Дополнение N 4 к тарифному соглашению по
базовой программе обязательного
медицинского страхования на территории
Тюменской области на 2022 год
от 16 марта 2022 года
г. Тюмень
Раздел I. ОБЩИЕ ПОЛОЖЕНИЯ
В соответствии с частью 2 статьи 30
Федерального закона от 29.11.2010 N 326-ФЗ "Об
обязательном медицинском страховании в
Российской Федерации", постановлением
Правительства Тюменской области от
27.12.2011 N 487-п "О создании Комиссии по
разработке территориальной программы
обязательного медицинского страхования
в Тюменской области", представители
Сторон, включенные в состав Комиссии по
разработке территориальной программы
обязательного медицинского страхования
в Тюменской области:
От Правительства Тюменской
области:
Логинова Наталья Валерьевна -
директор Департамента здравоохранения
Тюменской области
Новикова Татьяна Сергеевна -
заместитель директора Департамента
здравоохранения Тюменской области
От территориального фонда
обязательного медицинского страхования
Тюменской области:
Гиберт Юрий Борисович - директор
Логинова Ирина Юрьевна -
заместитель директора по экономике
От медицинских профессиональных
некоммерческих организаций или их
ассоциаций (союзов):
Воробьев Игорь Александрович -
исполнительный директор Ассоциации
"Тюменское региональное медицинское
общество"
Кудряков Андрей Юрьевич - член
Ассоциации "Тюменское региональное
медицинское общество"
От профессиональных союзов
медицинских работников или их
объединений (ассоциаций):
Кудряшов Валерий Павлович -
председатель обкома профсоюза
работников здравоохранения Российской
Федерации
Воропаева Марина Александровна -
член Тюменской областной организации
Профсоюза работников здравоохранения
Российской Федерации
От страховых медицинских
организаций:
Кобзева Наталья Мансуровна -
директор Тюменского филиала АО
"Страховая компания "СОГАЗ-Мед"
Кремлева Наталья Олеговна -
директор Тюменского филиала ООО
"АльфаСтрахование-ОМС"
Согласовали Дополнение N 4 к
Тарифному соглашению по базовой
программе ОМС на территории Тюменской
области.
Внести в Тарифное соглашение по
базовой программе ОМС на территории
Тюменской области на 2022 год следующие
изменения:
1. В Разделе II. СПОСОБЫ ОПЛАТЫ,
ПРИМЕНЯЕМЫЕ В ТЮМЕНСКОЙ ОБЛАСТИ пункт 1)
изложить в следующей редакции:
1) Медицинской помощи, оказанной в
амбулаторных условиях <2>, <3>, <6>:
1.1) по подушевому нормативу
финансирования на прикрепившихся лиц (за
исключением расходов на проведение
компьютерной томографии,
магнитно-резонансной томографии,
ультразвукового исследования
сердечно-сосудистой системы,
эндоскопических диагностических
исследований, молекулярно-генетических
исследований и патологоанатомических
исследований биопсийного
(операционного) материала с целью
диагностики онкологических заболеваний
и подбора противоопухолевой
лекарственной терапии (далее -
молекулярно-генетические исследования и
патологоанатомические исследования
биопсийного (операционного) материала),
тестирования на выявление новой
коронавирусной инфекции (COVID-19),
углубленной диспансеризации, а также
средств на финансовое обеспечение
фельдшерских, фельдшерско-акушерских
пунктов <4>) с учетом показателей
результативности деятельности
медицинской организации (включая
показатели объема медицинской помощи)
<5>, в том числе с включением расходов
на медицинскую помощь, оказываемую в
иных медицинских организациях и
оплачиваемую за единицу объема
медицинской помощи;
1.2) за единицу объема медицинской
помощи - за медицинскую услугу,
посещение, обращение (законченный
случай) при оплате:
медицинской помощи, оказанной
застрахованным лицам за пределами
субъекта Российской Федерации, на
территории которого выдан ОМС;
медицинской помощи, оказанной в
медицинских организациях, не имеющих
прикрепившихся лиц;
медицинской помощи, оказанной
медицинской организацией (в том числе по
направлениям, выданным иной медицинской
организацией), источником финансового
обеспечения которой являются средства
подушевого норматива финансирования на
прикрепившихся лиц, получаемые иной
медицинской организацией;
отдельных диагностических
(лабораторных) исследований -
компьютерной томографии,
магнитно-резонансной томографии,
ультразвукового исследования
сердечно-сосудистой системы,
эндоскопических диагностических
исследований, молекулярно-генетических
исследований и патологоанатомических
исследований биопсийного
(операционного) материала, тестирования
на выявление новой коронавирусной
инфекции (COVID-19);
углубленной диспансеризации
<12>.
Финансовое обеспечение
профилактических медицинских осмотров и
диспансеризации включается в подушевой
норматив финансирования на
прикрепившихся лиц и осуществляется с
учетом показателей результативности
деятельности медицинской организации,
включая показатели установленного
объема профилактических медицинских
осмотров и диспансеризации, проводимых в
соответствии с порядками, утверждаемыми
Минздравом Российской Федерации в
соответствии с Федеральным законом N
323-ФЗ.
Подушевой норматив финансирования
на прикрепившихся лиц включает в том
числе расходы на оказание медицинской
помощи с применением телемедицинских
технологий.
В подушевой норматив
финансирования на прикрепившихся лиц не
включаются расходы на медицинскую
помощь: оказываемую в неотложной форме;
по профилю "Акушерство и гинекология"; по
профилю "Стоматология"; по заболеванию
при оказании медицинской помощи по
профилю "Медицинская реабилитация";
оказанную в Центрах здоровья; оказанную
в Центрах амбулаторной онкологической
помощи; диагностические (лабораторные)
исследования (проведение компьютерной
томографии, магнитно-резонансной
томографии, ультразвукового
исследования сердечно-сосудистой
системы, эндоскопических
диагностических исследований,
молекулярно-генетических исследований и
патологоанатомических исследований
биопсийного (операционного) материала с
целью диагностики онкологических
заболеваний и подбора противоопухолевой
лекарственной терапии (далее -
молекулярно-генетические исследования и
патологоанатомические исследования
биопсийного (операционного) материала),
тестирования на выявление новой
коронавирусной инфекции (COVID-19);
проведение углубленной диспансеризации;
проведение отдельных видов
диагностических (лабораторных)
исследований (проведение радионуклидных
методов диагностического исследования
(однофотонная эмиссионная компьютерная
томография, позитронно-эмиссионная
компьютерная томография, совмещенная с
компьютерной томографией, сцинтиграфия),
цитологических исследований,
молекулярно-биологических исследований
на вирус папилломы человека,
ультразвукового исследования в рамках II
этапа пренатального скрининга
беременных, лабораторных медицинских
услуг централизованных лабораторий в
порядке, определенном Департаментом
здравоохранения Тюменской области);
финансовое обеспечение фельдшерских,
фельдшерско-акушерских пунктов в
соответствии с установленными
Территориальной программой ОМС
размерами финансового обеспечения
фельдшерских, фельдшерско-акушерских
пунктов <4>.
2. Перечень показателей
результативности деятельности
медицинских организаций, финансируемых
по подушевому нормативу финансирования
на прикрепившихся лиц, при выполнении
территориальной программы
обязательного медицинского страхования
в части первичной (первичной
специализированной) медико-санитарной
помощи, и порядок осуществления выплат
медицинским организациям за достижение
показателей результативности
деятельности медицинских организаций,
установленные Приложениями N 5, 5.1,
изложить в редакции в соответствии с
Приложениями N 1, 2 к настоящему
Дополнению.
3. Приложения N 22.2, 22.3, 25, 30 изложить в
редакции в соответствии с Приложениями N
3, 4, 5, 6 к настоящему Дополнению.
4. Перечень оснований для отказа в
оплате медицинской помощи (размеры
неоплаты, неполной оплаты медицинской
помощи) в системе обязательного
медицинского страхования Тюменской
области, установленный Приложением N 33,
изложить в редакции в соответствии с
Приложением N 7 к настоящему Дополнению.
5. Настоящее Дополнение к Тарифному
соглашению вступает в силу с 01.01.2022, в
части п. 4 - с 12.03.2022.
Приложение N 1
к Дополнению N 4 к Тарифному соглашению
по базовой программе ОМС на территории
Тюменской области на 2022 год
от 16.03.2021
Приложение N 5
к Тарифному соглашению по базовой
программе ОМС
на территории Тюменской области на 2022
год
от 03.02.2022
ПОКАЗАТЕЛИ РЕЗУЛЬТАТИВНОСТИ
ДЕЯТЕЛЬНОСТИ МЕДИЦИНСКИХ ОРГАНИЗАЦИЙ,
ФИНАНСИРУЕМЫХ ПО ПОДУШЕВОМУ НОРМАТИВУ
ФИНАНСИРОВАНИЯ НА ПРИКРЕПИВШИХСЯ ЛИЦ,
ПРИ ВЫПОЛНЕНИИ ТЕРРИТОРИАЛЬНОЙ
ПРОГРАММЫ ОБЯЗАТЕЛЬНОГО МЕДИЦИНСКОГО
СТРАХОВАНИЯ В ЧАСТИ ПЕРВИЧНОЙ (ПЕРВИЧНОЙ
СПЕЦИАЛИЗИРОВАННОЙ) МЕДИКО-САНИТАРНОЙ
ПОМОЩИ
N |
Наименование показателя |
Результат |
Индикатор выполнения показателя |
Целевое значение <****> |
Максимальный балл <*> |
Итоговый коэффициент <*> |
Блок 1. Взрослое население (в возрасте 18 лет и старше) - включает показатели, характеризующие оценку эффективности профилактических мероприятий взрослому населению (от 18 лет и старше) в рамках проведения профилактических осмотров и диспансеризации с целью выявления важнейших неинфекционных заболеваний; выполнение плана вакцинации взрослых по эпидемиологическим показаниям; оценку эффективности диспансерного наблюдения пациентов, страдающих хроническими неинфекционными заболеваниями, в том числе из группы высокого риска преждевременной смерти, включая заболевания системы кровообращения, обусловливающие высокий риск преждевременной смерти; оценку смертности населения |
25 |
22 - 25 баллов: коэффициент 1; 14 - 21 баллов: коэффициент 0,5; менее 14 баллов: коэффициент 0. | ||||
Оценка эффективности профилактических мероприятий |
| |||||
1 |
Доля врачебных посещений с профилактической целью за период, от общего числа посещений за период (включая посещения на дому). |
Прирост показателя за период по отношению к показателю за предыдущий период |
Прирост < 5% - 0 баллов; Прирост >= 5% - 0,5 балла; Прирост >= 10% - 1 балл |
Не менее 40% |
1 |
|
2 |
Доля взрослых пациентов с болезнями системы кровообращения, выявленными впервые при профилактических медицинских осмотрах и диспансеризации за период, от общего числа взрослых пациентов с болезнями системы кровообращения с впервые в жизни установленным диагнозом за период. |
Прирост показателя за период по отношению к показателю за предыдущий период |
Прирост < 5% - 0 баллов; Прирост >= 5% - 1 балла; Прирост >= 10% - 2 балл |
Не менее 20% |
2 |
|
3 |
Доля взрослых пациентов с установленным диагнозом злокачественное новообразование, выявленным впервые при профилактических медицинских осмотрах и диспансеризации за период, от общего числа взрослых пациентов с впервые в жизни установленным диагнозом злокачественное новообразование за период. |
Прирост показателя за период по отношению к показателю за предыдущий период |
Прирост < 5% - 0 баллов; Прирост >= 5% - 0,5 балла; Прирост >= 10% - 1 балл |
Не менее 30% |
1 |
|
4 |
Доля взрослых пациентов с установленным диагнозом хроническая обструктивная болезнь легких, выявленным впервые при профилактических медицинских осмотрах и диспансеризации за период, от общего числа взрослых пациентов с впервые в жизни установленным диагнозом хроническая обструктивная легочная болезнь за период. |
Прирост показателя за период по отношению к показателю за предыдущий период |
Прирост < 5% - 0 баллов; Прирост >= 5% - 0,5 балла; Прирост >= 10% - 1 балл |
Не менее 8% |
1 |
|
5 |
Доля взрослых пациентов с установленным диагнозом сахарный диабет, выявленным впервые при профилактических медицинских осмотрах и диспансеризации за период, от общего числа взрослых пациентов с впервые в жизни установленным диагнозом сахарный диабет за период. |
Прирост показателя за период по отношению к показателю за предыдущий период |
Прирост < 5% - 0 баллов; Прирост >= 5% - 0,5 балла; Прирост >= 10% - 1 балл |
Не менее 15% |
1 |
|
6 |
Выполнение плана вакцинации взрослых граждан по эпидемиологическим показаниям за период (коронавирусная инфекция COVID-19). |
Достижение целевого показателя |
100% плана от норматива или более |
100% - 1 балл, 97 - 99% - 0,8 баллов, 95 - 96% - 0,5 баллов, менее 95% - 0 баллов |
2 |
|
Оценка эффективности диспансерного наблюдения |
| |||||
7 |
Доля взрослых пациентов с болезнями системы кровообращения <**>, имеющих высокий риск преждевременной смерти, состоящих под диспансерным наблюдением, от общего числа взрослых пациентов с болезнями системы кровообращения <**>, имеющих высокий риск преждевременной смерти, за период. |
Прирост показателя за период по отношению к показателю за предыдущий период |
Прирост < 5% - 0 баллов; Прирост >= 5% - 0,5 балла; Прирост >= 10% - 1 балл |
Не менее 85% |
2 |
|
8 |
Число взрослых пациентов с болезнями системы кровообращения <**>, имеющих высокий риск преждевременной смерти, которым за период оказана медицинская помощь в неотложной форме и (или) скорая медицинская помощь, от общего числа взрослых пациентов с болезнями системы кровообращения <**>, имеющих высокий риск преждевременной смерти, за период. |
Уменьшение показателя за период по отношению к показателю за предыдущий период |
Уменьшение < 5% - 0 баллов; Уменьшение >= 5% - 0,5 балла; Уменьшение >= 10% - 1 балл |
Не менее 85% |
1 |
|
9 |
Доля взрослых пациентов с болезнями системы кровообращения, в отношении которых установлено диспансерное наблюдение за период, от общего числа взрослых пациентов с впервые в жизни установленным диагнозом болезни системы кровообращения за период. |
Достижение целевого показателя |
100% плана от норматива или более |
100% - 1 балл, 97 - 99% - 0,8 баллов, 95 - 96% - 0,5 баллов, менее 95% - 0 баллов |
1 |
|
10 |
Доля взрослых пациентов с установленным диагнозом хроническая обструктивная болезнь легких, в отношении которых установлено диспансерное наблюдение за период, от общего числа взрослых пациентов с впервые в жизни установленным диагнозом хроническая обструктивная болезнь легких за период. |
Достижение целевого показателя |
100% плана от норматива или более |
100% - 1 балл, 97 - 99% - 0,8 баллов, 95 - 96% - 0,5 баллов, менее 95% - 0 баллов |
1 |
|
11 |
Доля взрослых пациентов с установленным диагнозом сахарный диабет, в отношении которых установлено диспансерное наблюдение за период, от общего числа взрослых пациентов с впервые в жизни установленным диагнозом сахарный диабет за период. |
Достижение целевого показателя |
100% плана от норматива или более |
100% - 1 балл, 97 - 99% - 0,8 баллов, 95 - 96% - 0,5 баллов, менее 95% - 0 баллов |
2 |
|
12 |
Доля взрослых пациентов, госпитализированных за период по экстренным показаниям в связи с обострением (декомпенсацией) состояний, по поводу которых пациент находится под диспансерным наблюдением, от общего числа взрослых пациентов, находящихся под диспансерным наблюдением за период. |
Уменьшение показателя за период по отношению к показателю за предыдущий период |
Уменьшение < 5% - 0 баллов; Уменьшение >= 5% - 0,5 балла; Уменьшение >= 10% - 1 балл |
|
1 |
|
13 |
Доля взрослых пациентов, повторно госпитализированных за период по причине заболеваний сердечно-сосудистой системы или их осложнений в течение года с момента предыдущей госпитализации, от общего числа взрослых пациентов, госпитализированных за период по причине заболеваний сердечно-сосудистой системы или их осложнений. |
Уменьшение показателя за период по отношению к показателю за предыдущий период |
Уменьшение < 5% - 0 баллов; Уменьшение >= 5% - 1 балла; Уменьшение >= 10% - 2 балл |
|
2 |
|
14 |
Доля взрослых пациентов, находящихся под диспансерным наблюдением по поводу сахарного диабета, у которых впервые зарегистрированы осложнения за период (диабетическая ретинопатия, диабетическая стопа), от общего числа взрослых пациентов, находящихся под диспансерным наблюдением по поводу сахарного диабета за период. |
Уменьшение показателя за период по отношению к показателю за предыдущий период |
Уменьшение < 5% - 0 баллов; Уменьшение >= 5% - 0,5 балла; Уменьшение >= 10% - 1 балл |
|
1 |
|
Оценка смертности |
| |||||
15 |
Смертность прикрепленного населения в возрасте от 30 до 69 лет за период. |
Уменьшение показателя за период по отношению к показателю в предыдущем периоде (среднее значение коэффициента смертности за 2019 (показатель - 927,9), 2020 (показатель - 1054,0), 2021 годы (показатель - 1162,6) |
Уменьшение < 5% - 0 баллов; Уменьшение >= 5% - 1,5 балла; Уменьшение >= 10% - 3 балл |
Показатель не более 1163 |
3 |
|
16 |
Число умерших за период, находящихся под диспансерным наблюдением, от общего числа взрослых пациентов, находящихся под диспансерным наблюдением. |
Уменьшение показателя за период по отношению к показателю в предыдущем периоде |
Уменьшение < 5% - 0 баллов; Уменьшение >= 5% - 1,5 балла; Уменьшение >= 10% - 3 балл |
|
3 |
|
Блок 2. Детское население (от 0 до 17 лет включительно) - включает показатели, характеризующие оценку эффективности профилактических мероприятий среди детского населения (от 0 до 17 лет) при выполнении плана вакцинации в рамках Национального календаря прививок; осуществления диспансерного наблюдения детей, имеющих хронические соматические заболевания с целью предотвращения инвалидности и развития хронических неинфекционных заболеваний в будущем, а также оценку смертности детского населения |
10 |
9 - 10 баллов: коэффициент 1; 5 - 8 баллов: коэффициент 0,5; менее 5 баллов: коэффициент 0. | ||||
Оценка эффективности профилактических мероприятий |
| |||||
1 |
Охват вакцинацией детей в рамках Национального календаря прививок. |
Достижение целевого показателя |
100% плана или более |
100% - 1 балл, 95 - 99% - 0,5 баллов, менее 95% - 0 баллов |
1 |
|
2 |
Доля детей, в отношении которых установлено диспансерное наблюдение по поводу болезней костно-мышечной системы и соединительной ткани за период, от общего числа детей с впервые в жизни установленными диагнозами болезней костно-мышечной системы и соединительной ткани за период. |
Достижение целевого показателя |
100% от числа подлежащих диспансерному наблюдению |
100% - 1 балл, до 80% - 0,5 баллов, менее 80% - 0 баллов |
1 |
|
3 |
Доля детей, в отношении которых установлено диспансерное наблюдение по поводу болезней глаза и его придаточного аппарата за период, от общего числа детей с впервые в жизни установленными диагнозами болезней глаза и его придаточного аппарата за период. |
Достижение целевого показателя |
100% от числа подлежащих диспансерному наблюдению |
100% - 1 балл, до 80% - 0,5 баллов, менее 80% - 0 баллов |
1 |
|
4 |
Доля детей, в отношении которых установлено диспансерное наблюдение по поводу болезней органов пищеварения за период, от общего числа детей с впервые в жизни установленными диагнозами болезней органов пищеварения за период. |
Достижение целевого показателя |
100% от числа подлежащих диспансерному наблюдению |
100% - 1 балл, до 80% - 0,5 баллов, менее 80% - 0 баллов |
1 |
|
5 |
Доля детей, в отношении которых установлено диспансерное наблюдение по поводу болезней системы кровообращения за период от общего числа детей с впервые в жизни установленными диагнозами болезней системы кровообращения за период. |
Достижение целевого показателя |
100% от числа подлежащих диспансерному наблюдению |
100% - 1 балл, до 85% - 0,5 баллов, менее 85% - 0 баллов |
2 |
|
6 |
Доля детей, в отношении которых установлено диспансерное наблюдение по поводу болезней эндокринной системы, расстройства питания и нарушения обмена веществ за период, от общего числа детей с впервые в жизни установленными диагнозами болезней эндокринной системы, расстройства питания и нарушения обмена веществ за период. |
Достижение целевого показателя |
100% от числа подлежащих диспансерному наблюдению |
100% - 1 балл, до 85% - 0,5 баллов, менее 85% - 0 баллов |
1 |
|
Оценка смертности |
| |||||
7 |
Смертность детей в возрасте 0 - 17 лет за период. |
Уменьшение показателя за период по отношению к показателю в предыдущем периоде |
Уменьшение < 5% - 0 баллов; Уменьшение >= 5% - 1,5 балла; Уменьшение >= 10% - 3 балл |
Показатель не более 53 |
3 |
|
Блок 3. Оказание акушерско-гинекологической помощи <*****> |
6 |
5 - 6 баллов: коэффициент 1; 5 - 4 баллов: коэффициент 0,5; менее 4 баллов: коэффициент 0. | ||||
1 |
Доля женщин, отказавшихся от искусственного прерывания беременности, от числа женщин, прошедших доабортное консультирование за период. |
Прирост показателя за период по отношению к показателю за предыдущий период |
Прирост < 5% - 0 баллов; Прирост >= 5% - 0,5 балла; Прирост >= 10% - 1 балл |
|
1 |
|
2 |
Доля беременных женщин, вакцинированных от коронавирусной инфекции (COVID-19), за период, от числа женщин, состоящих на учете по беременности и родам на начало периода. |
Достижение целевого показателя |
100% плана или более |
100% - 1 балл, до 80% - 0,5 баллов, менее 80% - 0 баллов |
1 |
|
3 |
Доля женщин с установленным диагнозом злокачественное новообразование шейки матки, выявленным впервые при диспансеризации, от общего числа женщин с установленным диагнозом злокачественное новообразование шейки матки за период. |
Прирост показателя за период по отношению к показателю за предыдущий период |
Прирост < 5% - 0 баллов; Прирост >= 5% - 0,5 балла; Прирост >= 10% - 1 балл |
|
1 |
|
4 |
Доля женщин с установленным диагнозом злокачественное новообразование молочной железы, выявленным впервые при диспансеризации, от общего числа женщин с установленным диагнозом злокачественное новообразование молочной железы за период. |
Прирост показателя за период по отношению к показателю за предыдущий период |
Прирост < 5% - 0 баллов; Прирост >= 5% - 0,5 балла; Прирост >= 10% - 1 балл |
|
1 |
|
5 |
Доля беременных женщин, прошедших скрининг в части оценки антенатального развития плода за период, от общего числа женщин, состоявших на учете по поводу беременности и родов за период. |
Достижение целевого показателя |
100% плана или более |
100% - 1 балл, до 80% - 0,5 баллов, менее 80% - 0 баллов |
2 |
|
ИТОГО |
41 |
| ||||
1 часть |
Распределение 70% объема средств по итогам оценки достижения целевых показателей результативности |
Достижение целевого показателя |
не менее 50% целевых значений показателей (не менее 50% от максимального количества баллов (41 балл) |
|
|
Суммирование 1, 2 и 3 частей |
2 часть |
Распределение 30% объема средств по итогам оценки достижения целевых показателей результативности |
Достижение целевого показателя |
не менее 70% целевых значений показателей (не менее 70% от максимального количества баллов (41 балл) |
|
|
|
Выполнение объемов медицинской помощи - включает показатели, характеризующие оценку исполнения объемов медицинской помощи, в том числе показателей и/или результатов, установленных в региональных проектах национальных проектов "Здравоохранение" |
Итоговый коэффициент | |||||
1 |
Фактический объем предоставления медицинской помощи с профилактической и иными целями, а также обращений по заболеванию |
Достижение целевого показателя |
- |
>= 90% |
- |
1 |
|
|
Достижение целевого показателя |
- |
< 90% |
- |
0,9 |
Примечание:
* рассчитывается по сумме баллов
** к группам диагнозов,
обуславливающих высокий риск смерти***,
относится:
Основной диагноз |
Ишемические болезни сердца I20 - I25 |
|
Гипертензивные болезни I10 - I11; I12 - I13 |
|
Цереброваскулярные болезни I60 - I69 |
Сопутствующие заболевания |
Сахарный диабет E10 - E11 |
|
Хроническая обструктивная легочная болезнь J44.0 - J44.9 |
|
Хроническая болезнь почек, гипертензивная болезнь с поражением почек N 18.1 - N 18.9 |
Осложнение заболевания |
Недостаточность сердечная I50.0 - I50.9 |
|
Нарушение ритма I48 - 49 |
|
Нарушения проводимости I44 - I45 |
|
Сердце легочное хроническое I27.9 |
|
Гипостатическая пневмония J18.2 |
|
Недостаточность почечная N 18.9 |
|
Уремия N 19 |
|
Гангрена R02 |
|
Недостаточность легочная J98.4 |
|
Эмфизема J43.9 |
*** - Любое сочетание сопутствующих
заболеваний и осложнений с основным
диагнозом.
**** - в условиях распространения
новой коронавирусной инфекции (COVID-19) и
установления на территории Тюменской
области ограничительных мер по
обеспечению
санитарно-эпидемиологического
благополучия населения в связи с
распространением новой коронавирусной
инфекции (COVID-19) и до дня их отмены, оценка
значения целевого показателя
формируется Комиссией с учетом
особенностей оказания медицинской
помощи в указанный период.
Оценка проводится с учетом
эпидемиологической обстановки с
установлением даты, с которой
осуществляется финансовое обеспечение
медицинской помощи, оказанной
медицинской организацией, имеющей
прикрепившихся лиц, с учетом исполнения
показателей результативности
деятельности.
***** - В случае, когда группа
показателей результативности одного из
блоков неприменима для конкретной
медицинской организации и (или)
отчетного периода, суммарный
максимальный балл и итоговый
коэффициент для соответствующей
медицинской организации могут
рассчитываться без учета этой группы
показателей.
Приложение N 2
к Дополнению N 4 к Тарифному соглашению по
базовой программе
ОМС на территории Тюменской области на
2022 год
от 16.03.2021
Приложение N 5.1
к Тарифному соглашению по базовой
программе ОМС
на территории Тюменской области на 2022
год
от 03.02.2022
ПОРЯДОК ОСУЩЕСТВЛЕНИЯ ВЫПЛАТ
МЕДИЦИНСКИМ ОРГАНИЗАЦИЯМ ЗА ДОСТИЖЕНИЕ
ПОКАЗАТЕЛЕЙ РЕЗУЛЬТАТИВНОСТИ
ДЕЯТЕЛЬНОСТИ МЕДИЦИНСКИХ ОРГАНИЗАЦИЙ
N |
Наименование показателя |
Формула расчета <**> |
Единицы измерения |
Источник |
Взрослое население (в возрасте 18 лет и старше) | ||||
Оценка эффективности профилактических мероприятий | ||||
1. |
Доля врачебных посещений с профилактической целью за период, от общего числа посещений за период (включая посещения на дому). |
где: Dprof - доля врачебных посещений с профилактической целью за период, от общего числа посещений за период (включая посещения на дому), выраженное в процентах; Pprof - число врачебных посещений с профилактической целью за период; Pvs - посещений за период (включая посещения на дому); Оz - общее число обращений за отчетный период; k - коэффициент перевода обращений в посещения. |
Процент |
Источником информации являются реестры, оказанной медицинской помощи застрахованным лицам за исключением посещений стоматологического профиля. Отбор информации для расчета показателей осуществляется по полям реестра: - дата окончания лечения; - цель посещения. |
2. |
Доля взрослых пациентов с болезнями системы кровообращения, выявленными впервые при профилактических медицинских осмотрах и диспансеризации за период, от общего числа взрослых пациентов с болезнями системы кровообращения с впервые в жизни установленным диагнозом за период. |
где: Dбск - доля взрослых пациентов с болезнями системы кровообращения, выявленными впервые при профилактических медицинских осмотрах и диспансеризации за период, от общего числа взрослых пациентов с болезнями системы кровообращения с впервые в жизни установленным диагнозом за период; BSKдисп - число взрослых пациентов с болезнями системы кровообращения, выявленными впервые при профилактических медицинских осмотрах и диспансеризации за период; BSKвп - общее число взрослых пациентов с болезнями системы кровообращения с впервые в жизни установленным диагнозом за период. |
Процент |
Источником информации являются реестры, оказанной медицинской помощи застрахованным лицам. Отбор информации для расчета показателей осуществляется по полям реестра: - дата окончания лечения; - диагноз основной; - впервые выявлено (основной); - характер заболевания - цель посещения; - дата рождения. |
3. |
Доля взрослых пациентов с установленным диагнозом злокачественное новообразование, выявленным впервые при профилактических медицинских осмотрах и диспансеризации за период, от общего числа взрослых пациентов с впервые в жизни установленным диагнозом злокачественное новообразование за период. |
где: Dзно - доля взрослых пациентов с установленным диагнозом злокачественное новообразование, выявленным впервые при профилактических медицинских осмотрах и диспансеризации за период, от общего числа взрослых пациентов с впервые в жизни установленным диагнозом злокачественное новообразование за период; ZNOдисп - число взрослых пациентов с установленным диагнозом злокачественное новообразование, выявленным впервые при профилактических медицинских осмотрах и диспансеризации за период; ZNOвп - общее число взрослых пациентов с впервые в жизни установленным диагнозом злокачественное новообразование за период. |
Процент |
Расчет показателя осуществляется путем отбора информации по полям реестра формата Д3 "Файл со сведениями об оказанной медицинской помощи при диспансеризации" предусматривает поле реестра "признак подозрения на злокачественное новообразование".
Движение пациента отслеживается по формату реестра Д4 "Файл со сведениями при осуществлении персонифицированного учета оказанной медицинской помощи при подозрении на злокачественное новообразование или установленном диагнозе злокачественного новообразования": - диагноз основной, - характер основного заболевания. |
4. |
Доля взрослых пациентов с установленным диагнозом хроническая обструктивная болезнь легких, выявленным впервые при профилактических медицинских осмотрах и диспансеризации за период, от общего числа взрослых пациентов с впервые в жизни установленным диагнозом хроническая обструктивная легочная болезнь за период. |
где: Dхобл - доля взрослых пациентов с установленным диагнозом хроническая обструктивная болезнь легких, выявленным впервые при профилактических медицинских осмотрах и диспансеризации за период, от общего числа взрослых пациентов с впервые в жизни установленным диагнозом хроническая обструктивная легочная болезнь за период; Hдисп - число взрослых пациентов с установленным диагнозом хроническая обструктивная болезнь легких, выявленным впервые при профилактических медицинских осмотрах и диспансеризации за период; Hвп - общее число взрослых пациентов с впервые в жизни установленным диагнозом хроническая обструктивная легочная болезнь за период. |
Процент |
Источником информации являются реестры, оказанной медицинской помощи застрахованным лицам. Отбор информации для расчета показателей осуществляется по полям реестра: - дата окончания лечения; - диагноз основной; - впервые выявлено (основной); - характер заболевания; - цель посещения; - дата рождения. |
5. |
Доля взрослых пациентов с установленным диагнозом сахарный диабет, выявленным впервые при профилактических медицинских осмотрах и диспансеризации за период, от общего числа взрослых пациентов с впервые в жизни установленным диагнозом сахарный диабет за период. |
где: Dсд - доля взрослых пациентов с установленным диагнозом сахарный диабет, выявленным впервые при профилактических медицинских осмотрах и диспансеризации за период, от общего числа взрослых пациентов с впервые в жизни установленным диагнозом сахарный диабет за период; SDдисп - число взрослых пациентов с установленным диагнозом сахарный диабет, выявленным впервые при профилактических медицинских осмотрах и диспансеризации за период; SDвп - общее число взрослых пациентов с впервые в жизни установленным диагнозом сахарный диабет за период. |
Процент |
Источником информации являются реестры, оказанной медицинской помощи застрахованным лицам. Отбор информации для расчета показателей осуществляется по полям реестра: - дата окончания лечения; - диагноз основной; - впервые выявлено (основной); - характер заболевания; - цель посещения; - дата рождения. |
6. |
|
где: Vvэпид - процент выполнения плана вакцинации взрослых граждан по эпидемиологическим показаниям за период (коронавирусная инфекция COVID-19); Fvэпид - фактическое число взрослых граждан, вакцинированных от коронавирусной инфекции COVID-19 в отчетном периоде; Pvэпид - число граждан, подлежащих. вакцинации по эпидемиологическим показаниям за период (коронавирусная инфекция COVID-19) |
Процент |
Источником информации являются сведения органов государственной власти субъектов Российской Федерации в сфере охраны здоровья, соотносимые с данными федерального регистра вакцинированных. |
Оценка эффективности диспансерного наблюдения | ||||
7. |
Доля взрослых пациентов с болезнями системы кровообращения <*>, имеющих высокий риск преждевременной смерти, состоящих под диспансерным наблюдением, от общего числа взрослых пациентов с болезнями системы кровообращения <*>, имеющих высокий риск преждевременной смерти, за период. |
где: DNриск - доля взрослых пациентов с болезнями системы кровообращения <*>, имеющих высокий риск преждевременной смерти, состоящих под диспансерным наблюдением, от общего числа взрослых пациентов с болезнями системы кровообращения <*>, имеющих высокий риск преждевременной смерти, за период; Rдн - число взрослых пациентов с болезнями системы кровообращения <*>, имеющих высокий риск преждевременной смерти, состоящих под диспансерным наблюдением; Rвп - общее число взрослых пациентов с болезнями системы кровообращения <*>, имеющих высокий риск преждевременной смерти, за период. |
На 100 пациентов |
Расчет показателя осуществляется путем отбора информации по полям реестра в формате Д1 "Файл со сведениями об оказанной медицинской помощи за период, кроме ВМП, диспансеризации, профилактических медицинских осмотров, медицинской помощи при подозрении на ЗНО": - дата окончания лечения; - результат обращения; - диагноз основной; - диагноз сопутствующего заболевания; - диагноз осложнения заболевания; - диспансерное наблюдение. |
8. |
Число взрослых пациентов с болезнями системы кровообращения <*>, имеющих высокий риск преждевременной смерти, которым за период оказана медицинская помощь в неотложной форме и (или) скорая медицинская помощь, от общего числа взрослых пациентов с болезнями системы кровообращения <*>, имеющих высокий риск преждевременной смерти, за период. |
где: Sриск - число взрослых пациентов с болезнями системы кровообращения <*>, имеющих высокий риск преждевременной смерти, которым за период оказана медицинская помощь в неотложной форме и (или) скорая медицинская помощь, от общего числа взрослых пациентов с болезнями системы кровообращения <*>, имеющих высокий риск преждевременной смерти, за период; Vриск - число взрослых пациентов с болезнями системы кровообращения <*>, имеющих высокий риск преждевременной смерти, которым за период оказана медицинская помощь в неотложной форме и (или) скорая медицинская помощь; Dриск - общее число взрослых пациентов с болезнями системы кровообращения <*>, имеющих высокий риск преждевременной смерти, за период. |
На 100 пациентов |
Расчет показателя осуществляется путем отбора информации по полям реестра в формате Д1 "Файл со сведениями об оказанной медицинской помощи, кроме ВМП, диспансеризации, профилактических медицинских осмотров, медицинской помощи при подозрении на ЗНО": - дата окончания лечения; - результат обращения; - диагноз основной; - диагноз сопутствующего заболевания; - диагноз осложнения заболевания; - диспансерное наблюдение; - условия оказания медицинской помощи; - форма оказания медицинской помощи. |
9. |
Доля взрослых пациентов с болезнями системы кровообращения, в отношении которых установлено диспансерное наблюдение за период, от общего числа взрослых пациентов с впервые в жизни установленным диагнозом болезни системы кровообращения за период. |
где: DNбск - доля взрослых пациентов с болезнями системы кровообращения, в отношении которых установлено диспансерное наблюдение за период, от общего числа взрослых пациентов с впервые в жизни установленным диагнозом болезни системы кровообращения за период; BSKдн - число взрослых пациентов с болезнями системы кровообращения, в отношении которых установлено диспансерное наблюдение за период; BSKвп - общее число взрослых пациентов с впервые в жизни установленным диагнозом болезни системы кровообращения за период. |
Процент |
Источником информации являются реестры, оказанной медицинской помощи застрахованным лицам. Отбор информации для расчета показателей осуществляется по полям реестра: - дата постановки на диспансерный учет; - диагноз основной; - возраст пациента; - характер заболевания; - впервые выявлено (основной); - дата рождения.
Источником информации является информационный ресурс территориального фонда в части сведений о лицах, состоящих под диспансерном наблюдением (гл. 15 Приказ 108н МЗ РФ) |
10. |
Доля взрослых пациентов с установленным диагнозом хроническая обструктивная болезнь легких, в отношении которых установлено диспансерное наблюдение за период, от общего числа взрослых пациентов с впервые в жизни установленным диагнозом хроническая обструктивная болезнь легких за период. |
где: DNхобл - доля взрослых пациентов с установленным диагнозом хроническая обструктивная болезнь легких, в отношении которых установлено диспансерное наблюдение за период, от общего числа взрослых пациентов с впервые в жизни установленным диагнозом хроническая обструктивная болезнь легких за период; Hдн - число взрослых пациентов с установленным диагнозом хроническая обструктивная болезнь легких, в отношении которых установлено диспансерное наблюдение за период; Hвп - общее число взрослых пациентов с впервые в жизни установленным диагнозом хроническая обструктивная болезнь легких за период. |
Процент |
Источником информации являются реестры, оказанной медицинской помощи застрахованным лицам. Отбор информации для расчета показателей осуществляется по полям реестра: - дата постановки на диспансерный учет; - диагноз основной; - возраст пациента; - характер заболевания; - впервые выявлено (основной); - дата рождения.
Источником информации является информационный ресурс территориального фонда в части сведений о лицах, состоящих под диспансерном наблюдением (гл. 15 Приказ 108н МЗ РФ) |
11. |
Доля взрослых пациентов с установленным диагнозом сахарный диабет, в отношении которых установлено диспансерное наблюдение за период, от общего числа взрослых пациентов с впервые в жизни установленным диагнозом сахарный диабет за период. |
где: DNсд - доля взрослых пациентов с установленным диагнозом сахарный диабет, в отношении которых установлено диспансерное наблюдение за период, от общего числа взрослых пациентов с впервые в жизни установленным диагнозом сахарный диабет за период; SDдн - число взрослых пациентов с установленным диагнозом сахарный диабет, в отношении которых установлено диспансерное наблюдение за период; SDвп - общее число взрослых пациентов с впервые в жизни установленным диагнозом сахарный диабет за период. |
Процент |
Источником информации являются реестры, оказанной медицинской помощи застрахованным лицам. Отбор информации для расчета показателей осуществляется по полям реестра: - дата постановки на диспансерный учет; - диагноз основной; - возраст пациента; - характер заболевания; - впервые выявлено (основной); - дата рождения.
Источником информации является информационный ресурс территориального фонда в части сведений о лицах, состоящих под диспансерном наблюдением (гл. 15 Приказ 108н МЗ РФ) |
12. |
Доля взрослых пациентов, госпитализированных за период по экстренным показаниям в связи с обострением (декомпенсацией) состояний, по поводу которых пациент находится под диспансерным наблюдением, от общего числа взрослых пациентов, находящихся под диспансерным наблюдением за период. |
где: Hвсего - доля взрослых пациентов, госпитализированных за период по экстренным показаниям в связи с обострением (декомпенсацией) состояний, по поводу которых пациент находится под диспансерным наблюдением, от общего числа взрослых пациентов, находящихся под диспансерным наблюдением за период; Oвсего - число взрослых пациентов, госпитализированных за период по экстренным показаниям в связи с обострением (декомпенсацией) состояний, по поводу которых пациент находится под диспансерным наблюдением; Dnвсего - общее число взрослых пациентов, находящихся под диспансерным наблюдением за период. |
Процент |
Источником информации является информационный ресурс территориального фонда в части сведений о лицах, состоящих под диспансерном наблюдением (гл. 15 Приказ 108н МЗ РФ)
Источником информации являются реестры (стационар), оказанной медицинской помощи застрахованным лицам. Отбор информации для расчета показателей осуществляется по полям реестра: - дата окончания лечения; - диагноз основной; - диагноз сопутствующий; - диагноз осложнений - характер заболевания; - форма оказания медицинской помощи |
13. |
Доля взрослых пациентов, повторно госпитализированных за период по причине заболеваний сердечно-сосудистой системы или их осложнений в течение года с момента предыдущей госпитализации, от общего числа взрослых пациентов, госпитализированных за период по причине заболеваний сердечно-сосудистой системы или их осложнений. |
где: Pбск - доля взрослых пациентов, повторно госпитализированных за период по причине заболеваний сердечно-сосудистой системы или их осложнений в течение года с момента предыдущей госпитализации, от общего числа взрослых пациентов, госпитализированных за период по причине заболеваний сердечно-сосудистой системы или их осложнений; PHбск - число взрослых пациентов, повторно госпитализированных за период по причине заболеваний сердечно-сосудистой системы или их осложнений в течение года с момента предыдущей госпитализации; Hбск - общее число взрослых пациентов, госпитализированных за период по причине заболеваний сердечно-сосудистой системы или их осложнений. |
Процент |
Источником информации являются реестры (стационар), оказанной медицинской помощи застрахованным лицам. Отбор информации для расчета показателей осуществляется по полям реестра: - дата начала лечения; - диагноз основной; - диагноз сопутствующий; - диагноз осложнений - характер заболевания; - форма оказания медицинской помощи |
14. |
Доля взрослых пациентов, находящихся под диспансерным наблюдением по поводу сахарного диабета, у которых впервые зарегистрированы осложнения за период (диабетическая ретинопатия, диабетическая стопа), от общего числа взрослых пациентов, находящихся под диспансерным наблюдением по поводу сахарного диабета за период. |
где: SD - доля взрослых пациентов, находящихся под диспансерным наблюдением по поводу сахарного диабета, у которых впервые зарегистрированы осложнения за период (диабетическая ретинопатия, диабетическая стопа), от общего числа взрослых пациентов, находящихся под диспансерным наблюдением по поводу сахарного диабета за период; Osl - число взрослых пациентов, находящихся под диспансерным наблюдением по поводу сахарного диабета, у которых впервые зарегистрированы осложнения за период (диабетическая ретинопатия, диабетическая стопа); SD - общее число взрослых пациентов, находящихся под диспансерным наблюдением по поводу сахарного диабета за период. |
Процент |
Источником информации является информационный ресурс территориального фонда в части сведений о лицах, состоящих под диспансерном наблюдением (гл. 15 Приказ 108н МЗ РФ)
Источником информации являются реестры, оказанной медицинской помощи застрахованным лицам. Отбор информации для расчета показателей осуществляется по полям реестра: - дата окончания лечения; - диагноз основной; - диагноз сопутствующий - впервые выявлено (основной); - характер заболевания; - цель посещения |
Оценка смертности | ||||
15. |
Смертность прикрепленного населения в возрасте от 30 до 69 лет за период. <***> |
где: Dth 30-69 - смертность прикрепленного населения в возрасте от 30 до 69; D 30-69 - число умерших в возрасте от 30 до 69 лет из числа прикрепленного населения за период; Nas 30-69 - численность прикрепленного населения в возрасте от 30 до 69 лет за период. |
На 1000 прикрепленного населения |
Источником информации является региональный сегмент единого регистра застрахованных лиц (поля: дата рождения; дата смерти, прикрепление к МО) |
16. |
Число умерших за период, находящихся под диспансерным наблюдением, от общего числа взрослых пациентов, находящихся под диспансерным наблюдением. |
где: L - число умерших за период, находящихся под диспансерным наблюдением, от общего числа взрослых пациентов, находящихся под диспансерным наблюдением D - число умерших за период, находящихся под диспансерным наблюдением; DN - общее число взрослых пациентов, находящихся под диспансерным наблюдением за период |
На 100 пациентов |
Источником информации является региональный сегмент единого регистра застрахованных лиц (поля: Ф.И.О., дата рождения; дата смерти, прикрепление к МО, номер полиса), информационный ресурс территориального фонда в части сведений о лицах, состоящих под диспансерном наблюдением (гл. 15 Приказ 108н МЗ РФ |
Детское население (от 0 до 17 лет включительно) | ||||
Оценка эффективности профилактических мероприятий | ||||
17. |
Охват вакцинацией детей в рамках Национального календаря прививок. |
где: Vdнац - процент охвата вакцинацией детей в рамках Национального календаря прививок в отчетном периоде; Fdнац - фактическое число вакцинированных детей в рамках Национального календаря прививок в отчетном периоде; Pdнац - число детей соответствующего возраста (согласно Национальному календарю прививок) на начало отчетного периода. |
Процент |
Источником информации являются данные органов государственной власти субъектов Российской Федерации в сфере охраны здоровья, предоставляемые на бумажных носителях. |
18. |
Доля детей, в отношении которых установлено диспансерное наблюдение по поводу болезней костно-мышечной системы и соединительной ткани за период, от общего числа детей с впервые в жизни установленными диагнозами болезней костно-мышечной системы и соединительной ткани за период. |
где: Ddkms - доля детей, в отношении которых установлено диспансерное наблюдение по поводу болезней костно-мышечной системы и соединительной ткани за период, от общего числа детей с впервые в жизни установленными диагнозами болезней костно-мышечной системы и соединительной ткани за период; Cdkms - число детей, в отношении которых установлено диспансерное наблюдение по поводу болезней костно-мышечной системы и соединительной ткани за период; Cpkms - общее число детей с впервые в жизни установленными диагнозами болезней костно-мышечной системы и соединительной ткани за период. |
Процент |
Источником информации являются реестры, оказанной медицинской помощи застрахованным лицам. Отбор информации для расчета показателей осуществляется по полям реестра: - дата рождения; - дата окончания лечения; - диагноз основной; - впервые выявлено (основной); - характер заболевания; - цель посещения. |
19. |
Доля детей, в отношении которых установлено диспансерное наблюдение по поводу болезней глаза и его придаточного аппарата за период, от общего числа детей с впервые в жизни установленными диагнозами болезней глаза и его придаточного аппарата за период. |
где: Ddgl - доля детей, в отношении которых установлено диспансерное наблюдение по поводу болезней глаза и его придаточного аппарата за период, от общего числа детей с впервые в жизни установленными диагнозами болезней глаза и его придаточного аппарата за период; Cdgl - число детей, в отношении которых установлено диспансерное наблюдение по поводу болезней глаза и его придаточного аппарата за период; Cpgl - общее число детей с впервые в жизни установленными диагнозами болезней глаза и его придаточного аппарата за период. |
Процент |
Источником информации являются реестры, оказанной медицинской помощи застрахованным лицам. Отбор информации для расчета показателей осуществляется по полям реестра: - дата рождения; - дата окончания лечения; - диагноз основной; - впервые выявлено (основной); - характер заболевания; - цель посещения. |
20. |
Доля детей, в отношении которых установлено диспансерное наблюдение по поводу болезней органов пищеварения за период, от общего числа детей с впервые в жизни установленными диагнозами болезней органов пищеварения за период. |
где: Dbop - доля детей, в отношении которых установлено диспансерное наблюдение по поводу болезней органов пищеварения за период, от общего числа детей с впервые в жизни установленными диагнозами болезней органов пищеварения за период; Cdbop - число детей, в отношении которых установлено диспансерное наблюдение по поводу болезней органов пищеварения за период; Cpbop - общее число детей с впервые в жизни установленными диагнозами болезней органов пищеварения за период. |
Процент |
Источником информации являются реестры, оказанной медицинской помощи застрахованным лицам. Отбор информации для расчета показателей осуществляется по полям реестра: - дата рождения; - дата окончания лечения; - диагноз основной; - впервые выявлено (основной); - характер заболевания; - цель посещения. |
21. |
Доля детей, в отношении которых установлено диспансерное наблюдение по поводу болезней системы кровообращения за период от общего числа детей с впервые в жизни установленными диагнозами болезней системы кровообращения за период. |
где: Ddbsk - доля детей, в отношении которых установлено диспансерное наблюдение по поводу болезней системы кровообращения за период от общего числа детей с впервые в жизни установленными диагнозами болезней системы кровообращения за период; Cdbsk - число детей, в отношении которых установлено диспансерное наблюдение по поводу болезней системы кровообращения за период Cpbsk - общее число детей с впервые в жизни установленными диагнозами болезней системы кровообращения за период. |
Процент |
Источником информации являются реестры, оказанной медицинской помощи застрахованным лицам. Отбор информации для расчета показателей осуществляется по полям реестра: - дата рождения; - дата окончания лечения; - диагноз основной; - впервые выявлено (основной); - характер заболевания; - цель посещения. |
22. |
Доля детей, в отношении которых установлено диспансерное наблюдение по поводу болезней эндокринной системы, расстройства питания и нарушения обмена веществ за период, от общего числа детей с впервые в жизни установленными диагнозами болезней эндокринной системы, расстройства питания и нарушения обмена веществ за период. |
где: Ddbes - доля детей в отношении которых установлено диспансерное наблюдение по поводу болезней эндокринной системы, расстройства питания и нарушения обмена веществ за период, от общего числа детей с впервые в жизни установленными диагнозами болезней эндокринной системы, расстройства питания и нарушения обмена веществ за период; Cdbes - число детей, в отношении которых установлено диспансерное наблюдение по поводу болезней эндокринной системы, расстройства питания и нарушения обмена веществ за период; Cpbes - общее число детей с впервые в жизни установленными диагнозами болезней эндокринной системы, расстройства питания и нарушения обмена веществ за период. |
Процент |
Источником информации являются реестры, оказанной медицинской помощи застрахованным лицам. Отбор информации для расчета показателей осуществляется по полям реестра: - дата рождения; - дата окончания лечения; - диагноз основной; - впервые выявлено (основной); - характер заболевания; - цель посещения. |
Оценка смертности | ||||
23. |
Смертность детей в возрасте 0 - 17 лет за период. |
где: Dth 0-17 - смертность детей в возрасте 0-17 лет за период в медицинских организациях, имеющих прикрепленное население; D 0-17 - число умерших детей в возрасте 0-17 лет включительно среди прикрепленного населения за период; Nas 0-17 - численность прикрепленного населения детей в возрасте 0-17 лет включительно за период. |
На 100 тыс. прикрепленного детского населения |
Источником информации является региональный сегмент единого регистра застрахованных лиц (поля: дата рождения; дата смерти, прикрепление к МО). |
Оказание акушерско-гинекологической помощи | ||||
Оценка эффективности профилактических мероприятий | ||||
24 |
Доля женщин, отказавшихся от искусственного прерывания беременности, от числа женщин, прошедших доабортное консультирование за период. |
где: W - доля женщин, отказавшихся от искусственного прерывания беременности, от числа женщин, прошедших доабортное консультирование за период; Kотк - число женщин, отказавшихся от искусственного прерывания беременности; K - общее число женщин, прошедших доабортное консультирование за период. |
Процент |
Источником информации являются данные органов государственной власти субъектов Российской Федерации в сфере охраны здоровья, предоставляемые на бумажных носителях. |
25 |
Доля беременных женщин, вакцинированных от коронавирусной инфекции (COVID-19), за период, от числа женщин, состоящих на учете по беременности и родам на начало периода. |
где: Vbcovid - доля беременных женщин, вакцинированных от коронавирусной инфекции COVID-19, за период, от числа женщин, состоящих на учете по беременности и родам на начало периода; Fbcovid - фактическое число беременных женщин, вакцинированных от коронавирусной инфекции COVID-19, за период; Pbcovid - число женщин, состоящих на учете по беременности и родам на начало периода. |
Процент |
Источником информации являются данные органов государственной власти субъектов Российской Федерации в сфере охраны здоровья, предоставляемые на бумажных носителях (Pbcovid) и данные федерального регистра вакцинированных (Fbcovid). |
26 |
Доля женщин с установленным диагнозом злокачественное новообразование шейки матки, выявленным впервые при диспансеризации, от общего числа женщин с установленным диагнозом злокачественное новообразование шейки матки за период. |
где: Zшм - доля женщин с установленным диагнозом злокачественное новообразование шейки матки, выявленным впервые при диспансеризации, от общего числа женщин с установленным диагнозом злокачественное новообразование шейки матки за период; Aшм - число женщин с установленным диагнозом злокачественное новообразование шейки матки, выявленным впервые при диспансеризации; Vшм - общее число женщин с установленным диагнозом злокачественное новообразование шейки матки за период. |
Процент |
Расчет показателя производится путем отбора информации по полям реестра формата Д3 "Файл со сведениями об оказанной медицинской помощи при диспансеризации" предусматривает поле реестра: - признак подозрения на злокачественное новообразование. В дальнейшем движение пациента возможно отследить по формату Д4. Файл со сведениями при осуществлении персонифицированного учета оказанной медицинской помощи при подозрении на злокачественное новообразование или установленном диагнозе злокачественного новообразования - диагноз основной, - характер основного заболевания |
27 |
Доля женщин с установленным диагнозом злокачественное новообразование молочной железы, выявленным впервые при диспансеризации, от общего числа женщин с установленным диагнозом злокачественное новообразование молочной железы за период. |
где: Zмж - доля женщин с установленным диагнозом злокачественное новообразование молочной железы, выявленным впервые при диспансеризации, от общего числа женщин с установленным диагнозом злокачественное новообразование молочной железы за период; Aмж - число женщин с установленным диагнозом злокачественное новообразование молочной железы, выявленным впервые при диспансеризации; Vмж - общее число женщин с установленным диагнозом злокачественное новообразование молочной железы за период. |
Процент |
Расчет осуществляется путем отбора информации по полям реестра формата Д3 "Файл со сведениями об оказанной медицинской помощи при диспансеризации" предусматривает поле реестра: - признак подозрения на злокачественное новообразование. В дальнейшем движение пациента возможно отследить по формату Д4. Файл со сведениями при осуществлении персонифицированного учета оказанной медицинской помощи при подозрении на злокачественное новообразование или установленном диагнозе злокачественного новообразования - диагноз основной, - характер основного заболевания. |
28 |
Доля беременных женщин, прошедших скрининг в части оценки антенатального развития плода за период, от общего числа женщин, состоявших на учете по поводу беременности и родов за период. |
где: B - доля беременных женщин, прошедших скрининг в части оценки антенатального развития плода за период, от общего числа женщин, состоявших на учете по поводу беременности и родов за период; S - число беременных женщин, прошедших скрининг в части оценки антенатального развития плода при сроке беременности 11 - 14 недель (УЗИ и определение материнских сывороточных маркеров) и 19 - 21 неделя (УЗИ), с родоразрешением за период; U - общее число женщин, состоявших на учете по поводу беременности и родов за период, с родоразрешением за период. |
Процент |
Источником информации являются данные органов государственной власти субъектов Российской Федерации в сфере охраны здоровья, предоставляемые на бумажных носителях. |
Каждый показатель, включенный в
блок, оценивается в баллах, которые
суммируются. Максимально возможная
сумма баллов составляет 41, в том числе:
- 25 баллов для показателей блока 1;
- 10 баллов для показателей блока 2. - 6
баллов для показателей блока 3.
