, N13.2, Q62.1, Q62.2, Q62.3, Q62.7 | камни почек. Камни мочеточника. Камни почек с камнями мочеточника. Стриктура мочеточника. Врожденный уретерогидронефроз. Врожденный мегауретер | хирургическое лечение | перкутанная нефролитолапоксия в сочетании с лазерной литотрипсией | 110511,00 | 0,29 | 113876,10 | ||||||||||||||||||||||||||
| 62. | Оперативные вмешательства на органах мочеполовой системы с имплантацией синтетических сложных и сетчатых протезов | R32, N31.2 | недержание мочи при напряжении. Несостоятельность сфинктера мочевого пузыря. Атония мочевого пузыря | хирургическое лечение | петлевая пластика уретры с использованием петлевого, синтетического, сетчатого протеза при недержании мочи | 162790,00 | 0,32 | 168259,70 | ||||||||||||||||||||||||||
| Хирургия | ||||||||||||||||||||||||||||||||||
| 63. | Микрохирургические, расширенные, комбинированные и реконструктивно-пластические операции на поджелудочной железе, в том числе лапароскопически ассистированные операции | K86.0 - K86.8 | заболевания поджелудочной железы | хирургическое лечение | резекция поджелудочной железы субтотальная | 193718,00 | 0,20 | 197786,10 | ||||||||||||||||||||||||||
| 
 | 
 | 
 | 
 | 
 | наложение гепатикоеюноанастомоза | 193718,00 | 0,20 | 197786,10 | ||||||||||||||||||||||||||
| 
 | 
 | 
 | 
 | 
 | резекция поджелудочной железы эндоскопическая | 193718,00 | 0,20 | 197786,10 | ||||||||||||||||||||||||||
| 
 | 
 | 
 | 
 | 
 | дистальная резекция поджелудочной железы с сохранением селезенки | 193718,00 | 0,20 | 197786,10 | ||||||||||||||||||||||||||
| 
 | 
 | 
 | 
 | 
 | дистальная резекция поджелудочной железы со спленэктомией | 193718,00 | 0,20 | 197786,10 | ||||||||||||||||||||||||||
| 
 | 
 | 
 | 
 | 
 | срединная резекция поджелудочной железы (атипичная резекция) | 193718,00 | 0,20 | 197786,10 | ||||||||||||||||||||||||||
| 
 | 
 | 
 | 
 | 
 | панкреатодуоденальная резекция с резекцией желудка | 193718,00 | 0,20 | 197786,10 | ||||||||||||||||||||||||||
| 
 | 
 | 
 | 
 | 
 | субтотальная резекция головки поджелудочной железы | 193718,00 | 0,20 | 197786,10 | ||||||||||||||||||||||||||
| 
 | 
 | 
 | 
 | 
 | продольная панкреатоеюностомия | 193718,00 | 0,20 | 197786,10 | ||||||||||||||||||||||||||
| 
 | Микрохирургические и реконструктивно-пластические операции на печени, желчных протоках и сосудах печени, в том числе эндоваскулярные операции на сосудах печени и реконструктивные операции на сосудах системы воротной вены, стентирование внутри- и внепеченочных желчных протоков | D18.0, D13.4, D13.5, B67.0, K76.6, K76.8, Q26.5, I85.0 | заболевания, врожденные аномалии печени, желчных протоков, воротной вены. Новообразования печени. Новообразования внутрипеченочных желчных протоков. Новообразования внепеченочных желчных протоков. Новообразования желчного пузыря. Инвазия печени, вызванная эхинококком | хирургическое лечение | резекция печени с использованием лапароскопической техники | 193718,00 | 0,20 | 197786,10 | ||||||||||||||||||||||||||
| 
 | 
 | 
 | 
 | 
 | резекция одного сегмента печени | 193718,00 | 0,20 | 197786,10 | ||||||||||||||||||||||||||
| 
 | 
 | 
 | 
 | 
 | резекция сегмента (сегментов) печени с реконструктивно-пластическим компонентом | 193718,00 | 0,20 | 197786,10 | ||||||||||||||||||||||||||
| 
 | 
 | 
 | 
 | 
 | резекция печени атипичная | 193718,00 | 0,20 | 197786,10 | ||||||||||||||||||||||||||
| 
 | 
 | 
 | 
 | 
 | эмболизация печени с использованием лекарственных средств | 193718,00 | 0,20 | 197786,10 | ||||||||||||||||||||||||||
| 
 | 
 | 
 | 
 | 
 | резекция сегмента (сегментов) печени комбинированная с ангиопластикой | 193718,00 | 0,20 | 197786,10 | ||||||||||||||||||||||||||
| 
 | 
 | 
 | 
 | 
 | абляция при новообразованиях печени | 193718,00 | 0,20 | 197786,10 | ||||||||||||||||||||||||||
| 
 | Реконструктивно-пластические, в том числе лапароскопически ассистированные операции на тонкой, толстой кишке и промежности | D12.6, K60.4, N82.2, N82.3, N82.4, K57.2, K59.3, Q43.1, Q43.2, Q43.3, Q52.2, K59.0, K59.3, Z93.2, Z93.3, K55.2, K51, K50.0, K50.1, K50.8, K57.2, K62.3, K62.8 | семейный аденоматоз толстой кишки, тотальное поражение всех отделов толстой кишки полипами | хирургическое лечение | реконструктивно-пластическая операция по восстановлению непрерывности кишечника - закрытие стомы с формированием анастомоза | 193718,00 | 0,20 | 197786,10 | ||||||||||||||||||||||||||
| 
 | 
 | 
 | 
 | 
 | колэктомия с резекцией прямой кишки, мукозэктомией прямой кишки, с формированием тонкокишечного резервуара, илеоректального анастомоза, илеостомия | 193718,00 | 0,20 | 197786,10 | ||||||||||||||||||||||||||
| 
 | 
 | 
 | 
 | 
 | субтотальная резекция ободочной кишки с брюшно-анальной резекцией прямой кишки и низведением правых отделов ободочной кишки в анальный канал | 193718,00 | 0,20 | 197786,10 | ||||||||||||||||||||||||||
| 
 | 
 | 
 | свищ прямой кишки 3 - 4 степени сложности | хирургическое лечение | иссечение свища, пластика свищевого отверстия полнослойным лоскутом стенки прямой кишки - сегментарная проктопластика, пластика анальных сфинктеров | 193718,00 | 0,20 | 197786,10 | ||||||||||||||||||||||||||
| 
 | 
 | 
 | ректовагинальный (коловагинальный) свищ | хирургическое лечение | иссечение свища с пластикой внутреннего свищевого отверстия сегментом прямой или ободочной кишки | 193718,00 | 0,20 | 197786,10 | ||||||||||||||||||||||||||
| 
 | 
 | 
 | дивертикулярная болезнь ободочной кишки, осложненное течение | хирургическое лечение | резекция ободочной кишки, в том числе с ликвидацией свища | 193718,00 | 0,20 | 197786,10 | ||||||||||||||||||||||||||
| 
 | 
 | 
 | мегадолихоколон, рецидивирующие завороты сигмовидной кишки | хирургическое лечение | резекция ободочной кишки с аппендэктомией, разворотом кишки на 180 градусов, формированием асцендо-ректального анастомоза | 193718,00 | 0,20 | 197786,10 | ||||||||||||||||||||||||||
| 
 | 
 | 
 | болезнь Гиршпрунга, мегадолихосигма | хирургическое лечение | резекция ободочной кишки с формированием наданального конце-бокового колоректального анастомоза | 193718,00 | 0,20 | 197786,10 | ||||||||||||||||||||||||||
| 
 | 
 | 
 | хронический толстокишечный стаз в стадии декомпенсации | хирургическое лечение | резекция ободочной кишки с аппендэктомией, разворотом кишки на 180 градусов, формированием асцендо-ректального анастомоза | 193718,00 | 0,20 | 197786,10 | ||||||||||||||||||||||||||
| 
 | 
 | 
 | колостома, илеостома, еюностома, состояние после обструктивной резекции ободочной кишки | хирургическое лечение | реконструктивно-восстановительная операция по восстановлению непрерывности кишечника с ликвидацией стомы, формированием анастомоза | 193718,00 | 0,20 | 197786,10 | ||||||||||||||||||||||||||
| 
 | 
 | 
 | врожденная ангиодисплазия толстой кишки | хирургическое лечение | резекция пораженных отделов ободочной и (или) прямой кишки | 193718,00 | 0,20 | 197786,10 | ||||||||||||||||||||||||||
| 
 | 
 | 
 | язвенный колит, тотальное поражение, хроническое непрерывное течение, тяжелая гормонозависимая или гормонорезистентная форма | хирургическое лечение | колпроктэктомия с формированием резервуарного анастомоза, илеостомия | 193718,00 | 0,20 | 197786,10 | ||||||||||||||||||||||||||
| 
 | 
 | 
 | 
 | 
 | колэктомия с брюшно-анальной резекцией прямой кишки, илеостомия | 193718,00 | 0,20 | 197786,10 | ||||||||||||||||||||||||||
