ДОПОЛНИТЕЛЬНОЕ СОГЛАШЕНИЕ К ТАРИФНОМУ
СОГЛАШЕНИЮ В СФЕРЕ ОБЯЗАТЕЛЬНОГО
МЕДИЦИНСКОГО СТРАХОВАНИЯ НА ТЕРРИТОРИИ
ИВАНОВСКОЙ ОБЛАСТИ НА 2022 ГОД
от 25 марта 2022 года N 2
г. Иваново
Департамент здравоохранения
Ивановской области, в лице члена
Правительства Ивановской области -
директора Департамента здравоохранения
Ивановской области Фокина А.М.,
Территориальный фонд обязательного
медицинского страхования Ивановской
области, в лице директора Березиной И.Г.,
страховые медицинские организации,
осуществляющие деятельность в сфере
обязательного медицинского страхования
на территории Ивановской области, в лице
директора Ивановского филиала АО
"Страховая компания "СОГАЗ-Мед" Новикова
А.В., Ассоциация врачей Ивановской
области, в лице председателя Атрошенко
И.Г., Ивановская областная организация
профессионального союза работников
здравоохранения РФ, в лице председателя
Полозова В.В., именуемые в дальнейшем
"Стороны", руководствуясь статьей 30
Федерального закона от 29.11.2010 N 326-ФЗ "Об
обязательном медицинском страховании в
Российской Федерации", заключили
настоящее Дополнительное соглашение к
Тарифному соглашению в сфере
обязательного медицинского страхования
на территории Ивановской области на 2022
год (далее - Тарифное соглашение) о
нижеследующем:
1. Внести в Тарифное соглашение
следующие изменения:
1.1. Абзац 10 пункта 2.2 раздела 2
Тарифного соглашения исключить.
1.2. Подпункт 2 пункта 2.2 раздела 2
Тарифного соглашения дополнить абзацами
следующего содержания:
"В амбулаторных условиях
комплексное посещение как законченный
случай медицинской реабилитации в
амбулаторных условиях.
Подлежат медицинской реабилитации
в амбулаторных условиях пациенты с
оценкой состояния пациента по ШРМ (1 - 3
балла), имеющие заболевание, по поводу
которого проводится медицинская
реабилитация (например, медицинская
реабилитация пациентов с заболеваниями
центральной нервной системы,
кардиореабилитация, медицинская
реабилитация после перенесенной новой
коронавирусной инфекции (COVID-19)).
Комплексное посещение включает в
себя посещения врачей-специалистов (в
зависимости от профиля заболевания):
- врач-терапевт (медицинская
реабилитация);
- врач-онколог;
- врач-кардиолог (медицинская
реабилитация);
- врач - травматолог-ортопед
(медицинская реабилитация);
- врач-невролог (медицинская
реабилитация);
- врач-педиатр (медицинская
реабилитация);
- врач по медицинской реабилитации;
- врач-психотерапевт;
- врач по лечебной физкультуре;
- врач-физиотерапевт;
- врач мануальной терапии;
- врач-рефлексотерапевт;
- инструктор по лечебной
физкультуре,
а также медицинские услуги по
медицинской реабилитации в соответствии
с индивидуальным планом медицинской
реабилитации.".
1.3. После абзаца 21 подпункта 2 пункта
2.2 раздела 2 дополнить абзацем следующего
содержания:
"- за посещение в сочетании с
медицинской услугой (велоэргометрия;
исследование уровня лекарственных
препаратов в крови; оптическое
исследование сетчатки с помощью
компьютерного анализатора; секторальная
лазеркоагуляция сетчатки; дисцизия,
экстракция вторичной катаракты).".
1.4. Пункт 2.3 изложить в новой
редакции:
"2.3. При оплате медицинской помощи,
оказанной в стационарных условиях, в том
числе для медицинской реабилитации в
специализированных медицинских
организациях (структурных
подразделениях), применяются следующие
способы оплаты:
- за случай госпитализации
(законченный случай лечения) по поводу
заболевания, включенного в
соответствующую группу заболеваний,
состояний (в том числе
клинико-статистическую группу
заболеваний (КСГ)), в соответствии с
приложением 4 к Программе.
Алгоритм формирования различных
КСГ с учетом установленных критериев
группировки, оплаты по двум КСГ в рамках
одного случая лечения, особенности
формирования отдельных КСГ в условиях
круглосуточного стационара изложены в
Методических рекомендациях по способам
оплаты медицинской помощи за счет
средств обязательного медицинского
страхования, направленных в субъекты
Российской Федерации совместным письмом
от 02.02.2022 Министерства здравоохранения
Российской Федерации N 11-7/И/2-1619 и
Федерального фонда обязательного
медицинского страхования N 00-10-26-2-06/750
(далее - Рекомендации);
- за законченный случай лечения
заболевания при оказании
высокотехнологичной медицинской помощи
(далее - ВМП) в соответствии с разделом I
Перечня видов высокотехнологичной
медицинской помощи, содержащего в том
числе методы лечения и источники
финансового обеспечения
высокотехнологичной медицинской помощи,
установленного приложением 1 к
Программе, с учетом предельного
количества законченных случаев оказания
медицинской помощи по ВМП на 2022 год
(перечень видов высокотехнологичной
медицинской помощи приведен в
приложении N 2 к Тарифному соглашению);
- за 1 койко-день по паллиативной
медицинской помощи в рамках сверх
базовой программы ОМС;
- за прерванный случай
госпитализации в случаях прерывания
лечения по медицинским показаниям,
перевода пациента из одного отделения
медицинской организации в другое,
изменения условий оказания медицинской
помощи пациенту с круглосуточного
стационара на дневной стационар,
оказания медицинской помощи с
проведением лекарственной терапии при
злокачественных новообразованиях, в
ходе которой медицинская помощь по
объективным причинам оказана пациенту
не в полном объеме по сравнению с
выбранной для оплаты схемой
лекарственной терапии, по объективным
причинам, в том числе в случае прерывания
лечения при возникновении абсолютных
противопоказаний к продолжению лечения,
не купируемых при проведении
симптоматического лечения, перевода
пациента в другую медицинскую
организацию, преждевременной выписки
пациента из медицинской организации в
случае его письменного отказа от
дальнейшего лечения, летального исхода,
выписки пациента до истечения 3-х дней
(включительно) со дня госпитализации
(начала лечения), за исключением случаев
оказания медицинской помощи по группам
заболеваний, состояний, приведенным в
Программе.
Перечень КСГ с оптимальной
длительностью лечения до 3 дней
включительно представлен в приложении N
37 к Тарифному соглашению.
В случае если пациенту было
выполнено хирургическое вмешательство и
(или) проведена тромболитическая
терапия, являющиеся классификационным
критерием отнесения данного случая
лечения к конкретной КСГ, случай
оплачивается в размере:
- при длительности лечения 3 дня и
менее - 80% от стоимости КСГ;
- при длительности лечения более 3-х
дней - 90% от стоимости КСГ.
Если хирургическое вмешательство и
(или) тромболитическая терапия не
проводились, случай оплачивается в
размере:
- при длительности лечения 3 дня и
менее - 50% от стоимости КСГ;
- при длительности лечения более 3-х
дней - 70% от стоимости КСГ.
Процедуры диализа, включающие
различные методы, оплачиваются по КСГ
(Приложение N 22.1, таблица 1) дополнительно
к оплате по соответствующей КСГ
(Приложение N 22.1, таблица 2), являющимся
поводом для госпитализации. При этом
учитываются услуги, выполненные
пациенту в течение всего периода его
нахождения в круглосуточном стационаре.
Перечень КСГ, которые предполагают
хирургическое вмешательство или
тромболитическую терапию, представлен в
приложении N 38 к Тарифному соглашению.
Перечень медицинских организаций,
оказывающих медицинскую помощь в
стационарных условиях по базовой и сверх
базовой ТПОМС, с учетом уровней
(подуровней) организации медицинской
помощи и способов оплаты, включая ВМП,
приведен в приложении N 3 к Тарифному
соглашению.".
1.5. После пункта 3.4.2.1 раздела 3
дополнить абзацем следующего
содержания:
"Тарифы на одно посещение в
сочетании с медицинской услугой в
амбулаторных условиях в рамках базовой
ТПОМС указаны в приложении N 8.1 к
настоящему Тарифному соглашению".
1.6. После пункта 3.4.2.2 раздела 3
дополнить абзацем следующего
содержания:
"Тарифы на одно комплексное
посещение обращения по заболеванию при
оказании медицинской помощи по профилю
"Медицинская реабилитация" в
амбулаторных условиях в рамках базовой
ТПОМС указаны в приложении N 9.1 к
настоящему Тарифному соглашению".
1.7. После абзаца 20 пункта 3.4.3 раздела
3 Тарифного соглашения дополнить абзацем
следующего содержания: "Значение
коэффициента уровня медицинской
организации, применяемого к базовому
нормативу финансовых затрат на
финансовое обеспечение структурных
подразделений медицинской организации,
установлено в размере 1,0.".
1.8. В абзаце 24 пункта 3.4.3 и абзаце 16
пункта 3.8 раздела 3 Тарифного соглашения
слово "среднего" заменить словом
"базового".
1.9. Последнее предложение абзаца 25
пункта 3.4.3 раздела 3 Тарифного соглашения
после слова "помощи)" дополнить словами "и
методика оценки результативности
деятельности медицинских организаций".
1.10. После абзаца 25 пункта 3.4.3
раздела 3 Тарифного соглашения дополнить
абзацем следующего содержания:
"Мониторинг достижения целевых значений
показателей результативности
деятельности медицинских организаций
проводится Комиссией ежеквартально.
Оценка результативности деятельности
медицинских организаций, оказывающих
медицинскую помощь в амбулаторных
условиях, с целью осуществления выплат
стимулирующего характера производится
начиная со 2-го квартала. Порядок оценки
показателей результативности
деятельности медицинских организаций
определяется приказом Департамента
здравоохранения Ивановской области.".
1.11. Абзац 18 пункта 3.8 раздела 3
Тарифного соглашения считать абзацем 6
пункта 3.8 раздела 3 Тарифного соглашения.
1.12. Приложение N 1 "Перечень
медицинских организаций, оказывающих
медицинскую помощь в амбулаторных
условиях, с учетом уровня организации
медицинской помощи и способов оплаты" к
Тарифному соглашению изложить в новой
редакции (приложения N 1, 2 к настоящему
Дополнительному соглашению).
1.13. Приложение N 3 "Перечень
медицинских организаций, оказывающих
медицинскую помощь в стационарных
условиях, с учетом уровня организации
медицинской помощи и способов оплаты,
включая ВМП" к Тарифному соглашению
изложить в новой редакции (приложение N 3
к настоящему Дополнительному
соглашению).
1.14. Приложение N 4 "Перечень
медицинских организаций, оказывающих
медицинскую помощь в условиях дневного
стационара, с учетом уровня организации
медицинской помощи и способов оплаты" к
Тарифному соглашению изложить в новой
редакции (приложения N 4, 5, 6 к настоящему
Дополнительному соглашению).
1.15. Дополнить Тарифное соглашение
приложением N 8.1 "Тарифы на одно посещение
в сочетании с медицинской услугой в
амбулаторных условиях" к Тарифному
соглашению (приложение N 7 к настоящему
Дополнительному соглашению).
1.16. Дополнить Тарифное соглашение
приложением N 9.1 "Тарифы на одно
комплексное посещение обращения по
заболеванию при оказании медицинской
помощи по профилю "Медицинская
реабилитация" к Тарифному соглашению
(приложение N 8 к настоящему
Дополнительному соглашению).
1.17. Приложение N 20 "Перечень
показателей результативности
деятельности медицинских организаций,
финансируемых по подушевому нормативу
финансирования на прикрепившихся лиц,
при выполнении территориальной
программы обязательного медицинского
страхования в части первичной (первичной
специализированной) медико-санитарной
помощи" изложить в новой редакции
(приложение N 9 к настоящему
Дополнительному соглашению).
1.18. Приложение N 21 "Размеры
фактических дифференцированных
подушевых нормативов финансирования в
амбулаторных условиях" изложить в новой
редакции (приложение N 10 к настоящему
Дополнительному соглашению).
1.19. Приложение N 22 "Тарифы на 1 случай
госпитализации в стационарных условиях
с учетом уровней организации
медицинской помощи" к Тарифному
соглашению изложить в новой редакции
(приложение N 11 к настоящему
Дополнительному соглашению).
1.20. Дополнить Тарифное соглашение
приложением N 22.1 "Тарифы на гемодиализ" к
Тарифному соглашению (приложение N 12 к
настоящему Дополнительному соглашению).
1.21. Приложение N 23 "Тарифы на оплату
медицинских услуг, оказываемых в
амбулаторных условиях" к Тарифному
соглашению изложить в новой редакции
(приложение N 13 к настоящему
Дополнительному соглашению).
1.22. Приложение N 24 "Тарифы на 1 случай
лечения в условиях дневного стационара с
учетом уровней организации медицинской
помощи" к Тарифному соглашению изложить
в новой редакции (приложение N 14 к
настоящему Дополнительному соглашению).
1.23. Приложение N 29 "Размеры
дифференцированных подушевых
нормативов финансирования по всем видам
и условиям медицинской помощи" изложить
в новой редакции (приложение N 15 к
настоящему Дополнительному соглашению).
1.24. Приложение N 30 "Перечень
оснований и размер неоплаты или неполной
оплаты затрат на оказание медицинской
помощи, а также уплаты медицинской
организацией штрафов за неоказание,
несвоевременное оказание либо оказание
медицинской помощи ненадлежащего
качества" изложить в новой редакции
(приложения N 16, 17 к настоящему
Дополнительному соглашению).
1.25. Приложение N 35 "Тарифы для оплаты
стоматологической медицинской помощи" к
Тарифному соглашению изложить в новой
редакции (приложение N 18 к настоящему
Дополнительному соглашению).
1.26. Приложение N 38 "Коэффициент
уровня оказания медицинской помощи
медицинской организации, учитывающий
объем средств на оплату
профилактических медицинских осмотров
(диспансеризации)" изложить в новой
редакции (приложение N 19 к настоящему
Дополнительному соглашению).
2. Настоящее Дополнительное
соглашение вступает в силу с момента
подписания и распространяет свое
действие на правоотношения, возникшие по
пунктам 1.1 - 1.11, 1.14 в части приложения N 4,
1.15 - 1.17, 1.19 - 1.22, 1.24 в части приложения N 16,
1.25 - с 01.01.2022; 1.14 части приложения N 5 - с
03.02.2022; 1.12 в части приложения N 1, 1.13, 1.14 в
части приложения N 6 - с 25.02.2022; 1.18, 1.23, 1.26 - с
01.03.2022; 1.24 в части приложения N 17 - с 12.03.2022;
1.12 в части приложения N 2 - с 17.03.2022.
Подписи Сторон:
От Департамента здравоохранения
Ивановской области
А.М.ФОКИН
От Территориального фонда
обязательного медицинского
страхования
Ивановской области
И.Г.БЕРЕЗИНА
От страховых медицинских организаций
А.В.НОВИКОВ
От медицинских профессиональных
некоммерческих организаций
И.Г.АТРОШЕНКО
От профессиональных союзов
медицинских работников
В.В.ПОЛОЗОВ
Приложение N 1
к Дополнительному соглашению
от 25.03.2022 N 2
к Тарифному соглашению
в сфере обязательного медицинского
страхования
на территории Ивановской области на 2022
год
"Приложение N 1
к Тарифному соглашению
в сфере обязательного медицинского
страхования
на территории Ивановской области на 2022
год
ПЕРЕЧЕНЬ МЕДИЦИНСКИХ ОРГАНИЗАЦИЙ,
ОКАЗЫВАЮЩИХ МЕДИЦИНСКУЮ ПОМОЩЬ В
АМБУЛАТОРНЫХ УСЛОВИЯХ, С УЧЕТОМ УРОВНЯ
ОРГАНИЗАЦИИ МЕДИЦИНСКОЙ ПОМОЩИ И
СПОСОБОВ ОПЛАТЫ
с 25.02.2022
N п/п |
Наименование медицинской организации |
Уровень организации медицинской помощи |
Оплата медицинской помощи |
||||||||||
|
|
|
по подушевому нормативу финансирования |
по тарифам за единицу объема |
по тарифам за медицинские услуги |
по тарифам за диспансеризацию |
по нормативу финансирования структурного подразделения медицинской организации (ФП, ФАП) |
||||||
|
|
|
|
базовая ТП ОМС |
сверх базовая ТП ОМС (паллиативная медицинская помощь) |
базовая ТП ОМС |
сверх базовая ТП ОМС (неонатальный скрининг и пренатальная (дородовая) диагностика) |
I этап |
II этап |
| |||
Первый уровень |
|||||||||||||
1 |
ОБУЗ Верхнеландеховская ЦРБ |
1 |
+ |
|
|
+ |
|
|
+ |
+ | |||
2 |
ОБУЗ "Гаврилово-Посадская ЦРБ" |
1 |
+ |
|
|
+ |
|
|
+ |
+ | |||
3 |
ОБУЗ Ильинская ЦРБ |
1 |
+ |
|
|
+ |
|
|
+ |
+ | |||
4 |
ОБУЗ "Комсомольская ЦБ" |
1 |
+ |
|
|
+ |
|
|
+ |
+ | |||
5 |
ОБУЗ Лежневская ЦРБ |
1 |
+ |
|
|
+ |
|
|
+ |
+ | |||
6 |
ОБУЗ Лухская ЦРБ |
1 |
+ |
|
|
+ |
|
|
+ |
+ | |||
7 |
ОБУЗ "Палехская ЦРБ" |
1 |
+ |
|
|
+ |
|
|
+ |
+ | |||
8 |
ОБУЗ "Пестяковская ЦРБ" |
1 |
+ |
|
|
|
|
|
+ |
+ | |||
9 |
ОБУЗ Приволжская ЦРБ |
1 |
+ |
+ |
|
+ |
|
|
+ |
+ | |||
10 |
ОБУЗ Пучежская ЦРБ |
1 |
+ |
|
|
+ |
|
|
+ |
+ | |||
11 |
ОБУЗ Фурмановская ЦРБ |
1 |
+ |
+ |
|
+ |
|
|
+ |
+ | |||
12 |
ОБУЗ "Южская ЦРБ" |
1 |
+ |
|
|
+ |
|
|
+ |
+ | |||
13 |
ФГБОУ ВО ИвГМА Минздрава России |
1 |
|
+ |
|
+ |
|
|
|
| |||
14 |
ФГБУЗ МЦ "Решма" ФМБА России |
1 |
+ |
+ |
|
|
|
|
+ |
| |||
15 |
ФКУЗ МСЧ-37 ФСИН России |
1 |
|
+ |
|
|
|
|
|
| |||
16 |
ФКУЗ "МСЧ МВД России по Ивановской области" |
1 |
|
+ |
|
|
|
|
|
| |||
17 |
ЧУЗ "КБ "РЖД-Медицина" г. Иваново" |
1 |
|
+ |
|
+ |
|
|
|
| |||
18 |
ИП Замыслов Данил Евгеньевич |
1 |
|
+ |
|
|
|
|
|
| |||
19 |
ООО "КСМ" |
1 |
|
+ |
|
+ |
|
|
|
| |||
20 |
Нефросовет |
1 |
|
+ |
|
+ |
|
|
|
| |||
21 |
МЧУ "Нефросовет-Иваново" |
1 |
|
|
|
+ |
|
|
|
| |||
22 |
ООО "ЦЕНТРЫ ДИАЛИЗА "АВИЦЕННА" |
1 |
|
|
|
+ |
|
|
|
| |||
23 |
ООО "МРТ-Центр" |
1 |
|
|
|
+ |
|
|
|
| |||
24 |
ООО "УЗ Областной диагностический центр" |
1 |
|
|
|
+ |
|
|
|
| |||
25 |
ООО "МРТ-ДИАГНОСТИКА" |
1 |
|
|
|
+ |
|
|
|
| |||
26 |
ООО "Миленарис диагностика" |
1 |
|
|
|
+ |
|
|
|
| |||
27 |
ООО "Миленарис профилактика" |
1 |
|
|
|
+ |
|
|
|
| |||
28 |
АНО "Медицинский центр "Белая роза" |
1 |
|
|
|
+ |
|
|
|
| |||
29 |
ООО "М-ЛАЙН" |
1 |
|
|
|
+ |
|
|
|
| |||
30 |
Общество с ограниченной ответственностью "Независимая лаборатория ИНВИТРО" |
1 |
|
|
|
+ |
|
|
|
| |||
31 |
ООО "Вита-Авис" |
1 |
|
+ |
|
+ |
|
|
|
| |||
32 |
ОБУЗ ГКБ N 8 |
1.1 |
|
+ |
|
|
|
|
|
| |||
33 |
ОБУЗ "Родильный дом N 1" |
1.1 |
|
+ |
|
|
|
|
|
| |||
34 |
ОБУЗ "Родильный дом N 4" |
1.1 |
|
+ |
|
|
|
|
|
| |||
35 |
ФГБУ "ИвНИИ МиД им. В.Н. Городкова" Минздрава России (женская консультация) |
1.1 |
|
+ |
|
|
|
|
|
| |||
Второй уровень |
|||||||||||||
36 |
ОБУЗ "ГКБ N 3 г. Иванова" |
2 |
+ |
+ |
|
+ |
|
|
+ |
+ | |||
37 |
ОБУЗ "ДГКБ N 5" г. Иваново |
2 |
+ |
+ |
|
+ |
|
|
+ |
| |||
38 |
ОБУЗ "Стоматологическая поликлиника N 1" |
2 |
|
+ |
|
|
|
|
|
| |||
39 |
ОБУЗ Вичугская ЦРБ |
2 |
+ |
+ |
|
+ |
|
|
+ |
+ | |||
40 |
ОБУЗ "Кинешемская ЦРБ" |
2 |
+ |
+ |
|
+ |
|
|
+ |
+ | |||
41 |
ОБУЗ "Кохомская городская больница" |
2 |
+ |
+ |
|
+ |
|
|
+ |
| |||
42 |
ОБУЗ "Родниковская ЦРБ" |
2 |
+ |
+ |
|
+ |
|
|
+ |
+ | |||
43 |
ОБУЗ "Тейковская ЦРБ" |
2 |
+ |
+ |
|
+ |
|
|
+ |
+ | |||
44 |
ОБУЗ "Кардиологический диспансер" |
2 |
|
+ |
|
+ |
|
|
|
| |||
45 |
ОБУЗ "ИОКВД" |
2 |
|
+ |
|
|
|
|
|
| |||
46 |
ОБУЗ "ИвООД" |
2 |
|
+ |
+ |
+ |
|
|
|
| |||
47 |
ОГВВ |
2 |
|
+ |
|
|
|
|
|
| |||
48 |
ОБУЗ 1 ГКБ |
2 |
+ |
+ |
+ |
+ |
|
|
+ |
+ | |||
49 |
ОБУЗ ИКБ им. Куваевых |
2 |
+ |
+ |
|
+ |
|
|
+ |
+ | |||
50 |
ОБУЗ "ГКБ N 4" |
2 |
+ |
+ |
|
+ |
|
|
+ |
+ | |||
51 |
ОБУЗ ГКБ N 7 |
2 |
+ |
+ |
|
+ |
|
|
+ |
+ | |||
52 |
ОБУЗ "Шуйская ЦРБ" |
2 |
+ |
+ |
|
+ |
|
|
+ |
+ | |||
53 |
ООО "СветоДар" |
2 |
|
+ |
|
+ |
|
|
|
| |||
54 |
ООО "ЯМТ" |
2 |
|
|
|
+ |
|
|
|
| |||
55 |
ООО МЦ "Европа" |
2 |
|
+ |
|
+ |
|
|
|
| |||
56 |
ООО МЦ "Ивастрамед" |
2 |
|
+ |
|
+ |
|
|
|
| |||
57 |
ООО "33МедикАл" |
2 |
|
+ |
|
|
|
|
|
| |||
58 |
ООО "Светадар" |
2 |
|
+ |
|
|
|
|
|
| |||
|
ФГБУ "ИвНИИ МиД им. В.Н. Городкова" Минздрава России |
2 |
|
+ |
|
|
+ |
|
|
| |||
Третий уровень |
|||||||||||||
59 |
ОБУЗ "ИвОКБ" |
3 |
|
+ |
|
+ |
|
+ |
|
| |||
60 |
ОБУЗ "ОДКБ" |
3 |
|
+ |
|
|
|
|
|
| |||
".
Приложение N 2
к Дополнительному соглашению
от 25.03.2022 N 2
к Тарифному соглашению
в сфере обязательного медицинского
страхования
на территории Ивановской области на 2022
год
"Приложение N 1
к Тарифному соглашению
в сфере обязательного медицинского
страхования
на территории Ивановской области на 2022
год
ПЕРЕЧЕНЬ МЕДИЦИНСКИХ ОРГАНИЗАЦИЙ,
ОКАЗЫВАЮЩИХ МЕДИЦИНСКУЮ ПОМОЩЬ В
АМБУЛАТОРНЫХ УСЛОВИЯХ, С УЧЕТОМ УРОВНЯ
ОРГАНИЗАЦИИ МЕДИЦИНСКОЙ ПОМОЩИ И
СПОСОБОВ ОПЛАТЫ
с 17.03.2022
N п/п |
Наименование медицинской организации |
Уровень организации медицинской помощи |
Оплата медицинской помощи |
||||||||||
|
|
|
по подушевому нормативу финансирования |
по тарифам за единицу объема |
по тарифам за медицинские услуги |
по тарифам за диспансеризацию |
по нормативу финансирования структурного подразделения медицинской организации (ФП, ФАП) |
||||||
|
|
|
|
базовая ТП ОМС |
сверх базовая ТП ОМС (паллиативная медицинская помощь) |
базовая ТП ОМС |
сверх базовая ТП ОМС (неонатальный скрининг и пренатальная (дородовая) диагностика) |
I этап |
II этап |
| |||
Первый уровень |
|||||||||||||
1 |
ОБУЗ Верхнеландеховская ЦРБ |
1 |
+ |
|
|
+ |
|
|
+ |
+ | |||
2 |
ОБУЗ "Гаврилово-Посадская ЦРБ" |
1 |
+ |
|
|
+ |
|
|
+ |
+ | |||
3 |
ОБУЗ Ильинская ЦРБ |
1 |
+ |
|
|
+ |
|
|
+ |
+ | |||
4 |
ОБУЗ "Комсомольская ЦБ" |
1 |
+ |
|
|
+ |
|
|
+ |
+ | |||
5 |
ОБУЗ Лежневская ЦРБ |
1 |
+ |
|
|
+ |
|
|
+ |
+ | |||
6 |
ОБУЗ Лухская ЦРБ |
1 |
+ |
|
|
+ |
|
|
+ |
+ | |||
7 |
ОБУЗ "Палехская ЦРБ" |
1 |
+ |
|
|
+ |
|
|
+ |
+ | |||
8 |
ОБУЗ "Пестяковская ЦРБ" |
1 |
+ |
|
|
|
|
|
+ |
+ | |||
9 |
ОБУЗ Приволжская ЦРБ |
1 |
+ |
+ |
|
+ |
|
|
+ |
+ | |||
10 |
ОБУЗ Пучежская ЦРБ |
1 |
+ |
|
|
+ |
|
|
+ |
+ | |||
11 |
ОБУЗ Фурмановская ЦРБ |
1 |
+ |
+ |
|
+ |
|
|
+ |
+ | |||
12 |
ОБУЗ "Южская ЦРБ" |
1 |
+ |
|
|
+ |
|
|
+ |
+ | |||
13 |
ФГБОУ ВО ИвГМА Минздрава России |
1 |
|
+ |
|
+ |
|
|
|
| |||
14 |
ФГБУЗ МЦ "Решма" ФМБА России |
1 |
+ |
+ |
|
|
|
|
+ |
| |||
15 |
ФКУЗ МСЧ-37 ФСИН России |
1 |
|
+ |
|
|
|
|
|
| |||
16 |
ФКУЗ "МСЧ МВД России по Ивановской области" |
1 |
|
+ |
|
|
|
|
|
| |||
17 |
ЧУЗ "КБ "РЖД-Медицина" г. Иваново" |
1 |
+ |
+ |
|
+ |
|
|
+ |
| |||
18 |
ИП Замыслов Данил Евгеньевич |
1 |
|
+ |
|
|
|
|
|
| |||
19 |
ООО "КСМ" |
1 |
|
+ |
|
+ |
|
|
|
| |||
20 |
Нефросовет |
1 |
|
+ |
|
+ |
|
|
|
| |||
21 |
МЧУ "Нефросовет-Иваново" |
1 |
|
|
|
+ |
|
|
|
| |||
22 |
ООО "ЦЕНТРЫ ДИАЛИЗА "АВИЦЕННА" |
1 |
|
|
|
+ |
|
|
|
| |||
23 |
ООО "МРТ-Центр" |
1 |
|
|
|
+ |
|
|
|
| |||
24 |
ООО "УЗ Областной диагностический центр" |
1 |
|
|
|
+ |
|
|
|
| |||
25 |
ООО "МРТ-ДИАГНОСТИКА" |
1 |
|
|
|
+ |
|
|
|
| |||
26 |
ООО "Миленарис диагностика" |
1 |
|
|
|
+ |
|
|
|
| |||
27 |
ООО "Миленарис профилактика" |
1 |
|
|
|
+ |
|
|
|
| |||
28 |
АНО "Медицинский центр "Белая роза" |
1 |
|
|
|
+ |
|
|
|
| |||
29 |
ООО "М-ЛАЙН" |
1 |
|
|
|
+ |
|
|
|
| |||
30 |
Общество с ограниченной ответственностью "Независимая лаборатория ИНВИТРО" |
1 |
|
|
|
+ |
|
|
|
| |||
31 |
ООО "Вита-Авис" |
1 |
|
+ |
|
+ |
|
|
|
| |||
32 |
ОБУЗ ГКБ N 8 |
1.1 |
|
+ |
|
|
|
|
|
| |||
33 |
ОБУЗ "Родильный дом N 1" |
1.1 |
|
+ |
|
|
|
|
|
| |||
34 |
ОБУЗ "Родильный дом N 4" |
1.1 |
|
+ |
|
|
|
|
|
| |||
35 |
ФГБУ "ИвНИИ МиД им. В.Н. Городкова" Минздрава России (женская консультация) |
1.1 |
|
+ |
|
|
|
|
|
| |||
Второй уровень |
|||||||||||||
36 |
ОБУЗ "ГКБ N 3 г. Иванова" |
2 |
+ |
+ |
|
+ |
|
|
+ |
+ | |||
37 |
ОБУЗ "ДГКБ N 5" г. Иваново |
2 |
+ |
+ |
|
+ |
|
|
+ |
| |||
38 |
ОБУЗ "Стоматологическая поликлиника N 1" |
2 |
|
+ |
|
|
|
|
|
| |||
39 |
ОБУЗ Вичугская ЦРБ |
2 |
+ |
+ |
|
+ |
|
|
+ |
+ | |||
40 |
ОБУЗ "Кинешемская ЦРБ" |
2 |
+ |
+ |
|
+ |
|
|
+ |
+ | |||
41 |
ОБУЗ "Кохомская городская больница" |
2 |
+ |
+ |
|
+ |
|
|
+ |
| |||
42 |
ОБУЗ "Родниковская ЦРБ" |
2 |
+ |
+ |
|
+ |
|
|
+ |
+ | |||
43 |
ОБУЗ "Тейковская ЦРБ" |
2 |
+ |
+ |
|
+ |
|
|
+ |
+ | |||
44 |
ОБУЗ "Кардиологический диспансер" |
2 |
|
+ |
|
+ |
|
|
|
| |||
45 |
ОБУЗ "ИОКВД" |
2 |
|
+ |
|
|
|
|
|
| |||
46 |
ОБУЗ "ИвООД" |
2 |
|
+ |
+ |
+ |
|
|
|
| |||
47 |
ОГВВ |
2 |
|
+ |
|
|
|
|
|
| |||
48 |
ОБУЗ 1 ГКБ |
2 |
+ |
+ |
+ |
+ |
|
|
+ |
+ | |||
49 |
ОБУЗ ИКБ им. Куваевых |
2 |
+ |
+ |
|
+ |
|
|
+ |
+ | |||
50 |
ОБУЗ "ГКБ N 4" |
2 |
+ |
+ |
|
+ |
|
|
+ |
+ | |||
51 |
ОБУЗ ГКБ N 7 |
2 |
+ |
+ |
|
+ |
|
|
+ |
+ | |||
52 |
ОБУЗ "Шуйская ЦРБ" |
2 |
+ |
+ |
|
+ |
|
|
+ |
+ | |||
53 |
ООО "СветоДар" |
2 |
|
+ |
|
+ |
|
|
|
| |||
54 |
ООО "ЯМТ" |
2 |
|
|
|
+ |
|
|
|
| |||
55 |
ООО МЦ "Европа" |
2 |
|
+ |
|
+ |
|
|
|
| |||
56 |
ООО МЦ "Ивастрамед" |
2 |
|
+ |
|
+ |
|
|
|
| |||
57 |
ООО "33МедикАл" |
2 |
|
+ |
|
|
|
|
|
| |||
58 |
ООО "Светадар" |
2 |
|
+ |
|
|
|
|
|
| |||
|
ФГБУ "ИвНИИ МиД им. В.Н. Городкова" Минздрава России |
2 |
|
+ |
|
|
+ |
|
|
| |||
Третий уровень |
|||||||||||||
59 |
ОБУЗ "ИвОКБ" |
3 |
|
+ |
|
+ |
|
+ |
|
| |||
60 |
ОБУЗ "ОДКБ" |
3 |
|
+ |
|
|
|
|
|
| |||
".