В зависимости от результатов
деятельности медицинской организации по
каждому показателю определяется балл в
диапазоне от 0 до 3 баллов.
С учетом фактического выполнения
показателей, медицинское организации
распределяются на три группы: I -
выполнившие до 50% показателей, II - от 50% до
70% показателей, III - свыше 70% показателей
(Приложение N 5).
Порядок расчета значений
показателей результативности
деятельности медицинских организаций
представлен в Приложении N 5.1.
Оценка достижения значений
показателей результативности
деятельности медицинских организаций
оформляется решением Комиссии
ежеквартально и доводится до сведения
медицинских организаций не позднее 25
числа месяца, следующего за отчетным
кварталом.
Объем средств, направляемый в
медицинские организации по итогам
оценки достижения значений показателей
результативности деятельности,
складывается из двух частей:
1 часть - распределение 70% от объема
средств с учетом показателей
результативности за соответствующий
период для медицинских организаций II и III
групп с учетом численности
прикрепленного населения.
2 часть - распределение 30% от объема
средств с учетом показателей
результативности за соответствующей
период для медицинских организаций III
группы с учетом абсолютного количества
набранных соответствующими
медицинскими организациями баллов.
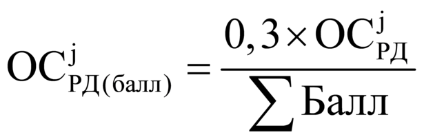
1 часть - распределение 70 процентов
от объема средств с учетом показателей
результативности за соответствующий
период.
Указанные средства распределяются
среди медицинских организаций II (III)
групп с учетом численности
прикрепленного населения.
где:
- объем средств, используемый при
распределении 70 процентов от объема
средств на стимулирование медицинских
организаций за j-й период, в расчете на 1
прикрепленное лицо, рублей;
- совокупный объем средств на
стимулирование медицинских организаций
за j-й период, рублей;
- численность прикрепленного
населения в j-м периоде ко всем
медицинским организациям II (III) групп.
Объем средств, направляемый в i-ю
медицинскую организацию II (III) группы за
j-тый период при распределении 70
процентов от объема средств с учетом
показателей результативности
рассчитывается следующим
образом:
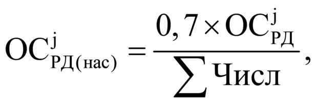
2 часть - распределение 30 процентов
от объема средств с учетом показателей
результативности за соответствующей
период.
Указанные средства распределяются
среди медицинских организаций III группы
с учетом абсолютного количества
набранных соответствующими
медицинскими организациями баллов.
- объем средств, используемый при
распределении 30 процентов от объема
средств на стимулирование медицинских
организаций за j-й период, в расчете на 1
балл, рублей;
- совокупный объем средств на
стимулирование медицинских организаций
за j-й период, рублей;
- количество баллов, набранных в j-м
периоде всеми медицинскими
организациями III группы.
Объем средств, направляемый в i-ю
медицинскую организацию III группы за
j-тый период, при распределении 30
процентов от объема средств на
стимулирование медицинских организаций
рассчитывается следующим
образом:
- количество баллов, набранных в j-м
периоде i-той медицинской организацией III
группы.
Приложение N 3
к Дополнению N 4 к Тарифному соглашению по
базовой программе
ОМС на территории Тюменской области на
2022 год
от 16.03.2021
Приложение N 22.2
к Тарифному соглашению по программе ОМС
на территории
Тюменской области в рамках Базовой
программы ОМС
от 03.02.2022
ПЕРЕЧЕНЬ МЕДИЦИНСКИХ ОРГАНИЗАЦИЙ
(ЮРИДИЧЕСКИХ ЛИЦ) С УЧЕТОМ КОЭФФИЦИЕНТА
УРОВНЯ В АМБУЛАТОРНЫХ УСЛОВИЯХ
Реестровый номер медицинской организации |
Наименование медицинской организации |
Коэффициент уровня
КУмо |
720002 |
ГБУЗ ТО "ОКБ N 2" |
1,00 |
720009 |
ГБУЗ ТО "Госпиталь для ветеранов войн" |
1,00 |
720010 |
ГБУЗ ТО "Областная больница N 3" (г. Тобольск) |
1,00 |
720011 |
ГБУЗ ТО "Областная больница N 4" (г. Ишим) |
1,00 |
720016 |
ГБУЗ ТО "Областная больница N 9" (с. Вагай) |
1,00 |
720018 |
ГБУЗ ТО "Областная больница N 11" (р.п. Голышманово) |
1,00 |
720019 |
ГБУЗ ТО "Областная больница N 12" (г. Заводоуковск) |
1,00 |
720020 |
ГБУЗ ТО "Областная больница N 13" (с. Исетское) |
1,00 |
720021 |
ГБУЗ ТО "Областная больница N 14 им. В.Н.Шанаурина" (с. Казанское) |
1,00 |
720022 |
ГБУЗ ТО "Областная больница N 15" (с. Нижняя Тавда) |
1,00 |
720026 |
ГБУЗ ТО "Областная больница N 19" (г. Тюмень) |
1,00 |
720027 |
ГБУЗ ТО "Областная больница N 20" (с. Уват) |
1,00 |
720030 |
ГБУЗ ТО "Областная больница N 23" (г. Ялуторовск) |
1,00 |
720031 |
ГБУЗ ТО "Областная больница N 24" (с. Ярково) |
1,00 |
720036 |
ГАУЗ ТО "Городская поликлиника N 1" |
1,00 |
720037 |
ГАУЗ ТО "Городская поликлиника N 3" |
1,00 |
720038 |
ГАУЗ ТО "Городская поликлиника N 4" |
1,00 |
720039 |
ГАУЗ ТО "Городская поликлиника N 5" |
1,00 |
720040 |
ГАУЗ ТО "Городская поликлиника N 6" |
1,00 |
720042 |
ГАУЗ ТО "Городская поликлиника N 8" |
1,00 |
720045 |
ГАУЗ ТО "Городская поликлиника N 12" |
1,00 |
720046 |
ГАУЗ ТО "Городская поликлиника N 13" |
1,00 |
720047 |
ГАУЗ ТО "Городская поликлиника N 14" |
1,00 |
720048 |
ГАУЗ ТО "Городская поликлиника N 17" |
1,00 |
720058 |
Тюменская больница ФГБУЗ "ЗСМЦ ФМБА России" |
1,00 |
720059 |
Тобольская больница ФГБУЗ "ЗСМЦ ФМБА России" |
1,00 |
720060 |
ФГБОУ ВО "Тюменский ГМУ" Минздрава России |
1,00 |
720065 |
ЧУЗ "КБ "РЖД-Медицина" г. Тюмень" |
1,00 |
Приложение N 4
к Дополнению N 4 к Тарифному соглашению по
базовой программе
ОМС на территории Тюменской области на
2022 год
от 16.03.2021
Приложение N 22.3
к Тарифному соглашению по программе ОМС
на территории
Тюменской области в рамках Базовой
программы ОМС
от 03.02.2022
ПЕРЕЧЕНЬ МЕДИЦИНСКИХ ОРГАНИЗАЦИЙ
(ЮРИДИЧЕСКИХ ЛИЦ) С УЧЕТОМ КОЭФФИЦИЕНТА
СПЕЦИФИКИ В АМБУЛАТОРНЫХ УСЛОВИЯХ
Код МО |
Наименование медицинской организации |
Коэффициент специфики КСзаб |
720002 |
ГБУЗ ТО "ОКБ N 2" |
1,105 |
720009 |
ГБУЗ ТО "Госпиталь для ветеранов войн" |
1,2155 |
720010 |
ГБУЗ ТО "Областная больница N 3" (г. Тобольск) |
1,2928 |
720011 |
ГБУЗ ТО "Областная больница N 4" (г. Ишим) |
1,1382 |
720016 |
ГБУЗ ТО "Областная больница N 9" (с. Вагай) |
1,2928 |
720018 |
ГБУЗ ТО "Областная больница N 11" (р.п. Голышманово) |
1,1382 |
720019 |
ГБУЗ ТО "Областная больница N 12" (г. Заводоуковск) |
1,13815 |
720020 |
ГБУЗ ТО "Областная больница N 13" (с. Исетское) |
1,1492 |
720021 |
ГБУЗ ТО "Областная больница N 14 им. В.Н.Шанаурина" (с. Казанское) |
1,1382 |
720022 |
ГБУЗ ТО "Областная больница N 15" (с. Нижняя Тавда) |
1,1271 |
720026 |
ГБУЗ ТО "Областная больница N 19" (г. Тюмень) |
1,1271 |
720027 |
ГБУЗ ТО "Областная больница N 20" (с. Уват) |
1,683 |
720030 |
ГБУЗ ТО "Областная больница N 23" (г. Ялуторовск) |
1,1382 |
720031 |
ГБУЗ ТО "Областная больница N 24" (с. Ярково) |
1,1271 |
720036 |
ГАУЗ ТО "Городская поликлиника N 1" |
1,105 |
720037 |
ГАУЗ ТО "Городская поликлиника N 3" |
1,1161 |
720038 |
ГАУЗ ТО "Городская поликлиника N 4" |
1,1271 |
720039 |
ГАУЗ ТО "Городская поликлиника N 5" |
1,1161 |
720040 |
ГАУЗ ТО "Городская поликлиника N 6" |
1,105 |
720042 |
ГАУЗ ТО "Городская поликлиника N 8" |
1,105 |
720045 |
ГАУЗ ТО "Городская поликлиника N 12" |
1,1161 |
720046 |
ГАУЗ ТО "Городская поликлиника N 13" |
1,0829 |
720047 |
ГАУЗ ТО "Городская поликлиника N 14" |
1,1271 |
720048 |
ГАУЗ ТО "Городская поликлиника N 17" |
1,094 |
720058 |
Тюменская больница ФГБУЗ "ЗСМЦ ФМБА России" |
1,1161 |
720059 |
Тобольская больница ФГБУЗ "ЗСМЦ ФМБА России" |
1,3056 |
720060 |
ФГБОУ ВО "Тюменский ГМУ" Минздрава России |
0,9835 |
720065 |
ЧУЗ "КБ "РЖД-Медицина" г. Тюмень" |
1,0608 |
Приложение N 5
к Дополнению N 4 к Тарифному соглашению по
базовой программе
ОМС на территории Тюменской области на
2022 год
от 16.03.2021
Приложение N 25
к Тарифному соглашению по программе ОМС
на территории
Тюменской области в рамках Базовой
программы ОМС
от 03.02.2022
ДОЛЯ ЗАРАБОТНОЙ ПЛАТЫ И ПРОЧИХ РАСХОДОВ
В СТРУКТУРЕ СТОИМОСТИ КСГ В СТАЦИОНАРНЫХ
УСЛОВИЯХ
Код КСГ |
Наименование |
Доля заработной платы и прочих расходов Дзп |
st06.004 |
Лечение дерматозов с применением наружной терапии |
0,9747 |
st06.005 |
Лечение дерматозов с применением наружной терапии, физиотерапии, плазмафереза |
0,9849 |
st06.006 |
Лечение дерматозов с применением наружной и системной терапии |
0,9904 |
st06.007 |
Лечение дерматозов с применением наружной терапии и фототерапии |
0,98 |
st12.015 |
Коронавирусная инфекция COVID-19 (уровень 1) |
0,9388 |
st12.016 |
Коронавирусная инфекция COVID-19 (уровень 2) |
0,6653 |
st12.017 |
Коронавирусная инфекция COVID-19 (уровень 3) |
0,6828 |
st12.018 |
Коронавирусная инфекция COVID-19 (уровень 4) |
0,7763 |
st19.105 |
Лекарственная терапия при злокачественных новообразованиях (кроме лимфоидной и кроветворной тканей), взрослые (уровень 1) |
0,5563 |
st19.106 |
Лекарственная терапия при злокачественных новообразованиях (кроме лимфоидной и кроветворной тканей), взрослые (уровень 2) |
0,4167 |
st19.107 |
Лекарственная терапия при злокачественных новообразованиях (кроме лимфоидной и кроветворной тканей), взрослые (уровень 3) |
0,2371 |
st19.108 |
Лекарственная терапия при злокачественных новообразованиях (кроме лимфоидной и кроветворной тканей), взрослые (уровень 4) |
0,1875 |
st19.109 |
Лекарственная терапия при злокачественных новообразованиях (кроме лимфоидной и кроветворной тканей), взрослые (уровень 5) |
0,325 |
st19.110 |
Лекарственная терапия при злокачественных новообразованиях (кроме лимфоидной и кроветворной тканей), взрослые (уровень 6) |
0,0876 |
st19.111 |
Лекарственная терапия при злокачественных новообразованиях (кроме лимфоидной и кроветворной тканей), взрослые (уровень 7) |
0,0711 |
st19.112 |
Лекарственная терапия при злокачественных новообразованиях (кроме лимфоидной и кроветворной тканей), взрослые (уровень 8) |
0,0777 |
st19.113 |
Лекарственная терапия при злокачественных новообразованиях (кроме лимфоидной и кроветворной тканей), взрослые (уровень 9) |
0,0584 |
st19.114 |
Лекарственная терапия при злокачественных новообразованиях (кроме лимфоидной и кроветворной тканей), взрослые (уровень 10) |
0,0579 |
st19.115 |
Лекарственная терапия при злокачественных новообразованиях (кроме лимфоидной и кроветворной тканей), взрослые (уровень 11) |
0,0727 |
st19.116 |
Лекарственная терапия при злокачественных новообразованиях (кроме лимфоидной и кроветворной тканей), взрослые (уровень 12) |
0,059 |
st19.117 |
Лекарственная терапия при злокачественных новообразованиях (кроме лимфоидной и кроветворной тканей), взрослые (уровень 13) |
0,0332 |
st19.118 |
Лекарственная терапия при злокачественных новообразованиях (кроме лимфоидной и кроветворной тканей), взрослые (уровень 14) |
0,0215 |
st19.119 |
Лекарственная терапия при злокачественных новообразованиях (кроме лимфоидной и кроветворной тканей), взрослые (уровень 15) |
0,0155 |
st19.120 |
Лекарственная терапия при злокачественных новообразованиях (кроме лимфоидной и кроветворной тканей), взрослые (уровень 16) |
0,0119 |
st19.121 |
Лекарственная терапия при злокачественных новообразованиях (кроме лимфоидной и кроветворной тканей), взрослые (уровень 17) |
0,0069 |
st19.084 |
Лучевая терапия в сочетании с лекарственной терапией (уровень 2) |
0,8708 |
st19.085 |
Лучевая терапия в сочетании с лекарственной терапией (уровень 3) |
0,8884 |
st19.086 |
Лучевая терапия в сочетании с лекарственной терапией (уровень 4) |
0,8705 |
st19.087 |
Лучевая терапия в сочетании с лекарственной терапией (уровень 5) |
0,8849 |
st19.088 |
Лучевая терапия в сочетании с лекарственной терапией (уровень 6) |
0,4603 |
st19.089 |
Лучевая терапия в сочетании с лекарственной терапией (уровень 7) |
0,2676 |
st19.094 |
ЗНО лимфоидной и кроветворной тканей, лекарственная терапия, взрослые (уровень 1) |
0,7589 |
st19.095 |
ЗНО лимфоидной и кроветворной тканей, лекарственная терапия, взрослые (уровень 2) |
0,7589 |
st19.096 |
ЗНО лимфоидной и кроветворной тканей, лекарственная терапия, взрослые (уровень 3) |
0,7589 |
st19.097 |
ЗНО лимфоидной и кроветворной тканей, лекарственная терапия с применением отдельных препаратов (по перечню), взрослые (уровень 1) |
0,2829 |
st19.098 |
ЗНО лимфоидной и кроветворной тканей, лекарственная терапия с применением отдельных препаратов (по перечню), взрослые (уровень 2) |
0,4699 |
st19.099 |
ЗНО лимфоидной и кроветворной тканей, лекарственная терапия с применением отдельных препаратов (по перечню), взрослые (уровень 3) |
0,5729 |
st19.100 |
ЗНО лимфоидной и кроветворной тканей, лекарственная терапия с применением отдельных препаратов (по перечню), взрослые (уровень 4) |
0,0498 |
st19.101 |
ЗНО лимфоидной и кроветворной тканей, лекарственная терапия с применением отдельных препаратов (по перечню), взрослые (уровень 5) |
0,1577 |
st19.102 |
ЗНО лимфоидной и кроветворной тканей, лекарственная терапия с применением отдельных препаратов (по перечню), взрослые (уровень 6) |
0,2483 |
st19.122 |
Поздний посттрансплантационный период после пересадки костного мозга |
0,5905 |
st20.010 |
Замена речевого процессора |
0,0074 |
st36.013 |
Проведение антимикробной терапии инфекций, вызванных полирезистентными микроорганизмами (уровень 1) |
0,0000 |
st36.014 |
Проведение антимикробной терапии инфекций, вызванных полирезистентными микроорганизмами (уровень 2) |
0,0000 |
st36.015 |
Проведение антимикробной терапии инфекций, вызванных полирезистентными микроорганизмами (уровень 3) |
0,0000 |
st36.016 |
Проведение иммунизации против респираторно-синцитиальной вирусной инфекции |
0,086 |
st36.017 |
Лечение с применением генно-инженерных биологических препаратов и селективных иммунодепрессантов (уровень 1) |
0,3268 |
st36.018 |
Лечение с применением генно-инженерных биологических препаратов и селективных иммунодепрессантов (уровень 2) |
0,1882 |
st36.019 |
Лечение с применением генно-инженерных биологических препаратов и селективных иммунодепрессантов (уровень 3) |
0,06 |
st36.020 |
Оказание услуг диализа (только для федеральных медицинских организаций) (уровень 1) |
0,3 |
st36.021 |
Оказание услуг диализа (только для федеральных медицинских организаций) (уровень 2) |
0,3 |
st36.022 |
Оказание услуг диализа (только для федеральных медицинских организаций) (уровень 3) |
0,3 |
st36.023 |
Оказание услуг диализа (только для федеральных медицинских организаций) (уровень 4) |
0,0661 |
Приложение N 6
к Дополнению N 4 к Тарифному соглашению по
базовой программе
ОМС на территории Тюменской области на
2022 год
от 16.03.2021
Приложение N 30
к Тарифному соглашению по программе ОМС
на территории
Тюменской области в рамках Базовой
программы ОМС
от 03.02.2022
год 2022
квартал I - IV
Коэф. диф. |
Код мероприятия |
Вид ТП ОМС |
Код условий оказания МП |
Код КСГ |
Код услуги |
Наименование услуги |
Коэф. затратоемкости |
Тариф для 1 уровня |
Тариф для 2 уровня |
Тариф для 3 уровня |
Базовый тариф |
Коэф. для 1 уровня <*> |
Коэф. для 2 уровня <*> |
Коэф. для 3 уровня <*> |
Коэффициент специфики | ||||||||||||||||||||||||||||||||||||||||||||||||||
1 |
2 |
3 |
4 |
5 |
6 |
7 |
8 |
9 |
10 |
11 |
12 |
13 |
14 |
15 |
16 | ||||||||||||||||||||||||||||||||||||||||||||||||||
1,10500 |
1 |
1 |
3 |
|
1.1.3.169 |
Проведение молекулярно-генетического исследования при злокачественном новообразовании бронхов и легкого (C34) |
1,00000 |
15 084,86 |
15 084,86 |
15 084,86 |
13 651,46 |
1,00000 |
1,00000 |
1,00000 |
1,00000 | ||||||||||||||||||||||||||||||||||||||||||||||||||
1,10500 |
1 |
1 |
3 |
|
1.1.3.170 |
Проведение молекулярно-генетического исследования при злокачественном новообразовании кишечника (C18-С20) |
1,00000 |
15 177,83 |
15 177,83 |
15 177,83 |
13 735,59 |
1,00000 |
1,00000 |
1,00000 |
1,00000 | ||||||||||||||||||||||||||||||||||||||||||||||||||
1,10500 |
1 |
1 |
3 |
|
1.1.3.171 |
Проведение молекулярно-генетического исследования при злокачественном новообразовании кожи (меланома кожи C43) |
1,00000 |
6 671,92 |
6 671,92 |
6 671,92 |
6 037,94 |
1,00000 |
1,00000 |
1,00000 |
1,00000 | ||||||||||||||||||||||||||||||||||||||||||||||||||
1,10500 |
1 |
1 |
3 |
|
1.1.3.172 |
Проведение молекулярно-генетического исследования при злокачественном новообразовании поджелудочной железы (C25) |
1,00000 |
2 548,21 |
2 548,21 |
2 548,21 |
2 306,07 |
1,00000 |
1,00000 |
1,00000 |
1,00000 | ||||||||||||||||||||||||||||||||||||||||||||||||||
1,10500 |
1 |
1 |
3 |
|
1.1.3.173 |
Проведение молекулярно-генетического исследования при злокачественном новообразовании яичника (C56) |
1,00000 |
5 096,98 |
5 096,98 |
5 096,98 |
4 612,65 |
1,00000 |
1,00000 |
1,00000 |
1,00000 | ||||||||||||||||||||||||||||||||||||||||||||||||||
1,10500 |
1 |
1 |
3 |
|
1.1.3.174 |
Проведение молекулярно-генетического исследования при злокачественном новообразовании молочной железы (C50) |
1,00000 |
6 486,91 |
6 486,91 |
6 486,91 |
5 870,51 |
1,00000 |
1,00000 |
1,00000 |
1,00000 | ||||||||||||||||||||||||||||||||||||||||||||||||||
1,10500 |
1 |
1 |
3 |
|
1.1.3.175 |
Проведение молекулярно-генетического исследования при злокачественных новообразованиях лимфоидной и кроветворной тканей |
1,00000 |
9 558,22 |
9 558,22 |
9 558,22 |
8 649,97 |
1,00000 |
1,00000 |
1,00000 |
1,00000 | ||||||||||||||||||||||||||||||||||||||||||||||||||
1,10500 |
1 |
1 |
3 |
|
1.1.3.176 |
Молекулярно-биологическое исследование отделяемого из цервикального канала на вирус папилломы человека (Papilloma virus) |
1,00000 |
1 554,88 |
1 554,88 |
1 554,88 |
1 407,13 |
1,00000 |
1,00000 |
1,00000 |
1,00000 | ||||||||||||||||||||||||||||||||||||||||||||||||||
1,10500 |
1 |
1 |
3 |
|
1.1.3.182 |
Обращение (законченный случай) оказания амбулаторной помощи |
1,00000 |
854,46 |
854,46 |
854,46 |
773,27 |
1,00000 |
1,00000 |
1,00000 |
1,00000 | ||||||||||||||||||||||||||||||||||||||||||||||||||
1,10500 |
1 |
1 |
3 |
|
1.1.3.183 |
Врачебное посещение |
1,00000 |
233,70 |
233,70 |
233,70 |
211,49 |
1,00000 |
1,00000 |
1,00000 |
1,00000 | ||||||||||||||||||||||||||||||||||||||||||||||||||
1,10500 |
1 |
1 |
3 |
|
1.1.3.196 |
Посещение при оказании неотложной помощи (ФАП) |
1,00000 |
780,10 |
780,10 |
780,10 |
705,97 |
1,00000 |
1,00000 |
1,00000 |
1,00000 | ||||||||||||||||||||||||||||||||||||||||||||||||||
1,10500 |
1 |
1 |
2 |
|
1.1.2.22 |
Гемодиализ |
1,00000 |
3 224,34 |
3 224,34 |
3 224,34 |
3 158,02 |
1,00000 |
1,00000 |
1,00000 |
1,00000 | ||||||||||||||||||||||||||||||||||||||||||||||||||
1,10500 |
1 |
1 |
2 |
|
1.1.2.23 |
Перитонеальный диализ |
1,00000 |
2 534,11 |
2 534,11 |
2 534,11 |
2 494,82 |
1,00000 |
1,00000 |
1,00000 |
1,00000 | ||||||||||||||||||||||||||||||||||||||||||||||||||
1,10500 |
1 |
1 |
3 |
|
1.1.3.019 |
Проведение многосрезовой компьютерной томографии - ангиографии |
1,00000 |
6 519,70 |
6 519,70 |
6 519,70 |
5 900,18 |
1,00000 |
1,00000 |
1,00000 |
1,00000 | ||||||||||||||||||||||||||||||||||||||||||||||||||
1,10500 |
1 |
1 |
3 |
|
1.1.3.023 |
Проведение многосрезовой компьютерной томографии с болюсным контрастированием |
1,00000 |
6 433,34 |
6 433,34 |
6 433,34 |
5 822,03 |
1,00000 |
1,00000 |
1,00000 |
1,00000 | ||||||||||||||||||||||||||||||||||||||||||||||||||
1,10500 |
1 |
1 |
3 |
|
1.1.3.024 |
Проведение ядерно-магнитно-резонансной томографии |
1,00000 |
1 926,07 |
1 926,07 |
1 926,07 |
1 743,05 |
1,00000 |
1,00000 |
1,00000 |
1,00000 | ||||||||||||||||||||||||||||||||||||||||||||||||||
1,10500 |
1 |
1 |
3 |
|
1.1.3.025 |
Проведение ядерно-магнитно-резонансной томографии с контрастным усилением |
1,00000 |
8 108,62 |
8 108,62 |
8 108,62 |
7 338,12 |
1,00000 |
1,00000 |
1,00000 |
1,00000 | ||||||||||||||||||||||||||||||||||||||||||||||||||
1,10500 |
1 |
1 |
3 |
|
1.1.3.026 |
Проведение сцинтиграфии |
1,00000 |
1 725,23 |
1 725,23 |
1 725,23 |
1 561,29 |
1,00000 |
1,00000 |
1,00000 |
1,00000 | ||||||||||||||||||||||||||||||||||||||||||||||||||
1,10500 |
1 |
1 |
3 |
|
1.1.3.027 |
Проведение однофотонной эмиссионной компьютерной томографии |
1,00000 |
10 637,28 |
10 637,28 |
10 637,28 |
9 626,50 |
1,00000 |
1,00000 |
1,00000 |
1,00000 | ||||||||||||||||||||||||||||||||||||||||||||||||||
1,10500 |
1 |
1 |
3 |
|
1.1.3.028 |
Проведение позитронно-эмиссионной компьютерной томографии совмещенной с компьютерной томографией |
1,00000 |
45 949,60 |
45 949,60 |
45 949,60 |
41 583,35 |
1,00000 |
1,00000 |
1,00000 |
1,00000 | ||||||||||||||||||||||||||||||||||||||||||||||||||
1,10500 |
1 |
1 |
3 |
|
1.1.3.031 |
Обращение (законченный случай) оказания скринингового эндоскопического обследования |
1,00000 |
1 227,82 |
1 227,82 |
1 227,82 |
1 111,15 |
1,00000 |
1,00000 |
1,00000 |
1,00000 | ||||||||||||||||||||||||||||||||||||||||||||||||||
1,10500 |
1 |
1 |
3 |
|
1.1.3.049 |
Проведение общеклинического, в том числе гематологического, исследования |
1,00000 |
50,07 |
50,07 |
50,07 |
45,31 |
1,00000 |
1,00000 |
1,00000 |
1,00000 | ||||||||||||||||||||||||||||||||||||||||||||||||||
1,10500 |
1 |
1 |
3 |
|
1.1.3.050 |
Проведение биохимического исследования |
1,00000 |
90,06 |
90,06 |
90,06 |
81,50 |
1,00000 |
1,00000 |
1,00000 |
1,00000 | ||||||||||||||||||||||||||||||||||||||||||||||||||
1,10500 |
1 |
1 |
3 |
|
1.1.3.051 |
Проведение коагулогического исследования |
1,00000 |
96,54 |
96,54 |
96,54 |
87,37 |
1,00000 |
1,00000 |
1,00000 |
1,00000 | ||||||||||||||||||||||||||||||||||||||||||||||||||
1,10500 |
1 |
1 |
3 |
|
1.1.3.052 |
Проведение иммунологического, в том числе иммуносерологического, иммунохимического исследования |
1,00000 |
145,99 |
145,99 |
145,99 |
132,12 |
1,00000 |
1,00000 |
1,00000 |
1,00000 | ||||||||||||||||||||||||||||||||||||||||||||||||||
1,10500 |
1 |
1 |
3 |
|
1.1.3.054 |
Проведение диагностического обследования призывников |
1,00000 |
1 601,50 |
1 601,50 |
1 601,50 |
1 449,32 |
1,00000 |
1,00000 |
1,00000 |
1,00000 | ||||||||||||||||||||||||||||||||||||||||||||||||||
1,10500 |
1 |
1 |
3 |
|
1.1.3.066 |
Проведение многосрезовой компьютерной томографии |
1,00000 |
2 200,02 |
2 200,02 |
2 200,02 |
1 990,97 |
1,00000 |
1,00000 |
1,00000 |
1,00000 | ||||||||||||||||||||||||||||||||||||||||||||||||||
1,10500 |
1 |
1 |
3 |
|
1.1.3.097 |
Проведение скринингового эндоскопического обследования органов желудочно-кишечного тракта |
1,00000 |
6 388,80 |
6 388,80 |
6 388,80 |
5 781,72 |
1,00000 |
1,00000 |
1,00000 |
1,00000 | ||||||||||||||||||||||||||||||||||||||||||||||||||
1,10500 |
1 |
1 |
3 |
|
1.1.3.132 |
Проведение цитологического исследования |
1,00000 |
289,50 |
289,50 |
289,50 |
261,99 |
1,00000 |
1,00000 |
1,00000 |
1,00000 | ||||||||||||||||||||||||||||||||||||||||||||||||||
1,10500 |
1 |
1 |
3 |
|
1.1.3.148 |
Проведение цитологического исследования (методом жидкостной цитологии) |
1,00000 |
819,59 |
819,59 |
819,59 |
741,71 |
1,00000 |
1,00000 |
1,00000 |
1,00000 | ||||||||||||||||||||||||||||||||||||||||||||||||||
1,10500 |
1 |
1 |
3 |
|
1.1.3.133 |
Обращение (законченный случай) проведения неполного цикла ЭКО (размораживание криоконсервированных эмбрионов с последующим переносом эмбрионов в полость матки) |
1,00000 |
26 372,88 |
26 372,88 |
26 372,88 |
23 866,86 |
1,00000 |
1,00000 |
1,00000 |
1,00000 | ||||||||||||||||||||||||||||||||||||||||||||||||||
1,10500 |
1 |
1 |
3 |
|
1.1.3.001 |
Обращение (законченный случай) оказания амбулаторной помощи |
1,00000 |
854,46 |
854,46 |
854,46 |
773,27 |
1,00000 |
1,00000 |
1,00000 |
1,00000 | ||||||||||||||||||||||||||||||||||||||||||||||||||
1,10500 |
1 |
1 |
3 |
|
1.1.3.138 |
Обращение (законченный случай) оказания амбулаторной помощи (специализированная ПМСП) |
1,00000 |
782,57 |
782,57 |
782,57 |
708,21 |
1,00000 |
1,00000 |
1,00000 |
1,00000 | ||||||||||||||||||||||||||||||||||||||||||||||||||
1,10500 |
1 |
1 |
3 |
|
1.1.3.004 |
Обращение (законченный случай) лечения в приемном отделении стационара |
1,00000 |
469,79 |
469,79 |
469,79 |
425,15 |
1,00000 |
1,00000 |
1,00000 |
1,00000 | ||||||||||||||||||||||||||||||||||||||||||||||||||
1,10500 |
1 |
1 |
3 |
|
1.1.3.008 |
Обращение (законченный случай) консультативной помощи при выездной форме работы |
1,00000 |
1 528,86 |
1 528,86 |
1 528,86 |
1 383,58 |
1,00000 |
1,00000 |
1,00000 |
1,00000 | ||||||||||||||||||||||||||||||||||||||||||||||||||
1,10500 |
1 |
1 |
3 |
|
1.1.3.017 |
Обращение (законченный случай) обследования и лечения в приемном отделении стационара (неврологическая и нейрохирургическая помощь) |
1,00000 |
2 575,27 |
2 575,27 |
2 575,27 |
2 330,56 |
1,00000 |
1,00000 |
1,00000 |
1,00000 | ||||||||||||||||||||||||||||||||||||||||||||||||||
1,10500 |
1 |
1 |
3 |
|
1.1.3.098 |
Обращение (законченный случай) амбулаторной урологии |
1,00000 |
12 323,92 |
12 323,92 |
12 323,92 |
11 152,87 |
1,00000 |
1,00000 |
1,00000 |
1,00000 | ||||||||||||||||||||||||||||||||||||||||||||||||||
1,10500 |
1 |
1 |
3 |
|
1.1.3.113 |
Обращение (законченный случай) оказания амбулаторной акушерско-гинекологической помощи |
1,00000 |
472,69 |
472,69 |
472,69 |
427,77 |
1,00000 |
1,00000 |
1,00000 |
1,00000 | ||||||||||||||||||||||||||||||||||||||||||||||||||
1,10500 |
1 |
1 |
3 |
|
1.1.3.010 |
Посещение при оказании неотложной помощи |
1,00000 |
780,10 |
780,10 |
780,10 |
705,97 |
1,00000 |
1,00000 |
1,00000 |
1,00000 | ||||||||||||||||||||||||||||||||||||||||||||||||||
1,10500 |
1 |
1 |
3 |
|
1.1.3.005 |
Врачебное посещение |
1,00000 |
233,70 |
233,70 |
233,70 |
211,49 |
1,00000 |
1,00000 |
1,00000 |
1,00000 | ||||||||||||||||||||||||||||||||||||||||||||||||||
1,10500 |
1 |
1 |
3 |
|
1.1.3.139 |
Врачебное посещение (специализированная ПМСП) |
1,00000 |
233,70 |
233,70 |
233,70 |
211,49 |
1,00000 |
1,00000 |
1,00000 |
1,00000 | ||||||||||||||||||||||||||||||||||||||||||||||||||
1,10500 |
1 |
1 |
3 |
|
1.1.3.137 |
УЕТ Центров здоровья |
1,00000 |
200,65 |
200,65 |
200,65 |
181,58 |
1,00000 |
1,00000 |
1,00000 |
1,00000 | ||||||||||||||||||||||||||||||||||||||||||||||||||
1,10500 |
1 |
1 |
3 |
|
1.1.3.009 |
Консультативный прием |
1,00000 |
527,07 |
527,07 |
527,07 |
476,99 |
1,00000 |
1,00000 |
1,00000 |
1,00000 | ||||||||||||||||||||||||||||||||||||||||||||||||||
1,10500 |
1 |
1 |
3 |
|
1.1.3.011 |
Обращение (законченный случай) экстренной иммунопрофилактики бешенства |
1,00000 |
3 153,63 |
3 153,63 |
3 153,63 |
2 853,96 |
1,00000 |
1,00000 |
1,00000 |
1,00000 | ||||||||||||||||||||||||||||||||||||||||||||||||||
1,10500 |
1 |
1 |
3 |
|
1.1.3.012 |
Проведение экстренной иммунопрофилактики клещевого вирусного энцефалита у детей |
1,00000 |
2 839,62 |
2 839,62 |
2 839,62 |
2 569,79 |
1,00000 |
1,00000 |
1,00000 |
1,00000 | ||||||||||||||||||||||||||||||||||||||||||||||||||
1,10500 |
1 |
1 |
3 |
|
1.1.3.013 |
Проведение экстренной иммунопрофилактики клещевого вирусного энцефалита у взрослых |
1,00000 |
7 324,63 |
7 324,63 |
7 324,63 |
6 628,62 |
1,00000 |
1,00000 |
1,00000 |
1,00000 | ||||||||||||||||||||||||||||||||||||||||||||||||||
1,10500 |
1 |
1 |
3 |
|
1.1.3.016 |
Обращение (законченный случай) комплексного обследования в Центре здоровья |
1,00000 |
1 440,60 |
1 440,60 |
1 440,60 |
1 303,71 |
1,00000 |
1,00000 |
1,00000 |
1,00000 | ||||||||||||||||||||||||||||||||||||||||||||||||||
1,10500 |
1 |
1 |
3 |
|
1.1.3.095 |
Обращение (законченный случай) при проведении профилактического медицинского осмотра несовершеннолетних |
1,00000 |
2 213,93 |
2 213,93 |
2 213,93 |
2 003,56 |
1,00000 |
1,00000 |
1,00000 |
1,00000 | ||||||||||||||||||||||||||||||||||||||||||||||||||
1,10500 |
1 |
1 |
3 |
|
1.1.3.105 |
Обращение (законченный случай) проведения диспансеризации взрослого населения 2 этап (мужчины) |
1,00000 |
1 258,67 |
1 258,67 |
1 258,67 |
1 139,07 |
1,00000 |
1,00000 |
1,00000 |
1,00000 | ||||||||||||||||||||||||||||||||||||||||||||||||||
1,10500 |
1 |
1 |
3 |
|
1.1.3.111 |
Обращение (законченный случай) проведения диспансеризации взрослого населения 2 этап (женщины) |
1,00000 |
1 430,57 |
1 430,57 |
1 430,57 |
1 294,63 |
1,00000 |
1,00000 |
1,00000 |
1,00000 | ||||||||||||||||||||||||||||||||||||||||||||||||||
1,10500 |
1 |
1 |
3 |
|
1.1.3.926 |
Подушевого норматива финансирования на прикрепившихся лиц с учетом показателей результативности деятельности медицинской организации |
1,00000 |
2 175,46 |
2 175,46 |
2 175,46 |
2 175,46 |
1,00000 |
1,00000 |
1,00000 |
1,00000 | ||||||||||||||||||||||||||||||||||||||||||||||||||
1,10500 |
1 |
1 |
3 |
|
1.1.3.945 |
Подушевого норматива финансирования на прикрепившихся лиц с учетом показателей результативности деятельности медицинской организации (5% для расчета финансирования) |
1,00000 |
2 175,46 |
2 175,46 |
2 175,46 |
2 175,46 |
1,00000 |
1,00000 |
1,00000 |
1,00000 | ||||||||||||||||||||||||||||||||||||||||||||||||||
1,10500 |
1 |
1 |
4 |
|
1.1.4.001 |
Вызов с проведением системного тромболизиса на догоспитальном этапе |
1,00000 |
159 059,82 |
159 059,82 |
159 059,82 |
143 945,54 |
1,00000 |
1,00000 |
1,00000 |
1,00000 | ||||||||||||||||||||||||||||||||||||||||||||||||||
1,10500 |
1 |
1 |
4 |
|
1.1.4.005 |
Вызов скорой медицинской помощи |
1,00000 |
3 059,81 |
3 059,81 |
3 059,81 |
2 769,06 |
1,00000 |
1,00000 |
1,00000 |
1,00000 | ||||||||||||||||||||||||||||||||||||||||||||||||||
1,10500 |
1 |
1 |
4 |
|
1.1.4.926 |
Подушевой норматив финансирования скорой медицинской помощи, оказываемой вне медицинской организации |
1,00000 |
825,45 |
825,45 |
825,45 |
825,45 |
1,00000 |
1,00000 |
1,00000 |
1,00000 | ||||||||||||||||||||||||||||||||||||||||||||||||||
1,10500 |
1 |
1 |
3 |
|
1.1.3.140 |
Проведение маммографии (специализированная ПМСП) |
1,00000 |
997,86 |
997,86 |
997,86 |
903,04 |
1,00000 |
1,00000 |
1,00000 |
1,00000 | ||||||||||||||||||||||||||||||||||||||||||||||||||
1,10500 |
1 |
1 |
3 |
|
1.1.3.141 |
Определение уровня ПСА (специализированная ПМСП) |
1,00000 |
498,89 |
498,89 |
498,89 |
451,48 |
1,00000 |
1,00000 |
1,00000 |
1,00000 | ||||||||||||||||||||||||||||||||||||||||||||||||||
1,10500 |
1 |
1 |
3 |
|
1.1.3.142 |
Комплексное посещение при проведении диспансеризации взрослого населения (мужчины, 18, 21, 24, 27, 30, 33, 36, 39 лет) |
1,00000 |
1 482,93 |
1 482,93 |
1 482,93 |
1 342,02 |
1,00000 |
1,00000 |
1,00000 |
1,00000 | ||||||||||||||||||||||||||||||||||||||||||||||||||
1,10500 |
1 |
1 |
3 |
|
1.1.3.143 |
Комплексное посещение при проведении диспансеризации взрослого населения (женщины, 18, 21, 24, 27, 30, 33, 36, 39 лет) |
1,00000 |
3 323,82 |
3 323,82 |
3 323,82 |
3 007,98 |
1,00000 |
1,00000 |
1,00000 |
1,00000 | ||||||||||||||||||||||||||||||||||||||||||||||||||
1,10500 |
1 |
1 |
3 |
|
1.1.3.144 |
Комплексное посещение при проведении диспансеризации взрослого населения (мужчины, с 40 до 64 лет) |
1,00000 |
1 798,90 |
1 798,90 |
1 798,90 |
1 627,96 |
1,00000 |
1,00000 |
1,00000 |
1,00000 | ||||||||||||||||||||||||||||||||||||||||||||||||||
1,10500 |
1 |
1 |
3 |
|
1.1.3.145 |
Комплексное посещение при проведении диспансеризации взрослого населения (женщины, с 40 до 64 лет) |
1,00000 |
3 677,78 |
3 677,78 |
3 677,78 |
3 328,31 |
1,00000 |
1,00000 |
1,00000 |
1,00000 | ||||||||||||||||||||||||||||||||||||||||||||||||||
1,10500 |
1 |
1 |
3 |
|
1.1.3.146 |
Комплексное посещение при проведении диспансеризации взрослого населения (мужчины старше 65 лет) |
1,00000 |
2 698,32 |
2 698,32 |
2 698,32 |
2 441,92 |
1,00000 |
1,00000 |
1,00000 |
1,00000 | ||||||||||||||||||||||||||||||||||||||||||||||||||
1,10500 |
1 |
1 |
3 |
|
1.1.3.147 |
Комплексное посещение при проведении диспансеризации взрослого населения (женщины старше 65 лет) |
1,00000 |
1 798,90 |
1 798,90 |
1 798,90 |
1 627,96 |
1,00000 |
1,00000 |
1,00000 |
1,00000 | ||||||||||||||||||||||||||||||||||||||||||||||||||
1,10500 |
1 |
1 |
3 |
|
1.1.3.149 |
Врачебное посещение ЦАОП |
1,00000 |
527,07 |
527,07 |
527,07 |
476,99 |
1,00000 |
1,00000 |
1,00000 |
1,00000 | ||||||||||||||||||||||||||||||||||||||||||||||||||
1,10500 |
1 |
1 |
3 |
|
1.1.3.150 |
Гемодиализ |
1,00000 |
3 224,34 |
3 224,34 |
3 224,34 |
3 158,02 |
1,00000 |
1,00000 |
1,00000 |
1,00000 | ||||||||||||||||||||||||||||||||||||||||||||||||||
1,10500 |
1 |
1 |
3 |
|
1.1.3.151 |
Обращение (законченный случай) диспансерного наблюдения ЦАОП |
1,00000 |
862,52 |
862,52 |
862,52 |
780,56 |
1,00000 |
1,00000 |
1,00000 |
1,00000 | ||||||||||||||||||||||||||||||||||||||||||||||||||
1,10500 |
1 |
1 |
3 |
|
1.1.3.152 |
Обращение (законченный случай) оказания медицинской помощи ЦАОП |
1,00000 |
782,57 |
782,57 |
782,57 |
708,21 |
1,00000 |
1,00000 |
1,00000 |
1,00000 | ||||||||||||||||||||||||||||||||||||||||||||||||||
1,10500 |
1 |
1 |
3 |
|
1.1.3.153 |
Обращение (законченный случай) проведения профилактических медицинских осмотров взрослого женского населения |
1,00000 |
2 280,50 |
2 280,50 |
2 280,50 |
2 063,80 |
1,00000 |
1,00000 |
1,00000 |
1,00000 | ||||||||||||||||||||||||||||||||||||||||||||||||||
1,10500 |
1 |
1 |
3 |
|
1.1.3.154 |
Обращение (законченный случай) проведения профилактических медицинских осмотров взрослого мужского населения |
1,00000 |
2 143,67 |
2 143,67 |
2 143,67 |
1 939,97 |
1,00000 |
1,00000 |
1,00000 |
1,00000 | ||||||||||||||||||||||||||||||||||||||||||||||||||
1,10500 |
1 |
1 |
3 |
|
1.1.3.155 |
Проведение исследования кала на скрытую кровь иммунохроматографическим методом |
1,00000 |
653,94 |
653,94 |
653,94 |
591,80 |
1,00000 |
1,00000 |
1,00000 |
1,00000 | ||||||||||||||||||||||||||||||||||||||||||||||||||
1,10500 |
1 |
1 |
3 |
|
1.1.3.156 |
УЕТ для профилактической стоматологической помощи |
1,00000 |
204,87 |
204,87 |
204,87 |
185,40 |
1,00000 |
1,00000 |
1,00000 |
1,00000 | ||||||||||||||||||||||||||||||||||||||||||||||||||
1,10500 |
1 |
1 |
3 |
|
1.1.3.157 |
Ультразвуковое исследование в рамках II-III этапа пренатального скрининга |
1,00000 |
572,10 |
572,10 |
572,10 |
517,74 |
1,00000 |
1,00000 |
1,00000 |
1,00000 | ||||||||||||||||||||||||||||||||||||||||||||||||||
1,10500 |
1 |
1 |
3 |
|
1.1.3.158 |
Ультразвуковое исследование сердечно-сосудистой системы |
1,00000 |
542,64 |
542,64 |
542,64 |
491,08 |
1,00000 |
1,00000 |
1,00000 |
1,00000 | ||||||||||||||||||||||||||||||||||||||||||||||||||
1,10500 |
1 |
1 |
3 |
|
1.1.3.159 |
Посещение при диспансерном наблюдении |
1,00000 |
233,70 |
233,70 |
233,70 |
211,49 |
1,00000 |
1,00000 |
1,00000 |
1,00000 | ||||||||||||||||||||||||||||||||||||||||||||||||||
1,10500 |
1 |
1 |
3 |
|
1.1.3.160 |
Обращение (законченный случай) оказания акушерско-гинекологической помощи с профилактической целью |
1,00000 |
571,84 |
571,84 |
571,84 |
517,50 |
1,00000 |
1,00000 |
1,00000 |
1,00000 | ||||||||||||||||||||||||||||||||||||||||||||||||||
1,10500 |
1 |
1 |
3 |
|
1.1.3.943 |
Фельдшерский, фельдшерско-акушерский пункт, обслуживающий свыше 2 000 жителей (соответствующие приказу МЗ РФ) |
1,00000 |
546 367,25 |
546 367,25 |
546 367,25 |
494 450,00 |
1,00000 |
1,00000 |
1,00000 |
1,00000 | ||||||||||||||||||||||||||||||||||||||||||||||||||
1,10500 |
1 |
1 |
3 |
|
1.1.3.161 |
Обращение (законченный случай) лечения при диспансерном наблюдении |
1,00000 |
862,52 |
862,52 |
862,52 |
780,56 |
1,00000 |
1,00000 |
1,00000 |
1,00000 | ||||||||||||||||||||||||||||||||||||||||||||||||||
1,10500 |
1 |
1 |
3 |
|
1.1.3.162 |
УЕТ для стоматологической помощи |
1,00000 |
187,14 |
187,14 |
187,14 |
169,36 |
1,00000 |
1,00000 |
1,00000 |
1,00000 | ||||||||||||||||||||||||||||||||||||||||||||||||||
1,10500 |
1 |
1 |
3 |
|
1.1.3.163 |
Обращение (законченный случай) проведения диспансеризации пребывающих в стационарных условиях детей-сирот и детей, находящихся в трудной жизненной ситуации |
1,00000 |
12 167,56 |
12 167,56 |
12 167,56 |
11 011,37 |
1,00000 |
1,00000 |
1,00000 |
1,00000 | ||||||||||||||||||||||||||||||||||||||||||||||||||
1,10500 |
1 |
1 |
3 |
|
1.1.3.195 |
Проведения диспансеризации пребывающих в стационарных условиях детей-сирот и детей, находящихся в трудной жизненной ситуации |
1,00000 |
12 167,56 |
12 167,56 |
12 167,56 |
11 011,37 |
1,00000 |
1,00000 |
1,00000 |
1,00000 | ||||||||||||||||||||||||||||||||||||||||||||||||||
1,10500 |
1 |
1 |
3 |
|
1.1.3.164 |
Обращение (законченный случай) проведения диспансеризации детей-сирот и детей, оставшихся без попечения родителей |
1,00000 |
12 167,56 |
12 167,56 |
12 167,56 |
11 011,37 |
1,00000 |
1,00000 |
1,00000 |