| 
 | 
 | 
 | 
 | 
 | резекция оставшихся отделов ободочной и прямой кишки, илеостомия | 193718,00 | 0,20 | 197786,10 | ||||||||||||||||||||||||||
| 
 | 
 | 
 | болезнь Крона тонкой, толстой кишки и в форме илеоколита, осложненное течение, тяжелая гормонозависимая или гормонорезистентная форма | хирургическое лечение | колпроктэктомия с формированием резервуарного анастомоза, илеостомия | 193718,00 | 0,20 | 197786,10 | ||||||||||||||||||||||||||
| 
 | 
 | 
 | 
 | 
 | резекция пораженного участка тонкой и (или) толстой кишки, в том числе с формированием анастомоза, илеостомия (колостомия) | 193718,00 | 0,20 | 197786,10 | ||||||||||||||||||||||||||
| 64. | Хирургическое лечение новообразований надпочечников и забрюшинного пространства | E27.5, D35.0, D48.3, E26.0, E24 | новообразования надпочечников и забрюшинного пространства заболевания надпочечников гиперальдостеронизм гиперкортицизм. Синдром Иценко - Кушинга (кортикостерома) | хирургическое лечение | односторонняя адреналэктомия открытым доступом (лапаротомия, люмботомия, торакофренолапаротомия) | 208916,00 | 0,27 | 214838,80 | ||||||||||||||||||||||||||
| 
 | 
 | 
 | 
 | 
 | удаление параганглиомы открытым доступом (лапаротомия, люмботомия, торакофренолапаротомия) | 208916,00 | 0,27 | 214838,80 | ||||||||||||||||||||||||||
| 
 | 
 | 
 | 
 | 
 | эндоскопическое удаление параганглиомы | 208916,00 | 0,27 | 214838,80 | ||||||||||||||||||||||||||
| 
 | 
 | 
 | 
 | 
 | аортокавальная лимфаденэктомия лапаротомным доступом | 208916,00 | 0,27 | 214838,80 | ||||||||||||||||||||||||||
| 
 | 
 | 
 | 
 | 
 | эндоскопическая адреналэктомия с опухолью | 208916,00 | 0,27 | 214838,80 | ||||||||||||||||||||||||||
| 
 | 
 | 
 | 
 | 
 | двусторонняя эндоскопическая адреналэктомия | 208916,00 | 0,27 | 214838,80 | ||||||||||||||||||||||||||
| 
 | 
 | 
 | 
 | 
 | двусторонняя эндоскопическая адреналэктомия с опухолями | 208916,00 | 0,27 | 214838,80 | ||||||||||||||||||||||||||
| 
 | 
 | 
 | 
 | 
 | аортокавальная лимфаденэктомия эндоскопическая | 208916,00 | 0,27 | 214838,80 | ||||||||||||||||||||||||||
| 
 | 
 | 
 | 
 | 
 | удаление неорганной забрюшинной опухоли | 208916,00 | 0,27 | 214838,80 | ||||||||||||||||||||||||||
| Челюстно-лицевая хирургия | ||||||||||||||||||||||||||||||||||
| 65. | Реконструктивно-пластические операции при врожденных пороках развития черепно-челюстно-лицевой области | Q36.9 | врожденная полная односторонняя расщелина верхней губы | хирургическое лечение | реконструктивная хейлоринопластика | 144051,00 | 0,32 | 148891,10 | ||||||||||||||||||||||||||
| 
 | 
 | L91, M96, M95.0 | рубцовая деформация верхней губы и концевого отдела носа после ранее проведенной хейлоринопластики | хирургическое лечение | хирургическая коррекция рубцовой деформации верхней губы и носа местными тканями | 144051,00 | 0,32 | 148891,10 | ||||||||||||||||||||||||||
| 
 | 
 | Q35.1, M96 | послеоперационный дефект твердого неба | хирургическое лечение | пластика твердого неба лоскутом на ножке из прилегающих участков (из щеки, языка, верхней губы, носогубной складки) | 144051,00 | 0,32 | 148891,10 | ||||||||||||||||||||||||||
| 
 | 
 | 
 | 
 | 
 | реконструктивно-пластическая операция с использованием реваскуляризированного лоскута | 144051,00 | 0,32 | 148891,10 | ||||||||||||||||||||||||||
| 
 | 
 | Q35, Q38 | врожденная и приобретенная небно-глоточная недостаточность различного генеза | хирургическое лечение | реконструктивная операция при небно-глоточной недостаточности (велофарингопластика, комбинированная повторная урановелофарингопластика, сфинктерная фарингопластика) | 144051,00 | 0,32 | 148891,10 | ||||||||||||||||||||||||||
| 
 | 
 | Q18, Q30 | врожденная расщелина носа, лица - косая, поперечная, срединная | хирургическое лечение | хирургическое устранение расщелины, в том числе методом контурной пластики с использованием трансплантационных и имплантационных материалов | 144051,00 | 0,32 | 148891,10 | ||||||||||||||||||||||||||
| 
 | 
 | K07.0, K07.1, K07.2 | аномалии челюстно-лицевой области, включая аномалии прикуса | хирургическое лечение | хирургическое устранение аномалий челюстно-лицевой области путем остеотомии и перемещения суставных дисков и зубочелюстных комплексов | 144051,00 | 0,32 | 148891,10 | ||||||||||||||||||||||||||
| 
 | Реконструктивно-пластические операции по устранению обширных дефектов и деформаций мягких тканей, отдельных анатомических зон и (или) структур головы, лица и шеи | M95.1, Q87.0 | субтотальный дефект и деформация ушной раковины | хирургическое лечение | пластика с использованием тканей из прилегающих к ушной раковине участков | 144051,00 | 0,32 | 148891,10 | ||||||||||||||||||||||||||
| 
 | 
 | Q18.5 | микростомия | хирургическое лечение | пластическое устранение микростомы | 144051,00 | 0,32 | 148891,10 | ||||||||||||||||||||||||||
| 
 | 
 | Q18.4 | макростомия | хирургическое лечение | пластическое устранение макростомы | 144051,00 | 0,32 | 148891,10 | ||||||||||||||||||||||||||
| 
 | Реконструктивно-пластические, микрохирургические и комбинированные операции при лечении новообразований мягких тканей и (или) костей лицевого скелета с одномоментным пластическим устранением образовавшегося раневого дефекта или замещением его с помощью сложного челюстно-лицевого протезирования | D11.0 | доброкачественное новообразование околоушной слюнной железы | хирургическое лечение | удаление новообразования | 144051,00 | 0,32 | 148891,10 | ||||||||||||||||||||||||||
| 
 | Реконструктивно-пластические, микрохирургические и комбинированные операции при лечении новообразований мягких тканей и (или) костей лицевого скелета с одномоментным пластическим устранением образовавшегося раневого дефекта или замещением его с помощью сложного челюстно-лицевого протезирования | D11.9 | новообразование околоушной слюнной железы с распространением в прилегающие области | хирургическое лечение | удаление новообразования | 144051,00 | 0,32 | 148891,10 | ||||||||||||||||||||||||||
| 
 | 
 | D16.4, D16.5 | доброкачественные новообразования челюстей и послеоперационные дефекты | хирургическое лечение | удаление новообразования с одномоментным устранением дефекта с использованием трансплантационных и имплантационных материалов, в том числе и трансплантатов на сосудистой ножке и челюстно-лицевых протезов | 144051,00 | 0,32 | 148891,10 | ||||||||||||||||||||||||||
| 
 | 
 | T90.2 | последствия переломов черепа и костей лицевого скелета | хирургическое лечение | устранение дефектов и деформаций с использованием трансплантационных и имплантационных материалов | 144051,00 | 0,32 | 148891,10 | ||||||||||||||||||||||||||
| Эндокринология | ||||||||||||||||||||||||||||||||||
| 66. | Терапевтическое лечение сахарного диабета и его сосудистых осложнений (нефропатии, нейропатии, диабетической стопы, ишемических поражений сердца и головного мозга), включая заместительную инсулиновую терапию системами постоянной подкожной инфузии | E10.9, E11.9, E13.9, E14.9 | сахарный диабет с нестандартным течением, синдромальные, моногенные формы сахарного диабета | терапевтическое лечение | комплексное лечение, включая персонализированную терапию сахарного диабета на основе молекулярно-генетических, иммунологических, гормональных и биохимических методов диагностики | 216961,00 | 0,17 | 220833,80 | ||||||||||||||||||||||||||