Приложение N 3
к Дополнительному соглашению
от 25.03.2022 N 2
к Тарифному соглашению
в сфере обязательного медицинского
страхования
на территории Ивановской области на 2022
год
"Приложение N 3
к Тарифному соглашению
в сфере обязательного медицинского
страхования
на территории Ивановской области на 2022
год
ПЕРЕЧЕНЬ МЕДИЦИНСКИХ ОРГАНИЗАЦИЙ,
ОКАЗЫВАЮЩИХ МЕДИЦИНСКУЮ ПОМОЩЬ В
СТАЦИОНАРНЫХ УСЛОВИЯХ, С УЧЕТОМ УРОВНЯ
ОРГАНИЗАЦИИ МЕДИЦИНСКОЙ ПОМОЩИ И
СПОСОБОВ ОПЛАТЫ, ВКЛЮЧАЯ ВМП И
МЕДИЦИНСКИЕ УСЛУГИ
с 25.02.2022
N п/п |
Наименование медицинской организации/структурного подразделения (профили коек) |
Уровень (подуровень) организации медицинской помощи |
Оплата медицинской помощи в условиях круглосуточного стационара | |||
|
|
|
по тарифам КСГ |
по тарифам ВМП |
по тарифам за единицу объема сверх базовой ТП ОМС | |
|
|
|
|
|
отделения паллиативной медицинской помощи |
отделения сестринского ухода |
|
Первый уровень | |||||
1 |
ООО "МЕДИЦИНА" |
1 |
|
|
+ |
|
2 |
ООО "Добрый День" |
1 |
|
|
+ |
|
3 |
ОБУЗ Верхнеландеховская ЦРБ |
1.1 |
+ |
|
|
|
4 |
ОБУЗ "Гаврилово-Посадская ЦРБ" |
1.1 |
+ |
|
|
|
5 |
ОБУЗ Ильинская ЦРБ |
1.1 |
+ |
|
|
|
6 |
ОБУЗ Лежневская ЦРБ |
1.1 |
+ |
|
|
|
7 |
ОБУЗ Лухская ЦРБ |
1.1 |
+ |
|
|
|
8 |
ОБУЗ "Пестяковская ЦРБ" |
1.1 |
+ |
|
|
|
9 |
ООО "Санаторий Зеленый городок" |
1.1 |
+ |
|
|
|
10 |
ООО "Велес" |
1.1 |
+ |
|
|
|
11 |
ОБУЗ "Комсомольская ЦБ" |
1.2 |
+ |
|
|
|
12 |
ОБУЗ "Палехская ЦРБ" |
1.2 |
+ |
|
|
|
13 |
ОБУЗ Приволжская ЦРБ |
1.2 |
+ |
|
|
|
14 |
ОБУЗ Пучежская ЦРБ |
1.2 |
+ |
|
|
|
15 |
ОБУЗ "Южская ЦРБ" |
1.2 |
+ |
|
|
|
|
Второй уровень | |||||
16 |
ООО "КСМ" |
2.1 |
+ |
|
|
|
17 |
ООО "33 МедикАл" |
2.1 |
+ |
|
|
|
18 |
ОБУЗ "ИОКВД" |
2.1 |
+ |
|
|
|
19 |
ОБУЗ Вичугская ЦРБ |
2.1 |
+ |
|
|
|
20 |
ОБУЗ "Родниковская ЦРБ" |
2.1 |
+ |
|
|
+ |
21 |
ОБУЗ "Тейковская ЦРБ" |
2.1 |
+ |
|
|
|
22 |
ОБУЗ Фурмановская ЦРБ |
2.1 |
+ |
|
|
|
23 |
ООО "Ивмедцентр" |
2.1 |
+ |
|
|
|
24 |
ООО МЦ "Ивастрамед" |
2.1 |
+ |
|
|
|
25 |
ООО МЦ "Европа" |
2.1 |
+ |
|
|
|
26 |
ОБУЗ ГКБ N 8 |
2.1 |
+ |
|
|
|
27 |
ОБУЗ "ГКБ N 3 г. Иванова" |
2.2 |
+ |
|
|
|
28 |
ОБУЗ "Родильный дом N 1" |
2.2 |
+ |
|
|
|
29 |
ОБУЗ "ДГКБ N 5" г. Иваново |
2.2 |
+ |
|
|
|
30 |
ОБУЗ "Шуйская ЦРБ" |
2.2 |
+ |
|
|
+ |
31 |
<*> ЧУЗ "КБ "РЖД-Медицина" г. Иваново" |
2.2 |
+ |
|
|
|
32 |
<*> ОБУЗ ГКБ N 7 |
2.2 |
+ |
|
|
|
33 |
ОБУЗ "Родильный дом N 4" |
2.2 |
+ |
|
|
|
34 |
<*> ОБУЗ "ГКБ N 4" |
2.2 |
+ |
|
|
|
35 |
ФГБУ "ИвНИИ МиД им. В.Н. Городкова" Минздрава России |
2.2 |
+ |
|
|
|
36 |
ОБУЗ 1 ГКБ |
2.2 |
+ |
|
+ |
|
37 |
ОБУЗ ИКБ им. Куваевых |
2.2 |
+ |
|
|
|
38 |
<*> ОБУЗ "Кинешемская ЦРБ" |
2.2 |
+ |
|
|
+ |
39 |
ОБУЗ "Кардиологический диспансер" |
2.2 |
+ |
|
|
|
40 |
ФГБУЗ МЦ "Решма" ФМБА России |
2.2 |
+ |
|
|
|
41 |
ООО "Светадар" |
2.2 |
+ |
|
|
|
42 |
<*> ОГВВ |
2.3 |
+ |
|
|
|
43 |
<*> ОБУЗ "ИвООД", в т.ч. |
|
|
|
|
|
|
- радиология, радиотерапия |
2.3 |
+ |
|
|
|
|
Третий уровень | |||||
|
ОБУЗ "ИвООД", в т.ч. |
|
|
|
|
|
|
- онкология |
3.1 |
+ |
+ |
+ |
|
44 |
ГБУЗВО "ОКБ", в т.ч. |
|
|
|
|
|
|
- оториноларингология |
3.1 |
+ |
+ |
|
|
45 |
ООО "СветоДар", в т.ч. |
|
|
|
|
|
|
- офтальмология |
3.1 |
+ |
+ |
|
|
|
ОБУЗ "Кинешемская ЦРБ", в т.ч. |
|
|
|
|
|
|
- кардиология |
3.1 |
+ |
+ |
|
|
|
- кардиология для больных с острым инфарктом миокарда |
3.1 |
+ |
+ |
|
|
|
- нейрохирургия |
3.1 |
+ |
+ |
|
|
|
- травматология и ортопедия |
3.1 |
+ |
+ |
|
|
|
ОГВВ, в т.ч. |
|
|
|
|
|
|
- травматология и ортопедия |
3.1 |
+ |
+ |
|
|
|
ЧУЗ "КБ "РЖД-Медицина" г. Иваново", в т.ч. |
|
|
|
|
|
|
- травматология и ортопедия |
3.1 |
+ |
+ |
|
|
|
ООО МЦ "Европа", в т.ч. |
|
|
|
|
|
|
- онкология |
3.1 |
+ |
+ |
|
|
|
ОБУЗ ГКБ N 7 |
|
|
|
|
|
|
- хирургия |
3.1 |
+ |
+ |
|
|
|
- травматология и ортопедия |
3.1 |
+ |
+ |
|
|
|
- урология |
3.1 |
+ |
+ |
|
|
|
ОБУЗ "ГКБ N 4" |
|
|
|
|
|
|
- хирургия |
3.1 |
+ |
+ |
|
|
|
- гастроэнтерология |
3.1 |
+ |
+ |
|
|
|
- оториноларингология |
3.1 |
+ |
+ |
|
|
|
- офтальмология |
3.1 |
+ |
+ |
|
|
|
- эндокринология |
3.1 |
+ |
+ |
|
|
46 |
ОБУЗ "ИвОКБ" |
3.2 |
+ |
+ |
|
|
47 |
ОБУЗ "ОДКБ" |
3.2 |
+ |
+ |
+ |
|
* - за исключением структурных
подразделений, оказывающих ВМП".
Приложение N 4
к Дополнительному соглашению
от 25.03.2022 N 2
к Тарифному соглашению
в сфере обязательного медицинского
страхования
на территории Ивановской области на 2022
год
"Приложение N 4
к Тарифному соглашению
в сфере обязательного медицинского
страхования
на территории Ивановской области на 2022
год
ПЕРЕЧЕНЬ МЕДИЦИНСКИХ ОРГАНИЗАЦИЙ,
ОКАЗЫВАЮЩИХ МЕДИЦИНСКУЮ ПОМОЩЬ В
УСЛОВИЯХ ДНЕВНОГО СТАЦИОНАРА, С УЧЕТОМ
УРОВНЯ ОРГАНИЗАЦИИ МЕДИЦИНСКОЙ ПОМОЩИ И
СПОСОБОВ ОПЛАТЫ
с 01.01.2022
N п/п |
Наименование медицинской организации |
Уровень (подуровень) организации медицинской помощи |
Оплата медицинской помощи |
|
|
|
по тарифам КСГ |
Первый уровень | |||
1 |
ОБУЗ Верхнеландеховская ЦРБ |
1.1 |
+ |
2 |
ОБУЗ "Гаврилово-Посадская ЦРБ" |
1.1 |
+ |
3 |
ОБУЗ Ильинская ЦРБ |
1.1 |
+ |
4 |
ОБУЗ Лежневская ЦРБ |
1.1 |
+ |
5 |
ОБУЗ Лухская ЦРБ |
1.1 |
+ |
6 |
ОБУЗ "Пестяковская ЦРБ" |
1.1 |
+ |
7 |
ОБУЗ Приволжская ЦРБ |
1.1 |
+ |
8 |
ОБУЗ Пучежская ЦРБ |
1.1 |
+ |
9 |
ОБУЗ "Южская ЦРБ" |
1.1 |
+ |
10 |
ФКУЗ МСЧ-37 ФСИН России |
1.1 |
+ |
11 |
ООО "Центр "МЕДИКОМ" |
1.1 |
+ |
12 |
ООО "Окулист" |
1.1 |
+ |
13 |
ОБУЗ "Комсомольская ЦБ" |
1.2 |
+ |
14 |
ОБУЗ "Палехская ЦРБ" |
1.2 |
+ |
15 |
ООО "Велес" |
1.2 |
+ |
Второй уровень | |||
16 |
ОБУЗ "Кохомская городская больница" |
2.1 |
+ |
17 |
ООО "КСМ" |
2.1 |
+ |
18 |
ОБУЗ "ИОКЦМР" |
2.1 |
+ |
19 |
ОБУЗ "Родильный дом N 1" |
2.1 |
+ |
20 |
ОБУЗ "Родильный дом N 4" |
2.1 |
+ |
21 |
ОБУЗ "ДГКБ N 5" г. Иваново |
2.1 |
+ |
22 |
ОБУЗ Вичугская ЦРБ |
2.1 |
+ |
23 |
ОБУЗ "Родниковская ЦРБ" |
2.1 |
+ |
24 |
ОБУЗ "Тейковская ЦРБ" |
2.1 |
+ |
25 |
ООО "СветоДар" |
2.1 |
+ |
26 |
ООО МЦ "Ивастрамед" |
2.1 |
+ |
27 |
ООО "Ивмедцентр" |
2.1 |
+ |
28 |
ООО МЦ "Европа" |
2.1 |
+ |
29 |
ООО "33МедикАл" |
2.1 |
+ |
30 |
ЧУЗ "КБ "РЖД-Медицина" г. Иваново" |
2.1 |
+ |
31 |
ОБУЗ "ОДКБ" |
2.2 |
+ |
32 |
ОБУЗ "Кардиологический диспансер" |
2.2 |
+ |
33 |
ОБУЗ "ИОКВД" |
2.2 |
+ |
34 |
ОБУЗ 1 ГКБ |
2.2 |
+ |
35 |
ОБУЗ ИКБ им. Куваевых |
2.2 |
+ |
36 |
ОБУЗ "ГКБ N 3 г. Иванова" |
2.2 |
+ |
37 |
ОБУЗ "ГКБ N 4" |
2.2 |
+ |
38 |
ОБУЗ ГКБ N 7 |
2.2 |
+ |
39 |
ОБУЗ ГКБ N 8 |
2.2 |
+ |
40 |
ОБУЗ Фурмановская ЦРБ |
2.2 |
+ |
41 |
ОБУЗ "ИвОКБ" |
2.3 |
+ |
42 |
ОБУЗ "ИвООД" |
2.3 |
+ |
43 |
ОБУЗ "Кинешемская ЦРБ" |
2.3 |
+ |
44 |
ОБУЗ "Шуйская ЦРБ" |
2.3 |
+ |
45 |
АО "Медицина" |
2.3 |
+ |
".
Приложение N 5
к Дополнительному соглашению
от 25.03.2022 N 2
к Тарифному соглашению
в сфере обязательного медицинского
страхования
на территории Ивановской области на 2022
год
"Приложение N 4
к Тарифному соглашению
в сфере обязательного медицинского
страхования
на территории Ивановской области на 2022
год
ПЕРЕЧЕНЬ МЕДИЦИНСКИХ ОРГАНИЗАЦИЙ,
ОКАЗЫВАЮЩИХ МЕДИЦИНСКУЮ ПОМОЩЬ В
УСЛОВИЯХ ДНЕВНОГО СТАЦИОНАРА, С УЧЕТОМ
УРОВНЯ ОРГАНИЗАЦИИ МЕДИЦИНСКОЙ ПОМОЩИ И
СПОСОБОВ ОПЛАТЫ
с 03.02.2022
N п/п |
Наименование медицинской организации |
Уровень (подуровень) организации медицинской помощи |
Оплата медицинской помощи |
|
|
|
по тарифам КСГ |
Первый уровень | |||
1 |
ОБУЗ Верхнеландеховская ЦРБ |
1.1 |
+ |
2 |
ОБУЗ "Гаврилово-Посадская ЦРБ" |
1.1 |
+ |
3 |
ОБУЗ Ильинская ЦРБ |
1.1 |
+ |
4 |
ОБУЗ Лежневская ЦРБ |
1.1 |
+ |
5 |
ОБУЗ Лухская ЦРБ |
1.1 |
+ |
6 |
ОБУЗ "Пестяковская ЦРБ" |
1.1 |
+ |
7 |
ОБУЗ Приволжская ЦРБ |
1.1 |
+ |
8 |
ОБУЗ Пучежская ЦРБ |
1.1 |
+ |
9 |
ОБУЗ "Южская ЦРБ" |
1.1 |
+ |
10 |
ФКУЗ МСЧ-37 ФСИН России |
1.1 |
+ |
11 |
ООО "Центр "МЕДИКОМ" |
1.1 |
+ |
12 |
ООО "Окулист" |
1.1 |
+ |
13 |
ОБУЗ "Комсомольская ЦБ" |
1.2 |
+ |
14 |
ОБУЗ "Палехская ЦРБ" |
1.2 |
+ |
15 |
ООО "Велес" |
1.2 |
+ |
Второй уровень | |||
16 |
ОБУЗ "Кохомская городская больница" |
2.1 |
+ |
17 |
ООО "КСМ" |
2.1 |
+ |
18 |
ОБУЗ "ИОКЦМР" |
2.1 |
+ |
19 |
ОБУЗ "Родильный дом N 1" |
2.1 |
+ |
20 |
ОБУЗ "Родильный дом N 4" |
2.1 |
+ |
21 |
ОБУЗ "ДГКБ N 5" г. Иваново |
2.1 |
+ |
22 |
ОБУЗ Вичугская ЦРБ |
2.1 |
+ |
23 |
ОБУЗ "Родниковская ЦРБ" |
2.1 |
+ |
24 |
ОБУЗ "Тейковская ЦРБ" |
2.1 |
+ |
25 |
ООО "СветоДар" |
2.1 |
+ |
26 |
ООО МЦ "Ивастрамед" |
2.1 |
+ |
27 |
ООО "Ивмедцентр" |
2.1 |
+ |
28 |
ООО МЦ "Европа" |
2.1 |
+ |
29 |
ООО "33МедикАл" |
2.1 |
+ |
30 |
ЧУЗ "КБ "РЖД-Медицина" г. Иваново" |
2.1 |
+ |
31 |
ОБУЗ "ОДКБ" |
2.2 |
+ |
32 |
ОБУЗ "Кардиологический диспансер" |
2.2 |
+ |
33 |
ОБУЗ "ИОКВД" |
2.2 |
+ |
34 |
ОБУЗ 1 ГКБ |
2.2 |
+ |
35 |
ОБУЗ ИКБ им. Куваевых |
2.2 |
+ |
36 |
ОБУЗ "ГКБ N 3 г. Иванова" |
2.2 |
+ |
37 |
ОБУЗ "ГКБ N 4" |
2.2 |
+ |
38 |
ОБУЗ ГКБ N 7 |
2.2 |
+ |
39 |
ОБУЗ ГКБ N 8 |
2.2 |
+ |
40 |
ОБУЗ Фурмановская ЦРБ |
2.2 |
+ |
41 |
ОБУЗ "ИвОКБ" |
2.3 |
+ |
42 |
ОБУЗ "ИвООД" |
2.3 |
+ |
43 |
ОБУЗ "Кинешемская ЦРБ" |
2.3 |
+ |
44 |
ОБУЗ "Шуйская ЦРБ" |
2.3 |
+ |
".
Приложение N 6
к Дополнительному соглашению
от 25.03.2022 N 2
к Тарифному соглашению
в сфере обязательного медицинского
страхования
на территории Ивановской области на 2022
год
"Приложение N 4
к Тарифному соглашению
в сфере обязательного медицинского
страхования
на территории Ивановской области на 2022
год
ПЕРЕЧЕНЬ МЕДИЦИНСКИХ ОРГАНИЗАЦИЙ,
ОКАЗЫВАЮЩИХ МЕДИЦИНСКУЮ ПОМОЩЬ В
УСЛОВИЯХ ДНЕВНОГО СТАЦИОНАРА, С УЧЕТОМ
УРОВНЯ ОРГАНИЗАЦИИ МЕДИЦИНСКОЙ ПОМОЩИ И
СПОСОБОВ ОПЛАТЫ
с 25.02.2022
N п/п |
Наименование медицинской организации |
Уровень (подуровень) организации медицинской помощи |
Оплата медицинской помощи |
|
|
|
по тарифам КСГ |
Первый уровень | |||
1 |
ОБУЗ Верхнеландеховская ЦРБ |
1.1 |
+ |
2 |
ОБУЗ "Гаврилово-Посадская ЦРБ" |
1.1 |
+ |
3 |
ОБУЗ Ильинская ЦРБ |
1.1 |
+ |
4 |
ОБУЗ Лежневская ЦРБ |
1.1 |
+ |
5 |
ОБУЗ Лухская ЦРБ |
1.1 |
+ |
6 |
ОБУЗ "Пестяковская ЦРБ" |
1.1 |
+ |
7 |
ОБУЗ Приволжская ЦРБ |
1.1 |
+ |
8 |
ОБУЗ Пучежская ЦРБ |
1.1 |
+ |
9 |
ОБУЗ "Южская ЦРБ" |
1.1 |
+ |
10 |
ФКУЗ МСЧ-37 ФСИН России |
1.1 |
+ |
11 |
ООО "Центр "МЕДИКОМ" |
1.1 |
+ |
12 |
ООО "Окулист" |
1.1 |
+ |
13 |
ОБУЗ "Комсомольская ЦБ" |
1.2 |
+ |
14 |
ОБУЗ "Палехская ЦРБ" |
1.2 |
+ |
15 |
ООО "Велес" |
1.2 |
+ |
Второй уровень | |||
16 |
ОБУЗ "Кохомская городская больница" |
2.1 |
+ |
17 |
ООО "КСМ" |
2.1 |
+ |
18 |
ОБУЗ "ИОКЦМР" |
2.1 |
+ |
19 |
ОБУЗ "Родильный дом N 1" |
2.1 |
+ |
20 |
ОБУЗ "Родильный дом N 4" |
2.1 |
+ |
21 |
ОБУЗ "ДГКБ N 5" г. Иваново |
2.1 |
+ |
22 |
ОБУЗ Вичугская ЦРБ |
2.1 |
+ |
23 |
ОБУЗ "Родниковская ЦРБ" |
2.1 |
+ |
24 |
ОБУЗ "Тейковская ЦРБ" |
2.1 |
+ |
25 |
ООО "СветоДар" |
2.1 |
+ |
26 |
ООО "Светадар" |
2.1 |
+ |
27 |
ООО МЦ "Ивастрамед" |
2.1 |
+ |
28 |
ООО "Ивмедцентр" |
2.1 |
+ |
29 |
ООО МЦ "Европа" |
2.1 |
+ |
30 |
ООО "33МедикАл" |
2.1 |
+ |
31 |
ЧУЗ "КБ "РЖД-Медицина" г. Иваново" |
2.1 |
+ |
32 |
ОБУЗ "ОДКБ" |
2.2 |
+ |
33 |
ОБУЗ "Кардиологический диспансер" |
2.2 |
+ |
34 |
ОБУЗ "ИОКВД" |
2.2 |
+ |
35 |
ОБУЗ 1 ГКБ |
2.2 |
+ |
36 |
ОБУЗ ИКБ им. Куваевых |
2.2 |
+ |
37 |
ОБУЗ "ГКБ N 3 г. Иванова" |
2.2 |
+ |
38 |
ОБУЗ "ГКБ N 4" |
2.2 |
+ |
39 |
ОБУЗ ГКБ N 7 |
2.2 |
+ |
40 |
ОБУЗ ГКБ N 8 |
2.2 |
+ |
41 |
ОБУЗ Фурмановская ЦРБ |
2.2 |
+ |
42 |
ОБУЗ "ИвОКБ" |
2.3 |
+ |
43 |
ОБУЗ "ИвООД" |
2.3 |
+ |
44 |
ОБУЗ "Кинешемская ЦРБ" |
2.3 |
+ |
45 |
ОБУЗ "Шуйская ЦРБ" |
2.3 |
+ |
".
Приложение N 7
к Дополнительному соглашению
от 25.03.2022 N 2
к Тарифному соглашению
в сфере обязательного медицинского
страхования
на территории Ивановской области на 2022
год
"Приложение N 8.1
к Тарифному соглашению
в сфере обязательного медицинского
страхования
на территории Ивановской области на 2022
год
ТАРИФЫ НА ОДНО ПОСЕЩЕНИЕ В СОЧЕТАНИИ С
МЕДИЦИНСКОЙ УСЛУГОЙ В АМБУЛАТОРНЫХ
УСЛОВИЯХ
Уровень 1
с 01.01.2022
N п/п |
Наименование должности специалиста |
Тариф по посещению с медицинской услугой, код услуги, руб. | ||||
|
|
Посещение с услугой A12.10.005 (велоэргометрия) |
Посещение с услугой A09.05.035 (исследование уровня лекарственных препаратов в крови) |
Посещение с услугой A03.26.019 (оптическое исследование сетчатки с помощью компьютерного анализатора) |
Посещение с услугой A22.26.029 (секторальная лазеркоагуляция сетчатки) |
Посещение с услугой A16.26.096 (дисцизия, экстракция вторичной катаракты) |
|
|
код услуги 4058 |
код услуги 4057 |
код услуги 4059 |
код услуги 4060 |
код услуги 4061 |
1 |
2 |
3 |
4 |
5 |
6 |
9 |
1 |
Врач-кардиолог |
1145,79 |
x |
x |
x |
x |
2 |
Врач-нефролог |
x |
1738,87 |
x |
x |
x |
3 |
Врач-офтальмолог |
|
x |
1094,87 |
3457,87 |
2006,46 |
Уровень 2
с 01.01.2022
N п/п |
Наименование должности специалиста |
Тариф по посещению с медицинской услугой, код услуги, руб. | ||||
|
|
Посещение с услугой A12.10.005 (велоэргометрия) |
Посещение с услугой A09.05.035 (исследование уровня лекарственных препаратов в крови) |
Посещение с услугой A03.26.019 (оптическое исследование сетчатки с помощью компьютерного анализатора) |
Посещение с услугой A22.26.029 (секторальная лазеркоагуляция сетчатки) |
Посещение с услугой A16.26.096 (дисцизия, экстракция вторичной катаракты) |
|
|
код услуги 4058 |
код услуги 4057 |
код услуги 4059 |
код услуги 4060 |
код услуги 4061 |
1 |
2 |
3 |
4 |
5 |
6 |
9 |
1 |
Врач-кардиолог |
1153,77 |
x |
x |
x |
x |
2 |
Врач-нефролог |
x |
1745,89 |
x |
x |
x |
3 |
Врач-офтальмолог |
x |
x |
1099,87 |
3462,87 |
2011,46 |
Уровень 3
с 01.01.2022
N п/п |
Наименование должности специалиста |
Тариф по посещению с медицинской услугой, код услуги, руб. | ||||
|
|
Посещение с услугой A12.10.005 (велоэргометрия) |
Посещение с услугой A09.05.035 (исследование уровня лекарственных препаратов в крови) |
Посещение с услугой A03.26.019 (оптическое исследование сетчатки с помощью компьютерного анализатора) |
Посещение с услугой A22.26.029 (секторальная лазеркоагуляция сетчатки) |
Посещение с услугой A16.26.096 (дисцизия, экстракция вторичной катаракты) |
|
|
код услуги 4058 |
код услуги 4057 |
код услуги 4059 |
код услуги 4060 |
код услуги 4061 |
1 |
2 |
3 |
4 |
5 |
6 |
9 |
1 |
Врач-кардиолог |
1155,37 |
x |
x |
x |
x |
2 |
Врач-нефролог |
x |
1747,29 |
x |
x |
x |
3 |
Врач-офтальмолог |
x |
x |
1100,87 |
3463,87 |
2012,46 |
".
Приложение N 8
к Дополнительному соглашению
от 25.03.2022 N 2
к Тарифному соглашению
в сфере обязательного медицинского
страхования
на территории Ивановской области на 2022
год
"Приложение N 9.1
к Тарифному соглашению
в сфере обязательного медицинского
страхования
на территории Ивановской области на 2022
год
ТАРИФЫ НА ОДНО КОМПЛЕКСНОЕ ПОСЕЩЕНИЕ
ОБРАЩЕНИЯ ПО ЗАБОЛЕВАНИЮ ПРИ ОКАЗАНИИ
МЕДИЦИНСКОЙ ПОМОЩИ ПО ПРОФИЛЮ
"МЕДИЦИНСКАЯ РЕАБИЛИТАЦИЯ"
Уровни 1, 2, 3
с 01.01.2022
N п/п |
Наименование должности специалиста |
Тариф на комплексное посещение, руб. |
|
|
код услуги |
1 |
2 |
3 |
1 |
Врач-кардиолог (медицинская реабилитация) |
18438,40 |
2 |
Врач-невролог (медицинская реабилитация) |
18438,40 |
3 |
Врач-педиатр (медицинская реабилитация) |
18438,40 |
4 |
Врач-терапевт (медицинская реабилитация) |
18438,40 |
5 |
Врач - травматолог-ортопед (медицинская реабилитация) |
18438,40 |
".
Приложение N 9
к Дополнительному соглашению
от 25.03.2022 N 2
к Тарифному соглашению
в сфере обязательного медицинского
страхования
на территории Ивановской области на 2022
год
"Приложение N 20
к Тарифному соглашению
в сфере обязательного медицинского
страхования
на территории Ивановской области на 2022
год
ПЕРЕЧЕНЬ ПОКАЗАТЕЛЕЙ РЕЗУЛЬТАТИВНОСТИ
ДЕЯТЕЛЬНОСТИ МЕДИЦИНСКИХ ОРГАНИЗАЦИЙ,
ФИНАНСИРУЕМЫХ ПО ПОДУШЕВОМУ НОРМАТИВУ
ФИНАНСИРОВАНИЯ НА ПРИКРЕПИВШИХСЯ ЛИЦ,
ПРИ ВЫПОЛНЕНИИ ТЕРРИТОРИАЛЬНОЙ
ПРОГРАММЫ ОБЯЗАТЕЛЬНОГО МЕДИЦИНСКОГО
СТРАХОВАНИЯ В ЧАСТИ ПЕРВИЧНОЙ (ПЕРВИЧНОЙ
СПЕЦИАЛИЗИРОВАННОЙ) МЕДИКО-САНИТАРНОЙ
ПОМОЩИ
N п/п |
Наименование показателей |
Единицы измерения |
Предположительный результат |
Индикаторы выполнения показателя <***> |
Макс. балл <**> |
Блок 1. Взрослое население (в возрасте 18 лет и старше) |
25 | ||||
Оценка эффективности профилактических мероприятий | |||||
1 |
Доля врачебных посещений с профилактической целью за период от общего числа посещений за период (включая посещения на дому) |
процентов |
Прирост показателя за период по отношению к показателю за предыдущий период |
Прирост < 5% - 0 баллов; Прирост >= 5% - 0,5 балла; Прирост >= 10% - 1 балл |
1 |
2 |
Доля взрослых пациентов с болезнями системы кровообращения, выявленными впервые при профилактических медицинских осмотрах и диспансеризации за период, от общего числа взрослых пациентов с болезнями системы кровообращения с впервые в жизни установленным диагнозом за период |
процентов |
Прирост показателя за период по отношению к показателю за предыдущий период |
Прирост < 5% - 0 баллов; Прирост >= 5% - 1 балл; Прирост >= 10% - 2 балла |
2 |
3 |
Доля взрослых пациентов с установленным диагнозом злокачественное новообразование, выявленным впервые при профилактических медицинских осмотрах и диспансеризации за период, от общего числа взрослых пациентов с впервые в жизни установленным диагнозом злокачественное новообразование за период |
процентов |
Прирост показателя за период по отношению к показателю за предыдущий период |
Прирост < 5% - 0 баллов; Прирост >= 5% - 0,5 балла; Прирост >= 10% - 1 балл |
1 |
4 |
Доля взрослых пациентов с установленным диагнозом хроническая обструктивная болезнь легких, выявленным впервые при профилактических медицинских осмотрах и диспансеризации за период, от общего числа взрослых пациентов с впервые в жизни установленным диагнозом хроническая обструктивная легочная болезнь за период |
процентов |
Прирост показателя за период по отношению к показателю за предыдущий период |
Прирост < 5% - 0 баллов; Прирост >= 5% - 0,5 балла; Прирост >= 10% - 1 балл |
1 |
5 |
Доля взрослых пациентов с установленным диагнозом сахарный диабет, выявленным впервые при профилактических медицинских осмотрах и диспансеризации за период, от общего числа взрослых пациентов с впервые в жизни установленным диагнозом сахарный диабет за период |
процентов |
Прирост показателя за период по отношению к показателю за предыдущий период |
Прирост < 5% - 0 баллов; Прирост >= 5% - 0,5 балла; Прирост >= 10% - 1 балл |
1 |
6 |
Выполнение плана вакцинации взрослых граждан по эпидемиологическим показаниям за период (коронавирусная инфекция COVID-19) |
процентов |
Достижение планового показателя |
100% плана или более |
2 |
Оценка эффективности диспансерного наблюдения | |||||
7 |
Доля взрослых пациентов с болезнями системы кровообращения <*>, имеющих высокий риск преждевременной смерти, состоящих под диспансерным наблюдением, от общего числа взрослых пациентов с болезнями системы кровообращения <*>, имеющих высокий риск преждевременной смерти, за период |
процентов |
Прирост показателя за период по отношению к показателю за предыдущий период |
Прирост < 5% - 0 баллов; Прирост >= 5% - 1 балл; Прирост >= 10% - 2 балла |
2 |
8 |
Число взрослых пациентов с болезнями системы кровообращения <*>, имеющих высокий риск преждевременной смерти, которым за период оказана медицинская помощь в неотложной форме и (или) скорая медицинская помощь, от общего числа взрослых пациентов с болезнями системы кровообращения <*>, имеющих высокий риск преждевременной смерти, за период |
человек |
Уменьшение показателя за период по отношению к показателю в предыдущем периоде |
Уменьшение < 5% - 0 баллов; Уменьшение >= 5% - 0,5 балла; Уменьшение >= 10% - 1 балл |
1 |
9 |
Доля взрослых пациентов с болезнями системы кровообращения, в отношении которых установлено диспансерное наблюдение за период, от общего числа взрослых пациентов с впервые в жизни установленным диагнозом болезни системы кровообращения за период |
процентов |
Достижение планового показателя |
100% плана или более |
1 |
10 |
Доля взрослых пациентов с установленным диагнозом хроническая обструктивная болезнь легких, в отношении которых установлено диспансерное наблюдение за период, от общего числа взрослых пациентов с впервые в жизни установленным диагнозом хроническая обструктивная болезнь легких за период |
процентов |
Достижение планового показателя |
100% плана или более |
1 |
11 |
Доля взрослых пациентов с установленным диагнозом сахарный диабет, в отношении которых установлено диспансерное наблюдение за период, от общего числа взрослых пациентов с впервые в жизни установленным диагнозом сахарный диабет за период |
процентов |
Достижение планового показателя |
100% плана или более |
2 |
12 |
Доля взрослых пациентов, госпитализированных за период по экстренным показаниям в связи с обострением (декомпенсацией) состояний, по поводу которых пациент находится под диспансерным наблюдением, от общего числа взрослых пациентов, находящихся под диспансерным наблюдением, за период |
процентов |
Уменьшение показателя за период по отношению к показателю в предыдущем периоде |
Уменьшение < 5% - 0 баллов; Уменьшение >= 5% - 0,5 балла; Уменьшение >= 10% - 1 балл |
1 |
13 |
Доля взрослых пациентов, повторно госпитализированных за период по причине заболеваний сердечно-сосудистой системы или их осложнений в течение года с момента предыдущей госпитализации, от общего числа взрослых пациентов, госпитализированных за период по причине заболеваний сердечно-сосудистой системы или их осложнений |
процентов |
Уменьшение показателя за период по отношению к показателю в предыдущем периоде |
Уменьшение < 5% - 0 баллов; Уменьшение >= 5% - 1 балл; Уменьшение >= 10% - 2 балла |
2 |
14 |
Доля взрослых пациентов, находящихся под диспансерным наблюдением по поводу сахарного диабета, у которых впервые зарегистрированы осложнения за период (диабетическая ретинопатия, диабетическая стопа), от общего числа взрослых пациентов, находящихся под диспансерным наблюдением по поводу сахарного диабета, за период |
процентов |
Уменьшение показателя за период по отношению к показателю в предыдущем периоде |
Уменьшение < 5% - 0 баллов; Уменьшение >= 5% - 0,5 балла; Уменьшение >= 10% - 1 балл |
1 |
Оценка смертности | |||||
15 |
Смертность прикрепленного населения в возрасте от 30 до 69 лет за период |
На 100 тыс. населения |
Уменьшение показателя за период по отношению к показателю в предыдущем периоде (среднее значение коэффициента смертности за 2019, 2020, 2021 годы) |
Увеличение показателя смертности или уменьшение < 2% - 0 баллов; Уменьшение от 2 до 5% - 1 балл; Уменьшение от 5 до 10% - 2 балла; Уменьшение >= 10% - 3 балла |
3 |
16 |
Число умерших за период, находящихся под диспансерным наблюдением, от общего числа взрослых пациентов, находящихся под диспансерным наблюдением |
человек |
Уменьшение показателя за период по отношению к показателю в предыдущем периоде |
Уменьшение < 5% - 0 баллов; Уменьшение >= 5% - 1,5 балла; Уменьшение >= 10% - 3 балла |
3 |
Блок 2. Детское население (от 0 до 17 лет включительно) |
10 | ||||
17 |
Охват вакцинацией детей в рамках Национального календаря прививок |
процентов |
Достижение планового показателя |
100% плана или более |
1 |
18 |
Доля детей, в отношении которых установлено диспансерное наблюдение по поводу болезней костно-мышечной системы и соединительной ткани за период, от общего числа детей с впервые в жизни установленными диагнозами болезней костно-мышечной системы и соединительной ткани за период |
процентов |
Достижение планового показателя |
100% от числа подлежащих диспансерному наблюдению |
1 |
19 |
Доля детей, в отношении которых установлено диспансерное наблюдение по поводу болезней глаза и его придаточного аппарата за период, от общего числа детей с впервые в жизни установленными диагнозами болезней глаза и его придаточного аппарата за период |
процентов |
Достижение планового показателя |
100% от числа подлежащих диспансерному наблюдению |
1 |
20 |
Доля детей, в отношении которых установлено диспансерное наблюдение по поводу болезней органов пищеварения за период, от общего числа детей с впервые в жизни установленными диагнозами болезней органов пищеварения за период |
процентов |
Достижение планового показателя |
100% от числа подлежащих диспансерному наблюдению |
1 |
21 |
Доля детей, в отношении которых установлено диспансерное наблюдение по поводу болезней системы кровообращения за период, от общего числа детей с впервые в жизни установленными диагнозами болезней системы кровообращения за период |
процентов |
Достижение планового показателя |
100% от числа подлежащих диспансерному наблюдению |
2 |
22 |
Доля детей, в отношении которых установлено диспансерное наблюдение по поводу болезней эндокринной системы, расстройства питания и нарушения обмена веществ за период, от общего числа детей с впервые в жизни установленными диагнозами болезней эндокринной системы, расстройства питания и нарушения обмена веществ за период |
процентов |
Достижение планового показателя |
100% от числа подлежащих диспансерному наблюдению |
1 |
Оценка смертности | |||||
23 |
Смертность детей в возрасте 0 - 17 лет за период |
число случаев на 100 тысяч детей соответствующего возраста |
Уменьшение показателя за период по отношению к показателю в предыдущем периоде |
Увеличение показателя смертности или уменьшение < 2% - 0 баллов; Уменьшение от 2 до 5% - 1 балл; Уменьшение от 5 до 10% - 2 балла; Уменьшение >= 10% - 3 балла |
3 |
Блок 3. Оказание акушерско-гинекологической помощи |
6 | ||||
Оценка эффективности профилактических мероприятий | |||||
24 |
Доля женщин, отказавшихся от искусственного прерывания беременности, от числа женщин, прошедших доабортное консультирование за период |
процентов |
Прирост показателя за период по отношению к показателю за предыдущий период |
Прирост < 5% - 0 баллов; Прирост >= 5% - 0,5 балла; Прирост >= 10% - 1 балл |
1 |
25 |
Доля беременных женщин, вакцинированных от коронавирусной инфекции COVID-19 за период, от числа женщин, состоящих на учете по беременности и родам на начало периода |
процентов |
Достижение планового показателя |
100% плана или более |
1 |
26 |
Доля женщин с установленным диагнозом злокачественное новообразование шейки матки, выявленным впервые при диспансеризации, от общего числа женщин с установленным диагнозом злокачественное новообразование шейки матки за период |
процентов |
Прирост показателя за период по отношению к показателю за предыдущий период |
Прирост < 5% - 0 баллов; Прирост >= 5% - 0,5 балла; Прирост >= 10% - 1 балл |
1 |
27 |
Доля женщин с установленным диагнозом злокачественное новообразование молочной железы, выявленным впервые при диспансеризации, от общего числа женщин с установленным диагнозом злокачественное новообразование молочной железы за период |
процентов |
Прирост показателя за период по отношению к показателю за предыдущий период |
Прирост < 5% - 0 баллов; Прирост >= 5% - 0,5 балла; Прирост >= 10% - 1 балл |
1 |
28 |
Доля беременных женщин, прошедших скрининг в части оценки антенатального развития плода за период, от общего числа женщин, состоявших на учете по поводу беременности и родов, за период |
процентов |
Достижение планового показателя |
100% плана или более |
2 |
* По набору кодов по Международной
классификации болезней 10-го пересмотра.
** Пациенты, состоящие на
диспансерном учете по поводу
хронических неинфекционных заболеваний,
учитываются по данным информационного
ресурса ТФОМС.
*** К пациентам с болезнями системы
кровообращения*, имеющих высокий риск
преждевременной смерти, относятся
пациенты, перенесшие острое нарушение
мозгового кровообращения, острый
инфаркт миокарда, состояние после
аорто-коронарного шунтирования,
ангиопластики коронарных артерий со
стентированием и катетерной абляцией.
Методика расчета объема средств,
направляемых медицинским организациям
за достижение целевых значений
показателей результативности
деятельности
В зависимости от результатов
деятельности медицинской организации по
каждому показателю определяется балл в
диапазоне от 0 до 3 баллов.
С учетом фактического выполнения
показателей медицинские организации
распределяются на три группы:
I группа - выполнившие до 50
процентов показателей (от максимального
количества баллов, установленного для
каждой медицинской организации);
II группа - от 50 до 70 процентов
показателей (от максимального
количества баллов, установленного для
каждой медицинской организации);
III группа - свыше 70 процентов
показателей (от максимального
количества баллов, установленного для
каждой медицинской организации).
Объем средств, предусмотренных на
выплаты по итогам оценки достижения
значений показателей результативности
деятельности, складывается из двух
частей:
1 часть - распределение 70 процентов
от объема средств с учетом показателей
результативности за соответствующий
период.
Указанные средства распределяются
среди медицинских организаций II и III
групп с учетом численности
прикрепленного населения.