1,00000 | ||||||||||||||||||||||||||||||||||||||||||||||||||
1,10500 |
1 |
1 |
3 |
|
1.1.3.165 |
Молекулярно-биологическое исследование на новую коронавирусную инфекцию COVID-19 |
1,00000 |
655,02 |
655,02 |
655,02 |
592,78 |
1,00000 |
1,00000 |
1,00000 |
1,00000 | ||||||||||||||||||||||||||||||||||||||||||||||||||
1,10500 |
1 |
1 |
3 |
|
1.1.3.185 |
Комплексное посещение при проведении углубленной диспансеризации взрослого населения |
1,00000 |
852,40 |
852,40 |
852,40 |
771,40 |
1,00000 |
1,00000 |
1,00000 |
1,00000 | ||||||||||||||||||||||||||||||||||||||||||||||||||
1,10500 |
1 |
1 |
3 |
|
1.1.3.186 |
Проведение теста с 6-минутной ходьбой |
1,00000 |
70,39 |
70,39 |
70,39 |
63,70 |
1,00000 |
1,00000 |
1,00000 |
1,00000 | ||||||||||||||||||||||||||||||||||||||||||||||||||
1,10500 |
1 |
1 |
3 |
|
1.1.3.187 |
Определение концентрации Д-димера в крови |
1,00000 |
491,95 |
491,95 |
491,95 |
445,20 |
1,00000 |
1,00000 |
1,00000 |
1,00000 | ||||||||||||||||||||||||||||||||||||||||||||||||||
1,10500 |
1 |
1 |
3 |
|
1.1.3.188 |
Проведение эхокардиографии |
1,00000 |
1 605,34 |
1 605,34 |
1 605,34 |
1 452,80 |
1,00000 |
1,00000 |
1,00000 |
1,00000 | ||||||||||||||||||||||||||||||||||||||||||||||||||
1,10500 |
1 |
1 |
3 |
|
1.1.3.189 |
Проведение компьютерной томографии легких |
1,00000 |
1 250,42 |
1 250,42 |
1 250,42 |
1 131,60 |
1,00000 |
1,00000 |
1,00000 |
1,00000 | ||||||||||||||||||||||||||||||||||||||||||||||||||
1,10500 |
1 |
1 |
3 |
|
1.1.3.190 |
Проведение дуплексного сканирования вен нижних конечностей |
1,00000 |
1 337,71 |
1 337,71 |
1 337,71 |
1 210,60 |
1,00000 |
1,00000 |
1,00000 |
1,00000 | ||||||||||||||||||||||||||||||||||||||||||||||||||
1,10500 |
1 |
1 |
3 |
|
1.1.3.191 |
Обращение в связи с заболеваниями при оказании медицинской реабилитации |
1,00000 |
20 390,73 |
20 390,73 |
20 390,73 |
18 453,15 |
1,00000 |
1,00000 |
1,00000 |
1,00000 | ||||||||||||||||||||||||||||||||||||||||||||||||||
1,10500 |
1 |
1 |
3 |
|
1.1.3.192 |
Проведение молекулярно-генетического исследования при злокачественном новообразовании |
1,00000 |
0,00 |
0,00 |
0,00 |
0,00 |
1,00000 |
1,00000 |
1,00000 |
1,00000 | ||||||||||||||||||||||||||||||||||||||||||||||||||
1,10500 |
1 |
1 |
3 |
|
1.1.3.193 |
Проведение патологоанатомических исследований биопсийного (операционного) материала с целью диагностики онкологических заболеваний и подбора противоопухолевой лекарственной терапии |
1,00000 |
2 249,17 |
2 249,17 |
2 249,17 |
2 035,45 |
1,00000 |
1,00000 |
1,00000 |
1,00000 | ||||||||||||||||||||||||||||||||||||||||||||||||||
1,10500 |
1 |
1 |
3 |
|
1.1.3.194 |
Проведение патологоанатомических исследований биопсийного (операционного) материала |
1,00000 |
0,00 |
0,00 |
0,00 |
0,00 |
1,00000 |
1,00000 |
1,00000 |
1,00000 | ||||||||||||||||||||||||||||||||||||||||||||||||||
1,10500 |
1 |
1 |
1 |
|
1.1.1.00.01 |
Абдоминальная хирургия 1 |
1,00000 |
186 359,05 |
186 359,05 |
186 359,05 |
182 526,00 |
1,00000 |
1,00000 |
1,00000 |
1,00000 | ||||||||||||||||||||||||||||||||||||||||||||||||||
1,10500 |
1 |
1 |
1 |
|
1.1.1.00.02 |
Абдоминальная хирургия 2 |
1,00000 |
201 822,33 |
201 822,33 |
201 822,33 |
196 459,00 |
1,00000 |
1,00000 |
1,00000 |
1,00000 | ||||||||||||||||||||||||||||||||||||||||||||||||||
1,10500 |
1 |
1 |
1 |
|
1.1.1.00.03 |
Акушерство и гинекология 3 |
1,00000 |
144 925,49 |
144 925,49 |
144 925,49 |
140 072,00 |
1,00000 |
1,00000 |
1,00000 |
1,00000 | ||||||||||||||||||||||||||||||||||||||||||||||||||
1,10500 |
1 |
1 |
1 |
|
1.1.1.00.04 |
Акушерство и гинекология 4 |
1,00000 |
221 047,81 |
221 047,81 |
221 047,81 |
212 352,00 |
1,00000 |
1,00000 |
1,00000 |
1,00000 | ||||||||||||||||||||||||||||||||||||||||||||||||||
1,10500 |
1 |
1 |
1 |
|
1.1.1.00.05 |
Гастроэнтерология 5 |
1,00000 |
149 939,40 |
149 939,40 |
149 939,40 |
146 554,00 |
1,00000 |
1,00000 |
1,00000 |
1,00000 | ||||||||||||||||||||||||||||||||||||||||||||||||||
1,10500 |
1 |
1 |
1 |
|
1.1.1.00.06 |
Гематология 6 |
1,00000 |
169 277,40 |
169 277,40 |
169 277,40 |
164 108,00 |
1,00000 |
1,00000 |
1,00000 |
1,00000 | ||||||||||||||||||||||||||||||||||||||||||||||||||
1,10500 |
1 |
1 |
1 |
|
1.1.1.00.09 |
Дерматовенерология 9 |
1,00000 |
114 831,66 |
114 831,66 |
114 831,66 |
110 986,00 |
1,00000 |
1,00000 |
1,00000 |
1,00000 | ||||||||||||||||||||||||||||||||||||||||||||||||||
1,10500 |
1 |
1 |
1 |
|
1.1.1.00.10 |
Комбустиология 10 |
1,00000 |
612 059,68 |
612 059,68 |
612 059,68 |
582 692,00 |
1,00000 |
1,00000 |
1,00000 |
1,00000 | ||||||||||||||||||||||||||||||||||||||||||||||||||
1,10500 |
1 |
1 |
1 |
|
1.1.1.00.11 |
Комбустиология 11 |
1,00000 |
1 768 784,05 |
1 768 784,05 |
1 768 784,05 |
1 718 267,00 |
1,00000 |
1,00000 |
1,00000 |
1,00000 | ||||||||||||||||||||||||||||||||||||||||||||||||||
1,10500 |
1 |
1 |
1 |
|
1.1.1.00.12 |
Нейрохирургия 12 |
1,00000 |
182 405,68 |
182 405,68 |
182 405,68 |
177 740,00 |
1,00000 |
1,00000 |
1,00000 |
1,00000 | ||||||||||||||||||||||||||||||||||||||||||||||||||
1,10500 |
1 |
1 |
1 |
|
1.1.1.00.14 |
Нейрохирургия 14 |
1,00000 |
177 599,56 |
177 599,56 |
177 599,56 |
174 485,00 |
1,00000 |
1,00000 |
1,00000 |
1,00000 | ||||||||||||||||||||||||||||||||||||||||||||||||||
1,10500 |
1 |
1 |
1 |
|
1.1.1.00.15 |
Нейрохирургия 15 |
1,00000 |
255 191,28 |
255 191,28 |
255 191,28 |
250 716,00 |
1,00000 |
1,00000 |
1,00000 |
1,00000 | ||||||||||||||||||||||||||||||||||||||||||||||||||
1,10500 |
1 |
1 |
1 |
|
1.1.1.00.17 |
Нейрохирургия 17 |
1,00000 |
446 351,96 |
446 351,96 |
446 351,96 |
433 604,00 |
1,00000 |
1,00000 |
1,00000 |
1,00000 | ||||||||||||||||||||||||||||||||||||||||||||||||||
1,10500 |
1 |
1 |
1 |
|
1.1.1.00.18 |
Неонатология 18 |
1,00000 |
279 859,78 |
279 859,78 |
279 859,78 |
273 822,00 |
1,00000 |
1,00000 |
1,00000 |
1,00000 | ||||||||||||||||||||||||||||||||||||||||||||||||||
1,10500 |
1 |
1 |
1 |
|
1.1.1.00.19 |
Неонатология 19 |
1,00000 |
572 257,63 |
572 257,63 |
572 257,63 |
554 782,00 |
1,00000 |
1,00000 |
1,00000 |
1,00000 | ||||||||||||||||||||||||||||||||||||||||||||||||||
1,10500 |
1 |
1 |
1 |
|
1.1.1.00.20 |
Онкология 20 |
1,00000 |
133 111,18 |
133 111,18 |
133 111,18 |
128 915,00 |
1,00000 |
1,00000 |
1,00000 |
1,00000 | ||||||||||||||||||||||||||||||||||||||||||||||||||
1,10500 |
1 |
1 |
1 |
|
1.1.1.00.22 |
Онкология 22 |
1,00000 |
153 560,15 |
153 560,15 |
153 560,15 |
147 967,00 |
1,00000 |
1,00000 |
1,00000 |
1,00000 | ||||||||||||||||||||||||||||||||||||||||||||||||||
1,10500 |
1 |
1 |
1 |
|
1.1.1.00.24 |
Онкология 24 |
1,00000 |
184 558,09 |
184 558,09 |
184 558,09 |
178 016,00 |
1,00000 |
1,00000 |
1,00000 |
1,00000 | ||||||||||||||||||||||||||||||||||||||||||||||||||
1,10500 |
1 |
1 |
1 |
|
1.1.1.00.25 |
Онкология 25 |
1,00000 |
245 560,33 |
245 560,33 |
245 560,33 |
237 096,00 |
1,00000 |
1,00000 |
1,00000 |
1,00000 | ||||||||||||||||||||||||||||||||||||||||||||||||||
1,10500 |
1 |
1 |
1 |
|
1.1.1.00.26 |
Оториноларингология 26 |
1,00000 |
127 932,75 |
127 932,75 |
127 932,75 |
124 533,00 |
1,00000 |
1,00000 |
1,00000 |
1,00000 | ||||||||||||||||||||||||||||||||||||||||||||||||||
1,10500 |
1 |
1 |
1 |
|
1.1.1.00.27 |
Оториноларингология 27 |
1,00000 |
75 634,66 |
75 634,66 |
75 634,66 |
74 079,00 |
1,00000 |
1,00000 |
1,00000 |
1,00000 | ||||||||||||||||||||||||||||||||||||||||||||||||||
1,10500 |
1 |
1 |
2 |
|
1.1.2.00.29 |
Офтальмология 29 |
1,00000 |
68 825,69 |
68 825,69 |
68 825,69 |
66 386,00 |
1,00000 |
1,00000 |
1,00000 |
1,00000 | ||||||||||||||||||||||||||||||||||||||||||||||||||
1,10500 |
1 |
1 |
1 |
|
1.1.1.00.29 |
Офтальмология 29 |
1,00000 |
68 825,69 |
68 825,69 |
68 825,69 |
66 386,00 |
1,00000 |
1,00000 |
1,00000 |
1,00000 | ||||||||||||||||||||||||||||||||||||||||||||||||||
1,10500 |
1 |
1 |
1 |
|
1.1.1.00.34 |
Педиатрия 34 |
1,00000 |
191 810,17 |
191 810,17 |
191 810,17 |
187 672,00 |
1,00000 |
1,00000 |
1,00000 |
1,00000 | ||||||||||||||||||||||||||||||||||||||||||||||||||
1,10500 |
1 |
1 |
1 |
|
1.1.1.00.35 |
Ревматология 35 |
1,00000 |
150 184,64 |
150 184,64 |
150 184,64 |
144 861,00 |
1,00000 |
1,00000 |
1,00000 |
1,00000 | ||||||||||||||||||||||||||||||||||||||||||||||||||
1,10500 |
1 |
1 |
1 |
|
1.1.1.00.36 |
Сердечно-сосудистая хирургия 36 |
1,00000 |
182 800,76 |
182 800,76 |
182 800,76 |
172 649,00 |
1,00000 |
1,00000 |
1,00000 |
1,00000 | ||||||||||||||||||||||||||||||||||||||||||||||||||
1,10500 |
1 |
1 |
1 |
|
1.1.1.00.37 |
Сердечно-сосудистая хирургия 37 |
1,00000 |
210 911,41 |
210 911,41 |
210 911,41 |
200 591,00 |
1,00000 |
1,00000 |
1,00000 |
1,00000 | ||||||||||||||||||||||||||||||||||||||||||||||||||
1,10500 |
1 |
1 |
1 |
|
1.1.1.00.38 |
Сердечно-сосудистая хирургия 38 |
1,00000 |
238 754,07 |
238 754,07 |
238 754,07 |
228 440,00 |
1,00000 |
1,00000 |
1,00000 |
1,00000 | ||||||||||||||||||||||||||||||||||||||||||||||||||
1,10500 |
1 |
1 |
1 |
|
1.1.1.00.39 |
Сердечно-сосудистая хирургия 39 |
1,00000 |
135 774,33 |
135 774,33 |
135 774,33 |
128 489,00 |
1,00000 |
1,00000 |
1,00000 |
1,00000 | ||||||||||||||||||||||||||||||||||||||||||||||||||
1,10500 |
1 |
1 |
1 |
|
1.1.1.00.40 |
Сердечно-сосудистая хирургия 40 |
1,00000 |
163 875,77 |
163 875,77 |
163 875,77 |
156 482,00 |
1,00000 |
1,00000 |
1,00000 |
1,00000 | ||||||||||||||||||||||||||||||||||||||||||||||||||
1,10500 |
1 |
1 |
1 |
|
1.1.1.00.41 |
Сердечно-сосудистая хирургия 41 |
1,00000 |
203 665,23 |
203 665,23 |
203 665,23 |
196 645,00 |
1,00000 |
1,00000 |
1,00000 |
1,00000 | ||||||||||||||||||||||||||||||||||||||||||||||||||
1,10500 |
1 |
1 |
1 |
|
1.1.1.00.42 |
Сердечно-сосудистая хирургия 42 |
1,00000 |
175 472,31 |
175 472,31 |
175 472,31 |
167 220,00 |
1,00000 |
1,00000 |
1,00000 |
1,00000 | ||||||||||||||||||||||||||||||||||||||||||||||||||
1,10500 |
1 |
1 |
1 |
|
1.1.1.00.43 |
Сердечно-сосудистая хирургия 43 |
1,00000 |
338 923,94 |
338 923,94 |
338 923,94 |
330 593,00 |
1,00000 |
1,00000 |
1,00000 |
1,00000 | ||||||||||||||||||||||||||||||||||||||||||||||||||
1,10500 |
1 |
1 |
1 |
|
1.1.1.00.44 |
Сердечно-сосудистая хирургия 44 |
1,00000 |
155 641,48 |
155 641,48 |
155 641,48 |
152 912,00 |
1,00000 |
1,00000 |
1,00000 |
1,00000 | ||||||||||||||||||||||||||||||||||||||||||||||||||
1,10500 |
1 |
1 |
1 |
|
1.1.1.00.45 |
Сердечно-сосудистая хирургия 45 |
1,00000 |
290 040,30 |
290 040,30 |
290 040,30 |
285 543,00 |
1,00000 |
1,00000 |
1,00000 |
1,00000 |
||||||||||||||||||||||||||||||||||||||||||||||||||
1,10500 |
1 |
1 |
1 |
|
1.1.1.00.46 |
Сердечно-сосудистая хирургия 46 |
1,00000 |
234 141,21 |
234 141,21 |
234 141,21 |
225 385,00 |
1,00000 |
1,00000 |
1,00000 |
1,00000 |
||||||||||||||||||||||||||||||||||||||||||||||||||
1,10500 |
1 |
1 |
1 |
|
1.1.1.00.47 |
Сердечно-сосудистая хирургия 47 |
1,00000 |
738 616,74 |
738 616,74 |
738 616,74 |
726 413,00 |
1,00000 |
1,00000 |
1,00000 |
1,00000 |
||||||||||||||||||||||||||||||||||||||||||||||||||
1,10500 |
1 |
1 |
1 |
|
1.1.1.00.48 |
Сердечно-сосудистая хирургия 48 |
1,00000 |
408 559,42 |
408 559,42 |
408 559,42 |
387 407,00 |
1,00000 |
1,00000 |
1,00000 |
1,00000 |
||||||||||||||||||||||||||||||||||||||||||||||||||
1,10500 |
1 |
1 |
1 |
|
1.1.1.00.51 |
Травматология и ортопедия 51 |
1,00000 |
151 037,59 |
151 037,59 |
151 037,59 |
147 325,00 |
1,00000 |
1,00000 |
1,00000 |
1,00000 |
||||||||||||||||||||||||||||||||||||||||||||||||||
1,10500 |
1 |
1 |
1 |
|
1.1.1.00.52 |
Травматология и ортопедия 52 |
1,00000 |
309 502,22 |
309 502,22 |
309 502,22 |
299 441,00 |
1,00000 |
1,00000 |
1,00000 |
1,00000 |
||||||||||||||||||||||||||||||||||||||||||||||||||
1,10500 |
1 |
1 |
1 |
|
1.1.1.00.53 |
Травматология и ортопедия 53 |
1,00000 |
159 579,24 |
159 579,24 |
159 579,24 |
154 706,00 |
1,00000 |
1,00000 |
1,00000 |
1,00000 |
||||||||||||||||||||||||||||||||||||||||||||||||||
1,10500 |
1 |
1 |
1 |
|
1.1.1.00.56 |
Урология 56 |
1,00000 |
106 912,45 |
106 912,45 |
106 912,45 |
103 859,00 |
1,00000 |
1,00000 |
1,00000 |
1,00000 |
||||||||||||||||||||||||||||||||||||||||||||||||||
1,10500 |
1 |
1 |
1 |
|
1.1.1.00.57 |
Урология 5 7 |
1,00000 |
157 974,39 |
157 974,39 |
157 974,39 |
152 839,00 |
1,00000 |
1,00000 |
1,00000 |
1,00000 |
||||||||||||||||||||||||||||||||||||||||||||||||||
1,10500 |
1 |
1 |
1 |
|
1.1.1.00.58 |
Челюстно-лицевая хирургия 58 |
1,00000 |
139 660,65 |
139 660,65 |
139 660,65 |
135 258,00 |
1,00000 |
1,00000 |
1,00000 |
1,00000 |
||||||||||||||||||||||||||||||||||||||||||||||||||
1,10500 |
1 |
1 |
1 |
|
1.1.1.00.59 |
Эндокринология 59 |
1,00000 |
208 261,27 |
208 261,27 |
208 261,27 |
204 609,00 |
1,00000 |
1,00000 |
1,00000 |
1,00000 |
||||||||||||||||||||||||||||||||||||||||||||||||||
1,10500 |
1 |
1 |
3 |
|
1.1.3.935 |
Фельдшерские, фельдшерско-акушерские пункты, обслуживающие до 99 жителей (соответствующие приказу МЗ РФ) |
1,00000 |
223 364,70 |
223 364,70 |
223 364,70 |
202 140,00 |
1,00000 |
1,00000 |
1,00000 |
1,00000 |
||||||||||||||||||||||||||||||||||||||||||||||||||
1,10500 |
1 |
1 |
3 |
|
1.1.3.936 |
Фельдшерские, фельдшерско-акушерские пункты, обслуживающие до 99 жителей (не соответствующие приказу МЗ РФ) |
1,00000 |
156 355,29 |
156 355,29 |
156 355,29 |
141 498,00 |
1,00000 |
1,00000 |
1,00000 |
1,00000 |
||||||||||||||||||||||||||||||||||||||||||||||||||
1,10500 |
1 |
1 |
3 |
|
1.1.3.937 |
Фельдшерские, фельдшерско-акушерские пункты, обслуживающие от 100 до 899 жителей (соответствующие приказу МЗ РФ) |
1,00000 |
279 205,88 |
279 205,88 |
279 205,88 |
252 675,00 |
1,00000 |
1,00000 |
1,00000 |
1,00000 |
||||||||||||||||||||||||||||||||||||||||||||||||||
1,10500 |
1 |
1 |
3 |
|
1.1.3.938 |
Фельдшерские, фельдшерско-акушерские пункты, обслуживающие от 100 до 899 жителей (не соответствующие приказу МЗ РФ) |
1,00000 |
195 444,11 |
195 444,11 |
195 444,11 |
176 872,50 |
1,00000 |
1,00000 |
1,00000 |
1,00000 |
||||||||||||||||||||||||||||||||||||||||||||||||||
1,10500 |
1 |
1 |
3 |
|
1.1.3.939 |
Фельдшерские, фельдшерско-акушерские пункты, обслуживающий от 900 до 1499 жителей (соответствующие приказу МЗ РФ) |
1,00000 |
442 331,50 |
442 331,50 |
442 331,50 |
400 300,00 |
1,00000 |
1,00000 |
1,00000 |
1,00000 |
||||||||||||||||||||||||||||||||||||||||||||||||||
1,10500 |
1 |
1 |
3 |
|
1.1.3.941 |
Фельдшерские, фельдшерско-акушерские пункты, обслуживающий от 1500 до 1999 жителей (соответствующие приказу МЗ РФ) |
1,00000 |
496 697,50 |
496 697,50 |
496 697,50 |
449 500,00 |
1,00000 |
1,00000 |
1,00000 |
1,00000 |
||||||||||||||||||||||||||||||||||||||||||||||||||
1,10500 |
1 |
1 |
1 |
st01.001 |
1.1.1.1.1.1 |
Беременность без патологии, дородовая госпитализация в отделение сестринского ухода |
0,50000 |
10 846,07 |
10 846,07 |
10 846,07 |
24 538,61 |
0,90000 |
1,05000 |
1,25000 |
0,80000 |
||||||||||||||||||||||||||||||||||||||||||||||||||
1,10500 |
1 |
1 |
1 |
st02.001 |
1.1.1.1.2.1 |
Осложнения, связанные с беременностью |
0,93000 |
18 156,31 |
21 182,37 |
25 217,10 |
24 538,61 |
0,90000 |
1,05000 |
1,25000 |
0,80000 |
||||||||||||||||||||||||||||||||||||||||||||||||||
1,10500 |
1 |
1 |
1 |
st02.002 |
1.1.1.3.2.2 |
Беременность, закончившаяся абортивным исходом |
0,28000 |
6 073,80 |
6 073,80 |
6 073,80 |
24 538,61 |
0,90000 |
1,05000 |
1,25000 |
0,80000 |
||||||||||||||||||||||||||||||||||||||||||||||||||
1,10500 |
1 |
1 |
1 |
st02.003 |
1.1.1.3.2.3 |
Родоразрешение |
0,98000 |
19 132,46 |
22 321,20 |
26 572,86 |
24 538,61 |
0,90000 |
1,05000 |
1,25000 |
0,80000 |
||||||||||||||||||||||||||||||||||||||||||||||||||
1,10500 |
1 |
1 |
1 |
st02.004 |
1.1.1.2.2.4 |
Кесарево сечение |
1,01000 |
19 718,15 |
23 004,51 |
27 386,32 |
24 538,61 |
0,90000 |
1,05000 |
1,25000 |
0,80000 |
||||||||||||||||||||||||||||||||||||||||||||||||||
1,10500 |
1 |
1 |
1 |
st02.005 |
1.1.1.1.2.5 |
Осложнения послеродового периода |
0,74000 |
14 446,96 |
16 854,79 |
20 065,22 |
24 538,61 |
0,90000 |
1,05000 |
1,25000 |
0,80000 |
||||||||||||||||||||||||||||||||||||||||||||||||||
1,10500 |
1 |
1 |
1 |
st02.006 |
1.1.1.1.2.6 |
Послеродовой сепсис |
3,21000 |
69 631,74 |
69 631,74 |
69 631,74 |
24 538,61 |
0,90000 |
1,05000 |
1,25000 |
0,80000 |
||||||||||||||||||||||||||||||||||||||||||||||||||
1,10500 |
1 |
1 |
1 |
st02.007 |
1.1.1.1.2.7 |
Воспалительные болезни женских половых органов |
0,71000 |
13 861,27 |
16 171,48 |
19 251,77 |
24 538,61 |
0,90000 |
1,05000 |
1,25000 |
0,80000 |
||||||||||||||||||||||||||||||||||||||||||||||||||
1,10500 |
1 |
1 |
1 |
st02.008 |
1.1.1.1.2.8 |
Доброкачественные новообразования, новообразования in situ, неопределенного и неизвестного характера женских половых органов |
0,89000 |
17 375,40 |
20 271,30 |
24 132,50 |
24 538,61 |
0,90000 |
1,05000 |
1,25000 |
0,80000 |
||||||||||||||||||||||||||||||||||||||||||||||||||
1,10500 |
1 |
1 |
1 |
st02.009 |
1.1.1.1.2.9 |
Другие болезни, врожденные аномалии, повреждения женских половых органов |
0,46000 |
8 980,54 |
10 477,30 |
12 472,98 |
24 538,61 |
0,90000 |
1,05000 |
1,25000 |
0,80000 |
||||||||||||||||||||||||||||||||||||||||||||||||||
1,10500 |
1 |
1 |
1 |
st02.010 |
1.1.1.2.2.10 |
Операции на женских половых органах (уровень 1) |
0,39000 |
7 613,94 |
8 882,93 |
10 574,91 |
24 538,61 |
0,90000 |
1,05000 |
1,25000 |
0,80000 |
||||||||||||||||||||||||||||||||||||||||||||||||||
1,10500 |
1 |
1 |
1 |
st02.011 |
1.1.1.2.2.11 |
Операции на женских половых органах (уровень 2) |
0,58000 |
11 323,29 |
13 210,51 |
15 726,80 |
24 538,61 |
0,90000 |
1,05000 |
1,25000 |
0,80000 |
||||||||||||||||||||||||||||||||||||||||||||||||||
1,10500 |
1 |
1 |
1 |
st02.012 |
1.1.1.2.2.12 |
Операции на женских половых органах (уровень 3) |
1,17000 |
25 379,79 |
25 379,79 |
25 379,79 |
24 538,61 |
0,90000 |
1,05000 |
1,25000 |
0,80000 |
||||||||||||||||||||||||||||||||||||||||||||||||||
1,10500 |
1 |
1 |
1 |
st02.013 |
1.1.1.2.2.13 |
Операции на женских половых органах (уровень 4) |
2,20000 |
42 950,42 |
50 108,82 |
59 653,36 |
24 538,61 |
0,90000 |
1,05000 |
1,25000 |
0,80000 |
||||||||||||||||||||||||||||||||||||||||||||||||||
1,10500 |
1 |
1 |
1 |
st03.001 |
1.1.1.1.3.1 |
Нарушения с вовлечением иммунного механизма |
4,52000 |
88 243,59 |
102 950,85 |
122 560,54 |
24 538,61 |
0,90000 |
1,05000 |
1,25000 |
0,80000 |
||||||||||||||||||||||||||||||||||||||||||||||||||
1,10500 |
1 |
1 |
1 |
st03.002 |
1.1.1.1.3.2 |
Ангионевротический отек, анафилактический шок |
0,27000 |
5 856,88 |
5 856,88 |
5 856,88 |
24 538,61 |
0,90000 |
1,05000 |
1,25000 |
0,80000 |
||||||||||||||||||||||||||||||||||||||||||||||||||
1,10500 |
1 |
1 |
1 |
st04.001 |
1.1.1.1.4.1 |
Язва желудка и двенадцатиперстной кишки |
0,89000 |
19 306,00 |
19 306,00 |
19 306,00 |
24 538,61 |
0,90000 |
1,05000 |
1,25000 |
0,80000 |
||||||||||||||||||||||||||||||||||||||||||||||||||
1,10500 |
1 |
1 |
1 |
st04.002 |
1.1.1.1.4.2 |
Воспалительные заболевания кишечника |
2,01000 |
39 241,07 |
45 781,24 |
54 501,48 |
24 538,61 |
0,90000 |
1,05000 |
1,25000 |
0,80000 |
||||||||||||||||||||||||||||||||||||||||||||||||||
1,10500 |
1 |
1 |
1 |
st04.003 |
1.1.1.1.4.3 |
Болезни печени, невирусные (уровень 1) |
0,86000 |
16 789,71 |
19 587,99 |
23 319,04 |
24 538,61 |
0,90000 |
1,05000 |
1,25000 |
0,80000 |
||||||||||||||||||||||||||||||||||||||||||||||||||
1,10500 |
1 |
1 |
1 |
st04.004 |
1.1.1.1.4.4 |
Болезни печени, невирусные (уровень 2) |
1,21000 |
23 622,73 |
27 559,85 |
32 809,35 |
24 538,61 |
0,90000 |
1,05000 |
1,25000 |
0,80000 |
||||||||||||||||||||||||||||||||||||||||||||||||||
1,10500 |
1 |
1 |
1 |
st04.005 |
1.1.1.1.4.5 |
Болезни поджелудочной железы |
0,87000 |
16 984,94 |
19 815,76 |
23 590,19 |
24 538,61 |
0,90000 |
1,05000 |
1,25000 |
0,80000 |
||||||||||||||||||||||||||||||||||||||||||||||||||
1,10500 |
1 |
1 |
1 |
st04.006 |
1.1.1.1.4.6 |
Панкреатит с синдромом органной дисфункции |
4,19000 |
81 801,03 |
95 434,53 |
113 612,54 |
24 538,61 |
0,90000 |
1,05000 |
1,25000 |
0,80000 |
||||||||||||||||||||||||||||||||||||||||||||||||||
1,10500 |
1 |
1 |
1 |
st05.001 |
1.1.1.1.5.1 |
Анемии (уровень 1) |
0,94000 |
18 351,54 |
21 410,13 |
25 488,25 |
24 538,61 |
0,90000 |
1,05000 |
1,25000 |
0,80000 |
||||||||||||||||||||||||||||||||||||||||||||||||||
1,10500 |
1 |
1 |
1 |
st05.002 |
1.1.1.1.5.2 |
Анемии (уровень 2) |
5,32000 |
103 861,92 |
121 172,25 |
144 252,67 |
24 538,61 |
0,90000 |
1,05000 |
1,25000 |
0,80000 |
||||||||||||||||||||||||||||||||||||||||||||||||||
1,10500 |
1 |
1 |
1 |
st05.003 |
1.1.1.1.5.3 |
Нарушения свертываемости крови |
4,50000 |
87 853,13 |
102 495,32 |
122 018,24 |
24 538,61 |
0,90000 |
1,05000 |
1,25000 |
0,80000 |
||||||||||||||||||||||||||||||||||||||||||||||||||
1,10500 |
1 |
1 |
1 |
st05.004 |
1.1.1.1.5.4 |
Другие болезни крови и кроветворных органов (уровень 1) |
1,09000 |
21 279,98 |
24 826,64 |
29 555,53 |
24 538,61 |
0,90000 |
1,05000 |
1,25000 |
0,80000 |
||||||||||||||||||||||||||||||||||||||||||||||||||
1,10500 |
1 |
1 |
1 |
st05.005 |
1.1.1.1.5.5 |
Другие болезни крови и кроветворных органов (уровень 2) |
4,51000 |
88 048,36 |
102 723,09 |
122 289,39 |
24 538,61 |
0,90000 |
1,05000 |
1,25000 |
0,80000 |
||||||||||||||||||||||||||||||||||||||||||||||||||
1,10500 |
1 |
1 |
1 |
st05.008 |
1.1.1.1.5.8 |
Лекарственная терапия при доброкачественных заболеваниях крови и пузырном заносе |
2,05000 |
40 021,98 |
46 692,31 |
55 586,09 |
24 538,61 |
0,90000 |
1,05000 |
1,25000 |
0,80000 |
||||||||||||||||||||||||||||||||||||||||||||||||||
1,10500 |
1 |
1 |
1 |
st06.004 |
1.1.1.1.6.4 |
Лечение дерматозов с применением наружной терапии |
0,32000 |
6 287,94 |
7 302,82 |
8 655,99 |
24 538,61 |
0,90000 |
1,05000 |
1,25000 |
0,80000 |
||||||||||||||||||||||||||||||||||||||||||||||||||
1,10500 |
1 |
1 |
1 |
st06.005 |
1.1.1.1.6.5 |
Лечение дерматозов с применением наружной терапии, физиотерапии, плазмофереза |
1,39000 |
27 242,13 |
31 696,65 |
37 636,00 |
24 538,61 |
0,90000 |
1,05000 |
1,25000 |
0,80000 |
||||||||||||||||||||||||||||||||||||||||||||||||||
1,10500 |
1 |
1 |
1 |
st06.006 |
1.1.1.1.6.6 |
Лечение дерматозов с применением наружной и системной терапии |
2,10000 |
41 099,24 |
47 866,67 |
56 889,90 |
24 538,61 |
0,90000 |
1,05000 |
1,25000 |
0,80000 |
||||||||||||||||||||||||||||||||||||||||||||||||||
1,10500 |
1 |
1 |
1 |
st06.007 |
1.1.1.1.6.7 |
Лечение дерматозов с применением наружной и фототерапии |
2,86000 |
56 122,44 |
65 242,25 |
77 401,99 |
24 538,61 |
0,90000 |
1,05000 |
1,25000 |
0,80000 |
||||||||||||||||||||||||||||||||||||||||||||||||||
1,10500 |
1 |
1 |
1 |
st07.001 |
1.1.1.1.7.1 |
Врожденные аномалии сердечно-сосудистой системы, дети |
1,84000 |
35 922,17 |
41 909,20 |
49 891,90 |
24 538,61 |
0,90000 |
1,05000 |
1,25000 |
0,80000 |
||||||||||||||||||||||||||||||||||||||||||||||||||
1,10500 |
1 |
1 |
1 |
st08.001 |
1.1.1.3.8.1 |
Лекарственная терапия при злокачественных новообразованиях других локализаций (кроме лимфоидной и кроветворной тканей), дети |
4,37000 |
106 643,94 |
124 417,93 |
148 116,58 |
24 538,61 |
0,90000 |
1,05000 |
1,25000 |
1,00000 |
||||||||||||||||||||||||||||||||||||||||||||||||||
1,10500 |
1 |
1 |
1 |
st08.002 |
1.1.1.3.8.2 |
Лекарственная терапия при остром лейкозе, дети |
7,82000 |
190 836,52 |
222 642,61 |
265 050,73 |
24 538,61 |
0,90000 |
1,05000 |
1,25000 |
1,00000 |
||||||||||||||||||||||||||||||||||||||||||||||||||
1,10500 |
1 |
1 |
1 |
st08.003 |
1.1.1.3.8.3 |
Лекарственная терапия при других злокачественных новообразованиях лимфоидной и кроветворной тканей, дети |
5,68000 |
138 612,72 |
161 714,84 |
192 517,66 |
24 538,61 |
0,90000 |
1,05000 |
1,25000 |
1,00000 |
||||||||||||||||||||||||||||||||||||||||||||||||||
1,10500 |
1 |
1 |
1 |
st09.001 |
1.1.1.2.9.1 |
Операции на мужских половых органах, дети (уровень 1) |
0,97000 |
18 937,23 |
22 093,44 |
26 301,71 |
24 538,61 |
0,90000 |
1,05000 |
1,25000 |
0,80000 |
||||||||||||||||||||||||||||||||||||||||||||||||||
1,10500 |
1 |
1 |
1 |
st09.002 |
1.1.1.2.9.2 |
Операции на мужских половых органах, дети (уровень 2) |
1,11000 |
21 670,44 |
25 282,18 |
30 097,83 |
24 538,61 |
0,90000 |
1,05000 |
1,25000 |
0,80000 |
||||||||||||||||||||||||||||||||||||||||||||||||||
1,10500 |
1 |
1 |
1 |
st09.003 |
1.1.1.2.9.3 |
Операции на мужских половых органах, дети (уровень 3) |
1,97000 |
42 733,50 |
42 733,50 |
42 733,50 |
24 538,61 |
0,90000 |
1,05000 |
1,25000 |
0,80000 |
||||||||||||||||||||||||||||||||||||||||||||||||||
1,10500 |
1 |
1 |
1 |
st09.004 |
1.1.1.2.9.4 |
Операции на мужских половых органах, дети (уровень 4) |
2,78000 |
60 304,12 |
60 304,12 |
60 304,12 |
24 538,61 |
0,90000 |
1,05000 |
1,25000 |
0,80000 |
||||||||||||||||||||||||||||||||||||||||||||||||||
1,10500 |
1 |
1 |
1 |
st09.005 |
1.1.1.2.9.5 |
Операции на почке и мочевыделительной системе, дети (уровень 1) |
1,15000 |
22 451,36 |
26 193,25 |
31 182,44 |
24 538,61 |
0,90000 |
1,05000 |
1,25000 |
0,80000 |
||||||||||||||||||||||||||||||||||||||||||||||||||
1,10500 |
1 |
1 |
1 |
st09.006 |
1.1.1.2.9.6 |
Операции на почке и мочевыделительной системе, дети (уровень 2) |
1,22000 |
23 817,96 |
27 787,62 |
33 080,50 |
24 538,61 |
0,90000 |
1,05000 |
1,25000 |
0,80000 |
||||||||||||||||||||||||||||||||||||||||||||||||||
1,10500 |
1 |
1 |
1 |
st09.007 |
1.1.1.2.9.7 |
Операции на почке и мочевыделительной системе, дети (уровень 3) |
1,78000 |
34 750,79 |
40 542,59 |
48 264,99 |
24 538,61 |
0,90000 |
1,05000 |
1,25000 |
0,80000 |
||||||||||||||||||||||||||||||||||||||||||||||||||
1,10500 |
1 |
1 |
1 |
st09.008 |
1.1.1.2.9.8 |
Операции на почке и мочевыделительной системе, дети (уровень 4) |
2,23000 |
48 373,45 |
48 373,45 |
48 373,45 |
24 538,61 |
0,90000 |
1,05000 |
1,25000 |
0,80000 |
||||||||||||||||||||||||||||||||||||||||||||||||||
1,10500 |
1 |
1 |
1 |
st09.009 |
1.1.1.2.9.9 |
Операции на почке и мочевыделительной системе, дети (уровень 5) |
2,36000 |
51 193,43 |
51 193,43 |
51 193,43 |
24 538,61 |
0,90000 |
1,05000 |
1,25000 |
0,80000 |
||||||||||||||||||||||||||||||||||||||||||||||||||
1,10500 |
1 |
1 |
1 |
st09.010 |
1.1.1.2.9.10 |
Операции на почке и мочевыделительной системе, дети (уровень 6) |
4,28000 |
92 842,32 |
92 842,32 |
92 842,32 |
24 538,61 |
0,90000 |
1,05000 |
1,25000 |
0,80000 |
||||||||||||||||||||||||||||||||||||||||||||||||||
1,10500 |
1 |
1 |
1 |
st10.001 |
1.1.1.2.10.1 |
Детская хирургия (уровень 1) |
2,95000 |
57 592,61 |
67 191,38 |
79 989,73 |
24 538,61 |
0,90000 |
1,05000 |
1,25000 |
0,80000 |
||||||||||||||||||||||||||||||||||||||||||||||||||
1,10500 |
1 |
1 |
1 |
st10.002 |
1.1.1.2.10.2 |
Детская хирургия (уровень 2) |
5,33000 |
104 057,15 |
121 400,01 |
144 523,82 |
24 538,61 |
0,90000 |
1,05000 |
1,25000 |
0,80000 |
||||||||||||||||||||||||||||||||||||||||||||||||||
1,10500 |
1 |
1 |
1 |
st10.003 |
1.1.1.2.10.3 |
Аппендэктомия, дети (уровень 1) |
0,77000 |
16 702,94 |
16 702,94 |
16 702,94 |
24 538,61 |
0,90000 |
1,05000 |
1,25000 |
0,80000 |
||||||||||||||||||||||||||||||||||||||||||||||||||
1,10500 |
1 |
1 |
1 |
st10.004 |
1.1.1.2.10.4 |
Аппендэктомия, дети (уровень 2) |
0,97000 |
18 937,23 |
22 093,44 |
26 301,71 |
24 538,61 |
0,90000 |
1,05000 |
1,25000 |
0,80000 |
||||||||||||||||||||||||||||||||||||||||||||||||||
1,10500 |
1 |
1 |
1 |
st10.005 |
1.1.1.2.10.5 |
Операции по поводу грыж, дети (уровень 1) |
0,88000 |
19 089,08 |
19 089,08 |
19 089,08 |
24 538,61 |
0,90000 |
1,05000 |
1,25000 |
0,80000 |
||||||||||||||||||||||||||||||||||||||||||||||||||
1,10500 |
1 |
1 |
1 |
st10.006 |
1.1.1.2.10.6 |
Операции по поводу грыж, дети (уровень 2) |
1,05000 |
20 499,06 |
23 915,57 |
28 470,92 |
24 538,61 |
0,90000 |
1,05000 |
1,25000 |
0,80000 |
||||||||||||||||||||||||||||||||||||||||||||||||||
1,10500 |
1 |
1 |
1 |
st10.007 |
1.1.1.2.10.7 |
Операции по поводу грыж, дети (уровень 3) |
1,25000 |
24 403,65 |
28 470,92 |
33 893,96 |
24 538,61 |
0,90000 |
1,05000 |
1,25000 |
0,80000 |
||||||||||||||||||||||||||||||||||||||||||||||||||
1,10500 |
1 |
1 |
1 |
st11.001 |
1.1.1.1.11.1 |
Сахарный диабет, дети |
1,51000 |
29 479,61 |
34 392,87 |
40 943,90 |
24 538,61 |
0,90000 |
1,05000 |
1,25000 |
0,80000 |
||||||||||||||||||||||||||||||||||||||||||||||||||
1,10500 |
1 |
1 |
1 |
st11.002 |
1.1.1.1.11.2 |
Заболевания гипофиза, дети |
2,26000 |
44 121,79 |
51 475,43 |
61 280,27 |
24 538,61 |
0,90000 |
1,05000 |
1,25000 |
0,80000 |
||||||||||||||||||||||||||||||||||||||||||||||||||
1,10500 |
1 |
1 |
1 |
st11.003 |
1.1.1.1.11.3 |
Другие болезни эндокринной системы, дети (уровень 1) |
1,38000 |
26 941,63 |
31 431,90 |
37 418,93 |
24 538,61 |
0,90000 |
1,05000 |
1,25000 |
0,80000 |
||||||||||||||||||||||||||||||||||||||||||||||||||
1,10500 |
1 |
1 |
1 |
st11.004 |
1.1.1.1.11.4 |
Другие болезни эндокринной системы, дети (уровень 2) |
2,82000 |
55 054,63 |
64 230,40 |
76 464,76 |
24 538,61 |
0,90000 |
1,05000 |
1,25000 |
0,80000 |
||||||||||||||||||||||||||||||||||||||||||||||||||
1,10500 |
1 |
1 |
1 |
st12.001 |
1.1.1.1.12.1 |
Кишечные инфекции, взрослые |
0,58000 |
11 323,29 |
13 210,51 |
15 726,80 |
24 538,61 |
0,90000 |
1,05000 |
1,25000 |
0,80000 |
||||||||||||||||||||||||||||||||||||||||||||||||||
1,10500 |
1 |
1 |
1 |
st12.002 |
1.1.1.1.12.2 |
Кишечные инфекции, дети |
0,62000 |
12 104,21 |
14 121,58 |
16 811,40 |
24 538,61 |
0,90000 |
1,05000 |
1,25000 |
0,80000 |
||||||||||||||||||||||||||||||||||||||||||||||||||
1,10500 |
1 |
1 |
1 |
st12.003 |
1.1.1.1.12.3 |
Вирусный гепатит острый |
1,40000 |
27 332,09 |
31 887,43 |
37 961,23 |
24 538,61 |
0,90000 |
1,05000 |
1,25000 |
0,80000 |
||||||||||||||||||||||||||||||||||||||||||||||||||
1,10500 |
1 |
1 |
1 |
st12.004 |
1.1.1.1.12.4 |
Вирусный гепатит хронический |
1,27000 |
24 794,11 |
28 926,46 |
34 436,26 |
24 538,61 |
0,90000 |
1,05000 |
1,25000 |
0,80000 |
||||||||||||||||||||||||||||||||||||||||||||||||||
1,10500 |
1 |
1 |
1 |
st12.005 |
1.1.1.1.12.5 |
Сепсис, взрослые |
3,12000 |
60 911,50 |
71 063,42 |
84 599,31 |
24 538,61 |
0,90000 |
1,05000 |
1,25000 |
0,80000 |
||||||||||||||||||||||||||||||||||||||||||||||||||
1,10500 |
1 |
1 |
1 |
st12.006 |
1.1.1.1.12.6 |
Сепсис, дети |
4,51000 |
88 048,36 |
102 723,09 |
122 289,39 |
24 538,61 |
0,90000 |
1,05000 |
1,25000 |
0,80000 |
||||||||||||||||||||||||||||||||||||||||||||||||||
1,10500 |
1 |
1 |
1 |
st12.007 |
1.1.1.1.12.7 |
Сепсис с синдромом органной дисфункции |
7,20000 |
140 565,01 |
163 992,51 |
195 229,18 |
24 538,61 |
0,90000 |
1,05000 |
1,25000 |
0,80000 |
||||||||||||||||||||||||||||||||||||||||||||||||||
1,10500 |
1 |
1 |
1 |
st12.008 |
1.1.1.1.12.8 |
Другие инфекционные и паразитарные болезни, взрослые |
1,18000 |
23 037,04 |
26 876,55 |
31 995,89 |
24 538,61 |
0,90000 |
1,05000 |
1,25000 |
0,80000 |
||||||||||||||||||||||||||||||||||||||||||||||||||
1,10500 |
1 |
1 |
1 |
st12.009 |
1.1.1.1.12.9 |
Другие инфекционные и паразитарные болезни, дети |
0,98000 |
19 132,46 |
22 321,20 |
26 572,86 |
24 538,61 |
0,90000 |
1,05000 |
1,25000 |
0,80000 |
||||||||||||||||||||||||||||||||||||||||||||||||||
1,10500 |
1 |
1 |
1 |
st12.010 |
1.1.1.1.12.10 |
Респираторные инфекции верхних дыхательных путей с осложнениями, взрослые |
0,35000 |
6 833,02 |
7 971,86 |
9 490,31 |
24 538,61 |
0,90000 |
1,05000 |
1,25000 |
0,80000 |
||||||||||||||||||||||||||||||||||||||||||||||||||
1,10500 |
1 |
1 |
1 |
st12.011 |
1.1.1.1.12.11 |
Респираторные инфекции верхних дыхательных путей, дети |
0,50000 |
9 761,46 |
11 388,37 |
13 557,58 |
24 538,61 |
0,90000 |
1,05000 |
1,25000 |
0,80000 |
||||||||||||||||||||||||||||||||||||||||||||||||||
1,10500 |
1 |
1 |
1 |
st12.012 |
1.1.1.1.12.12 |
Грипп, вирус гриппа идентифицирован |
1,00000 |
19 522,92 |
22 776,74 |
27 115,16 |
24 538,61 |
0,90000 |
1,05000 |
1,25000 |
0,80000 |
||||||||||||||||||||||||||||||||||||||||||||||||||
1,10500 |
1 |
1 |
1 |
st12.013 |
1.1.1.1.12.13 |
Грипп и пневмония с синдромом органной дисфункции |
4,40000 |
85 900,84 |
100 217,65 |
119 306,72 |
24 538,61 |
0,90000 |
1,05000 |
1,25000 |
0,80000 |
||||||||||||||||||||||||||||||||||||||||||||||||||
1,10500 |
1 |
1 |
1 |
st12.014 |
1.1.1.1.12.14 |
Клещевой энцефалит |
2,30000 |
44 902,71 |
52 386,50 |
62 364,88 |
24 538,61 |
0,90000 |
1,05000 |
1,25000 |
0,80000 |
||||||||||||||||||||||||||||||||||||||||||||||||||
1,10500 |
1 |
1 |
1 |
st12.015 |
1.1.1.1.12.15 |
Коронавирусная инфекция COVID-19 (уровень 1) |
2,87000 |
56 911,75 |
65 678,70 |
77 367,96 |
24 538,61 |
0,90000 |
1,05000 |
1,25000 |
0,80000 |
||||||||||||||||||||||||||||||||||||||||||||||||||
1,10500 |
1 |
1 |
1 |
st12.016 |
1.1.1.1.12.16 |
Коронавирусная инфекция COVID-19 (уровень 2) |
4,96000 |
105 160,28 |
115 897,52 |
130 213,85 |
24 538,61 |
0,90000 |
1,05000 |
1,25000 |
0,80000 |
||||||||||||||||||||||||||||||||||||||||||||||||||
1,10500 |
1 |
1 |
1 |
st12.017 |
1.1.1.1.12.17 |
Коронавирусная инфекция COVID-19 (уровень 3) |
7,40000 |
156 242,83 |
172 683,47 |
194 604,32 |
24 538,61 |
0,90000 |
1,05000 |
1,25000 |
0,80000 |
||||||||||||||||||||||||||||||||||||||||||||||||||
1,10500 |
1 |
1 |
1 |
st12.018 |
1.1.1.1.12.18 |
Коронавирусная инфекция COVID-19 (уровень 4) |
12,07000 |
249 184,29 |
279 672,38 |
320 323,18 |
24 538,61 |
0,90000 |
1,05000 |
1,25000 |
0,80000 |
||||||||||||||||||||||||||||||||||||||||||||||||||
1,10500 |
1 |
1 |
1 |
st12.019 |
1.1.1.1.12.19 |
Коронавирусная инфекция COVID-19 (долечивание) |
2,07000 |
40 412,44 |
47 147,85 |
56 128,39 |
24 538,61 |
0,90000 |
1,05000 |
1,25000 |
0,80000 |
||||||||||||||||||||||||||||||||||||||||||||||||||
1,10500 |
1 |
1 |
1 |
st13.001 |
1.1.1.1.13.1 |
Нестабильная стенокардия, инфаркт миокарда, легочная эмболия (уровень 1) |
1,42000 |
27 722,54 |
32 342,97 |
38 503,53 |
24 538,61 |
0,90000 |
1,05000 |
1,25000 |
0,80000 |
||||||||||||||||||||||||||||||||||||||||||||||||||
1,10500 |
1 |
1 |
1 |
st13.002 |
1.1.1.3.13.2 |
Нестабильная стенокардия, инфаркт миокарда, легочная эмболия (уровень 2) |
2,81000 |
68 574,25 |
80 003,29 |
95 242,01 |
24 538,61 |
0,90000 |
1,05000 |
1,25000 |
1,00000 |
||||||||||||||||||||||||||||||||||||||||||||||||||
1,10500 |
1 |
1 |
1 |
st13.004 |
1.1.1.1.13.4 |
Нарушения ритма и проводимости (уровень 1) |
1,12000 |
21 865,67 |
25 509,95 |
30 368,98 |
24 538,61 |
0,90000 |
1,05000 |
1,25000 |
0,80000 |
||||||||||||||||||||||||||||||||||||||||||||||||||
1,10500 |
1 |
1 |
1 |
st13.005 |
1.1.1.3.13.5 |
Нарушения ритма и проводимости (уровень 2) |
2,01000 |
49 051,33 |
57 226,55 |
68 126,85 |
24 538,61 |
0,90000 |
1,05000 |
1,25000 |
1,00000 |
||||||||||||||||||||||||||||||||||||||||||||||||||
1,10500 |
1 |
1 |
1 |
st13.006 |
1.1.1.1.13.6 |
Эндокардит, миокардит, перикардит, кардиомиопатии (уровень 1) |
1,42000 |
27 722,54 |
32 342,97 |
38 503,53 |
24 538,61 |
0,90000 |
1,05000 |
1,25000 |
0,80000 |
||||||||||||||||||||||||||||||||||||||||||||||||||
1,10500 |
1 |
1 |
1 |
st13.007 |
1.1.1.3.13.7 |
Эндокардит, миокардит, перикардит, кардиомиопатии (уровень 2) |
2,38000 |
58 080,68 |
67 760,79 |
80 667,61 |
24 538,61 |
0,90000 |
1,05000 |
1,25000 |
1,00000 |
||||||||||||||||||||||||||||||||||||||||||||||||||
1,10500 |
1 |
1 |
1 |
st13.008 |
1.1.1.3.13.8 |
Инфаркт миокарда, легочная эмболия, лечение с применением тромболитической терапии (уровень 1) |
1,61000 |
31 431,90 |
36 670,55 |
43 655,41 |
24 538,61 |
0,90000 |
1,05000 |
1,25000 |
0,80000 |
||||||||||||||||||||||||||||||||||||||||||||||||||
1,10500 |
1 |
1 |
1 |
st13.009 |
1.1.1.3.13.9 |
Инфаркт миокарда, легочная эмболия, лечение с применением тромболитической терапии (уровень 2) |
2,99000 |
58 373,53 |
68 102,45 |
81 074,34 |
24 538,61 |
0,90000 |
1,05000 |
1,25000 |
0,80000 |
||||||||||||||||||||||||||||||||||||||||||||||||||
1,10500 |
1 |
1 |
1 |
st13.010 |
1.1.1.3.13.10 |
Инфаркт миокарда, легочная эмболия, лечение с применением тромболитической терапии (уровень 3) |
3,54000 |
69 111,13 |
80 629,65 |
95 987,68 |
24 538,61 |
0,90000 |
1,05000 |
1,25000 |
0,80000 |
||||||||||||||||||||||||||||||||||||||||||||||||||
1,10500 |
1 |
1 |
1 |
st14.001 |
1.1.1.2.14.1 |
Операции на кишечнике и анальной области (уровень 1) |
0,84000 |
18 221,39 |
18 221,39 |
18 221,39 |
24 538,61 |
0,90000 |
1,05000 |
1,25000 |
0,80000 |
||||||||||||||||||||||||||||||||||||||||||||||||||
1,10500 |
1 |
1 |
1 |