| 
 | 
 | E10.2, E10.4, E10.5, E10.7, E11.2, E11.4, E11.5, E11.7 | сахарный диабет 1 и 2 типа с поражением почек, неврологическими нарушениями, нарушениями периферического кровообращения и множественными осложнениями, синдромом диабетической стопы | терапевтическое лечение | комплексное лечение, включая установку средств суточного мониторирования гликемии с компьютерным анализом вариабельности суточной гликемии и нормализацией показателей углеводного обмена системой непрерывного введения инсулина (инсулиновая помпа) | 216961,00 | 0,17 | 220833,80 | ||||||||||||||||||||||||||
| 67. | Комплексное лечение тяжелых форм АКТГ-синдрома | E24.3 | эктопический АКТГ - синдром (с выявленным источником эктопической секреции) | хирургическое лечение | хирургическое лечение с последующим иммуногистохимическим исследованием ткани удаленной опухоли | 119595,00 | 0,32 | 123613,40 | ||||||||||||||||||||||||||
| 
 | 
 | E24.9 | синдром Иценко - Кушинга неуточненный | хирургическое лечение | хирургическое лечение гиперкортицизма с проведением двухсторонней адреналэктомии, применением аналогов соматостатина пролонгированного действия, блокаторов стероидогенеза | 119595,00 | 0,32 | 123613,40 | ||||||||||||||||||||||||||
Приложение N 16/2
к Тарифному соглашению
в сфере обязательного
медицинского страхования
Челябинской области
от 30 декабря 2022 г. N 199-ОМС 
Тарифы на оплату высокотехнологичной
медицинской помощи, оказанной
застрахованным лицам Челябинской
области в круглосуточном стационаре, в
рамках объемов, установленных в
дополнение к базовой программе ОМС, с
01.01.2023 
     Исключены с 30.03.2023. - Дополнительное
соглашение к Тарифному соглашению в
сфере обязательного медицинского
страхования Челябинской области от
30.03.2023 N 2/199-ОМС.
Приложение N 17/1
к Тарифному соглашению
в сфере обязательного
медицинского страхования
Челябинской области
от 30 декабря 2022 г. N 199-ОМС 
Коэффициенты половозрастного состава,
коэффициенты уровня расходов
медицинских организаций, коэффициенты
достижения целевых показателей уровня
заработной платы медицинских
работников, установленных "дорожной
картой" развития здравоохранения в
Челябинской области, фактические
дифференцированные подушевые нормативы
финансирования скорой медицинской
помощи, оказываемой вне медицинской
организации, с 01.01.2023 
(в ред. Дополнительного соглашения к Тарифному соглашению в сфере обязательного медицинского страхования Челябинской области от 30.03.2023 N 2/199-ОМС)
     (рублей)
| N п/п | Код медицинской организации | Наименование территории | Наименование МО | Коэффициент половозрастного состава | Коэффициент уровня расходов медицинской организации | Коэффициенты достижения целевых показателей уровня заработной платы медицинских работников, установленных "дорожной картой" развития здравоохранения в Челябинской области | Фактический дифференцированный подушевой норматив финансирования скорой медицинской помощи, оказываемой вне медицинской организации | 
| А | 1 | 2 | 3 | 5 | 6 | 7 | 8 | 
| 1 | 224 | Агаповский муниципальный район | Государственное бюджетное учреждение здравоохранения "Районная больница с. Агаповка" | 0,976 | 1,060 | 0,969 | 85,62 | 
| 2 | 234 | Аргаяшский муниципальный район | Государственное бюджетное учреждение здравоохранения "Районная больница с. Аргаяш" | 0,966 | 0,997 | 0,969 | 79,71 | 
| 3 | 242 | Ашинский муниципальный район | Государственное бюджетное учреждение здравоохранения "Районная больница г. Аша" | 1,012 | 1,060 | 0,969 | 88,78 | 
| 4 | 248 | Брединский муниципальный район | Государственное бюджетное учреждение здравоохранения "Районная больница п. Бреды" | 0,973 | 1,050 | 0,969 | 84,55 | 
| 5 | 324 | Варненский муниципальный район | Государственное бюджетное учреждение здравоохранения "Районная больница с. Варна" | 0,994 | 1,075 | 0,969 | 88,43 | 
| 6 | 257 | Верхнеуральский муниципальный район | Государственное бюджетное учреждение здравоохранения "Районная больница г. Верхнеуральск" | 1,004 | 1,106 | 0,969 | 91,90 | 
| 7 | 198 | Верхнеуфалейский городской округ | Государственное бюджетное учреждение здравоохранения "Городская больница г. Верхний Уфалей" | 1,026 | 1,007 | 0,969 | 85,50 | 
| 8 | 674 | Златоустовский городской округ | Государственное бюджетное учреждение здравоохранения "Станция скорой медицинской помощи г. Златоуст" | 1,023 | 1,018 | 0,994 | 88,41 | 
| 9 | 209 | Карабашский городской округ | Государственное бюджетное учреждение здравоохранения "Городская больница г. Карабаш" | 1,015 | 0,987 | 0,969 | 82,91 | 
| 10 | 264 | Карталинский муниципальный район | Государственное бюджетное учреждение здравоохранения "Районная больница г. Карталы" | 0,990 | 1,078 | 0,969 | 88,32 | 
| (в ред. Дополнительного соглашения к Тарифному соглашению в сфере обязательного медицинского страхования Челябинской области от 30.03.2023 N 2/199-ОМС) | |||||||
| 11 | 274 | Каслинский муниципальный район | Государственное бюджетное учреждение здравоохранения "Районная больница г. Касли" | 1,022 | 1,023 | 0,969 | 86,53 | 
| 12 | 278 | Катав-Ивановский муниципальный район | Государственное бюджетное учреждение здравоохранения "Районная больница г. Катав-Ивановск" | 1,016 | 1,052 | 0,969 | 88,46 | 
| 13 | 334 | Кизильский муниципальный район | Государственное бюджетное учреждение здравоохранения "Районная больница с. Кизильское" | 1,008 | 1,114 | 0,969 | 92,93 | 
| 14 | 491 | Копейский городской округ | Государственное бюджетное учреждение здравоохранения "Станция скорой медицинской помощи г. Копейск" | 0,988 | 0,974 | 1,004 | 82,52 | 
| 15 | 675 | Коркинский муниципальный район | Государственное бюджетное учреждение здравоохранения "Станция скорой медицинской помощи г. Коркино" | 1,008 | 0,975 | 0,996 | 83,60 | 
| 16 | 344 | Красноармейский муниципальный район | Государственное бюджетное учреждение здравоохранения "Районная больница с. Миасское" | 1,004 | 1,056 | 0,990 | 89,64 | 
| 17 | 354 | Кунашакский муниципальный район | Государственное бюджетное учреждение здравоохранения "Районная больница с. Кунашак" | 0,994 | 1,050 | 0,969 | 86,38 | 
| 18 | 282 | Кусинский муниципальный район | Государственное бюджетное учреждение здравоохранения "Районная больница г. Куса" | 1,019 | 1,024 | 0,969 | 86,36 | 
| 19 | 216 | Кыштымский городской округ | Государственное бюджетное учреждение здравоохранения "Городская больница им. А.П. Силаева г. Кыштым" | 1,011 | 0,983 | 0,976 | 82,84 | 
| 20 | 676 | Магнитогорский городской округ | Государственное бюджетное учреждение здравоохранения "Станция скорой медицинской помощи г. Магнитогорск" | 0,988 | 0,983 | 0,987 | 81,87 | 
| 21 | 193 | Миасский городской округ | Государственное бюджетное учреждение здравоохранения "Станция скорой медицинской помощи г. Миасс" | 1,013 | 1,015 | 0,988 | 86,76 | 
| 22 | 363 | Нагайбакский муниципальный район | Государственное бюджетное учреждение здравоохранения "Районная больница с. Фершампенуаз" | 1,025 | 1,072 | 0,969 | 90,94 | 
| 23 | 286 | Нязепетровский муниципальный район | Государственное бюджетное учреждение здравоохранения "Районная больница г. Нязепетровск" | 1,019 | 1,086 | 0,969 | 91,58 | 
| 24 | 453 | Озерский городской округ | Федеральное государственное бюджетное учреждение здравоохранения "Клиническая больница N 71 Федерального медико-биологического агентства" | 1,030 | 0,984 | 1,032 | 97,82 | 