где: |
|
|
объем средств, используемый при распределении 70 процентов от объема средств на стимулирование медицинских организаций за j-й период, в расчете на 1 прикрепленное лицо, рублей |
|
совокупный объем средств на стимулирование медицинских организаций за j-й период, рублей |
|
численность прикрепленного населения в j-м периоде ко всем медицинским организациям II и III групп |
В качестве численности
прикрепленного населения к конкретной
медицинской организации используется
численность на 1-е число первого месяца
расчетного j-го периода (квартала).
Объем средств, направляемый в i-ю
медицинскую организацию II и III групп за
j-й период, при распределении 70 процентов
от объема средств с учетом показателей
результативности
, рассчитывается по следующей
формуле:
![]()
где: |
|
|
|
- |
численность прикрепленного населения в j-м периоде к i-й медицинской организации II и III групп |
2 часть - распределение 30 процентов
от объема средств с учетом показателей
результативности за соответствующей
период.
Указанные средства распределяются
среди медицинских организаций III группы
с учетом абсолютного количества
набранных соответствующими
медицинскими организациями баллов.

где: |
|
|
объем средств, используемый при распределении 30 процентов от объема средств на стимулирование медицинских организаций за j-й период, в расчете на 1 балл, рублей |
|
совокупный объем средств на стимулирование медицинских организаций за j-й период, рублей |
|
количество баллов, набранных в j-м периоде всеми медицинскими организациями III группы |
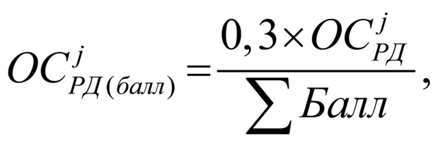
Объем средств, направляемый в i-ю
медицинскую организацию III группы за j-й
период, при распределении 30 процентов от
объема средств на стимулирование
медицинских организаций
, рассчитывается по следующей
формуле:
![]()
где: |
|
|
количество баллов, набранных в j-м периоде i-й медицинской организацией III группы |
Общий объем средств, направляемых
на оплату медицинской помощи с учетом
показателей результативности
деятельности в медицинскую организацию
III группы за j-й период, определяется
путем суммирования 1 и 2 частей, а для
медицинских организаций I группы за j-й
период равняется нулю.
Осуществление выплат
стимулирующего характера в полном
объеме медицинской организации,
оказывающей медицинскую помощь в
амбулаторных условиях, по результатам
оценки ее деятельности производится при
условии фактического выполнения не
менее 90 процентов, установленных
решением Комиссии объемов
предоставления медицинской помощи с
профилактической и иными целями, а также
по поводу заболеваний (посещений и
обращений соответственно).
В случае выполнения медицинской
организацией менее 90 процентов
указанного объема медицинской помощи,
Комиссия вправе применять понижающие
коэффициенты к размеру стимулирующих
выплат в зависимости от процента
выполнения объемов медицинской помощи.".
Приложение N 10
к Дополнительному соглашению
от 25.03.2022 N 2
к Тарифному соглашению
в сфере обязательного медицинского
страхования
на территории Ивановской области на 2022
год
"Приложение N 21
к Тарифному соглашению
в сфере обязательного медицинского
страхования
на территории Ивановской области на 2022
год
РАЗМЕРЫ ФАКТИЧЕСКИХ ДИФФЕРЕНЦИРОВАННЫХ
ПОДУШЕВЫХ НОРМАТИВОВ ФИНАНСИРОВАНИЯ В
АМБУЛАТОРНЫХ УСЛОВИЯХ
с 01.03.2022
N п/п |
Наименование МО |
Фактический дифференцированный подушевой норматив ФДПнi, руб. |
1 |
2 |
3 |
Базовый подушевой норматив финансирования ПНБАЗ = 1569,92 руб. | ||
1 |
ОБУЗ 1 ГКБ |
205,25 |
2 |
ОБУЗ ИКБ им. Куваевых |
204,27 |
3 |
ОБУЗ "ГКБ N 3 г. Иванова" |
211,41 |
4 |
ОБУЗ "ГКБ N 4" |
217,87 |
5 |
ОБУЗ ГКБ N 7 |
217,54 |
6 |
ОБУЗ "ДГКБ N 5" г. Иваново |
388,10 |
7 |
ОБУЗ Вичугская ЦРБ |
215,33 |
8 |
ОБУЗ "Кинешемская ЦРБ" |
202,21 |
9 |
ФГБУЗ МЦ "Решма" ФМБА России |
159,49 |
10 |
ОБУЗ Приволжская ЦРБ |
199,06 |
11 |
ОБУЗ "Родниковская ЦРБ" |
257,31 |
12 |
ОБУЗ "Тейковская ЦРБ" |
211,09 |
13 |
ОБУЗ Фурмановская ЦРБ |
217,51 |
14 |
ОБУЗ "Шуйская ЦРБ" |
211,88 |
".
Приложение N 11
к Дополнительному соглашению
от 25.03.2022 N 2
к Тарифному соглашению
в сфере обязательного медицинского
страхования
на территории Ивановской области на 2022
год
"Приложение N 22
к Тарифному соглашению
в сфере обязательного медицинского
страхования
на территории Ивановской области на 2022
год
ТАРИФЫ НА 1 СЛУЧАЙ ГОСПИТАЛИЗАЦИИ В
СТАЦИОНАРНЫХ УСЛОВИЯХ С УЧЕТОМ УРОВНЕЙ
ОРГАНИЗАЦИИ МЕДИЦИНСКОЙ ПОМОЩИ С 01.01.2022
Средний норматив финансовых затрат на единицу объема предоставления медицинской помощи (НФЗ) |
37316,00 |
Коэффициент приведения (КП) |
0,65 |
Размер средней стоимости законченного случая лечения (базовая ставка) (БС) |
24255,40 |
N п/п |
Код |
Наименование КСГ (подгрупп КСГ) |
Коэффициент относительной затратоемкости КСГ (КЗксг) |
Доля заработной платы и прочих расходов в структуре стоимости КСГ (Дзп) |
Стоимость законченного случая госпитализации (ССксг) | ||||||||||||||||||
|
|
|
|
|
подуровни | ||||||||||||||||||
|
|
|
|
|
1.1 |
1.2 |
2.1 |
2.2 |
2.3 |
3.1 |
3.2 | ||||||||||||
1 |
2 |
3 |
4 |
5 |
6 |
7 |
8 |
9 |
10 |
11 |
12 | ||||||||||||
1 |
st01.001 |
Беременность без патологии, дородовая госпитализация в отделение сестринского ухода |
0,50 |
- |
9702,16 |
9702,16 |
9702,16 |
9702,16 |
9702,16 |
9702,16 |
9702,16 | ||||||||||||
2 |
st02.001 |
Осложнения, связанные с беременностью |
0,93 |
- |
14436,81 |
14617,27 |
16241,42 |
16421,88 |
18046,02 |
19850,62 |
21655,22 | ||||||||||||
3 |
st02.002 |
Беременность, закончившаяся абортивным исходом |
0,28 |
- |
5433,21 |
5433,21 |
5433,21 |
5433,21 |
5433,21 |
5433,21 |
5433,21 | ||||||||||||
4 |
st02.003 |
Родоразрешение |
0,98 |
- |
x |
x |
x |
x |
x |
x |
x | ||||||||||||
4.1 |
st02.003.1 |
Родоразрешение с ДТ |
1,33 |
- |
25807,75 |
26130,34 |
29033,71 |
29356,31 |
32259,68 |
35485,65 |
38711,62 | ||||||||||||
4.2 |
st02.003.2 |
Родоразрешение |
0,96 |
- |
18628,15 |
18861,00 |
20956,67 |
21189,52 |
23285,18 |
25613,70 |
27942,22 | ||||||||||||
5 |
st02.004 |
Кесарево сечение |
1,01 |
- |
x |
x |
x |
x |
x |
x |
x | ||||||||||||
5.1 |
st02.004.1 |
Кесарево сечение с ДТ |
1,37 |
- |
26583,92 |
26916,22 |
29906,91 |
30239,21 |
33229,90 |
36552,89 |
39875,88 | ||||||||||||
5.2 |
st02.004.2 |
Кесарево сечение |
0,98 |
- |
19016,23 |
19253,94 |
21393,26 |
21630,97 |
23770,29 |
26147,32 |
28524,35 | ||||||||||||
6 |
st02.005 |
Осложнения послеродового периода |
0,74 |
- |
11487,36 |
11630,95 |
12923,28 |
13066,87 |
14359,20 |
15795,12 |
17231,04 | ||||||||||||
7 |
st02.006 |
Послеродовой сепсис |
3,21 |
- |
62287,87 |
62287,87 |
62287,87 |
62287,87 |
62287,87 |
62287,87 |
62287,87 | ||||||||||||
8 |
st02.007 |
Воспалительные болезни женских половых органов |
0,71 |
- |
11021,65 |
11159,42 |
12399,36 |
12537,13 |
13777,07 |
15154,77 |
16532,48 | ||||||||||||
9 |
st02.008 |
Доброкачественные новообразования, новообразования in situ, неопределенного и неизвестного характера женских половых органов |
0,89 |
- |
13815,88 |
13988,57 |
15542,86 |
15715,56 |
17269,84 |
18996,83 |
20723,81 | ||||||||||||
10 |
st02.009 |
Другие болезни, врожденные аномалии, повреждения женских половых органов |
0,46 |
- |
7140,79 |
7230,05 |
8033,39 |
8122,65 |
8925,99 |
9818,59 |
10711,18 | ||||||||||||
11 |
st02.010 |
Операции на женских половых органах (уровень 1) |
0,39 |
- |
6054,15 |
6129,82 |
6810,92 |
6886,59 |
7567,68 |
8324,45 |
9081,22 | ||||||||||||
12 |
st02.011 |
Операции на женских половых органах (уровень 2) |
0,58 |
- |
9003,60 |
9116,15 |
10129,06 |
10241,60 |
11254,51 |
12379,96 |
13505,41 | ||||||||||||
13 |
st02.012 |
Операции на женских половых органах (уровень 3) |
1,17 |
- |
22703,05 |
22703,05 |
22703,05 |
22703,05 |
22703,05 |
22703,05 |
22703,05 | ||||||||||||
14 |
st02.013 |
Операции на женских половых органах (уровень 4) |
2,20 |
- |
34151,60 |
34578,50 |
38420,55 |
38847,45 |
42689,50 |
46958,45 |
51227,40 | ||||||||||||
15 |
st03.001 |
Нарушения с вовлечением иммунного механизма |
4,52 |
- |
70166,02 |
71043,10 |
78936,77 |
79813,85 |
87707,53 |
96478,28 |
105249,03 | ||||||||||||
16 |
st03.002 |
Ангионевротический отек, анафилактический шок |
0,27 |
- |
5239,17 |
5239,17 |
5239,17 |
5239,17 |
5239,17 |
5239,17 |
5239,17 | ||||||||||||
17 |
st04.001 |
Язва желудка и двенадцатиперстной кишки |
0,89 |
- |
17269,84 |
17269,84 |
17269,84 |
17269,84 |
17269,84 |
17269,84 |
17269,84 | ||||||||||||
18 |
st04.002 |
Воспалительные заболевания кишечника |
2,01 |
- |
31202,15 |
31592,17 |
35102,41 |
35492,44 |
39002,68 |
42902,95 |
46803,22 | ||||||||||||
19 |
st04.003 |
Болезни печени, невирусные (уровень 1) |
0,86 |
- |
13350,17 |
13517,05 |
15018,94 |
15185,82 |
16687,72 |
18356,49 |
20025,26 | ||||||||||||
20 |
st04.004 |
Болезни печени, невирусные (уровень 2) |
1,21 |
- |
18783,38 |
19018,17 |
21131,30 |
21366,10 |
23479,23 |
25827,15 |
28175,07 | ||||||||||||
21 |
st04.005 |
Болезни поджелудочной железы |
0,87 |
- |
13505,41 |
13674,22 |
15193,58 |
15362,40 |
16881,76 |
18569,93 |
20258,11 | ||||||||||||
22 |
st04.006 |
Панкреатит с синдромом органной дисфункции |
4,19 |
- |
65043,28 |
65856,32 |
73173,69 |
73986,73 |
81304,10 |
89434,51 |
97564,92 | ||||||||||||
23 |
st05.001 |
Анемии (уровень 1) |
0,94 |
- |
14592,05 |
14774,45 |
16416,05 |
16598,46 |
18240,06 |
20064,07 |
21888,07 | ||||||||||||
24 |
st05.002 |
Анемии (уровень 2) |
5,32 |
- |
82584,79 |
83617,10 |
92907,88 |
93940,19 |
103230,98 |
113554,08 |
123877,18 | ||||||||||||
25 |
st05.003 |
Нарушения свертываемости крови |
4,50 |
- |
69855,55 |
70728,75 |
78587,50 |
79460,69 |
87319,44 |
96051,38 |
104783,33 | ||||||||||||
26 |
st05.004 |
Другие болезни крови и кроветворных органов (уровень 1) |
1,09 |
- |
16920,57 |
17132,07 |
19035,64 |
19247,15 |
21150,71 |
23265,78 |
25380,85 | ||||||||||||
27 |
st05.005 |
Другие болезни крови и кроветворных органов (уровень 2) |
4,51 |
- |
70010,79 |
70885,92 |
78762,13 |
79637,27 |
87513,48 |
96264,83 |
105016,18 | ||||||||||||
28 |
st05.008 |
Лекарственная терапия при доброкачественных заболеваниях крови и пузырном заносе |
2,05 |
- |
31823,08 |
32220,87 |
35800,97 |
36198,76 |
39778,86 |
43756,74 |
47734,63 | ||||||||||||
29 |
st06.004 |
Лечение дерматозов с применением наружной терапии |
0,32 |
97,47% |
5038,20 |
5098,72 |
5643,43 |
5703,95 |
6248,66 |
6853,89 |
7459,11 | ||||||||||||
30 |
st06.005 |
Лечение дерматозов с применением наружной терапии, физиотерапии, плазмафереза |
1,39 |
98,49% |
21760,88 |
22026,53 |
24417,35 |
24683,00 |
27073,82 |
29730,30 |
32386,77 | ||||||||||||
31 |
st06.006 |
Лечение дерматозов с применением наружной и системной терапии |
2,10 |
99,04% |
32775,29 |
33178,87 |
36811,08 |
37214,66 |
40846,87 |
44882,66 |
48918,45 | ||||||||||||
32 |
st06.007 |
Лечение дерматозов с применением наружной терапии и фототерапии |
2,86 |
98,00% |
44896,55 |
45440,42 |
50335,19 |
50879,06 |
55773,84 |
61212,48 |
66651,12 | ||||||||||||
33 |
st07.001 |
Врожденные аномалии сердечно-сосудистой системы, дети |
1,84 |
- |
28563,16 |
28920,20 |
32133,55 |
32490,59 |
35703,95 |
39274,34 |
42844,74 | ||||||||||||
34 |
st08.001 |
Лекарственная терапия при злокачественных новообразованиях других локализаций (кроме лимфоидной и кроветворной тканей), дети |
4,37 |
- |
84796,88 |
85856,84 |
95396,49 |
96456,45 |
105996,10 |
116595,71 |
127195,32 | ||||||||||||
35 |
st08.002 |
Лекарственная терапия при остром лейкозе, дети |
7,82 |
- |
151741,78 |
153638,55 |
170709,51 |
172606,28 |
189677,23 |
208644,95 |
227612,67 | ||||||||||||
36 |
st08.003 |
Лекарственная терапия при других злокачественных новообразованиях лимфоидной и кроветворной тканей, дети |
5,68 |
- |
110216,54 |
111594,24 |
123993,60 |
125371,31 |
137770,67 |
151547,74 |
165324,81 | ||||||||||||
37 |
st09.001 |
Операции на мужских половых органах, дети (уровень 1) |
0,97 |
- |
15057,75 |
15245,97 |
16939,97 |
17128,19 |
18822,19 |
20704,41 |
22586,63 | ||||||||||||
38 |
st09.002 |
Операции на мужских половых органах, дети (уровень 2) |
1,11 |
- |
17231,04 |
17446,42 |
19384,92 |
19600,30 |
21538,80 |
23692,67 |
25846,55 | ||||||||||||
39 |
st09.003 |
Операции на мужских половых органах, дети (уровень 3) |
1,97 |
- |
38226,51 |
38226,51 |
38226,51 |
38226,51 |
38226,51 |
38226,51 |
38226,51 | ||||||||||||
40 |
st09.004 |
Операции на мужских половых органах, дети (уровень 4) |
2,78 |
- |
53944,01 |
53944,01 |
53944,01 |
53944,01 |
53944,01 |
53944,01 |
53944,01 | ||||||||||||
41 |
st09.005 |
Операции на почке и мочевыделительной системе, дети (уровень 1) |
1,15 |
- |
17851,97 |
18075,12 |
20083,47 |
20306,62 |
22314,97 |
24546,46 |
26777,96 | ||||||||||||
42 |
st09.006 |
Операции на почке и мочевыделительной системе, дети (уровень 2) |
1,22 |
- |
18938,62 |
19175,35 |
21305,94 |
21542,68 |
23673,27 |
26040,60 |
28407,92 | ||||||||||||
43 |
st09.007 |
Операции на почке и мочевыделительной системе, дети (уровень 3) |
1,78 |
- |
27631,75 |
27977,15 |
31085,72 |
31431,12 |
34539,69 |
37993,66 |
41447,63 | ||||||||||||
44 |
st09.008 |
Операции на почке и мочевыделительной системе, дети (уровень 4) |
2,23 |
- |
43271,63 |
43271,63 |
43271,63 |
43271,63 |
43271,63 |
43271,63 |
43271,63 | ||||||||||||
45 |
st09.009 |
Операции на почке и мочевыделительной системе, дети (уровень 5) |
2,36 |
- |
45794,20 |
45794,20 |
45794,20 |
45794,20 |
45794,20 |
45794,20 |
45794,20 | ||||||||||||
46 |
st09.010 |
Операции на почке и мочевыделительной системе, дети (уровень 6) |
4,28 |
- |
83050,49 |
83050,49 |
83050,49 |
83050,49 |
83050,49 |
83050,49 |
83050,49 | ||||||||||||
47 |
st10.001 |
Детская хирургия (уровень 1) |
2,95 |
- |
45794,20 |
46366,62 |
51518,47 |
52090,90 |
57242,74 |
62967,02 |
68691,29 | ||||||||||||
48 |
st10.002 |
Детская хирургия (уровень 2) |
5,33 |
- |
82740,02 |
83774,27 |
93082,52 |
94116,77 |
103425,03 |
113767,53 |
124110,03 | ||||||||||||
49 |
st10.003 |
Аппендэктомия, дети (уровень 1) |
0,77 |
- |
14941,33 |
14941,33 |
14941,33 |
14941,33 |
14941,33 |
14941,33 |
14941,33 | ||||||||||||
50 |
st10.004 |
Аппендэктомия, дети (уровень 2) |
0,97 |
- |
15057,75 |
15245,97 |
16939,97 |
17128,19 |
18822,19 |
20704,41 |
22586,63 | ||||||||||||
51 |
st10.005 |
Операции по поводу грыж, дети (уровень 1) |
0,88 |
- |
17075,80 |
17075,80 |
17075,80 |
17075,80 |
17075,80 |
17075,80 |
17075,80 | ||||||||||||
52 |
st10.006 |
Операции по поводу грыж, дети (уровень 2) |
1,05 |
- |
16299,63 |
16503,37 |
18337,08 |
18540,83 |
20374,54 |
22411,99 |
24449,44 | ||||||||||||
53 |
st10.007 |
Операции по поводу грыж, дети (уровень 3) |
1,25 |
- |
19404,32 |
19646,87 |
21829,86 |
22072,41 |
24255,40 |
26680,94 |
29106,48 | ||||||||||||
54 |
st11.001 |
Сахарный диабет, дети |
1,51 |
- |
23440,42 |
23733,42 |
26370,47 |
26663,48 |
29300,52 |
32230,58 |
35160,63 | ||||||||||||
55 |
st11.002 |
Заболевания гипофиза, дети |
2,26 |
- |
35083,01 |
35521,55 |
39468,39 |
39906,92 |
43853,76 |
48239,14 |
52624,52 | ||||||||||||
56 |
st11.003 |
Другие болезни эндокринной системы, дети (уровень 1) |
1,38 |
- |
21422,37 |
21690,15 |
24100,17 |
24367,95 |
26777,96 |
29455,76 |
32133,55 | ||||||||||||
57 |
st11.004 |
Другие болезни эндокринной системы, дети (уровень 2) |
2,82 |
- |
43776,15 |
44323,35 |
49248,16 |
49795,37 |
54720,18 |
60192,20 |
65664,22 | ||||||||||||
58 |
st12.001 |
Кишечные инфекции, взрослые |
0,58 |
- |
9003,60 |
9116,15 |
10129,06 |
10241,60 |
11254,51 |
12379,96 |
13505,41 | ||||||||||||
59 |
st12.002 |
Кишечные инфекции, дети |
0,62 |
- |
9624,54 |
9744,85 |
10827,61 |
10947,92 |
12030,68 |
13233,75 |
14436,81 | ||||||||||||
60 |
st12.003 |
Вирусный гепатит острый |
1,40 |
- |
21732,84 |
22004,50 |
24449,44 |
24721,10 |
27166,05 |
29882,65 |
32599,26 | ||||||||||||
61 |
st12.004 |
Вирусный гепатит хронический |
1,27 |
- |
19714,79 |
19961,22 |
22179,14 |
22425,57 |
24643,49 |
27107,84 |
29572,18 | ||||||||||||
62 |
st12.005 |
Сепсис, взрослые |
3,12 |
- |
48433,18 |
49038,60 |
54487,33 |
55092,75 |
60541,48 |
66595,63 |
72649,77 | ||||||||||||
63 |
st12.006 |
Сепсис, дети |
4,51 |
- |
70010,79 |
70885,92 |
78762,13 |
79637,27 |
87513,48 |
96264,83 |
105016,18 | ||||||||||||
64 |
st12.007 |
Сепсис с синдромом органной дисфункции |
7,20 |
- |
111768,88 |
113165,99 |
125739,99 |
127137,10 |
139711,10 |
153682,21 |
167653,32 | ||||||||||||
65 |
st12.008 |
Другие инфекционные и паразитарные болезни, взрослые |
1,18 |
- |
18317,68 |
18546,65 |
20607,39 |
20836,36 |
22897,10 |
25186,81 |
27476,52 | ||||||||||||
66 |
st12.009 |
Другие инфекционные и паразитарные болезни, дети |
0,98 |
- |
15212,99 |
15403,15 |
17114,61 |
17304,77 |
19016,23 |
20917,86 |
22819,48 | ||||||||||||
67 |
st12.010 |
Респираторные инфекции верхних дыхательных путей с осложнениями, взрослые |
0,35 |
- |
5433,21 |
5501,12 |
6112,36 |
6180,28 |
6791,51 |
7470,66 |
8149,81 | ||||||||||||
68 |
st12.011 |
Респираторные инфекции верхних дыхательных путей, дети |
0,50 |
- |
7761,73 |
7858,75 |
8731,94 |
8828,97 |
9702,16 |
10672,38 |
11642,59 | ||||||||||||
69 |
st12.012 |
Грипп, вирус гриппа идентифицирован |
1,00 |
- |
15523,46 |
15717,50 |
17463,89 |
17657,93 |
19404,32 |
21344,75 |
23285,18 | ||||||||||||
70 |
st12.013 |
Грипп и пневмония с синдромом органной дисфункции |
4,40 |
- |
68303,21 |
69157,00 |
76841,11 |
77694,90 |
85379,01 |
93916,91 |
102454,81 | ||||||||||||
71 |
st12.014 |
Клещевой энцефалит |
2,30 |
- |
35703,95 |
36150,25 |
40166,94 |
40613,24 |
44629,94 |
49092,93 |
53555,92 | ||||||||||||
72 |
st12.015 |
Коронавирусная инфекция COVID-19 (уровень 1) |
2,87 |
93,88% |
46086,03 |
46608,85 |
51314,25 |
51837,07 |
56542,46 |
61770,68 |
66998,89 | ||||||||||||
73 |
st12.016 |
Коронавирусная инфекция COVID-19 (уровень 2) |
4,96 |
66,53% |
91492,35 |
92132,67 |
97895,56 |
98535,88 |
104298,76 |
110701,97 |
117105,18 | ||||||||||||
74 |
st12.017 |
Коронавирусная инфекция COVID-19 (уровень 3) |
7,40 |
68,28% |
135369,89 |
136350,34 |
145174,35 |
146154,80 |
154978,81 |
164783,27 |
174587,73 | ||||||||||||
75 |
st12.018 |
Коронавирусная инфекция COVID-19 (уровень 4) |
12,07 |
77,63% |
210944,88 |
212763,05 |
229126,61 |
230944,78 |
247308,34 |
265490,08 |
283671,81 | ||||||||||||
76 |
st12.019 |
Коронавирусная инфекция COVID-19 (долечивание) |
2,07 |
- |
32133,55 |
32535,22 |
36150,25 |
36551,92 |
40166,94 |
44183,64 |
48200,33 | ||||||||||||
77 |
st13.001 |
Нестабильная стенокардия, инфаркт миокарда, легочная эмболия (уровень 1) |
1,42 |
- |
22043,31 |
22318,85 |
24798,72 |
25074,26 |
27554,13 |
30309,55 |
33064,96 | ||||||||||||
78 |
st13.002 |
Нестабильная стенокардия, инфаркт миокарда, легочная эмболия (уровень 2) |
2,81 |
- |
54526,14 |
55207,72 |
61341,91 |
62023,48 |
68157,67 |
74973,44 |
81789,21 | ||||||||||||
79 |
st13.004 |
Нарушения ритма и проводимости (уровень 1) |
1,12 |
- |
17386,27 |
17603,60 |
19559,55 |
19776,88 |
21732,84 |
23906,12 |
26079,41 | ||||||||||||
80 |
st13.005 |
Нарушения ритма и проводимости (уровень 2) |
2,01 |
- |
39002,68 |
39490,22 |
43878,02 |
44365,55 |
48753,35 |
53628,69 |
58504,02 | ||||||||||||
81 |
st13.006 |
Эндокардит, миокардит, перикардит, кардиомиопатии (уровень 1) |
1,42 |
- |
22043,31 |
22318,85 |
24798,72 |
25074,26 |
27554,13 |
30309,55 |
33064,96 | ||||||||||||
82 |
st13.007 |
Эндокардит, миокардит, перикардит, кардиомиопатии (уровень 2) |
2,38 |
- |
46182,28 |
46759,56 |
51955,07 |
52532,35 |
57727,85 |
63500,64 |
69273,42 | ||||||||||||
83 |
st13.008 |
Инфаркт миокарда, легочная эмболия, лечение с применением тромболитической терапии (уровень 1) |
1,61 |
- |
24992,76 |
25305,17 |
28116,86 |
28429,27 |
31240,96 |
34365,05 |
37489,15 | ||||||||||||
84 |
st13.009 |
Инфаркт миокарда, легочная эмболия, лечение с применением тромболитической терапии (уровень 2) |
2,99 |
- |
46415,13 |
46995,32 |
52217,03 |
52797,21 |
58018,92 |
63820,81 |
69622,70 | ||||||||||||
85 |
st13.010 |
Инфаркт миокарда, легочная эмболия, лечение с применением тромболитической терапии (уровень 3) |
3,54 |
- |
54953,03 |
55639,95 |
61822,16 |
62509,08 |
68691,29 |
75560,42 |
82429,55 | ||||||||||||
86 |
st14.001 |
Операции на кишечнике и анальной области (уровень 1) |
0,84 |
- |
16299,63 |
16299,63 |
16299,63 |
16299,63 |
16299,63 |
16299,63 |
16299,63 | ||||||||||||
87 |
st14.002 |
Операции на кишечнике и анальной области (уровень 2) |
1,74 |
- |
27010,81 |
27348,45 |
30387,17 |
30724,80 |
33763,52 |
37139,87 |
40516,22 | ||||||||||||
88 |
st14.003 |
Операции на кишечнике и анальной области (уровень 3) |
2,49 |
- |
38653,41 |
39136,57 |
43485,08 |
43968,25 |
48316,76 |
53148,43 |
57980,11 | ||||||||||||
89 |
st15.001 |
Воспалительные заболевания ЦНС, взрослые |
0,98 |
- |
15212,99 |
15403,15 |
17114,61 |
17304,77 |
19016,23 |
20917,86 |
22819,48 | ||||||||||||
90 |
st15.002 |
Воспалительные заболевания ЦНС, дети |
1,55 |
- |
24061,36 |
24362,12 |
27069,03 |
27369,79 |
30076,70 |
33084,37 |
36092,04 | ||||||||||||
91 |
st15.003 |
Дегенеративные болезни нервной системы |
0,84 |
- |
13039,70 |
13202,70 |
14669,67 |
14832,66 |
16299,63 |
17929,59 |
19559,55 | ||||||||||||
92 |
st15.004 |
Демиелинизирующие болезни нервной системы |
1,33 |
- |
20646,20 |
20904,27 |
23226,97 |
23485,05 |
25807,75 |
28388,52 |
30969,29 | ||||||||||||
93 |
st15.005 |
Эпилепсия, судороги (уровень 1) |
0,96 |
- |
18628,15 |
18628,15 |
18628,15 |
18628,15 |
18628,15 |
18628,15 |
18628,15 | ||||||||||||
94 |
st15.007 |
Расстройства периферической нервной системы |
1,02 |
- |
15833,93 |
16031,85 |
17813,17 |
18011,09 |
19792,41 |
21771,65 |
23750,89 | ||||||||||||
95 |
st15.008 |
Неврологические заболевания, лечение с применением ботулотоксина (уровень 1) |
1,43 |
- |
27748,18 |
27748,18 |
27748,18 |
27748,18 |
27748,18 |
27748,18 |
27748,18 | ||||||||||||
96 |
st15.009 |
Неврологические заболевания, лечение с применением ботулотоксина (уровень 2) |
2,11 |
- |
40943,12 |
40943,12 |
40943,12 |
40943,12 |
40943,12 |
40943,12 |
40943,12 | ||||||||||||
97 |
st15.010 |
Другие нарушения нервной системы (уровень 1) |
0,74 |
- |
11487,36 |
11630,95 |
12923,28 |
13066,87 |
14359,20 |
15795,12 |
17231,04 | ||||||||||||
98 |
st15.011 |
Другие нарушения нервной системы (уровень 2) |
0,99 |
- |
15368,22 |
15560,32 |
17289,25 |
17481,35 |
19210,28 |
21131,30 |
23052,33 | ||||||||||||
99 |
st15.012 |
Транзиторные ишемические приступы, сосудистые мозговые синдромы |
1,15 |
- |
17851,97 |
18075,12 |
20083,47 |
20306,62 |
22314,97 |
24546,46 |
26777,96 | ||||||||||||
100 |
st15.013 |
Кровоизлияние в мозг |
2,82 |
- |
43776,15 |
44323,35 |
49248,16 |
49795,37 |
54720,18 |
60192,20 |
65664,22 | ||||||||||||
101 |
st15.014 |
Инфаркт мозга (уровень 1) |
2,52 |
- |
39119,11 |
39608,10 |
44009,00 |
44497,99 |
48898,89 |
53788,78 |
58678,66 | ||||||||||||
102 |
st15.015 |
Инфаркт мозга (уровень 2) |
3,12 |
- |
60541,48 |
61298,25 |
68109,16 |
68865,93 |
75676,85 |
83244,53 |
90812,22 | ||||||||||||
103 |
st15.016 |
Инфаркт мозга (уровень 3) |
4,51 |
- |
87513,48 |
88607,40 |
98452,67 |
99546,59 |
109391,85 |
120331,04 |
131270,22 | ||||||||||||
104 |
st15.017 |
Другие цереброваскулярные болезни |
0,82 |
- |
12729,23 |
12888,35 |
14320,39 |
14479,50 |
15911,54 |
17502,70 |
19093,85 | ||||||||||||
105 |
st15.018 |
Эпилепсия, судороги (уровень 2) |
2,30 |
- |
35703,95 |
36150,25 |
40166,94 |
40613,24 |
44629,94 |
49092,93 |
53555,92 | ||||||||||||
106 |
st15.019 |
Эпилепсия (уровень 3) |
3,16 |
- |
49054,12 |
49667,30 |
55185,89 |
55799,06 |
61317,65 |
67449,42 |
73581,18 | ||||||||||||
107 |
st15.020 |
Эпилепсия (уровень 4) |
4,84 |
- |
75133,53 |
76072,70 |
84525,22 |
85464,39 |
93916,91 |
103308,60 |
112700,29 | ||||||||||||
108 |
st16.001 |
Паралитические синдромы, травма спинного мозга (уровень 1) |
0,98 |
- |
15212,99 |
15403,15 |
17114,61 |
17304,77 |
19016,23 |
20917,86 |
22819,48 | ||||||||||||
109 |
st16.002 |
Паралитические синдромы, травма спинного мозга (уровень 2) |
1,49 |
- |
23129,95 |
23419,07 |
26021,19 |
26310,32 |
28912,44 |
31803,68 |
34694,92 | ||||||||||||
110 |
st16.003 |
Дорсопатии, спондилопатии, остеопатии |
0,68 |
- |
13194,94 |
13194,94 |
13194,94 |
13194,94 |
13194,94 |
13194,94 |
13194,94 | ||||||||||||
111 |
st16.004 |
Травмы позвоночника |
1,01 |
- |
15678,69 |
15874,67 |
17638,53 |
17834,51 |
19598,36 |
21558,20 |
23518,04 | ||||||||||||
112 |
st16.005 |
Сотрясение головного мозга |
0,40 |
- |
7761,73 |
7761,73 |
7761,73 |
7761,73 |
7761,73 |
7761,73 |
7761,73 | ||||||||||||
113 |
st16.006 |
Переломы черепа, внутричерепная травма |
1,54 |
- |
23906,12 |
24204,95 |
26894,39 |
27193,21 |
29882,65 |
32870,92 |
35859,18 | ||||||||||||
114 |
st16.007 |
Операции на центральной нервной системе и головном мозге (уровень 1) |
4,13 |
- |
64111,87 |
64913,27 |
72125,86 |
72927,26 |
80139,84 |
88153,83 |
96167,81 | ||||||||||||
115 |
st16.008 |
Операции на центральной нервной системе и головном мозге (уровень 2) |
5,82 |
- |
90346,51 |
91475,85 |
101639,83 |
102769,16 |
112933,14 |
124226,46 |
135519,77 | ||||||||||||
116 |
st16.009 |
Операции на периферической нервной системе (уровень 1) |
1,41 |
- |
21888,07 |
22161,67 |
24624,08 |
24897,68 |
27360,09 |
30096,10 |
32832,11 | ||||||||||||
117 |
st16.010 |
Операции на периферической нервной системе (уровень 2) |
2,19 |
- |
42495,46 |
42495,46 |
42495,46 |
42495,46 |
42495,46 |
42495,46 |
42495,46 | ||||||||||||
118 |
st16.011 |
Операции на периферической нервной системе (уровень 3) |
2,42 |
- |
46958,45 |
46958,45 |
46958,45 |
46958,45 |
46958,45 |
46958,45 |
46958,45 | ||||||||||||
119 |
st16.012 |
Доброкачественные новообразования нервной системы |
1,02 |
- |
15833,93 |
16031,85 |
17813,17 |
18011,09 |
19792,41 |
21771,65 |
23750,89 | ||||||||||||
120 |
st17.001 |
Малая масса тела при рождении, недоношенность |
4,21 |
- |
81692,19 |
82713,34 |
91903,71 |
92924,86 |
102115,23 |
112326,76 |
122538,28 | ||||||||||||
121 |
st17.002 |
Крайне малая масса тела при рождении, крайняя незрелость |
15,63 |
- |
303289,52 |
307080,64 |
341200,71 |
344991,83 |
379111,90 |
417023,09 |
454934,28 |
||||||||||||
122 |
st17.003 |
Лечение новорожденных с тяжелой патологией с применением аппаратных методов поддержки или замещения витальных функций |
7,40 |
- |
143591,97 |
145386,87 |
161540,96 |
163335,86 |
179489,96 |
197438,96 |
215387,95 |
||||||||||||
123 |
st17.004 |
Геморрагические и гемолитические нарушения у новорожденных |
1,92 |
- |
29805,04 |
30177,60 |
33530,66 |
33903,23 |
37256,29 |
40981,92 |
44707,55 |
||||||||||||
124 |
st17.005 |
Другие нарушения, возникшие в перинатальном периоде (уровень 1) |
1,39 |
- |
21577,60 |
21847,32 |
24274,80 |
24544,52 |
26972,00 |
29669,21 |
32366,41 |
||||||||||||
125 |
st17.006 |
Другие нарушения, возникшие в перинатальном периоде (уровень 2) |
1,89 |
- |
29339,33 |
29706,07 |
33006,75 |
33373,49 |
36674,16 |
40341,58 |
44009,00 |
||||||||||||
126 |
st17.007 |
Другие нарушения, возникшие в перинатальном периоде (уровень 3) |
2,56 |
- |
39740,05 |
40236,80 |
44707,55 |
45204,30 |
49675,06 |
54642,57 |
59610,07 |
||||||||||||
127 |
st18.001 |
Почечная недостаточность |
1,66 |
- |
25768,94 |
26091,05 |
28990,05 |
29312,17 |
32211,17 |
35432,29 |
38653,41 |
||||||||||||
128 |
st18.002 |
Формирование, имплантация, реконструкция, удаление, смена доступа для диализа |
1,82 |
- |
28252,69 |
28605,85 |
31784,28 |
32137,43 |
35315,86 |
38847,45 |
42379,03 |
||||||||||||
129 |
st18.003 |
Гломерулярные болезни |
1,71 |
- |
26545,11 |
26876,92 |
29863,25 |
30195,06 |
33181,39 |
36499,53 |
39817,66 |