st14.002 |
1.1.1.2.14.2 |
Операции на кишечнике и анальной области (уровень 2) |
1,74000 |
33 969,88 |
39 631,52 |
47 180,39 |
24 538,61 |
0,90000 |
1,05000 |
1,25000 |
0,80000 |
||||||||||||||||||||||||||||||||||||||||||||||||||
1,10500 |
1 |
1 |
1 |
st14.003 |
1.1.1.2.14.3 |
Операции на кишечнике и анальной области (уровень 3) |
2,49000 |
48 612,07 |
56 714,08 |
67 516,76 |
24 538,61 |
0,90000 |
1,05000 |
1,25000 |
0,80000 |
||||||||||||||||||||||||||||||||||||||||||||||||||
1,10500 |
1 |
1 |
1 |
st15.001 |
1.1.1.1.15.1 |
Воспалительные заболевания ЦНС, взрослые |
0,98000 |
19 132,46 |
22 321,20 |
26 572,86 |
24 538,61 |
0,90000 |
1,05000 |
1,25000 |
0,80000 |
||||||||||||||||||||||||||||||||||||||||||||||||||
1,10500 |
1 |
1 |
1 |
st15.002 |
1.1.1.1.15.2 |
Воспалительные заболевания ЦНС, дети |
1,55000 |
30 260,52 |
35 303,94 |
42 028,50 |
24 538,61 |
0,90000 |
1,05000 |
1,25000 |
0,80000 |
||||||||||||||||||||||||||||||||||||||||||||||||||
1,10500 |
1 |
1 |
1 |
st15.003 |
1.1.1.1.15.3 |
Дегенеративные болезни нервной системы |
0,84000 |
16 399,25 |
19 132,46 |
22 776,74 |
24 538,61 |
0,90000 |
1,05000 |
1,25000 |
0,80000 |
||||||||||||||||||||||||||||||||||||||||||||||||||
1,10500 |
1 |
1 |
1 |
st15.004 |
1.1.1.1.15.4 |
Демиелинизирующие болезни нервной системы |
1,33000 |
25 965,48 |
30 293,06 |
36 063,17 |
24 538,61 |
0,90000 |
1,05000 |
1,25000 |
0,80000 |
||||||||||||||||||||||||||||||||||||||||||||||||||
1,10500 |
1 |
1 |
1 |
st15.005 |
1.1.1.3.15.5 |
Эпилепсия, судороги (уровень 1) |
0,96000 |
20 824,45 |
20 824,45 |
20 824,45 |
24 538,61 |
0,90000 |
1,05000 |
1,25000 |
0,80000 |
||||||||||||||||||||||||||||||||||||||||||||||||||
1,10500 |
1 |
1 |
1 |
st15.007 |
1.1.1.1.15.7 |
Расстройства периферической нервной системы |
1,02000 |
19 913,38 |
23 232,27 |
27 657,47 |
24 538,61 |
0,90000 |
1,05000 |
1,25000 |
0,80000 |
||||||||||||||||||||||||||||||||||||||||||||||||||
1,10500 |
1 |
1 |
1 |
st15.008 |
1.1.1.1.15.8 |
Неврологические заболевания, лечение с применением ботулотоксина (уровень 1) |
1,43000 |
31 019,75 |
31 019,75 |
31 019,75 |
24 538,61 |
0,90000 |
1,05000 |
1,25000 |
0,80000 |
||||||||||||||||||||||||||||||||||||||||||||||||||
1,10500 |
1 |
1 |
1 |
st15.009 |
1.1.1.1.15.9 |
Неврологические заболевания, лечение с применением ботулотоксина (уровень 2) |
2,11000 |
45 770,40 |
45 770,40 |
45 770,40 |
24 538,61 |
0,90000 |
1,05000 |
1,25000 |
0,80000 |
||||||||||||||||||||||||||||||||||||||||||||||||||
1,10500 |
1 |
1 |
1 |
st15.010 |
1.1.1.1.15.10 |
Другие нарушения нервной системы (уровень 1) |
0,74000 |
14 446,96 |
16 854,79 |
20 065,22 |
24 538,61 |
0,90000 |
1,05000 |
1,25000 |
0,80000 |
||||||||||||||||||||||||||||||||||||||||||||||||||
1,10500 |
1 |
1 |
1 |
st15.011 |
1.1.1.1.15.11 |
Другие нарушения нервной системы (уровень 2) |
0,99000 |
19 327,69 |
22 548,97 |
26 844,01 |
24 538,61 |
0,90000 |
1,05000 |
1,25000 |
0,80000 |
||||||||||||||||||||||||||||||||||||||||||||||||||
1,10500 |
1 |
1 |
1 |
st15.012 |
1.1.1.1.15.12 |
Транзиторные ишемические приступы, сосудистые мозговые синдромы |
1,15000 |
22 451,36 |
26 193,25 |
31 182,44 |
24 538,61 |
0,90000 |
1,05000 |
1,25000 |
0,80000 |
||||||||||||||||||||||||||||||||||||||||||||||||||
1,10500 |
1 |
1 |
1 |
st15.013 |
1.1.1.1.15.13 |
Кровоизлияние в мозг |
2,82000 |
55 054,63 |
64 230,40 |
76 464,76 |
24 538,61 |
0,90000 |
1,05000 |
1,25000 |
0,80000 |
||||||||||||||||||||||||||||||||||||||||||||||||||
1,10500 |
1 |
1 |
1 |
st15.014 |
1.1.1.1.15.14 |
Инфаркт мозга (уровень 1) |
2,52000 |
49 197,75 |
57 397,38 |
68 330,21 |
24 538,61 |
0,90000 |
1,05000 |
1,25000 |
0,80000 |
||||||||||||||||||||||||||||||||||||||||||||||||||
1,10500 |
1 |
1 |
1 |
st15.015 |
1.1.1.3.15.15 |
Инфаркт мозга (уровень 2) |
3,12000 |
76 139,38 |
88 829,28 |
105 749,14 |
24 538,61 |
0,90000 |
1,05000 |
1,25000 |
1,00000 |
||||||||||||||||||||||||||||||||||||||||||||||||||
1,10500 |
1 |
1 |
1 |
st15.016 |
1.1.1.3.15.16 |
Инфаркт мозга (уровень 3) |
4,51000 |
110 060,45 |
128 403,86 |
152 861,74 |
24 538,61 |
0,90000 |
1,05000 |
1,25000 |
1,00000 |
||||||||||||||||||||||||||||||||||||||||||||||||||
1,10500 |
1 |
1 |
1 |
st15.017 |
1.1.1.1.15.17 |
Другие цереброваскулярные болезни |
0,82000 |
16 008,79 |
18 676,92 |
22 234,43 |
24 538,61 |
0,90000 |
1,05000 |
1,25000 |
0,80000 |
||||||||||||||||||||||||||||||||||||||||||||||||||
1,10500 |
1 |
1 |
1 |
st15.018 |
1.1.1.1.15.18 |
Эпилепсия, судороги (уровень 2) |
2,30000 |
44 902,71 |
52 386,50 |
62 364,88 |
24 538,61 |
0,90000 |
1,05000 |
1,25000 |
0,80000 |
||||||||||||||||||||||||||||||||||||||||||||||||||
1,10500 |
1 |
1 |
1 |
st15.019 |
1.1.1.1.15.19 |
Эпилепсия (уровень 3) |
3,16000 |
61 692,42 |
71 974,49 |
85 683,92 |
24 538,61 |
0,90000 |
1,05000 |
1,25000 |
0,80000 |
||||||||||||||||||||||||||||||||||||||||||||||||||
1,10500 |
1 |
1 |
1 |
st15.020 |
1.1.1.1.15.20 |
Эпилепсия (уровень 4) |
4,84000 |
94 490,92 |
110 239,41 |
131 237,39 |
24 538,61 |
0,90000 |
1,05000 |
1,25000 |
0,80000 |
||||||||||||||||||||||||||||||||||||||||||||||||||
1,10500 |
1 |
1 |
1 |
st16.001 |
1.1.1.1.16.1 |
Паралитические синдромы, травма спинного мозга (уровень 1) |
0,98000 |
19 132,46 |
22 321,20 |
26 572,86 |
24 538,61 |
0,90000 |
1,05000 |
1,25000 |
0,80000 |
||||||||||||||||||||||||||||||||||||||||||||||||||
1,10500 |
1 |
1 |
1 |
st16.002 |
1.1.1.1.16.2 |
Паралитические синдромы, травма спинного мозга (уровень 2) |
1,49000 |
29 089,15 |
33 937,34 |
40 401,59 |
24 538,61 |
0,90000 |
1,05000 |
1,25000 |
0,80000 |
||||||||||||||||||||||||||||||||||||||||||||||||||
1,10500 |
1 |
1 |
1 |
st16.003 |
1.1.1.1.16.3 |
Дорсопатии, спондилопатии, остеопатии |
0,68000 |
14 750,65 |
14 750,65 |
14 750,65 |
24 538,61 |
0,90000 |
1,05000 |
1,25000 |
0,80000 |
||||||||||||||||||||||||||||||||||||||||||||||||||
1,10500 |
1 |
1 |
1 |
st16.004 |
1.1.1.1.16.4 |
Травмы позвоночника |
1,01000 |
19 718,15 |
23 004,51 |
27 386,32 |
24 538,61 |
0,90000 |
1,05000 |
1,25000 |
0,80000 |
||||||||||||||||||||||||||||||||||||||||||||||||||
1,10500 |
1 |
1 |
1 |
st16.005 |
1.1.1.1.16.5 |
Сотрясение головного мозга |
0,40000 |
8 676,85 |
8 676,85 |
8 676,85 |
24 538,61 |
0,90000 |
1,05000 |
1,25000 |
0,80000 |
||||||||||||||||||||||||||||||||||||||||||||||||||
1,10500 |
1 |
1 |
1 |
st16.006 |
1.1.1.1.16.6 |
Переломы черепа, внутричерепная травма |
1,54000 |
30 065,29 |
35 076,18 |
41 757,35 |
24 538,61 |
0,90000 |
1,05000 |
1,25000 |
0,80000 |
||||||||||||||||||||||||||||||||||||||||||||||||||
1,10500 |
1 |
1 |
1 |
st16.007 |
1.1.1.2.16.7 |
Операции на центральной нервной системе и головном мозге (уровень 1) |
4,13000 |
80 629,65 |
94 067,93 |
111 985,63 |
24 538,61 |
0,90000 |
1,05000 |
1,25000 |
0,80000 |
||||||||||||||||||||||||||||||||||||||||||||||||||
1,10500 |
1 |
1 |
1 |
st16.008 |
1.1.1.2.16.8 |
Операции на центральной нервной системе и головном мозге (уровень 2) |
5,82000 |
113 623,38 |
132 560,61 |
157 810,25 |
24 538,61 |
0,90000 |
1,05000 |
1,25000 |
0,80000 |
||||||||||||||||||||||||||||||||||||||||||||||||||
1,10500 |
1 |
1 |
1 |
st16.009 |
1.1.1.2.16.9 |
Операции на периферической нервной системе (уровень 1) |
1,41000 |
27 527,31 |
32 115,20 |
38 232,38 |
24 538,61 |
0,90000 |
1,05000 |
1,25000 |
0,80000 |
||||||||||||||||||||||||||||||||||||||||||||||||||
1,10500 |
1 |
1 |
1 |
st16.010 |
1.1.1.2.16.10 |
Операции на периферической нервной системе (уровень 2) |
2,19000 |
47 505,77 |
47 505,77 |
47 505,77 |
24 538,61 |
0,90000 |
1,05000 |
1,25000 |
0,80000 |
||||||||||||||||||||||||||||||||||||||||||||||||||
1,10500 |
1 |
1 |
1 |
st16.011 |
1.1.1.2.16.11 |
Операции на периферической нервной системе (уровень 3) |
2,42000 |
52 494,96 |
52 494,96 |
52 494,96 |
24 538,61 |
0,90000 |
1,05000 |
1,25000 |
0,80000 |
||||||||||||||||||||||||||||||||||||||||||||||||||
1,10500 |
1 |
1 |
1 |
st16.012 |
1.1.1.1.16.12 |
Доброкачественные новообразования нервной системы |
1,02000 |
19 913,38 |
23 232,27 |
27 657,47 |
24 538,61 |
0,90000 |
1,05000 |
1,25000 |
0,80000 |
||||||||||||||||||||||||||||||||||||||||||||||||||
1,10500 |
1 |
1 |
1 |
st17.001 |
1.1.1.1.17.1 |
Малая масса тела при рождении, недоношенность |
4,21000 |
102 739,36 |
119 862,58 |
142 693,55 |
24 538,61 |
0,90000 |
1,05000 |
1,25000 |
1,00000 |
||||||||||||||||||||||||||||||||||||||||||||||||||
1,10500 |
1 |
1 |
1 |
st17.002 |
1.1.1.1.17.2 |
Крайне малая масса тела при рождении, крайняя незрелость |
15,63000 |
381 429,01 |
445 000,51 |
529 762,52 |
24 538,61 |
0,90000 |
1,05000 |
1,25000 |
1,00000 |
||||||||||||||||||||||||||||||||||||||||||||||||||
1,10500 |
1 |
1 |
1 |
st17.003 |
1.1.1.3.17.3 |
Лечение новорожденных с тяжелой патологией с применением аппаратных методов поддержки или замещения витальных функций |
7,40000 |
180 586,99 |
210 684,82 |
250 815,27 |
24 538,61 |
0,90000 |
1,05000 |
1,25000 |
1,00000 |
||||||||||||||||||||||||||||||||||||||||||||||||||
1,10500 |
1 |
1 |
1 |
st17.004 |
1.1.1.1.17.4 |
Геморрагические и гемолитические нарушения у новорожденных |
1,92000 |
37 484,00 |
43 731,34 |
52 061,11 |
24 538,61 |
0,90000 |
1,05000 |
1,25000 |
0,80000 |
||||||||||||||||||||||||||||||||||||||||||||||||||
1,10500 |
1 |
1 |
1 |
st17.005 |
1.1.1.1.17.5 |
Другие нарушения, возникшие в перинатальном периоде (уровень 1) |
1,39000 |
27 136,86 |
31 659,67 |
37 690,08 |
24 538,61 |
0,90000 |
1,05000 |
1,25000 |
0,80000 |
||||||||||||||||||||||||||||||||||||||||||||||||||
1,10500 |
1 |
1 |
1 |
st17.006 |
1.1.1.1.17.6 |
Другие нарушения, возникшие в перинатальном периоде (уровень 2) |
1,89000 |
36 898,32 |
43 048,03 |
51 247,66 |
24 538,61 |
0,90000 |
1,05000 |
1,25000 |
0,80000 |
||||||||||||||||||||||||||||||||||||||||||||||||||
1,10500 |
1 |
1 |
1 |
st17.007 |
1.1.1.1.17.7 |
Другие нарушения, возникшие в перинатальном периоде (уровень 3) |
2,56000 |
49 978,67 |
58 308,45 |
69 414,82 |
24 538,61 |
0,90000 |
1,05000 |
1,25000 |
0,80000 |
||||||||||||||||||||||||||||||||||||||||||||||||||
1,10500 |
1 |
1 |
1 |
st18.001 |
1.1.1.1.18.1 |
Почечная недостаточность |
1,66000 |
32 408,04 |
37 809,38 |
45 011,17 |
24 538,61 |
0,90000 |
1,05000 |
1,25000 |
0,80000 |
||||||||||||||||||||||||||||||||||||||||||||||||||
1,10500 |
1 |
1 |
1 |
st18.002 |
1.1.1.3.18.2 |
Формирование, имплантация, реконструкция, удаление, смена доступа для диализа |
1,82000 |
35 531,71 |
41 453,66 |
49 349,60 |
24 538,61 |
0,90000 |
1,05000 |
1,25000 |
0,80000 |
||||||||||||||||||||||||||||||||||||||||||||||||||
1,10500 |
1 |
1 |
1 |
st18.003 |
1.1.1.1.18.3 |
Гломерулярные болезни |
1,71000 |
33 384,19 |
38 948,22 |
46 366,93 |
24 538,61 |
0,90000 |
1,05000 |
1,25000 |
0,80000 |
||||||||||||||||||||||||||||||||||||||||||||||||||
1,10500 |
1 |
1 |
1 |
st19.001 |
1.1.1.2.19.1 |
Операции на женских половых органах при злокачественных новообразованиях (уровень 1) |
2,41000 |
58 812,79 |
68 614,92 |
81 684,43 |
24 538,61 |
0,90000 |
1,05000 |
1,25000 |
1,00000 |
||||||||||||||||||||||||||||||||||||||||||||||||||
1,10500 |
1 |
1 |
1 |
st19.002 |
1.1.1.2.19.2 |
Операции на женских половых органах при злокачественных новообразованиях (уровень 2) |
4,02000 |
98 102,66 |
114 453,11 |
136 253,70 |
24 538,61 |
0,90000 |
1,05000 |
1,25000 |
1,00000 |
||||||||||||||||||||||||||||||||||||||||||||||||||
1,10500 |
1 |
1 |
1 |
st19.003 |
1.1.1.2.19.3 |
Операции на женских половых органах при злокачественных новообразованиях (уровень 3) |
4,89000 |
119 333,84 |
139 222,81 |
165 741,44 |
24 538,61 |
0,90000 |
1,05000 |
1,25000 |
1,00000 |
||||||||||||||||||||||||||||||||||||||||||||||||||
1,10500 |
1 |
1 |
1 |
st19.004 |
1.1.1.2.19.4 |
Операции на кишечнике и анальной области при злокачественных новообразованиях (уровень 1) |
3,05000 |
74 431,13 |
86 836,31 |
103 376,56 |
24 538,61 |
0,90000 |
1,05000 |
1,25000 |
1,00000 |
||||||||||||||||||||||||||||||||||||||||||||||||||
1,10500 |
1 |
1 |
1 |
st19.005 |
1.1.1.2.19.5 |
Операции на кишечнике и анальной области при злокачественных новообразованиях (уровень 2) |
5,31000 |
129 583,37 |
151 180,60 |
179 976,90 |
24 538,61 |
0,90000 |
1,05000 |
1,25000 |
1,00000 |
||||||||||||||||||||||||||||||||||||||||||||||||||
1,10500 |
1 |
1 |
1 |
st19.006 |
1.1.1.2.19.6 |
Операции при злокачественных новообразованиях почки и мочевыделительной системы (уровень 1) |
1,66000 |
40 510,06 |
47 261,73 |
56 263,97 |
24 538,61 |
0,90000 |
1,05000 |
1,25000 |
1,00000 |
||||||||||||||||||||||||||||||||||||||||||||||||||
1,10500 |
1 |
1 |
1 |
st19.007 |
1.1.1.2.19.7 |
Операции при злокачественных новообразованиях почки и мочевыделительной системы (уровень 2) |
2,77000 |
67 598,10 |
78 864,45 |
93 886,26 |
24 538,61 |
0,90000 |
1,05000 |
1,25000 |
1,00000 |
||||||||||||||||||||||||||||||||||||||||||||||||||
1,10500 |
1 |
1 |
1 |
st19.008 |
1.1.1.2.19.8 |
Операции при злокачественных новообразованиях почки и мочевыделительной системы (уровень 3) |
4,32000 |
105 423,76 |
122 994,38 |
146 421,89 |
24 538,61 |
0,90000 |
1,05000 |
1,25000 |
1,00000 |
||||||||||||||||||||||||||||||||||||||||||||||||||
1,10500 |
1 |
1 |
1 |
st19.009 |
1.1.1.2.19.9 |
Операции при злокачественных новообразованиях кожи (уровень 1) |
1,29000 |
31 480,71 |
36 727,49 |
43 723,20 |
24 538,61 |
0,90000 |
1,05000 |
1,25000 |
1,00000 |
||||||||||||||||||||||||||||||||||||||||||||||||||
1,10500 |
1 |
1 |
1 |
st19.010 |
1.1.1.2.19.10 |
Операции при злокачественных новообразованиях кожи (уровень 2) |
1,55000 |
37 825,65 |
44 129,93 |
52 535,63 |
24 538,61 |
0,90000 |
1,05000 |
1,25000 |
1,00000 |
||||||||||||||||||||||||||||||||||||||||||||||||||
1,10500 |
1 |
1 |
1 |
st19.011 |
1.1.1.2.19.11 |
Операции при злокачественных новообразованиях кожи (уровень 3) |
1,71000 |
41 730,24 |
48 685,28 |
57 958,66 |
24 538,61 |
0,90000 |
1,05000 |
1,25000 |
1,00000 |
||||||||||||||||||||||||||||||||||||||||||||||||||
1,10500 |
1 |
1 |
1 |
st19.012 |
1.1.1.2.19.12 |
Операции при злокачественном новообразовании щитовидной железы (уровень 1) |
2,29000 |
55 884,35 |
65 198,41 |
77 617,16 |
24 538,61 |
0,90000 |
1,05000 |
1,25000 |
1,00000 |
||||||||||||||||||||||||||||||||||||||||||||||||||
1,10500 |
1 |
1 |
1 |
st19.013 |
1.1.1.2.19.13 |
Операции при злокачественном новообразовании щитовидной железы (уровень 2) |
2,49000 |
60 765,08 |
70 892,60 |
84 395,95 |
24 538,61 |
0,90000 |
1,05000 |
1,25000 |
1,00000 |
||||||||||||||||||||||||||||||||||||||||||||||||||
1,10500 |
1 |
1 |
1 |
st19.014 |
1.1.1.2.19.14 |
Мастэктомия, другие операции при злокачественном новообразовании молочной железы (уровень 1) |
2,79000 |
68 086,18 |
79 433,87 |
94 564,13 |
24 538,61 |
0,90000 |
1,05000 |
1,25000 |
1,00000 |
||||||||||||||||||||||||||||||||||||||||||||||||||
1,10500 |
1 |
1 |
1 |
st19.015 |
1.1.1.2.19.15 |
Мастэктомия, другие операции при злокачественном новообразовании молочной железы (уровень 2) |
3,95000 |
96 394,41 |
112 460,14 |
133 881,12 |
24 538,61 |
0,90000 |
1,05000 |
1,25000 |
1,00000 |
||||||||||||||||||||||||||||||||||||||||||||||||||
1,10500 |
1 |
1 |
1 |
st19.016 |
1.1.1.2.19.16 |
Операции при злокачественном новообразовании желчного пузыря, желчных протоков (уровень 1) |
2,38000 |
58 080,68 |
67 760,79 |
80 667,61 |
24 538,61 |
0,90000 |
1,05000 |
1,25000 |
1,00000 |
||||||||||||||||||||||||||||||||||||||||||||||||||
1,10500 |
1 |
1 |
1 |
st19.017 |
1.1.1.2.19.17 |
Операции при злокачественном новообразовании желчного пузыря, желчных протоков (уровень 2) |
2,63000 |
64 181,59 |
74 878,53 |
89 141,10 |
24 538,61 |
0,90000 |
1,05000 |
1,25000 |
1,00000 |
||||||||||||||||||||||||||||||||||||||||||||||||||
1,10500 |
1 |
1 |
1 |
st19.018 |
1.1.1.2.19.18 |
Операции при злокачественном новообразовании пищевода, желудка (уровень 1) |
2,17000 |
52 955,92 |
61 781,90 |
73 549,88 |
24 538,61 |
0,90000 |
1,05000 |
1,25000 |
1,00000 |
||||||||||||||||||||||||||||||||||||||||||||||||||
1,10500 |
1 |
1 |
1 |
st19.019 |
1.1.1.2.19.19 |
Операции при злокачественном новообразовании пищевода, желудка (уровень 2) |
3,43000 |
83 704,51 |
97 655,26 |
116 256,27 |
24 538,61 |
0,90000 |
1,05000 |
1,25000 |
1,00000 |
||||||||||||||||||||||||||||||||||||||||||||||||||
1,10500 |
1 |
1 |
1 |
st19.020 |
1.1.1.2.19.20 |
Операции при злокачественном новообразовании пищевода, желудка (уровень 3) |
4,27000 |
104 203,58 |
121 570,84 |
144 727,19 |
24 538,61 |
0,90000 |
1,05000 |
1,25000 |
1,00000 |
||||||||||||||||||||||||||||||||||||||||||||||||||
1,10500 |
1 |
1 |
1 |
st19.021 |
1.1.1.2.19.21 |
Другие операции при злокачественном новообразовании брюшной полости |
3,66000 |
89 317,35 |
104 203,58 |
124 051,88 |
24 538,61 |
0,90000 |
1,05000 |
1,25000 |
1,00000 |
||||||||||||||||||||||||||||||||||||||||||||||||||
1,10500 |
1 |
1 |
1 |
st19.022 |
1.1.1.2.19.22 |
Операции на органе слуха, придаточных пазухах носа и верхних дыхательных путях при злокачественных новообразованиях |
2,81000 |
68 574,25 |
80 003,29 |
95 242,01 |
24 538,61 |
0,90000 |
1,05000 |
1,25000 |
1,00000 |
||||||||||||||||||||||||||||||||||||||||||||||||||
1,10500 |
1 |
1 |
1 |
st19.023 |
1.1.1.2.19.23 |
Операции на нижних дыхательных путях и легочной ткани при злокачественных новообразованиях (уровень 1) |
3,42000 |
83 460,47 |
97 370,55 |
115 917,33 |
24 538,61 |
0,90000 |
1,05000 |
1,25000 |
1,00000 |
||||||||||||||||||||||||||||||||||||||||||||||||||
1,10500 |
1 |
1 |
1 |
st19.024 |
1.1.1.2.19.24 |
Операции на нижних дыхательных путях и легочной ткани при злокачественных новообразованиях (уровень 2) |
5,31000 |
129 583,37 |
151 180,60 |
179 976,90 |
24 538,61 |
0,90000 |
1,05000 |
1,25000 |
1,00000 |
||||||||||||||||||||||||||||||||||||||||||||||||||
1,10500 |
1 |
1 |
1 |
st19.025 |
1.1.1.2.19.25 |
Операции при злокачественных новообразованиях мужских половых органов (уровень 1) |
2,86000 |
69 794,43 |
81 426,84 |
96 936,71 |
24 538,61 |
0,90000 |
1,05000 |
1,25000 |
1,00000 |
||||||||||||||||||||||||||||||||||||||||||||||||||
1,10500 |
1 |
1 |
1 |
st19.026 |
1.1.1.2.19.26 |
Операции при злокачественных новообразованиях мужских половых органов (уровень 2) |
4,31000 |
105 179,72 |
122 709,67 |
146 082,95 |
24 538,61 |
0,90000 |
1,05000 |
1,25000 |
1,00000 |
||||||||||||||||||||||||||||||||||||||||||||||||||
1,10500 |
1 |
1 |
1 |
st19.037 |
1.1.1.2.19.37 |
Фебрильная нейтропения, агранулоцитоз вследствие проведения лекарственной терапии злокачественных новообразований |
2,93000 |
71 502,69 |
83 419,80 |
99 309,29 |
24 538,61 |
0,90000 |
1,05000 |
1,25000 |
1,00000 |
||||||||||||||||||||||||||||||||||||||||||||||||||
1,10500 |
1 |
1 |
1 |
st19.038 |
1.1.1.2.19.38 |
Установка, замена порт системы (катетера) для лекарственной терапии злокачественных новообразований |
1,24000 |
30 260,52 |
35 303,94 |
42 028,50 |
24 538,61 |
0,90000 |
1,05000 |
1,25000 |
1,00000 |
||||||||||||||||||||||||||||||||||||||||||||||||||
1,10500 |
1 |
1 |
1 |
st19.075 |
1.1.1.2.19.75 |
Лучевая терапия (уровень 1) |
0,79000 |
19 278,88 |
22 492,03 |
26 776,22 |
24 538,61 |
0,90000 |
1,05000 |
1,25000 |
1,00000 |
||||||||||||||||||||||||||||||||||||||||||||||||||
1,10500 |
1 |
1 |
1 |
st19.076 |
1.1.1.2.19.76 |
Лучевая терапия (уровень 2) |
1,14000 |
27 820,16 |
32 456,85 |
38 639,11 |
24 538,61 |
0,90000 |
1,05000 |
1,25000 |
1,00000 |
||||||||||||||||||||||||||||||||||||||||||||||||||
1,10500 |
1 |
1 |
1 |
st19.077 |
1.1.1.2.19.77 |
Лучевая терапия (уровень 3) |
2,46000 |
60 032,97 |
70 038,47 |
83 379,13 |
24 538,61 |
0,90000 |
1,05000 |
1,25000 |
1,00000 |
||||||||||||||||||||||||||||||||||||||||||||||||||
1,10500 |
1 |
1 |
1 |
st19.078 |
1.1.1.2.19.78 |
Лучевая терапия (уровень 4) |
2,51000 |
61 253,16 |
71 462,01 |
85 073,83 |
24 538,61 |
0,90000 |
1,05000 |
1,25000 |
1,00000 |
||||||||||||||||||||||||||||||||||||||||||||||||||
1,10500 |
1 |
1 |
1 |
st19.079 |
1.1.1.2.19.79 |
Лучевая терапия (уровень 5) |
2,82000 |
68 818,29 |
80 288,00 |
95 580,95 |
24 538,61 |
0,90000 |
1,05000 |
1,25000 |
1,00000 |
||||||||||||||||||||||||||||||||||||||||||||||||||
1,10500 |
1 |
1 |
1 |
st19.080 |
1.1.1.2.19.80 |
Лучевая терапия (уровень 6) |
4,51000 |
110 060,45 |
128 403,86 |
152 861,74 |
24 538,61 |
0,90000 |
1,05000 |
1,25000 |
1,00000 |
||||||||||||||||||||||||||||||||||||||||||||||||||
1,10500 |
1 |
1 |
1 |
st19.081 |
1.1.1.2.19.81 |
Лучевая терапия (уровень 7) |
4,87000 |
118 845,76 |
138 653,39 |
165 063,56 |
24 538,61 |
0,90000 |
1,05000 |
1,25000 |
1,00000 |
||||||||||||||||||||||||||||||||||||||||||||||||||
1,10500 |
1 |
1 |
1 |
st19.082 |
1.1.1.2.19.82 |
Лучевая терапия (уровень 8) |
14,55000 |
355 073,07 |
414 251,92 |
493 157,05 |
24 538,61 |
0,90000 |
1,05000 |
1,25000 |
1,00000 |
||||||||||||||||||||||||||||||||||||||||||||||||||
1,10500 |
1 |
1 |
1 |
st19.084 |
1.1.1.2.19.84 |
Лучевая терапия в сочетании с лекарственной терапией (уровень 2) |
3,78000 |
92 311,70 |
105 699,64 |
123 550,22 |
24 538,61 |
0,90000 |
1,05000 |
1,25000 |
1,00000 |
||||||||||||||||||||||||||||||||||||||||||||||||||
1,10500 |
1 |
1 |
1 |
st19.085 |
1.1.1.2.19.85 |
Лучевая терапия в сочетании с лекарственной терапией (уровень 3) |
4,37000 |
106 709,76 |
122 500,17 |
143 554,06 |
24 538,61 |
0,90000 |
1,05000 |
1,25000 |
1,00000 |
||||||||||||||||||||||||||||||||||||||||||||||||||
1,10500 |
1 |
1 |
1 |
st19.086 |
1.1.1.2.19.86 |
Лучевая терапия в сочетании с лекарственной терапией (уровень 4) |
5,85000 |
142 863,58 |
163 575,87 |
191 192,26 |
24 538,61 |
0,90000 |
1,05000 |
1,25000 |
1,00000 |
||||||||||||||||||||||||||||||||||||||||||||||||||
1,10500 |
1 |
1 |
1 |
st19.087 |
1.1.1.2.19.87 |
Лучевая терапия в сочетании с лекарственной терапией (уровень 5) |
6,57000 |
160 434,02 |
184 080,32 |
215 608,71 |
24 538,61 |
0,90000 |
1,05000 |
1,25000 |
1,00000 |
||||||||||||||||||||||||||||||||||||||||||||||||||
1,10500 |
1 |
1 |
1 |
st19.088 |
1.1.1.2.19.88 |
Лучевая терапия в сочетании с лекарственной терапией (уровень 6) |
9,49000 |
232 281,86 |
250 048,72 |
273 737,87 |
24 538,61 |
0,90000 |
1,05000 |
1,25000 |
1,00000 |
||||||||||||||||||||||||||||||||||||||||||||||||||
1,10500 |
1 |
1 |
1 |
st19.089 |
1.1.1.2.19.89 |
Лучевая терапия в сочетании с лекарственной терапией (уровень 7) |
16,32000 |
399 880,70 |
417 643,44 |
441 327,08 |
24 538,61 |
0,90000 |
1,05000 |
1,25000 |
1,00000 |
||||||||||||||||||||||||||||||||||||||||||||||||||
1,10500 |
1 |
1 |
1 |
st19.090 |
1.1.1.2.19.90 |
ЗНО лимфоидной и кроветворной тканей без специального противоопухолевого лечения (уровень 1) |
0,43000 |
10 493,57 |
12 242,50 |
14 574,40 |
24 538,61 |
0,90000 |
1,05000 |
1,25000 |
1,00000 |
||||||||||||||||||||||||||||||||||||||||||||||||||
1,10500 |
1 |
1 |
1 |
st19.091 |
1.1.1.2.19.91 |
ЗНО лимфоидной и кроветворной тканей без специального противоопухолевого лечения (уровень 2) |
1,37000 |
33 433,00 |
39 005,16 |
46 434,72 |
24 538,61 |
0,90000 |
1,05000 |
1,25000 |
1,00000 |
||||||||||||||||||||||||||||||||||||||||||||||||||
1,10500 |
1 |
1 |
1 |
st19.092 |
1.1.1.2.19.92 |
ЗНО лимфоидной и кроветворной тканей без специального противоопухолевого лечения (уровень 3) |
2,85000 |
69 550,40 |
81 142,13 |
96 597,77 |
24 538,61 |
0,90000 |
1,05000 |
1,25000 |
1,00000 |
||||||||||||||||||||||||||||||||||||||||||||||||||
1,10500 |
1 |
1 |
1 |
st19.093 |
1.1.1.2.19.93 |
ЗНО лимфоидной и кроветворной тканей без специального противоопухолевого лечения (уровень 4) |
4,87000 |
118 845,76 |
138 653,39 |
165 063,56 |
24 538,61 |
0,90000 |
1,05000 |
1,25000 |
1,00000 |
||||||||||||||||||||||||||||||||||||||||||||||||||
1,10500 |
1 |
1 |
1 |
st19.094 |
1.1.1.2.19.94 |
ЗНО лимфоидной и кроветворной тканей, лекарственная терапия, взрослые (уровень 1) |
1,46000 |
35 676,83 |
40 183,35 |
46 192,04 |
24 538,61 |
0,90000 |
1,05000 |
1,25000 |
1,00000 |
||||||||||||||||||||||||||||||||||||||||||||||||||
1,10500 |
1 |
1 |
1 |
st19.095 |
1.1.1.2.19.95 |
ЗНО лимфоидной и кроветворной тканей, лекарственная терапия, взрослые (уровень 2) |
3,65000 |
89 192,08 |
100 458,37 |
115 480,09 |
24 538,61 |
0,90000 |
1,05000 |
1,25000 |
1,00000 |
||||||||||||||||||||||||||||||||||||||||||||||||||
1,10500 |
1 |
1 |
1 |
st19.096 |
1.1.1.2.19.96 |
ЗНО лимфоидной и кроветворной тканей, лекарственная терапия, взрослые (уровень 3) |
7,18000 |
175 451,82 |
197 614,00 |
227 163,58 |
24 538,61 |
0,90000 |
1,05000 |
1,25000 |
1,00000 |
||||||||||||||||||||||||||||||||||||||||||||||||||
1,10500 |
1 |
1 |
1 |
st19.097 |
1.1.1.2.19.97 |
ЗНО лимфоидной и кроветворной тканей, лекарственная терапия с применением отдельных препаратов (по перечню), взрослые (уровень 1) |
3,52000 |
86 241,51 |
90 291,74 |
95 692,03 |
24 538,61 |
0,90000 |
1,05000 |
1,25000 |
1,00000 |
||||||||||||||||||||||||||||||||||||||||||||||||||
1,10500 |
1 |
1 |
1 |
st19.098 |
1.1.1.2.19.98 |
ЗНО лимфоидной и кроветворной тканей, лекарственная терапия с применением отдельных препаратов (по перечню), взрослые (уровень 2) |
5,79000 |
141 711,36 |
152 777,28 |
167 531,84 |
24 538,61 |
0,90000 |
1,05000 |
1,25000 |
1,00000 |
||||||||||||||||||||||||||||||||||||||||||||||||||
1,10500 |
1 |
1 |
1 |
st19.099 |
1.1.1.2.19.99 |
ЗНО лимфоидной и кроветворной тканей, лекарственная терапия с применением отдельных препаратов (по перечню), взрослые (уровень 3) |
9,00000 |
220 151,61 |
241 122,89 |
269 084,58 |
24 538,61 |
0,90000 |
1,05000 |
1,25000 |
1,00000 |
||||||||||||||||||||||||||||||||||||||||||||||||||
1,10500 |
1 |
1 |
1 |
st19.100 |
1.1.1.2.19.100 |
ЗНО лимфоидной и кроветворной тканей, лекарственная терапия с применением отдельных препаратов (по перечню), взрослые (уровень 4) |
14,84000 |
364 053,23 |
367 059,08 |
371 066,87 |
24 538,61 |
0,90000 |
1,05000 |
1,25000 |
1,00000 |
||||||||||||||||||||||||||||||||||||||||||||||||||
1,10500 |
1 |
1 |
1 |
st19.101 |
1.1.1.2.19.101 |
ЗНО лимфоидной и кроветворной тканей, лекарственная терапия с применением отдельных препаратов (по перечню), взрослые (уровень 5) |
17,50000 |
429 053,21 |
440 277,87 |
455 244,09 |
24 538,61 |
0,90000 |
1,05000 |
1,25000 |
1,00000 |
||||||||||||||||||||||||||||||||||||||||||||||||||
1,10500 |
1 |
1 |
1 |
st19.102 |
1.1.1.2.19.102 |
ЗНО лимфоидной и кроветворной тканей, лекарственная терапия с применением отдельных препаратов (по перечню), взрослые (уровень 6) |
20,60000 |
504 805,04 |
525 609,06 |
553 347,77 |
24 538,61 |
0,90000 |
1,05000 |
1,25000 |
1,00000 |
||||||||||||||||||||||||||||||||||||||||||||||||||
1,10500 |
1 |
1 |
1 |
st19.103 |
1.1.1.2.19.103 |
Лучевые повреждения |
2,64000 |
64 425,63 |
75 163,23 |
89 480,04 |
24 538,61 |
0,90000 |
1,05000 |
1,25000 |
1,00000 |
||||||||||||||||||||||||||||||||||||||||||||||||||
1,10500 |
1 |
1 |
1 |
st19.104 |
1.1.1.2.19.104 |
Эвисцерация малого таза при лучевых повреждениях |
19,75000 |
481 972,04 |
562 300,71 |
669 405,61 |
24 538,61 |
0,90000 |
1,05000 |
1,25000 |
1,00000 |
||||||||||||||||||||||||||||||||||||||||||||||||||
1,10500 |
1 |
1 |
1 |
st19.105 |
1.1.1.1.19.105 |
Лекарственная терапия при злокачественных новообразованиях (кроме лимфоидной и кроветворной тканей), взрослые (уровень 1) |
0,40000 |
9 785,41 |
10 690,46 |
11 897,20 |
24 538,61 |
0,90000 |
1,05000 |
1,25000 |
1,00000 |
||||||||||||||||||||||||||||||||||||||||||||||||||
1,10500 |
1 |
1 |
1 |
st19.106 |
1.1.1.1.19.106 |
Лекарственная терапия при злокачественных новообразованиях (кроме лимфоидной и кроветворной тканей), взрослые (уровень 2) |
0,76000 |
18 606,60 |
19 894,68 |
21 612,11 |
24 538,61 |
0,90000 |
1,05000 |
1,25000 |
1,00000 |
||||||||||||||||||||||||||||||||||||||||||||||||||
1,10500 |
1 |
1 |
1 |
st19.107 |
1.1.1.1.19.107 |
Лекарственная терапия при злокачественных новообразованиях (кроме лимфоидной и кроветворной тканей), взрослые (уровень 3) |
1,07000 |
26 222,07 |
27 253,93 |
28 629,74 |
24 538,61 |
0,90000 |
1,05000 |
1,25000 |
1,00000 |
||||||||||||||||||||||||||||||||||||||||||||||||||
1,10500 |
1 |
1 |
1 |
st19.108 |
1.1.1.1.19.108 |
Лекарственная терапия при злокачественных новообразованиях (кроме лимфоидной и кроветворной тканей), взрослые (уровень 4) |
1,37000 |
33 583,23 |
34 628,01 |
36 021,05 |
24 538,61 |
0,90000 |
1,05000 |
1,25000 |
1,00000 |
||||||||||||||||||||||||||||||||||||||||||||||||||
1,10500 |
1 |
1 |
1 |
st19.109 |
1.1.1.1.19.109 |
Лекарственная терапия при злокачественных новообразованиях (кроме лимфоидной и кроветворной тканей), взрослые (уровень 5) |
2,16000 |
52 908,65 |
55 763,88 |
59 570,85 |
24 538,61 |
0,90000 |
1,05000 |
1,25000 |
1,00000 |
||||||||||||||||||||||||||||||||||||||||||||||||||
1,10500 |
1 |
1 |
1 |
st19.110 |
1.1.1.1.19.110 |
Лекарственная терапия при злокачественных новообразованиях (кроме лимфоидной и кроветворной тканей), взрослые (уровень 6) |
2,68000 |
65 731,79 |
66 686,66 |
67 959,81 |
24 538,61 |
0,90000 |
1,05000 |
1,25000 |
1,00000 |
||||||||||||||||||||||||||||||||||||||||||||||||||
1,10500 |
1 |
1 |
1 |
st19.111 |
1.1.1.1.19.111 |
Лекарственная терапия при злокачественных новообразованиях (кроме лимфоидной и кроветворной тканей), взрослые (уровень 7) |
3,53000 |
86 587,42 |
87 608,24 |
88 969,33 |
24 538,61 |
0,90000 |
1,05000 |
1,25000 |
1,00000 |
||||||||||||||||||||||||||||||||||||||||||||||||||
1,10500 |
1 |
1 |
1 |
st19.112 |
1.1.1.1.19.112 |
Лекарственная терапия при злокачественных новообразованиях (кроме лимфоидной и кроветворной тканей), взрослые (уровень 8) |
4,44000 |
108 904,87 |
110 308,03 |
112 178,91 |
24 538,61 |
0,90000 |
1,05000 |
1,25000 |
1,00000 |
||||||||||||||||||||||||||||||||||||||||||||||||||
1,10500 |
1 |
1 |
1 |
st19.113 |
1.1.1.1.19.113 |
Лекарственная терапия при злокачественных новообразованиях (кроме лимфоидной и кроветворной тканей), взрослые (уровень 9) |
4,88000 |
119 709,95 |
120 869,09 |
122 414,62 |
24 538,61 |
0,90000 |
1,05000 |
1,25000 |
1,00000 |
||||||||||||||||||||||||||||||||||||||||||||||||||
1,10500 |
1 |
1 |
1 |
st19.114 |
1.1.1.1.19.114 |
Лекарственная терапия при злокачественных новообразованиях (кроме лимфоидной и кроветворной тканей), взрослые (уровень 10) |
5,25000 |
128 786,68 |
130 023,03 |
131 671,49 |
24 538,61 |
0,90000 |
1,05000 |
1,25000 |
1,00000 |
||||||||||||||||||||||||||||||||||||||||||||||||||
1,10500 |
1 |
1 |
1 |
st19.115 |
1.1.1.1.19.115 |
Лекарственная терапия при злокачественных новообразованиях (кроме лимфоидной и кроветворной тканей), взрослые (уровень 11) |
5,74000 |
140 795,30 |
142 492,57 |
144 755,59 |
24 538,61 |
0,90000 |
1,05000 |
1,25000 |
1,00000 |
||||||||||||||||||||||||||||||||||||||||||||||||||
1,10500 |
1 |
1 |
1 |
st19.116 |
1.1.1.1.19.116 |
Лекарственная терапия при злокачественных новообразованиях (кроме лимфоидной и кроветворной тканей), взрослые (уровень 12) |
6,76000 |
165 827,18 |
167 449,37 |
169 612,29 |
24 538,61 |
0,90000 |
1,05000 |
1,25000 |
1,00000 |
||||||||||||||||||||||||||||||||||||||||||||||||||
1,10500 |
1 |
1 |
1 |
st19.117 |
1.1.1.1.19.117 |
Лекарственная терапия при злокачественных новообразованиях (кроме лимфоидной и кроветворной тканей), взрослые (уровень 13) |
8,07000 |
197 990,42 |
199 080,14 |
200 533,10 |
24 538,61 |
0,90000 |
1,05000 |
1,25000 |
1,00000 |
||||||||||||||||||||||||||||||||||||||||||||||||||
1,10500 |
1 |
1 |
1 |
st19.118 |
1.1.1.1.19.118 |
Лекарственная терапия при злокачественных новообразованиях (кроме лимфоидной и кроветворной тканей), взрослые (уровень 14) |
10,11000 |
248 056,01 |
248 940,09 |
250 118,87 |
24 538,61 |
0,90000 |
1,05000 |
1,25000 |
1,00000 |
||||||||||||||||||||||||||||||||||||||||||||||||||
1,10500 |
1 |
1 |
1 |
st19.119 |
1.1.1.1.19.119 |
Лекарственная терапия при злокачественных новообразованиях (кроме лимфоидной и кроветворной тканей), взрослые (уровень 15) |
13,86000 |
340 076,14 |
340 949,91 |
342 114,94 |
24 538,61 |
0,90000 |
1,05000 |
1,25000 |
1,00000 |
||||||||||||||||||||||||||||||||||||||||||||||||||
1,10500 |
1 |
1 |
1 |
st19.120 |
1.1.1.1.19.120 |
Лекарственная терапия при злокачественных новообразованиях (кроме лимфоидной и кроветворной тканей), взрослые (уровень 16) |
17,20000 |
422 036,47 |
422 868,96 |
423 978,94 |
24 538,61 |
0,90000 |
1,05000 |
1,25000 |
1,00000 |
||||||||||||||||||||||||||||||||||||||||||||||||||
1,10500 |
1 |
1 |
1 |
st19.121 |
1.1.1.1.19.121 |
Лекарственная терапия при злокачественных новообразованиях (кроме лимфоидной и кроветворной тканей), взрослые (уровень 17) |
29,17000 |
715 764,09 |
716 582,72 |
717 674,23 |
24 538,61 |
0,90000 |
1,05000 |
1,25000 |
1,00000 |
||||||||||||||||||||||||||||||||||||||||||||||||||
1,10500 |
1 |
1 |
1 |
st19.122 |
1.1.1.2.19.122 |
Поздний посттрансплантационный период после пересадки костного мозга |
23,41000 |
572 583,19 |
628 807,59 |
703 773,45 |
24 538,61 |
0,90000 |
1,05000 |
1,25000 |
1,00000 |
||||||||||||||||||||||||||||||||||||||||||||||||||
1,10500 |
1 |
1 |
1 |
st20.001 |
1.1.1.1.20.1 |
Доброкачественные новообразования, новообразования in situ уха, горла, носа, полости рта |
0,66000 |
12 885,13 |
15 032,65 |
17 896,01 |
24 538,61 |
0,90000 |
1,05000 |
1,25000 |
0,80000 |
||||||||||||||||||||||||||||||||||||||||||||||||||
1,10500 |
1 |
1 |
1 |
st20.002 |
1.1.1.1.20.2 |
Средний отит, мастоидит, нарушения вестибулярной функции |
0,47000 |
9 175,77 |
10 705,07 |
12 744,13 |
24 538,61 |
0,90000 |
1,05000 |
1,25000 |
0,80000 |
||||||||||||||||||||||||||||||||||||||||||||||||||
1,10500 |
1 |
1 |
1 |
st20.003 |
1.1.1.1.20.3 |
Другие болезни уха |
0,61000 |
11 908,98 |
13 893,81 |
16 540,25 |
24 538,61 |
0,90000 |
1,05000 |
1,25000 |
0,80000 |
||||||||||||||||||||||||||||||||||||||||||||||||||
1,10500 |
1 |
1 |
1 |
st20.004 |
1.1.1.1.20.4 |
Другие болезни и врожденные аномалии верхних дыхательных путей, симптомы и признаки, относящиеся к органам дыхания, нарушения речи |
0,71000 |
13 861,27 |
16 171,48 |
19 251,77 |
24 538,61 |
0,90000 |
1,05000 |
1,25000 |
0,80000 |
||||||||||||||||||||||||||||||||||||||||||||||||||
1,10500 |
1 |
1 |
1 |
st20.005 |
1.1.1.2.20.5 |
Операции на органе слуха, придаточных пазухах носа и верхних дыхательных путях (уровень 1) |
0,84000 |
16 399,25 |
19 132,46 |
22 776,74 |
24 538,61 |
0,90000 |
1,05000 |
1,25000 |
0,80000 |
||||||||||||||||||||||||||||||||||||||||||||||||||
1,10500 |
1 |
1 |
1 |
st20.006 |
1.1.1.2.20.6 |
Операции на органе слуха, придаточных пазухах носа и верхних дыхательных путях (уровень 2) |
0,91000 |
17 765,86 |
20 726,83 |
24 674,80 |
24 538,61 |
0,90000 |
1,05000 |
1,25000 |
0,80000 |
||||||||||||||||||||||||||||||||||||||||||||||||||
1,10500 |
1 |
1 |
1 |
st20.007 |
1.1.1.2.20.7 |
Операции на органе слуха, придаточных пазухах носа и верхних дыхательных путях (уровень 3) |
1,10000 |
21 475,21 |
25 054,41 |
29 826,68 |
24 538,61 |
0,90000 |
1,05000 |
1,25000 |
0,80000 |
||||||||||||||||||||||||||||||||||||||||||||||||||
1,10500 |
1 |
1 |
1 |
st20.008 |
1.1.1.2.20.8 |
Операции на органе слуха, придаточных пазухах носа и верхних дыхательных путях (уровень 4) |
1,35000 |
29 284,38 |
29 284,38 |
29 284,38 |
24 538,61 |
0,90000 |
1,05000 |
1,25000 |
0,80000 |
||||||||||||||||||||||||||||||||||||||||||||||||||
1,10500 |
1 |
1 |
1 |
st20.009 |
1.1.1.2.20.9 |
Операции на органе слуха, придаточных пазухах носа и верхних дыхательных путях (уровень 5) |
1,96000 |
42 516,58 |
42 516,58 |
42 516,58 |
24 538,61 |
0,90000 |
1,05000 |
1,25000 |
0,80000 |
||||||||||||||||||||||||||||||||||||||||||||||||||
1,10500 |
1 |
1 |
1 |
st20.010 |
1.1.1.2.20.10 |
Замена речевого процессора |
29,91000 |
733 319,80 |
733 319,80 |
733 319,80 |
24 538,61 |
0,90000 |
1,05000 |
1,25000 |
0,80000 |
||||||||||||||||||||||||||||||||||||||||||||||||||
1,10500 |
1 |
1 |
1 |
st21.001 |
1.1.1.2.21.1 |
Операции на органе зрения (уровень 1) |
0,49000 |
9 566,23 |
11 160,60 |
13 286,43 |
24 538,61 |
0,90000 |
1,05000 |
1,25000 |
0,80000 |
||||||||||||||||||||||||||||||||||||||||||||||||||
1,10500 |
1 |
1 |
1 |
st21.002 |
1.1.1.2.21.2 |
Операции на органе зрения (уровень 2) |
0,79000 |
15 423,11 |
17 993,62 |
21 420,98 |
24 538,61 |
0,90000 |
1,05000 |
1,25000 |
0,80000 |
||||||||||||||||||||||||||||||||||||||||||||||||||
1,10500 |
1 |
1 |
1 |
st21.003 |
1.1.1.2.21.3 |
Операции на органе зрения (уровень 3) |
1,07000 |