| 25 | 372 | Октябрьский муниципальный район | Государственное бюджетное учреждение здравоохранения "Районная больница с. Октябрьское" | 1,019 | 1,001 | 0,969 | 84,42 | 
| 26 | 218 | Пластовский муниципальный район | Государственное бюджетное учреждение здравоохранения "Районная больница г. Пласт" | 1,002 | 1,008 | 0,969 | 83,59 | 
| (в ред. Дополнительного соглашения к Тарифному соглашению в сфере обязательного медицинского страхования Челябинской области от 30.03.2023 N 2/199-ОМС) | |||||||
| 27 | 530 | Саткинский муниципальный район | Государственное бюджетное учреждение здравоохранения "Станция скорой медицинской помощи г. Сатка" | 0,993 | 1,033 | 0,979 | 85,77 | 
| 28 | 444 | Снежинский городской округ | Федеральное государственное бюджетное учреждение здравоохранения "Центральная медико-санитарная часть N 15 Федерального медико-биологического агентства" | 1,036 | 0,978 | 1,033 | 97,88 | 
| 29 | 378 | Сосновский муниципальный район | Государственное бюджетное учреждение здравоохранения "Районная больница с. Долгодеревенское" | 0,986 | 1,013 | 1,023 | 87,27 | 
| 30 | 445 | Трехгорный городской округ | Федеральное государственное бюджетное учреждение здравоохранения "Медико-санитарная часть N 72 Федерального медико-биологического агентства" | 1,006 | 0,965 | 0,990 | 84,68 | 
| 31 | 295 | Троицкий городской округ | Государственное бюджетное учреждение здравоохранения "Областная больница г. Троицк" | 1,005 | 1,068 | 0,977 | 89,56 | 
| 32 | 306 | Увельский муниципальный район | Государственное бюджетное учреждение здравоохранения "Районная больница п. Увельский" | 0,994 | 1,018 | 0,969 | 83,74 | 
| 33 | 391 | Уйский муниципальный район | Государственное бюджетное учреждение здравоохранения "Районная больница с. Уйское" | 1,034 | 1,019 | 0,969 | 87,20 | 
| 34 | 403 | Усть-Катавский городской округ | Федеральное государственное бюджетное учреждение здравоохранения "Медико-санитарная часть N 162 Федерального медико-биологического агентства" | 1,014 | 0,986 | 0,969 | 82,74 | 
| 35 | 315 | Чебаркульский городской округ | Государственное бюджетное учреждение здравоохранения "Районная больница г. Чебаркуль" | 1,010 | 1,008 | 0,988 | 85,91 | 
| (в ред. Дополнительного соглашения к Тарифному соглашению в сфере обязательного медицинского страхования Челябинской области от 30.03.2023 N 2/199-ОМС) | |||||||
| 36 | 672 | Челябинский городской округ | Государственное автономное учреждение здравоохранения "Станция скорой медицинской помощи" | 0,995 | 0,981 | 1,021 | 85,12 | 
| 37 | 766 | Челябинский городской округ | Общество с ограниченной ответственностью "ПолиКлиника" | 0,980 | 0,985 | 1,101 | 90,77 | 
| 38 | 397 | Чесменский муниципальный район | Государственное бюджетное учреждение здравоохранения "Районная больница с. Чесма" | 1,000 | 1,026 | 0,969 | 84,91 | 
| 39 | 222 | Южноуральский городской округ | Государственное бюджетное учреждение здравоохранения "Городская больница г. Южноуральск" | 1,016 | 0,960 | 0,969 | 80,72 | 
Приложение N 17/2
к Тарифному соглашению
в сфере обязательного
медицинского страхования
Челябинской области
от 30 декабря 2022 г. N 199-ОМС 
(в ред. Дополнительных соглашений
 к Тарифному соглашению в сфере
обязательного
 медицинского страхования Челябинской
области
 от 27.02.2023 N 1/199-ОМС, от 27.04.2023 N 3/199-ОМС)
Тарифы за вызов скорой медицинской
помощи, оказанной застрахованному
населению Челябинской области, вне
медицинской организации, с 01.01.2023 
Таблица 1 
     (рублей)
| N п/п | Наименование тарифа | Тариф | 
| А | 1 | 2 | 
| 1 | Вызов скорой медицинской помощи с проведением тромболитической терапии (применение проурокиназы) | 37517,80 | 
| 2 | Вызов скорой медицинской помощи с проведением тромболитической терапии (применение алтеплазы) | 55235,60 | 
| 3 | Вызов скорой медицинской помощи с проведением тромболитической терапии (применение тенектеплазы) | 60542,50 | 
| 4 | Вызов скорой медицинской помощи с проведением тромболитической терапии (применение рекомбинантного белка, содержащего аминокислотную последовательность стафилокиназы) | 52686,40 | 
Тарифы за вызов скорой медицинской
помощи, оказанной населению,
застрахованному на территории других
субъектов Российской Федерации, с 01.01.2023 
Таблица 2 
     (рублей)
| N п/п | Наименование тарифа | Тариф | 
| А | 1 | 2 | 
| 1 | Вызов скорой медицинской помощи | 3601,10 | 
| 2 | Вызов скорой медицинской помощи с проведением тромболитической терапии (применение проурокиназы) | 37517,80 | 
| 3 | Вызов скорой медицинской помощи с проведением тромболитической терапии (применение алтеплазы) | 55235,60 | 
| 4 | Вызов скорой медицинской помощи с проведением тромболитической терапии (применение тенектеплазы) | 60542,50 | 
| 5 | Вызов скорой медицинской помощи с проведением тромболитической терапии (применение рекомбинантного белка, содержащего аминокислотную последовательность стафилокиназы) | 52686,40 | 
Тарифы за вызов выездной бригады скорой
медицинской помощи при оказании
медицинской помощи в соответствии с
приказами Минздрава Челябинской области
от 09.09.2016 N 1517, от 29.03.2023 N 234
застрахованному населению Челябинской
области, а также населению,
застрахованному на территории других
субъектов Российской Федерации 
(в ред. Дополнительного соглашения к Тарифному соглашению в сфере обязательного медицинского страхования Челябинской области от 27.04.2023 N 3/199-ОМС)
Таблица 3 
     (рублей)
| N п/п | Наименование тарифа | Медицинские организации - исполнители и возрастные группы населения | Тариф | Территория (зона) обслуживания | 
| А | 1 | 2 | 3 | 4 | 
| 1 | Специализированная выездная бригада анестезиологии-реанимации педиатрическая с эвакуацией (дети от 0 до 28 суток) | Государственное автономное учреждение здравоохранения "Центр охраны материнства и детства г. Магнитогорск" (дети от 0 до 28 суток) | 6642,40 | Магнитогорский городской округ Агаповский муниципальный район | 
| 
 | 
 | 
 | 9386,60 | Верхнеуральский муниципальный район Кизильский муниципальный район Нагайбакский муниципальный район | 
| 
 | 
 | 
 | 13876,50 | Брединский муниципальный район | 
| 
 | 
 | 
 | 16924,30 | Челябинский городской округ | 
| 
 | 
 | Государственное автономное учреждение здравоохранения "Детская городская клиническая больница N 8 г. Челябинск" (дети от 0 до 28 суток) | 6642,40 | Челябинский городской округ Сосновский муниципальный район | 
| 
 | 
 | Государственное автономное учреждение здравоохранения "Челябинская областная детская клиническая больница" (дети от 0 до 28 суток) | 6642,40 | Челябинский городской округ Сосновский муниципальный район Копейский городской округ Коркинский муниципальный район Еткульский муниципальный район Красноармейский муниципальный район | 
| 
 | 
 | 
 | 9386,60 | Еманжелинский муниципальный район Миасский городской округ Чебаркульский городской округ Южноуральский городской округ Аргаяшский муниципальный район Кунашакский муниципальный район Увельский муниципальный район | 
| 
 | 
 | 
 | 11465,20 | Златоустовский городской округ Карабашский городской округ Кыштымский городской округ Озерский городской округ Октябрьский муниципальный район Пластовский муниципальный район Снежинский городской округ Троицкий городской округ Каслинский муниципальный район Уйский муниципальный район | 