||||||||||||
130 |
st19.001 |
Операции на женских половых органах при злокачественных новообразованиях (уровень 1) |
2,41 |
- |
46764,41 |
47348,97 |
52609,96 |
53194,52 |
58455,51 |
64301,07 |
70146,62 |
||||||||||||
131 |
st19.002 |
Операции на женских половых органах при злокачественных новообразованиях (уровень 2) |
4,02 |
- |
78005,37 |
78980,43 |
87756,04 |
88731,10 |
97506,71 |
107257,38 |
117008,05 |
||||||||||||
132 |
st19.003 |
Операции на женских половых органах при злокачественных новообразованиях (уровень 3) |
4,89 |
- |
94887,12 |
96073,21 |
106748,02 |
107934,10 |
118608,91 |
130469,80 |
142330,69 |
||||||||||||
133 |
st19.004 |
Операции на кишечнике и анальной области при злокачественных новообразованиях (уровень 1) |
3,05 |
- |
59183,18 |
59922,97 |
66581,07 |
67320,86 |
73978,97 |
81376,87 |
88774,76 |
||||||||||||
134 |
st19.005 |
Операции на кишечнике и анальной области при злокачественных новообразованиях (уровень 2) |
5,31 |
- |
103036,94 |
104324,90 |
115916,56 |
117204,52 |
128796,17 |
141675,79 |
154555,41 |
||||||||||||
135 |
st19.006 |
Операции при злокачественных новообразованиях почки и мочевыделительной системы (уровень 1) |
1,66 |
- |
32211,17 |
32613,81 |
36237,57 |
36640,21 |
40263,96 |
44290,36 |
48316,76 |
||||||||||||
136 |
st19.007 |
Операции при злокачественных новообразованиях почки и мочевыделительной системы (уровень 2) |
2,77 |
- |
53749,97 |
54421,84 |
60468,71 |
61140,59 |
67187,46 |
73906,20 |
80624,95 |
||||||||||||
137 |
st19.008 |
Операции при злокачественных новообразованиях почки и мочевыделительной системы (уровень 3) |
4,32 |
- |
83826,66 |
84874,50 |
94305,00 |
95352,83 |
104783,33 |
115261,66 |
125739,99 |
||||||||||||
138 |
st19.009 |
Операции при злокачественных новообразованиях кожи (уровень 1) |
1,29 |
- |
25031,57 |
25344,47 |
28160,52 |
28473,41 |
31289,47 |
34418,41 |
37547,36 |
||||||||||||
139 |
st19.010 |
Операции при злокачественных новообразованиях кожи (уровень 2) |
1,55 |
- |
30076,70 |
30452,65 |
33836,28 |
34212,24 |
37595,87 |
41355,46 |
45115,04 |
||||||||||||
140 |
st19.011 |
Операции при злокачественных новообразованиях кожи (уровень 3) |
1,71 |
- |
33181,39 |
33596,15 |
37329,06 |
37743,83 |
41476,73 |
45624,41 |
49772,08 |
||||||||||||
141 |
st19.012 |
Операции при злокачественном новообразовании щитовидной железы (уровень 1) |
2,29 |
- |
44435,89 |
44991,34 |
49990,38 |
50545,83 |
55544,87 |
61099,35 |
66653,84 |
||||||||||||
142 |
st19.013 |
Операции при злокачественном новообразовании щитовидной железы (уровень 2) |
2,49 |
- |
48316,76 |
48920,72 |
54356,35 |
54960,31 |
60395,95 |
66435,54 |
72475,14 |
||||||||||||
143 |
st19.014 |
Мастэктомия, другие операции при злокачественном новообразовании молочной железы (уровень 1) |
2,79 |
- |
54138,05 |
54814,78 |
60905,31 |
61582,04 |
67672,57 |
74439,82 |
81207,08 |
||||||||||||
144 |
st19.015 |
Мастэктомия, другие операции при злокачественном новообразовании молочной железы (уровень 2) |
3,95 |
- |
76647,06 |
77605,15 |
86227,95 |
87186,04 |
95808,83 |
105389,71 |
114970,60 |
||||||||||||
145 |
st19.016 |
Операции при злокачественном новообразовании желчного пузыря, желчных протоков (уровень 1) |
2,38 |
- |
46182,28 |
46759,56 |
51955,07 |
52532,35 |
57727,85 |
63500,64 |
69273,42 |
||||||||||||
146 |
st19.017 |
Операции при злокачественном новообразовании желчного пузыря, желчных протоков (уровень 2) |
2,63 |
- |
51033,36 |
51671,28 |
57412,53 |
58050,45 |
63791,70 |
70170,87 |
76550,04 |
||||||||||||
147 |
st19.018 |
Операции при злокачественном новообразовании пищевода, желудка (уровень 1) |
2,17 |
- |
42107,37 |
42633,72 |
47370,80 |
47897,14 |
52634,22 |
57897,64 |
63161,06 |
||||||||||||
148 |
st19.019 |
Операции при злокачественном новообразовании пищевода, желудка (уровень 2) |
3,43 |
- |
66556,82 |
67388,78 |
74876,42 |
75708,38 |
83196,02 |
91515,62 |
99835,23 |
||||||||||||
149 |
st19.020 |
Операции при злокачественном новообразовании пищевода, желудка (уровень 3) |
4,27 |
- |
82856,45 |
83892,15 |
93213,50 |
94249,21 |
103570,56 |
113927,61 |
124284,67 |
||||||||||||
150 |
st19.021 |
Другие операции при злокачественном новообразовании брюшной полости |
3,66 |
- |
71019,81 |
71907,56 |
79897,29 |
80785,04 |
88774,76 |
97652,24 |
106529,72 |
||||||||||||
151 |
st19.022 |
Операции на органе слуха, придаточных пазухах носа и верхних дыхательных путях при злокачественных новообразованиях |
2,81 |
- |
54526,14 |
55207,72 |
61341,91 |
62023,48 |
68157,67 |
74973,44 |
81789,21 |
||||||||||||
152 |
st19.023 |
Операции на нижних дыхательных путях и легочной ткани при злокачественных новообразованиях (уровень 1) |
3,42 |
- |
66362,77 |
67192,31 |
74658,12 |
75487,66 |
82953,47 |
91248,81 |
99544,16 |
||||||||||||
153 |
st19.024 |
Операции на нижних дыхательных путях и легочной ткани при злокачественных новообразованиях (уровень 2) |
5,31 |
- |
103036,94 |
104324,90 |
115916,56 |
117204,52 |
128796,17 |
141675,79 |
154555,41 |
||||||||||||
154 |
st19.025 |
Операции при злокачественных новообразованиях мужских половых органов (уровень 1) |
2,86 |
- |
55496,36 |
56190,06 |
62433,40 |
63127,10 |
69370,44 |
76307,49 |
83244,53 |
||||||||||||
155 |
st19.026 |
Операции при злокачественных новообразованиях мужских половых органов (уровень 2) |
4,31 |
- |
83632,62 |
84678,03 |
94086,70 |
95132,10 |
104540,77 |
114994,85 |
125448,93 |
||||||||||||
156 |
st19.037 |
Фебрильная нейтропения, агранулоцитоз вследствие проведения лекарственной терапии злокачественных новообразований |
2,93 |
- |
56854,66 |
57565,34 |
63961,49 |
64672,17 |
71068,32 |
78175,15 |
85281,99 |
||||||||||||
157 |
st19.038 |
Установка, замена порт-системы (катетера) для лекарственной терапии злокачественных новообразований |
1,24 |
- |
24061,36 |
24362,12 |
27069,03 |
27369,79 |
30076,70 |
33084,37 |
36092,04 |
||||||||||||
158 |
st19.105 |
Лекарственная терапия при злокачественных новообразованиях (кроме лимфоидной и кроветворной тканей), взрослые (уровень 1) |
0,40 |
55,63% |
8622,70 |
8676,67 |
9162,43 |
9216,40 |
9702,16 |
10241,89 |
10781,62 |
||||||||||||
159 |
st19.106 |
Лекарственная терапия при злокачественных новообразованиях (кроме лимфоидной и кроветворной тканей), взрослые (уровень 2) |
0,76 |
41,67% |
16897,81 |
16974,62 |
17665,95 |
17742,77 |
18434,10 |
19202,25 |
19970,40 |
||||||||||||
160 |
st19.107 |
Лекарственная терапия при злокачественных новообразованиях (кроме лимфоидной и кроветворной тканей), взрослые (уровень 3) |
1,07 |
23,71% |
24722,57 |
24784,11 |
25337,93 |
25399,46 |
25953,28 |
26568,63 |
27183,98 |
||||||||||||
161 |
st19.108 |
Лекарственная терапия при злокачественных новообразованиях (кроме лимфоидной и кроветворной тканей), взрослые (уровень 4) |
1,37 |
18,75% |
31983,78 |
32046,08 |
32606,84 |
32669,14 |
33229,90 |
33852,96 |
34476,02 |
||||||||||||
162 |
st19.109 |
Лекарственная терапия при злокачественных новообразованиях (кроме лимфоидной и кроветворной тканей), взрослые (уровень 5) |
2,16 |
32,50% |
48986,21 |
49156,48 |
50688,93 |
50859,21 |
52391,66 |
54094,39 |
55797,12 |
||||||||||||
163 |
st19.110 |
Лекарственная терапия при злокачественных новообразованиях (кроме лимфоидной и кроветворной тканей), взрослые (уровень 6) |
2,68 |
8,76% |
63865,59 |
63922,54 |
64435,03 |
64491,98 |
65004,47 |
65573,91 |
66143,35 |
||||||||||||
164 |
st19.111 |
Лекарственная терапия при злокачественных новообразованиях (кроме лимфоидной и кроветворной тканей), взрослые (уровень 7) |
3,53 |
7,11% |
84404,02 |
84464,90 |
85012,79 |
85073,67 |
85621,56 |
86230,33 |
86839,10 |
||||||||||||
165 |
st19.112 |
Лекарственная терапия при злокачественных новообразованиях (кроме лимфоидной и кроветворной тканей), взрослые (уровень 8) |
4,44 |
7,77% |
106020,41 |
106104,09 |
106857,19 |
106940,87 |
107693,98 |
108530,76 |
109367,54 |
||||||||||||
166 |
st19.113 |
Лекарственная терапия при злокачественных новообразованиях (кроме лимфоидной и кроветворной тканей), взрослые (уровень 9) |
4,88 |
5,84% |
116983,83 |
117052,96 |
117675,09 |
117744,22 |
118366,35 |
119057,61 |
119748,87 |
||||||||||||
167 |
st19.114 |
Лекарственная терапия при злокачественных новообразованиях (кроме лимфоидной и кроветворной тканей), взрослые (уровень 10) |
5,25 |
5,79% |
125866,24 |
125939,97 |
126603,55 |
126677,28 |
127340,85 |
128078,15 |
128815,46 |
||||||||||||
168 |
st19.115 |
Лекарственная терапия при злокачественных новообразованиях (кроме лимфоидной и кроветворной тканей), взрослые (уровень 11) |
5,74 |
7,27% |
137201,65 |
137302,87 |
138213,82 |
138315,04 |
139226,00 |
140238,17 |
141250,34 |
||||||||||||
169 |
st19.116 |
Лекарственная терапия при злокачественных новообразованиях (кроме лимфоидной и кроветворной тканей), взрослые (уровень 12) |
6,76 |
5,90% |
162031,70 |
162128,44 |
162999,10 |
163095,84 |
163966,50 |
164933,91 |
165901,31 |
||||||||||||
170 |
st19.117 |
Лекарственная терапия при злокачественных новообразованиях (кроме лимфоидной и кроветворной тканей), взрослые (уровень 13) |
8,07 |
3,32% |
194441,36 |
194506,34 |
195091,22 |
195156,20 |
195741,08 |
196390,94 |
197040,80 |
||||||||||||
171 |
st19.118 |
Лекарственная терапия при злокачественных новообразованиях (кроме лимфоидной и кроветворной тканей), взрослые (уровень 14) |
10,11 |
2,15% |
244167,64 |
244220,36 |
244694,87 |
244747,59 |
245222,09 |
245749,32 |
246276,55 |
||||||||||||
172 |
st19.119 |
Лекарственная терапия при злокачественных новообразованиях (кроме лимфоидной и кроветворной тканей), взрослые (уровень 15) |
13,86 |
1,55% |
335137,69 |
335189,79 |
335658,77 |
335710,87 |
336179,84 |
336700,92 |
337222,00 |
||||||||||||
173 |
st19.120 |
Лекарственная терапия при злокачественных новообразованиях (кроме лимфоидной и кроветворной тканей), взрослые (уровень 16) |
17,20 |
1,19% |
416199,96 |
416249,61 |
416696,42 |
416746,07 |
417192,88 |
417689,34 |
418185,80 |
||||||||||||
174 |
st19.121 |
Лекарственная терапия при злокачественных новообразованиях (кроме лимфоидной и кроветворной тканей), взрослые (уровень 17) |
29,17 |
0,69% |
706553,63 |
706602,45 |
707041,82 |
707090,64 |
707530,02 |
708018,21 |
708506,41 |
||||||||||||
175 |
st19.075 |
Лучевая терапия (уровень 1) |
0,79 |
- |
15329,41 |
15521,03 |
17245,59 |
17437,21 |
19161,77 |
21077,94 |
22994,12 |
||||||||||||
176 |
st19.076 |
Лучевая терапия (уровень 2) |
1,14 |
- |
22120,92 |
22397,44 |
24886,04 |
25162,55 |
27651,16 |
30416,27 |
33181,39 |
||||||||||||
177 |
st19.077 |
Лучевая терапия (уровень 3) |
2,46 |
- |
47734,63 |
48331,31 |
53701,46 |
54298,14 |
59668,28 |
65635,11 |
71601,94 |
||||||||||||
178 |
st19.078 |
Лучевая терапия (уровень 4) |
2,51 |
- |
48704,84 |
49313,65 |
54792,95 |
55401,76 |
60881,05 |
66969,16 |
73057,26 |
||||||||||||
179 |
st19.079 |
Лучевая терапия (уровень 5) |
2,82 |
- |
54720,18 |
55404,18 |
61560,21 |
62244,21 |
68400,23 |
75240,25 |
82080,27 |
||||||||||||
180 |
st19.080 |
Лучевая терапия (уровень 6) |
4,51 |
- |
87513,48 |
88607,40 |
98452,67 |
99546,59 |
109391,85 |
120331,04 |
131270,22 |
||||||||||||
181 |
st19.081 |
Лучевая терапия (уровень 7) |
4,87 |
- |
94499,04 |
95680,28 |
106311,42 |
107492,66 |
118123,80 |
129936,18 |
141748,56 |
||||||||||||
182 |
st19.082 |
Лучевая терапия (уровень 8) |
14,55 |
- |
282332,86 |
285862,02 |
317624,46 |
321153,62 |
352916,07 |
388207,68 |
423499,28 |
||||||||||||
183 |
st19.084 |
Лучевая терапия в сочетании с лекарственной терапией (уровень 2) |
3,78 |
87,08% |
75717,48 |
76515,88 |
83701,45 |
84499,84 |
91685,41 |
99669,38 |
107653,34 |
||||||||||||
184 |
st19.085 |
Лучевая терапия в сочетании с лекарственной терапией (уровень 3) |
4,37 |
88,84% |
87162,71 |
88104,38 |
96579,40 |
97521,07 |
105996,10 |
115412,79 |
124829,48 |
||||||||||||
185 |
st19.086 |
Лучевая терапия в сочетании с лекарственной терапией (уровень 4) |
5,85 |
87,05% |
117190,33 |
118425,52 |
129542,21 |
130777,40 |
141894,09 |
154245,97 |
166597,85 |
||||||||||||
186 |
st19.087 |
Лучевая терапия в сочетании с лекарственной терапией (уровень 5) |
6,57 |
88,49% |
131154,80 |
132564,96 |
145256,39 |
146666,55 |
159357,98 |
173459,57 |
187561,15 |
||||||||||||
187 |
st19.088 |
Лучевая терапия в сочетании с лекарственной терапией (уровень 6) |
9,49 |
46,03% |
208993,03 |
210052,57 |
219588,39 |
220647,92 |
230183,75 |
240779,10 |
251374,46 |
||||||||||||
188 |
st19.089 |
Лучевая терапия в сочетании с лекарственной терапией (уровень 7) |
16,32 |
26,76% |
374662,34 |
375721,63 |
385255,23 |
386314,52 |
395848,13 |
406441,02 |
417033,92 |
||||||||||||
189 |
st19.090 |
ЗНО лимфоидной и кроветворной тканей без специального противоопухолевого лечения (уровень 1) |
0,43 |
- |
8343,86 |
8448,16 |
9386,84 |
9491,14 |
10429,82 |
11472,80 |
12515,79 |
||||||||||||
190 |
st19.091 |
ЗНО лимфоидной и кроветворной тканей без специального противоопухолевого лечения (уровень 2) |
1,37 |
- |
26583,92 |
26916,22 |
29906,91 |
30239,21 |
33229,90 |
36552,89 |
39875,88 |
||||||||||||
191 |
st19.092 |
ЗНО лимфоидной и кроветворной тканей без специального противоопухолевого лечения (уровень 3) |
2,85 |
- |
55302,31 |
55993,59 |
62215,10 |
62906,38 |
69127,89 |
76040,68 |
82953,47 |
||||||||||||
192 |
st19.093 |
ЗНО лимфоидной и кроветворной тканей без специального противоопухолевого лечения (уровень 4) |
4,87 |
- |
94499,04 |
95680,28 |
106311,42 |
107492,66 |
118123,80 |
129936,18 |
141748,56 |
||||||||||||
193 |
st19.094 |
ЗНО лимфоидной и кроветворной тканей, лекарственная терапия, взрослые (уровень 1) |
1,46 |
75,89% |
30037,92 |
30306,66 |
32725,40 |
32994,15 |
35412,88 |
38100,37 |
40787,85 |
||||||||||||
194 |
st19.095 |
ЗНО лимфоидной и кроветворной тканей, лекарственная терапия, взрослые (уровень 2) |
3,65 |
75,89% |
75094,79 |
75766,66 |
81813,50 |
82485,37 |
88532,21 |
95250,92 |
101969,63 |
||||||||||||
195 |
st19.096 |
ЗНО лимфоидной и кроветворной тканей, лекарственная терапия, взрослые (уровень 3) |
7,18 |
75,89% |
147720,71 |
149042,37 |
160937,24 |
162258,90 |
174153,77 |
187370,30 |
200586,83 |
||||||||||||
196 |
st19.097 |
ЗНО лимфоидной и кроветворной тканей, лекарственная терапия с применением отдельных препаратов (по перечню), взрослые (уровень 1) |
3,52 |
28,29% |
80548,26 |
80789,80 |
82963,64 |
83205,17 |
85379,01 |
87794,38 |
90209,75 |
||||||||||||
197 |
st19.098 |
ЗНО лимфоидной и кроветворной тканей, лекарственная терапия с применением отдельных препаратов (по перечню), взрослые (уровень 2) |
5,79 |
46,99% |
127240,33 |
127900,25 |
133839,55 |
134499,47 |
140438,77 |
147037,98 |
153637,20 |
||||||||||||
198 |
st19.099 |
ЗНО лимфоидной и кроветворной тканей, лекарственная терапия с применением отдельных препаратов (по перечню), взрослые (уровень 3) |
9,00 |
57,29% |
193285,95 |
194536,58 |
205792,27 |
207042,91 |
218298,60 |
230804,93 |
243311,25 |
||||||||||||
199 |
st19.100 |
ЗНО лимфоидной и кроветворной тканей, лекарственная терапия с применением отдельных препаратов (по перечню), взрослые (уровень 4) |
14,84 |
4,98% |
356365,03 |
356544,29 |
358157,58 |
358336,84 |
359950,14 |
361742,69 |
363535,24 |
||||||||||||
200 |
st19.101 |
ЗНО лимфоидной и кроветворной тканей, лекарственная терапия с применением отдельных препаратов (по перечню), взрослые (уровень 5) |
17,50 |
15,77% |
411081,73 |
411751,12 |
417775,62 |
418445,00 |
424469,50 |
431163,38 |
437857,27 |
||||||||||||
201 |
st19.102 |
ЗНО лимфоидной и кроветворной тканей, лекарственная терапия с применением отдельных препаратов (по перечню), взрослые (уровень 6) |
20,60 |
24,83% |
474848,06 |
476088,72 |
487254,65 |
488495,31 |
499661,24 |
512067,83 |
524474,42 |
||||||||||||
202 |
st19.103 |
Лучевые повреждения |
2,64 |
- |
51227,40 |
51867,75 |
57630,83 |
58271,17 |
64034,26 |
70437,68 |
76841,11 |
||||||||||||
203 |
st19.104 |
Эвисцерация малого таза при лучевых повреждениях |
19,75 |
- |
383235,32 |
388025,76 |
431139,74 |
435930,18 |
479044,15 |
526948,57 |
574852,98 |
||||||||||||
204 |
st19.122 |
Поздний посттрансплантационный период после пересадки костного мозга |
23,41 |
59,05% |
500759,50 |
504112,47 |
534289,21 |
537642,18 |
567818,91 |
601348,62 |
634878,33 |
||||||||||||
205 |
st20.001 |
Доброкачественные новообразования, новообразования in situ уха, горла, носа, полости рта |
0,66 |
- |
10245,48 |
10373,55 |
11526,17 |
11654,23 |
12806,85 |
14087,54 |
15368,22 |
||||||||||||
206 |
st20.002 |
Средний отит, мастоидит, нарушения вестибулярной функции |
0,47 |
- |
7296,02 |
7387,22 |
8208,03 |
8299,23 |
9120,03 |
10032,03 |
10944,04 |
||||||||||||
207 |
st20.003 |
Другие болезни уха |
0,61 |
- |
9469,31 |
9587,67 |
10652,97 |
10771,34 |
11836,64 |
13020,30 |
14203,96 |
||||||||||||
208 |
st20.004 |
Другие болезни и врожденные аномалии верхних дыхательных путей, симптомы и признаки, относящиеся к органам дыхания, нарушения речи |
0,71 |
- |
11021,65 |
11159,42 |
12399,36 |
12537,13 |
13777,07 |
15154,77 |
16532,48 |
||||||||||||
209 |
st20.005 |
Операции на органе слуха, придаточных пазухах носа и верхних дыхательных путях (уровень 1) |
0,84 |
- |
13039,70 |
13202,70 |
14669,67 |
14832,66 |
16299,63 |
17929,59 |
19559,55 |
||||||||||||
210 |
st20.006 |
Операции на органе слуха, придаточных пазухах носа и верхних дыхательных путях (уровень 2) |
0,91 |
- |
14126,34 |
14302,92 |
15892,14 |
16068,72 |
17657,93 |
19423,72 |
21189,52 |
||||||||||||
211 |
st20.007 |
Операции на органе слуха, придаточных пазухах носа и верхних дыхательных путях (уровень 3) |
1,10 |
- |
17075,80 |
17289,25 |
19210,28 |
19423,72 |
21344,75 |
23479,23 |
25613,70 |
||||||||||||
212 |
st20.008 |
Операции на органе слуха, придаточных пазухах носа и верхних дыхательных путях (уровень 4) |
1,35 |
- |
26195,83 |
26195,83 |
26195,83 |
26195,83 |
26195,83 |
26195,83 |
26195,83 |
||||||||||||
213 |
st20.009 |
Операции на органе слуха, придаточных пазухах носа и верхних дыхательных путях (уровень 5) |
1,96 |
- |
38032,47 |
38032,47 |
38032,47 |
38032,47 |
38032,47 |
38032,47 |
38032,47 |
||||||||||||
214 |
st20.010 |
Замена речевого процессора |
29,91 |
0,74% |
724405,31 |
724405,31 |
724405,31 |
724405,31 |
724405,31 |
724405,31 |
724405,31 |
||||||||||||
215 |
st21.001 |
Операции на органе зрения (уровень 1) |
0,49 |
- |
7606,49 |
7701,57 |
8557,31 |
8652,39 |
9508,12 |
10458,93 |
11409,74 |
||||||||||||
216 |
st21.002 |
Операции на органе зрения (уровень 2) |
0,79 |
- |
12263,53 |
12416,82 |
13796,47 |
13949,77 |
15329,41 |
16862,35 |
18395,30 |
||||||||||||
217 |
st21.003 |
Операции на органе зрения (уровень 3) |
1,07 |
- |
16610,10 |
16817,72 |
18686,36 |
18893,99 |
20762,62 |
22838,88 |
24915,15 |
||||||||||||
218 |
st21.004 |
Операции на органе зрения (уровень 4) |
1,19 |
- |
23091,14 |
23091,14 |
23091,14 |
23091,14 |
23091,14 |
23091,14 |
23091,14 |
||||||||||||
219 |
st21.005 |
Операции на органе зрения (уровень 5) |
2,11 |
- |
40943,12 |
40943,12 |
40943,12 |
40943,12 |
40943,12 |
40943,12 |
40943,12 |
||||||||||||
220 |
st21.006 |
Операции на органе зрения (уровень 6) |
2,33 |
- |
45212,07 |
45212,07 |
45212,07 |
45212,07 |
45212,07 |
45212,07 |
45212,07 |
||||||||||||
221 |
st21.007 |
Болезни глаза |
0,51 |
- |
7916,96 |
8015,92 |
8906,58 |
9005,54 |
9896,20 |
10885,82 |
11875,44 |
||||||||||||
222 |
st21.008 |
Травмы глаза |
0,66 |
- |
10245,48 |
10373,55 |
11526,17 |
11654,23 |
12806,85 |
14087,54 |
15368,22 |
||||||||||||
223 |
st22.001 |
Нарушения всасывания, дети |
1,11 |
- |
17231,04 |
17446,42 |
19384,92 |
19600,30 |
21538,80 |
23692,67 |
25846,55 |
||||||||||||
224 |
st22.002 |
Другие болезни органов пищеварения, дети |
0,39 |
- |
6054,15 |
6129,82 |
6810,92 |
6886,59 |
7567,68 |
8324,45 |
9081,22 |
||||||||||||
225 |
st22.003 |
Воспалительные артропатии, спондилопатии, дети |
1,85 |
- |
28718,39 |
29077,37 |
32308,19 |
32667,17 |
35897,99 |
39487,79 |
43077,59 |
||||||||||||
226 |
st22.004 |
Врожденные аномалии головного и спинного мозга, дети |
2,12 |
- |
32909,73 |
33321,10 |
37023,44 |
37434,81 |
41137,16 |
45250,87 |
49364,59 |
||||||||||||
227 |
st23.001 |
Другие болезни органов дыхания |
0,85 |
- |
13194,94 |
13359,87 |
14844,30 |
15009,24 |
16493,67 |
18143,04 |
19792,41 |
||||||||||||
228 |
st23.002 |
Интерстициальные болезни легких, врожденные аномалии развития легких, бронхолегочная дисплазия, дети |
2,48 |
- |
38498,17 |
38979,40 |
43310,44 |
43791,67 |
48122,71 |
52934,98 |
57747,26 |
||||||||||||
229 |
st23.003 |
Доброкачественные новообразования, новообразования in situ органов дыхания, других и неуточненных органов грудной клетки |
0,91 |
- |
14126,34 |
14302,92 |
15892,14 |
16068,72 |
17657,93 |
19423,72 |
21189,52 |
||||||||||||
230 |
st23.004 |
Пневмония, плеврит, другие болезни плевры |
1,28 |
- |
19870,02 |
20118,40 |
22353,78 |
22602,15 |
24837,53 |
27321,28 |
29805,04 |
||||||||||||
231 |
st23.005 |
Астма, взрослые |
1,11 |
- |
17231,04 |
17446,42 |
19384,92 |
19600,30 |
21538,80 |
23692,67 |
25846,55 |
||||||||||||
232 |
st23.006 |
Астма, дети |
1,25 |
- |
19404,32 |
19646,87 |
21829,86 |
22072,41 |
24255,40 |
26680,94 |
29106,48 |
||||||||||||
233 |
st24.001 |
Системные поражения соединительной ткани |
1,78 |
- |
27631,75 |
27977,15 |
31085,72 |
31431,12 |
34539,69 |
37993,66 |
41447,63 |
||||||||||||
234 |
st24.002 |
Артропатии и спондилопатии |
1,67 |
- |
25924,17 |
26248,22 |
29164,69 |
29488,75 |
32405,21 |
35645,74 |
38886,26 |
||||||||||||
235 |
st24.003 |
Ревматические болезни сердца (уровень 1) |
0,87 |
- |
13505,41 |
13674,22 |
15193,58 |
15362,40 |
16881,76 |
18569,93 |
20258,11 |
||||||||||||
236 |
st24.004 |
Ревматические болезни сердца (уровень 2) |
1,57 |
- |
24371,83 |
24676,47 |
27418,30 |
27722,95 |
30464,78 |
33511,26 |
36557,74 |
||||||||||||
237 |
st25.001 |
Флебит и тромбофлебит, варикозное расширение вен нижних конечностей |
0,85 |
- |
13194,94 |
13359,87 |
14844,30 |
15009,24 |
16493,67 |
18143,04 |
19792,41 |
||||||||||||
238 |
st25.002 |
Другие болезни, врожденные аномалии вен |
1,32 |
- |
20490,96 |
20747,10 |
23052,33 |
23308,47 |
25613,70 |
28175,07 |
30736,44 |
||||||||||||
239 |
st25.003 |
Болезни артерий, артериол и капилляров |
1,05 |
- |
16299,63 |
16503,37 |
18337,08 |
18540,83 |
20374,54 |
22411,99 |
24449,44 |
||||||||||||
240 |
st25.004 |
Диагностическое обследование сердечно-сосудистой системы |
1,01 |
- |
15678,69 |
15874,67 |
17638,53 |
17834,51 |
19598,36 |
21558,20 |
23518,04 |
||||||||||||
241 |
st25.005 |
Операции на сердце и коронарных сосудах (уровень 1) |
2,11 |
- |
32754,49 |
33163,92 |
36848,80 |
37258,23 |
40943,12 |
45037,43 |
49131,74 |
||||||||||||
242 |
st25.006 |
Операции на сердце и коронарных сосудах (уровень 2) |
3,97 |
- |
61628,12 |
62398,47 |
69331,64 |
70101,99 |
77035,15 |
84738,67 |
92442,18 |
||||||||||||
243 |
st25.007 |
Операции на сердце и коронарных сосудах (уровень 3) |
4,31 |
- |
66906,10 |
67742,42 |
75269,36 |
76105,68 |
83632,62 |
91995,88 |
100359,14 |
||||||||||||
244 |
st25.008 |
Операции на сосудах (уровень 1) |
1,20 |
- |
18628,15 |
18861,00 |
20956,67 |
21189,52 |
23285,18 |
25613,70 |
27942,22 |
||||||||||||
245 |
st25.009 |
Операции на сосудах (уровень 2) |
2,37 |
- |
36790,59 |
37250,47 |
41389,41 |
41849,30 |
45988,24 |
50587,06 |
55185,89 |
||||||||||||
246 |
st25.010 |
Операции на сосудах (уровень 3) |
4,13 |
- |
64111,87 |
64913,27 |
72125,86 |
72927,26 |
80139,84 |
88153,83 |
96167,81 |
||||||||||||
247 |
st25.011 |
Операции на сосудах (уровень 4) |
6,08 |
- |
94382,61 |
95562,40 |
106180,44 |
107360,22 |
117978,27 |
129776,09 |
141573,92 |
||||||||||||
248 |
st25.012 |
Операции на сосудах (уровень 5) |
7,12 |
- |
110527,01 |
111908,59 |
124342,88 |
125724,47 |
138158,76 |
151974,63 |
165790,51 |
||||||||||||
249 |
st26.001 |
Болезни полости рта, слюнных желез и челюстей, врожденные аномалии лица и шеи, дети |
0,79 |
- |
12263,53 |
12416,82 |
13796,47 |
13949,77 |
15329,41 |
16862,35 |
18395,30 |
||||||||||||
250 |
st27.001 |
Болезни пищевода, гастрит, дуоденит, другие болезни желудка и двенадцатиперстной кишки |
0,74 |
- |
14359,20 |
14359,20 |
14359,20 |
14359,20 |
14359,20 |
14359,20 |
14359,20 |
||||||||||||
251 |
st27.002 |
Новообразования доброкачественные, in situ, неопределенного и неуточненного характера органов пищеварения |
0,69 |
- |
10711,18 |
10845,07 |
12050,08 |
12183,97 |
13388,98 |
14727,88 |
16066,78 |
||||||||||||
252 |
st27.003 |
Болезни желчного пузыря |
0,72 |
- |
13971,11 |
13971,11 |
13971,11 |
13971,11 |
13971,11 |
13971,11 |
13971,11 |
||||||||||||
253 |
st27.004 |
Другие болезни органов пищеварения, взрослые |
0,59 |
- |
9158,84 |
9273,32 |
10303,69 |
10418,18 |
11448,55 |
12593,40 |
13738,26 |
||||||||||||
254 |
st27.005 |
Гипертоническая болезнь в стадии обострения |
0,70 |
- |
13583,02 |
13583,02 |
13583,02 |
13583,02 |
13583,02 |
13583,02 |
13583,02 |
||||||||||||
255 |
st27.006 |
Стенокардия (кроме нестабильной), хроническая ишемическая болезнь сердца (уровень 1) |
0,78 |
- |
15135,37 |
15135,37 |
15135,37 |
15135,37 |
15135,37 |
15135,37 |
15135,37 |
||||||||||||
256 |
st27.007 |
Стенокардия (кроме нестабильной), хроническая ишемическая болезнь сердца (уровень 2) |
1,70 |
- |
26389,88 |
26719,75 |
29688,61 |
30018,48 |
32987,34 |
36286,08 |
39584,81 |
||||||||||||
257 |
st27.008 |
Другие болезни сердца (уровень 1) |
0,78 |
- |
12108,30 |
12259,65 |
13621,83 |
13773,19 |
15135,37 |
16648,91 |
18162,44 |
||||||||||||
258 |
st27.009 |
Другие болезни сердца (уровень 2) |
1,54 |
- |
23906,12 |
24204,95 |
26894,39 |
27193,21 |
29882,65 |
32870,92 |
35859,18 |
||||||||||||
259 |
st27.010 |
Бронхит необструктивный, симптомы и признаки, относящиеся к органам дыхания |
0,75 |
- |
14553,24 |
14553,24 |
14553,24 |
14553,24 |
14553,24 |
14553,24 |
14553,24 |
||||||||||||
260 |
st27.011 |
ХОБЛ, эмфизема, бронхоэктатическая болезнь |
0,89 |
- |
13815,88 |
13988,57 |
15542,86 |
15715,56 |
17269,84 |
18996,83 |
20723,81 |
||||||||||||
261 |
st27.012 |
Отравления и другие воздействия внешних причин |
0,53 |
- |
8227,43 |
8330,27 |
9255,86 |
9358,70 |
10284,29 |
11312,72 |
12341,15 |
||||||||||||
262 |
st27.013 |
Отравления и другие воздействия внешних причин с синдромом органной дисфункции |
4,07 |
- |
63180,47 |
63970,22 |
71078,02 |
71867,78 |
78975,58 |
86873,14 |
94770,70 |
||||||||||||
263 |
st27.014 |
Госпитализация в диагностических целях с постановкой/подтверждением диагноза злокачественного новообразования |
1,00 |
- |
15523,46 |
15717,50 |
17463,89 |
17657,93 |
19404,32 |
21344,75 |
23285,18 |
||||||||||||
264 |
st28.001 |
Гнойные состояния нижних дыхательных путей |
2,05 |
- |
31823,08 |
32220,87 |
35800,97 |
36198,76 |
39778,86 |
43756,74 |
47734,63 |
||||||||||||
265 |
st28.002 |
Операции на нижних дыхательных путях и легочной ткани, органах средостения (уровень 1) |
1,54 |
- |
23906,12 |
24204,95 |
26894,39 |
27193,21 |
29882,65 |
32870,92 |
35859,18 |
||||||||||||
266 |
st28.003 |
Операции на нижних дыхательных путях и легочной ткани, органах средостения (уровень 2) |
1,92 |
- |
29805,04 |
30177,60 |
33530,66 |
33903,23 |
37256,29 |
40981,92 |
44707,55 |
||||||||||||
267 |
st28.004 |
Операции на нижних дыхательных путях и легочной ткани, органах средостения (уровень 3) |
2,56 |
- |
49675,06 |
49675,06 |
49675,06 |
49675,06 |
49675,06 |
49675,06 |
49675,06 |
||||||||||||
268 |
st28.005 |
Операции на нижних дыхательных путях и легочной ткани, органах средостения (уровень 4) |
4,12 |
- |
79945,80 |
79945,80 |
79945,80 |
79945,80 |
79945,80 |
79945,80 |
79945,80 |
||||||||||||
269 |