20 889,52 |
24 371,11 |
29 013,23 |
24 538,61 |
0,90000 |
1,05000 |
1,25000 |
0,80000 |
||||||||||||||||||||||||||||||||||||||||||||||||||
1,10500 |
1 |
1 |
1 |
st21.004 |
1.1.1.2.21.4 |
Операции на органе зрения (уровень 4) |
1,19000 |
25 813,64 |
25 813,64 |
25 813,64 |
24 538,61 |
0,90000 |
1,05000 |
1,25000 |
0,80000 |
||||||||||||||||||||||||||||||||||||||||||||||||||
1,10500 |
1 |
1 |
1 |
st21.005 |
1.1.1.2.21.5 |
Операции на органе зрения (уровень 5) |
2,11000 |
45 770,40 |
45 770,40 |
45 770,40 |
24 538,61 |
0,90000 |
1,05000 |
1,25000 |
0,80000 |
||||||||||||||||||||||||||||||||||||||||||||||||||
1,10500 |
1 |
1 |
1 |
st21.006 |
1.1.1.2.21.6 |
Операции на органе зрения (уровень 6) |
2,33000 |
50 542,67 |
50 542,67 |
50 542,67 |
24 538,61 |
0,90000 |
1,05000 |
1,25000 |
0,80000 |
||||||||||||||||||||||||||||||||||||||||||||||||||
1,10500 |
1 |
1 |
1 |
st21.007 |
1.1.1.1.21.7 |
Болезни глаза |
0,51000 |
9 956,69 |
11 616,14 |
13 828,73 |
24 538,61 |
0,90000 |
1,05000 |
1,25000 |
0,80000 |
||||||||||||||||||||||||||||||||||||||||||||||||||
1,10500 |
1 |
1 |
1 |
st21.008 |
1.1.1.1.21.8 |
Травмы глаза |
0,66000 |
12 885,13 |
15 032,65 |
17 896,01 |
24 538,61 |
0,90000 |
1,05000 |
1,25000 |
0,80000 |
||||||||||||||||||||||||||||||||||||||||||||||||||
1,10500 |
1 |
1 |
1 |
st22.001 |
1.1.1.1.22.1 |
Нарушения всасывания, дети |
1,11000 |
21 670,44 |
25 282,18 |
30 097,83 |
24 538,61 |
0,90000 |
1,05000 |
1,25000 |
0,80000 |
||||||||||||||||||||||||||||||||||||||||||||||||||
1,10500 |
1 |
1 |
1 |
st22.002 |
1.1.1.1.22.2 |
Другие болезни органов пищеварения, дети |
0,39000 |
7 613,94 |
8 882,93 |
10 574,91 |
24 538,61 |
0,90000 |
1,05000 |
1,25000 |
0,80000 |
||||||||||||||||||||||||||||||||||||||||||||||||||
1,10500 |
1 |
1 |
1 |
st22.003 |
1.1.1.1.22.3 |
Воспалительные артропатии, спондилопатии, дети |
1,85000 |
36 117,40 |
42 136,96 |
50 163,05 |
24 538,61 |
0,90000 |
1,05000 |
1,25000 |
0,80000 |
||||||||||||||||||||||||||||||||||||||||||||||||||
1,10500 |
1 |
1 |
1 |
st22.004 |
1.1.1.1.22.4 |
Врожденные аномалии головного и спинного мозга, дети |
2,12000 |
41 388,59 |
48 286,68 |
57 484,15 |
24 538,61 |
0,90000 |
1,05000 |
1,25000 |
0,80000 |
||||||||||||||||||||||||||||||||||||||||||||||||||
1,10500 |
1 |
1 |
1 |
st23.001 |
1.1.1.1.23.1 |
Другие болезни органов дыхания |
0,85000 |
16 594,48 |
19 360,23 |
23 047,89 |
24 538,61 |
0,90000 |
1,05000 |
1,25000 |
0,80000 |
||||||||||||||||||||||||||||||||||||||||||||||||||
1,10500 |
1 |
1 |
1 |
st23.002 |
1.1.1.1.23.2 |
Интерстициальные болезни легких, врожденные аномалии развития легких, бронхолегочная дисплазия, дети |
2,48000 |
48 416,84 |
56 486,31 |
67 245,61 |
24 538,61 |
0,90000 |
1,05000 |
1,25000 |
0,80000 |
||||||||||||||||||||||||||||||||||||||||||||||||||
1,10500 |
1 |
1 |
1 |
st23.003 |
1.1.1.1.23.3 |
Доброкачественные новообразования, новообразования in situ органов дыхания, других и неуточненных органов грудной клетки |
0,91000 |
17 765,86 |
20 726,83 |
24 674,80 |
24 538,61 |
0,90000 |
1,05000 |
1,25000 |
0,80000 |
||||||||||||||||||||||||||||||||||||||||||||||||||
1,10500 |
1 |
1 |
1 |
st23.004 |
1.1.1.1.23.4 |
Пневмония, плеврит, другие болезни плевры |
1,28000 |
24 989,34 |
29 154,22 |
34 707,41 |
24 538,61 |
0,90000 |
1,05000 |
1,25000 |
0,80000 |
||||||||||||||||||||||||||||||||||||||||||||||||||
1,10500 |
1 |
1 |
1 |
st23.005 |
1.1.1.1.23.5 |
Астма, взрослые |
1,11000 |
21 670,44 |
25 282,18 |
30 097,83 |
24 538,61 |
0,90000 |
1,05000 |
1,25000 |
0,80000 |
||||||||||||||||||||||||||||||||||||||||||||||||||
1,10500 |
1 |
1 |
1 |
st23.006 |
1.1.1.1.23.6 |
Астма, дети |
1,25000 |
24 403,65 |
28 470,92 |
33 893,96 |
24 538,61 |
0,90000 |
1,05000 |
1,25000 |
0,80000 |
||||||||||||||||||||||||||||||||||||||||||||||||||
1,10500 |
1 |
1 |
1 |
st24.001 |
1.1.1.1.24.1 |
Системные поражения соединительной ткани |
1,78000 |
34 750,79 |
40 542,59 |
48 264,99 |
24 538,61 |
0,90000 |
1,05000 |
1,25000 |
0,80000 |
||||||||||||||||||||||||||||||||||||||||||||||||||
1,10500 |
1 |
1 |
1 |
st24.002 |
1.1.1.1.24.2 |
Артропатии и спондилопатии |
1,67000 |
32 603,27 |
38 037,15 |
45 282,32 |
24 538,61 |
0,90000 |
1,05000 |
1,25000 |
0,80000 |
||||||||||||||||||||||||||||||||||||||||||||||||||
1,10500 |
1 |
1 |
1 |
st24.003 |
1.1.1.1.24.3 |
Ревматические болезни сердца (уровень 1) |
0,87000 |
16 984,94 |
19 815,76 |
23 590,19 |
24 538,61 |
0,90000 |
1,05000 |
1,25000 |
0,80000 |
||||||||||||||||||||||||||||||||||||||||||||||||||
1,10500 |
1 |
1 |
1 |
st24.004 |
1.1.1.3.24.4 |
Ревматические болезни сердца (уровень 2) |
1,57000 |
30 650,98 |
35 759,48 |
42 570,81 |
24 538,61 |
0,90000 |
1,05000 |
1,25000 |
0,80000 |
||||||||||||||||||||||||||||||||||||||||||||||||||
1,10500 |
1 |
1 |
1 |
st25.001 |
1.1.1.1.25.1 |
Флебит и тромбофлебит, варикозное расширение вен нижних конечностей |
0,85000 |
16 594,48 |
19 360,23 |
23 047,89 |
24 538,61 |
0,90000 |
1,05000 |
1,25000 |
0,80000 |
||||||||||||||||||||||||||||||||||||||||||||||||||
1,10500 |
1 |
1 |
1 |
st25.002 |
1.1.1.1.25.2 |
Другие болезни, врожденные аномалии вен |
1,32000 |
25 770,25 |
30 065,29 |
35 792,02 |
24 538,61 |
0,90000 |
1,05000 |
1,25000 |
0,80000 |
||||||||||||||||||||||||||||||||||||||||||||||||||
1,10500 |
1 |
1 |
1 |
st25.003 |
1.1.1.1.25.3 |
Болезни артерий, артериол и капилляров |
1,05000 |
20 499,06 |
23 915,57 |
28 470,92 |
24 538,61 |
0,90000 |
1,05000 |
1,25000 |
0,80000 |
||||||||||||||||||||||||||||||||||||||||||||||||||
1,10500 |
1 |
1 |
1 |
st25.004 |
1.1.1.3.25.4 |
Диагностическое обследование сердечно-сосудистой системы |
1,01000 |
19 718,15 |
23 004,51 |
27 386,32 |
24 538,61 |
0,90000 |
1,05000 |
1,25000 |
0,80000 |
||||||||||||||||||||||||||||||||||||||||||||||||||
1,10500 |
1 |
1 |
1 |
st25.005 |
1.1.1.2.25.5 |
Операции на сердце и коронарных сосудах (уровень 1) |
2,11000 |
41 193,36 |
48 058,92 |
57 213,00 |
24 538,61 |
0,90000 |
1,05000 |
1,25000 |
0,80000 |
||||||||||||||||||||||||||||||||||||||||||||||||||
1,10500 |
1 |
1 |
1 |
st25.006 |
1.1.1.2.25.6 |
Операции на сердце и коронарных сосудах (уровень 2) |
3,97000 |
77 505,98 |
90 423,65 |
107 647,20 |
24 538,61 |
0,90000 |
1,05000 |
1,25000 |
0,80000 |
||||||||||||||||||||||||||||||||||||||||||||||||||
1,10500 |
1 |
1 |
1 |
st25.007 |
1.1.1.2.25.7 |
Операции на сердце и коронарных сосудах (уровень 3) |
4,31000 |
84 143,78 |
98 167,74 |
116 866,36 |
24 538,61 |
0,90000 |
1,05000 |
1,25000 |
0,80000 |
||||||||||||||||||||||||||||||||||||||||||||||||||
1,10500 |
1 |
1 |
1 |
st25.008 |
1.1.1.2.25.8 |
Операции на сосудах (уровень 1) |
1,20000 |
23 427,50 |
27 332,09 |
32 538,20 |
24 538,61 |
0,90000 |
1,05000 |
1,25000 |
0,80000 |
||||||||||||||||||||||||||||||||||||||||||||||||||
1,10500 |
1 |
1 |
1 |
st25.009 |
1.1.1.2.25.9 |
Операции на сосудах (уровень 2) |
2,37000 |
46 269,32 |
53 980,87 |
64 262,94 |
24 538,61 |
0,90000 |
1,05000 |
1,25000 |
0,80000 |
||||||||||||||||||||||||||||||||||||||||||||||||||
1,10500 |
1 |
1 |
1 |
st25.010 |
1.1.1.2.25.10 |
Операции на сосудах (уровень 3) |
4,13000 |
80 629,65 |
94 067,93 |
111 985,63 |
24 538,61 |
0,90000 |
1,05000 |
1,25000 |
0,80000 |
||||||||||||||||||||||||||||||||||||||||||||||||||
1,10500 |
1 |
1 |
1 |
st25.011 |
1.1.1.2.25.11 |
Операции на сосудах (уровень 4) |
6,08000 |
118 699,34 |
138 482,57 |
164 860,20 |
24 538,61 |
0,90000 |
1,05000 |
1,25000 |
0,80000 |
||||||||||||||||||||||||||||||||||||||||||||||||||
1,10500 |
1 |
1 |
1 |
st25.012 |
1.1.1.2.25.12 |
Операции на сосудах (уровень 5) |
7,12000 |
139 003,18 |
162 170,37 |
193 059,97 |
24 538,61 |
0,90000 |
1,05000 |
1,25000 |
0,80000 |
||||||||||||||||||||||||||||||||||||||||||||||||||
1,10500 |
1 |
1 |
1 |
st26.001 |
1.1.1.1.26.1 |
Болезни полости рта, слюнных желез и челюстей, врожденные аномалии лица и шеи, дети |
0,79000 |
15 423,11 |
17 993,62 |
21 420,98 |
24 538,61 |
0,90000 |
1,05000 |
1,25000 |
0,80000 |
||||||||||||||||||||||||||||||||||||||||||||||||||
1,10500 |
1 |
1 |
1 |
st27.001 |
1.1.1.1.27.1 |
Болезни пищевода, гастрит, дуоденит, другие болезни желудка и двенадцатиперстной кишки |
0,74000 |
16 052,18 |
16 052,18 |
16 052,18 |
24 538,61 |
0,90000 |
1,05000 |
1,25000 |
0,80000 |
||||||||||||||||||||||||||||||||||||||||||||||||||
1,10500 |
1 |
1 |
1 |
st27.002 |
1.1.1.1.27.2 |
Новообразования доброкачественные, in situ, неопределенного и неуточненного характера органов пищеварения |
0,69000 |
13 470,81 |
15 715,95 |
18 709,46 |
24 538,61 |
0,90000 |
1,05000 |
1,25000 |
0,80000 |
||||||||||||||||||||||||||||||||||||||||||||||||||
1,10500 |
1 |
1 |
1 |
st27.003 |
1.1.1.1.27.3 |
Болезни желчного пузыря |
0,72000 |
15 618,33 |
15 618,33 |
15 618,33 |
24 538,61 |
0,90000 |
1,05000 |
1,25000 |
0,80000 |
||||||||||||||||||||||||||||||||||||||||||||||||||
1,10500 |
1 |
1 |
1 |
st27.004 |
1.1.1.1.27.4 |
Другие болезни органов пищеварения, взрослые |
0,59000 |
11 518,52 |
13 438,28 |
15 997,95 |
24 538,61 |
0,90000 |
1,05000 |
1,25000 |
0,80000 |
||||||||||||||||||||||||||||||||||||||||||||||||||
1,10500 |
1 |
1 |
1 |
st27.005 |
1.1.1.1.27.5 |
Гипертоническая болезнь в стадии обострения |
0,70000 |
15 184,49 |
15 184,49 |
15 184,49 |
24 538,61 |
0,90000 |
1,05000 |
1,25000 |
0,80000 |
||||||||||||||||||||||||||||||||||||||||||||||||||
1,10500 |
1 |
1 |
1 |
st27.006 |
1.1.1.1.27.6 |
Стенокардия (кроме нестабильной), хроническая ишемическая болезнь сердца (уровень 1) |
0,78000 |
16 919,86 |
16 919,86 |
16 919,86 |
24 538,61 |
0,90000 |
1,05000 |
1,25000 |
0,80000 |
||||||||||||||||||||||||||||||||||||||||||||||||||
1,10500 |
1 |
1 |
1 |
st27.007 |
1.1.1.3.27.7 |
Стенокардия (кроме нестабильной), хроническая ишемическая болезнь сердца (уровень 2) |
1,70000 |
33 188,96 |
38 720,45 |
46 095,78 |
24 538,61 |
0,90000 |
1,05000 |
1,25000 |
0,80000 |
||||||||||||||||||||||||||||||||||||||||||||||||||
1,10500 |
1 |
1 |
1 |
st27.008 |
1.1.1.1.27.8 |
Другие болезни сердца (уровень 1) |
0,78000 |
15 227,88 |
17 765,86 |
21 149,83 |
24 538,61 |
0,90000 |
1,05000 |
1,25000 |
0,80000 |
||||||||||||||||||||||||||||||||||||||||||||||||||
1,10500 |
1 |
1 |
1 |
st27.009 |
1.1.1.3.27.9 |
Другие болезни сердца (уровень 2) |
1,54000 |
30 065,29 |
35 076,18 |
41 757,35 |
24 538,61 |
0,90000 |
1,05000 |
1,25000 |
0,80000 |
||||||||||||||||||||||||||||||||||||||||||||||||||
1,10500 |
1 |
1 |
1 |
st27.010 |
1.1.1.1.27.10 |
Бронхит необструктивный, симптомы и признаки, относящиеся к органам дыхания |
0,75000 |
16 269,10 |
16 269,10 |
16 269,10 |
24 538,61 |
0,90000 |
1,05000 |
1,25000 |
0,80000 |
||||||||||||||||||||||||||||||||||||||||||||||||||
1,10500 |
1 |
1 |
1 |
st27.011 |
1.1.1.1.27.11 |
ХОБЛ, эмфизема, бронхоэктатическая болезнь |
0,89000 |
17 375,40 |
20 271,30 |
24 132,50 |
24 538,61 |
0,90000 |
1,05000 |
1,25000 |
0,80000 |
||||||||||||||||||||||||||||||||||||||||||||||||||
1,10500 |
1 |
1 |
1 |
st27.012 |
1.1.1.1.27.12 |
Отравления и другие воздействия внешних причин |
0,53000 |
10 347,15 |
12 071,67 |
14 371,04 |
24 538,61 |
0,90000 |
1,05000 |
1,25000 |
0,80000 |
||||||||||||||||||||||||||||||||||||||||||||||||||
1,10500 |
1 |
1 |
1 |
st27.013 |
1.1.1.1.27.13 |
Отравления и другие воздействия внешних причин с синдромом органной дисфункции |
4,07000 |
79 458,28 |
92 701,32 |
110 358,72 |
24 538,61 |
0,90000 |
1,05000 |
1,25000 |
0,80000 |
||||||||||||||||||||||||||||||||||||||||||||||||||
1,10500 |
1 |
1 |
1 |
st27.014 |
1.1.1.2.27.14 |
Госпитализация в диагностических целях с постановкой/ подтверждением диагноза злокачественного новообразования |
1,00000 |
19 522,92 |
22 776,74 |
27 115,16 |
24 538,61 |
0,90000 |
1,05000 |
1,25000 |
0,80000 |
||||||||||||||||||||||||||||||||||||||||||||||||||
1,10500 |
1 |
1 |
1 |
st28.001 |
1.1.1.1.28.1 |
Гнойные состояния нижних дыхательных путей |
2,05000 |
40 021,98 |
46 692,31 |
55 586,09 |
24 538,61 |
0,90000 |
1,05000 |
1,25000 |
0,80000 |
||||||||||||||||||||||||||||||||||||||||||||||||||
1,10500 |
1 |
1 |
1 |
st28.002 |
1.1.1.2.28.2 |
Операции на нижних дыхательных путях и легочной ткани, органах средостения (уровень 1) |
1,54000 |
30 065,29 |
35 076,18 |
41 757,35 |
24 538,61 |
0,90000 |
1,05000 |
1,25000 |
0,80000 |
||||||||||||||||||||||||||||||||||||||||||||||||||
1,10500 |
1 |
1 |
1 |
st28.003 |
1.1.1.2.28.3 |
Операции на нижних дыхательных путях и легочной ткани, органах средостения (уровень 2) |
1,92000 |
37 484,00 |
43 731,34 |
52 061,11 |
24 538,61 |
0,90000 |
1,05000 |
1,25000 |
0,80000 |
||||||||||||||||||||||||||||||||||||||||||||||||||
1,10500 |
1 |
1 |
1 |
st28.004 |
1.1.1.2.28.4 |
Операции на нижних дыхательных путях и легочной ткани, органах средостения (уровень 3) |
2,56000 |
55 531,86 |
55 531,86 |
55 531,86 |
24 538,61 |
0,90000 |
1,05000 |
1,25000 |
0,80000 |
||||||||||||||||||||||||||||||||||||||||||||||||||
1,10500 |
1 |
1 |
1 |
st28.005 |
1.1.1.2.28.5 |
Операции на нижних дыхательных путях и легочной ткани, органах средостения (уровень 4) |
4,12000 |
89 371,58 |
89 371,58 |
89 371,58 |
24 538,61 |
0,90000 |
1,05000 |
1,25000 |
0,80000 |
||||||||||||||||||||||||||||||||||||||||||||||||||
1,10500 |
1 |
1 |
1 |
st29.001 |
1.1.1.1.29.1 |
Приобретенные и врожденные костно-мышечные деформации |
0,99000 |
19 327,69 |
22 548,97 |
26 844,01 |
24 538,61 |
0,90000 |
1,05000 |
1,25000 |
0,80000 |
||||||||||||||||||||||||||||||||||||||||||||||||||
1,10500 |
1 |
1 |
1 |
st29.002 |
1.1.1.1.29.2 |
Переломы шейки бедра и костей таза |
1,52000 |
32 972,04 |
32 972,04 |
32 972,04 |
24 538,61 |
0,90000 |
1,05000 |
1,25000 |
0,80000 |
||||||||||||||||||||||||||||||||||||||||||||||||||
1,10500 |
1 |
1 |
1 |
st29.003 |
1.1.1.1.29.3 |
Переломы бедренной кости, другие травмы области бедра и тазобедренного сустава |
0,69000 |
14 967,57 |
14 967,57 |
14 967,57 |
24 538,61 |
0,90000 |
1,05000 |
1,25000 |
0,80000 |
||||||||||||||||||||||||||||||||||||||||||||||||||
1,10500 |
1 |
1 |
1 |
st29.004 |
1.1.1.1.29.4 |
Переломы, вывихи, растяжения области грудной клетки, верхней конечности и стопы |
0,56000 |
12 147,59 |
12 147,59 |
12 147,59 |
24 538,61 |
0,90000 |
1,05000 |
1,25000 |
0,80000 |
||||||||||||||||||||||||||||||||||||||||||||||||||
1,10500 |
1 |
1 |
1 |
st29.005 |
1.1.1.1.29.5 |
Переломы, вывихи, растяжения области колена и голени |
0,74000 |
16 052,18 |
16 052,18 |
16 052,18 |
24 538,61 |
0,90000 |
1,05000 |
1,25000 |
0,80000 |
||||||||||||||||||||||||||||||||||||||||||||||||||
1,10500 |
1 |
1 |
1 |
st29.006 |
1.1.1.1.29.6 |
Множественные переломы, травматические ампутации, размозжения и последствия травм |
1,44000 |
28 113,00 |
32 798,50 |
39 045,84 |
24 538,61 |
0,90000 |
1,05000 |
1,25000 |
0,80000 |
||||||||||||||||||||||||||||||||||||||||||||||||||
1,10500 |
1 |
1 |
1 |
st29.007 |
1.1.1.3.29.7 |
Тяжелая множественная и сочетанная травма (политравма) |
7,07000 |
138 027,03 |
161 031,54 |
191 704,21 |
24 538,61 |
0,90000 |
1,05000 |
1,25000 |
0,80000 |
||||||||||||||||||||||||||||||||||||||||||||||||||
1,10500 |
1 |
1 |
1 |
st29.008 |
1.1.1.2.29.8 |
Эндопротезирование суставов |
4,46000 |
87 072,21 |
101 584,25 |
120 933,63 |
24 538,61 |
0,90000 |
1,05000 |
1,25000 |
0,80000 |
||||||||||||||||||||||||||||||||||||||||||||||||||
1,10500 |
1 |
1 |
1 |
st29.009 |
1.1.1.2.29.9 |
Операции на костно-мышечной системе и суставах (уровень 1) |
0,79000 |
15 423,11 |
17 993,62 |
21 420,98 |
24 538,61 |
0,90000 |
1,05000 |
1,25000 |
0,80000 |
||||||||||||||||||||||||||||||||||||||||||||||||||
1,10500 |
1 |
1 |
1 |
st29.010 |
1.1.1.2.29.10 |
Операции на костно-мышечной системе и суставах (уровень 2) |
0,93000 |
18 156,31 |
21 182,37 |
25 217,10 |
24 538,61 |
0,90000 |
1,05000 |
1,25000 |
0,80000 |
||||||||||||||||||||||||||||||||||||||||||||||||||
1,10500 |
1 |
1 |
1 |
st29.011 |
1.1.1.2.29.11 |
Операции на костно-мышечной системе и суставах (уровень 3) |
1,37000 |
26 746,40 |
31 204,13 |
37 147,77 |
24 538,61 |
0,90000 |
1,05000 |
1,25000 |
0,80000 |
||||||||||||||||||||||||||||||||||||||||||||||||||
1,10500 |
1 |
1 |
1 |
st29.012 |
1.1.1.3.29.12 |
Операции на костно-мышечной системе и суставах (уровень 4) |
2,42000 |
52 494,96 |
52 494,96 |
52 494,96 |
24 538,61 |
0,90000 |
1,05000 |
1,25000 |
0,80000 |
||||||||||||||||||||||||||||||||||||||||||||||||||
1,10500 |
1 |
1 |
1 |
st29.013 |
1.1.1.3.29.13 |
Операции на костно-мышечной системе и суставах (уровень 5) |
3,15000 |
68 330,21 |
68 330,21 |
68 330,21 |
24 538,61 |
0,90000 |
1,05000 |
1,25000 |
0,80000 |
||||||||||||||||||||||||||||||||||||||||||||||||||
1,10500 |
1 |
1 |
1 |
st30.001 |
1.1.1.1.30.1 |
Тубулоинтерстициальные болезни почек, другие болезни мочевой системы |
0,86000 |
16 789,71 |
19 587,99 |
23 319,04 |
24 538,61 |
0,90000 |
1,05000 |
1,25000 |
0,80000 |
||||||||||||||||||||||||||||||||||||||||||||||||||
1,10500 |
1 |
1 |
1 |
st30.002 |
1.1.1.1.30.2 |
Камни мочевой системы; симптомы, относящиеся к мочевой системе |
0,49000 |
9 566,23 |
11 160,60 |
13 286,43 |
24 538,61 |
0,90000 |
1,05000 |
1,25000 |
0,80000 |
||||||||||||||||||||||||||||||||||||||||||||||||||
1,10500 |
1 |
1 |
1 |
st30.003 |
1.1.1.1.30.3 |
Доброкачественные новообразования, новообразования in situ, неопределенного и неизвестного характера мочевых органов и мужских половых органов |
0,64000 |
12 494,67 |
14 577,11 |
17 353,70 |
24 538,61 |
0,90000 |
1,05000 |
1,25000 |
0,80000 |
||||||||||||||||||||||||||||||||||||||||||||||||||
1,10500 |
1 |
1 |
1 |
st30.004 |
1.1.1.1.30.4 |
Болезни предстательной железы |
0,73000 |
15 835,26 |
15 835,26 |
15 835,26 |
24 538,61 |
0,90000 |
1,05000 |
1,25000 |
0,80000 |
||||||||||||||||||||||||||||||||||||||||||||||||||
1,10500 |
1 |
1 |
1 |
st30.005 |
1.1.1.1.30.5 |
Другие болезни, врожденные аномалии, повреждения мочевой системы и мужских половых органов |
0,67000 |
13 080,36 |
15 260,41 |
18 167,16 |
24 538,61 |
0,90000 |
1,05000 |
1,25000 |
0,80000 |
||||||||||||||||||||||||||||||||||||||||||||||||||
1,10500 |
1 |
1 |
1 |
st30.006 |
1.1.1.2.30.6 |
Операции на мужских половых органах, взрослые (уровень 1) |
1,20000 |
23 427,50 |
27 332,09 |
32 538,20 |
24 538,61 |
0,90000 |
1,05000 |
1,25000 |
0,80000 |
||||||||||||||||||||||||||||||||||||||||||||||||||
1,10500 |
1 |
1 |
1 |
st30.007 |
1.1.1.2.30.7 |
Операции на мужских половых органах, взрослые (уровень 2) |
1,42000 |
27 722,54 |
32 342,97 |
38 503,53 |
24 538,61 |
0,90000 |
1,05000 |
1,25000 |
0,80000 |
||||||||||||||||||||||||||||||||||||||||||||||||||
1,10500 |
1 |
1 |
1 |
st30.008 |
1.1.1.2.30.8 |
Операции на мужских половых органах, взрослые (уровень 3) |
2,31000 |
50 108,82 |
50 108,82 |
50 108,82 |
24 538,61 |
0,90000 |
1,05000 |
1,25000 |
0,80000 |
||||||||||||||||||||||||||||||||||||||||||||||||||
1,10500 |
1 |
1 |
1 |
st30.009 |
1.1.1.2.30.9 |
Операции на мужских половых органах, взрослые (уровень 4) |
3,12000 |
67 679,45 |
67 679,45 |
67 679,45 |
24 538,61 |
0,90000 |
1,05000 |
1,25000 |
0,80000 |
||||||||||||||||||||||||||||||||||||||||||||||||||
1,10500 |
1 |
1 |
1 |
st30.010 |
1.1.1.2.30.10 |
Операции на почке и мочевыделительной системе, взрослые (уровень 1) |
1,08000 |
21 084,75 |
24 598,88 |
29 284,38 |
24 538,61 |
0,90000 |
1,05000 |
1,25000 |
0,80000 |
||||||||||||||||||||||||||||||||||||||||||||||||||
1,10500 |
1 |
1 |
1 |
st30.011 |
1.1.1.2.30.11 |
Операции на почке и мочевыделительной системе, взрослые (уровень 2) |
1,12000 |
21 865,67 |
25 509,95 |
30 368,98 |
24 538,61 |
0,90000 |
1,05000 |
1,25000 |
0,80000 |
||||||||||||||||||||||||||||||||||||||||||||||||||
1,10500 |
1 |
1 |
1 |
st30.012 |
1.1.1.2.30.12 |
Операции на почке и мочевыделительной системе, взрослые (уровень 3) |
1,62000 |
31 627,13 |
36 898,32 |
43 926,57 |
24 538,61 |
0,90000 |
1,05000 |
1,25000 |
0,80000 |
||||||||||||||||||||||||||||||||||||||||||||||||||
1,10500 |
1 |
1 |
1 |
st30.013 |
1.1.1.2.30.13 |
Операции на почке и мочевыделительной системе, взрослые (уровень 4) |
1,95000 |
38 069,69 |
44 414,64 |
52 874,57 |
24 538,61 |
0,90000 |
1,05000 |
1,25000 |
0,80000 |
||||||||||||||||||||||||||||||||||||||||||||||||||
1,10500 |
1 |
1 |
1 |
st30.014 |
1.1.1.2.30.14 |
Операции на почке и мочевыделительной системе, взрослые (уровень 5) |
2,14000 |
41 779,04 |
48 742,22 |
58 026,45 |
24 538,61 |
0,90000 |
1,05000 |
1,25000 |
0,80000 |
||||||||||||||||||||||||||||||||||||||||||||||||||
1,10500 |
1 |
1 |
1 |
st30.015 |
1.1.1.2.30.15 |
Операции на почке и мочевыделительной системе, взрослые (уровень 6) |
4,13000 |
89 588,50 |
89 588,50 |
89 588,50 |
24 538,61 |
0,90000 |
1,05000 |
1,25000 |
0,80000 |
||||||||||||||||||||||||||||||||||||||||||||||||||
1,10500 |
1 |
1 |
1 |
st31.001 |
1.1.1.1.31.1 |
Болезни лимфатических сосудов и лимфатических узлов |
0,61000 |
11 908,98 |
13 893,81 |
16 540,25 |
24 538,61 |
0,90000 |
1,05000 |
1,25000 |
0,80000 |
||||||||||||||||||||||||||||||||||||||||||||||||||
1,10500 |
1 |
1 |
1 |
st31.002 |
1.1.1.2.31.2 |
Операции на коже, подкожной клетчатке, придатках кожи (уровень 1) |
0,55000 |
11 930,67 |
11 930,67 |
11 930,67 |
24 538,61 |
0,90000 |
1,05000 |
1,25000 |
0,80000 |
||||||||||||||||||||||||||||||||||||||||||||||||||
1,10500 |
1 |
1 |
1 |
st31.003 |
1.1.1.2.31.3 |
Операции на коже, подкожной клетчатке, придатках кожи (уровень 2) |
0,71000 |
13 861,27 |
16 171,48 |
19 251,77 |
24 538,61 |
0,90000 |
1,05000 |
1,25000 |
0,80000 |
||||||||||||||||||||||||||||||||||||||||||||||||||
1,10500 |
1 |
1 |
1 |
st31.004 |
1.1.1.2.31.4 |
Операции на коже, подкожной клетчатке, придатках кожи (уровень 3) |
1,38000 |
26 941,63 |
31 431,90 |
37 418,93 |
24 538,61 |
0,90000 |
1,05000 |
1,25000 |
0,80000 |
||||||||||||||||||||||||||||||||||||||||||||||||||
1,10500 |
1 |
1 |
1 |
st31.005 |
1.1.1.2.31.5 |
Операции на коже, подкожной клетчатке, придатках кожи (уровень 4) |
2,41000 |
47 050,23 |
54 891,94 |
65 347,55 |
24 538,61 |
0,90000 |
1,05000 |
1,25000 |
0,80000 |
||||||||||||||||||||||||||||||||||||||||||||||||||
1,10500 |
1 |
1 |
1 |
st31.006 |
1.1.1.2.31.6 |
Операции на органах кроветворения и иммунной системы (уровень 1) |
1,43000 |
27 917,77 |
32 570,74 |
38 774,68 |
24 538,61 |
0,90000 |
1,05000 |
1,25000 |
0,80000 |
||||||||||||||||||||||||||||||||||||||||||||||||||
1,10500 |
1 |
1 |
1 |
st31.007 |
1.1.1.2.31.7 |
Операции на органах кроветворения и иммунной системы (уровень 2) |
1,83000 |
35 726,94 |
41 681,43 |
49 620,75 |
24 538,61 |
0,90000 |
1,05000 |
1,25000 |
0,80000 |
||||||||||||||||||||||||||||||||||||||||||||||||||
1,10500 |
1 |
1 |
1 |
st31.008 |
1.1.1.2.31.8 |
Операции на органах кроветворения и иммунной системы (уровень 3) |
2,16000 |
42 169,50 |
49 197,75 |
58 568,75 |
24 538,61 |
0,90000 |
1,05000 |
1,25000 |
0,80000 |
||||||||||||||||||||||||||||||||||||||||||||||||||
1,10500 |
1 |
1 |
1 |
st31.009 |
1.1.1.2.31.9 |
Операции на эндокринных железах кроме гипофиза (уровень 1) |
1,81000 |
39 262,76 |
39 262,76 |
39 262,76 |
24 538,61 |
0,90000 |
1,05000 |
1,25000 |
0,80000 |
||||||||||||||||||||||||||||||||||||||||||||||||||
1,10500 |
1 |
1 |
1 |
st31.010 |
1.1.1.2.31.10 |
Операции на эндокринных железах кроме гипофиза (уровень 2) |
2,67000 |
57 917,99 |
57 917,99 |
57 917,99 |
24 538,61 |
0,90000 |
1,05000 |
1,25000 |
0,80000 |
||||||||||||||||||||||||||||||||||||||||||||||||||
1,10500 |
1 |
1 |
1 |
st31.011 |
1.1.1.1.31.11 |
Болезни молочной железы, новообразования молочной железы доброкачественные, in situ, неопределенного и неизвестного характера |
0,73000 |
14 251,73 |
16 627,02 |
19 794,07 |
24 538,61 |
0,90000 |
1,05000 |
1,25000 |
0,80000 |
||||||||||||||||||||||||||||||||||||||||||||||||||
1,10500 |
1 |
1 |
1 |
st31.012 |
1.1.1.1.31.12 |
Артрозы, другие поражения суставов, болезни мягких тканей |
0,76000 |
16 486,02 |
16 486,02 |
16 486,02 |
24 538,61 |
0,90000 |
1,05000 |
1,25000 |
0,80000 |
||||||||||||||||||||||||||||||||||||||||||||||||||
1,10500 |
1 |
1 |
1 |
st31.013 |
1.1.1.1.31.13 |
Остеомиелит (уровень 1) |
2,42000 |
47 245,46 |
55 119,71 |
65 618,70 |
24 538,61 |
0,90000 |
1,05000 |
1,25000 |
0,80000 |
||||||||||||||||||||||||||||||||||||||||||||||||||
1,10500 |
1 |
1 |
1 |
st31.014 |
1.1.1.1.31.14 |
Остеомиелит (уровень 2) |
3,51000 |
68 525,44 |
79 946,35 |
95 174,23 |
24 538,61 |
0,90000 |
1,05000 |
1,25000 |
0,80000 |
||||||||||||||||||||||||||||||||||||||||||||||||||
1,10500 |
1 |
1 |
1 |
st31.015 |
1.1.1.3.31.15 |
Остеомиелит (уровень 3) |
4,02000 |
78 482,13 |
91 562,49 |
109 002,96 |
24 538,61 |
0,90000 |
1,05000 |
1,25000 |
0,80000 |
||||||||||||||||||||||||||||||||||||||||||||||||||
1,10500 |
1 |
1 |
1 |
st31.016 |
1.1.1.1.31.16 |
Доброкачественные новообразования костно-мышечной системы и соединительной ткани |
0,84000 |
16 399,25 |
19 132,46 |
22 776,74 |
24 538,61 |
0,90000 |
1,05000 |
1,25000 |
0,80000 |
||||||||||||||||||||||||||||||||||||||||||||||||||
1,10500 |
1 |
1 |
1 |
st31.017 |
1.1.1.1.31.17 |
Доброкачественные новообразования, новообразования in situ кожи, жировой ткани и другие болезни кожи |
0,50000 |
9 761,46 |
11 388,37 |
13 557,58 |
24 538,61 |
0,90000 |
1,05000 |
1,25000 |
0,80000 |
||||||||||||||||||||||||||||||||||||||||||||||||||
1,10500 |
1 |
1 |
1 |
st31.018 |
1.1.1.1.31.18 |
Открытые раны, поверхностные, другие и неуточненные травмы |
0,37000 |
8 026,09 |
8 026,09 |
8 026,09 |
24 538,61 |
0,90000 |
1,05000 |
1,25000 |
0,80000 |
||||||||||||||||||||||||||||||||||||||||||||||||||
1,10500 |
1 |
1 |
1 |
st31.019 |
1.1.1.2.31.19 |
Операции на молочной железе (кроме злокачественных новообразований) |
1,19000 |
23 232,27 |
27 104,32 |
32 267,05 |
24 538,61 |
0,90000 |
1,05000 |
1,25000 |
0,80000 |
||||||||||||||||||||||||||||||||||||||||||||||||||
1,10500 |
1 |
1 |
1 |
st32.001 |
1.1.1.2.32.1 |
Операции на желчном пузыре и желчевыводящих путях (уровень 1) |
1,15000 |
22 451,36 |
26 193,25 |
31 182,44 |
24 538,61 |
0,90000 |
1,05000 |
1,25000 |
0,80000 |
||||||||||||||||||||||||||||||||||||||||||||||||||
1,10500 |
1 |
1 |
1 |
st32.002 |
1.1.1.2.32.2 |
Операции на желчном пузыре и желчевыводящих путях (уровень 2) |
1,43000 |
27 917,77 |
32 570,74 |
38 774,68 |
24 538,61 |
0,90000 |
1,05000 |
1,25000 |
0,80000 |
||||||||||||||||||||||||||||||||||||||||||||||||||
1,10500 |
1 |
1 |
1 |
st32.003 |
1.1.1.2.32.3 |
Операции на желчном пузыре и желчевыводящих путях (уровень 3) |
3,00000 |
58 568,75 |
68 330,21 |
81 345,49 |
24 538,61 |
0,90000 |
1,05000 |
1,25000 |
0,80000 |
||||||||||||||||||||||||||||||||||||||||||||||||||
1,10500 |
1 |
1 |
1 |
st32.004 |
1.1.1.2.32.4 |
Операции на желчном пузыре и желчевыводящих путях (уровень 4) |
4,30000 |
93 276,16 |
93 276,16 |
93 276,16 |
24 538,61 |
0,90000 |
1,05000 |
1,25000 |
0,80000 |
||||||||||||||||||||||||||||||||||||||||||||||||||
1,10500 |
1 |
1 |
1 |
st32.005 |
1.1.1.2.32.5 |
Операции на печени и поджелудочной железе (уровень 1) |
2,42000 |
47 245,46 |
55 119,71 |
65 618,70 |
24 538,61 |
0,90000 |
1,05000 |
1,25000 |
0,80000 |
||||||||||||||||||||||||||||||||||||||||||||||||||
1,10500 |
1 |
1 |
1 |
st32.006 |
1.1.1.2.32.6 |
Операции на печени и поджелудочной железе (уровень 2) |
2,69000 |
52 516,65 |
61 269,42 |
72 939,79 |
24 538,61 |
0,90000 |
1,05000 |
1,25000 |
0,80000 |
||||||||||||||||||||||||||||||||||||||||||||||||||
1,10500 |
1 |
1 |
1 |
st32.007 |
1.1.1.3.32.7 |
Панкреатит, хирургическое лечение |
4,12000 |
80 434,42 |
93 840,16 |
111 714,48 |
24 538,61 |
0,90000 |
1,05000 |
1,25000 |
0,80000 |
||||||||||||||||||||||||||||||||||||||||||||||||||
1,10500 |
1 |
1 |
1 |
st32.008 |
1.1.1.2.32.8 |
Операции на пищеводе, желудке, двенадцатиперстной кишке (уровень 1) |
1,16000 |
22 646,59 |
26 421,02 |
31 453,59 |
24 538,61 |
0,90000 |
1,05000 |
1,25000 |
0,80000 |
||||||||||||||||||||||||||||||||||||||||||||||||||
1,10500 |
1 |
1 |
1 |
st32.009 |
1.1.1.2.32.9 |
Операции на пищеводе, желудке, двенадцатиперстной кишке (уровень 2) |
1,95000 |
38 069,69 |
44 414,64 |
52 874,57 |
24 538,61 |
0,90000 |
1,05000 |
1,25000 |
0,80000 |
||||||||||||||||||||||||||||||||||||||||||||||||||
1,10500 |
1 |
1 |
1 |
st32.010 |
1.1.1.2.32.10 |
Операции на пищеводе, желудке, двенадцатиперстной кишке (уровень 3) |
2,46000 |
53 362,64 |
53 362,64 |
53 362,64 |
24 538,61 |
0,90000 |
1,05000 |
1,25000 |
0,80000 |
||||||||||||||||||||||||||||||||||||||||||||||||||
1,10500 |
1 |
1 |
1 |
st32.011 |
1.1.1.2.32.11 |
Аппендэктомия, взрослые (уровень 1) |
0,73000 |
15 835,26 |
15 835,26 |
15 835,26 |
24 538,61 |
0,90000 |
1,05000 |
1,25000 |
0,80000 |
||||||||||||||||||||||||||||||||||||||||||||||||||
1,10500 |
1 |
1 |
1 |
st32.012 |
1.1.1.2.32.12 |
Аппендэктомия, взрослые (уровень 2) |
0,91000 |
19 739,84 |
19 739,84 |
19 739,84 |
24 538,61 |
0,90000 |
1,05000 |
1,25000 |
0,80000 |
||||||||||||||||||||||||||||||||||||||||||||||||||
1,10500 |
1 |
1 |
1 |
st32.013 |
1.1.1.2.32.13 |
Операции по поводу грыж, взрослые (уровень 1) |
0,86000 |
18 655,23 |
18 655,23 |
18 655,23 |
24 538,61 |
0,90000 |
1,05000 |
1,25000 |
0,80000 |
||||||||||||||||||||||||||||||||||||||||||||||||||
1,10500 |
1 |
1 |
1 |
st32.014 |
1.1.1.2.32.14 |
Операции по поводу грыж, взрослые (уровень 2) |
1,24000 |
26 898,24 |
26 898,24 |
26 898,24 |
24 538,61 |
0,90000 |
1,05000 |
1,25000 |
0,80000 |
||||||||||||||||||||||||||||||||||||||||||||||||||
1,10500 |
1 |
1 |
1 |
st32.015 |
1.1.1.2.32.15 |
Операции по поводу грыж, взрослые (уровень 3) |
1,78000 |
38 611,99 |
38 611,99 |
38 611,99 |
24 538,61 |
0,90000 |
1,05000 |
1,25000 |
0,80000 |
||||||||||||||||||||||||||||||||||||||||||||||||||
1,10500 |
1 |
1 |
1 |
st32.016 |
1.1.1.2.32.16 |
Другие операции на органах брюшной полости (уровень 1) |
1,13000 |
22 060,90 |
25 737,71 |
30 640,14 |
24 538,61 |
0,90000 |
1,05000 |
1,25000 |
0,80000 |
||||||||||||||||||||||||||||||||||||||||||||||||||
1,10500 |
1 |
1 |
1 |
st32.017 |
1.1.1.2.32.17 |
Другие операции на органах брюшной полости (уровень 2) |
1,19000 |
23 232,27 |
27 104,32 |
32 267,05 |
24 538,61 |
0,90000 |
1,05000 |
1,25000 |
0,80000 |
||||||||||||||||||||||||||||||||||||||||||||||||||
1,10500 |
1 |
1 |
1 |
st32.018 |
1.1.1.2.32.18 |
Другие операции на органах брюшной полости (уровень 3) |
2,13000 |
41 583,82 |
48 514,45 |
57 755,30 |
24 538,61 |
0,90000 |
1,05000 |
1,25000 |
0,80000 |
||||||||||||||||||||||||||||||||||||||||||||||||||
1,10500 |
1 |
1 |
1 |
st32.019 |
1.1.1.2.32.19 |
Операции по поводу грыж, взрослые (уровень 4) |
5,60000 |
109 328,34 |
127 549,73 |
151 844,92 |
24 538,61 |
0,90000 |
1,05000 |
1,25000 |
0,80000 |
||||||||||||||||||||||||||||||||||||||||||||||||||
1,10500 |
1 |
1 |
1 |
st33.001 |
1.1.1.1.33.1 |
Отморожения (уровень 1) |
1,17000 |
22 841,81 |
26 648,78 |
31 724,74 |
24 538,61 |
0,90000 |
1,05000 |
1,25000 |
0,80000 |
||||||||||||||||||||||||||||||||||||||||||||||||||
1,10500 |
1 |
1 |
1 |
st33.002 |
1.1.1.1.33.2 |
Отморожения (уровень 2) |
2,91000 |
56 811,69 |
66 280,31 |
78 905,13 |
24 538,61 |
0,90000 |
1,05000 |
1,25000 |
0,80000 |
||||||||||||||||||||||||||||||||||||||||||||||||||
1,10500 |
1 |
1 |
1 |
st33.003 |
1.1.1.1.33.3 |
Ожоги (уровень 1) |
1,21000 |
23 622,73 |
27 559,85 |
32 809,35 |
24 538,61 |
0,90000 |
1,05000 |
1,25000 |
0,80000 |
||||||||||||||||||||||||||||||||||||||||||||||||||
1,10500 |
1 |
1 |
1 |
st33.004 |
1.1.1.1.33.4 |
Ожоги (уровень 2) |
2,03000 |
39 631,52 |
46 236,78 |
55 043,78 |
24 538,61 |
0,90000 |
1,05000 |
1,25000 |
0,80000 |
||||||||||||||||||||||||||||||||||||||||||||||||||
1,10500 |
1 |
1 |
1 |
st33.005 |
1.1.1.1.33.5 |
Ожоги (уровень 3) |
3,54000 |
69 111,13 |
80 629,65 |
95 987,68 |
24 538,61 |
0,90000 |
1,05000 |
1,25000 |
0,80000 |
||||||||||||||||||||||||||||||||||||||||||||||||||
1,10500 |
1 |
1 |
1 |
st33.006 |
1.1.1.1.33.6 |
Ожоги (уровень 4) |
5,20000 |
101 519,17 |
118 439,04 |
140 998,85 |
24 538,61 |
0,90000 |
1,05000 |
1,25000 |
0,80000 |
||||||||||||||||||||||||||||||||||||||||||||||||||
1,10500 |
1 |
1 |
1 |
st33.007 |
1.1.1.1.33.7 |
Ожоги (уровень 5) |
11,11000 |
216 899,62 |
253 049,56 |
301 249,47 |
24 538,61 |
0,90000 |
1,05000 |
1,25000 |
0,80000 |
||||||||||||||||||||||||||||||||||||||||||||||||||
1,10500 |
1 |
1 |
1 |
st33.008 |
1.1.1.1.33.8 |
Ожоги (уровень 4,5) с синдромом органной дисфункции |
14,07000 |
274 687,46 |
320 468,70 |
381 510,36 |
24 538,61 |
0,90000 |
1,05000 |
1,25000 |
0,80000 |
||||||||||||||||||||||||||||||||||||||||||||||||||
1,10500 |
1 |
1 |
1 |
st34.001 |
1.1.1.1.34.1 |
Болезни полости рта, слюнных желез и челюстей, врожденные аномалии лица и шеи, взрослые |
0,89000 |
17 375,40 |
20 271,30 |
24 132,50 |
24 538,61 |
0,90000 |
1,05000 |
1,25000 |
0,80000 |
||||||||||||||||||||||||||||||||||||||||||||||||||
1,10500 |
1 |
1 |
1 |
st34.002 |
1.1.1.2.34.2 |
Операции на органах полости рта (уровень 1) |
0,74000 |
14 446,96 |
16 854,79 |
20 065,22 |
24 538,61 |
0,90000 |
1,05000 |
1,25000 |
0,80000 |
||||||||||||||||||||||||||||||||||||||||||||||||||
1,10500 |
1 |
1 |
1 |
st34.003 |
1.1.1.2.34.3 |
Операции на органах полости рта (уровень 2) |
1,27000 |
24 794,11 |
28 926,46 |
34 436,26 |
24 538,61 |
0,90000 |
1,05000 |
1,25000 |
0,80000 |
||||||||||||||||||||||||||||||||||||||||||||||||||
1,10500 |
1 |
1 |
1 |
st34.004 |
1.1.1.2.34.4 |
Операции на органах полости рта (уровень 3) |
1,63000 |
31 822,36 |
37 126,08 |
44 197,72 |
24 538,61 |
0,90000 |
1,05000 |
1,25000 |
0,80000 |
||||||||||||||||||||||||||||||||||||||||||||||||||
1,10500 |
1 |
1 |
1 |
st34.005 |
1.1.1.2.34.5 |
Операции на органах полости рта (уровень 4) |
1,90000 |
37 093,54 |
43 275,80 |
51 518,81 |
24 538,61 |
0,90000 |
1,05000 |
1,25000 |
0,80000 |
||||||||||||||||||||||||||||||||||||||||||||||||||
1,10500 |
1 |
1 |
1 |
st35.001 |
1.1.1.1.35.1 |
Сахарный диабет, взрослые (уровень 1) |
1,02000 |
19 913,38 |
23 232,27 |
27 657,47 |
24 538,61 |
0,90000 |
1,05000 |
1,25000 |
0,80000 |
||||||||||||||||||||||||||||||||||||||||||||||||||
1,10500 |
1 |
1 |
1 |
st35.002 |
1.1.1.1.35.2 |
Сахарный диабет, взрослые (уровень 2) |
1,49000 |
29 089,15 |
33 937,34 |
40 401,59 |
24 538,61 |
0,90000 |
1,05000 |
1,25000 |
0,80000 |
||||||||||||||||||||||||||||||||||||||||||||||||||
1,10500 |
1 |
1 |
1 |
st35.003 |
1.1.1.1.35.3 |
Заболевания гипофиза, взрослые |
2,14000 |
41 779,04 |
48 742,22 |
58 026,45 |
24 538,61 |
0,90000 |
1,05000 |
1,25000 |
0,80000 |
||||||||||||||||||||||||||||||||||||||||||||||||||
1,10500 |
1 |
1 |
1 |
st35.004 |
1.1.1.1.35.4 |
Другие болезни эндокринной системы, взрослые (уровень 1) |
1,25000 |
24 403,65 |
28 470,92 |
33 893,96 |
24 538,61 |
0,90000 |
1,05000 |
1,25000 |
0,80000 |
||||||||||||||||||||||||||||||||||||||||||||||||||
1,10500 |
1 |
1 |
1 |
st35.005 |
1.1.1.1.35.5 |
Другие болезни эндокринной системы, взрослые (уровень 2) |
2,76000 |
53 883,25 |
62 863,80 |
74 837,85 |
24 538,61 |
0,90000 |
1,05000 |
1,25000 |
0,80000 |
||||||||||||||||||||||||||||||||||||||||||||||||||
1,10500 |
1 |
1 |
1 |
st35.006 |
1.1.1.1.35.6 |
Новообразования эндокринных желез доброкачественные, in situ, неопределенного и неизвестного характера |
0,76000 |
14 837,42 |
17 310,32 |
20 607,52 |
24 538,61 |
0,90000 |
1,05000 |
1,25000 |
0,80000 |
||||||||||||||||||||||||||||||||||||||||||||||||||
1,10500 |
1 |
1 |
1 |
st35.007 |
1.1.1.1.35.7 |
Расстройства питания |
1,06000 |
20 694,29 |
24 143,34 |
28 742,07 |
24 538,61 |
0,90000 |
1,05000 |
1,25000 |
0,80000 |
||||||||||||||||||||||||||||||||||||||||||||||||||
1,10500 |
1 |
1 |
1 |
st35.008 |
1.1.1.1.35.8 |
Другие нарушения обмена веществ |
1,16000 |
22 646,59 |
26 421,02 |
31 453,59 |
24 538,61 |
0,90000 |
1,05000 |
1,25000 |
0,80000 |
||||||||||||||||||||||||||||||||||||||||||||||||||
1,10500 |
1 |
1 |
1 |
st35.009 |
1.1.1.1.35.9 |
Кистозный фиброз |
3,32000 |
64 816,09 |
75 618,77 |
90 022,34 |
24 538,61 |
0,90000 |
1,05000 |
1,25000 |
0,80000 |
||||||||||||||||||||||||||||||||||||||||||||||||||
1,10500 |
1 |
1 |
1 |
st36.001 |
1.1.1.3.36.1 |
Комплексное лечение с применением препаратов иммуноглобулина |
4,32000 |
93 710,01 |
93 710,01 |
93 710,01 |
24 538,61 |
0,90000 |
1,05000 |
1,25000 |
0,80000 |
||||||||||||||||||||||||||||||||||||||||||||||||||
1,10500 |
1 |
1 |
1 |
st36.002 |
1.1.1.1.36.2 |
Редкие генетические заболевания |
3,50000 |