| 
 | 
 | 
 | 13876,50 | Верхнеуфалейский городской округ Саткинский муниципальный район Кусинский муниципальный район | 
| 
 | 
 | 
 | 15400,40 | Трехгорный городской округ Нязепетровский муниципальный район Чесменский муниципальный район Верхнеуральский муниципальный район | 
| 
 | 
 | 
 | 16924,30 | Катав-Ивановский муниципальный район Усть-Катавский городской округ Варненский муниципальный район Нагайбакский муниципальный район Агаповский муниципальный район Магнитогорский городской округ | 
| 
 | 
 | 
 | 18891,90 | Ашинский муниципальный район Брединский муниципальный район Карталинский муниципальный район Кизильский муниципальный район | 
| 
 | 
 | Государственное бюджетное учреждение здравоохранения "Областной перинатальный центр" (дети от 0 до 28 суток) | 6642,40 | Челябинский городской округ Сосновский муниципальный район Копейский городской округ Коркинский муниципальный район Еткульский муниципальный район Красноармейский муниципальный район | 
| 
 | 
 | 
 | 9386,60 | Еманжелинский муниципальный район Миасский городской округ Чебаркульский городской округ Южноуральский городской округ Аргаяшский муниципальный район Кунашакский муниципальный район Увельский муниципальный район | 
| 
 | 
 | 
 | 11465,20 | Златоустовский городской округ Карабашский городской округ Кыштымский городской округ Озерский городской округ Октябрьский муниципальный район Пластовский муниципальный район Снежинский городской округ Троицкий городской округ Каслинский муниципальный район Уйский муниципальный район | 
| 
 | 
 | 
 | 13876,50 | Верхнеуфалейский городской округ Саткинский муниципальный район Кусинский муниципальный район | 
| 
 | 
 | 
 | 15400,40 | Трехгорный городской округ Нязепетровский муниципальный район Чесменский муниципальный район Верхнеуральский муниципальный район | 
| 
 | 
 | 
 | 16924,30 | Катав-Ивановский муниципальный район Усть-Катавский городской округ Варненский муниципальный район Нагайбакский муниципальный район Агаповский муниципальный район Магнитогорский городской округ | 
| 
 | 
 | 
 | 18891,90 | Ашинский муниципальный район Брединский муниципальный район Карталинский муниципальный район Кизильский муниципальный район | 
| (в ред. Дополнительного соглашения к Тарифному соглашению в сфере обязательного медицинского страхования Челябинской области от 27.02.2023 N 1/199-ОМС) | ||||
| 2 | Специализированная выездная бригада анестезиологии-реанимации педиатрическая с эвакуацией (дети от 29 дней до 1 года) | Государственное автономное учреждение здравоохранения "Челябинская областная детская клиническая больница" (дети от 29 дней до 1 года) | 6691,10 | Челябинский городской округ Сосновский муниципальный район Копейский городской округ Коркинский муниципальный район Еткульский муниципальный район Красноармейский муниципальный район | 
| 
 | 
 | 
 | 9435,30 | Еманжелинский муниципальный район Миасский городской округ Чебаркульский городской округ Южноуральский городской округ Аргаяшский муниципальный район Кунашакский муниципальный район Увельский муниципальный район | 
| 
 | 
 | 
 | 11513,90 | Златоустовский городской округ Карабашский городской округ Кыштымский городской округ Озерский городской округ Октябрьский муниципальный район Пластовский муниципальный район Снежинский городской округ Троицкий городской округ Каслинский муниципальный район Уйский муниципальный район | 
| 
 | 
 | 
 | 13925,20 | Верхнеуфалейский городской округ Саткинский муниципальный район Кусинский муниципальный район | 
| 
 | 
 | 
 | 15449,10 | Трехгорный городской округ Нязепетровский муниципальный район Чесменский муниципальный район Верхнеуральский муниципальный район | 
| 
 | 
 | 
 | 16973,00 | Катав-Ивановский муниципальный район Усть-Катавский городской округ Варненский муниципальный район Нагайбакский муниципальный район Агаповский муниципальный район Магнитогорский городской округ | 
| 
 | 
 | 
 | 18940,60 | Ашинский муниципальный район Брединский муниципальный район Карталинский муниципальный район Кизильский муниципальный район | 
| (в ред. Дополнительного соглашения к Тарифному соглашению в сфере обязательного медицинского страхования Челябинской области от 27.02.2023 N 1/199-ОМС) | ||||
| 3 | Специализированная выездная бригада анестезиологии-реанимации педиатрическая с эвакуацией (дети от 1 года до 17 лет) | Государственное автономное учреждение здравоохранения "Челябинская областная детская клиническая больница" (дети от 1 года до 17 лет 11 месяцев 29 дней) | 5511,20 | Копейский городской округ Коркинский муниципальный район Челябинский городской округ Еткульский муниципальный район Красноармейский муниципальный район Сосновский муниципальный район | 
| 
 | 
 | 
 | 8255,40 | Еманжелинский муниципальный район Миасский городской округ Чебаркульский городской округ Южноуральский городской округ Аргаяшский муниципальный район Кунашакский муниципальный район Увельский муниципальный район | 
| 
 | 
 | 
 | 10334,00 | Златоустовский городской округ Карабашский городской округ Кыштымский городской округ Озерский городской округ Пластовский муниципальный район Снежинский городской округ Троицкий городской округ Каслинский муниципальный район Октябрьский муниципальный район Уйский муниципальный район | 
| 
 | 
 | 
 | 12745,40 | Верхнеуфалейский городской округ Саткинский муниципальный район Кусинский муниципальный район | 
| 
 | 
 | 
 | 14269,20 | Верхнеуральский муниципальный район Трехгорный городской округ Нязепетровский муниципальный район Чесменский муниципальный район | 
| 
 | 
 | 
 | 15793,10 | Агаповский муниципальный район Катав-Ивановский муниципальный район Магнитогорский городской округ Нагайбакский муниципальный район Усть-Катавский городской округ Варненский муниципальный район | 
| 
 | 
 | 
 | 17760,70 | Ашинский муниципальный район Брединский муниципальный район Карталинский муниципальный район Кизильский муниципальный район | 
| (в ред. Дополнительного соглашения к Тарифному соглашению в сфере обязательного медицинского страхования Челябинской области от 27.02.2023 N 1/199-ОМС) | ||||
| 4 | Специализированная выездная педиатрическая бригада без эвакуации (дети от 0 до 28 суток) | Государственное автономное учреждение здравоохранения "Центр охраны материнства и детства г. Магнитогорск" (дети от 0 до 28 суток) | 3461,00 | Магнитогорский городской округ Агаповский муниципальный район | 
| 
 | 
 | 
 | 6205,20 | Верхнеуральский муниципальный район Кизильский муниципальный район Нагайбакский муниципальный район | 
| 
 | 
 | 
 | 10695,20 | Брединский муниципальный район | 
| 
 | 
 | Государственное автономное учреждение здравоохранения "Детская городская клиническая больница N 8 г. Челябинск" (дети от 0 до 28 суток) | 3461,00 | Челябинский городской округ Сосновский муниципальный район | 
| 
 | 
 | Государственное автономное учреждение здравоохранения "Челябинская областная детская клиническая больница" (дети от 0 до 28 суток) | 3461,00 | Челябинский городской округ Сосновский муниципальный район Копейский городской округ Коркинский муниципальный район Еткульский муниципальный район Красноармейский муниципальный район | 
| 
 | 
 | 
 | 6205,20 | Еманжелинский муниципальный район Миасский городской округ Чебаркульский городской округ Южноуральский городской округ Аргаяшский муниципальный район Кунашакский муниципальный район Увельский муниципальный район | 