st29.001 |
Приобретенные и врожденные костно-мышечные деформации |
0,99 |
- |
15368,22 |
15560,32 |
17289,25 |
17481,35 |
19210,28 |
21131,30 |
23052,33 |
||||||||||||
270 |
st29.002 |
Переломы шейки бедра и костей таза |
1,52 |
- |
29494,57 |
29494,57 |
29494,57 |
29494,57 |
29494,57 |
29494,57 |
29494,57 |
||||||||||||
271 |
st29.003 |
Переломы бедренной кости, другие травмы области бедра и тазобедренного сустава |
0,69 |
- |
13388,98 |
13388,98 |
13388,98 |
13388,98 |
13388,98 |
13388,98 |
13388,98 |
||||||||||||
272 |
st29.004 |
Переломы, вывихи, растяжения области грудной клетки, верхней конечности и стопы |
0,56 |
- |
10866,42 |
10866,42 |
10866,42 |
10866,42 |
10866,42 |
10866,42 |
10866,42 |
||||||||||||
273 |
st29.005 |
Переломы, вывихи, растяжения области колена и голени |
0,74 |
- |
14359,20 |
14359,20 |
14359,20 |
14359,20 |
14359,20 |
14359,20 |
14359,20 |
||||||||||||
274 |
st29.006 |
Множественные переломы, травматические ампутации, размозжения и последствия травм |
1,44 |
- |
22353,78 |
22633,20 |
25148,00 |
25427,42 |
27942,22 |
30736,44 |
33530,66 |
||||||||||||
275 |
st29.007 |
Тяжелая множественная и сочетанная травма (политравма) |
7,07 |
- |
109750,83 |
111122,72 |
123469,69 |
124841,57 |
137188,54 |
150907,40 |
164626,25 |
||||||||||||
276 |
st29.008 |
Эндопротезирование суставов |
4,46 |
- |
103851,92 |
105150,07 |
116833,41 |
118131,56 |
129814,90 |
142796,39 |
155777,88 |
||||||||||||
277 |
st29.009 |
Операции на костно-мышечной системе и суставах (уровень 1) |
0,79 |
- |
12263,53 |
12416,82 |
13796,47 |
13949,77 |
15329,41 |
16862,35 |
18395,30 |
||||||||||||
278 |
st29.010 |
Операции на костно-мышечной системе и суставах (уровень 2) |
0,93 |
- |
14436,81 |
14617,27 |
16241,42 |
16421,88 |
18046,02 |
19850,62 |
21655,22 |
||||||||||||
279 |
st29.011 |
Операции на костно-мышечной системе и суставах (уровень 3) |
1,37 |
- |
21267,13 |
21532,97 |
23925,53 |
24191,37 |
26583,92 |
29242,31 |
31900,70 |
||||||||||||
280 |
st29.012 |
Операции на костно-мышечной системе и суставах (уровень 4) |
2,42 |
- |
46958,45 |
46958,45 |
46958,45 |
46958,45 |
46958,45 |
46958,45 |
46958,45 |
||||||||||||
281 |
st29.013 |
Операции на костно-мышечной системе и суставах (уровень 5) |
3,15 |
- |
61123,61 |
61123,61 |
61123,61 |
61123,61 |
61123,61 |
61123,61 |
61123,61 |
||||||||||||
282 |
st30.001 |
Тубулоинтерстициальные болезни почек, другие болезни мочевой системы |
0,86 |
- |
13350,17 |
13517,05 |
15018,94 |
15185,82 |
16687,72 |
18356,49 |
20025,26 |
||||||||||||
283 |
st30.002 |
Камни мочевой системы; симптомы, относящиеся к мочевой системе |
0,49 |
- |
7606,49 |
7701,57 |
8557,31 |
8652,39 |
9508,12 |
10458,93 |
11409,74 |
||||||||||||
284 |
st30.003 |
Доброкачественные новообразования, новообразования in situ, неопределенного и неизвестного характера мочевых органов и мужских половых органов |
0,64 |
- |
9935,01 |
10059,20 |
11176,89 |
11301,08 |
12418,76 |
13660,64 |
14902,52 |
||||||||||||
285 |
st30.004 |
Болезни предстательной железы |
0,73 |
- |
14165,15 |
14165,15 |
14165,15 |
14165,15 |
14165,15 |
14165,15 |
14165,15 |
||||||||||||
286 |
st30.005 |
Другие болезни, врожденные аномалии, повреждения мочевой системы и мужских половых органов |
0,67 |
- |
10400,72 |
10530,72 |
11700,80 |
11830,81 |
13000,89 |
14300,98 |
15601,07 |
||||||||||||
287 |
st30.006 |
Операции на мужских половых органах, взрослые (уровень 1) |
1,20 |
- |
18628,15 |
18861,00 |
20956,67 |
21189,52 |
23285,18 |
25613,70 |
27942,22 |
||||||||||||
288 |
st30.007 |
Операции на мужских половых органах, взрослые (уровень 2) |
1,42 |
- |
22043,31 |
22318,85 |
24798,72 |
25074,26 |
27554,13 |
30309,55 |
33064,96 |
||||||||||||
289 |
st30.008 |
Операции на мужских половых органах, взрослые (уровень 3) |
2,31 |
- |
44823,98 |
44823,98 |
44823,98 |
44823,98 |
44823,98 |
44823,98 |
44823,98 |
||||||||||||
290 |
st30.009 |
Операции на мужских половых органах, взрослые (уровень 4) |
3,12 |
- |
60541,48 |
60541,48 |
60541,48 |
60541,48 |
60541,48 |
60541,48 |
60541,48 |
||||||||||||
291 |
st30.010 |
Операции на почке и мочевыделительной системе, взрослые (уровень 1) |
1,08 |
- |
16765,33 |
16974,90 |
18861,00 |
19070,57 |
20956,67 |
23052,33 |
25148,00 |
||||||||||||
292 |
st30.011 |
Операции на почке и мочевыделительной системе, взрослые (уровень 2) |
1,12 |
- |
17386,27 |
17603,60 |
19559,55 |
19776,88 |
21732,84 |
23906,12 |
26079,41 |
||||||||||||
293 |
st30.012 |
Операции на почке и мочевыделительной системе, взрослые (уровень 3) |
1,62 |
- |
25148,00 |
25462,35 |
28291,50 |
28605,85 |
31435,00 |
34578,50 |
37722,00 |
||||||||||||
294 |
st30.013 |
Операции на почке и мочевыделительной системе, взрослые (уровень 4) |
1,95 |
- |
30270,74 |
30649,12 |
34054,58 |
34432,97 |
37838,42 |
41622,27 |
45406,11 |
||||||||||||
295 |
st30.014 |
Операции на почке и мочевыделительной системе, взрослые (уровень 5) |
2,14 |
- |
33220,20 |
33635,45 |
37372,72 |
37787,97 |
41525,24 |
45677,77 |
49830,29 |
||||||||||||
296 |
st30.015 |
Операции на почке и мочевыделительной системе, взрослые (уровень 6) |
4,13 |
- |
80139,84 |
80139,84 |
80139,84 |
80139,84 |
80139,84 |
80139,84 |
80139,84 |
||||||||||||
297 |
st31.001 |
Болезни лимфатических сосудов и лимфатических узлов |
0,61 |
- |
9469,31 |
9587,67 |
10652,97 |
10771,34 |
11836,64 |
13020,30 |
14203,96 |
||||||||||||
298 |
st31.002 |
Операции на коже, подкожной клетчатке, придатках кожи (уровень 1) |
0,55 |
- |
10672,38 |
10672,38 |
10672,38 |
10672,38 |
10672,38 |
10672,38 |
10672,38 |
||||||||||||
299 |
st31.003 |
Операции на коже, подкожной клетчатке, придатках кожи (уровень 2) |
0,71 |
- |
11021,65 |
11159,42 |
12399,36 |
12537,13 |
13777,07 |
15154,77 |
16532,48 |
||||||||||||
300 |
st31.004 |
Операции на коже, подкожной клетчатке, придатках кожи (уровень 3) |
1,38 |
- |
21422,37 |
21690,15 |
24100,17 |
24367,95 |
26777,96 |
29455,76 |
32133,55 |
||||||||||||
301 |
st31.005 |
Операции на коже, подкожной клетчатке, придатках кожи (уровень 4) |
2,41 |
- |
37411,53 |
37879,17 |
42087,97 |
42555,61 |
46764,41 |
51440,85 |
56117,29 |
||||||||||||
302 |
st31.006 |
Операции на органах кроветворения и иммунной системы (уровень 1) |
1,43 |
- |
22198,54 |
22476,02 |
24973,36 |
25250,84 |
27748,18 |
30523,00 |
33297,81 |
||||||||||||
303 |
st31.007 |
Операции на органах кроветворения и иммунной системы (уровень 2) |
1,83 |
- |
28407,92 |
28763,02 |
31958,92 |
32314,01 |
35509,91 |
39060,90 |
42611,89 |
||||||||||||
304 |
st31.008 |
Операции на органах кроветворения и иммунной системы (уровень 3) |
2,16 |
- |
33530,66 |
33949,80 |
37722,00 |
38141,13 |
41913,33 |
46104,66 |
50296,00 |
||||||||||||
305 |
st31.009 |
Операции на эндокринных железах, кроме гипофиза (уровень 1) |
1,81 |
- |
35121,82 |
35121,82 |
35121,82 |
35121,82 |
35121,82 |
35121,82 |
35121,82 |
||||||||||||
306 |
st31.010 |
Операции на эндокринных железах, кроме гипофиза (уровень 2) |
2,67 |
- |
51809,53 |
51809,53 |
51809,53 |
51809,53 |
51809,53 |
51809,53 |
51809,53 |
||||||||||||
307 |
st31.011 |
Болезни молочной железы, новообразования молочной железы доброкачественные, in situ, неопределенного и неизвестного характера |
0,73 |
- |
11332,12 |
11473,77 |
12748,64 |
12890,29 |
14165,15 |
15581,67 |
16998,18 |
||||||||||||
308 |
st31.012 |
Артрозы, другие поражения суставов, болезни мягких тканей |
0,76 |
- |
14747,28 |
14747,28 |
14747,28 |
14747,28 |
14747,28 |
14747,28 |
14747,28 |
||||||||||||
309 |
st31.013 |
Остеомиелит (уровень 1) |
2,42 |
- |
37566,76 |
38036,35 |
42262,61 |
42732,19 |
46958,45 |
51654,30 |
56350,15 |
||||||||||||
310 |
st31.014 |
Остеомиелит (уровень 2) |
3,51 |
- |
54487,33 |
55168,42 |
61298,25 |
61979,34 |
68109,16 |
74920,08 |
81731,00 |
||||||||||||
311 |
st31.015 |
Остеомиелит (уровень 3) |
4,02 |
- |
62404,29 |
63184,35 |
70204,83 |
70984,88 |
78005,37 |
85805,90 |
93606,44 |
||||||||||||
312 |
st31.016 |
Доброкачественные новообразования костно-мышечной системы и соединительной ткани |
0,84 |
- |
13039,70 |
13202,70 |
14669,67 |
14832,66 |
16299,63 |
17929,59 |
19559,55 |
||||||||||||
313 |
st31.017 |
Доброкачественные новообразования, новообразования in situ кожи, жировой ткани и другие болезни кожи |
0,50 |
- |
7761,73 |
7858,75 |
8731,94 |
8828,97 |
9702,16 |
10672,38 |
11642,59 |
||||||||||||
314 |
st31.018 |
Открытые раны, поверхностные, другие и неуточненные травмы |
0,37 |
- |
7179,60 |
7179,60 |
7179,60 |
7179,60 |
7179,60 |
7179,60 |
7179,60 |
||||||||||||
315 |
st31.019 |
Операции на молочной железе (кроме злокачественных новообразований) |
1,19 |
- |
18472,91 |
18703,82 |
20782,03 |
21012,94 |
23091,14 |
25400,25 |
27709,37 |
||||||||||||
316 |
st32.001 |
Операции на желчном пузыре и желчевыводящих путях (уровень 1) |
1,15 |
- |
17851,97 |
18075,12 |
20083,47 |
20306,62 |
22314,97 |
24546,46 |
26777,96 |
||||||||||||
317 |
st32.002 |
Операции на желчном пузыре и желчевыводящих путях (уровень 2) |
1,43 |
- |
22198,54 |
22476,02 |
24973,36 |
25250,84 |
27748,18 |
30523,00 |
33297,81 |
||||||||||||
318 |
st32.003 |
Операции на желчном пузыре и желчевыводящих путях (уровень 3) |
3,00 |
- |
46570,37 |
47152,50 |
52391,66 |
52973,79 |
58212,96 |
64034,26 |
69855,55 |
||||||||||||
319 |
st32.004 |
Операции на желчном пузыре и желчевыводящих путях (уровень 4) |
4,30 |
- |
83438,58 |
83438,58 |
83438,58 |
83438,58 |
83438,58 |
83438,58 |
83438,58 |
||||||||||||
320 |
st32.005 |
Операции на печени и поджелудочной железе (уровень 1) |
2,42 |
- |
37566,76 |
38036,35 |
42262,61 |
42732,19 |
46958,45 |
51654,30 |
56350,15 |
||||||||||||
321 |
st32.006 |
Операции на печени и поджелудочной железе (уровень 2) |
2,69 |
- |
41758,10 |
42280,07 |
46977,86 |
47499,83 |
52197,62 |
57417,38 |
62637,14 |
||||||||||||
322 |
st32.007 |
Панкреатит, хирургическое лечение |
4,12 |
- |
63956,64 |
64756,10 |
71951,22 |
72750,68 |
79945,80 |
87940,38 |
95934,96 |
||||||||||||
323 |
st32.008 |
Операции на пищеводе, желудке, двенадцатиперстной кишке (уровень 1) |
1,16 |
- |
18007,21 |
18232,30 |
20258,11 |
20483,20 |
22509,01 |
24759,91 |
27010,81 |
||||||||||||
324 |
st32.009 |
Операции на пищеводе, желудке, двенадцатиперстной кишке (уровень 2) |
1,95 |
- |
30270,74 |
30649,12 |
34054,58 |
34432,97 |
37838,42 |
41622,27 |
45406,11 |
||||||||||||
325 |
st32.010 |
Операции на пищеводе, желудке, двенадцатиперстной кишке (уровень 3) |
2,46 |
- |
47734,63 |
47734,63 |
47734,63 |
47734,63 |
47734,63 |
47734,63 |
47734,63 |
||||||||||||
326 |
st32.011 |
Аппендэктомия, взрослые (уровень 1) |
0,73 |
- |
14165,15 |
14165,15 |
14165,15 |
14165,15 |
14165,15 |
14165,15 |
14165,15 |
||||||||||||
327 |
st32.012 |
Аппендэктомия, взрослые (уровень 2) |
0,91 |
- |
17657,93 |
17657,93 |
17657,93 |
17657,93 |
17657,93 |
17657,93 |
17657,93 |
||||||||||||
328 |
st32.013 |
Операции по поводу грыж, взрослые (уровень 1) |
0,86 |
- |
16687,72 |
16687,72 |
16687,72 |
16687,72 |
16687,72 |
16687,72 |
16687,72 |
||||||||||||
329 |
st32.014 |
Операции по поводу грыж, взрослые (уровень 2) |
1,24 |
- |
24061,36 |
24061,36 |
24061,36 |
24061,36 |
24061,36 |
24061,36 |
24061,36 |
||||||||||||
330 |
st32.015 |
Операции по поводу грыж, взрослые (уровень 3) |
1,78 |
- |
34539,69 |
34539,69 |
34539,69 |
34539,69 |
34539,69 |
34539,69 |
34539,69 |
||||||||||||
331 |
st32.019 |
Операции по поводу грыж, взрослые (уровень 4) |
5,60 |
- |
86931,35 |
88018,00 |
97797,77 |
98884,41 |
108664,19 |
119530,61 |
130397,03 |
||||||||||||
332 |
st32.016 |
Другие операции на органах брюшной полости (уровень 1) |
1,13 |
- |
17541,51 |
17760,77 |
19734,19 |
19953,46 |
21926,88 |
24119,57 |
26312,26 |
||||||||||||
333 |
st32.017 |
Другие операции на органах брюшной полости (уровень 2) |
1,19 |
- |
18472,91 |
18703,82 |
20782,03 |
21012,94 |
23091,14 |
25400,25 |
27709,37 |
||||||||||||
334 |
st32.018 |
Другие операции на органах брюшной полости (уровень 3) |
2,13 |
- |
33064,96 |
33478,27 |
37198,08 |
37611,39 |
41331,20 |
45464,32 |
49597,44 |
||||||||||||
335 |
st33.001 |
Отморожения (уровень 1) |
1,17 |
- |
18162,44 |
18389,47 |
20432,75 |
20659,78 |
22703,05 |
24973,36 |
27243,67 |
||||||||||||
336 |
st33.002 |
Отморожения (уровень 2) |
2,91 |
- |
45173,26 |
45737,92 |
50819,91 |
51384,58 |
56466,57 |
62113,23 |
67759,89 |
||||||||||||
337 |
st33.003 |
Ожоги (уровень 1) |
1,21 |
- |
18783,38 |
19018,17 |
21131,30 |
21366,10 |
23479,23 |
25827,15 |
28175,07 |
||||||||||||
338 |
st33.004 |
Ожоги (уровень 2) |
2,03 |
- |
31512,62 |
31906,52 |
35451,69 |
35845,60 |
39390,77 |
43329,85 |
47268,92 |
||||||||||||
339 |
st33.005 |
Ожоги (уровень 3) |
3,54 |
- |
54953,03 |
55639,95 |
61822,16 |
62509,08 |
68691,29 |
75560,42 |
82429,55 |
||||||||||||
340 |
st33.006 |
Ожоги (уровень 4) |
5,20 |
- |
80721,97 |
81731,00 |
90812,22 |
91821,24 |
100902,46 |
110992,71 |
121082,96 |
||||||||||||
341 |
st33.007 |
Ожоги (уровень 5) |
11,11 |
- |
172465,60 |
174621,42 |
194023,80 |
196179,62 |
215582,00 |
237140,19 |
258698,39 |
||||||||||||
342 |
st33.008 |
Ожоги (уровни 4, 5) с синдромом органной дисфункции |
14,07 |
- |
218415,03 |
221145,21 |
245716,90 |
248447,09 |
273018,78 |
300320,66 |
327622,54 |
||||||||||||
343 |
st34.001 |
Болезни полости рта, слюнных желез и челюстей, врожденные аномалии лица и шеи, взрослые |
0,89 |
- |
13815,88 |
13988,57 |
15542,86 |
15715,56 |
17269,84 |
18996,83 |
20723,81 |
||||||||||||
344 |
st34.002 |
Операции на органах полости рта (уровень 1) |
0,74 |
- |
11487,36 |
11630,95 |
12923,28 |
13066,87 |
14359,20 |
15795,12 |
17231,04 |
||||||||||||
345 |
st34.003 |
Операции на органах полости рта (уровень 2) |
1,27 |
- |
19714,79 |
19961,22 |
22179,14 |
22425,57 |
24643,49 |
27107,84 |
29572,18 |
||||||||||||
346 |
st34.004 |
Операции на органах полости рта (уровень 3) |
1,63 |
- |
25303,23 |
25619,52 |
28466,14 |
28782,43 |
31629,04 |
34791,95 |
37954,85 |
||||||||||||
347 |
st34.005 |
Операции на органах полости рта (уровень 4) |
1,90 |
- |
29494,57 |
29863,25 |
33181,39 |
33550,07 |
36868,21 |
40555,03 |
44241,85 |
||||||||||||
348 |
st35.001 |
Сахарный диабет, взрослые (уровень 1) |
1,02 |
- |
15833,93 |
16031,85 |
17813,17 |
18011,09 |
19792,41 |
21771,65 |
23750,89 |
||||||||||||
349 |
st35.002 |
Сахарный диабет, взрослые (уровень 2) |
1,49 |
- |
23129,95 |
23419,07 |
26021,19 |
26310,32 |
28912,44 |
31803,68 |
34694,92 |
||||||||||||
350 |
st35.003 |
Заболевания гипофиза, взрослые |
2,14 |
- |
33220,20 |
33635,45 |
37372,72 |
37787,97 |
41525,24 |
45677,77 |
49830,29 |
||||||||||||
351 |
st35.004 |
Другие болезни эндокринной системы, взрослые (уровень 1) |
1,25 |
- |
19404,32 |
19646,87 |
21829,86 |
22072,41 |
24255,40 |
26680,94 |
29106,48 |
||||||||||||
352 |
st35.005 |
Другие болезни эндокринной системы, взрослые (уровень 2) |
2,76 |
- |
42844,74 |
43380,30 |
48200,33 |
48735,89 |
53555,92 |
58911,52 |
64267,11 |
||||||||||||
353 |
st35.006 |
Новообразования эндокринных желез доброкачественные, in situ, неопределенного и неизвестного характера |
0,76 |
- |
11797,83 |
11945,30 |
13272,55 |
13420,03 |
14747,28 |
16222,01 |
17696,74 |
||||||||||||
354 |
st35.007 |
Расстройства питания |
1,06 |
- |
16454,86 |
16660,55 |
18511,72 |
18717,41 |
20568,58 |
22625,44 |
24682,30 |
||||||||||||
355 |
st35.008 |
Другие нарушения обмена веществ |
1,16 |
- |
18007,21 |
18232,30 |
20258,11 |
20483,20 |
22509,01 |
24759,91 |
27010,81 |
||||||||||||
356 |
st35.009 |
Кистозный фиброз |
3,32 |
- |
51537,87 |
52182,10 |
57980,11 |
58624,33 |
64422,34 |
70864,58 |
77306,81 |
||||||||||||
357 |
st36.001 |
Комплексное лечение с применением препаратов иммуноглобулина |
4,32 |
- |
83826,66 |
83826,66 |
83826,66 |
83826,66 |
83826,66 |
83826,66 |
83826,66 |
||||||||||||
358 |
st36.002 |
Редкие генетические заболевания |
3,50 |
- |
54332,10 |
55011,25 |
61123,61 |
61802,76 |
67915,12 |
74706,63 |
81498,14 |
||||||||||||
359 |
st36.004 |
Факторы, влияющие на состояние здоровья населения и обращения в учреждения здравоохранения |
0,32 |
- |
4967,51 |
5029,60 |
5588,44 |
5650,54 |
6209,38 |
6830,32 |
7451,26 |
||||||||||||
360 |
st36.020 |
Оказание услуг диализа (только для федеральных медицинских организаций) (уровень 1) |
0,26 |
30,00% |
5625,31 |
5640,45 |
5776,67 |
5791,80 |
5928,02 |
6079,37 |
6230,73 |
||||||||||||
361 |
st36.021 |
Оказание услуг диализа (только для федеральных медицинских организаций) (уровень 2) |
0,76 |
30,00% |
16443,22 |
16487,46 |
16885,64 |
16929,88 |
17328,06 |
17770,48 |
18212,89 |
||||||||||||
362 |
st36.022 |
Оказание услуг диализа (только для федеральных медицинских организаций) (уровень 3) |
1,38 |
30,00% |
29857,43 |
29937,76 |
30660,77 |
30741,10 |
31464,10 |
32267,44 |
33070,78 |
||||||||||||
363 |
st36.023 |
Оказание услуг диализа (только для федеральных медицинских организаций) (уровень 4) |
2,91 |
6,61% |
68903,62 |
68940,94 |
69276,86 |
69314,18 |
69650,10 |
70023,35 |
70396,59 |
||||||||||||
364 |
st36.005 |
Госпитализация в диагностических целях с постановкой диагноза туберкулеза, ВИЧ-инфекции, психического заболевания |
0,46 |
- |
7140,79 |
7230,05 |
8033,39 |
8122,65 |
8925,99 |
9818,59 |
10711,18 |
||||||||||||
365 |
st36.006 |
Отторжение, отмирание трансплантата органов и тканей |
8,40 |
- |
130397,03 |
132026,99 |
146696,66 |
148326,62 |
162996,29 |
179295,92 |
195595,55 |
||||||||||||
366 |
st36.007 |
Установка, замена, заправка помп для лекарственных препаратов |
2,32 |
- |
45018,02 |
45018,02 |
45018,02 |
45018,02 |
45018,02 |
45018,02 |
45018,02 |
||||||||||||
367 |
st36.008 |
Интенсивная терапия пациентов с нейрогенными нарушениями жизненно важных функций, нуждающихся в их длительном искусственном замещении |
18,15 |
- |
281750,73 |
285272,61 |
316969,57 |
320491,45 |
352188,41 |
387407,25 |
422626,09 |
||||||||||||
368 |
st36.009 |
Реинфузия аутокрови |
2,05 |
- |
39778,86 |
39778,86 |
39778,86 |
39778,86 |
39778,86 |
39778,86 |
39778,86 |
||||||||||||
369 |
st36.010 |
Баллонная внутриаортальная контрпульсация |
7,81 |
- |
151547,74 |
151547,74 |
151547,74 |
151547,74 |
151547,74 |
151547,74 |
151547,74 |
||||||||||||
370 |
st36.011 |
Экстракорпоральная мембранная оксигенация |
15,57 |
- |
302125,26 |
302125,26 |
302125,26 |
302125,26 |
302125,26 |
302125,26 |
302125,26 |
||||||||||||
371 |
st36.012 |
Злокачественное новообразование без специального противоопухолевого лечения |
0,50 |
- |
7761,73 |
7858,75 |
8731,94 |
8828,97 |
9702,16 |
10672,38 |
11642,59 |
||||||||||||
372 |
st36.013 |
Проведение антимикробной терапии инфекций, вызванных полирезистентными микроорганизмами (уровень 1) |
1,61 |
- |
24992,76 |
25305,17 |
28116,86 |
28429,27 |
31240,96 |
34365,05 |
37489,15 |
||||||||||||
373 |
st36.014 |
Проведение антимикробной терапии инфекций, вызванных полирезистентными микроорганизмами (уровень 2) |
3,89 |
- |
60386,24 |
61141,07 |
67934,52 |
68689,35 |
75482,80 |
83031,09 |
90579,37 |
||||||||||||
374 |
st36.015 |
Проведение антимикробной терапии инфекций, вызванных полирезистентными микроорганизмами (уровень 3) |
10,54 |
- |
163617,23 |
165662,44 |
184069,38 |
186114,59 |
204521,53 |
224973,69 |
245425,84 |
||||||||||||
375 |
st36.016 |
Проведение иммунизации против респираторно-синцитиальной вирусной инфекции |
2,61 |
8,60% |
61346,62 |
61390,18 |
61782,17 |
61825,73 |
62217,72 |
62653,27 |
63088,82 |
||||||||||||
376 |
st36.017 |
Лечение с применением генно-инженерных биологических препаратов и селективных иммунодепрессантов (уровень 1) |
1,04 |
32,68% |
23576,87 |
23576,87 |
23576,87 |
23576,87 |
23576,87 |
23576,87 |
23576,87 |
||||||||||||
377 |
st36.018 |
Лечение с применением генно-инженерных биологических препаратов и селективных иммунодепрессантов (уровень 2) |
2,14 |
18,82% |
49952,79 |
49952,79 |
49952,79 |
49952,79 |
49952,79 |
49952,79 |
49952,79 |
||||||||||||
378 |
st36.019 |
Лечение с применением генно-инженерных биологических препаратов и селективных иммунодепрессантов (уровень 3) |
6,31 |
6,00% |
151214,96 |
151214,96 |
151214,96 |
151214,96 |
151214,96 |
151214,96 |
151214,96 |
||||||||||||
379 |
st37.001 |
Медицинская реабилитация пациентов с заболеваниями центральной нервной системы (3 балла по ШРМ) |
1,53 |
- |
23750,89 |
24047,77 |
26719,75 |
27016,63 |
29688,61 |
32657,47 |
35626,33 |
||||||||||||
380 |
st37.002 |
Медицинская реабилитация пациентов с заболеваниями центральной нервной системы (4 балла по ШРМ) |
2,04 |
- |
31667,85 |
32063,70 |
35626,33 |
36022,18 |
39584,81 |
43543,29 |
47501,78 |
||||||||||||
381 |
st37.003 |
Медицинская реабилитация пациентов с заболеваниями центральной нервной системы (5 баллов по ШРМ) |
3,34 |
- |
51848,34 |
52496,45 |
58329,39 |
58977,49 |
64810,43 |
71291,47 |
77772,51 |
||||||||||||
382 |
st37.004 |
Медицинская реабилитация пациентов с заболеваниями центральной нервной системы (6 баллов по ШРМ) |
8,60 |
- |
166877,15 |
166877,15 |
166877,15 |
166877,15 |
166877,15 |
166877,15 |
166877,15 |
||||||||||||
383 |
st37.005 |
Медицинская реабилитация пациентов с заболеваниями опорно-двигательного аппарата и периферической нервной системы (3 балла по ШРМ) |
1,24 |
- |
19249,09 |
19489,70 |
21655,22 |
21895,83 |
24061,36 |
26467,49 |
28873,63 |
||||||||||||
384 |
st37.006 |
Медицинская реабилитация пациентов с заболеваниями опорно-двигательного аппарата и периферической нервной системы (4 балла по ШРМ) |
1,67 |
- |
25924,17 |
26248,22 |
29164,69 |
29488,75 |
32405,21 |
35645,74 |
38886,26 |
||||||||||||
385 |
st37.007 |
Медицинская реабилитация пациентов с заболеваниями опорно-двигательного аппарата и периферической нервной системы (5 баллов по ШРМ) |
3,03 |
- |
47036,07 |
47624,02 |
52915,58 |
53503,53 |
58795,09 |
64674,60 |
70554,11 |
||||||||||||
386 |
st37.008 |
Медицинская кардиореабилитация (3 балла по ШРМ) |
1,02 |
- |
15833,93 |
16031,85 |
17813,17 |
18011,09 |
19792,41 |
21771,65 |
23750,89 |
||||||||||||
387 |
st37.009 |
Медицинская кардиореабилитация (4 балла по ШРМ) |
1,38 |
- |
21422,37 |
21690,15 |
24100,17 |
24367,95 |
26777,96 |
29455,76 |
32133,55 |
||||||||||||
388 |
st37.010 |
Медицинская кардиореабилитация (5 баллов по ШРМ) |
2,00 |
- |
31046,91 |
31435,00 |
34927,78 |
35315,86 |
38808,64 |
42689,50 |
46570,37 |
||||||||||||
389 |
st37.011 |
Медицинская реабилитация при других соматических заболеваниях (3 балла по ШРМ) |
0,59 |
- |
9158,84 |
9273,32 |
10303,69 |
10418,18 |
11448,55 |
12593,40 |
13738,26 |
||||||||||||
390 |
st37.012 |
Медицинская реабилитация при других соматических заболеваниях (4 балла по ШРМ) |
0,84 |
- |
13039,70 |
13202,70 |
14669,67 |
14832,66 |
16299,63 |
17929,59 |
19559,55 |
||||||||||||
391 |
st37.013 |
Медицинская реабилитация при других соматических заболеваниях (5 баллов по ШРМ) |
1,17 |
- |
18162,44 |
18389,47 |
20432,75 |
20659,78 |
22703,05 |
24973,36 |
27243,67 |
||||||||||||
392 |
st37.014 |
Медицинская реабилитация детей, перенесших заболевания перинатального периода |
1,50 |
- |
23285,18 |
23576,25 |
26195,83 |
26486,90 |
29106,48 |
32017,13 |
34927,78 |
||||||||||||
393 |
st37.015 |
Медицинская реабилитация детей с нарушениями слуха без замены речевого процессора системы кохлеарной имплантации |
1,80 |
- |
27942,22 |
28291,50 |
31435,00 |
31784,28 |
34927,78 |
38420,55 |
41913,33 |
||||||||||||
394 |
st37.016 |
Медицинская реабилитация детей с онкологическими, гематологическими и иммунологическими заболеваниями в тяжелых формах продолжительного течения |
4,81 |
- |
74667,82 |
75601,17 |
84001,30 |
84934,65 |
93334,78 |
102668,26 |
112001,74 |
||||||||||||
395 |
st37.017 |
Медицинская реабилитация детей с поражениями центральной нервной системы |
2,75 |
- |
42689,50 |
43223,12 |
48025,69 |
48559,31 |
53361,88 |
58698,07 |
64034,26 |
||||||||||||
396 |
st37.018 |
Медицинская реабилитация детей после хирургической коррекции врожденных пороков развития органов и систем |
2,35 |
- |
36480,12 |
36936,12 |
41040,14 |
41496,14 |
45600,15 |
50160,17 |
54720,18 |
||||||||||||
397 |
st37.019 |
Медицинская реабилитация после онкоортопедических операций |
1,44 |
- |
22353,78 |
22633,20 |
25148,00 |
25427,42 |
27942,22 |
30736,44 |
33530,66 |
||||||||||||
398 |
st37.020 |
Медицинская реабилитация по поводу постмастэктомического синдрома в онкологии |
1,24 |
- |
19249,09 |
19489,70 |
21655,22 |
21895,83 |
24061,36 |
26467,49 |
28873,63 |
||||||||||||
399 |
st37.021 |
Медицинская реабилитация после перенесенной коронавирусной инфекции COVID-19 (3 балла по ШРМ) |
1,08 |
- |
16765,33 |
16974,90 |
18861,00 |
19070,57 |
20956,67 |
23052,33 |
25148,00 |
||||||||||||
400 |
st37.022 |
Медицинская реабилитация после перенесенной коронавирусной инфекции COVID-19 (4 балла по ШРМ) |
1,61 |
- |
24992,76 |
25305,17 |
28116,86 |
28429,27 |
31240,96 |
34365,05 |
37489,15 |
||||||||||||
401 |
st37.023 |
Медицинская реабилитация после перенесенной коронавирусной инфекции COVID-19 (5 баллов по ШРМ) |
2,15 |
- |
33375,43 |
33792,62 |
37547,36 |
37964,55 |
41719,29 |
45891,22 |
50063,15 |
||||||||||||
402 |
st38.001 |
Соматические заболевания, осложненные старческой астенией |
1,50 |
- |
23285,18 |
23576,25 |
26195,83 |
26486,90 |
29106,48 |
32017,13 |
34927,78 |
||||||||||||
* Перечень КСЛП установлен в
Приложении N 31 "Коэффициент сложности
лечения пациента" к Тарифному
соглашению, кроме того, КСЛП применяется
к случаям сверхдлительной
госпитализации".
Приложение N 12
к Дополнительному соглашению
от 25.03.2022 N 2
к Тарифному соглашению
в сфере обязательного медицинского
страхования
на территории Ивановской области на 2022
год
"Приложение N 22.1
к Тарифному соглашению
в сфере обязательного медицинского
страхования
на территории Ивановской области на 2022
год
ТАРИФЫ НА ГЕМОДИАЛИЗ
Таблица 1
КСГ диализа
Код услуги |
Наименование услуги |
КСГ 1 |
Стоимость |
Оказание услуг диализа (уровень 2) | |||
A18.05.002.003 |
Гемодиализ интермиттирующий продленный |
st36.021 |
18212,89 |
A18.05.003 |
Гемофильтрация крови |
st36.021 |
18212,89 |
A18.05.003.001 |
Гемофильтрация крови продленная |
st36.021 |
18212,89 |
A18.05.004.001 |
Ультрафильтрация крови продленная |
st36.021 |
18212,89 |
A18.05.011.001 |
Гемодиафильтрация продленная |
st36.021 |
18212,89 |
Оказание услуг диализа (уровень 3) | |||
A18.05.002.005 |
Гемодиализ продолжительный |
st36.022 |
33070,78 |
A18.05.003.002 |
Гемофильтрация крови продолжительная |
st36.022 |
33070,78 |
A18.05.011.002 |
Гемодиафильтрация продолжительная |
st36.022 |
33070,78 |
A18.30.001.001 |
Перитонеальный диализ проточный |
st36.022 |
33070,78 |
Таблица 2
КСГ основного патологического
процесса
КСГ |
Расшифровка КСГ |
st12.005 |
Сепсис, взрослые |
st12.006 |
Сепсис, дети |
st12.007 |
Сепсис с синдромом органной дисфункции |
st04.006 |
Панкреатит с синдромом органной дисфункции |
st12.013 |
Грипп и пневмония с синдромом органной дисфункции |
st33.008 |
Ожоги (уровни 4, 5) с синдромом органной дисфункции |
st27.013 |
Отравления и другие воздействия внешних причин с синдромом органной дисфункции |
st27.012 |
Отравления и другие воздействия внешних причин |
st04.003 |
Болезни печени, невирусные (уровень 1) |
st04.004 |
Болезни печени, невирусные (уровень 2) |
st05.002 |
Анемии (уровень 2) |
st11.003 |
Другие болезни эндокринной системы, дети (уровень 1) |
st11.004 |
Другие болезни эндокринной системы, дети (уровень 2) |
st35.004 |
Другие болезни эндокринной системы, взрослые (уровень 1) |
st35.005 |
Другие болезни эндокринной системы, взрослые (уровень 2) |
st04.005 |
Болезни поджелудочной железы |
st32.007 |
Панкреатит, хирургическое лечение |
".