68 330,21 |
79 718,58 |
94 903,07 |
24 538,61 |
0,90000 |
1,05000 |
1,25000 |
0,80000 |
||||||||||||||||||||||||||||||||||||||||||||||||||
1,10500 |
1 |
1 |
1 |
st36.004 |
1.1.1.1.36.4 |
Факторы, влияющие на состояние здоровья населения и обращения в учреждения здравоохранения |
0,32000 |
6 247,33 |
7 288,56 |
8 676,85 |
24 538,61 |
0,90000 |
1,05000 |
1,25000 |
0,80000 |
||||||||||||||||||||||||||||||||||||||||||||||||||
1,10500 |
1 |
1 |
1 |
st36.005 |
1.1.1.1.36.5 |
Госпитализация в диагностических целях с постановкой диагноза туберкулеза, ВИЧ-инфекции, психического заболевания |
0,46000 |
8 980,54 |
10 477,30 |
12 472,98 |
24 538,61 |
0,90000 |
1,05000 |
1,25000 |
0,80000 |
||||||||||||||||||||||||||||||||||||||||||||||||||
1,10500 |
1 |
1 |
1 |
st36.006 |
1.1.1.1.36.6 |
Отторжение, отмирание трансплантата органов и тканей |
8,40000 |
163 992,51 |
191 324,60 |
227 767,38 |
24 538,61 |
0,90000 |
1,05000 |
1,25000 |
0,80000 |
||||||||||||||||||||||||||||||||||||||||||||||||||
1,10500 |
1 |
1 |
1 |
st36.007 |
1.1.1.2.36.7 |
Установка, замена, заправка помп для лекарственных препаратов |
2,32000 |
50 325,74 |
50 325,74 |
50 325,74 |
24 538,61 |
0,90000 |
1,05000 |
1,25000 |
0,80000 |
||||||||||||||||||||||||||||||||||||||||||||||||||
1,10500 |
1 |
1 |
1 |
st36.008 |
1.1.1.3.36.8 |
Интенсивная терапия пациентов с нейрогенными нарушениями жизненно важных функций, нуждающихся в их длительном искусственном замещении |
18,15000 |
354 340,96 |
413 397,79 |
492 140,23 |
24 538,61 |
0,90000 |
1,05000 |
1,25000 |
0,80000 |
||||||||||||||||||||||||||||||||||||||||||||||||||
1,10500 |
1 |
1 |
1 |
st36.009 |
1.1.1.1.36.9 |
Реинфузия аутокрови |
2,05000 |
44 468,87 |
44 468,87 |
44 468,87 |
24 538,61 |
0,90000 |
1,05000 |
1,25000 |
0,80000 |
||||||||||||||||||||||||||||||||||||||||||||||||||
1,10500 |
1 |
1 |
1 |
st36.010 |
1.1.1.2.36.10 |
Баллонная внутриаортальная контрпульсация |
7,81000 |
169 415,54 |
169 415,54 |
169 415,54 |
24 538,61 |
0,90000 |
1,05000 |
1,25000 |
0,80000 |
||||||||||||||||||||||||||||||||||||||||||||||||||
1,10500 |
1 |
1 |
1 |
st36.011 |
1.1.1.1.36.11 |
Экстракорпоральная мембранная оксигенация |
15,57000 |
337 746,48 |
337 746,48 |
337 746,48 |
24 538,61 |
0,90000 |
1,05000 |
1,25000 |
0,80000 |
||||||||||||||||||||||||||||||||||||||||||||||||||
1,10500 |
1 |
1 |
1 |
st36.012 |
1.1.1.1.36.12 |
Злокачественное новообразование без специального противоопухолевого лечения |
0,50000 |
9 761,46 |
11 388,37 |
13 557,58 |
24 538,61 |
0,90000 |
1,05000 |
1,25000 |
0,80000 |
||||||||||||||||||||||||||||||||||||||||||||||||||
1,10500 |
1 |
1 |
1 |
st36.013 |
1.1.1.1.36.13 |
Проведение антимикробной терапии инфекций, вызванных полирезистентными микроорганизмами (уровень 1) |
1,61000 |
39 507,16 |
39 507,16 |
39 507,16 |
24 538,61 |
0,90000 |
1,05000 |
1,25000 |
0,80000 |
||||||||||||||||||||||||||||||||||||||||||||||||||
1,10500 |
1 |
1 |
1 |
st36.014 |
1.1.1.1.36.14 |
Проведение антимикробной терапии инфекций, вызванных полирезистентными микроорганизмами (уровень 2) |
3,89000 |
95 455,19 |
95 455,19 |
95 455,19 |
24 538,61 |
0,90000 |
1,05000 |
1,25000 |
0,80000 |
||||||||||||||||||||||||||||||||||||||||||||||||||
1,10500 |
1 |
1 |
1 |
st36.015 |
1.1.1.1.36.15 |
Проведение антимикробной терапии инфекций, вызванных полирезистентными микроорганизмами (уровень 3) |
10,54000 |
258 636,95 |
258 636,95 |
258 636,95 |
24 538,61 |
0,90000 |
1,05000 |
1,25000 |
0,80000 |
||||||||||||||||||||||||||||||||||||||||||||||||||
1,10500 |
1 |
1 |
1 |
st36.016 |
1.1.1.1.36.16 |
Проведение иммунизации против респираторно-синцитиальной вирусной инфекции |
2,61000 |
62 919,95 |
63 650,30 |
64 624,11 |
24 538,61 |
0,90000 |
1,05000 |
1,25000 |
0,80000 |
||||||||||||||||||||||||||||||||||||||||||||||||||
1,10500 |
1 |
1 |
1 |
st36.017 |
1.1.1.1.36.17 |
Лечение с применением генно-инженерных биологических препаратов и селективных иммунодепрессантов (уровень 1) |
1,04000 |
24 552,72 |
24 552,72 |
24 552,72 |
24 538,61 |
0,90000 |
1,05000 |
1,25000 |
0,80000 |
||||||||||||||||||||||||||||||||||||||||||||||||||
1,10500 |
1 |
1 |
1 |
st36.018 |
1.1.1.1.36.18 |
Лечение с применением генно-инженерных биологических препаратов и селективных иммунодепрессантов (уровень 2) |
2,14000 |
51 366,21 |
51 366,21 |
51 366,21 |
24 538,61 |
0,90000 |
1,05000 |
1,25000 |
0,80000 |
||||||||||||||||||||||||||||||||||||||||||||||||||
1,10500 |
1 |
1 |
1 |
st36.019 |
1.1.1.1.36.19 |
Лечение с применением генно-инженерных биологических препаратов и селективных иммунодепрессантов (уровень 3) |
6,31000 |
153 760,95 |
153 760,95 |
153 760,95 |
24 538,61 |
0,90000 |
1,05000 |
1,25000 |
0,80000 |
||||||||||||||||||||||||||||||||||||||||||||||||||
1,10500 |
1 |
1 |
1 |
st37.001 |
1.1.1.4.37.1 |
Медицинская реабилитация пациентов с заболеваниями центральной нервной системы (3 балла по ШРМ) |
1,53000 |
29 870,06 |
34 848,41 |
41 486,20 |
24 538,61 |
0,90000 |
1,05000 |
1,25000 |
0,80000 |
||||||||||||||||||||||||||||||||||||||||||||||||||
1,10500 |
1 |
1 |
1 |
st37.002 |
1.1.1.4.37.2 |
Медицинская реабилитация пациентов с заболеваниями центральной нервной системы (4 балла по ШРМ) |
2,04000 |
39 826,75 |
46 464,55 |
55 314,93 |
24 538,61 |
0,90000 |
1,05000 |
1,25000 |
0,80000 |
||||||||||||||||||||||||||||||||||||||||||||||||||
1,10500 |
1 |
1 |
1 |
st37.003 |
1.1.1.4.37.3 |
Медицинская реабилитация пациентов с заболеваниями центральной нервной системы (5 баллов по ШРМ) |
3,34000 |
65 206,55 |
76 074,30 |
90 564,65 |
24 538,61 |
0,90000 |
1,05000 |
1,25000 |
0,80000 |
||||||||||||||||||||||||||||||||||||||||||||||||||
1,10500 |
1 |
1 |
1 |
st37.004 |
1.1.1.4.37.4 |
Медицинская реабилитация пациентов с заболеваниями центральной нервной системы (6 баллов по ШРМ) |
8,60000 |
186 552,33 |
186 552,33 |
186 552,33 |
24 538,61 |
0,90000 |
1,05000 |
1,25000 |
0,80000 |
||||||||||||||||||||||||||||||||||||||||||||||||||
1,10500 |
1 |
1 |
1 |
st37.005 |
1.1.1.4.37.5 |
Медицинская реабилитация пациентов с заболеваниями опорно-двигательного аппарата и периферической нервной системы (3 балла по ШРМ) |
1,24000 |
24 208,42 |
28 243,15 |
33 622,80 |
24 538,61 |
0,90000 |
1,05000 |
1,25000 |
0,80000 |
||||||||||||||||||||||||||||||||||||||||||||||||||
1,10500 |
1 |
1 |
1 |
st37.006 |
1.1.1.4.37.6 |
Медицинская реабилитация пациентов с заболеваниями опорно-двигательного аппарата и периферической нервной системы (4 балла по ШРМ) |
1,67000 |
32 603,27 |
38 037,15 |
45 282,32 |
24 538,61 |
0,90000 |
1,05000 |
1,25000 |
0,80000 |
||||||||||||||||||||||||||||||||||||||||||||||||||
1,10500 |
1 |
1 |
1 |
st37.007 |
1.1.1.4.37.7 |
Медицинская реабилитация пациентов с заболеваниями опорно-двигательного аппарата и периферической нервной системы (5 баллов по ШРМ) |
3,03000 |
59 154,44 |
69 013,52 |
82 158,95 |
24 538,61 |
0,90000 |
1,05000 |
1,25000 |
0,80000 |
||||||||||||||||||||||||||||||||||||||||||||||||||
1,10500 |
1 |
1 |
1 |
st37.008 |
1.1.1.4.37.8 |
Медицинская кардиореабилитация (3 балла по ШРМ) |
1,02000 |
19 913,38 |
23 232,27 |
27 657,47 |
24 538,61 |
0,90000 |
1,05000 |
1,25000 |
0,80000 |
||||||||||||||||||||||||||||||||||||||||||||||||||
1,10500 |
1 |
1 |
1 |
st37.009 |
1.1.1.4.37.9 |
Медицинская кардиореабилитация (4 балла по ШРМ) |
1,38000 |
26 941,63 |
31 431,90 |
37 418,93 |
24 538,61 |
0,90000 |
1,05000 |
1,25000 |
0,80000 |
||||||||||||||||||||||||||||||||||||||||||||||||||
1,10500 |
1 |
1 |
1 |
st37.010 |
1.1.1.4.37.10 |
Медицинская кардиореабилитация (5 баллов по ШРМ) |
2,00000 |
39 045,84 |
45 553,48 |
54 230,33 |
24 538,61 |
0,90000 |
1,05000 |
1,25000 |
0,80000 |
||||||||||||||||||||||||||||||||||||||||||||||||||
1,10500 |
1 |
1 |
1 |
st37.011 |
1.1.1.4.37.11 |
Медицинская реабилитация при других соматических заболеваниях (3 балла по ШРМ) |
0,59000 |
11 518,52 |
13 438,28 |
15 997,95 |
24 538,61 |
0,90000 |
1,05000 |
1,25000 |
0,80000 |
||||||||||||||||||||||||||||||||||||||||||||||||||
1,10500 |
1 |
1 |
1 |
st37.012 |
1.1.1.4.37.12 |
Медицинская реабилитация при других соматических заболеваниях (4 балла по ШРМ) |
0,84000 |
16 399,25 |
19 132,46 |
22 776,74 |
24 538,61 |
0,90000 |
1,05000 |
1,25000 |
0,80000 |
||||||||||||||||||||||||||||||||||||||||||||||||||
1,10500 |
1 |
1 |
1 |
st37.013 |
1.1.1.4.37.13 |
Медицинская реабилитация при других соматических заболеваниях (5 баллов по ШРМ) |
1,17000 |
22 841,81 |
26 648,78 |
31 724,74 |
24 538,61 |
0,90000 |
1,05000 |
1,25000 |
0,80000 |
||||||||||||||||||||||||||||||||||||||||||||||||||
1,10500 |
1 |
1 |
1 |
st37.014 |
1.1.1.4.37.14 |
Медицинская реабилитация детей, перенесших заболевания перинатального периода |
1,50000 |
29 284,38 |
34 165,11 |
40 672,75 |
24 538,61 |
0,90000 |
1,05000 |
1,25000 |
0,80000 |
||||||||||||||||||||||||||||||||||||||||||||||||||
1,10500 |
1 |
1 |
1 |
st37.015 |
1.1.1.4.37.15 |
Медицинская реабилитация детей с нарушениями слуха без замены речевого процессора системы кохлеарной имплантации |
1,80000 |
35 141,25 |
40 998,13 |
48 807,30 |
24 538,61 |
0,90000 |
1,05000 |
1,25000 |
0,80000 |
||||||||||||||||||||||||||||||||||||||||||||||||||
1,10500 |
1 |
1 |
1 |
st37.016 |
1.1.1.4.37.16 |
Медицинская реабилитация детей с онкологическими, гематологическими и иммунологическими заболеваниями в тяжелых формах продолжительного течения |
4,81000 |
93 905,24 |
109 556,11 |
130 423,94 |
24 538,61 |
0,90000 |
1,05000 |
1,25000 |
0,80000 |
||||||||||||||||||||||||||||||||||||||||||||||||||
1,10500 |
1 |
1 |
1 |
st37.017 |
1.1.1.4.37.17 |
Медицинская реабилитация детей с поражениями центральной нервной системы |
2,75000 |
53 688,02 |
62 636,03 |
74 566,70 |
24 538,61 |
0,90000 |
1,05000 |
1,25000 |
0,80000 |
||||||||||||||||||||||||||||||||||||||||||||||||||
1,10500 |
1 |
1 |
1 |
st37.018 |
1.1.1.4.37.18 |
Медицинская реабилитация детей, после хирургической коррекции врожденных пороков развития органов и систем |
2,35000 |
45 878,86 |
53 525,33 |
63 720,64 |
24 538,61 |
0,90000 |
1,05000 |
1,25000 |
0,80000 |
||||||||||||||||||||||||||||||||||||||||||||||||||
1,10500 |
1 |
1 |
1 |
st37.019 |
1.1.1.4.37.19 |
Медицинская реабилитация после онкоортопедических операций |
1,44000 |
28 113,00 |
32 798,50 |
39 045,84 |
24 538,61 |
0,90000 |
1,05000 |
1,25000 |
0,80000 |
||||||||||||||||||||||||||||||||||||||||||||||||||
1,10500 |
1 |
1 |
1 |
st37.020 |
1.1.1.4.37.20 |
Медицинская реабилитация по поводу постмастэктомического синдрома в онкологии |
1,24000 |
24 208,42 |
28 243,15 |
33 622,80 |
24 538,61 |
0,90000 |
1,05000 |
1,25000 |
0,80000 |
||||||||||||||||||||||||||||||||||||||||||||||||||
1,10500 |
1 |
1 |
1 |
st37.021 |
1.1.1.4.37.21 |
Медицинская реабилитация после перенесенной коронавирусной инфекции COVID-19 (3 балла по ШРМ) |
1,08000 |
21 084,75 |
24 598,88 |
29 284,38 |
24 538,61 |
0,90000 |
1,05000 |
1,25000 |
0,80000 |
||||||||||||||||||||||||||||||||||||||||||||||||||
1,10500 |
1 |
1 |
1 |
st37.022 |
1.1.1.4.37.22 |
Медицинская реабилитация после перенесенной коронавирусной инфекции COVID-19 (4 балла по ШРМ) |
1,61000 |
31 431,90 |
36 670,55 |
43 655,41 |
24 538,61 |
0,90000 |
1,05000 |
1,25000 |
0,80000 |
||||||||||||||||||||||||||||||||||||||||||||||||||
1,10500 |
1 |
1 |
1 |
st37.023 |
1.1.1.4.37.23 |
Медицинская реабилитация после перенесенной коронавирусной инфекции COVID-19 (5 баллов по ШРМ) |
2,15000 |
41 974,27 |
48 969,99 |
58 297,60 |
24 538,61 |
0,90000 |
1,05000 |
1,25000 |
0,80000 |
||||||||||||||||||||||||||||||||||||||||||||||||||
1,10500 |
1 |
1 |
1 |
st38.001 |
1.1.1.1.38.1 |
Соматические заболевания, осложненные старческой астенией |
1,50000 |
29 284,38 |
34 165,11 |
40 672,75 |
24 538,61 |
0,90000 |
1,05000 |
1,25000 |
0,80000 |
||||||||||||||||||||||||||||||||||||||||||||||||||
1,10500 |
1 |
1 |
2 |
ds02.001 |
1.1.2.1.2.1 |
Осложнения беременности, родов, послеродового периода |
0,83000 |
11 884,71 |
11 884,71 |
11 884,71 |
14 039,33 |
1,00000 |
1,00000 |
1,00000 |
0,92300 |
||||||||||||||||||||||||||||||||||||||||||||||||||
1,10500 |
1 |
1 |
2 |
ds02.002 |
1.1.2.1.2.2 |
Болезни женских половых органов |
0,66000 |
9 450,49 |
9 450,49 |
9 450,49 |
14 039,33 |
1,00000 |
1,00000 |
1,00000 |
0,92300 |
||||||||||||||||||||||||||||||||||||||||||||||||||
1,10500 |
1 |
1 |
2 |
ds02.003 |
1.1.2.2.2.3 |
Операции на женских половых органах (уровень 1) |
0,71000 |
10 166,44 |
10 166,44 |
10 166,44 |
14 039,33 |
1,00000 |
1,00000 |
1,00000 |
0,92300 |
||||||||||||||||||||||||||||||||||||||||||||||||||
1,10500 |
1 |
1 |
2 |
ds02.004 |
1.1.2.2.2.4 |
Операции на женских половых органах (уровень 2) |
1,06000 |
15 178,06 |
15 178,06 |
15 178,06 |
14 039,33 |
1,00000 |
1,00000 |
1,00000 |
0,92300 |
||||||||||||||||||||||||||||||||||||||||||||||||||
1,10500 |
1 |
1 |
2 |
ds02.006 |
1.1.2.2.2.6 |
Искусственное прерывание беременности (аборт) |
0,33000 |
4 725,24 |
4 725,24 |
4 725,24 |
14 039,33 |
1,00000 |
1,00000 |
1,00000 |
0,92300 |
||||||||||||||||||||||||||||||||||||||||||||||||||
1,10500 |
1 |
1 |
2 |
ds02.007 |
1.1.2.2.2.7 |
Аборт медикаментозный* |
0,38000 |
5 441,19 |
5 441,19 |
5 441,19 |
14 039,33 |
1,00000 |
1,00000 |
1,00000 |
0,92300 |
||||||||||||||||||||||||||||||||||||||||||||||||||
1,10500 |
1 |
1 |
2 |
ds02.008 |
1.1.2.2.2.8 |
Экстракорпоральное оплодотворение (уровень 1) |
1,70000 |
26 372,88 |
26 372,88 |
26 372,88 |
14 039,33 |
1,00000 |
1,00000 |
1,00000 |
1,00000 |
||||||||||||||||||||||||||||||||||||||||||||||||||
1,10500 |
1 |
1 |
2 |
ds02.009 |
1.1.2.2.2.9 |
Экстракорпоральное оплодотворение (уровень 2) |
5,38000 |
83 462,41 |
83 462,41 |
83 462,41 |
14 039,33 |
1,00000 |
1,00000 |
1,00000 |
1,00000 |
||||||||||||||||||||||||||||||||||||||||||||||||||
1,10500 |
1 |
1 |
2 |
ds02.010 |
1.1.2.2.2.10 |
Экстракорпоральное оплодотворение (уровень 3) |
8,96000 |
139 000,60 |
139 000,60 |
139 000,60 |
14 039,33 |
1,00000 |
1,00000 |
1,00000 |
1,00000 |
||||||||||||||||||||||||||||||||||||||||||||||||||
1,10500 |
1 |
1 |
2 |
ds02.011 |
1.1.2.2.2.11 |
Экстракорпоральное оплодотворение (уровень 4) |
9,86000 |
152 962,71 |
152 962,71 |
152 962,71 |
14 039,33 |
1,00000 |
1,00000 |
1,00000 |
1,00000 |
||||||||||||||||||||||||||||||||||||||||||||||||||
1,10500 |
1 |
1 |
2 |
ds03.001 |
1.1.2.1.3.1 |
Нарушения с вовлечением иммунного механизма |
0,98000 |
14 032,54 |
14 032,54 |
14 032,54 |
14 039,33 |
1,00000 |
1,00000 |
1,00000 |
0,92300 |
||||||||||||||||||||||||||||||||||||||||||||||||||
1,10500 |
1 |
1 |
2 |
ds04.001 |
1.1.2.1.4.1 |
Болезни органов пищеварения, взрослые |
0,89000 |
12 743,84 |
12 743,84 |
12 743,84 |
14 039,33 |
1,00000 |
1,00000 |
1,00000 |
0,92300 |
||||||||||||||||||||||||||||||||||||||||||||||||||
1,10500 |
1 |
1 |
2 |
ds05.001 |
1.1.2.1.5.1 |
Болезни крови (уровень 1) |
0,91000 |
13 030,22 |
13 030,22 |
13 030,22 |
14 039,33 |
1,00000 |
1,00000 |
1,00000 |
0,92300 |
||||||||||||||||||||||||||||||||||||||||||||||||||
1,10500 |
1 |
1 |
2 |
ds05.002 |
1.1.2.1.5.2 |
Болезни крови (уровень 2) |
2,41000 |
34 508,61 |
34 508,61 |
34 508,61 |
14 039,33 |
1,00000 |
1,00000 |
1,00000 |
0,92300 |
||||||||||||||||||||||||||||||||||||||||||||||||||
1,10500 |
1 |
1 |
2 |
ds05.005 |
1.1.2.3.5.5 |
Лекарственная терапия при доброкачественных заболеваниях крови и пузырном заносе |
3,73000 |
53 409,58 |
53 409,58 |
53 409,58 |
14 039,33 |
1,00000 |
1,00000 |
1,00000 |
0,92300 |
||||||||||||||||||||||||||||||||||||||||||||||||||
1,10500 |
1 |
1 |
2 |
ds06.002 |
1.1.2.1.6.2 |
Лечение дерматозов с применением наружной терапии |
0,35000 |
5 009,12 |
5 009,12 |
5 009,12 |
14 039,33 |
1,00000 |
1,00000 |
1,00000 |
0,92300 |
||||||||||||||||||||||||||||||||||||||||||||||||||
1,10500 |
1 |
1 |
2 |
ds06.003 |
1.1.2.1.6.3 |
Лечение дерматозов с применением наружной терапии, физиотерапии, плазмофереза |
0,97000 |
13 879,32 |
13 879,32 |
13 879,32 |
14 039,33 |
1,00000 |
1,00000 |
1,00000 |
0,92300 |
||||||||||||||||||||||||||||||||||||||||||||||||||
1,10500 |
1 |
1 |
2 |
ds06.004 |
1.1.2.1.6.4 |
Лечение дерматозов с применением наружной и системной терапии |
0,97000 |
13 884,66 |
13 884,66 |
13 884,66 |
14 039,33 |
1,00000 |
1,00000 |
1,00000 |
0,92300 |
||||||||||||||||||||||||||||||||||||||||||||||||||
1,10500 |
1 |
1 |
2 |
ds06.005 |
1.1.2.1.6.5 |
Лечение дерматозов с применением наружной и фототерапии |
1,95000 |
27 912,09 |
27 912,09 |
27 912,09 |
14 039,33 |
1,00000 |
1,00000 |
1,00000 |
0,92300 |
||||||||||||||||||||||||||||||||||||||||||||||||||
1,10500 |
1 |
1 |
2 |
ds07.001 |
1.1.2.1.7.1 |
Болезни системы кровообращения, дети |
0,98000 |
14 032,54 |
14 032,54 |
14 032,54 |
14 039,33 |
1,00000 |
1,00000 |
1,00000 |
0,92300 |
||||||||||||||||||||||||||||||||||||||||||||||||||
1,10500 |
1 |
1 |
2 |
ds08.001 |
1.1.2.3.8.1 |
Лекарственная терапия при злокачественных новообразованиях других локализаций (кроме лимфоидной и кроветворной тканей), дети |
7,95000 |
123 332,00 |
123 332,00 |
123 332,00 |
14 039,33 |
1,00000 |
1,00000 |
1,00000 |
1,00000 |
||||||||||||||||||||||||||||||||||||||||||||||||||
1,10500 |
1 |
1 |
2 |
ds08.002 |
1.1.2.3.8.2 |
Лекарственная терапия при остром лейкозе, дети |
14,23000 |
220 756,53 |
220 756,53 |
220 756,53 |
14 039,33 |
1,00000 |
1,00000 |
1,00000 |
1,00000 |
||||||||||||||||||||||||||||||||||||||||||||||||||
1,10500 |
1 |
1 |
2 |
ds08.003 |
1.1.2.3.8.3 |
Лекарственная терапия при других злокачественных новообразованиях лимфоидной и кроветворной тканей, дети |
10,34000 |
160 409,17 |
160 409,17 |
160 409,17 |
14 039,33 |
1,00000 |
1,00000 |
1,00000 |
1,00000 |
||||||||||||||||||||||||||||||||||||||||||||||||||
1,10500 |
1 |
1 |
2 |
ds09.001 |
1.1.2.2.9.1 |
Операции на мужских половых органах, дети |
1,38000 |
19 760,11 |
19 760,11 |
19 760,11 |
14 039,33 |
1,00000 |
1,00000 |
1,00000 |
0,92300 |
||||||||||||||||||||||||||||||||||||||||||||||||||
1,10500 |
1 |
1 |
2 |
ds09.002 |
1.1.2.2.9.2 |
Операции на почке и мочевыделительной системе, дети |
2,09000 |
29 926,55 |
29 926,55 |
29 926,55 |
14 039,33 |
1,00000 |
1,00000 |
1,00000 |
0,92300 |
||||||||||||||||||||||||||||||||||||||||||||||||||
1,10500 |
1 |
1 |
2 |
ds10.001 |
1.1.2.2.10.1 |
Операции по поводу грыж, дети |
1,60000 |
22 910,28 |
22 910,28 |
22 910,28 |
14 039,33 |
1,00000 |
1,00000 |
1,00000 |
0,92300 |
||||||||||||||||||||||||||||||||||||||||||||||||||
1,10500 |
1 |
1 |
2 |
ds11.001 |
1.1.2.1.11.1 |
Сахарный диабет, дети |
1,49000 |
21 335,20 |
21 335,20 |
21 335,20 |
14 039,33 |
1,00000 |
1,00000 |
1,00000 |
0,92300 |
||||||||||||||||||||||||||||||||||||||||||||||||||
1,10500 |
1 |
1 |
2 |
ds11.002 |
1.1.2.1.11.2 |
Другие болезни эндокринной системы, дети |
1,36000 |
19 473,74 |
19 473,74 |
19 473,74 |
14 039,33 |
1,00000 |
1,00000 |
1,00000 |
0,92300 |
||||||||||||||||||||||||||||||||||||||||||||||||||
1,10500 |
1 |
1 |
2 |
ds12.001 |
1.1.2.3.12.1 |
Вирусный гепатит B хронический, лекарственная терапия |
2,75000 |
39 377,04 |
39 377,04 |
39 377,04 |
14 039,33 |
1,00000 |
1,00000 |
1,00000 |
0,92300 |
||||||||||||||||||||||||||||||||||||||||||||||||||
1,10500 |
1 |
1 |
2 |
ds12.005 |
1.1.2.1.12.5 |
Другие вирусные гепатиты |
0,97000 |
13 889,36 |
13 889,36 |
13 889,36 |
14 039,33 |
1,00000 |
1,00000 |
1,00000 |
0,92300 |
||||||||||||||||||||||||||||||||||||||||||||||||||
1,10500 |
1 |
1 |
2 |
ds12.006 |
1.1.2.1.12.6 |
Инфекционные и паразитарные болезни, взрослые |
1,16000 |
16 609,95 |
16 609,95 |
16 609,95 |
14 039,33 |
1,00000 |
1,00000 |
1,00000 |
0,92300 |
||||||||||||||||||||||||||||||||||||||||||||||||||
1,10500 |
1 |
1 |
2 |
ds12.007 |
1.1.2.1.12.7 |
Инфекционные и паразитарные болезни, дети |
0,97000 |
13 889,36 |
13 889,36 |
13 889,36 |
14 039,33 |
1,00000 |
1,00000 |
1,00000 |
0,92300 |
||||||||||||||||||||||||||||||||||||||||||||||||||
1,10500 |
1 |
1 |
2 |
ds12.008 |
1.1.2.1.12.8 |
Респираторные инфекции верхних дыхательных путей, взрослые |
0,52000 |
7 445,84 |
7 445,84 |
7 445,84 |
14 039,33 |
1,00000 |
1,00000 |
1,00000 |
0,92300 |
||||||||||||||||||||||||||||||||||||||||||||||||||
1,10500 |
1 |
1 |
2 |
ds12.009 |
1.1.2.1.12.9 |
Респираторные инфекции верхних дыхательных путей, дети |
0,65000 |
9 307,30 |
9 307,30 |
9 307,30 |
14 039,33 |
1,00000 |
1,00000 |
1,00000 |
0,92300 |
||||||||||||||||||||||||||||||||||||||||||||||||||
1,10500 |
1 |
1 |
2 |
ds12.010 |
1.1.2.3.12.10 |
Лечение хронического вирусного гепатита C (уровень 1) |
4,90000 |
70 162,72 |
70 162,72 |
70 162,72 |
14 039,33 |
1,00000 |
1,00000 |
1,00000 |
0,92300 |
||||||||||||||||||||||||||||||||||||||||||||||||||
1,10500 |
1 |
1 |
2 |
ds12.011 |
1.1.2.3.12.11 |
Лечение хронического вирусного гепатита C (уровень 2) |
22,20000 |
317 880,10 |
317 880,10 |
317 880,10 |
14 039,33 |
1,00000 |
1,00000 |
1,00000 |
0,92300 |
||||||||||||||||||||||||||||||||||||||||||||||||||
1,10500 |
1 |
1 |
2 |
ds13.001 |
1.1.2.1.13.1 |
Болезни системы кровообращения, взрослые |
0,80000 |
11 455,14 |
11 455,14 |
11 455,14 |
14 039,33 |
1,00000 |
1,00000 |
1,00000 |
0,92300 |
||||||||||||||||||||||||||||||||||||||||||||||||||
1,10500 |
1 |
1 |
2 |
ds13.002 |
1.1.2.3.13.2 |
Болезни системы кровообращения с применением инвазивных методов |
3,39000 |
48 541,15 |
48 541,15 |
48 541,15 |
14 039,33 |
1,00000 |
1,00000 |
1,00000 |
0,92300 |
||||||||||||||||||||||||||||||||||||||||||||||||||
1,10500 |
1 |
1 |
2 |
ds13.003 |
1.1.2.3.13.3 |
Лечение наследственных атерогенных нарушений липидного обмена с применением методов афереза (липидная фильтрация, афинная и иммуносорбция липопротеидов) в случае отсутствия эффективности базисной терапии |
5,07000 |
72 596,94 |
72 596,94 |
72 596,94 |
14 039,33 |
1,00000 |
1,00000 |
1,00000 |
0,92300 |
||||||||||||||||||||||||||||||||||||||||||||||||||
1,10500 |
1 |
1 |
2 |
ds14.001 |
1.1.2.2.14.1 |
Операции на кишечнике и анальной области (уровень 1) |
1,53000 |
21 907,95 |
21 907,95 |
21 907,95 |
14 039,33 |
1,00000 |
1,00000 |
1,00000 |
0,92300 |
||||||||||||||||||||||||||||||||||||||||||||||||||
1,10500 |
1 |
1 |
2 |
ds14.002 |
1.1.2.2.14.2 |
Операции на кишечнике и анальной области (уровень 2) |
3,17000 |
45 390,99 |
45 390,99 |
45 390,99 |
14 039,33 |
1,00000 |
1,00000 |
1,00000 |
0,92300 |
||||||||||||||||||||||||||||||||||||||||||||||||||
1,10500 |
1 |
1 |
2 |
ds15.001 |
1.1.2.1.15.1 |
Болезни нервной системы, хромосомные аномалии |
0,98000 |
14 032,54 |
14 032,54 |
14 032,54 |
14 039,33 |
1,00000 |
1,00000 |
1,00000 |
0,92300 |
||||||||||||||||||||||||||||||||||||||||||||||||||
1,10500 |
1 |
1 |
2 |
ds15.002 |
1.1.2.3.15.2 |
Неврологические заболевания, лечение с применением ботулотоксина (уровень 1) |
1,75000 |
25 058,12 |
25 058,12 |
25 058,12 |
14 039,33 |
1,00000 |
1,00000 |
1,00000 |
0,92300 |
||||||||||||||||||||||||||||||||||||||||||||||||||
1,10500 |
1 |
1 |
2 |
ds15.003 |
1.1.2.3.15.3 |
Неврологические заболевания, лечение с применением ботулотоксина (уровень 2) |
2,89000 |
41 381,69 |
41 381,69 |
41 381,69 |
14 039,33 |
1,00000 |
1,00000 |
1,00000 |
0,92300 |
||||||||||||||||||||||||||||||||||||||||||||||||||
1,10500 |
1 |
1 |
2 |
ds16.001 |
1.1.2.1.16.1 |
Болезни и травмы позвоночника, спинного мозга, последствия внутричерепной травмы, сотрясение головного мозга |
0,94000 |
13 459,79 |
13 459,79 |
13 459,79 |
14 039,33 |
1,00000 |
1,00000 |
1,00000 |
0,92300 |
||||||||||||||||||||||||||||||||||||||||||||||||||
1,10500 |
1 |
1 |
2 |
ds16.002 |
1.1.2.2.16.2 |
Операции на периферической нервной системе |
2,57000 |
36 799,63 |
36 799,63 |
36 799,63 |
14 039,33 |
1,00000 |
1,00000 |
1,00000 |
0,92300 |
||||||||||||||||||||||||||||||||||||||||||||||||||
1,10500 |
1 |
1 |
2 |
ds17.001 |
1.1.2.1.17.1 |
Нарушения, возникшие в перинатальном периоде |
1,79000 |
25 630,87 |
25 630,87 |
25 630,87 |
14 039,33 |
1,00000 |
1,00000 |
1,00000 |
0,92300 |
||||||||||||||||||||||||||||||||||||||||||||||||||
1,10500 |
1 |
1 |
2 |
ds18.001 |
1.1.2.1.18.1 |
Гломерулярные болезни, почечная недостаточность (без диализа) |
1,60000 |
22 910,28 |
22 910,28 |
22 910,28 |
14 039,33 |
1,00000 |
1,00000 |
1,00000 |
0,92300 |
||||||||||||||||||||||||||||||||||||||||||||||||||
1,10500 |
1 |
1 |
2 |
ds18.002 |
1.1.2.3.18.2 |
Лекарственная терапия у пациентов, получающих диализ |
3,25000 |
46 536,50 |
46 536,50 |
46 536,50 |
14 039,33 |
1,00000 |
1,00000 |
1,00000 |
0,92300 |
||||||||||||||||||||||||||||||||||||||||||||||||||
1,10500 |
1 |
1 |
2 |
ds18.003 |
1.1.2.3.18.3 |
Формирование, имплантация, удаление, смена доступа для диализа |
3,18000 |
45 534,18 |
45 534,18 |
45 534,18 |
14 039,33 |
1,00000 |
1,00000 |
1,00000 |
0,92300 |
||||||||||||||||||||||||||||||||||||||||||||||||||
1,10500 |
1 |
1 |
2 |
ds18.004 |
1.1.2.1.18.4 |
Другие болезни почек |
0,80000 |
11 455,14 |
11 455,14 |
11 455,14 |
14 039,33 |
1,00000 |
1,00000 |
1,00000 |
0,92300 |
||||||||||||||||||||||||||||||||||||||||||||||||||
1,10500 |
1 |
1 |
2 |
ds19.016 |
1.1.2.3.19.16 |
Операции при злокачественных новообразованиях кожи (уровень 1) |
2,35000 |
36 456,63 |
36 456,63 |
36 456,63 |
14 039,33 |
1,00000 |
1,00000 |
1,00000 |
1,00000 |
||||||||||||||||||||||||||||||||||||||||||||||||||
1,10500 |
1 |
1 |
2 |
ds19.017 |
1.1.2.3.19.17 |
Операции при злокачественных новообразованиях кожи (уровень 2) |
2,48000 |
38 473,38 |
38 473,38 |
38 473,38 |
14 039,33 |
1,00000 |
1,00000 |
1,00000 |
1,00000 |
||||||||||||||||||||||||||||||||||||||||||||||||||
1,10500 |
1 |
1 |
2 |
ds19.028 |
1.1.2.1.19.28 |
Установка, замена порт системы (катетера) для лекарственной терапии злокачественных новообразований (кроме лимфоидной и кроветворной тканей) |
2,17000 |
33 664,21 |
33 664,21 |
33 664,21 |
14 039,33 |
1,00000 |
1,00000 |
1,00000 |
1,00000 |
||||||||||||||||||||||||||||||||||||||||||||||||||
1,10500 |
1 |
1 |
2 |
ds19.029 |
1.1.2.1.19.29 |
Госпитализация в диагностических целях с постановкой/ подтверждением диагноза злокачественного новообразования с использованием ПЭТ КТ |
2,55000 |
39 559,32 |
39 559,32 |
39 559,32 |
14 039,33 |
1,00000 |
1,00000 |
1,00000 |
1,00000 |
||||||||||||||||||||||||||||||||||||||||||||||||||
1,10500 |
1 |
1 |
2 |
ds19.033 |
1.1.2.1.19.33 |
Госпитализация в диагностических целях с проведением биопсии и последующим проведением молекулярно-генетического и/или иммуногистохимического исследования |
2,44000 |
37 852,84 |
37 852,84 |
37 852,84 |
14 039,33 |
1,00000 |
1,00000 |
1,00000 |
1,00000 |
||||||||||||||||||||||||||||||||||||||||||||||||||
1,10500 |
1 |
1 |
2 |
ds19.050 |
1.1.2.2.19.50 |
Лучевая терапия (уровень 1) |
0,74000 |
11 479,96 |
11 479,96 |
11 479,96 |
14 039,33 |
1,00000 |
1,00000 |
1,00000 |
1,00000 |
||||||||||||||||||||||||||||||||||||||||||||||||||
1,10500 |
1 |
1 |
2 |
ds19.051 |
1.1.2.2.19.51 |
Лучевая терапия (уровень 2) |
1,44000 |
22 339,38 |
22 339,38 |
22 339,38 |
14 039,33 |
1,00000 |
1,00000 |
1,00000 |
1,00000 |
||||||||||||||||||||||||||||||||||||||||||||||||||
1,10500 |
1 |
1 |
2 |
ds19.052 |
1.1.2.2.19.52 |
Лучевая терапия (уровень 3) |
2,22000 |
34 439,88 |
34 439,88 |
34 439,88 |
14 039,33 |
1,00000 |
1,00000 |
1,00000 |
1,00000 |
||||||||||||||||||||||||||||||||||||||||||||||||||
1,10500 |
1 |
1 |
2 |
ds19.053 |
1.1.2.2.19.53 |
Лучевая терапия (уровень 4) |
2,93000 |
45 454,44 |
45 454,44 |
45 454,44 |
14 039,33 |
1,00000 |
1,00000 |
1,00000 |
1,00000 |
||||||||||||||||||||||||||||||||||||||||||||||||||
1,10500 |
1 |
1 |
2 |
ds19.054 |
1.1.2.2.19.54 |
Лучевая терапия (уровень 5) |
3,14000 |
48 712,26 |
48 712,26 |
48 712,26 |
14 039,33 |
1,00000 |
1,00000 |
1,00000 |
1,00000 |
||||||||||||||||||||||||||||||||||||||||||||||||||
1,10500 |
1 |
1 |
2 |
ds19.055 |
1.1.2.2.19.55 |
Лучевая терапия (уровень 6) |
3,80000 |
58 951,15 |
58 951,15 |
58 951,15 |
14 039,33 |
1,00000 |
1,00000 |
1,00000 |
1,00000 |
||||||||||||||||||||||||||||||||||||||||||||||||||
1,10500 |
1 |
1 |
2 |
ds19.056 |
1.1.2.2.19.56 |
Лучевая терапия (уровень 7) |
4,70000 |
72 913,26 |
72 913,26 |
72 913,26 |
14 039,33 |
1,00000 |
1,00000 |
1,00000 |
1,00000 |
||||||||||||||||||||||||||||||||||||||||||||||||||
1,10500 |
1 |
1 |
2 |
ds19.057 |
1.1.2.2.19.57 |
Лучевая терапия (уровень 8) |
26,65000 |
413 433,70 |
413 433,70 |
413 433,70 |
14 039,33 |
1,00000 |
1,00000 |
1,00000 |
1,00000 |
||||||||||||||||||||||||||||||||||||||||||||||||||
1,10500 |
1 |
1 |
2 |
ds19.058 |
1.1.2.2.19.58 |
Лучевая терапия в сочетании с лекарственной терапией (уровень 1) |
4,09000 |
62 146,54 |
62 146,54 |
62 146,54 |
14 039,33 |
1,00000 |
1,00000 |
1,00000 |
1,00000 |
||||||||||||||||||||||||||||||||||||||||||||||||||
1,10500 |
1 |
1 |
2 |
ds19.060 |
1.1.2.2.19.60 |
Лучевая терапия в сочетании с лекарственной терапией (уровень 3) |
4,96000 |
75 677,45 |
75 677,45 |
75 677,45 |
14 039,33 |
1,00000 |
1,00000 |
1,00000 |
1,00000 |
||||||||||||||||||||||||||||||||||||||||||||||||||
1,10500 |
1 |
1 |
2 |
ds19.061 |
1.1.2.2.19.61 |
Лучевая терапия в сочетании с лекарственной терапией (уровень 4) |
13,27000 |
192 534,27 |
192 534,27 |
192 534,27 |
14 039,33 |
1,00000 |
1,00000 |
1,00000 |
1,00000 |
||||||||||||||||||||||||||||||||||||||||||||||||||
1,10500 |
1 |
1 |
2 |
ds19.062 |
1.1.2.2.19.62 |
Лучевая терапия в сочетании с лекарственной терапией (уровень 5) |
25,33000 |
361 848,23 |
361 848,23 |
361 848,23 |
14 039,33 |
1,00000 |
1,00000 |
1,00000 |
1,00000 |
||||||||||||||||||||||||||||||||||||||||||||||||||
1,10500 |
1 |
1 |
2 |
ds19.063 |
1.1.2.2.19.63 |
ЗНО лимфоидной и кроветворной тканей без специального противоопухолевого лечения, взрослые (уровень 1) |
0,15000 |
2 327,02 |
2 327,02 |
2 327,02 |
14 039,33 |
1,00000 |
1,00000 |
1,00000 |
1,00000 |
||||||||||||||||||||||||||||||||||||||||||||||||||
1,10500 |
1 |
1 |
2 |
ds19.064 |
1.1.2.2.19.64 |
ЗНО лимфоидной и кроветворной тканей без специального противоопухолевого лечения, взрослые (уровень 2) |
0,69000 |
10 704,29 |
10 704,29 |
10 704,29 |
14 039,33 |
1,00000 |
1,00000 |
1,00000 |
1,00000 |
||||||||||||||||||||||||||||||||||||||||||||||||||
1,10500 |
1 |
1 |
2 |
ds19.065 |
1.1.2.2.19.65 |
ЗНО лимфоидной и кроветворной тканей без специального противоопухолевого лечения, взрослые (уровень 3) |
1,57000 |
24 356,13 |
24 356,13 |
24 356,13 |
14 039,33 |
1,00000 |
1,00000 |
1,00000 |
1,00000 |
||||||||||||||||||||||||||||||||||||||||||||||||||
1,10500 |
1 |
1 |
2 |
ds19.066 |
1.1.2.2.19.66 |
ЗНО лимфоидной и кроветворной тканей без специального противоопухолевого лечения, взрослые (уровень 4) |
2,82000 |
43 747,96 |
43 747,96 |
43 747,96 |
14 039,33 |
1,00000 |
1,00000 |
1,00000 |
1,00000 |
||||||||||||||||||||||||||||||||||||||||||||||||||
1,10500 |
1 |
1 |
2 |
ds19.067 |
1.1.2.2.19.67 |
ЗНО лимфоидной и кроветворной тканей, лекарственная терапия, взрослые (уровень 1) |
0,31000 |
4 585,53 |
4 585,53 |
4 585,53 |
14 039,33 |
1,00000 |
1,00000 |
1,00000 |
1,00000 |
||||||||||||||||||||||||||||||||||||||||||||||||||
1,10500 |
1 |
1 |
2 |
ds19.068 |
1.1.2.2.19.68 |
ЗНО лимфоидной и кроветворной тканей, лекарственная терапия, взрослые (уровень 2) |
1,36000 |
20 117,15 |
20 117,15 |
20 117,15 |
14 039,33 |
1,00000 |
1,00000 |
1,00000 |
1,00000 |
||||||||||||||||||||||||||||||||||||||||||||||||||
1,10500 |
1 |
1 |
2 |
ds19.069 |
1.1.2.2.19.69 |
ЗНО лимфоидной и кроветворной тканей, лекарственная терапия, взрослые (уровень 3) |
3,06000 |
45 263,58 |
45 263,58 |
45 263,58 |
14 039,33 |
1,00000 |
1,00000 |
1,00000 |
1,00000 |
||||||||||||||||||||||||||||||||||||||||||||||||||
1,10500 |
1 |
1 |
2 |
ds19.070 |
1.1.2.2.19.70 |
ЗНО лимфоидной и кроветворной тканей, лекарственная терапия, взрослые (уровень 4) |
5,66000 |
83 722,84 |
83 722,84 |
83 722,84 |
14 039,33 |
1,00000 |
1,00000 |
1,00000 |
1,00000 |
||||||||||||||||||||||||||||||||||||||||||||||||||
1,10500 |
1 |
1 |
2 |
ds19.071 |
1.1.2.2.19.71 |
ЗНО лимфоидной и кроветворной тканей, лекарственная терапия с применением отдельных препаратов (по перечню), взрослые (уровень 1) |
4,18000 |
58 938,88 |
58 938,88 |
58 938,88 |
14 039,33 |
1,00000 |
1,00000 |
1,00000 |
1,00000 |
||||||||||||||||||||||||||||||||||||||||||||||||||
1,10500 |
1 |
1 |
2 |
ds19.072 |
1.1.2.2.19.72 |
ЗНО лимфоидной и кроветворной тканей, лекарственная терапия с применением отдельных препаратов (по перечню), взрослые (уровень 2) |
5,13000 |
72 985,95 |
72 985,95 |
72 985,95 |
14 039,33 |
1,00000 |
1,00000 |
1,00000 |
1,00000 |
||||||||||||||||||||||||||||||||||||||||||||||||||
1,10500 |
1 |
1 |
2 |
ds19.073 |
1.1.2.2.19.73 |
ЗНО лимфоидной и кроветворной тканей, лекарственная терапия с применением отдельных препаратов (по перечню), взрослые (уровень 3) |
6,88000 |
98 875,59 |
98 875,59 |
98 875,59 |
14 039,33 |
1,00000 |
1,00000 |
1,00000 |
1,00000 |
||||||||||||||||||||||||||||||||||||||||||||||||||
1,10500 |
1 |
1 |
2 |
ds19.074 |
1.1.2.2.19.74 |
ЗНО лимфоидной и кроветворной тканей, лекарственная терапия с применением отдельных препаратов (по перечню), взрослые (уровень 4) |
10,03000 |
145 470,44 |
145 470,44 |
145 470,44 |
14 039,33 |
1,00000 |
1,00000 |
1,00000 |
1,00000 |
||||||||||||||||||||||||||||||||||||||||||||||||||
1,10500 |
1 |
1 |
2 |
ds19.075 |
1.1.2.2.19.75 |
ЗНО лимфоидной и кроветворной тканей, лекарственная терапия с применением отдельных препаратов (по перечню), взрослые (уровень 5) |
34,21000 |
480 497,29 |
480 497,29 |
480 497,29 |
14 039,33 |
1,00000 |
1,00000 |
1,00000 |
1,00000 |
||||||||||||||||||||||||||||||||||||||||||||||||||
1,10500 |
1 |
1 |
2 |
ds19.076 |
1.1.2.2.19.76 |
ЗНО лимфоидной и кроветворной тканей, лекарственная терапия с применением отдельных препаратов (по перечню), взрослые (уровень 6) |
35,00000 |
492 181,42 |
492 181,42 |
492 181,42 |
14 039,33 |
1,00000 |
1,00000 |
1,00000 |
1,00000 |
||||||||||||||||||||||||||||||||||||||||||||||||||
1,10500 |
1 |
1 |
2 |
ds19.077 |
1.1.2.2.19.77 |
ЗНО лимфоидной и кроветворной тканей, лекарственная терапия с применением отдельных препаратов (по перечню), взрослые (уровень 7) |
37,10000 |
523 243,64 |
523 243,64 |
523 243,64 |
14 039,33 |
1,00000 |
1,00000 |
1,00000 |
1,00000 |
||||||||||||||||||||||||||||||||||||||||||||||||||
1,10500 |
1 |
1 |
2 |
ds19.078 |
1.1.2.2.19.78 |
ЗНО лимфоидной и кроветворной тканей, лекарственная терапия с применением отдельных препаратов (по перечню), взрослые (уровень 8) |
39,91000 |
564 810,35 |
564 810,35 |
564 810,35 |
14 039,33 |
1,00000 |
1,00000 |
1,00000 |
1,00000 |
||||||||||||||||||||||||||||||||||||||||||||||||||
1,10500 |
1 |
1 |
2 |
ds19.079 |
1.1.2.2.19.79 |
Лучевые повреждения |
2,62000 |
40 645,26 |
40 645,26 |
40 645,26 |
14 039,33 |
1,00000 |
1,00000 |
1,00000 |
1,00000 |
||||||||||||||||||||||||||||||||||||||||||||||||||
1,10500 |
1 |
1 |
2 |
ds19.080 |
1.1.2.1.19.80 |
Лекарственная терапия при злокачественных новообразованиях (кроме лимфоидной и кроветворной тканей), взрослые (уровень 1) |
0,49000 |
7 017,38 |
7 017,38 |
7 017,38 |
14 039,33 |
1,00000 |
1,00000 |
1,00000 |
1,00000 |
||||||||||||||||||||||||||||||||||||||||||||||||||
1,10500 |
1 |
1 |
2 |
ds19.081 |
1.1.2.1.19.81 |
Лекарственная терапия при злокачественных новообразованиях (кроме лимфоидной и кроветворной тканей), взрослые (уровень 2) |
1,41000 |
19 978,16 |
19 978,16 |
19 978,16 |
14 039,33 |
1,00000 |
1,00000 |
1,00000 |
1,00000 |
||||||||||||||||||||||||||||||||||||||||||||||||||
1,10500 |
1 |
1 |
2 |
ds19.082 |
1.1.2.1.19.82 |
Лекарственная терапия при злокачественных новообразованиях (кроме лимфоидной и кроветворной тканей), взрослые (уровень 3) |
2,03000 |
29 274,59 |
29 274,59 |
29 274,59 |
14 039,33 |
1,00000 |
1,00000 |
1,00000 |
1,00000 |
||||||||||||||||||||||||||||||||||||||||||||||||||
1,10500 |
1 |
1 |
2 |
ds19.083 |
1.1.2.1.19.83 |
Лекарственная терапия при злокачественных новообразованиях (кроме лимфоидной и кроветворной тканей), взрослые (уровень 4) |
2,63000 |
37 834,52 |
37 834,52 |
37 834,52 |
14 039,33 |
1,00000 |
1,00000 |
1,00000 |
1,00000 |
||||||||||||||||||||||||||||||||||||||||||||||||||
1,10500 |
1 |
1 |
2 |
ds19.084 |
1.1.2.1.19.84 |
Лекарственная терапия при злокачественных новообразованиях (кроме лимфоидной и кроветворной тканей), взрослые (уровень 5) |
4,19000 |
59 018,74 |
59 018,74 |
59 018,74 |