| 
 | 
 | 
 | 8283,80 | Златоустовский городской округ Карабашский городской округ Кыштымский городской округ Озерский городской округ Октябрьский муниципальный район Пластовский муниципальный район Снежинский городской округ Троицкий городской округ Каслинский муниципальный район Уйский муниципальный район | 
| 
 | 
 | 
 | 10695,20 | Верхнеуфалейский городской округ Саткинский муниципальный район Кусинский муниципальный район | 
| 
 | 
 | 
 | 12219,00 | Трехгорный городской округ Нязепетровский муниципальный район Чесменский муниципальный район Верхнеуральский муниципальный район | 
| 
 | 
 | 
 | 13742,90 | Катав-Ивановский муниципальный район Усть-Катавский городской округ Варненский муниципальный район Нагайбакский муниципальный район Агаповский муниципальный район Магнитогорский городской округ | 
| 
 | 
 | 
 | 15710,50 | Ашинский муниципальный район Брединский муниципальный район Карталинский муниципальный район Кизильский муниципальный район | 
| 
 | 
 | Государственное бюджетное учреждение здравоохранения "Областной перинатальный центр" (дети от 0 до 28 суток) | 3461,00 | Челябинский городской округ Сосновский муниципальный район Копейский городской округ Коркинский муниципальный район Еткульский муниципальный район Красноармейский муниципальный район | 
| 
 | 
 | 
 | 6205,20 | Еманжелинский муниципальный район Миасский городской округ Чебаркульский городской округ Южноуральский городской округ Аргаяшский муниципальный район Кунашакский муниципальный район Увельский муниципальный район | 
| 
 | 
 | 
 | 8283,80 | Златоустовский городской округ Карабашский городской округ Кыштымский городской округ Озерский городской округ Октябрьский муниципальный район Пластовский муниципальный район Снежинский городской округ Троицкий городской округ Каслинский муниципальный район Уйский муниципальный район | 
| 
 | 
 | 
 | 10695,20 | Верхнеуфалейский городской округ Саткинский муниципальный район Кусинский муниципальный район | 
| 
 | 
 | 
 | 12219,00 | Трехгорный городской округ Нязепетровский муниципальный район Чесменский муниципальный район Верхнеуральский муниципальный район | 
| 
 | 
 | 
 | 13742,90 | Катав-Ивановский муниципальный район Усть-Катавский городской округ Варненский муниципальный район Нагайбакский муниципальный район Агаповский муниципальный район Магнитогорский городской округ | 
| 
 | 
 | 
 | 15710,50 | Ашинский муниципальный район Брединский муниципальный район Карталинский муниципальный район Кизильский муниципальный район | 
| (в ред. Дополнительного соглашения к Тарифному соглашению в сфере обязательного медицинского страхования Челябинской области от 27.02.2023 N 1/199-ОМС) | ||||
| 5 | Специализированная выездная педиатрическая бригада без эвакуации (дети от 29 дней до 17 лет) | Государственное автономное учреждение здравоохранения "Челябинская областная детская клиническая больница" (дети от 29 дней до 17 лет 11 месяцев 29 дней) | 3461,00 | Челябинский городской округ Сосновский муниципальный район Копейский городской округ Коркинский муниципальный район Еткульский муниципальный район Красноармейский муниципальный район | 
| 
 | 
 | 
 | 6205,20 | Еманжелинский муниципальный район Миасский городской округ Чебаркульский городской округ Южноуральский городской округ Аргаяшский муниципальный район Кунашакский муниципальный район Увельский муниципальный район | 
| 
 | 
 | 
 | 8283,80 | Златоустовский городской округ Карабашский городской округ Кыштымский городской округ Озерский городской округ Октябрьский муниципальный район Пластовский муниципальный район Снежинский городской округ Троицкий городской округ Каслинский муниципальный район Уйский муниципальный район | 
| 
 | 
 | 
 | 10695,20 | Верхнеуфалейский городской округ Саткинский муниципальный район Кусинский муниципальный район | 
| 
 | 
 | 
 | 12219,00 | Трехгорный городской округ Нязепетровский муниципальный район Чесменский муниципальный район Верхнеуральский муниципальный район | 
| 
 | 
 | 
 | 13742,90 | Катав-Ивановский муниципальный район Усть-Катавский городской округ Варненский муниципальный район Нагайбакский муниципальный район Агаповский муниципальный район Магнитогорский городской округ | 
| 
 | 
 | 
 | 15710,50 | Ашинский муниципальный район Брединский муниципальный район Карталинский муниципальный район Кизильский муниципальный район | 
| (в ред. Дополнительного соглашения к Тарифному соглашению в сфере обязательного медицинского страхования Челябинской области от 27.02.2023 N 1/199-ОМС) | ||||
| 6 | Специализированная выездная экстренная консультативная бригада без эвакуации (дети от 0 до 28 суток) | Государственное автономное учреждение здравоохранения "Центр охраны материнства и детства г. Магнитогорск" (дети от 0 до 28 суток) | 3461,00 | Магнитогорский городской округ Агаповский муниципальный район | 
| 
 | 
 | 
 | 6205,20 | Верхнеуральский муниципальный район Кизильский муниципальный район Нагайбакский муниципальный район | 
| 
 | 
 | 
 | 10695,20 | Брединский муниципальный район | 
| 
 | 
 | Государственное автономное учреждение здравоохранения "Детская городская клиническая больница N 8 г. Челябинск" (дети от 0 до 28 суток) | 3461,00 | Челябинский городской округ Сосновский муниципальный район | 
| 
 | 
 | Государственное автономное учреждение здравоохранения "Челябинская областная детская клиническая больница" (дети от 0 до 28 суток) | 3461,00 | Копейский городской округ Коркинский муниципальный район Челябинский городской округ Еткульский муниципальный район Красноармейский муниципальный район Сосновский муниципальный район | 
| 
 | 
 | 
 | 6205,20 | Еманжелинский муниципальный район Миасский городской округ Чебаркульский городской округ Южноуральский городской округ Аргаяшский муниципальный район Кунашакский муниципальный район Увельский муниципальный район | 
| 
 | 
 | 
 | 8283,80 | Златоустовский городской округ Карабашский городской округ Кыштымский городской округ Озерский городской округ Пластовский муниципальный район Снежинский городской округ Троицкий городской округ Каслинский муниципальный район Октябрьский муниципальный район Уйский муниципальный район | 
| 
 | 
 | 
 | 10695,20 | Верхнеуфалейский городской округ Саткинский муниципальный район Кусинский муниципальный район | 
| 
 | 
 | 
 | 12219,00 | Верхнеуральский муниципальный район Трехгорный городской округ Нязепетровский муниципальный район Чесменский муниципальный район | 
| 
 | 
 | 
 | 13742,90 | Агаповский муниципальный район Катав-Ивановский муниципальный район Магнитогорский городской округ Нагайбакский муниципальный район Усть-Катавский городской округ Варненский муниципальный район | 
| 
 | 
 | 
 | 15710,50 | Ашинский муниципальный район Брединский муниципальный район Карталинский муниципальный район Кизильский муниципальный район | 
| 
 | 
 | Государственное бюджетное учреждение здравоохранения "Областной перинатальный центр" (дети от 0 до 28 суток) | 3461,00 | Челябинский городской округ Сосновский муниципальный район Копейский городской округ Коркинский муниципальный район Еткульский муниципальный район Красноармейский муниципальный район | 
| 
 | 
 | 
 | 6205,20 | Еманжелинский муниципальный район Миасский городской округ Чебаркульский городской округ Южноуральский городской округ Аргаяшский муниципальный район Кунашакский муниципальный район Увельский муниципальный район | 