Приложение N 13
к Дополнительному соглашению
от 25.03.2022 N 2
к Тарифному соглашению
в сфере обязательного медицинского
страхования
на территории Ивановской области на 2022
год
"Приложение N 23
к Тарифному соглашению
в сфере обязательного медицинского
страхования
на территории Ивановской области на 2022
год
ТАРИФЫ НА ОПЛАТУ МЕДИЦИНСКИХ УСЛУГ,
ОКАЗЫВАЕМЫХ В АМБУЛАТОРНЫХ УСЛОВИЯХ
N п/п |
Наименование медицинской услуги |
Код услуги |
Наименование должности специалиста |
Стоимость услуги, руб. <*> |
1 |
Компьютерная томография: |
|
|
|
1.1 |
Без контрастирования |
66 |
Врач-рентгенолог |
1178,7 |
1.2 |
С болюсным контрастированием |
4020 |
Врач-рентгенолог |
4990,5 |
1.3 |
С внутривенным контрастированием |
4021 |
Врач-рентгенолог |
3324,9 |
1.4 |
Легких без контрастирования (COVID-19) |
96 |
Врач-рентгенолог |
2004,8 |
2 |
Магнитно-резонансная томография: |
|
|
|
2.1 |
Без контрастирования |
68 |
Врач-рентгенолог |
2575,9 |
2.2 |
С контрастированием |
69 |
Врач-рентгенолог |
6476,3 |
3 |
Ультразвуковое исследование сердечно-сосудистой системы: |
|
|
|
3.1 |
эхокардиография |
4001 |
Врач ультразвуковой диагностики, врач функциональной диагностики |
498,8 |
3.2 |
допплерография сосудов |
4002 |
Врач ультразвуковой диагностики, врач функциональной диагностики |
403,4 |
3.3 |
дуплексное сканирование сосудов |
4003 |
Врач ультразвуковой диагностики, врач функциональной диагностики |
499,6 |
3.4 |
иные |
4004 |
Врач ультразвуковой диагностики, врач функциональной диагностики |
200,8 |
4 |
Эндоскопические диагностические исследования: |
|
|
|
4.1 |
бронхоскопия |
4005 |
Врач-эндоскопист |
983,3 |
4.2 |
эзофагогастродуоденоскопия |
4006 |
Врач-эндоскопист |
886,8 |
4.3 |
колоноскопия |
4007 |
Врач-эндоскопист |
1195,6 |
4.4 |
ректосигмоидоскопия |
4008 |
Врач-эндоскопист |
733,2 |
4.5 |
иные |
4009 |
Врач-эндоскопист |
723,9 |
5 |
Молекулярно-генетические исследования с целью выявления онкологических заболеваний |
|
|
|
5.1 |
молекулярно-генетическое исследование мутаций в гене EGFR |
4022 |
Врач-генетик |
8174,2 |
5.2 |
молекулярно-генетическое исследование мутаций в гене BRAF |
4023 |
Врач-генетик |
8174,2 |
5.3 |
молекулярно-генетическое исследование мутаций в гене KRAS |
4024 |
Врач-генетик |
8174,2 |
5.4 |
молекулярно-генетическое исследование мутаций в гене NRAS |
4025 |
Врач-генетик |
8174,2 |
5.5 |
молекулярно-генетическое исследование мутаций в гене BRCA1/BRCA2 |
4026 |
Врач-генетик |
8174,2 |
5.6 |
молекулярно-генетическое исследование гена ALK методом флюоресцентной гибридизации in situ (FISH) |
4027 |
Врач-генетик |
8174,2 |
5.7 |
иные |
4016 |
Врач-генетик |
8174,2 |
6 |
Патолого-анатомические исследования биопсийного (операционного) материала с целью выявления онкологических заболеваний и подбора противоопухолевой лекарственной терапии |
|
Врач-патологоанатом |
2021,26 |
7 |
Тестирование на выявление новой коронавирусной инфекции (COVID-19) |
|
|
|
7.1 |
Молекулярно-биологическое исследование мазков со слизистой оболочки носоглотки на коронавирус ТОРС (SARS-CoV) |
4035 |
Врач-терапевт, врач-педиатр, фельдшер (самостоятельный прием), врач клинической лабораторной диагностики |
600,5 |
7.2 |
Определение РНК коронавируса ТОРС (SARS-CoV) в мазках со слизистой оболочки носоглотки методом ПЦР |
4036 |
Врач-терапевт, врач-педиатр, фельдшер (самостоятельный прием), врач клинической лабораторной диагностики |
600,5 |
7.3 |
Молекулярно-биологическое исследование мазков со слизистой оболочки носоглотки на коронавирус БВРС (MERS-CoV) |
4037 |
Врач-терапевт, врач-педиатр, фельдшер (самостоятельный прием), врач клинической лабораторной диагностики |
600,5 |
7.4 |
Определение РНК коронавируса БВРС (MERS-CoV) в мазках со слизистой оболочки носоглотки методом ПЦР |
4038 |
Врач-терапевт, врач-педиатр, фельдшер (самостоятельный прием), врач клинической лабораторной диагностики |
600,5 |
7.5 |
Молекулярно-биологическое исследование мазков со слизистой оболочки ротоглотки на коронавирусы 229E, OC43, NL63, HKUI (Human Coronavirus) |
4039 |
Врач-терапевт, врач-педиатр, фельдшер (самостоятельный прием), врач клинической лабораторной диагностики |
600,5 |
7.6 |
Определение РНК коронавирусов 229E, OC43, NL63, HKUI (Human Coronavirus) в мазках со слизистой оболочки ротоглотки методом ПЦР |
4040 |
Врач-терапевт, врач-педиатр, фельдшер (самостоятельный прием), врач клинической лабораторной диагностики |
600,5 |
7.7 |
Молекулярно-биологическое исследование мазков со слизистой оболочки ротоглотки на коронавирус ТОРС (SARS-CoV) |
4041 |
Врач-терапевт, врач-педиатр, фельдшер (самостоятельный прием), врач клинической лабораторной диагностики |
600,5 |
7.8 |
Определение РНК коронавируса ТОРС (SARS-CoV) в мазках со слизистой оболочки ротоглотки методом ПЦР |
4042 |
Врач-терапевт, врач-педиатр, фельдшер (самостоятельный прием), врач клинической лабораторной диагностики |
600,5 |
7.9 |
Молекулярно-биологическое исследование мазков со слизистой оболочки ротоглотки на коронавирус БВРС (MERS-CoV) |
4043 |
Врач-терапевт, врач-педиатр, фельдшер (самостоятельный прием), врач клинической лабораторной диагностики |
600,5 |
7.10 |
Определение РНК коронавируса БВРС (MERS-CoV) в мазках со слизистой оболочки ротоглотки методом ПЦР |
4044 |
Врач-терапевт, врач-педиатр, фельдшер (самостоятельный прием), врач клинической лабораторной диагностики |
600,5 |
7.11 |
Молекулярно-биологическое исследование бронхоальвеолярной лаважной жидкости на коронавирусы 229E, OC43, NL63, HKUI |
4045 |
Врач-терапевт, врач-педиатр, фельдшер (самостоятельный прием), врач клинической лабораторной диагностики |
600,5 |
7.12 |
Определение РНК коронавирусов 229E, OC43, NL63, HKUI (Human Coronavirus) в бронхоальвеолярной лаважной жидкости методом ПЦР |
4046 |
Врач-терапевт, врач-педиатр, фельдшер (самостоятельный прием), врач клинической лабораторной диагностики |
600,5 |
7.13 |
Молекулярно-биологическое исследование мокроты (индуцированной мокроты, фаринго-трахеальных аспиратов) на коронавирусы 229E, OC43, NL63, HKUI (Human Coronavirus) |
4047 |
Врач-терапевт, врач-педиатр, фельдшер (самостоятельный прием), врач клинической лабораторной диагностики |
600,5 |
7.14 |
Определение РНК коронавирусов 229E, OC43, NL63, HKUI (Human Coronavirus) в мокроте (индуцированной мокроте, фаринго-трахеальных аспиратах) методом ПЦР |
4048 |
Врач-терапевт, врач-педиатр, фельдшер (самостоятельный прием), врач клинической лабораторной диагностики |
600,5 |
7.15 |
Молекулярно-биологическое исследование мокроты (индуцированной мокроты, фаринго-трахеальных аспиратов) на коронавирус ТОРС (SARS-CoV) |
4049 |
Врач-терапевт, врач-педиатр, фельдшер (самостоятельный прием), врач клинической лабораторной диагностики |
600,5 |
7.16 |
Определение РНК коронавируса ТОРС (SARS-CoV) в мокроте (индуцированной мокроте, фаринго-трахеальных аспиратах) методом ПЦР |
4050 |
Врач-терапевт, врач-педиатр, фельдшер (самостоятельный прием), врач клинической лабораторной диагностики |
600,5 |
7.17 |
Молекулярно-биологическое исследование мокроты (индуцированной мокроты, фаринго-трахеальных аспиратов) на коронавирус БВРС (MERS-CoV) |
4051 |
Врач-терапевт, врач-педиатр, фельдшер (самостоятельный прием), врач клинической лабораторной диагностики |
600,5 |
7.18 |
Определение РНК коронавируса БВРС (MERS-CoV) в мокроте (индуцированной мокроте, фаринго-трахеальных аспиратах) методом ПЦР |
4052 |
Врач-терапевт, врач-педиатр, фельдшер (самостоятельный прием), врач клинической лабораторной диагностики |
600,5 |
7.19 |
Молекулярно-биологическое исследование бронхоальвеолярной лаважной жидкости на коронавирус ТОРС (SARS-CoV) |
4053 |
Врач-терапевт, врач-педиатр, фельдшер (самостоятельный прием), врач клинической лабораторной диагностики |
600,5 |
7.20 |
Определение РНК коронавируса ТОРС (SARS-CoV) в бронхоальвеолярной лаважной жидкости методом ПЦР |
4054 |
Врач-терапевт, врач-педиатр, фельдшер (самостоятельный прием), врач клинической лабораторной диагностики |
600,5 |
7.21 |
Молекулярно-биологическое исследование бронхоальвеолярной лаважной жидкости на коронавирус БВРС (MERS-CoV) |
4055 |
Врач-терапевт, врач-педиатр, фельдшер (самостоятельный прием), врач клинической лабораторной диагностики |
600,5 |
7.22 |
Определение РНК коронавируса БВРС (MERS-CoV) в бронхоальвеолярной лаважной жидкости методом ПЦР |
4056 |
Врач-терапевт, врач-педиатр, фельдшер (самостоятельный прием), врач клинической лабораторной диагностики |
600,5 |
8 |
Гемодиализ интермиттирующий высокопоточный |
62 |
Врач-нефролог |
6246,45 <**> |
9 |
Перитонеальный диализ |
86 |
Врач - анестезиолог-реаниматолог, врач-нефролог |
4722,00 |
10 |
Сцинтиграфия |
70 |
Врач-радиолог |
1800,00 |
11 |
Комплексное исследование для диагностики фоновых и предраковых заболеваний репродуктивных органов у женщины |
72 |
Врач - акушер-гинеколог |
3724,00 |
12 |
Маммография (с использованием передвижного маммографа) |
74 |
Врач-рентгенолог |
1350,00 |
13 |
Маммография |
98 |
Врач-рентгенолог |
854,00 |
14 |
Дистанционное наблюдение за показателями артериального давления при подборе лекарственной терапии |
78 |
Врач функциональной диагностики |
612,43 |
15 |
Дистанционное наблюдение за показателями артериального давления при контроле эффективности лекарственной терапии |
79 |
Врач функциональной диагностики |
306,33 |
16 |
Позитронно-эмиссионная компьютерная томография (ПЭТ-КТ) |
93 |
Врач-радиолог |
35484,83 |
17 |
Рентгеноденситометрия одной области |
4028 |
Врач-рентгенолог |
401,50 |
18 |
Рентгеноденситометрия двух областей |
4029 |
Врач-рентгенолог |
730,00 |
* - уровневый коэффициент не
распространяется на тариф.
** - тариф рассчитан исходя из
базового тарифа 5949,00 рубля и
коэффициента относительной
затратоемкости 1,05".
Приложение N 14
к Дополнительному соглашению
от 25.03.2022 N 2
к Тарифному соглашению
в сфере обязательного медицинского
страхования
на территории Ивановской области на 2022
год
"Приложение N 24
к Тарифному соглашению
в сфере обязательного медицинского
страхования
на территории Ивановской области на 2022
год
ТАРИФЫ НА 1 СЛУЧАЙ ЛЕЧЕНИЯ В УСЛОВИЯХ
ДНЕВНОГО СТАЦИОНАРА С УЧЕТОМ УРОВНЕЙ
ОРГАНИЗАЦИИ МЕДИЦИНСКОЙ ПОМОЩИ С 01.01.2022
Средний норматив финансовых затрат на единицу объема предоставления медицинской помощи (НФЗ) |
23192,70 |
Коэффициент приведения (КП) |
0,60 |
Размер средней стоимости законченного случая лечения (базовая ставка) (БС) |
13915,62 |
N п/п |
Код |
Наименование КСГ |
Коэффициент относительной затратоемкости КСГ (КЗксг) |
Доля заработной платы и прочих расходов в структуре стоимости КСГ (Дзп) |
Стоимость законченного случая госпитализации (ССксг) | ||||||||||||
|
|
|
|
|
подуровни | ||||||||||||
|
|
|
|
|
1.1 |
1.2 |
2.1 |
2.2 |
2.3 | ||||||||
1 |
2 |
3 |
4 |
5 |
6 |
7 |
8 |
9 |
10 | ||||||||
1 |
ds02.001 |
Осложнения беременности, родов, послеродового периода |
0,83 |
- |
7391,98 |
7484,38 |
8315,97 |
8408,37 |
9239,97 | ||||||||
2 |
ds02.002 |
Болезни женских половых органов |
0,66 |
- |
5877,96 |
5951,43 |
6612,70 |
6686,18 |
7347,45 | ||||||||
3 |
ds02.003 |
Операции на женских половых органах (уровень 1) |
0,71 |
- |
6323,26 |
6402,30 |
7113,66 |
7192,71 |
7904,07 | ||||||||
4 |
ds02.004 |
Операции на женских половых органах (уровень 2) |
1,06 |
- |
9440,36 |
9558,36 |
10620,40 |
10738,41 |
11800,45 | ||||||||
5 |
ds02.006 |
Искусственное прерывание беременности (аборт) |
0,33 |
- |
2938,98 |
2975,72 |
3306,35 |
3343,09 |
3673,72 | ||||||||
6 |
ds02.007 |
Аборт медикаментозный |
0,38 |
- |
3384,28 |
3426,58 |
3807,31 |
3849,62 |
4230,35 | ||||||||
7 |
ds02.008 |
Экстракорпоральное оплодотворение (уровень 1) |
1,70 |
- |
21035,56 |
21298,51 |
23665,01 |
23927,95 |
26294,45 | ||||||||
8 |
ds02.009 |
Экстракорпоральное оплодотворение (уровень 2) |
5,38 |
- |
66571,36 |
67403,51 |
74892,78 |
75724,93 |
83214,20 | ||||||||
9 |
ds02.010 |
Экстракорпоральное оплодотворение (уровень 3) |
8,96 |
- |
110869,78 |
112255,65 |
124728,50 |
126114,38 |
138587,23 | ||||||||
10 |
ds02.011 |
Экстракорпоральное оплодотворение (уровень 4) |
9,86 |
- |
122006,25 |
123531,33 |
137257,04 |
138782,11 |
152507,82 | ||||||||
11 |
ds03.001 |
Нарушения с вовлечением иммунного механизма |
0,98 |
- |
8727,88 |
8836,98 |
9818,86 |
9927,96 |
10909,85 | ||||||||
12 |
ds04.001 |
Болезни органов пищеварения, взрослые |
0,89 |
- |
7926,34 |
8025,42 |
8917,13 |
9016,21 |
9907,92 | ||||||||
13 |
ds05.001 |
Болезни крови (уровень 1) |
0,91 |
- |
8104,46 |
8205,76 |
9117,51 |
9218,82 |
10130,57 | ||||||||
14 |
ds05.002 |
Болезни крови (уровень 2) |
2,41 |
- |
21463,45 |
21731,75 |
24146,38 |
24414,68 |
26829,32 | ||||||||
15 |
ds05.005 |
Лекарственная терапия при доброкачественных заболеваниях крови и пузырном заносе |
3,73 |
- |
33219,37 |
33634,61 |
37371,79 |
37787,03 |
41524,21 | ||||||||
16 |
ds06.002 |
Лечение дерматозов с применением наружной терапии |
0,35 |
97,44% |
3161,99 |
3199,95 |
3541,65 |
3579,61 |
3921,31 | ||||||||
17 |
ds06.003 |
Лечение дерматозов с применением наружной терапии, физиотерапии, плазмафереза |
0,97 |
96,30% |
8818,61 |
8922,60 |
9858,51 |
9962,50 |
10898,41 | ||||||||
18 |
ds06.004 |
Лечение дерматозов с применением наружной и системной терапии |
0,97 |
98,27% |
8722,88 |
8829,00 |
9784,05 |
9890,17 |
10845,22 | ||||||||
19 |
ds06.005 |
Лечение дерматозов с применением наружной терапии и фототерапии |
1,95 |
98,20% |
17542,53 |
17755,71 |
19674,29 |
19887,47 |
21806,05 | ||||||||
20 |
ds07.001 |
Болезни системы кровообращения, дети |
0,98 |
- |
8727,88 |
8836,98 |
9818,86 |
9927,96 |
10909,85 | ||||||||
21 |
ds08.001 |
Лекарственная терапия при злокачественных новообразованиях других локализаций (кроме лимфоидной и кроветворной тканей), дети |
7,95 |
- |
88503,34 |
89609,63 |
99566,26 |
100672,55 |
110629,18 | ||||||||
22 |
ds08.002 |
Лекарственная терапия при остром лейкозе, дети |
14,23 |
- |
158415,42 |
160395,61 |
178217,35 |
180197,54 |
198019,27 | ||||||||
23 |
ds08.003 |
Лекарственная терапия при других злокачественных новообразованиях лимфоидной и кроветворной тканей, дети |
10,34 |
- |
115110,01 |
116548,88 |
129498,76 |
130937,63 |
143887,51 | ||||||||
24 |
ds09.001 |
Операции на мужских половых органах, дети |
1,38 |
- |
12290,28 |
12443,90 |
13826,56 |
13980,19 |
15362,84 | ||||||||
25 |
ds09.002 |
Операции на почке и мочевыделительной системе, дети |
2,09 |
- |
18613,53 |
18846,20 |
20940,22 |
21172,89 |
23266,92 | ||||||||
26 |
ds10.001 |
Операции по поводу грыж, дети |
1,60 |
- |
14249,59 |
14427,71 |
16030,79 |
16208,91 |
17811,99 | ||||||||
27 |
ds11.001 |
Сахарный диабет, дети |
1,49 |
- |
13269,94 |
13435,81 |
14928,68 |
15094,55 |
16587,42 | ||||||||
28 |
ds11.002 |
Другие болезни эндокринной системы, дети |
1,36 |
- |
12112,16 |
12263,56 |
13626,18 |
13777,58 |
15140,19 | ||||||||
29 |
ds12.001 |
Вирусный гепатит B хронический, лекарственная терапия |
2,75 |
- |
24491,49 |
24797,63 |
27552,93 |
27859,07 |
30614,36 | ||||||||
30 |
ds12.005 |
Другие вирусные гепатиты |
0,97 |
- |
8638,82 |
8746,80 |
9718,67 |
9826,65 |
10798,52 | ||||||||
31 |
ds12.006 |
Инфекционные и паразитарные болезни, взрослые |
1,16 |
- |
10330,96 |
10460,09 |
11622,33 |
11751,46 |
12913,70 | ||||||||
32 |
ds12.007 |
Инфекционные и паразитарные болезни, дети |
0,97 |
- |
8638,82 |
8746,80 |
9718,67 |
9826,65 |
10798,52 | ||||||||
33 |
ds12.008 |
Респираторные инфекции верхних дыхательных путей, взрослые |
0,52 |
- |
4631,12 |
4689,01 |
5210,01 |
5267,90 |
5788,90 | ||||||||
34 |
ds12.009 |
Респираторные инфекции верхних дыхательных путей, дети |
0,65 |
- |
5788,90 |
5861,26 |
6512,51 |
6584,87 |
7236,12 | ||||||||
35 |
ds12.010 |
Лечение хронического вирусного гепатита C (уровень 1) |
4,90 |
- |
60004,15 |
60754,21 |
67504,67 |
68254,72 |
75005,19 | ||||||||
36 |
ds12.011 |
Лечение хронического вирусного гепатита C (уровень 2) |
22,20 |
- |
271855,55 |
275253,75 |
305837,50 |
309235,69 |
339819,44 | ||||||||
37 |
ds13.001 |
Болезни системы кровообращения, взрослые |
0,80 |
- |
7124,80 |
7213,86 |
8015,40 |
8104,46 |
8906,00 | ||||||||
38 |
ds13.002 |
Болезни системы кровообращения с применением инвазивных методов |
3,39 |
- |
30191,33 |
30568,72 |
33965,25 |
34342,64 |
37739,16 | ||||||||
39 |
ds13.003 |
Лечение наследственных атерогенных нарушений липидного обмена с применением методов афереза (липидная фильтрация, афинная и иммуносорбция липопротеидов) в случае отсутствия эффективности базисной терапии |
5,07 |
- |
45153,40 |
45717,82 |
50797,58 |
51362,00 |
56441,75 | ||||||||
40 |
ds14.001 |
Операции на кишечнике и анальной области (уровень 1) |
1,53 |
- |
13626,18 |
13796,50 |
15329,45 |
15499,77 |
17032,72 | ||||||||
41 |
ds14.002 |
Операции на кишечнике и анальной области (уровень 2) |
3,17 |
- |
28232,01 |
28584,91 |
31761,01 |
32113,91 |
35290,01 | ||||||||
42 |
ds15.001 |
Болезни нервной системы, хромосомные аномалии |
0,98 |
- |
8727,88 |
8836,98 |
9818,86 |
9927,96 |
10909,85 | ||||||||
43 |
ds15.002 |
Неврологические заболевания, лечение с применением ботулотоксина (уровень 1) |
1,75 |
- |
15585,49 |
15780,31 |
17533,68 |
17728,50 |
19481,87 | ||||||||
44 |
ds15.003 |
Неврологические заболевания, лечение с применением ботулотоксина (уровень 2) |
2,89 |
- |
25738,33 |
26060,06 |
28955,62 |
29277,35 |
32172,91 | ||||||||
45 |
ds16.001 |
Болезни и травмы позвоночника, спинного мозга, последствия внутричерепной травмы, сотрясение головного мозга |
0,94 |
- |
8371,64 |
8476,28 |
9418,09 |
9522,74 |
10464,55 | ||||||||
46 |
ds16.002 |
Операции на периферической нервной системе |
2,57 |
- |
22888,41 |
23174,52 |
25749,46 |
26035,57 |
28610,51 | ||||||||
47 |
ds17.001 |
Нарушения, возникшие в перинатальном периоде |
1,79 |
- |
15941,73 |
16141,01 |
17934,45 |
18133,72 |
19927,17 | ||||||||
48 |
ds18.001 |
Гломерулярные болезни, почечная недостаточность (без диализа) |
1,60 |
- |
14249,59 |
14427,71 |
16030,79 |
16208,91 |
17811,99 | ||||||||
49 |
ds18.002 |
Лекарственная терапия у пациентов, получающих диализ |
3,25 |
- |
28944,49 |
29306,30 |
32562,55 |
32924,36 |
36180,61 | ||||||||
50 |
ds18.003 |
Формирование, имплантация, удаление, смена доступа для диализа |
3,18 |
- |
28321,07 |
28675,08 |
31861,20 |
32215,22 |
35401,34 | ||||||||
51 |
ds18.004 |
Другие болезни почек |
0,80 |
- |
7124,80 |
7213,86 |
8015,40 |
8104,46 |
8906,00 | ||||||||
52 |
ds19.016 |
Операции при злокачественных новообразованиях кожи (уровень 1) |
2,35 |
- |
26161,37 |
26488,38 |
29431,54 |
29758,55 |
32701,71 | ||||||||
53 |
ds19.017 |
Операции при злокачественных новообразованиях кожи (уровень 2) |
2,48 |
- |
27608,59 |
27953,70 |
31059,66 |
31404,77 |
34510,74 | ||||||||
54 |
ds19.028 |
Установка, замена порт-системы (катетера) для лекарственной терапии злокачественных новообразований |
2,17 |
- |
24157,52 |
24459,49 |
27177,21 |
27479,17 |
30196,90 | ||||||||
55 |
ds19.029 |
Госпитализация в диагностических целях с постановкой (подтверждением) диагноза злокачественного новообразования с использованием ПЭТ-КТ |
2,55 |
- |
28387,86 |
28742,71 |
31936,35 |
32291,20 |
35484,83 | ||||||||
56 |
ds19.033 |
Госпитализация в диагностических целях с проведением биопсии и последующим проведением молекулярно-генетического и (или) иммуногистохимического исследования |
2,44 |
- |
27163,29 |
27502,83 |
30558,70 |
30898,24 |
33954,11 | ||||||||
57 |
ds19.080 |
Лекарственная терапия при злокачественных новообразованиях (кроме лимфоидной и кроветворной тканей), взрослые (уровень 1) |
0,49 |
19,12% |
6818,65 |
6818,65 |
6818,65 |
6818,65 |
6818,65 | ||||||||
58 |
ds19.081 |
Лекарственная терапия при злокачественных новообразованиях (кроме лимфоидной и кроветворной тканей), взрослые (уровень 2) |
1,41 |
8,79% |
19621,02 |
19621,02 |
19621,02 |
19621,02 |
19621,02 | ||||||||
59 |
ds19.082 |
Лекарственная терапия при злокачественных новообразованиях (кроме лимфоидной и кроветворной тканей), взрослые (уровень 3) |
2,03 |
25,89% |
28248,71 |
28248,71 |
28248,71 |
28248,71 |
28248,71 | ||||||||
60 |
ds19.083 |
Лекарственная терапия при злокачественных новообразованиях (кроме лимфоидной и кроветворной тканей), взрослые (уровень 4) |
2,63 |
23,50% |
36598,08 |
36598,08 |
36598,08 |
36598,08 |
36598,08 | ||||||||
61 |
ds19.084 |
Лекарственная терапия при злокачественных новообразованиях (кроме лимфоидной и кроветворной тканей), взрослые (уровень 5) |
4,19 |
3,14% |
58306,45 |
58306,45 |
58306,45 |
58306,45 |
58306,45 | ||||||||
62 |
ds19.085 |
Лекарственная терапия при злокачественных новообразованиях (кроме лимфоидной и кроветворной тканей), взрослые (уровень 6) |
4,93 |
2,04% |
68604,01 |
68604,01 |
68604,01 |
68604,01 |
68604,01 | ||||||||
63 |
ds19.086 |
Лекарственная терапия при злокачественных новообразованиях (кроме лимфоидной и кроветворной тканей), взрослые (уровень 7) |
5,87 |
6,59% |
81684,69 |
81684,69 |
81684,69 |
81684,69 |
81684,69 | ||||||||
64 |
ds19.087 |
Лекарственная терапия при злокачественных новообразованиях (кроме лимфоидной и кроветворной тканей), взрослые (уровень 8) |
7,66 |
11,06% |
106593,65 |
106593,65 |
106593,65 |
106593,65 |
106593,65 | ||||||||
65 |
ds19.088 |
Лекарственная терапия при злокачественных новообразованиях (кроме лимфоидной и кроветворной тканей), взрослые (уровень 9) |
8,57 |
15,08% |
119256,86 |
119256,86 |
119256,86 |
119256,86 |
119256,86 | ||||||||
66 |
ds19.089 |
Лекарственная терапия при злокачественных новообразованиях (кроме лимфоидной и кроветворной тканей), взрослые (уровень 10) |
9,65 |
14,91% |
134285,73 |
134285,73 |
134285,73 |
134285,73 |
134285,73 | ||||||||
67 |
ds19.090 |
Лекарственная терапия при злокачественных новообразованиях (кроме лимфоидной и кроветворной тканей), взрослые (уровень 11) |
10,57 |
22,35% |
147088,10 |
147088,10 |
147088,10 |
147088,10 |
147088,10 | ||||||||
68 |
ds19.091 |
Лекарственная терапия при злокачественных новообразованиях (кроме лимфоидной и кроветворной тканей), взрослые (уровень 12) |
13,50 |
9,99% |
187860,87 |
187860,87 |
187860,87 |
187860,87 |
187860,87 | ||||||||
69 |
ds19.092 |
Лекарственная терапия при злокачественных новообразованиях (кроме лимфоидной и кроветворной тканей), взрослые (уровень 13) |
16,03 |
8,49% |
223067,39 |
223067,39 |
223067,39 |
223067,39 |
223067,39 | ||||||||
70 |
ds19.093 |
Лекарственная терапия при злокачественных новообразованиях (кроме лимфоидной и кроветворной тканей), взрослые (уровень 14) |
20,54 |
5,64% |
285826,83 |
285826,83 |
285826,83 |
285826,83 |
285826,83 | ||||||||
71 |
ds19.094 |
Лекарственная терапия при злокачественных новообразованиях (кроме лимфоидной и кроветворной тканей), взрослые (уровень 15) |
27,22 |
2,82% |
378783,18 |
378783,18 |
378783,18 |
378783,18 |
378783,18 | ||||||||
72 |
ds19.095 |
Лекарственная терапия при злокачественных новообразованиях (кроме лимфоидной и кроветворной тканей), взрослые (уровень 16) |
34,01 |
5,84% |
473270,24 |
473270,24 |
473270,24 |
473270,24 |
473270,24 | ||||||||
73 |
ds19.096 |
Лекарственная терапия при злокачественных новообразованиях (кроме лимфоидной и кроветворной тканей), взрослые (уровень 17) |
56,65 |
0,23% |
788319,87 |
788319,87 |
788319,87 |
788319,87 |
788319,87 | ||||||||
74 |
ds19.050 |
Лучевая терапия (уровень 1) |
0,74 |
- |
8238,05 |
8341,02 |
9267,80 |
9370,78 |
10297,56 | ||||||||
75 |
ds19.051 |
Лучевая терапия (уровень 2) |
1,44 |
- |
16030,79 |
16231,18 |
18034,64 |
18235,03 |
20038,49 | ||||||||
76 |
ds19.052 |
Лучевая терапия (уровень 3) |
2,22 |
- |
24714,14 |
25023,07 |
27803,41 |
28112,34 |
30892,68 | ||||||||
77 |
ds19.053 |
Лучевая терапия (уровень 4) |
2,93 |
- |
32618,21 |
33025,94 |
36695,49 |
37103,22 |
40772,77 | ||||||||
78 |
ds19.054 |
Лучевая терапия (уровень 5) |
3,14 |
- |
34956,04 |
35392,99 |
39325,54 |
39762,49 |
43695,05 | ||||||||
79 |
ds19.055 |
Лучевая терапия (уровень 6) |
3,80 |
- |
42303,48 |
42832,28 |
47591,42 |
48120,21 |
52879,36 | ||||||||
80 |
ds19.056 |
Лучевая терапия (уровень 7) |
4,70 |
- |
52322,73 |
52976,77 |
58863,07 |
59517,11 |
65403,41 | ||||||||
81 |
ds19.057 |
Лучевая терапия (уровень 8) |
26,65 |
- |
296681,02 |
300389,53 |
333766,15 |
337474,66 |
370851,27 | ||||||||
82 |
ds19.058 |
Лучевая терапия в сочетании с лекарственной терапией (уровень 1) |
4,09 |
78,38% |
47992,91 |
48439,01 |
52453,90 |
52900,00 |
56914,89 | ||||||||
83 |
ds19.060 |
Лучевая терапия в сочетании с лекарственной терапией (уровень 3) |
4,96 |
82,64% |
57613,61 |
58184,00 |
63317,54 |
63887,93 |
69021,48 | ||||||||
84 |
ds19.061 |
Лучевая терапия в сочетании с лекарственной терапией (уровень 4) |
13,27 |
31,86% |
172893,72 |
173482,05 |
178777,00 |
179365,33 |
184660,28 | ||||||||
85 |
ds19.062 |
Лучевая терапия в сочетании с лекарственной терапией (уровень 5) |
25,33 |
16,69% |
340716,78 |
341305,08 |
346599,72 |
347188,01 |
352482,65 | ||||||||
86 |
ds19.063 |
ЗНО лимфоидной и кроветворной тканей без специального противоопухолевого лечения (уровень 1) |
0,15 |
- |
1669,87 |
1690,75 |
1878,61 |
1899,48 |
2087,34 | ||||||||
87 |
ds19.064 |
ЗНО лимфоидной и кроветворной тканей без специального противоопухолевого лечения (уровень 2) |
0,69 |
- |
7681,42 |
7777,44 |
8641,60 |
8737,62 |
9601,78 | ||||||||
88 |
ds19.065 |
ЗНО лимфоидной и кроветворной тканей без специального противоопухолевого лечения (уровень 3) |
1,57 |
- |
17478,02 |
17696,49 |
19662,77 |
19881,25 |
21847,52 | ||||||||
89 |
ds19.066 |
ЗНО лимфоидной и кроветворной тканей без специального противоопухолевого лечения (уровень 4) |
2,82 |
- |
31393,64 |
31786,06 |
35317,84 |
35710,26 |
39242,05 | ||||||||
90 |
ds19.067 |
ЗНО лимфоидной и кроветворной тканей, лекарственная терапия, взрослые (уровень 1) |
0,31 |
51,06% |
3873,31 |
3895,34 |
4093,58 |
4115,60 |
4313,84 | ||||||||
91 |
ds19.068 |
ЗНО лимфоидной и кроветворной тканей, лекарственная терапия, взрослые (уровень 2) |
1,36 |
51,06% |
16992,60 |
17089,23 |
17958,92 |
18055,55 |
18925,24 | ||||||||
92 |
ds19.069 |
ЗНО лимфоидной и кроветворной тканей, лекарственная терапия, взрослые (уровень 3) |
3,06 |
51,06% |
38233,34 |
38450,77 |
40407,57 |
40624,99 |
42581,80 | ||||||||
93 |
ds19.070 |
ЗНО лимфоидной и кроветворной тканей, лекарственная терапия, взрослые (уровень 4) |
5,66 |
51,06% |
70719,19 |
71121,35 |
74740,80 |
75142,96 |
78762,41 | ||||||||
94 |
ds19.071 |
ЗНО лимфоидной и кроветворной тканей, лекарственная терапия с применением отдельных препаратов (по перечню), взрослые (уровень 1) |
4,18 |
4,13% |
57686,83 |
57710,85 |
57927,06 |
57951,08 |
58167,29 | ||||||||
95 |
ds19.072 |
ЗНО лимфоидной и кроветворной тканей, лекарственная терапия с применением отдельных препаратов (по перечню), взрослые (уровень 2) |
5,13 |
12,75% |
69566,76 |
69657,78 |
70476,94 |
70567,96 |
71387,13 | ||||||||
96 |
ds19.073 |
ЗНО лимфоидной и кроветворной тканей, лекарственная терапия с применением отдельных препаратов (по перечню), взрослые (уровень 3) |
6,88 |
22,53% |
91425,45 |
91641,15 |
93582,46 |
93798,16 |
95739,47 | ||||||||
97 |
ds19.074 |
ЗНО лимфоидной и кроветворной тканей, лекарственная терапия с применением отдельных препаратов (по перечню), взрослые (уровень 4) |
10,03 |
31,49% |
130783,32 |
131222,84 |
135178,49 |
135618,01 |
139573,67 | ||||||||
98 |
ds19.075 |
ЗНО лимфоидной и кроветворной тканей, лекарственная терапия с применением отдельных препаратов (по перечню), взрослые (уровень 5) |
34,21 |
0,42% |
475653,48 |
475673,47 |
475853,42 |
475873,41 |
476053,36 | ||||||||
99 |
ds19.076 |
ЗНО лимфоидной и кроветворной тканей, лекарственная терапия с применением отдельных препаратов (по перечню), взрослые (уровень 6) |
35,00 |
1,56% |
485527,11 |
485603,09 |
486286,91 |
486362,89 |
487046,70 | ||||||||
100 |
ds19.077 |
ЗНО лимфоидной и кроветворной тканей, лекарственная терапия с применением отдельных препаратов (по перечню), взрослые (уровень 7) |
37,10 |
4,36% |
511767,63 |
511992,73 |
514018,57 |
514243,66 |
516269,50 | ||||||||
101 |
ds19.078 |
ЗНО лимфоидной и кроветворной тканей, лекарственная терапия с применением отдельных препаратов (по перечню), взрослые (уровень 8) |
39,91 |
7,65% |
546875,20 |
547300,06 |
551123,80 |
551548,66 |
555372,39 | ||||||||
102 |
ds19.079 |
Лучевые повреждения |
2,62 |
- |
29167,14 |
29531,73 |
32813,03 |
33177,62 |
36458,92 | ||||||||
103 |
ds20.001 |
Болезни уха, горла, носа |
0,74 |
- |
6590,44 |
6672,82 |
7414,24 |
7496,62 |
8238,05 | ||||||||
104 |
ds20.002 |
Операции на органе слуха, придаточных пазухах носа и верхних дыхательных путях (уровень 1) |
1,12 |
- |
9974,72 |
10099,40 |
11221,56 |
11346,24 |
12468,40 | ||||||||
105 |
ds20.003 |
Операции на органе слуха, придаточных пазухах носа и верхних дыхательных путях (уровень 2) |
1,66 |
- |
14783,95 |
14968,75 |
16631,95 |
16816,75 |
18479,94 | ||||||||
106 |
ds20.004 |
Операции на органе слуха, придаточных пазухах носа и верхних дыхательных путях (уровень 3) |
2,00 |
- |
17811,99 |
18034,64 |
20038,49 |
20261,14 |
22264,99 | ||||||||
107 |
ds20.005 |
Операции на органе слуха, придаточных пазухах носа и верхних дыхательных путях (уровень 4) |
2,46 |
- |
21908,75 |
22182,61 |
24647,35 |
24921,21 |
27385,94 | ||||||||
108 |
ds20.006 |
Замена речевого процессора |
51,86 |
0,23% |
721066,52 |
721079,79 |
721199,30 |
721212,58 |
721332,09 | ||||||||
109 |
ds21.001 |
Болезни и травмы глаза |
0,39 |
- |
3473,34 |
3516,76 |
3907,51 |
3950,92 |
4341,67 | ||||||||
110 |
ds21.002 |
Операции на органе зрения (уровень 1) |
0,67 |
- |
5967,02 |
6041,61 |
6712,90 |
6787,48 |
7458,77 | ||||||||
111 |
ds21.003 |
Операции на органе зрения (уровень 2) |
1,09 |
- |
9707,54 |
9828,88 |
10920,98 |
11042,32 |
12134,42 | ||||||||
112 |
ds21.004 |
Операции на органе зрения (уровень 3) |
1,62 |
- |
14427,71 |
14608,06 |
16231,18 |
16411,53 |
18034,64 | ||||||||
113 |
ds21.005 |
Операции на органе зрения (уровень 4) |
2,01 |
- |
17901,05 |
18124,82 |
20138,69 |
20362,45 |
22376,32 | ||||||||
114 |
ds21.006 |
Операции на органе зрения (уровень 5) |
3,50 |
- |
31170,99 |
31560,63 |
35067,36 |
35457,00 |
38963,74 | ||||||||
115 |
ds22.001 |
Системные поражения соединительной ткани, артропатии, спондилопатии, дети |
2,31 |
- |
20572,85 |
20830,01 |
23144,46 |
23401,62 |
25716,07 | ||||||||
116 |
ds22.002 |
Болезни органов пищеварения, дети |
0,89 |
- |
7926,34 |
8025,42 |
8917,13 |
9016,21 |
9907,92 | ||||||||
117 |
ds23.001 |
Болезни органов дыхания |
0,90 |
- |
8015,40 |
8115,59 |
9017,32 |
9117,51 |
10019,25 | ||||||||
118 |
ds24.001 |
Системные поражения соединительной ткани, артропатии, спондилопатии, взрослые |
1,46 |
- |
13002,76 |
13165,29 |
14628,10 |
14790,63 |
16253,44 | ||||||||
119 |
ds25.001 |
Диагностическое обследование сердечно-сосудистой системы |
1,84 |
- |
16387,03 |
16591,87 |
18435,41 |
18640,25 |
20483,79 | ||||||||
120 |
ds25.002 |
Операции на сосудах (уровень 1) |
2,18 |
- |
19415,07 |
19657,76 |
21841,96 |
22084,65 |
24268,84 | ||||||||
121 |
ds25.003 |
Операции на сосудах (уровень 2) |
4,31 |
- |
38384,85 |
38864,66 |
43182,95 |
43662,76 |
47981,06 | ||||||||
122 |
ds26.001 |
Болезни полости рта, слюнных желез и челюстей, врожденные аномалии лица и шеи, дети |
0,98 |
- |
15273,78 |
15464,71 |
17183,01 |
17373,93 |
19092,23 | ||||||||
123 |
ds27.001 |
Отравления и другие воздействия внешних причин |
0,74 |
- |
6590,44 |
6672,82 |
7414,24 |
7496,62 |
8238,05 | ||||||||
124 |
ds28.001 |
Операции на нижних дыхательных путях и легочной ткани, органах средостения |
1,32 |
- |
11755,92 |
11902,86 |
13225,41 |
13372,35 |
14694,89 | ||||||||
125 |
ds29.001 |
Операции на костно-мышечной системе и суставах (уровень 1) |
1,44 |
- |
12824,64 |
12984,94 |
14427,71 |
14588,02 |
16030,79 |
||||||||
126 |
ds29.002 |
Операции на костно-мышечной системе и суставах (уровень 2) |
1,69 |
- |
15051,13 |
15239,27 |
16932,53 |
17120,67 |
18813,92 |
||||||||
127 |
ds29.003 |
Операции на костно-мышечной системе и суставах (уровень 3) |
2,49 |
- |
22175,93 |
22453,13 |
24947,92 |
25225,12 |
27719,92 |
||||||||
128 |
ds29.004 |
Заболевания опорно-двигательного аппарата, травмы, болезни мягких тканей |
1,05 |
- |
9351,30 |
9468,19 |
10520,21 |
10637,10 |
11689,12 |
||||||||
129 |
ds30.001 |
Болезни, врожденные аномалии, повреждения мочевой системы и мужских половых органов |
0,80 |
- |
7124,80 |
7213,86 |
8015,40 |
8104,46 |
8906,00 |
||||||||
130 |
ds30.002 |
Операции на мужских половых органах, взрослые (уровень 1) |
2,18 |
- |
19415,07 |
19657,76 |
21841,96 |
22084,65 |
24268,84 |
||||||||
131 |
ds30.003 |
Операции на мужских половых органах, взрослые (уровень 2) |
2,58 |
- |
22977,47 |
23264,69 |
25849,66 |
26136,87 |
28721,84 |
||||||||
132 |
ds30.004 |
Операции на почке и мочевыделительной системе, взрослые (уровень 1) |
1,97 |
- |
17544,81 |
17764,12 |
19737,92 |
19957,23 |
21931,02 |
||||||||
133 |
ds30.005 |
Операции на почке и мочевыделительной системе, взрослые (уровень 2) |
2,04 |
- |
18168,23 |
18395,34 |
20439,26 |
20666,37 |
22710,29 |
||||||||
134 |
ds30.006 |
Операции на почке и мочевыделительной системе, взрослые (уровень 3) |
2,95 |
- |
26272,69 |
26601,10 |
29556,78 |
29885,19 |
32840,86 |
||||||||
135 |
ds31.001 |
Болезни, новообразования молочной железы |
0,89 |
- |
7926,34 |
8025,42 |
8917,13 |
9016,21 |
9907,92 |
||||||||
136 |
ds31.002 |
Операции на коже, подкожной клетчатке, придатках кожи (уровень 1) |