14 039,33 |
1,00000 |
1,00000 |
1,00000 |
1,00000 |
||||||||||||||||||||||||||||||||||||||||||||||||||
1,10500 |
1 |
1 |
2 |
ds19.085 |
1.1.2.1.19.85 |
Лекарственная терапия при злокачественных новообразованиях (кроме лимфоидной и кроветворной тканей), взрослые (уровень 6) |
4,93000 |
69 362,15 |
69 362,15 |
69 362,15 |
14 039,33 |
1,00000 |
1,00000 |
1,00000 |
1,00000 |
||||||||||||||||||||||||||||||||||||||||||||||||||
1,10500 |
1 |
1 |
2 |
ds19.086 |
1.1.2.1.19.86 |
Лекарственная терапия при злокачественных новообразованиях (кроме лимфоидной и кроветворной тканей), взрослые (уровень 7) |
5,87000 |
82 981,11 |
82 981,11 |
82 981,11 |
14 039,33 |
1,00000 |
1,00000 |
1,00000 |
1,00000 |
||||||||||||||||||||||||||||||||||||||||||||||||||
1,10500 |
1 |
1 |
2 |
ds19.087 |
1.1.2.1.19.87 |
Лекарственная терапия при злокачественных новообразованиях (кроме лимфоидной и кроветворной тканей), взрослые (уровень 8) |
7,66000 |
108 790,14 |
108 790,14 |
108 790,14 |
14 039,33 |
1,00000 |
1,00000 |
1,00000 |
1,00000 |
||||||||||||||||||||||||||||||||||||||||||||||||||
1,10500 |
1 |
1 |
2 |
ds19.088 |
1.1.2.1.19.88 |
Лекарственная терапия при злокачественных новообразованиях (кроме лимфоидной и кроветворной тканей), взрослые (уровень 9) |
8,57000 |
122 222,16 |
122 222,16 |
122 222,16 |
14 039,33 |
1,00000 |
1,00000 |
1,00000 |
1,00000 |
||||||||||||||||||||||||||||||||||||||||||||||||||
1,10500 |
1 |
1 |
2 |
ds19.089 |
1.1.2.1.19.89 |
Лекарственная терапия при злокачественных новообразованиях (кроме лимфоидной и кроветворной тканей), взрослые (уровень 10) |
9,65000 |
137 600,53 |
137 600,53 |
137 600,53 |
14 039,33 |
1,00000 |
1,00000 |
1,00000 |
1,00000 |
||||||||||||||||||||||||||||||||||||||||||||||||||
1,10500 |
1 |
1 |
2 |
ds19.090 |
1.1.2.1.19.90 |
Лекарственная терапия при злокачественных новообразованиях (кроме лимфоидной и кроветворной тканей), взрослые (уровень 11) |
10,57000 |
151 878,19 |
151 878,19 |
151 878,19 |
14 039,33 |
1,00000 |
1,00000 |
1,00000 |
1,00000 |
||||||||||||||||||||||||||||||||||||||||||||||||||
1,10500 |
1 |
1 |
2 |
ds19.091 |
1.1.2.1.19.91 |
Лекарственная терапия при злокачественных новообразованиях (кроме лимфоидной и кроветворной тканей), взрослые (уровень 12) |
13,50000 |
191 519,04 |
191 519,04 |
191 519,04 |
14 039,33 |
1,00000 |
1,00000 |
1,00000 |
1,00000 |
||||||||||||||||||||||||||||||||||||||||||||||||||
1,10500 |
1 |
1 |
2 |
ds19.092 |
1.1.2.1.19.92 |
Лекарственная терапия при злокачественных новообразованиях (кроме лимфоидной и кроветворной тканей), взрослые (уровень 13) |
16,03000 |
227 056,67 |
227 056,67 |
227 056,67 |
14 039,33 |
1,00000 |
1,00000 |
1,00000 |
1,00000 |
||||||||||||||||||||||||||||||||||||||||||||||||||
1,10500 |
1 |
1 |
2 |
ds19.093 |
1.1.2.1.19.93 |
Лекарственная терапия при злокачественных новообразованиях (кроме лимфоидной и кроветворной тканей), взрослые (уровень 14) |
20,54000 |
290 075,55 |
290 075,55 |
290 075,55 |
14 039,33 |
1,00000 |
1,00000 |
1,00000 |
1,00000 |
||||||||||||||||||||||||||||||||||||||||||||||||||
1,10500 |
1 |
1 |
2 |
ds19.094 |
1.1.2.1.19.94 |
Лекарственная терапия при злокачественных новообразованиях (кроме лимфоидной и кроветворной тканей), взрослые (уровень 15) |
27,22000 |
383 282,11 |
383 282,11 |
383 282,11 |
14 039,33 |
1,00000 |
1,00000 |
1,00000 |
1,00000 |
||||||||||||||||||||||||||||||||||||||||||||||||||
1,10500 |
1 |
1 |
2 |
ds19.095 |
1.1.2.1.19.95 |
Лекарственная терапия при злокачественных новообразованиях (кроме лимфоидной и кроветворной тканей), взрослые (уровень 16) |
34,01000 |
480 405,51 |
480 405,51 |
480 405,51 |
14 039,33 |
1,00000 |
1,00000 |
1,00000 |
1,00000 |
||||||||||||||||||||||||||||||||||||||||||||||||||
1,10500 |
1 |
1 |
2 |
ds19.096 |
1.1.2.1.19.96 |
Лекарственная терапия при злокачественных новообразованиях (кроме лимфоидной и кроветворной тканей), взрослые (уровень 17) |
56,65000 |
795 520,12 |
795 520,12 |
795 520,12 |
14 039,33 |
1,00000 |
1,00000 |
1,00000 |
1,00000 |
||||||||||||||||||||||||||||||||||||||||||||||||||
1,10500 |
1 |
1 |
2 |
ds20.001 |
1.1.2.1.20.1 |
Болезни уха, горла, носа |
0,74000 |
10 596,00 |
10 596,00 |
10 596,00 |
14 039,33 |
1,00000 |
1,00000 |
1,00000 |
0,92300 |
||||||||||||||||||||||||||||||||||||||||||||||||||
1,10500 |
1 |
1 |
2 |
ds20.002 |
1.1.2.2.20.2 |
Операции на органе слуха, придаточных пазухах носа и верхних дыхательных путях (уровень 1) |
1,12000 |
16 037,19 |
16 037,19 |
16 037,19 |
14 039,33 |
1,00000 |
1,00000 |
1,00000 |
0,92300 |
||||||||||||||||||||||||||||||||||||||||||||||||||
1,10500 |
1 |
1 |
2 |
ds20.003 |
1.1.2.2.20.3 |
Операции на органе слуха, придаточных пазухах носа и верхних дыхательных путях (уровень 2) |
1,66000 |
23 769,41 |
23 769,41 |
23 769,41 |
14 039,33 |
1,00000 |
1,00000 |
1,00000 |
0,92300 |
||||||||||||||||||||||||||||||||||||||||||||||||||
1,10500 |
1 |
1 |
2 |
ds20.004 |
1.1.2.2.20.4 |
Операции на органе слуха, придаточных пазухах носа и верхних дыхательных путях (уровень 3) |
2,00000 |
28 637,85 |
28 637,85 |
28 637,85 |
14 039,33 |
1,00000 |
1,00000 |
1,00000 |
0,92300 |
||||||||||||||||||||||||||||||||||||||||||||||||||
1,10500 |
1 |
1 |
2 |
ds20.005 |
1.1.2.2.20.5 |
Операции на органе слуха, придаточных пазухах носа и верхних дыхательных путях (уровень 4) |
2,46000 |
35 224,55 |
35 224,55 |
35 224,55 |
14 039,33 |
1,00000 |
1,00000 |
1,00000 |
0,92300 |
||||||||||||||||||||||||||||||||||||||||||||||||||
1,10500 |
1 |
1 |
2 |
ds20.006 |
1.1.2.3.20.6 |
Замена речевого процессора |
51,86000 |
728 113,00 |
728 113,00 |
728 113,00 |
14 039,33 |
1,00000 |
1,00000 |
1,00000 |
0,92300 |
||||||||||||||||||||||||||||||||||||||||||||||||||
1,10500 |
1 |
1 |
2 |
ds21.001 |
1.1.2.1.21.1 |
Болезни и травмы глаза |
0,39000 |
5 584,38 |
5 584,38 |
5 584,38 |
14 039,33 |
1,00000 |
1,00000 |
1,00000 |
0,92300 |
||||||||||||||||||||||||||||||||||||||||||||||||||
1,10500 |
1 |
1 |
2 |
ds21.002 |
1.1.2.2.21.2 |
Операции на органе зрения (уровень 1) |
0,67000 |
9 593,68 |
9 593,68 |
9 593,68 |
14 039,33 |
1,00000 |
1,00000 |
1,00000 |
0,92300 |
||||||||||||||||||||||||||||||||||||||||||||||||||
1,10500 |
1 |
1 |
2 |
ds21.003 |
1.1.2.2.21.3 |
Операции на органе зрения (уровень 2) |
1,09000 |
15 607,63 |
15 607,63 |
15 607,63 |
14 039,33 |
1,00000 |
1,00000 |
1,00000 |
0,92300 |
||||||||||||||||||||||||||||||||||||||||||||||||||
1,10500 |
1 |
1 |
2 |
ds21.004 |
1.1.2.2.21.4 |
Операции на органе зрения (уровень 3) |
1,62000 |
23 196,66 |
23 196,66 |
23 196,66 |
14 039,33 |
1,00000 |
1,00000 |
1,00000 |
0,92300 |
||||||||||||||||||||||||||||||||||||||||||||||||||
1,10500 |
1 |
1 |
2 |
ds21.005 |
1.1.2.2.21.5 |
Операции на органе зрения (уровень 4) |
2,01000 |
28 781,04 |
28 781,04 |
28 781,04 |
14 039,33 |
1,00000 |
1,00000 |
1,00000 |
0,92300 |
||||||||||||||||||||||||||||||||||||||||||||||||||
1,10500 |
1 |
1 |
2 |
ds21.006 |
1.1.2.2.21.6 |
Операции на органе зрения (уровень 5) |
3,50000 |
50 116,23 |
50 116,23 |
50 116,23 |
14 039,33 |
1,00000 |
1,00000 |
1,00000 |
0,92300 |
||||||||||||||||||||||||||||||||||||||||||||||||||
1,10500 |
1 |
1 |
2 |
ds22.001 |
1.1.2.1.22.1 |
Системные поражения соединительной ткани, артропатии, спондилопатии, дети |
2,31000 |
33 076,71 |
33 076,71 |
33 076,71 |
14 039,33 |
1,00000 |
1,00000 |
1,00000 |
0,92300 |
||||||||||||||||||||||||||||||||||||||||||||||||||
1,10500 |
1 |
1 |
2 |
ds22.002 |
1.1.2.1.22.2 |
Болезни органов пищеварения, дети |
0,89000 |
12 743,84 |
12 743,84 |
12 743,84 |
14 039,33 |
1,00000 |
1,00000 |
1,00000 |
0,92300 |
||||||||||||||||||||||||||||||||||||||||||||||||||
1,10500 |
1 |
1 |
2 |
ds23.001 |
1.1.2.1.23.1 |
Болезни органов дыхания |
0,90000 |
12 887,03 |
12 887,03 |
12 887,03 |
14 039,33 |
1,00000 |
1,00000 |
1,00000 |
0,92300 |
||||||||||||||||||||||||||||||||||||||||||||||||||
1,10500 |
1 |
1 |
2 |
ds24.001 |
1.1.2.1.24.1 |
Системные поражения соединительной ткани, артропатии, спондилопатии, взрослые |
1,46000 |
20 905,63 |
20 905,63 |
20 905,63 |
14 039,33 |
1,00000 |
1,00000 |
1,00000 |
0,92300 |
||||||||||||||||||||||||||||||||||||||||||||||||||
1,10500 |
1 |
1 |
2 |
ds25.001 |
1.1.2.2.25.1 |
Диагностическое обследование сердечно-сосудистой системы |
1,84000 |
26 346,82 |
26 346,82 |
26 346,82 |
14 039,33 |
1,00000 |
1,00000 |
1,00000 |
0,92300 |
||||||||||||||||||||||||||||||||||||||||||||||||||
1,10500 |
1 |
1 |
2 |
ds25.002 |
1.1.2.2.25.2 |
Операции на сосудах (уровень 1) |
2,18000 |
31 215,25 |
31 215,25 |
31 215,25 |
14 039,33 |
1,00000 |
1,00000 |
1,00000 |
0,92300 |
||||||||||||||||||||||||||||||||||||||||||||||||||
1,10500 |
1 |
1 |
2 |
ds25.003 |
1.1.2.2.25.3 |
Операции на сосудах (уровень 2) |
4,31000 |
61 714,56 |
61 714,56 |
61 714,56 |
14 039,33 |
1,00000 |
1,00000 |
1,00000 |
0,92300 |
||||||||||||||||||||||||||||||||||||||||||||||||||
1,10500 |
1 |
1 |
2 |
ds26.001 |
1.1.2.1.26.1 |
Болезни полости рта, слюнных желез и челюстей, врожденные аномалии лица и шеи, дети |
0,98000 |
14 032,54 |
14 032,54 |
14 032,54 |
14 039,33 |
1,00000 |
1,00000 |
1,00000 |
0,92300 |
||||||||||||||||||||||||||||||||||||||||||||||||||
1,10500 |
1 |
1 |
2 |
ds27.001 |
1.1.2.1.27.1 |
Отравления и другие воздействия внешних причин |
0,74000 |
10 596,00 |
10 596,00 |
10 596,00 |
14 039,33 |
1,00000 |
1,00000 |
1,00000 |
0,92300 |
||||||||||||||||||||||||||||||||||||||||||||||||||
1,10500 |
1 |
1 |
2 |
ds28.001 |
1.1.2.2.28.1 |
Операции на нижних дыхательных путях и легочной ткани, органах средостения |
1,32000 |
18 900,98 |
18 900,98 |
18 900,98 |
14 039,33 |
1,00000 |
1,00000 |
1,00000 |
0,92300 |
||||||||||||||||||||||||||||||||||||||||||||||||||
1,10500 |
1 |
1 |
2 |
ds29.001 |
1.1.2.2.29.1 |
Операции на костно-мышечной системе и суставах (уровень 1) |
1,44000 |
20 619,25 |
20 619,25 |
20 619,25 |
14 039,33 |
1,00000 |
1,00000 |
1,00000 |
0,92300 |
||||||||||||||||||||||||||||||||||||||||||||||||||
1,10500 |
1 |
1 |
2 |
ds29.002 |
1.1.2.2.29.2 |
Операции на костно-мышечной системе и суставах (уровень 2) |
1,69000 |
24 198,98 |
24 198,98 |
24 198,98 |
14 039,33 |
1,00000 |
1,00000 |
1,00000 |
0,92300 |
||||||||||||||||||||||||||||||||||||||||||||||||||
1,10500 |
1 |
1 |
2 |
ds29.003 |
1.1.2.2.29.3 |
Операции на костно-мышечной системе и суставах (уровень 3) |
2,49000 |
35 654,12 |
35 654,12 |
35 654,12 |
14 039,33 |
1,00000 |
1,00000 |
1,00000 |
0,92300 |
||||||||||||||||||||||||||||||||||||||||||||||||||
1,10500 |
1 |
1 |
2 |
ds29.004 |
1.1.2.1.29.4 |
Заболевания опорно-двигательного аппарата, травмы, болезни мягких тканей |
1,05000 |
15 034,87 |
15 034,87 |
15 034,87 |
14 039,33 |
1,00000 |
1,00000 |
1,00000 |
0,92300 |
||||||||||||||||||||||||||||||||||||||||||||||||||
1,10500 |
1 |
1 |
2 |
ds30.001 |
1.1.2.1.30.1 |
Болезни, врожденные аномалии, повреждения мочевой системы и мужских половых органов |
0,80000 |
11 455,14 |
11 455,14 |
11 455,14 |
14 039,33 |
1,00000 |
1,00000 |
1,00000 |
0,92300 |
||||||||||||||||||||||||||||||||||||||||||||||||||
1,10500 |
1 |
1 |
2 |
ds30.002 |
1.1.2.2.30.2 |
Операции на мужских половых органах, взрослые (уровень 1) |
2,18000 |
31 215,25 |
31 215,25 |
31 215,25 |
14 039,33 |
1,00000 |
1,00000 |
1,00000 |
0,92300 |
||||||||||||||||||||||||||||||||||||||||||||||||||
1,10500 |
1 |
1 |
2 |
ds30.003 |
1.1.2.2.30.3 |
Операции на мужских половых органах, взрослые (уровень 2) |
2,58000 |
36 942,82 |
36 942,82 |
36 942,82 |
14 039,33 |
1,00000 |
1,00000 |
1,00000 |
0,92300 |
||||||||||||||||||||||||||||||||||||||||||||||||||
1,10500 |
1 |
1 |
2 |
ds30.004 |
1.1.2.2.30.4 |
Операции на почке и мочевыделительной системе, взрослые (уровень 1) |
1,97000 |
28 208,28 |
28 208,28 |
28 208,28 |
14 039,33 |
1,00000 |
1,00000 |
1,00000 |
0,92300 |
||||||||||||||||||||||||||||||||||||||||||||||||||
1,10500 |
1 |
1 |
2 |
ds30.005 |
1.1.2.2.30.5 |
Операции на почке и мочевыделительной системе, взрослые (уровень 2) |
2,04000 |
29 210,60 |
29 210,60 |
29 210,60 |
14 039,33 |
1,00000 |
1,00000 |
1,00000 |
0,92300 |
||||||||||||||||||||||||||||||||||||||||||||||||||
1,10500 |
1 |
1 |
2 |
ds30.006 |
1.1.2.2.30.6 |
Операции на почке и мочевыделительной системе, взрослые (уровень 3) |
2,95000 |
42 240,82 |
42 240,82 |
42 240,82 |
14 039,33 |
1,00000 |
1,00000 |
1,00000 |
0,92300 |
||||||||||||||||||||||||||||||||||||||||||||||||||
1,10500 |
1 |
1 |
2 |
ds31.001 |
1.1.2.1.31.1 |
Болезни, новообразования молочной железы |
0,89000 |
12 743,84 |
12 743,84 |
12 743,84 |
14 039,33 |
1,00000 |
1,00000 |
1,00000 |
0,92300 |
||||||||||||||||||||||||||||||||||||||||||||||||||
1,10500 |
1 |
1 |
2 |
ds31.002 |
1.1.2.2.31.2 |
Операции на коже, подкожной клетчатке, придатках кожи (уровень 1) |
0,75000 |
10 739,19 |
10 739,19 |
10 739,19 |
14 039,33 |
1,00000 |
1,00000 |
1,00000 |
0,92300 |
||||||||||||||||||||||||||||||||||||||||||||||||||
1,10500 |
1 |
1 |
2 |
ds31.003 |
1.1.2.2.31.3 |
Операции на коже, подкожной клетчатке, придатках кожи (уровень 2) |
1,00000 |
14 318,92 |
14 318,92 |
14 318,92 |
14 039,33 |
1,00000 |
1,00000 |
1,00000 |
0,92300 |
||||||||||||||||||||||||||||||||||||||||||||||||||
1,10500 |
1 |
1 |
2 |
ds31.004 |
1.1.2.2.31.4 |
Операции на коже, подкожной клетчатке, придатках кожи (уровень 3) |
4,34000 |
62 144,13 |
62 144,13 |
62 144,13 |
14 039,33 |
1,00000 |
1,00000 |
1,00000 |
0,92300 |
||||||||||||||||||||||||||||||||||||||||||||||||||
1,10500 |
1 |
1 |
2 |
ds31.005 |
1.1.2.2.31.5 |
Операции на органах кроветворения и иммунной системы |
1,29000 |
18 471,41 |
18 471,41 |
18 471,41 |
14 039,33 |
1,00000 |
1,00000 |
1,00000 |
0,92300 |
||||||||||||||||||||||||||||||||||||||||||||||||||
1,10500 |
1 |
1 |
2 |
ds31.006 |
1.1.2.2.31.6 |
Операции на молочной железе |
2,60000 |
37 229,20 |
37 229,20 |
37 229,20 |
14 039,33 |
1,00000 |
1,00000 |
1,00000 |
0,92300 |
||||||||||||||||||||||||||||||||||||||||||||||||||
1,10500 |
1 |
1 |
2 |
ds32.001 |
1.1.2.2.32.1 |
Операции на пищеводе, желудке, двенадцатиперстной кишке (уровень 1) |
2,11000 |
30 212,93 |
30 212,93 |
30 212,93 |
14 039,33 |
1,00000 |
1,00000 |
1,00000 |
0,92300 |
||||||||||||||||||||||||||||||||||||||||||||||||||
1,10500 |
1 |
1 |
2 |
ds32.002 |
1.1.2.2.32.2 |
Операции на пищеводе, желудке, двенадцатиперстной кишке (уровень 2) |
3,55000 |
50 832,18 |
50 832,18 |
50 832,18 |
14 039,33 |
1,00000 |
1,00000 |
1,00000 |
0,92300 |
||||||||||||||||||||||||||||||||||||||||||||||||||
1,10500 |
1 |
1 |
2 |
ds32.003 |
1.1.2.2.32.3 |
Операции по поводу грыж, взрослые (уровень 1) |
1,57000 |
22 480,71 |
22 480,71 |
22 480,71 |
14 039,33 |
1,00000 |
1,00000 |
1,00000 |
0,92300 |
||||||||||||||||||||||||||||||||||||||||||||||||||
1,10500 |
1 |
1 |
2 |
ds32.004 |
1.1.2.2.32.4 |
Операции по поводу грыж, взрослые (уровень 2) |
2,26000 |
32 360,77 |
32 360,77 |
32 360,77 |
14 039,33 |
1,00000 |
1,00000 |
1,00000 |
0,92300 |
||||||||||||||||||||||||||||||||||||||||||||||||||
1,10500 |
1 |
1 |
2 |
ds32.005 |
1.1.2.2.32.5 |
Операции по поводу грыж, взрослые (уровень 3) |
3,24000 |
46 393,31 |
46 393,31 |
46 393,31 |
14 039,33 |
1,00000 |
1,00000 |
1,00000 |
0,92300 |
||||||||||||||||||||||||||||||||||||||||||||||||||
1,10500 |
1 |
1 |
2 |
ds32.006 |
1.1.2.2.32.6 |
Операции на желчном пузыре и желчевыводящих путях |
1,70000 |
24 342,17 |
24 342,17 |
24 342,17 |
14 039,33 |
1,00000 |
1,00000 |
1,00000 |
0,92300 |
||||||||||||||||||||||||||||||||||||||||||||||||||
1,10500 |
1 |
1 |
2 |
ds32.007 |
1.1.2.2.32.7 |
Другие операции на органах брюшной полости (уровень 1) |
2,06000 |
29 496,98 |
29 496,98 |
29 496,98 |
14 039,33 |
1,00000 |
1,00000 |
1,00000 |
0,92300 |
||||||||||||||||||||||||||||||||||||||||||||||||||
1,10500 |
1 |
1 |
2 |
ds32.008 |
1.1.2.2.32.8 |
Другие операции на органах брюшной полости (уровень 2) |
2,17000 |
31 072,06 |
31 072,06 |
31 072,06 |
14 039,33 |
1,00000 |
1,00000 |
1,00000 |
0,92300 |
||||||||||||||||||||||||||||||||||||||||||||||||||
1,10500 |
1 |
1 |
2 |
ds33.001 |
1.1.2.1.33.1 |
Ожоги и отморожения |
1,10000 |
15 750,82 |
15 750,82 |
15 750,82 |
14 039,33 |
1,00000 |
1,00000 |
1,00000 |
0,92300 |
||||||||||||||||||||||||||||||||||||||||||||||||||
1,10500 |
1 |
1 |
2 |
ds34.001 |
1.1.2.1.34.1 |
Болезни полости рта, слюнных желез и челюстей, врожденные аномалии лица и шеи, взрослые |
0,88000 |
12 600,65 |
12 600,65 |
12 600,65 |
14 039,33 |
1,00000 |
1,00000 |
1,00000 |
0,92300 |
||||||||||||||||||||||||||||||||||||||||||||||||||
1,10500 |
1 |
1 |
2 |
ds34.002 |
1.1.2.2.34.2 |
Операции на органах полости рта (уровень 1) |
0,92000 |
13 173,41 |
13 173,41 |
13 173,41 |
14 039,33 |
1,00000 |
1,00000 |
1,00000 |
0,92300 |
||||||||||||||||||||||||||||||||||||||||||||||||||
1,10500 |
1 |
1 |
2 |
ds34.003 |
1.1.2.2.34.3 |
Операции на органах полости рта (уровень 2) |
1,56000 |
22 337,52 |
22 337,52 |
22 337,52 |
14 039,33 |
1,00000 |
1,00000 |
1,00000 |
0,92300 |
||||||||||||||||||||||||||||||||||||||||||||||||||
1,10500 |
1 |
1 |
2 |
ds35.001 |
1.1.2.1.35.1 |
Сахарный диабет, взрослые |
1,08000 |
15 464,44 |
15 464,44 |
15 464,44 |
14 039,33 |
1,00000 |
1,00000 |
1,00000 |
0,92300 |
||||||||||||||||||||||||||||||||||||||||||||||||||
1,10500 |
1 |
1 |
2 |
ds35.002 |
1.1.2.1.35.2 |
Другие болезни эндокринной системы, новообразования эндокринных желез доброкачественные, in situ, неопределенного и неизвестного характера, расстройства питания, другие нарушения обмена веществ |
1,41000 |
20 189,68 |
20 189,68 |
20 189,68 |
14 039,33 |
1,00000 |
1,00000 |
1,00000 |
0,92300 |
||||||||||||||||||||||||||||||||||||||||||||||||||
1,10500 |
1 |
1 |
2 |
ds35.003 |
1.1.2.1.35.3 |
Кистозный фиброз |
2,58000 |
36 942,82 |
36 942,82 |
36 942,82 |
14 039,33 |
1,00000 |
1,00000 |
1,00000 |
0,92300 |
||||||||||||||||||||||||||||||||||||||||||||||||||
1,10500 |
1 |
1 |
2 |
ds35.004 |
1.1.2.1.35.4 |
Лечение кистозного фиброза с применением ингаляционной антибактериальной терапии |
12,27000 |
175 693,19 |
175 693,19 |
175 693,19 |
14 039,33 |
1,00000 |
1,00000 |
1,00000 |
0,92300 |
||||||||||||||||||||||||||||||||||||||||||||||||||
1,10500 |
1 |
1 |
2 |
ds36.001 |
1.1.2.3.36.1 |
Комплексное лечение с применением препаратов иммуноглобулина |
7,86000 |
112 546,74 |
112 546,74 |
112 546,74 |
14 039,33 |
1,00000 |
1,00000 |
1,00000 |
0,92300 |
||||||||||||||||||||||||||||||||||||||||||||||||||
1,10500 |
1 |
1 |
2 |
ds36.002 |
1.1.2.1.36.2 |
Факторы, влияющие на состояние здоровья населения и обращения в учреждения здравоохранения |
0,56000 |
8 018,60 |
8 018,60 |
8 018,60 |
14 039,33 |
1,00000 |
1,00000 |
1,00000 |
0,92300 |
||||||||||||||||||||||||||||||||||||||||||||||||||
1,10500 |
1 |
1 |
2 |
ds36.003 |
1.1.2.1.36.3 |
Госпитализация в дневной стационар в диагностических целях с постановкой диагноза туберкулеза, ВИЧ-инфекции, психического заболевания |
0,46000 |
6 586,70 |
6 586,70 |
6 586,70 |
14 039,33 |
1,00000 |
1,00000 |
1,00000 |
0,92300 |
||||||||||||||||||||||||||||||||||||||||||||||||||
1,10500 |
1 |
1 |
2 |
ds36.005 |
1.1.2.1.36.5 |
Отторжение, отмирание трансплантата органов и тканей |
7,40000 |
105 960,03 |
105 960,03 |
105 960,03 |
14 039,33 |
1,00000 |
1,00000 |
1,00000 |
0,92300 |
||||||||||||||||||||||||||||||||||||||||||||||||||
1,10500 |
1 |
1 |
2 |
ds36.006 |
1.1.2.1.36.6 |
Злокачественное новообразование без специального противоопухолевого лечения |
0,40000 |
5 727,57 |
5 727,57 |
5 727,57 |
14 039,33 |
1,00000 |
1,00000 |
1,00000 |
0,92300 |
||||||||||||||||||||||||||||||||||||||||||||||||||
1,10500 |
1 |
1 |
2 |
ds36.007 |
1.1.2.1.36.7 |
Проведение иммунизации против респираторно-синцитиальной вирусной инфекции |
4,23000 |
59 408,01 |
59 408,01 |
59 408,01 |
14 039,33 |
1,00000 |
1,00000 |
1,00000 |
0,92300 |
||||||||||||||||||||||||||||||||||||||||||||||||||
1,10500 |
1 |
1 |
2 |
ds36.008 |
1.1.2.1.36.8 |
Лечение с применением генно-инженерных биологических препаратов и селективных иммунодепрессантов (уровень 1) |
1,29000 |
18 131,84 |
18 131,84 |
18 131,84 |
14 039,33 |
1,00000 |
1,00000 |
1,00000 |
0,92300 |
||||||||||||||||||||||||||||||||||||||||||||||||||
1,10500 |
1 |
1 |
2 |
ds36.009 |
1.1.2.1.36.9 |
Лечение с применением генно-инженерных биологических препаратов и селективных иммунодепрессантов (уровень 2) |
3,23000 |
45 396,07 |
45 396,07 |
45 396,07 |
14 039,33 |
1,00000 |
1,00000 |
1,00000 |
0,92300 |
||||||||||||||||||||||||||||||||||||||||||||||||||
1,10500 |
1 |
1 |
2 |
ds36.010 |
1.1.2.1.36.10 |
Лечение с применением генно-инженерных биологических препаратов и селективных иммунодепрессантов (уровень 3) |
8,93000 |
125 594,43 |
125 594,43 |
125 594,43 |
14 039,33 |
1,00000 |
1,00000 |
1,00000 |
0,92300 |
||||||||||||||||||||||||||||||||||||||||||||||||||
1,10500 |
1 |
1 |
2 |
ds37.001 |
1.1.2.4.37.1 |
Медицинская реабилитация пациентов с заболеваниями центральной нервной системы (2 балла по ШРМ) |
1,98000 |
28 351,47 |
28 351,47 |
28 351,47 |
14 039,33 |
1,00000 |
1,00000 |
1,00000 |
0,92300 |
||||||||||||||||||||||||||||||||||||||||||||||||||
1,10500 |
1 |
1 |
2 |
ds37.002 |
1.1.2.4.37.2 |
Медицинская реабилитация пациентов с заболеваниями центральной нервной системы (3 балла по ШРМ) |
2,31000 |
33 076,71 |
33 076,71 |
33 076,71 |
14 039,33 |
1,00000 |
1,00000 |
1,00000 |
0,92300 |
||||||||||||||||||||||||||||||||||||||||||||||||||
1,10500 |
1 |
1 |
2 |
ds37.003 |
1.1.2.4.37.3 |
Медицинская реабилитация пациентов с заболеваниями опорно-двигательного аппарата и периферической нервной системы (2 балла по ШРМ) |
1,52000 |
21 764,76 |
21 764,76 |
21 764,76 |
14 039,33 |
1,00000 |
1,00000 |
1,00000 |
0,92300 |
||||||||||||||||||||||||||||||||||||||||||||||||||
1,10500 |
1 |
1 |
2 |
ds37.004 |
1.1.2.4.37.4 |
Медицинская реабилитация пациентов с заболеваниями опорно-двигательного аппарата и периферической нервной системы (3 балла по ШРМ) |
1,82000 |
26 060,44 |
26 060,44 |
26 060,44 |
14 039,33 |
1,00000 |
1,00000 |
1,00000 |
0,92300 |
||||||||||||||||||||||||||||||||||||||||||||||||||
1,10500 |
1 |
1 |
2 |
ds37.005 |
1.1.2.4.37.5 |
Медицинская кардиореабилитация (2 балла по ШРМ) |
1,39000 |
19 903,30 |
19 903,30 |
19 903,30 |
14 039,33 |
1,00000 |
1,00000 |
1,00000 |
0,92300 |
||||||||||||||||||||||||||||||||||||||||||||||||||
1,10500 |
1 |
1 |
2 |
ds37.006 |
1.1.2.4.37.6 |
Медицинская кардиореабилитация (3 балла по ШРМ) |
1,67000 |
23 912,60 |
23 912,60 |
23 912,60 |
14 039,33 |
1,00000 |
1,00000 |
1,00000 |
0,92300 |
||||||||||||||||||||||||||||||||||||||||||||||||||
1,10500 |
1 |
1 |
2 |
ds37.007 |
1.1.2.4.37.7 |
Медицинская реабилитация при других соматических заболеваниях (2 балла по ШРМ) |
0,85000 |
12 171,08 |
12 171,08 |
12 171,08 |
14 039,33 |
1,00000 |
1,00000 |
1,00000 |
0,92300 |
||||||||||||||||||||||||||||||||||||||||||||||||||
1,10500 |
1 |
1 |
2 |
ds37.008 |
1.1.2.4.37.8 |
Медицинская реабилитация при других соматических заболеваниях (3 балла по ШРМ) |
1,09000 |
15 607,63 |
15 607,63 |
15 607,63 |
14 039,33 |
1,00000 |
1,00000 |
1,00000 |
0,92300 |
||||||||||||||||||||||||||||||||||||||||||||||||||
1,10500 |
1 |
1 |
2 |
ds37.009 |
1.1.2.4.37.9 |
Медицинская реабилитация детей, перенесших заболевания перинатального периода |
1,50000 |
21 478,38 |
21 478,38 |
21 478,38 |
14 039,33 |
1,00000 |
1,00000 |
1,00000 |
0,92300 |
||||||||||||||||||||||||||||||||||||||||||||||||||
1,10500 |
1 |
1 |
2 |
ds37.010 |
1.1.2.4.37.10 |
Медицинская реабилитация детей с нарушениями слуха без замены речевого процессора системы кохлеарной имплантации |
1,80000 |
25 774,06 |
25 774,06 |
25 774,06 |
14 039,33 |
1,00000 |
1,00000 |
1,00000 |
0,92300 |
||||||||||||||||||||||||||||||||||||||||||||||||||
1,10500 |
1 |
1 |
2 |
ds37.011 |
1.1.2.4.37.11 |
Медицинская реабилитация детей с поражениями центральной нервной системы |
2,75000 |
39 377,04 |
39 377,04 |
39 377,04 |
14 039,33 |
1,00000 |
1,00000 |
1,00000 |
0,92300 |
||||||||||||||||||||||||||||||||||||||||||||||||||
1,10500 |
1 |
1 |
2 |
ds37.012 |
1.1.2.4.37.12 |
Медицинская реабилитация детей после хирургической коррекции врожденных пороков развития органов и систем |
2,35000 |
33 649,47 |
33 649,47 |
33 649,47 |
14 039,33 |
1,00000 |
1,00000 |
1,00000 |
0,92300 |
||||||||||||||||||||||||||||||||||||||||||||||||||
1,10500 |
1 |
1 |
2 |
ds37.013 |
1.1.2.4.37.13 |
Медицинская реабилитация после онкоортопедических операций |
1,76000 |
25 201,30 |
25 201,30 |
25 201,30 |
14 039,33 |
1,00000 |
1,00000 |
1,00000 |
0,92300 |
||||||||||||||||||||||||||||||||||||||||||||||||||
1,10500 |
1 |
1 |
2 |
ds37.014 |
1.1.2.4.37.14 |
Медицинская реабилитация по поводу постмастэктомического синдрома в онкологии |
1,51000 |
21 621,57 |
21 621,57 |
21 621,57 |
14 039,33 |
1,00000 |
1,00000 |
1,00000 |
0,92300 |
||||||||||||||||||||||||||||||||||||||||||||||||||
1,10500 |
1 |
1 |
2 |
ds37.015 |
1.1.2.4.37.15 |
Медицинская реабилитация после перенесенной коронавирусной инфекции COVID-19 (2 балла по ШРМ) |
1,00000 |
14 318,92 |
14 318,92 |
14 318,92 |
14 039,33 |
1,00000 |
1,00000 |
1,00000 |
0,92300 |
||||||||||||||||||||||||||||||||||||||||||||||||||
1,10500 |
1 |
1 |
2 |
ds37.016 |
1.1.2.4.37.16 |
Медицинская реабилитация после перенесенной коронавирусной инфекции COVID-19 (3 балла по ШРМ) |
1,40000 |
20 046,49 |
20 046,49 |
20 046,49 |
14 039,33 |
1,00000 |
1,00000 |
1,00000 |
0,92300 |
||||||||||||||||||||||||||||||||||||||||||||||||||
1,28000 |
1 |
1 |
3 |
|
1.1.3.169 |
Проведение молекулярно-генетического исследования при злокачественном новообразовании бронхов и легкого (C34) |
1,00000 |
17 473,87 |
17 473,87 |
17 473,87 |
13 651,46 |
1,00000 |
1,00000 |
1,00000 |
1,00000 |
||||||||||||||||||||||||||||||||||||||||||||||||||
1,28000 |
1 |
1 |
3 |
|
1.1.3.170 |
Проведение молекулярно-генетического исследования при злокачественном новообразовании кишечника (C18-С20) |
1,00000 |
17 581,56 |
17 581,56 |
17 581,56 |
13 735,59 |
1,00000 |
1,00000 |
1,00000 |
1,00000 |
||||||||||||||||||||||||||||||||||||||||||||||||||
1,28000 |
1 |
1 |
3 |
|
1.1.3.171 |
Проведение молекулярно-генетического исследования при злокачественном новообразовании кожи (меланома кожи C43) |
1,00000 |
7 728,56 |
7 728,56 |
7 728,56 |
6 037,94 |
1,00000 |
1,00000 |
1,00000 |
1,00000 |
||||||||||||||||||||||||||||||||||||||||||||||||||
1,28000 |
1 |
1 |
3 |
|
1.1.3.172 |
Проведение молекулярно-генетического исследования при злокачественном новообразовании поджелудочной железы (C25) |
1,00000 |
2 951,77 |
2 951,77 |
2 951,77 |
2 306,07 |
1,00000 |
1,00000 |
1,00000 |
1,00000 |
||||||||||||||||||||||||||||||||||||||||||||||||||
1,28000 |
1 |
1 |
3 |
|
1.1.3.173 |
Проведение молекулярно-генетического исследования при злокачественном новообразовании яичника (C56) |
1,00000 |
5 904,19 |
5 904,19 |
5 904,19 |
4 612,65 |
1,00000 |
1,00000 |
1,00000 |
1,00000 |
||||||||||||||||||||||||||||||||||||||||||||||||||
1,28000 |
1 |
1 |
3 |
|
1.1.3.174 |
Проведение молекулярно-генетического исследования при злокачественном новообразовании молочной железы (C50) |
1,00000 |
7 514,25 |
7 514,25 |
7 514,25 |
5 870,51 |
1,00000 |
1,00000 |
1,00000 |
1,00000 |
||||||||||||||||||||||||||||||||||||||||||||||||||
1,28000 |
1 |
1 |
3 |
|
1.1.3.175 |
Проведение молекулярно-генетического исследования при злокачественных новообразованиях лимфоидной и кроветворной тканей |
1,00000 |
11 071,96 |
11 071,96 |
11 071,96 |
8 649,97 |
1,00000 |
1,00000 |
1,00000 |
1,00000 |
||||||||||||||||||||||||||||||||||||||||||||||||||
1,28000 |
1 |
1 |
3 |
|
1.1.3.176 |
Молекулярно-биологическое исследование отделяемого из цервикального канала на вирус папилломы человека (Papilloma virus) |
1,00000 |
1 801,13 |
1 801,13 |
1 801,13 |
1 407,13 |
1,00000 |
1,00000 |
1,00000 |
1,00000 |
||||||||||||||||||||||||||||||||||||||||||||||||||
1,28000 |
1 |
1 |
3 |
|
1.1.3.182 |
Обращение (законченный случай) оказания амбулаторной помощи |
1,00000 |
989,79 |
989,79 |
989,79 |
773,27 |
1,00000 |
1,00000 |
1,00000 |
1,00000 |
||||||||||||||||||||||||||||||||||||||||||||||||||
1,28000 |
1 |
1 |
3 |
|
1.1.3.183 |
Врачебное посещение |
1,00000 |
270,71 |
270,71 |
270,71 |
211,49 |
1,00000 |
1,00000 |
1,00000 |
1,00000 |
||||||||||||||||||||||||||||||||||||||||||||||||||
1,28000 |
1 |
1 |
3 |
|
1.1.3.196 |
Посещение при оказании неотложной помощи (ФАП) |
1,00000 |
903,64 |
903,64 |
903,64 |
705,97 |
1,00000 |
1,00000 |
1,00000 |
1,00000 |
||||||||||||||||||||||||||||||||||||||||||||||||||
1,28000 |
1 |
1 |
2 |
|
1.1.2.22 |
Гемодиализ |
1,00000 |
3 334,87 |
3 334,87 |
3 334,87 |
3 158,02 |
1,00000 |
1,00000 |
1,00000 |
1,00000 |
||||||||||||||||||||||||||||||||||||||||||||||||||
1,28000 |
1 |
1 |
2 |
|
1.1.2.23 |
Перитонеальный диализ |
1,00000 |
2 599,60 |
2 599,60 |
2 599,60 |
2 494,82 |
1,00000 |
1,00000 |
1,00000 |
1,00000 |
||||||||||||||||||||||||||||||||||||||||||||||||||
1,28000 |
1 |
1 |
3 |
|
1.1.3.019 |
Проведение многосрезовой компьютерной томографии - ангиографии |
1,00000 |
7 552,23 |
7 552,23 |
7 552,23 |
5 900,18 |
1,00000 |
1,00000 |
1,00000 |
1,00000 |
||||||||||||||||||||||||||||||||||||||||||||||||||
1,28000 |
1 |
1 |
3 |
|
1.1.3.023 |
Проведение многосрезовой компьютерной томографии с болюсным контрастированием |
1,00000 |
7 452,20 |
7 452,20 |
7 452,20 |
5 822,03 |
1,00000 |
1,00000 |
1,00000 |
1,00000 |
||||||||||||||||||||||||||||||||||||||||||||||||||
1,28000 |
1 |
1 |
3 |
|
1.1.3.024 |
Проведение ядерно-магнитно-резонансной томографии |
1,00000 |
2 231,10 |
2 231,10 |
2 231,10 |
1 743,05 |
1,00000 |
1,00000 |
1,00000 |
1,00000 |
||||||||||||||||||||||||||||||||||||||||||||||||||
1,28000 |
1 |
1 |
3 |
|
1.1.3.025 |
Проведение ядерно-магнитно-резонансной томографии с контрастным усилением |
1,00000 |
9 392,79 |
9 392,79 |
9 392,79 |
7 338,12 |
1,00000 |
1,00000 |
1,00000 |
1,00000 |
||||||||||||||||||||||||||||||||||||||||||||||||||
1,28000 |
1 |
1 |
3 |
|
1.1.3.026 |
Проведение сцинтиграфии |
1,00000 |
1 998,45 |
1 998,45 |
1 998,45 |
1 561,29 |
1,00000 |
1,00000 |
1,00000 |
1,00000 |
||||||||||||||||||||||||||||||||||||||||||||||||||
1,28000 |
1 |
1 |
3 |
|
1.1.3.027 |
Проведение однофотонной эмиссионной компьютерной томографии |
1,00000 |
12 321,92 |
12 321,92 |
12 321,92 |
9 626,50 |
1,00000 |
1,00000 |
1,00000 |
1,00000 |
||||||||||||||||||||||||||||||||||||||||||||||||||
1,28000 |
1 |
1 |
3 |
|
1.1.3.028 |
Проведение позитронно-эмиссионной компьютерной томографии совмещенной с компьютерной томографией |
1,00000 |
53 226,69 |
53 226,69 |
53 226,69 |
41 583,35 |
1,00000 |
1,00000 |
1,00000 |
1,00000 |
||||||||||||||||||||||||||||||||||||||||||||||||||
1,28000 |
1 |
1 |
3 |
|
1.1.3.031 |
Обращение (законченный случай) оказания скринингового эндоскопического обследования |
1,00000 |
1 422,27 |
1 422,27 |
1 422,27 |
1 111,15 |
1,00000 |
1,00000 |
1,00000 |
1,00000 |
||||||||||||||||||||||||||||||||||||||||||||||||||
1,28000 |
1 |
1 |
3 |
|
1.1.3.049 |
Проведение общеклинического, в том числе гематологического, исследования |
1,00000 |
58,00 |
58,00 |
58,00 |
45,31 |
1,00000 |
1,00000 |
1,00000 |
1,00000 |
||||||||||||||||||||||||||||||||||||||||||||||||||
1,28000 |
1 |
1 |
3 |
|
1.1.3.050 |
Проведение биохимического исследования |
1,00000 |
104,32 |
104,32 |
104,32 |
81,50 |
1,00000 |
1,00000 |
1,00000 |
1,00000 |
||||||||||||||||||||||||||||||||||||||||||||||||||
1,28000 |
1 |
1 |
3 |
|
1.1.3.051 |
Проведение коагулогического исследования |
1,00000 |
111,83 |
111,83 |
111,83 |
87,37 |
1,00000 |
1,00000 |
1,00000 |
1,00000 |
||||||||||||||||||||||||||||||||||||||||||||||||||
1,28000 |
1 |
1 |
3 |
|
1.1.3.052 |
Проведение иммунологического, в том числе иммуносерологического, иммунохимического исследования |
1,00000 |
169,11 |
169,11 |
169,11 |
132,12 |
1,00000 |
1,00000 |
1,00000 |
1,00000 |
||||||||||||||||||||||||||||||||||||||||||||||||||
1,28000 |
1 |
1 |
3 |
|
1.1.3.054 |
Проведение диагностического обследования призывников |
1,00000 |
1 855,13 |
1 855,13 |
1 855,13 |
1 449,32 |
1,00000 |
1,00000 |
1,00000 |
1,00000 |
||||||||||||||||||||||||||||||||||||||||||||||||||
1,28000 |
1 |
1 |
3 |
|
1.1.3.066 |
Проведение многосрезовой компьютерной томографии |
1,00000 |
2 548,44 |
2 548,44 |
2 548,44 |
1 990,97 |
1,00000 |
1,00000 |
1,00000 |
1,00000 |
||||||||||||||||||||||||||||||||||||||||||||||||||
1,28000 |
1 |
1 |
3 |
|
1.1.3.097 |
Проведение скринингового эндоскопического обследования органов желудочно-кишечного тракта |
1,00000 |
7 400,60 |
7 400,60 |
7 400,60 |
5 781,72 |
1,00000 |
1,00000 |
1,00000 |
1,00000 |
||||||||||||||||||||||||||||||||||||||||||||||||||
1,28000 |
1 |
1 |
3 |
|
1.1.3.132 |
Проведение цитологического исследования |
1,00000 |
335,35 |
335,35 |
335,35 |
261,99 |
1,00000 |
1,00000 |
1,00000 |
1,00000 |
||||||||||||||||||||||||||||||||||||||||||||||||||
1,28000 |
1 |
1 |
3 |
|
1.1.3.148 |
Проведение цитологического исследования (методом жидкостной цитологии) |
1,00000 |
949,39 |
949,39 |
949,39 |
741,71 |
1,00000 |
1,00000 |
1,00000 |
1,00000 |
||||||||||||||||||||||||||||||||||||||||||||||||||
1,28000 |
1 |
1 |
3 |
|
1.1.3.133 |
Обращение (законченный случай) проведения неполного цикла ЭКО (размораживание криоконсервированных эмбрионов с последующим переносом эмбрионов в полость матки) |
1,00000 |
30 549,58 |
30 549,58 |
30 549,58 |
23 866,86 |
1,00000 |
1,00000 |
1,00000 |
1,00000 |
||||||||||||||||||||||||||||||||||||||||||||||||||
1,28000 |
1 |
1 |
3 |
|
1.1.3.001 |
Обращение (законченный случай) оказания амбулаторной помощи |
1,00000 |
989,79 |
989,79 |
989,79 |
773,27 |
1,00000 |
1,00000 |
1,00000 |
1,00000 |
||||||||||||||||||||||||||||||||||||||||||||||||||
1,28000 |
1 |
1 |
3 |
|
1.1.3.138 |
Обращение (законченный случай) оказания амбулаторной помощи (специализированная ПМСП) |
1,00000 |
906,51 |
906,51 |
906,51 |
708,21 |
1,00000 |
1,00000 |
1,00000 |
1,00000 |
||||||||||||||||||||||||||||||||||||||||||||||||||
1,28000 |
1 |
1 |
3 |
|
1.1.3.004 |
Обращение (законченный случай) лечения в приемном отделении стационара |
1,00000 |
544,19 |
544,19 |
544,19 |
425,15 |
1,00000 |
1,00000 |
1,00000 |
1,00000 |
||||||||||||||||||||||||||||||||||||||||||||||||||
1,28000 |
1 |
1 |
3 |
|
1.1.3.008 |
Обращение (законченный случай) консультативной помощи при выездной форме работы |
1,00000 |
1 770,98 |
1 770,98 |
1 770,98 |
1 383,58 |
1,00000 |
1,00000 |
1,00000 |
1,00000 |
||||||||||||||||||||||||||||||||||||||||||||||||||
1,28000 |
1 |
1 |
3 |
|
1.1.3.017 |
Обращение (законченный случай) обследования и лечения в приемном отделении стационара (неврологическая и нейрохирургическая помощь) |
1,00000 |
2 983,12 |
2 983,12 |
2 983,12 |
2 330,56 |
1,00000 |
1,00000 |
1,00000 |
1,00000 |
||||||||||||||||||||||||||||||||||||||||||||||||||
1,28000 |
1 |
1 |
3 |
|
1.1.3.098 |
Обращение (законченный случай) амбулаторной урологии |
1,00000 |
14 275,67 |
14 275,67 |
14 275,67 |
11 152,87 |
1,00000 |
1,00000 |
1,00000 |
1,00000 |
||||||||||||||||||||||||||||||||||||||||||||||||||
1,28000 |
1 |
1 |
3 |
|
1.1.3.113 |
Обращение (законченный случай) оказания амбулаторной акушерско-гинекологической помощи |
1,00000 |
547,55 |
547,55 |
547,55 |
427,77 |
1,00000 |
1,00000 |
1,00000 |
1,00000 |
||||||||||||||||||||||||||||||||||||||||||||||||||
1,28000 |
1 |
1 |
3 |
|
1.1.3.010 |
Посещение при оказании неотложной помощи |
1,00000 |
903,64 |
903,64 |
903,64 |
705,97 |
1,00000 |
1,00000 |
1,00000 |
1,00000 |
||||||||||||||||||||||||||||||||||||||||||||||||||
1,28000 |
1 |
1 |
3 |
|
1.1.3.005 |
Врачебное посещение |
1,00000 |
270,71 |
270,71 |
270,71 |
211,49 |
1,00000 |
1,00000 |
1,00000 |
1,00000 |
||||||||||||||||||||||||||||||||||||||||||||||||||
1,28000 |
1 |
1 |
3 |
|
1.1.3.139 |
Врачебное посещение (специализированная ПМСП) |
1,00000 |
270,71 |
270,71 |
270,71 |
211,49 |
1,00000 |
1,00000 |
1,00000 |
1,00000 |
||||||||||||||||||||||||||||||||||||||||||||||||||
1,28000 |
1 |
1 |
3 |
|
1.1.3.137 |
УЕТ Центров здоровья |
1,00000 |
232,42 |
232,42 |
232,42 |
181,58 |
1,00000 |
1,00000 |
1,00000 |
1,00000 |
||||||||||||||||||||||||||||||||||||||||||||||||||
1,28000 |
1 |
1 |
3 |
|
1.1.3.009 |
Консультативный прием |
1,00000 |
610,55 |
610,55 |
610,55 |
476,99 |
1,00000 |
1,00000 |
1,00000 |