| 
 | 
 | 
 | 8283,80 | Златоустовский городской округ Карабашский городской округ Кыштымский городской округ Озерский городской округ Октябрьский муниципальный район Пластовский муниципальный район Снежинский городской округ Троицкий городской округ Каслинский муниципальный район Уйский муниципальный район | 
| 
 | 
 | 
 | 10695,20 | Верхнеуфалейский городской округ Саткинский муниципальный район Кусинский муниципальный район | 
| 
 | 
 | 
 | 12219,00 | Трехгорный городской округ Нязепетровский муниципальный район Чесменский муниципальный район Верхнеуральский муниципальный район | 
| 
 | 
 | 
 | 13742,90 | Катав-Ивановский муниципальный район Усть-Катавский городской округ Варненский муниципальный район Нагайбакский муниципальный район Агаповский муниципальный район Магнитогорский городской округ | 
| 
 | 
 | 
 | 15710,50 | Ашинский муниципальный район Брединский муниципальный район Карталинский муниципальный район Кизильский муниципальный район | 
| (в ред. Дополнительного соглашения к Тарифному соглашению в сфере обязательного медицинского страхования Челябинской области от 27.02.2023 N 1/199-ОМС) | ||||
| 7 | Специализированная выездная экстренная консультативная бригада без эвакуации (дети от 29 дней до 17 лет) | Государственное автономное учреждение здравоохранения "Челябинская областная детская клиническая больница" (дети от 29 дней до 17 лет 11 месяцев 29 дней) | 3461,00 | Копейский городской округ Коркинский муниципальный район Челябинский городской округ Еткульский муниципальный район Красноармейский муниципальный район Сосновский муниципальный район | 
| 
 | 
 | 
 | 6205,20 | Еманжелинский муниципальный район Миасский городской округ Чебаркульский городской округ Южноуральский городской округ Аргаяшский муниципальный район Кунашакский муниципальный район Увельский муниципальный район | 
| 
 | 
 | 
 | 8283,80 | Златоустовский городской округ Карабашский городской округ Кыштымский городской округ Озерский городской округ Пластовский муниципальный район Снежинский городской округ Троицкий городской округ Каслинский муниципальный район Октябрьский муниципальный район Уйский муниципальный район | 
| 
 | 
 | 
 | 10695,20 | Верхнеуфалейский городской округ Саткинский муниципальный район Кусинский муниципальный район | 
| 
 | 
 | 
 | 12219,00 | Верхнеуральский муниципальный район Трехгорный городской округ Нязепетровский муниципальный район Чесменский муниципальный район | 
| 
 | 
 | 
 | 13742,90 | Агаповский муниципальный район Катав-Ивановский муниципальный район Магнитогорский городской округ Нагайбакский муниципальный район Усть-Катавский городской округ Варненский муниципальный район | 
| 
 | 
 | 
 | 15710,50 | Ашинский муниципальный район Брединский муниципальный район Карталинский муниципальный район Кизильский муниципальный район | 
| (в ред. Дополнительного соглашения к Тарифному соглашению в сфере обязательного медицинского страхования Челябинской области от 27.02.2023 N 1/199-ОМС) | ||||
| 8 | Специализированная выездная бригада анестезиологии-реанимации с эвакуацией (взрослые) | Государственное автономное учреждение здравоохранения "Областная клиническая больница N 3" | 4703,00 | Челябинский городской округ | 
| 
 | 
 | 
 | 4703,00 | Копейский городской округ Коркинский муниципальный район Челябинский городской округ Еткульский муниципальный район Красноармейский муниципальный район Сосновский муниципальный район | 
| 
 | 
 | 
 | 7447,20 | Еманжелинский муниципальный район Миасский городской округ Чебаркульский городской округ Южноуральский городской округ Аргаяшский муниципальный район Кунашакский муниципальный район Увельский муниципальный район | 
| 
 | 
 | 
 | 9525,80 | Златоустовский городской округ Карабашский городской округ Кыштымский городской округ Озерский городской округ Пластовский муниципальный район Снежинский городской округ Троицкий городской округ Каслинский муниципальный район Октябрьский муниципальный район Уйский муниципальный район | 
| 
 | 
 | 
 | 11937,20 | Верхнеуфалейский городской округ Саткинский муниципальный район Кусинский муниципальный район | 
| 
 | 
 | 
 | 13461,00 | Верхнеуральский муниципальный район Трехгорный городской округ Нязепетровский муниципальный район Чесменский муниципальный район | 
| 
 | 
 | 
 | 14984,90 | Агаповский муниципальный район Катав-Ивановский муниципальный район Магнитогорский городской округ Нагайбакский муниципальный район Усть-Катавский городской округ Варненский муниципальный район | 
| 
 | 
 | 
 | 16952,50 | Ашинский муниципальный район Брединский муниципальный район Карталинский муниципальный район Кизильский муниципальный район | 
| (п. 8 в ред. Дополнительного соглашения к Тарифному соглашению в сфере обязательного медицинского страхования Челябинской области от 27.04.2023 N 3/199-ОМС) | ||||
| 9 | Специализированная выездная экстренная консультативная бригада без эвакуации (взрослые) | Государственное автономное учреждение здравоохранения "Областная клиническая больница N 3" | 3461,00 | Челябинский городской округ | 
| 
 | 
 | 
 | 3461,00 | Копейский городской округ Коркинский муниципальный район Челябинский городской округ Еткульский муниципальный район Красноармейский муниципальный район Сосновский муниципальный район | 
| 
 | 
 | 
 | 6205,20 | Еманжелинский муниципальный район Миасский городской округ Чебаркульский городской округ Южноуральский городской округ Аргаяшский муниципальный район Кунашакский муниципальный район Увельский муниципальный район | 
| 
 | 
 | 
 | 8283,80 | Златоустовский городской округ Карабашский городской округ Кыштымский городской округ Озерский городской округ Пластовский муниципальный район Снежинский городской округ Троицкий городской округ Каслинский муниципальный район Октябрьский муниципальный район Уйский муниципальный район | 
| 
 | 
 | 
 | 10695,20 | Верхнеуфалейский городской округ Саткинский муниципальный район Кусинский муниципальный район | 
| 
 | 
 | 
 | 12219,00 | Верхнеуральский муниципальный район Трехгорный городской округ Нязепетровский муниципальный район Чесменский муниципальный район | 
| 
 | 
 | 
 | 13742,90 | Агаповский муниципальный район Катав-Ивановский муниципальный район Магнитогорский городской округ Нагайбакский муниципальный район Усть-Катавский городской округ Варненский муниципальный район | 
| 
 | 
 | 
 | 15710,50 | Ашинский муниципальный район Брединский муниципальный район Карталинский муниципальный район Кизильский муниципальный район | 
| (п. 9 в ред. Дополнительного соглашения к Тарифному соглашению в сфере обязательного медицинского страхования Челябинской области от 27.04.2023 N 3/199-ОМС) | ||||
Приложение N 18/1
к Тарифному соглашению
в сфере обязательного
медицинского страхования
Челябинской области
от 30 декабря 2022 г. N 199-ОМС 
Суммы финансового обеспечения на оплату
проезда к месту лечения и обратно
пациентов, страдающих почечной
недостаточностью и нуждающихся в
проведении заместительной почечной
терапии, на 2023 год 
(в ред. Дополнительных соглашений к Тарифному соглашению в сфере обязательного медицинского страхования Челябинской области от 30.03.2023 N 2/199-ОМС, от 29.11.2023 N 9/199-ОМС)
     (рублей)
| N п/п | Наименование медицинской организации | Сумма финансового обеспечения | |