0,75 |
- |
6679,50 |
6762,99 |
7514,43 |
7597,93 |
8349,37 |
||||||||
137 |
ds31.003 |
Операции на коже, подкожной клетчатке, придатках кожи (уровень 2) |
1,00 |
- |
8906,00 |
9017,32 |
10019,25 |
10130,57 |
11132,50 |
||||||||
138 |
ds31.004 |
Операции на коже, подкожной клетчатке, придатках кожи (уровень 3) |
4,34 |
- |
38652,03 |
39135,18 |
43483,53 |
43966,68 |
48315,03 |
||||||||
139 |
ds31.005 |
Операции на органах кроветворения и иммунной системы |
1,29 |
- |
11488,74 |
11632,35 |
12924,83 |
13068,44 |
14360,92 |
||||||||
140 |
ds31.006 |
Операции на молочной железе |
2,60 |
- |
23155,59 |
23445,04 |
26050,04 |
26339,49 |
28944,49 |
||||||||
141 |
ds32.001 |
Операции на пищеводе, желудке, двенадцатиперстной кишке (уровень 1) |
2,11 |
- |
18791,65 |
19026,55 |
21140,61 |
21375,51 |
23489,57 |
||||||||
142 |
ds32.002 |
Операции на пищеводе, желудке, двенадцатиперстной кишке (уровень 2) |
3,55 |
- |
31616,29 |
32011,49 |
35568,32 |
35963,53 |
39520,36 |
||||||||
143 |
ds32.003 |
Операции по поводу грыж, взрослые (уровень 1) |
1,57 |
- |
13982,41 |
14157,20 |
15730,22 |
15905,00 |
17478,02 |
||||||||
144 |
ds32.004 |
Операции по поводу грыж, взрослые (уровень 2) |
2,26 |
- |
20127,55 |
20379,15 |
22643,50 |
22895,09 |
25159,44 |
||||||||
145 |
ds32.005 |
Операции по поводу грыж, взрослые (уровень 3) |
3,24 |
- |
28855,43 |
29216,12 |
32462,36 |
32823,05 |
36069,29 |
||||||||
146 |
ds32.006 |
Операции на желчном пузыре и желчевыводящих путях |
1,70 |
- |
15140,19 |
15329,45 |
17032,72 |
17221,97 |
18925,24 |
||||||||
147 |
ds32.007 |
Другие операции на органах брюшной полости (уровень 1) |
2,06 |
- |
18346,35 |
18575,68 |
20639,65 |
20868,98 |
22932,94 |
||||||||
148 |
ds32.008 |
Другие операции на органах брюшной полости (уровень 2) |
2,17 |
- |
19326,01 |
19567,59 |
21741,76 |
21983,34 |
24157,52 |
||||||||
149 |
ds33.001 |
Ожоги и отморожения |
1,10 |
- |
9796,60 |
9919,05 |
11021,17 |
11143,63 |
12245,75 |
||||||||
150 |
ds34.001 |
Болезни полости рта, слюнных желез и челюстей, врожденные аномалии лица и шеи, взрослые |
0,88 |
- |
7837,28 |
7935,24 |
8816,94 |
8914,90 |
9796,60 |
||||||||
151 |
ds34.002 |
Операции на органах полости рта (уровень 1) |
0,92 |
- |
8193,52 |
8295,94 |
9217,71 |
9320,13 |
10241,90 |
||||||||
152 |
ds34.003 |
Операции на органах полости рта (уровень 2) |
1,56 |
- |
13893,36 |
14067,02 |
15630,02 |
15803,69 |
17366,69 |
||||||||
153 |
ds35.001 |
Сахарный диабет, взрослые |
1,08 |
- |
9618,48 |
9738,71 |
10820,79 |
10941,02 |
12023,10 |
||||||||
154 |
ds35.002 |
Другие болезни эндокринной системы, новообразования эндокринных желез доброкачественные, in situ, неопределенного и неизвестного характера, расстройства питания, другие нарушения обмена веществ |
1,41 |
- |
12557,46 |
12714,42 |
14127,14 |
14284,11 |
15696,82 |
||||||||
155 |
ds35.003 |
Кистозный фиброз |
2,58 |
- |
22977,47 |
23264,69 |
25849,66 |
26136,87 |
28721,84 |
||||||||
156 |
ds35.004 |
Лечение кистозного фиброза с применением ингаляционной антибактериальной терапии |
12,27 |
- |
109276,58 |
110642,54 |
122936,15 |
124302,11 |
136595,73 |
||||||||
157 |
ds36.001 |
Комплексное лечение с применением препаратов иммуноглобулина |
7,86 |
- |
70001,13 |
70876,15 |
78751,28 |
79626,29 |
87501,42 |
||||||||
158 |
ds36.002 |
Факторы, влияющие на состояние здоровья населения и обращения в учреждения здравоохранения |
0,56 |
- |
4987,36 |
5049,70 |
5610,78 |
5673,12 |
6234,20 |
||||||||
159 |
ds36.011 |
Оказание услуг диализа (только для федеральных медицинских организаций) |
0,45 |
30,00% |
5585,73 |
5600,76 |
5736,02 |
5751,05 |
5886,31 |
||||||||
160 |
ds36.003 |
Госпитализация в дневной стационар в диагностических целях с постановкой диагноза туберкулеза, ВИЧ-инфекции, психического заболевания |
0,46 |
- |
4096,76 |
4147,97 |
4608,85 |
4660,06 |
5120,95 |
||||||||
161 |
ds36.005 |
Отторжение, отмирание трансплантата органов и тканей |
7,40 |
- |
65904,38 |
66728,18 |
74142,42 |
74966,23 |
82380,47 |
||||||||
162 |
ds36.006 |
Злокачественное новообразование без специального противоопухолевого лечения |
0,40 |
- |
3562,40 |
3606,93 |
4007,70 |
4052,23 |
4453,00 |
||||||||
163 |
ds36.007 |
Проведение иммунизации против респираторно-синцитиальной вирусной инфекции |
4,23 |
1,83% |
58475,28 |
58483,90 |
58561,46 |
58570,08 |
58647,63 |
||||||||
164 |
ds36.008 |
Лечение с применением генно-инженерных биологических препаратов и селективных иммунодепрессантов (уровень 1) |
1,29 |
5,85% |
17573,10 |
17581,50 |
17657,11 |
17665,51 |
17741,12 |
||||||||
165 |
ds36.009 |
Лечение с применением генно-инженерных биологических препаратов и селективных иммунодепрессантов (уровень 2) |
3,23 |
5,43% |
44068,82 |
44088,34 |
44264,07 |
44283,60 |
44459,32 |
||||||||
166 |
ds36.010 |
Лечение с применением генно-инженерных биологических препаратов и селективных иммунодепрессантов (уровень 3) |
8,93 |
8,94% |
120267,09 |
120355,97 |
121155,85 |
121244,72 |
122044,60 |
||||||||
167 |
ds37.001 |
Медицинская реабилитация пациентов с заболеваниями центральной нервной системы (2 балла по ШРМ) |
1,98 |
- |
17633,87 |
17854,30 |
19838,11 |
20058,53 |
22042,34 |
||||||||
168 |
ds37.002 |
Медицинская реабилитация пациентов с заболеваниями центральной нервной системы (3 балла по ШРМ) |
2,31 |
- |
20572,85 |
20830,01 |
23144,46 |
23401,62 |
25716,07 |
||||||||
169 |
ds37.003 |
Медицинская реабилитация пациентов с заболеваниями опорно-двигательного аппарата и периферической нервной системы (2 балла по ШРМ) |
1,52 |
- |
13537,12 |
13706,33 |
15229,25 |
15398,47 |
16921,39 |
||||||||
170 |
ds37.004 |
Медицинская реабилитация пациентов с заболеваниями опорно-двигательного аппарата и периферической нервной системы (3 балла по ШРМ) |
1,82 |
- |
16208,91 |
16411,53 |
18235,03 |
18437,64 |
20261,14 |
||||||||
171 |
ds37.005 |
Медицинская кардиореабилитация (2 балла по ШРМ) |
1,39 |
- |
12379,34 |
12534,08 |
13926,75 |
14081,49 |
15474,17 |
||||||||
172 |
ds37.006 |
Медицинская кардиореабилитация (3 балла по ШРМ) |
1,67 |
- |
14873,01 |
15058,93 |
16732,14 |
16918,05 |
18591,27 |
||||||||
173 |
ds37.007 |
Медицинская реабилитация при других соматических заболеваниях (2 балла по ШРМ) |
0,85 |
- |
7570,10 |
7664,72 |
8516,36 |
8610,99 |
9462,62 |
||||||||
174 |
ds37.008 |
Медицинская реабилитация при других соматических заболеваниях (3 балла по ШРМ) |
1,09 |
- |
9707,54 |
9828,88 |
10920,98 |
11042,32 |
12134,42 |
||||||||
175 |
ds37.009 |
Медицинская реабилитация детей, перенесших заболевания перинатального периода |
1,50 |
- |
13359,00 |
13525,98 |
15028,87 |
15195,86 |
16698,74 |
||||||||
176 |
ds37.010 |
Медицинская реабилитация детей с нарушениями слуха без замены речевого процессора системы кохлеарной имплантации |
1,80 |
- |
16030,79 |
16231,18 |
18034,64 |
18235,03 |
20038,49 |
||||||||
177 |
ds37.011 |
Медицинская реабилитация детей с поражениями центральной нервной системы |
2,75 |
- |
24491,49 |
24797,63 |
27552,93 |
27859,07 |
30614,36 |
||||||||
178 |
ds37.012 |
Медицинская реабилитация детей после хирургической коррекции врожденных пороков развития органов и систем |
2,35 |
- |
20929,09 |
21190,71 |
23545,23 |
23806,84 |
26161,37 |
||||||||
179 |
ds37.013 |
Медицинская реабилитация после онкоортопедических операций |
1,76 |
- |
15674,55 |
15870,49 |
17633,87 |
17829,81 |
19593,19 |
||||||||
180 |
ds37.014 |
Медицинская реабилитация по поводу постмастэктомического синдрома в онкологии |
1,51 |
- |
13448,06 |
13616,16 |
15129,06 |
15297,16 |
16810,07 |
||||||||
181 |
ds37.015 |
Медицинская реабилитация после перенесенной коронавирусной инфекции COVID-19 (2 балла по ШРМ) |
1,00 |
- |
8906,00 |
9017,32 |
10019,25 |
10130,57 |
11132,50 |
||||||||
182 |
ds37.016 |
Медицинская реабилитация после перенесенной коронавирусной инфекции COVID-19 (3 балла по ШРМ) |
1,40 |
- |
12468,40 |
12624,25 |
14026,94 |
14182,80 |
15585,49 |
||||||||
* Перечень КСЛП установлен в
Приложении N 31 "Коэффициент сложности
лечения пациента" к Тарифному
соглашению, кроме того, КСЛП применяется
к случаям сверхдлительной
госпитализации".
Приложение N 15
к Дополнительному соглашению
от 25.03.2022 N 2
к Тарифному соглашению
в сфере обязательного медицинского
страхования
на территории Ивановской области на 2022
год
"Приложение N 29
к Тарифному соглашению
в сфере обязательного медицинского
страхования
на территории Ивановской области на 2022
год
РАЗМЕРЫ ФАКТИЧЕСКИХ ДИФФЕРЕНЦИРОВАННЫХ
ПОДУШЕВЫХ НОРМАТИВОВ ФИНАНСИРОВАНИЯ ПО
ВСЕМ ВИДАМ И УСЛОВИЯМ ПРЕДОСТАВЛЕНИЯ
МЕДИЦИНСКОЙ ПОМОЩИ
с 01.03.2022
N п/п |
Наименование МО |
Фактический дифференцированный подушевой норматив ФДПнi, руб. |
1 |
2 |
3 |
1 |
ОБУЗ Верхнеландеховская ЦРБ |
617,74 |
2 |
ОБУЗ "Гаврилово-Посадская ЦРБ" |
319,34 |
3 |
ОБУЗ Ильинская ЦРБ |
496,25 |
4 |
ОБУЗ "Комсомольская ЦБ" |
386,49 |
5 |
ОБУЗ "Кохомская городская больница" |
352,28 |
6 |
ОБУЗ Лежневская ЦРБ |
445,45 |
7 |
ОБУЗ Лухская ЦРБ |
540,86 |
8 |
ОБУЗ "Палехская ЦРБ" |
507,93 |
9 |
ОБУЗ "Пестяковская ЦРБ" |
538,75 |
10 |
ОБУЗ Пучежская ЦРБ |
453,07 |
11 |
ОБУЗ "Южская ЦРБ" |
383,73 |
".
Приложение N 16
к Дополнительному соглашению
от 25.03.2022 N 2
к Тарифному соглашению
в сфере обязательного медицинского
страхования
на территории Ивановской области на 2022
год
"Приложение N 30
к Тарифному соглашению
в сфере обязательного медицинского
страхования
на территории Ивановской области на 2022
год
ПЕРЕЧЕНЬ ОСНОВАНИЙ И РАЗМЕР НЕОПЛАТЫ ИЛИ
НЕПОЛНОЙ ОПЛАТЫ ЗАТРАТ НА ОКАЗАНИЕ
МЕДИЦИНСКОЙ ПОМОЩИ, А ТАКЖЕ УПЛАТЫ
МЕДИЦИНСКОЙ ОРГАНИЗАЦИЕЙ ШТРАФОВ ЗА
НЕОКАЗАНИЕ, НЕСВОЕВРЕМЕННОЕ ОКАЗАНИЕ
ЛИБО ОКАЗАНИЕ МЕДИЦИНСКОЙ ПОМОЩИ
НЕНАДЛЕЖАЩЕГО КАЧЕСТВА
Размер неоплаты или неполной
оплаты затрат медицинской организации
на оказание медицинской помощи
рассчитывается по формуле:
Н = РТ x Кно, где:
Н - размер неоплаты или неполной
оплаты затрат медицинской организации
на оказание медицинской помощи;
РТ - размер тарифа на оплату
медицинской помощи, действующий на дату
оказания медицинской помощи;
Кно - коэффициент для определения
размера неполной оплаты медицинской
помощи по основанию для отказа в оплате
медицинской помощи либо уменьшению
оплаты медицинской помощи.
Значения коэффициента для
определения размера неполной оплаты
медицинской помощи приведены в таблице и
соответствуют значениям приложения N 5 к
Правилам обязательного медицинского
страхования, утвержденным приказом
Минздрава России от 28.02.2019 N 108н.
В случаях, когда по результатам
медико-экономической экспертизы или
экспертизы качества медицинской помощи
устанавливается некорректное
применение тарифа, требующего его
замены, страховая медицинская
организация осуществляет оплату
медицинской помощи с учетом разницы
тарифа, предъявленного к оплате, и
тарифа, который следует применить.
Размер штрафа, применяемого к
медицинской организации за неоказание,
несвоевременное оказание либо оказание
медицинской помощи ненадлежащего
качества (Сшт), рассчитывается по
формуле:
Сшт = РП x Кшт,
где:
Сшт - размер штрафа за неоказание,
несвоевременное оказание либо оказание
медицинской помощи ненадлежащего
качества;
РП - установленный тарифным
соглашением субъекта Российской
Федерации на дату проведения контроля
объемов, сроков, качества и условий
предоставления медицинской помощи и
применяемый в зависимости от способа
оплаты медицинской помощи, в отношении
оказания которой проводится контроль
объемов, сроков, качества и условий
предоставления медицинской помощи,
подушевой норматив финансирования
медицинской помощи, оказанной в
амбулаторных условиях, или подушевой
норматив финансирования скорой
медицинской помощи, оказанной вне
медицинской организации, или подушевой
норматив финансирования медицинской
помощи по всем видам и условиям ее
оказания за счет средств обязательного
медицинского страхования, или подушевой
норматив финансирования;
Кшт - коэффициент для определения
размера штрафа по основанию для
начисления штрафа за неоказание,
несвоевременное оказание либо оказание
медицинской помощи ненадлежащего
качества.
Значения коэффициентов для
определения размера штрафа за
неоказание, несвоевременное оказание
либо оказание медицинской помощи
ненадлежащего качества приведены в
таблице и соответствуют значениям
приложения N 5 к Правилам обязательного
медицинского страхования, утвержденным
приказом Минздрава России от 28.02.2019 N
108н.
Код нарушения/дефекта |
Перечень оснований |
Значение коэффициента для определения размера неоплаты или неполной оплаты затрат медицинской организации на оказание медицинской помощи |
Значение коэффициента для определения размера штрафа за неоказание, несвоевременное оказание либо оказание медицинской помощи ненадлежащего качества |
Раздел 1. Нарушения, выявляемые при проведении медико-экономического контроля | |||
1.1. |
Нарушение условий оказания медицинской помощи, в том числе сроков ожидания медицинской помощи, несвоевременное включение в группу диспансерного наблюдения лиц, которым по результатам проведения профилактических мероприятий или оказания иной медицинской помощи впервые установлены диагнозы, при которых предусмотрено диспансерное наблюдение в соответствии с порядком проведения диспансерного наблюдения |
0 |
0,3 |
1.2. |
Невключение в группу диспансерного наблюдения лиц, которым по результатам проведения профилактических мероприятий или оказания иной медицинской помощи впервые установлены диагнозы, при которых предусмотрено диспансерное наблюдение в соответствии с порядком проведения диспансерного наблюдения |
0 |
1 |
1.3. |
Госпитализация застрахованного лица, медицинская помощь которому должна быть оказана в стационаре другого профиля (непрофильная госпитализация), кроме случаев госпитализации для оказания медицинской помощи в неотложной и экстренной форме на койки терапевтического и хирургического профилей |
1 |
0,3 |
1.4. |
Нарушения, связанные с оформлением и предъявлением на оплату счетов и реестров счетов, в том числе: | ||
1.4.1. |
наличие ошибок и/или недостоверной информации в реквизитах счета |
1 |
0 |
1.4.2. |
сумма счета не соответствует итоговой сумме предоставленной медицинской помощи по реестру счетов |
1 |
0 |
1.4.3. |
наличие незаполненных полей реестра счетов, обязательных к заполнению, в том числе отсутствие указаний о включении в группу диспансерного наблюдения лица, которому установлен диагноз, при котором предусмотрено диспансерное наблюдение, отсутствие сведений о страховом случае с летальным исходом при наличии сведений о смерти застрахованного лица в период оказания ему медицинской помощи по данным персонифицированного учета сведений о застрахованных лицах и (или) о медицинской помощи, оказанной застрахованным лицам |
1 |
0 |
1.4.4. |
некорректное заполнение полей реестра счетов |
1 |
0 |
1.4.5. |
заявленная сумма по позиции реестра счетов не корректна (содержит арифметическую ошибку) |
1 |
0 |
1.4.6. |
дата оказания медицинской помощи в реестре счетов не соответствует отчетному периоду/периоду оплаты |
1 |
0 |
1.5. |
Введение в реестр счетов недостоверных персональных данных застрахованного лица, приводящее к невозможности его полной идентификации (включая ошибки в серии и номере полиса обязательного медицинского страхования, адресе) |
1 |
0 |
1.6. |
Нарушения, связанные с включением в реестр счетов медицинской помощи, не входящей в программу обязательного медицинского страхования, в том числе: | ||
1.6.1. |
включение в реестр счетов видов медицинской помощи, а также заболеваний и состояний, не входящих в программу обязательного медицинского страхования |
1 |
0 |
1.6.2. |
предъявление к оплате медицинской помощи сверх распределенного объема предоставления медицинской помощи, установленного решением комиссии по разработке территориальной программы обязательного медицинского страхования |
1 |
0 |
1.6.3. |
предъявление к оплате медицинской помощи сверх размера финансового обеспечения распределенного объема предоставления медицинской помощи, установленного решением комиссии по разработке территориальной программы обязательного медицинского страхования |
1 |
0 |
1.6.4. |
включение в реестр счетов медицинской помощи, подлежащей оплате из других источников финансирования, в том числе тяжелые несчастные случаи на производстве, оплачиваемые Фондом социального страхования Российской Федерации <1>, медицинских услуг, оказываемых частными медицинскими организациями в рамках пилотного проекта по вовлечению частных медицинских организаций в оказание медико-социальных услуг лицам в возрасте 65 лет и старше, являющимся гражданами Российской Федерации, в том числе проживающим в сельской местности |
1 |
0 |
1.7. |
Нарушения, связанные с необоснованным применением тарифа на оплату медицинской помощи, в том числе: | ||
1.7.1. |
включение в реестр счетов случаев оказания медицинской помощи по тарифам на оплату медицинской помощи, отсутствующим в тарифном соглашении |
1 |
0 |
1.7.2. |
включение в реестр счетов случаев оказания медицинской по тарифам на оплату медицинской помощи, не соответствующим утвержденным в тарифном соглашении |
1 |
0 |
1.8. |
Нарушения, связанные с включением в реестр счетов нелицензированных видов медицинской деятельности, в том числе с нарушением лицензионных требований: | ||
1.8.1. |
включение в реестр счетов страховых случаев по видам медицинской деятельности, отсутствующим в действующей лицензии медицинской организации |
1 |
0 |
1.8.2. |
предоставление реестров счетов в случае прекращения действия лицензии медицинской организации на осуществление медицинской деятельности |
1 |
0 |
1.8.3. |
предоставление на оплату реестров счетов в случае нарушения лицензионных условий и требований при оказании медицинской помощи, в том числе данные лицензии не соответствуют фактическим адресам осуществления медицинской организацией лицензируемого вида деятельности (на основании информации лицензирующих органов) |
1 |
0 |
1.9. |
Включение в реестр счетов страховых случаев, при которых медицинская помощь оказана медицинским работником, не имеющим сертификата или свидетельства об аккредитации специалиста по профилю оказания медицинской помощи |
1 |
0 |
1.10. |
Нарушения, связанные с повторным включением в реестр счетов случаев оказания медицинской помощи, в том числе: | ||
1.10.1. |
позиция реестра счетов оплачена ранее (повторное выставление счета на оплату случаев оказания медицинской помощи, которые были оплачены ранее) |
1 |
0 |
1.10.2. |
дублирование случаев оказания медицинской помощи в одном реестре |
1 |
0 |
1.10.3. |
стоимость отдельной медицинской услуги, включенной в счет, учтена в тарифе на оплату медицинской помощи другой услуги, также предъявленной к оплате медицинской организацией |
1 |
0 |
1.10.4. |
стоимость медицинской услуги включена в норматив финансового обеспечения оплаты медицинской помощи, оказанной амбулаторно, на прикрепленное население, застрахованное по обязательному медицинскому страхованию |
1 |
0 |
1.10.5. |
включение в реестр счетов медицинской помощи, оказанной амбулаторно, в период пребывания застрахованного лица в условиях стационара (кроме дня поступления и выписки из стационара, а также оказания медицинской помощи (консультаций) в других медицинских организациях в экстренной и неотложной форме) |
1 |
0 |
1.10.6. |
включение в реестр счетов нескольких страховых случаев, при которых медицинская помощь оказана застрахованному лицу стационарно в один период оплаты с пересечением или совпадением сроков лечения |
1 |
0 |
Раздел 2. Нарушения, выявляемые при проведении медико-экономической экспертизы | |||
2.1. |
Нарушение сроков ожидания медицинской помощи, установленных территориальной программой обязательного медицинского страхования |
0 |
0,3 |
2.2. |
Нарушение условий оказания скорой медицинской помощи, выразившееся в несоблюдении установленного программой обязательного медицинского страхования времени доезда бригады скорой медицинской помощи, при летальном исходе до приезда бригады скорой помощи |
1 |
3 |
2.3. |
Необоснованный отказ застрахованным лицам в оказании медицинской помощи в соответствии с программами обязательного медицинского страхования, в том числе: | ||
2.3.1. |
с отсутствием последующего ухудшения состояния здоровья |
0 |
1 |
2.3.2. |
с последующим ухудшением состояния здоровья |
0 |
2 |
2.3.3. |
приведший к летальному исходу |
0 |
3 |
2.4. |
Несвоевременное включение в группу диспансерного наблюдения застрахованного лица, которому по результатам проведения профилактических мероприятий или оказания иной медицинской помощи впервые установлен диагноз, при котором предусмотрено диспансерное наблюдение |
0 |
0,3 |
2.5. |
Непроведение диспансерного наблюдения застрахованного лица (за исключением случаев отказа застрахованного лица, проинформированного лечащим врачом и/или страховым представителем о возможности прохождения диспансерного наблюдения, от его прохождения), включенного в группу диспансерного наблюдения, в соответствии с порядком и периодичностью проведения диспансерного наблюдения и перечнем включаемых в них исследований, в том числе: | ||
2.5.1. |
с отсутствием последующего ухудшения состояния здоровья |
0 |
1 |
2.5.2. |
с последующим ухудшением состояния здоровья (за исключением случаев отказа застрахованного лица, проинформированного лечащим врачом и/или страховым представителем о возможности прохождения диспансерного наблюдения, от его прохождения) |
0 |
2 |
2.5.3. |
приведший к летальному исходу (за исключением случаев отказа застрахованного лица, проинформированного лечащим врачом и/или страховым представителем о возможности прохождения диспансерного наблюдения, от его прохождения) |
0 |
3 |
2.6. |
Предоставление на оплату реестров счетов, в случае нарушения лицензионных условий и требований при оказании медицинской помощи, в том числе данные лицензии не соответствуют фактическим адресам осуществления медицинской организацией лицензируемого вида деятельности (по факту выявления, с учетом информации лицензирующих органов) |
1 |
0 |
2.7. |
Представление в реестрах счетов повторных случаев госпитализации застрахованного лица по одному и тому же заболеванию с длительностью три дня и менее в течение четырнадцати календарных дней при оказании медицинской помощи в указанный период в амбулаторных условиях (за исключением случаев, при которых стоимость отдельной медицинской услуги, включенной в счет, учтена в тарифе на оплату медицинской помощи другой услуги, также предъявленной к оплате медицинской организацией) |
1 |
0,3 |
2.8. |
Необоснованное представление в реестрах счетов случаев оказания застрахованному лицу медицинской помощи, оказанной в условиях дневного стационара в период пребывания в условиях круглосуточного стационара (кроме дня поступления и выписки из стационара, а также консультаций в других медицинских организациях при экстренных и неотложных состояниях) |
1 |
0,3 |
2.9. |
Взимание платы с застрахованных лиц за оказанную медицинскую помощь, входящую в базовую либо территориальную программу обязательного медицинского страхования, при оказании медицинской помощи в рамках базовой либо территориальной программы обязательного медицинского страхования |
0 |
1 |
2.10. |
Приобретение пациентом или его представителем в период оказания медицинской помощи по назначению врача лекарственных препаратов для медицинского применения, включенных в перечень жизненно необходимых и важнейших лекарственных препаратов <2>, и (или) медицинских изделий, включенных в перечень медицинских изделий, имплантируемых в организм человека <3>, на основе клинических рекомендаций, с учетом стандартов медицинской помощи |
0,5 |
0,5 |
2.11. |
Отсутствие в реестре счетов сведений о страховом случае с летальным исходом при наличии сведений о смерти застрахованного лица в период оказания ему медицинской помощи в первичной медицинской документации и учетно-отчетной документации медицинской организации |
0 |
0,6 |
2.12. |
Непредставление медицинской документации, подтверждающей факт оказания застрахованному лицу медицинской помощи в медицинской организации без объективных причин в течение 5 рабочих дней после получения медицинской организацией соответствующего запроса от Федерального фонда обязательного медицинского страхования или территориального фонда обязательного медицинского страхования или страховой медицинской организации |
1 |
0 |
2.13. |
Отсутствие в документации (несоблюдение требований к оформлению) информированного добровольного согласия застрахованного лица на медицинское вмешательство или отказа застрахованного лица от медицинского вмешательства в установленных законодательством Российской Федерации случаях <4> |
0,1 |
0 |
2.14. |
Наличие признаков искажения сведений, представленных в медицинской документации (дописки, исправления, "вклейки", полное переоформление с искажением сведений о проведенных диагностических и лечебных мероприятиях, клинической картине заболевания; расхождение сведений об оказании медицинской помощи в различных разделах медицинской документации и/или учетно-отчетной документации, запрошенной на проведение экспертизы) |
0,5 |
0 |
2.15. |
Дата оказания медицинской помощи, зарегистрированная в первичной медицинской документации и реестре счетов, не соответствует табелю учета рабочего времени врача (в том числе оказание медицинской помощи в период отпуска, обучения, командировок, выходных дней) |
1 |
0 |
2.16. |
Несоответствие данных медицинской документации данным реестра счетов, в том числе: | ||
2.16.1. |
оплаченный случай оказания медицинской помощи выше тарифа, установленного тарифным соглашением |
0,1 |
0,3 |
2.16.2. |
включение в счет на оплату медицинской помощи при отсутствии в медицинской документации сведений, подтверждающих факт оказания медицинской помощи застрахованному лицу |
1 |
1 |
2.17. |
Отсутствие в карте стационарного больного протокола врачебной комиссии в случаях назначения застрахованному лицу лекарственного препарата, не входящего в перечень жизненно необходимых и важнейших лекарственных препаратов |
0 |
0,3 |
2.18. |
Нарушение сроков ожидания медицинской помощи, установленных территориальной либо базовой программой обязательного медицинского страхования |
0 |
0,3 |
Раздел 3. Нарушения, выявляемые при проведении экспертизы качества медицинской помощи | |||
3.1. |
Установление неверного диагноза, связанное с отсутствием обоснования клинического диагноза в первичной медицинской документации или несоответствие результатов обследования клиническому диагнозу: | ||
3.1.1. |
не повлиявшее на состояние здоровья застрахованного лица |
0,1 |
0 |
3.1.2. |
приведшее к удлинению или укорочению сроков лечения сверх установленных (за исключением случаев отказа застрахованного лица от медицинского вмешательства в установленных законодательством Российской Федерации случаях) |
0,3 |
0 |
3.1.3. |
приведшее к ухудшению состояния здоровья застрахованного лица, либо создавшее риск прогрессирования имеющегося заболевания, либо создавшее риск возникновения нового заболевания |
0,4 |
0,3 |
3.1.4. |
приведшее к инвалидизации |
0,9 |
1 |
3.1.5. |
приведшее к летальному исходу (в том числе при наличии расхождений клинического и патолого-анатомического диагнозов) |
1 |
3 |
3.2. |
Невыполнение, несвоевременное или ненадлежащее выполнение необходимых пациенту диагностических и (или) лечебных мероприятий, оперативных вмешательств в соответствии с порядками оказания медицинской помощи, на основе клинических рекомендаций и с учетом стандартов медицинской помощи, в том числе по результатам проведенного диспансерного наблюдения, рекомендаций по применению методов профилактики, диагностики, лечения и реабилитации, данных медицинскими работниками национальных медицинских исследовательских центров в ходе консультаций/консилиумов с применением телемедицинских технологий: | ||
3.2.1. |
не повлиявшее на состояние здоровья застрахованного лица |
0,1 |
0 |
3.2.2. |
приведшее к ухудшению состояния здоровья застрахованного лица, либо создавшее риск прогрессирования имеющегося заболевания, либо создавшее риск возникновения нового заболевания (за исключением случаев отказа застрахованного лица от медицинского вмешательства в установленных законодательством Российской Федерации случаях) |
0,4 |
0,3 |
3.2.3. |
приведшее к инвалидизации (за исключением случаев отказа застрахованного лица от медицинского вмешательства в установленных законодательством Российской Федерации случаях) |
0,9 |
1 |
3.2.4. |
приведшее к летальному исходу (за исключением случаев отказа застрахованного лица от медицинского вмешательства в установленных законодательством Российской Федерации случаях) |
1 |
3 |
3.2.5. |
рекомендаций медицинских работников национальных медицинских исследовательских центров по применению методов профилактики, диагностики, лечения и реабилитации, данных при проведении указанными центрами консультаций/консилиумов с применением консультаций с применением телемедицинских технологий, при необоснованном невыполнении данных рекомендаций |
0,9 |
1 |
3.2.6. |
по результатам проведенного диспансерного наблюдения |
0,9 |
1 |
3.3. |
Выполнение непоказанных, неоправданных с клинической точки зрения, не регламентированных порядками оказания медицинской помощи, клиническими рекомендациями, стандартами медицинской помощи мероприятий, приведшее к ухудшению состояния здоровья застрахованного лица, либо создавшее риск прогрессирования имеющегося заболевания, либо создавшее риск возникновения нового заболевания |
0,5 |
0,6 |
3.4. |
Преждевременное с клинической точки зрения прекращение оказания медицинской помощи при отсутствии клинического эффекта (за исключением случаев отказа застрахованного лица от медицинского вмешательства в установленных законодательством Российской Федерации случаях) |
0,5 |
0,3 |
3.5. |
Нарушения при оказании медицинской помощи (в частности, преждевременная выписка из медицинской организации), вследствие которых, при отсутствии положительной динамики в состоянии здоровья, потребовалось повторное обоснованное обращение застрахованного лица за медицинской помощью по поводу того же заболевания в течение четырнадцати дней со дня окончания оказания медицинской помощи амбулаторно, тридцати дней - стационарно (повторная госпитализация) |
0,3 |
0 |
3.6. |
Нарушение по вине медицинской организации преемственности в оказании медицинской помощи (в том числе несвоевременный перевод пациента в медицинскую организацию более высокого уровня), приведшее к удлинению сроков оказания медицинской помощи и (или) ухудшению состояния здоровья застрахованного лица |
0,8 |
1 |
3.7. |
Госпитализация застрахованного лица в плановой или неотложной форме с нарушением требований к профильности оказанной медицинской помощи (непрофильная госпитализация), кроме случаев госпитализации в неотложной и экстренной форме с последующим переводом в течение суток в профильные медицинские организации (структурные подразделения медицинских организаций) |
1 |
0,3 |
3.8. |
Госпитализация застрахованного лица без медицинских показаний (необоснованная госпитализация), медицинская помощь которому могла быть предоставлена в установленном объеме амбулаторно, в дневном стационаре, отсутствие пациента в медицинской организации на дату проверки |
1 |
0,3 |
3.9. |
Необоснованное повторное посещение врача одной и той же специальности в один день при оказании медицинской помощи амбулаторно, за исключением повторного посещения для определения показаний к госпитализации, операции, консультациям в других медицинских организациях, в связи с выпиской лекарственных препаратов группам населения, при амбулаторном лечении которых лекарственные препараты отпускаются по рецептам врачей бесплатно и с 50-процентной скидкой, наблюдения беременных женщин, посещений, связанных с выдачей справок и иных медицинских документов |
1 |
0,3 |
3.10. |
Наличие расхождений клинического и патолого-анатомического диагнозов, обусловленное непроведением необходимых диагностических исследований в связи с несоответствием оснащения медицинской организации (структурного подразделения медицинской организации) |
0,9 |
0,5 |
3.11. |
Отсутствие в медицинской документации результатов обследований, осмотров, консультаций специалистов, дневниковых записей, позволяющих оценить динамику состояния здоровья застрахованного лица, объем, характер, условия предоставления медицинской помощи и провести оценку качества оказанной медицинской помощи |
0,5 |
0 |
3.12. |
Нарушение прав застрахованных лиц на выбор медицинской организации из медицинских организаций, участвующих в реализации территориальной программы обязательного медицинского страхования, базовой программы обязательного медицинского страхования; на выбор врача |
0 |
0,3 |
3.13. |
Необоснованное назначение лекарственных препаратов; одновременное назначение лекарственных препаратов со схожим фармакологическим действием; нерациональная лекарственная терапия, в том числе несоответствие дозировок, кратности и длительности приема лекарственных препаратов клиническим рекомендациям и стандартам медицинской помощи, связанные с риском для здоровья пациента |
0,5 |
0,6 |
<1> В соответствии с частью 1
статьи 32 Федерального закона от 29 ноября
2010 г. N 326-ФЗ "Об обязательном медицинском
страховании в Российской Федерации"
(Собрание законодательства Российской
Федерации, 2010, N 49, ст. 6422; 2017, N 1, ст. 34).