| 
 | 
 | Медицинская помощь, оказываемая в амбулаторных условиях | Медицинская помощь в условиях дневного стационара | 
| А | 1 | 2 | 3 | 
| Ашинский муниципальный район | 
 | 
 | |
| 1 | Государственное бюджетное учреждение здравоохранения "Районная больница г. Аша" | 
 | 4330173,58 | 
| (в ред. Дополнительного соглашения к Тарифному соглашению в сфере обязательного медицинского страхования Челябинской области от 29.11.2023 N 9/199-ОМС) | |||
| Еманжелинский муниципальный район | 
 | 
 | |
| 2 | Государственное бюджетное учреждение здравоохранения "Районная больница г. Еманжелинск" | 
 | 1271350,00 | 
| (в ред. Дополнительного соглашения к Тарифному соглашению в сфере обязательного медицинского страхования Челябинской области от 30.03.2023 N 2/199-ОМС) | |||
| Кыштымский городской округ | 
 | 
 | |
| 3 | Государственное бюджетное учреждение здравоохранения "Городская больница им. А.П. Силаева г. Кыштым" | 
 | 2293144,88 | 
| Магнитогорский городской округ | 
 | 
 | |
| 4 | Государственное автономное учреждение здравоохранения "Городская больница N 1 им. Г.И. Дробышева г. Магнитогорск" | 
 | 5289573,12 | 
| Озерский городской округ | 
 | 
 | |
| 5 | Федеральное государственное бюджетное учреждение здравоохранения "Клиническая больница N 71 Федерального медико-биологического агентства" | 
 | 2241168,58 | 
| (в ред. Дополнительного соглашения к Тарифному соглашению в сфере обязательного медицинского страхования Челябинской области от 29.11.2023 N 9/199-ОМС) | |||
| Саткинский муниципальный район | 
 | 
 | |
| 6 | Государственное бюджетное учреждение здравоохранения "Областная больница г. Сатка" | 
 | 3407090,00 | 
| (в ред. Дополнительного соглашения к Тарифному соглашению в сфере обязательного медицинского страхования Челябинской области от 30.03.2023 N 2/199-ОМС) | |||
| Троицкий городской округ | 
 | 
 | |
| 7 | Государственное бюджетное учреждение здравоохранения "Областная больница г. Троицк" | 
 | 3100000,00 | 
| Челябинский городской округ | 
 | 
 | |
| 8 | Государственное автономное учреждение здравоохранения Ордена Знак Почета "Городская клиническая больница N 8 г. Челябинск" | 
 | 5445383,00 | 
| (в ред. Дополнительного соглашения к Тарифному соглашению в сфере обязательного медицинского страхования Челябинской области от 29.11.2023 N 9/199-ОМС) | |||
| 9 | Общество с ограниченной ответственностью "ЦЕНТР ДИАЛИЗА" | 8516310,00 | 83660556,22 | 
| 10 | Общество с ограниченной ответственностью "ЦАД 74" | 
 | 17660000,00 | 
| Областные учреждения здравоохранения | 
 | 
 | |
| 11 | Государственное бюджетное учреждение здравоохранения "Челябинская областная клиническая больница" | 
 | 17775527,00 | 
| 
 | ИТОГО | 8516310,00 | 146473966,38 | 
| (строка в ред. Дополнительного соглашения к Тарифному соглашению в сфере обязательного медицинского страхования Челябинской области от 29.11.2023 N 9/199-ОМС) | |||
| 
 | ВСЕГО | 154990276,38 | |
| (строка в ред. Дополнительного соглашения к Тарифному соглашению в сфере обязательного медицинского страхования Челябинской области от 29.11.2023 N 9/199-ОМС) | |||
Приложение N 18/2
к Тарифному соглашению
в сфере обязательного
медицинского страхования
Челябинской области
от 30 декабря 2022 г. N 199-ОМС 
Дополнительные тарифы на оплату проезда
к месту лечения и обратно пациентов,
страдающих почечной недостаточностью и
нуждающихся в проведении заместительной
почечной терапии, в дополнение к базовой
программе ОМС с 01.10.2023 
(в ред. Дополнительных соглашений к Тарифному соглашению в сфере обязательного медицинского страхования Челябинской области от 30.10.2023 N 8/199-ОМС, от 29.11.2023 N 9/199-ОМС)
     (рублей)
| N п/п | Наименование медицинской организации | Тариф | |
| 
 | 
 | Медицинская помощь, оказываемая в амбулаторных условиях | Медицинская помощь в условиях дневного стационара | 
| А | 1 | 2 | 3 | 
| Ашинский муниципальный район | 
 | 
 | |
| 1 | Государственное бюджетное учреждение здравоохранения "Районная больница г. Аша" | 
 | 6372,54 | 
| (в ред. Дополнительного соглашения к Тарифному соглашению в сфере обязательного медицинского страхования Челябинской области от 29.11.2023 N 9/199-ОМС) | |||
| Еманжелинский муниципальный район | 
 | 
 | |
| 2 | Государственное бюджетное учреждение здравоохранения "Районная больница г. Еманжелинск" | 
 | 407,48 | 
| Кыштымский городской округ | 
 | 
 | |
| 3 | Государственное бюджетное учреждение здравоохранения "Городская больница им. А.П. Силаева г. Кыштым" | 
 | 775,97 | 
| Магнитогорский городской округ | 
 | 
 | |
| 4 | Государственное автономное учреждение здравоохранения "Городская больница N 1 им. Г.И. Дробышева г. Магнитогорск" | 
 | 2301,49 | 
| Озерский городской округ | 
 | 
 | |
| 5 | Федеральное государственное бюджетное учреждение здравоохранения "Клиническая больница N 71 Федерального медико-биологического агентства" | 
 | 852,85 | 
| (в ред. Дополнительного соглашения к Тарифному соглашению в сфере обязательного медицинского страхования Челябинской области от 29.11.2023 N 9/199-ОМС) | |||
| Саткинский муниципальный район | 
 | 
 | |
| 6 | Государственное бюджетное учреждение здравоохранения "Областная больница г. Сатка" | 
 | 808,90 | 
| Троицкий городской округ | 
 | 
 | |
| 7 | Государственное бюджетное учреждение здравоохранения "Областная больница г. Троицк" | 
 | 1278,17 | 
| Челябинский городской округ | 
 | 
 | |
| 8 | Государственное автономное учреждение здравоохранения Ордена Знак Почета "Городская клиническая больница N 8 г. Челябинск" | 
 | 415,02 | 
| (в ред. Дополнительного соглашения к Тарифному соглашению в сфере обязательного медицинского страхования Челябинской области от 29.11.2023 N 9/199-ОМС) | |||
| 9 | Общество с ограниченной ответственностью "ЦЕНТР ДИАЛИЗА" | 696,51 | 1391,92 | 
| 10 | Общество с ограниченной ответственностью "ЦАД 74" | 
 | 664,52 | 
| Областные учреждения здравоохранения | 
 | 
 | |
| 11 | Государственное бюджетное учреждение здравоохранения "Челябинская областная клиническая больница" | 
 | 1298,76 | 
Ссылается на
- О временном порядке организации работы медицинских организаций в целях реализации мер по профилактике и снижению рисков распространения новой коронавирусной инфекции COVID-19 (с изменениями на 26 декабря 2023 года) (не действует с 01.01.2025)
- Об утверждении Порядка направления граждан на прохождение углубленной диспансеризации, включая категории граждан, проходящих углубленную диспансеризацию в первоочередном порядке
- Об обязательном медицинском страховании в Российской Федерации (с изменениями на 28 декабря 2024 года)
- Об основах охраны здоровья граждан в Российской Федерации (с изменениями на 23 июля 2025 года) (редакция, действующая с 1 сентября 2025 года)
- Дополнительное соглашение к Тарифному соглашению в сфере обязательного медицинского страхования Челябинской области от 30 декабря 2022 года N 199-ОМС
- Дополнительное соглашение к Тарифному соглашению в сфере обязательного медицинского страхования Челябинской области от 30 декабря 2022 года N 199-ОМС
- Дополнительное соглашение к Тарифному соглашению в сфере обязательного медицинского страхования Челябинской области от 30 декабря 2022 года N 199-ОМС
- Тарифное соглашение в сфере обязательного медицинского страхования Челябинской области (с изменениями на 31 октября 2024 года)