<2> Распоряжение Правительства
Российской Федерации от 12 октября 2019 г. N
2406-р (Собрание законодательства
Российской Федерации, 2019, N 42, ст. 5979; 2020, N
48, ст. 7813).
<3> Распоряжение Правительства
Российской Федерации 31 декабря 2018 г. N
3053-р (Собрание законодательства
Российской Федерации, 2019, N 2, ст. 196; N 41, ст.
5780).
<4> В соответствии со статьей 20
Федерального закона от 21 ноября 2011 г. N
323-ФЗ "Об основах охраны здоровья граждан
в Российской Федерации" (Собрание
законодательства Российской Федерации,
2011, N 48, ст. 6724; 2020, N 29, ст. 4516).".
Приложение N 17
к Дополнительному соглашению
от 25.03.2022 N 2
к Тарифному соглашению
в сфере обязательного медицинского
страхования
на территории Ивановской области на 2022
год
"Приложение N 30
к Тарифному соглашению
в сфере обязательного медицинского
страхования
на территории Ивановской области на 2022
год
ПЕРЕЧЕНЬ ОСНОВАНИЙ И РАЗМЕР НЕОПЛАТЫ ИЛИ
НЕПОЛНОЙ ОПЛАТЫ ЗАТРАТ НА ОКАЗАНИЕ
МЕДИЦИНСКОЙ ПОМОЩИ, А ТАКЖЕ УПЛАТЫ
МЕДИЦИНСКОЙ ОРГАНИЗАЦИЕЙ ШТРАФОВ ЗА
НЕОКАЗАНИЕ, НЕСВОЕВРЕМЕННОЕ ОКАЗАНИЕ
ЛИБО ОКАЗАНИЕ МЕДИЦИНСКОЙ ПОМОЩИ
НЕНАДЛЕЖАЩЕГО КАЧЕСТВА
Размер неоплаты или неполной
оплаты затрат медицинской организации
на оказание медицинской помощи
рассчитывается по формуле:
Н = РТ x Кно, где:
Н - размер неоплаты или неполной
оплаты затрат медицинской организации
на оказание медицинской помощи;
РТ - размер тарифа на оплату
медицинской помощи, действующий на дату
оказания медицинской помощи;
Кно - коэффициент для определения
размера неполной оплаты медицинской
помощи по основанию для отказа в оплате
медицинской помощи либо уменьшению
оплаты медицинской помощи.
Значения коэффициента для
определения размера неполной оплаты
медицинской помощи приведены в таблице и
соответствуют значениям приложения N 5 к
Правилам обязательного медицинского
страхования, утвержденным приказом
Минздрава России от 28.02.2019 N 108н.
В случаях, когда по результатам
медико-экономической экспертизы или
экспертизы качества медицинской помощи
устанавливается некорректное
применение тарифа, требующего его
замены, страховая медицинская
организация осуществляет оплату
медицинской помощи с учетом разницы
тарифа, предъявленного к оплате, и
тарифа, который следует применить.
Размер штрафа, применяемого к
медицинской организации за неоказание,
несвоевременное оказание либо оказание
медицинской помощи ненадлежащего
качества (Сшт), рассчитывается по
формуле:
Сшт = РП x Кшт,
где:
Сшт - размер штрафа за неоказание,
несвоевременное оказание либо оказание
медицинской помощи ненадлежащего
качества;
РП - установленный тарифным
соглашением субъекта Российской
Федерации на дату проведения контроля
объемов, сроков, качества и условий
предоставления медицинской помощи и
применяемый в зависимости от способа
оплаты медицинской помощи, в отношении
оказания которой проводится контроль
объемов, сроков, качества и условий
предоставления медицинской помощи,
подушевой норматив финансирования
медицинской помощи, оказанной в
амбулаторных условиях, или подушевой
норматив финансирования скорой
медицинской помощи, оказанной вне
медицинской организации, или подушевой
норматив финансирования медицинской
помощи по всем видам и условиям ее
оказания за счет средств обязательного
медицинского страхования, или подушевой
норматив финансирования;
Кшт - коэффициент для определения
размера штрафа по основанию для
начисления штрафа за неоказание,
несвоевременное оказание либо оказание
медицинской помощи ненадлежащего
качества.
Значения коэффициентов для
определения размера штрафа за
неоказание, несвоевременное оказание
либо оказание медицинской помощи
ненадлежащего качества приведены в
таблице и соответствуют значениям
приложения N 5 к Правилам обязательного
медицинского страхования, утвержденным
приказом Минздрава России от 28.02.2019 N
108н.
Код нарушения/дефекта |
Перечень оснований |
Значение коэффициента для определения размера неоплаты или неполной оплаты затрат медицинской организации на оказание медицинской помощи |
Значение коэффициента для определения размера штрафа за неоказание, несвоевременное оказание либо оказание медицинской помощи ненадлежащего качества |
Раздел 1. Нарушения, выявляемые при проведении медико-экономического контроля | |||
1.1. |
Нарушение условий оказания медицинской помощи, в том числе сроков ожидания медицинской помощи, несвоевременное включение в группу диспансерного наблюдения лиц, которым по результатам проведения профилактических мероприятий или оказания иной медицинской помощи впервые установлены диагнозы, при которых предусмотрено диспансерное наблюдение в соответствии с порядком проведения диспансерного наблюдения |
0 |
0,3 |
1.2. |
Невключение в группу диспансерного наблюдения лиц, которым по результатам проведения профилактических мероприятий или оказания иной медицинской помощи впервые установлены диагнозы, при которых предусмотрено диспансерное наблюдение в соответствии с порядком проведения диспансерного наблюдения (в случае, если установление диагноза и постановка на диспансерное наблюдение должно быть осуществлено в рамках одного случая оказания медицинской помощи) |
0 |
1 |
1.3. |
Госпитализация застрахованного лица, медицинская помощь которому должна быть оказана в стационаре другого профиля (непрофильная госпитализация), кроме случаев госпитализации для оказания медицинской помощи в неотложной и экстренной форме на койки терапевтического и хирургического профилей |
1 |
0,3 |
1.4. |
Нарушения, связанные с оформлением и предъявлением на оплату счетов и реестров счетов, в том числе: | ||
1.4.1. |
наличие ошибок и/или недостоверной информации в реквизитах счета |
1 |
0 |
1.4.2. |
сумма счета не соответствует итоговой сумме предоставленной медицинской помощи по реестру счетов |
1 |
0 |
1.4.3. |
наличие незаполненных полей реестра счетов, обязательных к заполнению, в том числе отсутствие указаний о включении в группу диспансерного наблюдения лица, которому установлен диагноз, при котором предусмотрено диспансерное наблюдение, отсутствие сведений о страховом случае с летальным исходом при наличии сведений о смерти застрахованного лица в период оказания ему медицинской помощи по данным персонифицированного учета сведений о застрахованных лицах и (или) о медицинской помощи, оказанной застрахованным лицам |
1 |
0 |
1.4.4. |
некорректное заполнение полей реестра счетов |
1 |
0 |
1.4.5. |
заявленная сумма по позиции реестра счетов не корректна (содержит арифметическую ошибку) |
1 |
0 |
1.4.6. |
дата оказания медицинской помощи в реестре счетов не соответствует отчетному периоду/периоду оплаты |
1 |
0 |
1.5. |
Введение в реестр счетов недостоверных персональных данных застрахованного лица, приводящее к невозможности его полной идентификации (включая ошибки в серии и номере полиса обязательного медицинского страхования, адресе) |
1 |
0 |
1.6. |
Нарушения, связанные с включением в реестр счетов медицинской помощи, не входящей в программу обязательного медицинского страхования, в том числе: | ||
1.6.1. |
включение в реестр счетов видов медицинской помощи, а также заболеваний и состояний, не входящих в программу обязательного медицинского страхования |
1 |
0 |
1.6.2. |
предъявление к оплате медицинской помощи сверх распределенного объема предоставления медицинской помощи, установленного медицинской организации в соответствии с законодательством об обязательном медицинском страховании |
1 |
0 |
1.6.3. |
предъявление к оплате медицинской помощи сверх размера финансового обеспечения распределенного объема предоставления медицинской помощи, установленного медицинской организации в соответствии с законодательством об обязательном медицинском страховании |
1 |
0 |
1.6.4. |
включение в реестр счетов медицинской помощи, подлежащей оплате из других источников финансирования, в том числе тяжелые несчастные случаи на производстве, оплачиваемые Фондом социального страхования Российской Федерации <1>, медицинских услуг, оказываемых частными медицинскими организациями в рамках пилотного проекта по вовлечению частных медицинских организаций в оказание медико-социальных услуг лицам в возрасте 65 лет и старше, являющимся гражданами Российской Федерации, в том числе проживающим в сельской местности |
1 |
0 |
1.7. |
Нарушения, связанные с необоснованным применением тарифа на оплату медицинской помощи, в том числе: | ||
1.7.1. |
включение в реестр счетов случаев оказания медицинской помощи по тарифам на оплату медицинской помощи, не установленным в соответствии с законодательством об обязательном медицинском страховании |
1 |
0 |
1.7.2. |
включение в реестр счетов случаев оказания медицинской по тарифам на оплату медицинской помощи, не соответствующим установленным в соответствии с законодательством об обязательном медицинском страховании |
1 |
0 |
1.8. |
Нарушения, связанные с включением в реестр счетов нелицензированных видов медицинской деятельности, в том числе с нарушением лицензионных требований: | ||
1.8.1. |
включение в реестр счетов страховых случаев по видам медицинской деятельности, отсутствующим в действующей лицензии медицинской организации |
1 |
0 |
1.8.2. |
предоставление реестров счетов в случае прекращения действия лицензии медицинской организации на осуществление медицинской деятельности по случаям оказания медицинской помощи, завершившимся после прекращения действия лицензии медицинской организации |
1 |
0 |
1.8.3. |
предоставление на оплату реестров счетов в случае нарушения лицензионных условий и требований при оказании медицинской помощи, в том числе данные лицензии не соответствуют фактическим адресам осуществления медицинской организацией лицензируемого вида деятельности (на основании информации лицензирующих органов) |
1 |
0 |
1.9. |
Включение в реестр счетов страховых случаев, при которых медицинская помощь оказана медицинским работником, не имеющим сертификата или свидетельства об аккредитации специалиста по профилю оказания медицинской помощи |
1 |
0 |
1.10. |
Нарушения, связанные с повторным включением в реестр счетов случаев оказания медицинской помощи, в том числе: | ||
1.10.1. |
позиция реестра счетов оплачена ранее (повторное выставление счета на оплату случаев оказания медицинской помощи, которые были оплачены ранее) |
1 |
0 |
1.10.2. |
дублирование случаев оказания медицинской помощи в одном реестре |
1 |
0 |
1.10.3. |
стоимость отдельной медицинской услуги, включенной в счет, учтена в тарифе на оплату медицинской помощи другой услуги, также предъявленной к оплате медицинской организацией |
1 |
0 |
1.10.4. |
стоимость медицинской услуги включена в норматив финансового обеспечения оплаты медицинской помощи, оказанной амбулаторно, на прикрепленное население, застрахованное по обязательному медицинскому страхованию |
1 |
0 |
1.10.5. |
включение в реестр счетов медицинской помощи, оказанной амбулаторно, в период пребывания застрахованного лица в условиях стационара (кроме дня поступления и выписки из стационара, а также оказания медицинской помощи (консультаций) в других медицинских организациях в экстренной и неотложной форме) |
1 |
0 |
1.10.6. |
включение в реестр счетов нескольких страховых случаев, при которых медицинская помощь оказана застрахованному лицу стационарно в один период оплаты с пересечением или совпадением сроков лечения |
1 |
0 |
Раздел 2. Нарушения, выявляемые при проведении медико-экономической экспертизы | |||
2.1. |
Нарушение сроков ожидания медицинской помощи, установленных территориальной программой обязательного медицинского страхования |
0 |
0,3 |
2.2. |
Нарушение условий оказания скорой медицинской помощи, выразившееся в несоблюдении установленного программой обязательного медицинского страхования времени доезда бригады скорой медицинской помощи, при летальном исходе до приезда бригады скорой помощи |
1 |
3 |
2.3 - 2.4. |
Утратили силу | ||
2.5. |
Непроведение диспансерного наблюдения застрахованного лица (за исключением случаев отказа застрахованного лица, проинформированного лечащим врачом и (или) страховым представителем о возможности прохождения диспансерного наблюдения, от его прохождения), включенного в группу диспансерного наблюдения в соответствии с порядком и периодичностью проведения диспансерного наблюдения и перечнем включаемых в них исследований, в том числе: | ||
2.5.1 - 2.6. |
Утратили силу |
|
|
2.7. |
Представление в реестрах счетов повторных случаев госпитализации застрахованного лица по одному и тому же заболеванию с длительностью три дня и менее (за исключением случаев, связанных с патологией беременности и родами) в течение четырнадцати календарных дней при оказании медицинской помощи в указанный период в амбулаторных условиях (за исключением случаев, при которых стоимость отдельной медицинской услуги, включенной в счет, учтена в тарифе на оплату медицинской помощи другой услуги, также предъявленной к оплате медицинской организацией) |
1 |
0,3 |
2.8. |
Необоснованное представление в реестрах счетов случаев оказания застрахованному лицу медицинской помощи, оказанной в условиях дневного стационара в период пребывания в условиях круглосуточного стационара (кроме дня поступления и выписки из стационара, а также консультаций в других медицинских организациях при экстренных и неотложных состояниях) |
1 |
0,3 |
2.9. |
Взимание платы с застрахованных лиц за оказанную медицинскую помощь, входящую в базовую либо территориальную программу обязательного медицинского страхования, при оказании медицинской помощи в рамках базовой либо территориальной программы обязательного медицинского страхования |
0 |
1 |
2.10. |
Приобретение пациентом или его представителем в период оказания медицинской помощи по назначению врача лекарственных препаратов для медицинского применения, включенных в перечень жизненно необходимых и важнейших лекарственных препаратов <2>, и (или) медицинских изделий, включенных в перечень медицинских изделий, имплантируемых в организм человека <3>, на основе клинических рекомендаций, с учетом стандартов медицинской помощи |
0,5 |
0,5 |
2.11. |
Отсутствие в реестре счетов сведений о страховом случае с летальным исходом при наличии сведений о смерти застрахованного лица в период оказания ему медицинской помощи в первичной медицинской документации и учетно-отчетной документации медицинской организации |
0 |
0,6 |
2.12. |
Непредставление медицинской документации, учетно-отчетной документации, подтверждающей факт оказания застрахованному лицу медицинской помощи в медицинской организации, а также результатов внутреннего и внешнего контроля медицинской организации, безопасности оказания медицинской помощи без объективных причин в течение 10 рабочих дней после получения медицинской организацией соответствующего запроса от Федерального фонда обязательного медицинского страхования или территориального фонда обязательного медицинского страхования, или страховой медицинской организации, или специалиста-эксперта, эксперта качества медицинской помощи, действующего по их поручению |
1 |
0 |
2.13. |
Отсутствие в документации (несоблюдение требований к оформлению) информированного добровольного согласия застрахованного лица на медицинское вмешательство или отказа застрахованного лица от медицинского вмешательства в установленных законодательством Российской Федерации случаях <4> |
0,1 |
0 |
2.14. |
Наличие признаков искажения сведений, представленных в медицинской документации (дописки, исправления, "вклейки", полное переоформление с искажением сведений о проведенных диагностических и лечебных мероприятиях, клинической картине заболевания; расхождение сведений об оказании медицинской помощи в различных разделах медицинской документации и (или) учетно-отчетной документации, запрошенной на проведение экспертизы) |
0,5 |
0 |
2.15. |
Дата оказания медицинской помощи, зарегистрированная в первичной медицинской документации и реестре счетов, не соответствует табелю учета рабочего времени врача (в том числе оказание медицинской помощи в период отпуска, обучения, командировок, выходных дней) |
1 |
0 |
2.16. |
Несоответствие данных медицинской документации данным реестра счетов, в том числе: | ||
2.16.1. |
оплаченный случай оказания медицинской помощи не соответствует тарифу, установленному законодательством об обязательном медицинском страховании |
0,1 |
0,3 |
2.16.2. |
включение в счет на оплату медицинской помощи при отсутствии в медицинской документации сведений, подтверждающих факт оказания медицинской помощи застрахованному лицу |
1 |
1 |
2.16.3. |
некорректное (неполное) отражение в реестре счета сведений медицинской документации |
1 |
|
2.17. |
Отсутствие в карте стационарного больного протокола врачебной комиссии в случаях назначения застрахованному лицу лекарственного препарата, не входящего в перечень жизненно необходимых и важнейших лекарственных препаратов |
0 |
0,3 |
2.18. |
Нарушение сроков ожидания медицинской помощи, установленных территориальной либо базовой программой обязательного медицинского страхования |
0 |
0,3 |
Раздел 3. Нарушения, выявляемые при проведении экспертизы качества медицинской помощи | |||
3.1. |
Установление неверного диагноза, связанное с невыполнением, несвоевременным или ненадлежащим выполнением необходимых пациенту диагностических и (или) лечебных мероприятий, оперативных вмешательств в соответствии с порядками оказания медицинской помощи, на основе клинических рекомендаций и с учетом стандартов медицинской помощи, в том числе по результатам проведенного диспансерного наблюдения, с учетом рекомендаций по применению методов профилактики, диагностики, лечения и реабилитации, данных медицинскими работниками национальных медицинских центров в ходе консультаций/консилиумов с применением телемедицинских технологий: | ||
3.1.1. |
не повлиявшее на состояние здоровья застрахованного лица |
0,1 |
0 |
3.1.2. |
приведшее к удлинению или укорочению сроков лечения сверх установленных (за исключением случаев отказа застрахованного лица от медицинского вмешательства в установленных законодательством Российской Федерации случаях) |
0,3 |
0 |
3.1.3. |
приведшее к ухудшению состояния здоровья застрахованного лица, либо создавшее риск прогрессирования имеющегося заболевания, либо создавшее риск возникновения нового заболевания |
0,4 |
0,3 |
3.1.4. |
приведшее к инвалидизации |
0,9 |
1 |
3.1.5. |
приведшее к летальному исходу (в том числе при наличии расхождений клинического и патолого-анатомического диагнозов) |
1 |
3 |
3.2. |
Невыполнение, несвоевременное или ненадлежащее выполнение необходимых пациенту диагностических и (или) лечебных мероприятий, оперативных вмешательств в соответствии с порядками оказания медицинской помощи, на основе клинических рекомендаций и с учетом стандартов медицинской помощи, в том числе по результатам проведенного диспансерного наблюдения, рекомендаций по применению методов профилактики, диагностики, лечения и реабилитации, данных медицинскими работниками национальных медицинских исследовательских центров в ходе консультаций/консилиумов с применением телемедицинских технологий | ||
3.2.1. |
не повлиявшее на состояние здоровья застрахованного лица |
0,1 |
0 |
3.2.2. |
приведшее к ухудшению состояния здоровья застрахованного лица, либо создавшее риск прогрессирования имеющегося заболевания, либо создавшее риск возникновения нового заболевания (за исключением случаев отказа застрахованного лица от медицинского вмешательства в установленных законодательством Российской Федерации случаях) |
0,4 |
0,3 |
3.2.3. |
приведшее к инвалидизации (за исключением случаев отказа застрахованного лица от медицинского вмешательства в установленных законодательством Российской Федерации случаях) |
0,9 |
1 |
3.2.4. |
приведшее к летальному исходу (за исключением случаев отказа застрахованного лица от медицинского вмешательства в установленных законодательством Российской Федерации случаях) |
1 |
3 |
3.2.5. |
рекомендаций медицинских работников национальных медицинских исследовательских центров по применению методов профилактики, диагностики, лечения и реабилитации, данных при проведении указанными центрами консультаций/консилиумов с применением консультаций с применением телемедицинских технологий, при необоснованном невыполнении данных рекомендаций |
0,9 |
1 |
3.2.6. |
по результатам проведенного диспансерного наблюдения |
0,9 |
1 |
3.3. |
Выполнение непоказанных, неоправданных с клинической точки зрения, не регламентированных порядками оказания медицинской помощи, клиническими рекомендациями, стандартами медицинской помощи мероприятий, приведшее к ухудшению состояния здоровья застрахованного лица, либо создавшее риск прогрессирования имеющегося заболевания, либо создавшее риск возникновения нового заболевания |
0,5 |
0,6 |
3.4. |
Преждевременное с клинической точки зрения прекращение оказания медицинской помощи при отсутствии клинического эффекта (за исключением случаев отказа застрахованного лица от медицинского вмешательства в установленных законодательством Российской Федерации случаях) |
0,5 |
0,3 |
3.5. |
Нарушения при оказании медицинской помощи (в частности, преждевременная выписка из медицинской организации), вследствие которых при отсутствии положительной динамики в состоянии здоровья потребовалось повторное обоснованное обращение застрахованного лица за медицинской помощью по поводу того же заболевания в течение четырнадцати дней со дня окончания оказания медицинской помощи амбулаторно, тридцати дней - стационарно (повторная госпитализация) |
0,3 |
0 |
3.6. |
Нарушение по вине медицинской организации преемственности в оказании медицинской помощи (в том числе несвоевременный перевод пациента в медицинскую организацию более высокого уровня), приведшее к удлинению сроков оказания медицинской помощи и (или) ухудшению состояния здоровья застрахованного лица |
0,8 |
1 |
3.7. |
Госпитализация застрахованного лица в плановой или неотложной форме с нарушением требований к профильности оказанной медицинской помощи (непрофильная госпитализация), кроме случаев госпитализации в неотложной и экстренной форме с последующим переводом в течение суток в профильные медицинские организации (структурные подразделения медицинских организаций) |
1 |
0,3 |
3.8. |
Госпитализация застрахованного лица без медицинских показаний (необоснованная госпитализация), медицинская помощь которому могла быть предоставлена в установленном объеме амбулаторно, в дневном стационаре, отсутствие пациента в медицинской организации на дату проверки |
1 |
0,3 |
3.9. |
Необоснованное повторное посещение врача одной и той же специальности в один день при оказании медицинской помощи амбулаторно, за исключением повторного посещения для определения показаний к госпитализации, операции, консультациям в других медицинских организациях, в связи с выпиской лекарственных препаратов группам населения, при амбулаторном лечении которых лекарственные препараты отпускаются по рецептам врачей бесплатно и с 50-процентной скидкой, наблюдения беременных женщин, посещений, связанных с выдачей справок и иных медицинских документов |
1 |
0,3 |
3.10. |
Наличие расхождений клинического и патолого-анатомического диагнозов 2 - 3 категории, обусловленное непроведением необходимых диагностических исследований (за исключением оказания медицинской помощи в экстренной форме) |
0,9 |
0,5 |
3.11. |
Отсутствие в медицинской документации результатов обследований, осмотров, консультаций специалистов, дневниковых записей, позволяющих оценить динамику состояния здоровья застрахованного лица, объем, характер, условия предоставления медицинской помощи и провести оценку качества оказанной медицинской помощи |
0,5 |
0 |
3.12. |
Нарушение прав застрахованных лиц на выбор медицинской организации из медицинских организаций, участвующих в реализации территориальной программы обязательного медицинского страхования, базовой программы обязательного медицинского страхования; на выбор врача |
0 |
0,3 |
3.13. |
Необоснованное назначение лекарственных препаратов; одновременное назначение лекарственных препаратов со схожим фармакологическим действием; нерациональная лекарственная терапия, в том числе несоответствие дозировок, кратности и длительности приема лекарственных препаратов с учетом стандартов медицинской помощи и клинических рекомендаций, связанные с риском для здоровья пациента |
0,5 |
0,6 |
3.14. |
Необоснованный отказ застрахованным лицам в оказании медицинской помощи в соответствии с программами обязательного медицинского страхования, в том числе: | ||
3.14.1. |
с отсутствием последующего ухудшения состояния здоровья |
|
1 |
3.14.2. |
с последующим ухудшением состояния здоровья |
|
2 |
3.14.3. |
приведший к летальному исходу |
|
3 |
3.15. |
Непроведение диспансерного наблюдения застрахованного лица (за исключением случаев отказа застрахованного лица, проинформированного лечащим врачом и (или) страховым представителем о возможности прохождения диспансерного наблюдения, от его прохождения), включенного в группу диспансерного наблюдения, в соответствии с порядком и периодичностью проведения диспансерного наблюдения и перечнем включаемых в указанный порядок исследований, в том числе: | ||
3.15.1. |
с отсутствием последующего ухудшения состояния здоровья |
|
1 |
3.15.2. |
с последующим ухудшением состояния здоровья (за исключением случаев отказа застрахованного лица, проинформированного лечащим врачом и (или) страховым представителем о возможности прохождения диспансерного наблюдения, от его прохождения) |
|
2 |
3.15.3. |
приведший к летальному исходу (за исключением случаев отказа застрахованного лица, проинформированного лечащим врачом и (или) страховым представителем о возможности прохождения диспансерного наблюдения, от его прохождения) |
|
3 |
<1> В соответствии с частью 1
статьи 32 Федерального закона от 29 ноября
2010 г. N 326-ФЗ "Об обязательном медицинском
страховании в Российской Федерации"
(Собрание законодательства Российской
Федерации, 2010, N 49, ст. 6422; 2017, N 1, ст. 34).
<2> Распоряжение Правительства
Российской Федерации от 12 октября 2019 г. N
2406-р (Собрание законодательства
Российской Федерации, 2019, N 42, ст. 5979; 2020, N
48, ст. 7813).
<3> Распоряжение Правительства
Российской Федерации 31 декабря 2018 г. N
3053-р (Собрание законодательства
Российской Федерации, 2019, N 2, ст. 196; N 41, ст.
5780).
<4> В соответствии со статьей 20
Федерального закона от 21 ноября 2011 г. N
323-ФЗ "Об основах охраны здоровья граждан
в Российской Федерации" (Собрание
законодательства Российской Федерации,
2011, N 48, ст. 6724; 2020, N 29, ст. 4516).".
Приложение N 18
к Дополнительному соглашению
от 25.03.2022 N 2
к Тарифному соглашению
в сфере обязательного медицинского
страхования
на территории Ивановской области на 2022
год
"Приложение N 35
к Тарифному соглашению
в сфере обязательного медицинского
страхования
на территории Ивановской области на 2022
год
ТАРИФЫ ДЛЯ ОПЛАТЫ СТОМАТОЛОГИЧЕСКОЙ
МЕДИЦИНСКОЙ ПОМОЩИ С 01.01.2022
руб.
|
Наименование должности специалиста | |||||
|
Врач-стоматолог |
Врач-стоматолог детский |
Врач - стоматолог-терапевт |
Врач - стоматолог-хирург |
Врач-ортодонт |
Зубной врач |
1 уровень | ||||||
1 УЕТ, руб. (код услуги 6) |
70,01 |
70,01 |
70,01 |
70,01 |
70,01 |
70,01 |
Посещение с профилактическими и иными целями <*> |
280,04 |
280,04 |
280,04 |
280,04 |
280,04 |
280,04 |
Обращение по заболеванию <*> |
658,09 |
658,09 |
658,09 |
658,09 |
658,09 |
658,09 |
2 уровень | ||||||
1 УЕТ, руб. (код услуги 6) |
73,69 |
73,69 |
73,69 |
73,69 |
73,69 |
73,69 |
Посещение с профилактическими и иными целями <*> |
294,76 |
294,76 |
294,76 |
294,76 |
294,76 |
294,76 |
Обращение по заболеванию <*> |
692,69 |
692,69 |
692,69 |
692,69 |
692,69 |
692,69 |
3 уровень | ||||||
1 УЕТ, руб. (код услуги 6) |
74,43 |
74,43 |
74,43 |
74,43 |
74,43 |
74,43 |
Посещение с профилактическими и иными целями <*> |
297,72 |
297,72 |
297,72 |
297,72 |
297,72 |
297,72 |
Обращение по заболеванию <*> |
699,64 |
699,64 |
699,64 |
699,64 |
699,64 |
699,64 |
* Тарифы на посещение с
профилактическими и иными целыми и на
обращение по заболеванию представлены
условно и для оплаты не применяются
(рассчитываются как стоимость УЕТы на
число УЕТ в одном посещении с
профилактической и иной целью (4,0) и число
УЕТ в одном обращении по заболеванию (9,4)
соответственно, согласно стр. 22 инф.
письма Минздрава России N 11-7/И/2-275 от
13.01.2022).
Перечень медицинских организаций,
оказывающих стоматологическую
медицинскую помощь, с учетом уровня
оказания медицинской помощи
1 уровень (стоматологические кабинеты городских и районных поликлиник и больниц, отделений врача общей практики и фельдшерских, фельдшерско-акушерских пунктов) | |
1 |
ОБУЗ "ГКБ N 3 г. Иванова" |
2 |
ОБУЗ Верхнеландеховская ЦРБ |
3 |
ОБУЗ "Гаврилово-Посадская ЦРБ" |
4 |
ОБУЗ Ильинская ЦРБ |
5 |
ОБУЗ "Комсомольская ЦБ" |
6 |
ОБУЗ "Кохомская городская больница" |
7 |
ОБУЗ Лежневская ЦРБ |
8 |
ОБУЗ Лухская ЦРБ |
9 |
ОБУЗ "Палехская ЦРБ" |
10 |
ОБУЗ "Пестяковская ЦРБ" |
11 |
ОБУЗ Приволжская ЦРБ |
12 |
ОБУЗ Пучежская ЦРБ |
13 |
ОБУЗ "Родниковская ЦРБ" |
14 |
ОБУЗ Фурмановская ЦРБ |
15 |
ОБУЗ "Южская ЦРБ" |
16 |
ФГБУЗ МЦ "Решма" ФМБА России |
2 уровень (стоматологические поликлиники центральных районных больниц и стоматологические отделения городских поликлиник) | |
17 |
ОБУЗ 1 ГКБ |
18 |
ОБУЗ "ИКБ им. Куваевых" |
19 |
ОБУЗ "ГКБ N 4" |
20 |
ОБУЗ ГКБ N 7 |
21 |
ОБУЗ "ДГКБ N 5" г. Иваново |
22 |
ОБУЗ "Кинешемская ЦРБ" |
23 |
ОБУЗ "Вичугская ЦРБ" |
24 |
ОБУЗ "Тейковская ЦРБ" |
25 |
ОБУЗ "Шуйская ЦРБ" |
3 уровень (медицинские организации, оказывающие стоматологическую помощь, не имеющие прикрепленного населения) | |
26 |
ОБУЗ "Стоматологическая поликлиника N 1" |
27 |
ОБУЗ "ИвОКБ" |
28 |
ОБУЗ "Кардиологический диспансер" |
29 |
ЧУЗ "КБ "РЖД-Медицина" г. Иваново" |
30 |
ФКУЗ "МСЧ МВД России по Ивановской области" |
".
Приложение N 19
к Дополнительному соглашению
от 25.03.2022 N 2
к Тарифному соглашению
в сфере обязательного медицинского
страхования
на территории Ивановской области на 2022
год
"Приложение N 38
к Тарифному соглашению
в сфере обязательного медицинского
страхования
на территории Ивановской области на 2022
год
КОЭФФИЦИЕНТ СПЕЦИФИКИ ОКАЗАНИЯ
МЕДИЦИНСКОЙ ПОМОЩИ МЕДИЦИНСКОЙ
ОРГАНИЗАЦИИ, УЧИТЫВАЮЩИЙ ПРОВЕДЕНИЕ
ПРОФИЛАКТИЧЕСКОГО МЕДИЦИНСКОГО ОСМОТРА
И ДИСПАНСЕРИЗАЦИИ
с 01.03.2022
N п/п |
Наименование МО |
Значение коэффициента уровня |
1 |
ОБУЗ 1 ГКБ |
1,660821 |
2 |
ОБУЗ ИКБ им. Куваевых |
1,667931 |
3 |
ОБУЗ "ГКБ N 3 г. Иванова" |
1,654060 |
4 |
ОБУЗ "ГКБ N 4" |
1,608285 |
5 |
ОБУЗ ГКБ N 7 |
1,675702 |
6 |
ОБУЗ "ДГКБ N 5" г. Иваново |
1,794363 |
7 |
ОБУЗ Вичугская ЦРБ |
1,607467 |
8 |
ОБУЗ "Кинешемская ЦРБ" |
1,553082 |
9 |
ФГБУЗ МЦ "Решма" ФМБА России |
1,241720 |
10 |
ОБУЗ Приволжская ЦРБ |
1,429808 |
11 |
ОБУЗ "Родниковская ЦРБ" |
1,935419 |
12 |
ОБУЗ "Тейковская ЦРБ" |
1,543915 |
13 |
ОБУЗ Фурмановская ЦРБ |
1,651431 |
14 |
ОБУЗ "Шуйская ЦРБ" |
1,593599 |
15 |
ОБУЗ Верхнеландеховская ЦРБ |
1,620600 |
16 |
ОБУЗ "Гаврилово-Посадская ЦРБ" |
1,582688 |
17 |
ОБУЗ Ильинская ЦРБ |
1,549466 |
18 |
ОБУЗ "Комсомольская ЦБ" |
1,620456 |
19 |
ОБУЗ "Кохомская городская больница" |
1,645889 |
20 |
ОБУЗ Лежневская ЦРБ |
1,618542 |
21 |
ОБУЗ Лухская ЦРБ |
1,500103 |
22 |
ОБУЗ "Палехская ЦРБ" |
1,542051 |
23 |
ОБУЗ "Пестяковская ЦРБ" |
1,622811 |
24 |
ОБУЗ Пучежская ЦРБ |
1,611600 |
25 |
ОБУЗ "Южская ЦРБ" |
1,634936 |
".