1,00000 |
||||||||||||||||||||||||||||||||||||||||||||||||||
1,28000 |
1 |
1 |
3 |
|
1.1.3.011 |
Обращение (законченный случай) экстренной иммунопрофилактики бешенства |
1,00000 |
3 653,07 |
3 653,07 |
3 653,07 |
2 853,96 |
1,00000 |
1,00000 |
1,00000 |
1,00000 |
||||||||||||||||||||||||||||||||||||||||||||||||||
1,28000 |
1 |
1 |
3 |
|
1.1.3.012 |
Проведение экстренной иммунопрофилактики клещевого вирусного энцефалита у детей |
1,00000 |
3 289,33 |
3 289,33 |
3 289,33 |
2 569,79 |
1,00000 |
1,00000 |
1,00000 |
1,00000 |
||||||||||||||||||||||||||||||||||||||||||||||||||
1,28000 |
1 |
1 |
3 |
|
1.1.3.013 |
Проведение экстренной иммунопрофилактики клещевого вирусного энцефалита у взрослых |
1,00000 |
8 484,63 |
8 484,63 |
8 484,63 |
6 628,62 |
1,00000 |
1,00000 |
1,00000 |
1,00000 |
||||||||||||||||||||||||||||||||||||||||||||||||||
1,28000 |
1 |
1 |
3 |
|
1.1.3.016 |
Обращение (законченный случай) комплексного обследования в Центре здоровья |
1,00000 |
1 668,75 |
1 668,75 |
1 668,75 |
1 303,71 |
1,00000 |
1,00000 |
1,00000 |
1,00000 |
||||||||||||||||||||||||||||||||||||||||||||||||||
1,28000 |
1 |
1 |
3 |
|
1.1.3.095 |
Обращение (законченный случай) при проведении профилактического медицинского осмотра несовершеннолетних |
1,00000 |
2 564,56 |
2 564,56 |
2 564,56 |
2 003,56 |
1,00000 |
1,00000 |
1,00000 |
1,00000 |
||||||||||||||||||||||||||||||||||||||||||||||||||
1,28000 |
1 |
1 |
3 |
|
1.1.3.105 |
Обращение (законченный случай) проведения диспансеризации взрослого населения 2 этап (мужчины) |
1,00000 |
1 458,01 |
1 458,01 |
1 458,01 |
1 139,07 |
1,00000 |
1,00000 |
1,00000 |
1,00000 |
||||||||||||||||||||||||||||||||||||||||||||||||||
1,28000 |
1 |
1 |
3 |
|
1.1.3.111 |
Обращение (законченный случай) проведения диспансеризации взрослого населения 2 этап (женщины) |
1,00000 |
1 657,13 |
1 657,13 |
1 657,13 |
1 294,63 |
1,00000 |
1,00000 |
1,00000 |
1,00000 |
||||||||||||||||||||||||||||||||||||||||||||||||||
1,28000 |
1 |
1 |
3 |
|
1.1.3.926 |
Подушевого норматива финансирования на прикрепившихся лиц с учетом показателей результативности деятельности медицинской организации |
1,00000 |
2 175,46 |
2 175,46 |
2 175,46 |
2 175,46 |
1,00000 |
1,00000 |
1,00000 |
1,00000 |
||||||||||||||||||||||||||||||||||||||||||||||||||
1,28000 |
1 |
1 |
3 |
|
1.1.3.945 |
Подушевого норматива финансирования на прикрепившихся лиц с учетом показателей результативности деятельности медицинской организации (5% для расчета финансирования) |
1,00000 |
2 175,46 |
2 175,46 |
2 175,46 |
2 175,46 |
1,00000 |
1,00000 |
1,00000 |
1,00000 |
||||||||||||||||||||||||||||||||||||||||||||||||||
1,28000 |
1 |
1 |
4 |
|
1.1.4.001 |
Вызов с проведением системного тромболизиса на догоспитальном этапе |
1,00000 |
184 250,29 |
184 250,29 |
184 250,29 |
143 945,54 |
1,00000 |
1,00000 |
1,00000 |
1,00000 |
||||||||||||||||||||||||||||||||||||||||||||||||||
1,28000 |
1 |
1 |
4 |
|
1.1.4.005 |
Вызов скорой медицинской помощи |
1,00000 |
3 544,40 |
3 544,40 |
3 544,40 |
2 769,06 |
1,00000 |
1,00000 |
1,00000 |
1,00000 |
||||||||||||||||||||||||||||||||||||||||||||||||||
1,28000 |
1 |
1 |
4 |
|
1.1.4.926 |
Подушевой норматив финансирования скорой медицинской помощи, оказываемой вне медицинской организации |
1,00000 |
825,45 |
825,45 |
825,45 |
825,45 |
1,00000 |
1,00000 |
1,00000 |
1,00000 |
||||||||||||||||||||||||||||||||||||||||||||||||||
1,28000 |
1 |
1 |
3 |
|
1.1.3.140 |
Проведение маммографии (специализированная ПМСП) |
1,00000 |
1 155,89 |
1 155,89 |
1 155,89 |
903,04 |
1,00000 |
1,00000 |
1,00000 |
1,00000 |
||||||||||||||||||||||||||||||||||||||||||||||||||
1,28000 |
1 |
1 |
3 |
|
1.1.3.141 |
Определение уровня ПСА (специализированная ПМСП) |
1,00000 |
577,89 |
577,89 |
577,89 |
451,48 |
1,00000 |
1,00000 |
1,00000 |
1,00000 |
||||||||||||||||||||||||||||||||||||||||||||||||||
1,28000 |
1 |
1 |
3 |
|
1.1.3.142 |
Комплексное посещение при проведении диспансеризации взрослого населения (мужчины, 18, 21, 24, 27, 30, 33, 36, 39 лет) |
1,00000 |
1 717,79 |
1 717,79 |
1 717,79 |
1 342,02 |
1,00000 |
1,00000 |
1,00000 |
1,00000 |
||||||||||||||||||||||||||||||||||||||||||||||||||
1,28000 |
1 |
1 |
3 |
|
1.1.3.143 |
Комплексное посещение при проведении диспансеризации взрослого населения (женщины, 18, 21, 24, 27, 30, 33, 36, 39 лет) |
1,00000 |
3 850,21 |
3 850,21 |
3 850,21 |
3 007,98 |
1,00000 |
1,00000 |
1,00000 |
1,00000 |
||||||||||||||||||||||||||||||||||||||||||||||||||
1,28000 |
1 |
1 |
3 |
|
1.1.3.144 |
Комплексное посещение при проведении диспансеризации взрослого населения (мужчины, с 40 до 64 лет) |
1,00000 |
2 083,79 |
2 083,79 |
2 083,79 |
1 627,96 |
1,00000 |
1,00000 |
1,00000 |
1,00000 |
||||||||||||||||||||||||||||||||||||||||||||||||||
1,28000 |
1 |
1 |
3 |
|
1.1.3.145 |
Комплексное посещение при проведении диспансеризации взрослого населения (женщины, с 40 до 64 лет) |
1,00000 |
4 260,24 |
4 260,24 |
4 260,24 |
3 328,31 |
1,00000 |
1,00000 |
1,00000 |
1,00000 |
||||||||||||||||||||||||||||||||||||||||||||||||||
1,28000 |
1 |
1 |
3 |
|
1.1.3.146 |
Комплексное посещение при проведении диспансеризации взрослого населения (мужчины старше 65 лет) |
1,00000 |
3 125,66 |
3 125,66 |
3 125,66 |
2 441,92 |
1,00000 |
1,00000 |
1,00000 |
1,00000 |
||||||||||||||||||||||||||||||||||||||||||||||||||
1,28000 |
1 |
1 |
3 |
|
1.1.3.147 |
Комплексное посещение при проведении диспансеризации взрослого населения (женщины старше 65 лет) |
1,00000 |
2 083,79 |
2 083,79 |
2 083,79 |
1 627,96 |
1,00000 |
1,00000 |
1,00000 |
1,00000 |
||||||||||||||||||||||||||||||||||||||||||||||||||
1,28000 |
1 |
1 |
3 |
|
1.1.3.149 |
Врачебное посещение ЦАОП |
1,00000 |
610,55 |
610,55 |
610,55 |
476,99 |
1,00000 |
1,00000 |
1,00000 |
1,00000 |
||||||||||||||||||||||||||||||||||||||||||||||||||
1,28000 |
1 |
1 |
3 |
|
1.1.3.150 |
Гемодиализ |
1,00000 |
3 334,87 |
3 334,87 |
3 334,87 |
3 158,02 |
1,00000 |
1,00000 |
1,00000 |
1,00000 |
||||||||||||||||||||||||||||||||||||||||||||||||||
1,28000 |
1 |
1 |
3 |
|
1.1.3.151 |
Обращение (законченный случай) диспансерного наблюдения ЦАОП |
1,00000 |
999,12 |
999,12 |
999,12 |
780,56 |
1,00000 |
1,00000 |
1,00000 |
1,00000 |
||||||||||||||||||||||||||||||||||||||||||||||||||
1,28000 |
1 |
1 |
3 |
|
1.1.3.152 |
Обращение (законченный случай) оказания медицинской помощи ЦАОП |
1,00000 |
906,51 |
906,51 |
906,51 |
708,21 |
1,00000 |
1,00000 |
1,00000 |
1,00000 |
||||||||||||||||||||||||||||||||||||||||||||||||||
1,28000 |
1 |
1 |
3 |
|
1.1.3.153 |
Обращение (законченный случай) проведения профилактических медицинских осмотров взрослого женского населения |
1,00000 |
2 641,66 |
2 641,66 |
2 641,66 |
2 063,80 |
1,00000 |
1,00000 |
1,00000 |
1,00000 |
||||||||||||||||||||||||||||||||||||||||||||||||||
1,28000 |
1 |
1 |
3 |
|
1.1.3.154 |
Обращение (законченный случай) проведения профилактических медицинских осмотров взрослого мужского населения |
1,00000 |
2 483,16 |
2 483,16 |
2 483,16 |
1 939,97 |
1,00000 |
1,00000 |
1,00000 |
1,00000 |
||||||||||||||||||||||||||||||||||||||||||||||||||
1,28000 |
1 |
1 |
3 |
|
1.1.3.155 |
Проведение исследования кала на скрытую кровь иммунохроматографическим методом |
1,00000 |
757,50 |
757,50 |
757,50 |
591,80 |
1,00000 |
1,00000 |
1,00000 |
1,00000 |
||||||||||||||||||||||||||||||||||||||||||||||||||
1,28000 |
1 |
1 |
3 |
|
1.1.3.156 |
УЕТ для профилактической стоматологической помощи |
1,00000 |
237,31 |
237,31 |
237,31 |
185,40 |
1,00000 |
1,00000 |
1,00000 |
1,00000 |
||||||||||||||||||||||||||||||||||||||||||||||||||
1,28000 |
1 |
1 |
3 |
|
1.1.3.157 |
Ультразвуковое исследование в рамках II - III этапа пренатального скрининга |
1,00000 |
662,71 |
662,71 |
662,71 |
517,74 |
1,00000 |
1,00000 |
1,00000 |
1,00000 |
||||||||||||||||||||||||||||||||||||||||||||||||||
1,28000 |
1 |
1 |
3 |
|
1.1.3.158 |
Ультразвуковое исследование сердечно-сосудистой системы |
1,00000 |
628,58 |
628,58 |
628,58 |
491,08 |
1,00000 |
1,00000 |
1,00000 |
1,00000 |
||||||||||||||||||||||||||||||||||||||||||||||||||
1,28000 |
1 |
1 |
3 |
|
1.1.3.159 |
Посещение при диспансерном наблюдении |
1,00000 |
270,71 |
270,71 |
270,71 |
211,49 |
1,00000 |
1,00000 |
1,00000 |
1,00000 |
||||||||||||||||||||||||||||||||||||||||||||||||||
1,28000 |
1 |
1 |
3 |
|
1.1.3.160 |
Обращение (законченный случай) оказания акушерско-гинекологической помощи с профилактической целью |
1,00000 |
662,40 |
662,40 |
662,40 |
517,50 |
1,00000 |
1,00000 |
1,00000 |
1,00000 |
||||||||||||||||||||||||||||||||||||||||||||||||||
1,28000 |
1 |
1 |
3 |
|
1.1.3.943 |
Фельдшерский, фельдшерско-акушерский пункт, обслуживающий свыше 2 000 жителей (соответствующие приказу МЗ РФ) |
1,00000 |
632 896,00 |
632 896,00 |
632 896,00 |
494 450,00 |
1,00000 |
1,00000 |
1,00000 |
1,00000 |
||||||||||||||||||||||||||||||||||||||||||||||||||
1,28000 |
1 |
1 |
3 |
|
1.1.3.161 |
Обращение (законченный случай) лечения при диспансерном наблюдении |
1,00000 |
999,12 |
999,12 |
999,12 |
780,56 |
1,00000 |
1,00000 |
1,00000 |
1,00000 |
||||||||||||||||||||||||||||||||||||||||||||||||||
1,28000 |
1 |
1 |
3 |
|
1.1.3.162 |
УЕТ для стоматологической помощи |
1,00000 |
216,78 |
216,78 |
216,78 |
169,36 |
1,00000 |
1,00000 |
1,00000 |
1,00000 |
||||||||||||||||||||||||||||||||||||||||||||||||||
1,28000 |
1 |
1 |
3 |
|
1.1.3.163 |
Обращение (законченный случай) проведения диспансеризации пребывающих в стационарных условиях детей-сирот и детей, находящихся в трудной жизненной ситуации |
1,00000 |
14 094,55 |
14 094,55 |
14 094,55 |
11 011,37 |
1,00000 |
1,00000 |
1,00000 |
1,00000 |
||||||||||||||||||||||||||||||||||||||||||||||||||
1,28000 |
1 |
1 |
3 |
|
1.1.3.195 |
Проведения диспансеризации пребывающих в стационарных условиях детей-сирот и детей, находящихся в трудной жизненной ситуации |
1,00000 |
14 094,55 |
14 094,55 |
14 094,55 |
11 011,37 |
1,00000 |
1,00000 |
1,00000 |
1,00000 |
||||||||||||||||||||||||||||||||||||||||||||||||||
1,28000 |
1 |
1 |
3 |
|
1.1.3.164 |
Обращение (законченный случай) проведения диспансеризации детей-сирот и детей, оставшихся без попечения родителей |
1,00000 |
14 094,55 |
14 094,55 |
14 094,55 |
11 011,37 |
1,00000 |
1,00000 |
1,00000 |
1,00000 |
||||||||||||||||||||||||||||||||||||||||||||||||||
1,28000 |
1 |
1 |
3 |
|
1.1.3.165 |
Молекулярно-биологическое исследование на новую коронавирусную инфекцию COVID-19 |
1,00000 |
758,76 |
758,76 |
758,76 |
592,78 |
1,00000 |
1,00000 |
1,00000 |
1,00000 |
||||||||||||||||||||||||||||||||||||||||||||||||||
1,28000 |
1 |
1 |
3 |
|
1.1.3.185 |
Комплексное посещение при проведении углубленной диспансеризации взрослого населения |
1,00000 |
987,39 |
987,39 |
987,39 |
771,40 |
1,00000 |
1,00000 |
1,00000 |
1,00000 |
||||||||||||||||||||||||||||||||||||||||||||||||||
1,28000 |
1 |
1 |
3 |
|
1.1.3.186 |
Проведение теста с 6-минутной ходьбой |
1,00000 |
81,54 |
81,54 |
81,54 |
63,70 |
1,00000 |
1,00000 |
1,00000 |
1,00000 |
||||||||||||||||||||||||||||||||||||||||||||||||||
1,28000 |
1 |
1 |
3 |
|
1.1.3.187 |
Определение концентрации Д-димера в крови |
1,00000 |
569,86 |
569,86 |
569,86 |
445,20 |
1,00000 |
1,00000 |
1,00000 |
1,00000 |
||||||||||||||||||||||||||||||||||||||||||||||||||
1,28000 |
1 |
1 |
3 |
|
1.1.3.188 |
Проведение эхокардиографии |
1,00000 |
1 859,58 |
1 859,58 |
1 859,58 |
1 452,80 |
1,00000 |
1,00000 |
1,00000 |
1,00000 |
||||||||||||||||||||||||||||||||||||||||||||||||||
1,28000 |
1 |
1 |
3 |
|
1.1.3.189 |
Проведение компьютерной томографии легких |
1,00000 |
1 448,45 |
1 448,45 |
1 448,45 |
1 131,60 |
1,00000 |
1,00000 |
1,00000 |
1,00000 |
||||||||||||||||||||||||||||||||||||||||||||||||||
1,28000 |
1 |
1 |
3 |
|
1.1.3.190 |
Проведение дуплексного сканирования вен нижних конечностей |
1,00000 |
1 549,57 |
1 549,57 |
1 549,57 |
1 210,60 |
1,00000 |
1,00000 |
1,00000 |
1,00000 |
||||||||||||||||||||||||||||||||||||||||||||||||||
1,28000 |
1 |
1 |
3 |
|
1.1.3.191 |
Обращение в связи с заболеваниями при оказании медицинской реабилитации |
1,00000 |
23 620,03 |
23 620,03 |
23 620,03 |
18 453,15 |
1,00000 |
1,00000 |
1,00000 |
1,00000 |
||||||||||||||||||||||||||||||||||||||||||||||||||
1,28000 |
1 |
1 |
3 |
|
1.1.3.192 |
Проведение молекулярно-генетического исследования при злокачественном новообразовании |
1,00000 |
0,00 |
0,00 |
0,00 |
0,00 |
1,00000 |
1,00000 |
1,00000 |
1,00000 |
||||||||||||||||||||||||||||||||||||||||||||||||||
1,28000 |
1 |
1 |
3 |
|
1.1.3.193 |
Проведение патологоанатомических исследований биопсийного (операционного) материала с целью диагностики онкологических заболеваний и подбора противоопухолевой лекарственной терапии |
1,00000 |
2 605,38 |
2 605,38 |
2 605,38 |
2 035,45 |
1,00000 |
1,00000 |
1,00000 |
1,00000 |
||||||||||||||||||||||||||||||||||||||||||||||||||
1,28000 |
1 |
1 |
3 |
|
1.1.3.194 |
Проведение патологоанатомических исследований биопсийного (операционного) материала |
1,00000 |
0,00 |
0,00 |
0,00 |
0,00 |
1,00000 |
1,00000 |
1,00000 |
1,00000 |
||||||||||||||||||||||||||||||||||||||||||||||||||
1,28000 |
1 |
1 |
1 |
|
1.1.1.00.01 |
Абдоминальная хирургия 1 |
1,00000 |
192 747,46 |
192 747,46 |
192 747,46 |
182 526,00 |
1,00000 |
1,00000 |
1,00000 |
1,00000 |
||||||||||||||||||||||||||||||||||||||||||||||||||
1,28000 |
1 |
1 |
1 |
|
1.1.1.00.02 |
Абдоминальная хирургия 2 |
1,00000 |
210 761,22 |
210 761,22 |
210 761,22 |
196 459,00 |
1,00000 |
1,00000 |
1,00000 |
1,00000 |
||||||||||||||||||||||||||||||||||||||||||||||||||
1,28000 |
1 |
1 |
1 |
|
1.1.1.00.03 |
Акушерство и гинекология 3 |
1,00000 |
153 014,65 |
153 014,65 |
153 014,65 |
140 072,00 |
1,00000 |
1,00000 |
1,00000 |
1,00000 |
||||||||||||||||||||||||||||||||||||||||||||||||||
1,28000 |
1 |
1 |
1 |
|
1.1.1.00.04 |
Акушерство и гинекология 4 |
1,00000 |
235 540,84 |
235 540,84 |
235 540,84 |
212 352,00 |
1,00000 |
1,00000 |
1,00000 |
1,00000 |
||||||||||||||||||||||||||||||||||||||||||||||||||
1,28000 |
1 |
1 |
1 |
|
1.1.1.00.05 |
Гастроэнтерология 5 |
1,00000 |
155 581,73 |
155 581,73 |
155 581,73 |
146 554,00 |
1,00000 |
1,00000 |
1,00000 |
1,00000 |
||||||||||||||||||||||||||||||||||||||||||||||||||
1,28000 |
1 |
1 |
1 |
|
1.1.1.00.06 |
Гематология 6 |
1,00000 |
177 893,07 |
177 893,07 |
177 893,07 |
164 108,00 |
1,00000 |
1,00000 |
1,00000 |
1,00000 |
||||||||||||||||||||||||||||||||||||||||||||||||||
1,28000 |
1 |
1 |
1 |
|
1.1.1.00.09 |
Дерматовенерология 9 |
1,00000 |
121 241,11 |
121 241,11 |
121 241,11 |
110 986,00 |
1,00000 |
1,00000 |
1,00000 |
1,00000 |
||||||||||||||||||||||||||||||||||||||||||||||||||
1,28000 |
1 |
1 |
1 |
|
1.1.1.00.10 |
Комбустиология 10 |
1,00000 |
661 005,80 |
661 005,80 |
661 005,80 |
582 692,00 |
1,00000 |
1,00000 |
1,00000 |
1,00000 |
||||||||||||||||||||||||||||||||||||||||||||||||||
1,28000 |
1 |
1 |
1 |
|
1.1.1.00.11 |
Комбустиология 11 |
1,00000 |
1 852 979,13 |
1 852 979,13 |
1 852 979,13 |
1 718 267,00 |
1,00000 |
1,00000 |
1,00000 |
1,00000 |
||||||||||||||||||||||||||||||||||||||||||||||||||
1,28000 |
1 |
1 |
1 |
|
1.1.1.00.12 |
Нейрохирургия 12 |
1,00000 |
190 181,80 |
190 181,80 |
190 181,80 |
177 740,00 |
1,00000 |
1,00000 |
1,00000 |
1,00000 |
||||||||||||||||||||||||||||||||||||||||||||||||||
1,28000 |
1 |
1 |
1 |
|
1.1.1.00.14 |
Нейрохирургия 14 |
1,00000 |
182 790,49 |
182 790,49 |
182 790,49 |
174 485,00 |
1,00000 |
1,00000 |
1,00000 |
1,00000 |
||||||||||||||||||||||||||||||||||||||||||||||||||
1,28000 |
1 |
1 |
1 |
|
1.1.1.00.15 |
Нейрохирургия 15 |
1,00000 |
262 650,08 |
262 650,08 |
262 650,08 |
250 716,00 |
1,00000 |
1,00000 |
1,00000 |
1,00000 |
||||||||||||||||||||||||||||||||||||||||||||||||||
1,28000 |
1 |
1 |
1 |
|
1.1.1.00.17 |
Нейрохирургия 17 |
1,00000 |
467 598,55 |
467 598,55 |
467 598,55 |
433 604,00 |
1,00000 |
1,00000 |
1,00000 |
1,00000 |
||||||||||||||||||||||||||||||||||||||||||||||||||
1,28000 |
1 |
1 |
1 |
|
1.1.1.00.18 |
Неонатология 18 |
1,00000 |
289 922,73 |
289 922,73 |
289 922,73 |
273 822,00 |
1,00000 |
1,00000 |
1,00000 |
1,00000 |
||||||||||||||||||||||||||||||||||||||||||||||||||
1,28000 |
1 |
1 |
1 |
|
1.1.1.00.19 |
Неонатология 19 |
1,00000 |
601 383,69 |
601 383,69 |
601 383,69 |
554 782,00 |
1,00000 |
1,00000 |
1,00000 |
1,00000 |
||||||||||||||||||||||||||||||||||||||||||||||||||
1,28000 |
1 |
1 |
1 |
|
1.1.1.00.20 |
Онкология 20 |
1,00000 |
140 104,82 |
140 104,82 |
140 104,82 |
128 915,00 |
1,00000 |
1,00000 |
1,00000 |
1,00000 |
||||||||||||||||||||||||||||||||||||||||||||||||||
1,28000 |
1 |
1 |
1 |
|
1.1.1.00.22 |
Онкология 22 |
1,00000 |
162 882,07 |
162 882,07 |
162 882,07 |
147 967,00 |
1,00000 |
1,00000 |
1,00000 |
1,00000 |
||||||||||||||||||||||||||||||||||||||||||||||||||
1,28000 |
1 |
1 |
1 |
|
1.1.1.00.24 |
Онкология 24 |
1,00000 |
195 461,57 |
195 461,57 |
195 461,57 |
178 016,00 |
1,00000 |
1,00000 |
1,00000 |
1,00000 |
||||||||||||||||||||||||||||||||||||||||||||||||||
1,28000 |
1 |
1 |
1 |
|
1.1.1.00.25 |
Онкология 25 |
1,00000 |
259 667,54 |
259 667,54 |
259 667,54 |
237 096,00 |
1,00000 |
1,00000 |
1,00000 |
1,00000 |
||||||||||||||||||||||||||||||||||||||||||||||||||
1,28000 |
1 |
1 |
1 |
|
1.1.1.00.26 |
Оториноларингология 26 |
1,00000 |
133 599,00 |
133 599,00 |
133 599,00 |
124 533,00 |
1,00000 |
1,00000 |
1,00000 |
1,00000 |
||||||||||||||||||||||||||||||||||||||||||||||||||
1,28000 |
1 |
1 |
1 |
|
1.1.1.00.27 |
Оториноларингология 27 |
1,00000 |
78 227,42 |
78 227,42 |
78 227,42 |
74 079,00 |
1,00000 |
1,00000 |
1,00000 |
1,00000 |
||||||||||||||||||||||||||||||||||||||||||||||||||
1,28000 |
1 |
1 |
2 |
|
1.1.2.00.29 |
Офтальмология 29 |
1,00000 |
72 891,83 |
72 891,83 |
72 891,83 |
66 386,00 |
1,00000 |
1,00000 |
1,00000 |
1,00000 |
||||||||||||||||||||||||||||||||||||||||||||||||||
1,28000 |
1 |
1 |
1 |
|
1.1.1.00.29 |
Офтальмология 29 |
1,00000 |
72 891,83 |
72 891,83 |
72 891,83 |
66 386,00 |
1,00000 |
1,00000 |
1,00000 |
1,00000 |
||||||||||||||||||||||||||||||||||||||||||||||||||
1,28000 |
1 |
1 |
1 |
|
1.1.1.00.34 |
Педиатрия 34 |
1,00000 |
198 707,11 |
198 707,11 |
198 707,11 |
187 672,00 |
1,00000 |
1,00000 |
1,00000 |
1,00000 |
||||||||||||||||||||||||||||||||||||||||||||||||||
1,28000 |
1 |
1 |
1 |
|
1.1.1.00.35 |
Ревматология 35 |
1,00000 |
159 057,38 |
159 057,38 |
159 057,38 |
144 861,00 |
1,00000 |
1,00000 |
1,00000 |
1,00000 |
||||||||||||||||||||||||||||||||||||||||||||||||||
1,28000 |
1 |
1 |
1 |
|
1.1.1.00.36 |
Сердечно-сосудистая хирургия 36 |
1,00000 |
199 720,36 |
199 720,36 |
199 720,36 |
172 649,00 |
1,00000 |
1,00000 |
1,00000 |
1,00000 |
||||||||||||||||||||||||||||||||||||||||||||||||||
1,28000 |
1 |
1 |
1 |
|
1.1.1.00.37 |
Сердечно-сосудистая хирургия 37 |
1,00000 |
228 112,09 |
228 112,09 |
228 112,09 |
200 591,00 |
1,00000 |
1,00000 |
1,00000 |
1,00000 |
||||||||||||||||||||||||||||||||||||||||||||||||||
1,28000 |
1 |
1 |
1 |
|
1.1.1.00.38 |
Сердечно-сосудистая хирургия 38 |
1,00000 |
255 944,18 |
255 944,18 |
255 944,18 |
228 440,00 |
1,00000 |
1,00000 |
1,00000 |
1,00000 |
||||||||||||||||||||||||||||||||||||||||||||||||||
1,28000 |
1 |
1 |
1 |
|
1.1.1.00.39 |
Сердечно-сосудистая хирургия 39 |
1,00000 |
147 916,54 |
147 916,54 |
147 916,54 |
128 489,00 |
1,00000 |
1,00000 |
1,00000 |
1,00000 |
||||||||||||||||||||||||||||||||||||||||||||||||||
1,28000 |
1 |
1 |
1 |
|
1.1.1.00.40 |
Сердечно-сосудистая хирургия 40 |
1,00000 |
176 198,73 |
176 198,73 |
176 198,73 |
156 482,00 |
1,00000 |
1,00000 |
1,00000 |
1,00000 |
||||||||||||||||||||||||||||||||||||||||||||||||||
1,28000 |
1 |
1 |
1 |
|
1.1.1.00.41 |
Сердечно-сосудистая хирургия 41 |
1,00000 |
215 365,60 |
215 365,60 |
215 365,60 |
196 645,00 |
1,00000 |
1,00000 |
1,00000 |
1,00000 |
||||||||||||||||||||||||||||||||||||||||||||||||||
1,28000 |
1 |
1 |
1 |
|
1.1.1.00.42 |
Сердечно-сосудистая хирургия 42 |
1,00000 |
189 226,15 |
189 226,15 |
189 226,15 |
167 220,00 |
1,00000 |
1,00000 |
1,00000 |
1,00000 |
||||||||||||||||||||||||||||||||||||||||||||||||||
1,28000 |
1 |
1 |
1 |
|
1.1.1.00.43 |
Сердечно-сосудистая хирургия 43 |
1,00000 |
352 808,85 |
352 808,85 |
352 808,85 |
330 593,00 |
1,00000 |
1,00000 |
1,00000 |
1,00000 |
||||||||||||||||||||||||||||||||||||||||||||||||||
1,28000 |
1 |
1 |
1 |
|
1.1.1.00.44 |
Сердечно-сосудистая хирургия 44 |
1,00000 |
160 190,61 |
160 190,61 |
160 190,61 |
152 912,00 |
1,00000 |
1,00000 |
1,00000 |
1,00000 |
||||||||||||||||||||||||||||||||||||||||||||||||||
1,28000 |
1 |
1 |
1 |
|
1.1.1.00.45 |
Сердечно-сосудистая хирургия 45 |
1,00000 |
297 535,81 |
297 535,81 |
297 535,81 |
285 543,00 |
1,00000 |
1,00000 |
1,00000 |
1,00000 |
||||||||||||||||||||||||||||||||||||||||||||||||||
1,28000 |
1 |
1 |
1 |
|
1.1.1.00.46 |
Сердечно-сосудистая хирургия 46 |
1,00000 |
248 734,89 |
248 734,89 |
248 734,89 |
225 385,00 |
1,00000 |
1,00000 |
1,00000 |
1,00000 |
||||||||||||||||||||||||||||||||||||||||||||||||||
1,28000 |
1 |
1 |
1 |
|
1.1.1.00.47 |
Сердечно-сосудистая хирургия 47 |
1,00000 |
758 956,30 |
758 956,30 |
758 956,30 |
726 413,00 |
1,00000 |
1,00000 |
1,00000 |
1,00000 |
||||||||||||||||||||||||||||||||||||||||||||||||||
1,28000 |
1 |
1 |
1 |
|
1.1.1.00.48 |
Сердечно-сосудистая хирургия 48 |
1,00000 |
443 813,46 |
443 813,46 |
443 813,46 |
387 407,00 |
1,00000 |
1,00000 |
1,00000 |
1,00000 |
||||||||||||||||||||||||||||||||||||||||||||||||||
1,28000 |
1 |
1 |
1 |
|
1.1.1.00.51 |
Травматология и ортопедия 51 |
1,00000 |
157 225,24 |
157 225,24 |
157 225,24 |
147 325,00 |
1,00000 |
1,00000 |
1,00000 |
1,00000 |
||||||||||||||||||||||||||||||||||||||||||||||||||
1,28000 |
1 |
1 |
1 |
|
1.1.1.00.52 |
Травматология и ортопедия 52 |
1,00000 |
326 270,91 |
326 270,91 |
326 270,91 |
299 441,00 |
1,00000 |
1,00000 |
1,00000 |
1,00000 |
||||||||||||||||||||||||||||||||||||||||||||||||||
1,28000 |
1 |
1 |
1 |
|
1.1.1.00.53 |
Травматология и ортопедия 53 |
1,00000 |
167 701,30 |
167 701,30 |
167 701,30 |
154 706,00 |
1,00000 |
1,00000 |
1,00000 |
1,00000 |
||||||||||||||||||||||||||||||||||||||||||||||||||
1,28000 |
1 |
1 |
1 |
|
1.1.1.00.56 |
Урология 56 |
1,00000 |
112 001,55 |
112 001,55 |
112 001,55 |
103 859,00 |
1,00000 |
1,00000 |
1,00000 |
1,00000 |
||||||||||||||||||||||||||||||||||||||||||||||||||
1,28000 |
1 |
1 |
1 |
|
1.1.1.00.57 |
Урология 57 |
1,00000 |
166 533,37 |
166 533,37 |
166 533,37 |
152 839,00 |
1,00000 |
1,00000 |
1,00000 |
1,00000 |
||||||||||||||||||||||||||||||||||||||||||||||||||
1,28000 |
1 |
1 |
1 |
|
1.1.1.00.58 |
Челюстно-лицевая хирургия 58 |
1,00000 |
146 998,39 |
146 998,39 |
146 998,39 |
135 258,00 |
1,00000 |
1,00000 |
1,00000 |
1,00000 |
||||||||||||||||||||||||||||||||||||||||||||||||||
1,28000 |
1 |
1 |
1 |
|
1.1.1.00.59 |
Эндокринология 59 |
1,00000 |
214 348,39 |
214 348,39 |
214 348,39 |
204 609,00 |
1,00000 |
1,00000 |
1,00000 |
1,00000 |
||||||||||||||||||||||||||||||||||||||||||||||||||
1,28000 |
1 |
1 |
3 |
|
1.1.3.935 |
Фельдшерские, фельдшерско-акушерские пункты, обслуживающие до 99 жителей (соответствующие приказу МЗ РФ) |
1,00000 |
258 739,20 |
258 739,20 |
258 739,20 |
202 140,00 |
1,00000 |
1,00000 |
1,00000 |
1,00000 |
||||||||||||||||||||||||||||||||||||||||||||||||||
1,28000 |
1 |
1 |
3 |
|
1.1.3.936 |
Фельдшерские, фельдшерско-акушерские пункты, обслуживающие до 99 жителей (не соответствующие приказу МЗ РФ) |
1,00000 |
181 117,44 |
181 117,44 |
181 117,44 |
141 498,00 |
1,00000 |
1,00000 |
1,00000 |
1,00000 |
||||||||||||||||||||||||||||||||||||||||||||||||||
1,28000 |
1 |
1 |
3 |
|
1.1.3.937 |
Фельдшерские, фельдшерско-акушерские пункты, обслуживающие от 100 до 899 жителей (соответствующие приказу МЗ РФ) |
1,00000 |
323 424,00 |
323 424,00 |
323 424,00 |
252 675,00 |
1,00000 |
1,00000 |
1,00000 |
1,00000 |
||||||||||||||||||||||||||||||||||||||||||||||||||
1,28000 |
1 |
1 |
3 |
|
1.1.3.938 |
Фельдшерские, фельдшерско-акушерские пункты, обслуживающие от 100 до 899 жителей (не соответствующие приказу МЗ РФ) |
1,00000 |
226 396,80 |
226 396,80 |
226 396,80 |
176 872,50 |
1,00000 |
1,00000 |
1,00000 |
1,00000 |
||||||||||||||||||||||||||||||||||||||||||||||||||
1,28000 |
1 |
1 |
3 |
|
1.1.3.939 |
Фельдшерские, фельдшерско-акушерские пункты, обслуживающий от 900 до 1499 жителей (соответствующие приказу МЗ РФ) |
1,00000 |
512 384,00 |
512 384,00 |
512 384,00 |
400 300,00 |
1,00000 |
1,00000 |
1,00000 |
1,00000 |
||||||||||||||||||||||||||||||||||||||||||||||||||
1,28000 |
1 |
1 |
3 |
|
1.1.3.941 |
Фельдшерские, фельдшерско-акушерские пункты, обслуживающий от 1500 до 1999 жителей (соответствующие приказу МЗ РФ) |
1,00000 |
575 360,00 |
575 360,00 |
575 360,00 |
449 500,00 |
1,00000 |
1,00000 |
1,00000 |
1,00000 |
||||||||||||||||||||||||||||||||||||||||||||||||||
1,28000 |
1 |
1 |
1 |
st01.001 |
1.1.1.1.1.1 |
Беременность без патологии, дородовая госпитализация в отделение сестринского ухода |
0,50000 |
12 563,77 |
12 563,77 |
12 563,77 |
24 538,61 |
0,90000 |
1,05000 |
1,25000 |
0,80000 |
||||||||||||||||||||||||||||||||||||||||||||||||||
1,28000 |
1 |
1 |
1 |
st02.001 |
1.1.1.1.2.1 |
Осложнения, связанные с беременностью |
0,93000 |
21 031,75 |
24 537,04 |
29 210,76 |
24 538,61 |
0,90000 |
1,05000 |
1,25000 |
0,80000 |
||||||||||||||||||||||||||||||||||||||||||||||||||
1,28000 |
1 |
1 |
1 |
st02.002 |
1.1.1.3.2.2 |
Беременность, закончившаяся абортивным исходом |
0,28000 |
7 035,71 |
7 035,71 |
7 035,71 |
24 538,61 |
0,90000 |
1,05000 |
1,25000 |
0,80000 |
||||||||||||||||||||||||||||||||||||||||||||||||||
1,28000 |
1 |
1 |
1 |
st02.003 |
1.1.1.3.2.3 |
Родоразрешение |
0,98000 |
22 162,49 |
25 856,24 |
30 781,23 |
24 538,61 |
0,90000 |
1,05000 |
1,25000 |
0,80000 |
||||||||||||||||||||||||||||||||||||||||||||||||||
1,28000 |
1 |
1 |
1 |
st02.004 |
1.1.1.2.2.4 |
Кесарево сечение |
1,01000 |
22 840,93 |
26 647,75 |
31 723,52 |
24 538,61 |
0,90000 |
1,05000 |
1,25000 |
0,80000 |
||||||||||||||||||||||||||||||||||||||||||||||||||
1,28000 |
1 |
1 |
1 |
st02.005 |
1.1.1.1.2.5 |
Осложнения послеродового периода |
0,74000 |
16 734,94 |
19 524,10 |
23 242,97 |
24 538,61 |
0,90000 |
1,05000 |
1,25000 |
0,80000 |
||||||||||||||||||||||||||||||||||||||||||||||||||
1,28000 |
1 |
1 |
1 |
st02.006 |
1.1.1.1.2.6 |
Послеродовой сепсис |
3,21000 |
80 659,39 |
80 659,39 |
80 659,39 |
24 538,61 |
0,90000 |
1,05000 |
1,25000 |
0,80000 |
||||||||||||||||||||||||||||||||||||||||||||||||||
1,28000 |
1 |
1 |
1 |
st02.007 |
1.1.1.1.2.7 |
Воспалительные болезни женских половых органов |
0,71000 |
16 056,50 |
18 732,58 |
22 300,69 |
24 538,61 |
0,90000 |
1,05000 |
1,25000 |
0,80000 |
||||||||||||||||||||||||||||||||||||||||||||||||||
1,28000 |
1 |
1 |
1 |
st02.008 |
1.1.1.1.2.8 |
Доброкачественные новообразования, новообразования in situ, неопределенного и неизвестного характера женских половых органов |
0,89000 |
20 127,16 |
23 481,68 |
27 954,38 |
24 538,61 |
0,90000 |
1,05000 |
1,25000 |
0,80000 |
||||||||||||||||||||||||||||||||||||||||||||||||||
1,28000 |
1 |
1 |
1 |
st02.009 |
1.1.1.1.2.9 |
Другие болезни, врожденные аномалии, повреждения женских половых органов |
0,46000 |
10 402,80 |
12 136,60 |
14 448,33 |
24 538,61 |
0,90000 |
1,05000 |
1,25000 |
0,80000 |
||||||||||||||||||||||||||||||||||||||||||||||||||
1,28000 |
1 |
1 |
1 |
st02.010 |
1.1.1.2.2.10 |
Операции на женских половых органах (уровень 1) |
0,39000 |
8 819,77 |
10 289,73 |
12 249,67 |
24 538,61 |
0,90000 |
1,05000 |
1,25000 |
0,80000 |
||||||||||||||||||||||||||||||||||||||||||||||||||
1,28000 |
1 |
1 |
1 |
st02.011 |
1.1.1.2.2.11 |
Операции на женских половых органах (уровень 2) |
0,58000 |
13 116,57 |
15 302,67 |
18 217,46 |
24 538,61 |
0,90000 |
1,05000 |
1,25000 |
0,80000 |
||||||||||||||||||||||||||||||||||||||||||||||||||
1,28000 |
1 |
1 |
1 |
st02.012 |
1.1.1.2.2.12 |
Операции на женских половых органах (уровень 3) |
1,17000 |
29 399,22 |
29 399,22 |
29 399,22 |
24 538,61 |
0,90000 |
1,05000 |
1,25000 |
0,80000 |
||||||||||||||||||||||||||||||||||||||||||||||||||
1,28000 |
1 |
1 |
1 |
st02.013 |
1.1.1.2.2.13 |
Операции на женских половых органах (уровень 4) |
2,20000 |
49 752,52 |
58 044,61 |
69 100,73 |
24 538,61 |
0,90000 |
1,05000 |
1,25000 |
0,80000 |
||||||||||||||||||||||||||||||||||||||||||||||||||
1,28000 |
1 |
1 |
1 |
st03.001 |
1.1.1.1.3.1 |
Нарушения с вовлечением иммунного механизма |
4,52000 |
102 218,82 |
119 255,29 |
141 970,58 |
24 538,61 |
0,90000 |
1,05000 |
1,25000 |
0,80000 |
||||||||||||||||||||||||||||||||||||||||||||||||||
1,28000 |
1 |
1 |
1 |
st03.002 |
1.1.1.1.3.2 |
Ангионевротический отек, анафилактический шок |
0,27000 |
6 784,43 |
6 784,43 |
6 784,43 |
24 538,61 |
0,90000 |
1,05000 |
1,25000 |
0,80000 |
||||||||||||||||||||||||||||||||||||||||||||||||||
1,28000 |
1 |
1 |
1 |
st04.001 |
1.1.1.1.4.1 |
Язва желудка и двенадцатиперстной кишки |
0,89000 |
22 363,51 |
22 363,51 |
22 363,51 |
24 538,61 |
0,90000 |
1,05000 |
1,25000 |
0,80000 |
||||||||||||||||||||||||||||||||||||||||||||||||||
1,28000 |
1 |
1 |
1 |
st04.002 |
1.1.1.1.4.2 |
Воспалительные заболевания кишечника |
2,01000 |
45 455,71 |
53 031,67 |
63 132,94 |
24 538,61 |
0,90000 |
1,05000 |
1,25000 |
0,80000 |
||||||||||||||||||||||||||||||||||||||||||||||||||
1,28000 |
1 |
1 |
1 |
st04.003 |
1.1.1.1.4.3 |
Болезни печени, невирусные (уровень 1) |
0,86000 |
19 448,71 |
22 690,17 |
27 012,10 |
24 538,61 |
0,90000 |
1,05000 |
1,25000 |
0,80000 |
||||||||||||||||||||||||||||||||||||||||||||||||||
1,28000 |
1 |
1 |
1 |
st04.004 |
1.1.1.1.4.4 |
Болезни печени, невирусные (уровень 2) |
1,21000 |
27 363,89 |
31 924,54 |
38 005,40 |
24 538,61 |
0,90000 |
1,05000 |
1,25000 |
0,80000 |
||||||||||||||||||||||||||||||||||||||||||||||||||
1,28000 |
1 |
1 |
1 |
st04.005 |
1.1.1.1.4.5 |
Болезни поджелудочной железы |
0,87000 |
19 674,86 |
22 954,00 |
27 326,20 |
24 538,61 |
0,90000 |
1,05000 |
1,25000 |
0,80000 |
||||||||||||||||||||||||||||||||||||||||||||||||||
1,28000 |
1 |
1 |
1 |
st04.006 |
1.1.1.1.4.6 |
Панкреатит с синдромом органной дисфункции |
4,19000 |
94 755,94 |
110 548,60 |
131 605,47 |
24 538,61 |
0,90000 |
1,05000 |
1,25000 |
0,80000 |
||||||||||||||||||||||||||||||||||||||||||||||||||
1,28000 |
1 |
1 |
1 |
st05.001 |
1.1.1.1.5.1 |
Анемии (уровень 1) |
0,94000 |
21 257,90 |
24 800,88 |
29 524,86 |
24 538,61 |
0,90000 |
1,05000 |
1,25000 |
0,80000 |
||||||||||||||||||||||||||||||||||||||||||||||||||
1,28000 |
1 |
1 |
1 |
st05.002 |
1.1.1.1.5.2 |
Анемии (уровень 2) |
5,32000 |
120 310,65 |
140 362,42 |
167 098,12 |
24 538,61 |
0,90000 |
1,05000 |
1,25000 |
0,80000 |
||||||||||||||||||||||||||||||||||||||||||||||||||
1,28000 |
1 |
1 |
1 |
st05.003 |
1.1.1.1.5.3 |
Нарушения свертываемости крови |
4,50000 |
101 766,52 |
118 727,61 |
141 342,39 |
24 538,61 |
0,90000 |
1,05000 |
1,25000 |
0,80000 |
||||||||||||||||||||||||||||||||||||||||||||||||||
1,28000 |
1 |
1 |
1 |
st05.004 |
1.1.1.1.5.4 |
Другие болезни крови и кроветворных органов (уровень 1) |
1,09000 |
24 650,11 |
28 758,47 |
34 236,27 |
24 538,61 |
0,90000 |
1,05000 |
1,25000 |
0,80000 |
||||||||||||||||||||||||||||||||||||||||||||||||||
1,28000 |
1 |
1 |
1 |
st05.005 |
1.1.1.1.5.5 |
Другие болезни крови и кроветворных органов (уровень 2) |
4,51000 |
101 992,67 |
118 991,45 |
141 656,49 |
24 538,61 |
0,90000 |
1,05000 |
1,25000 |
0,80000 |
||||||||||||||||||||||||||||||||||||||||||||||||||
1,28000 |
1 |
1 |
1 |
st05.008 |
1.1.1.1.5.8 |
Лекарственная терапия при доброкачественных заболеваниях крови и пузырном заносе |
2,05000 |
46 360,31 |
54 087,02 |
64 389,31 |
24 538,61 |
0,90000 |
1,05000 |
1,25000 |
0,80000 |
||||||||||||||||||||||||||||||||||||||||||||||||||
1,28000 |
1 |
1 |
1 |
st06.004 |
1.1.1.1.6.4 |
Лечение дерматозов с применением наружной терапии |
0,32000 |
7 252,31 |
8 427,91 |
9 995,39 |
24 538,61 |
0,90000 |
1,05000 |
1,25000 |
0,80000 |
||||||||||||||||||||||||||||||||||||||||||||||||||
1,28000 |
1 |
1 |
1 |
st06.005 |
1.1.1.1.6.5 |
Лечение дерматозов с применением наружной терапии, физиотерапии, плазмофереза |
1,39000 |
31 474,93 |
36 634,91 |
43 514,88 |
24 538,61 |
0,90000 |
1,05000 |
1,25000 |
0,80000 |
||||||||||||||||||||||||||||||||||||||||||||||||||
1,28000 |
1 |
1 |
1 |
st06.006 |
1.1.1.1.6.6 |
Лечение дерматозов с применением наружной и системной терапии |
2,10000 |
47 529,83 |
55 369,02 |
65 821,27 |
24 538,61 |
0,90000 |
1,05000 |
1,25000 |
0,80000 |
||||||||||||||||||||||||||||||||||||||||||||||||||
1,28000 |
1 |
1 |
1 |
st06.007 |
1.1.1.1.6.7 |
Лечение дерматозов с применением наружной и фототерапии |
2,86000 |
64 788,32 |
75 352,44 |
89 437,93 |
24 538,61 |
0,90000 |
1,05000 |
1,25000 |
0,80000 |
||||||||||||||||||||||||||||||||||||||||||||||||||
1,28000 |
1 |
1 |
1 |
st07.001 |
1.1.1.1.7.1 |
Врожденные аномалии сердечно-сосудистой системы, дети |
1,84000 |
41 611,20 |
48 546,40 |
57 793,33 |
24 538,61 |
0,90000 |
1,05000 |
1,25000 |
0,80000 |
||||||||||||||||||||||||||||||||||||||||||||||||||
1,28000 |
1 |
1 |
1 |
st08.001 |
1.1.1.3.8.1 |
Лекарственная терапия при злокачественных новообразованиях других локализаций (кроме лимфоидной и кроветворной тканей), дети |
4,37000 |
123 533,25 |
144 122,13 |
171 573,96 |
24 538,61 |
0,90000 |
1,05000 |
1,25000 |
1,00000 |
||||||||||||||||||||||||||||||||||||||||||||||||||
1,28000 |
1 |
1 |
1 |
st08.002 |
1.1.1.3.8.2 |
Лекарственная терапия при остром лейкозе, дети |
7,82000 |
221 059,50 |
257 902,75 |
307 027,09 |
24 538,61 |
0,90000 |
1,05000 |
1,25000 |
1,00000 |
||||||||||||||||||||||||||||||||||||||||||||||||||
1,28000 |
1 |
1 |
1 |
st08.003 |
1.1.1.3.8.3 |
Лекарственная терапия при других злокачественных новообразованиях лимфоидной и кроветворной тканей, дети |
5,68000 |
160 564,96 |
187 325,79 |
223 006,89 |
24 538,61 |
0,90000 |
1,05000 |
1,25000 |
1,00000 |
||||||||||||||||||||||||||||||||||||||||||||||||||
1,28000 |
1 |
1 |
1 |
st09.001 |
1.1.1.2.9.1 |
Операции на мужских половых органах, дети (уровень 1) |
0,97000 |
21 936,34 |
25 592,40 |
30 467,14 |
24 538,61 |
0,90000 |
1,05000 |
1,25000 |
0,80000 |
||||||||||||||||||||||||||||||||||||||||||||||||||
1,28000 |
1 |
1 |
1 |
st09.002 |
1.1.1.2.9.2 |
Операции на мужских половых органах, дети (уровень 2) |
1,11000 |
25 102,41 |
29 286,14 |
34 864,46 |
24 538,61 |
0,90000 |
1,05000 |
1,25000 |
0,80000 |
||||||||||||||||||||||||||||||||||||||||||||||||||
1,28000 |
1 |
1 |
1 |
st09.003 |
1.1.1.2.9.3 |
Операции на мужских половых органах, дети (уровень 3) |
1,97000 |
49 501,25 |
49 501,25 |
49 501,25 |
24 538,61 |
0,90000 |
1,05000 |
1,25000 |
0,80000 |
||||||||||||||||||||||||||||||||||||||||||||||||||
1,28000 |
1 |
1 |
1 |
st09.004 |
1.1.1.2.9.4 |
Операции на мужских половых органах, дети (уровень 4) |
2,78000 |
69 854,55 |
69 854,55 |
69 854,55 |
24 538,61 |
0,90000 |
1,05000 |
1,25000 |
0,80000 |
||||||||||||||||||||||||||||||||||||||||||||||||||
1,28000 |
1 |
1 |
1 |
st09.005 |
1.1.1.2.9.5 |
Операции на почке и мочевыделительной системе, дети (уровень 1) |
1,15000 |
26 007,00 |
30 341,50 |
36 120,83 |
24 538,61 |
0,90000 |
1,05000 |
1,25000 |
0,80000 |
||||||||||||||||||||||||||||||||||||||||||||||||||
1,28000 |
1 |
1 |
1 |
st09.006 |
1.1.1.2.9.6 |
Операции на почке и мочевыделительной системе, дети (уровень 2) |
1,22000 |
27 590,04 |
32 188,37 |
38 319,49 |
24 538,61 |
0,90000 |
1,05000 |
1,25000 |
0,80000 |
||||||||||||||||||||||||||||||||||||||||||||||||||
1,28000 |
1 |
1 |
1 |
st09.007 |
1.1.1.2.9.7 |
Операции на почке и мочевыделительной системе, дети (уровень 3) |
1,78000 |
40 254,31 |
46 963,37 |
55 908,77 |
24 538,61 |
0,90000 |
1,05000 |
1,25000 |
0,80000 |
||||||||||||||||||||||||||||||||||||||||||||||||||
1,28000 |
1 |
1 |
1 |
st09.008 |
1.1.1.2.9.8 |
Операции на почке и мочевыделительной системе, дети (уровень 4) |
2,23000 |
56 034,41 |
56 034,41 |
56 034,41 |
24 538,61 |
0,90000 |
1,05000 |
1,25000 |
0,80000 |
||||||||||||||||||||||||||||||||||||||||||||||||||
1,28000 |
1 |
1 |
1 |
st09.009 |
1.1.1.2.9.9 |
Операции на почке и мочевыделительной системе, дети (уровень 5) |
2,36000 |
59 300,99 |
59 300,99 |
59 300,99 |
24 538,61 |
0,90000 |
1,05000 |
1,25000 |
0,80000 |
||||||||||||||||||||||||||||||||||||||||||||||||||
1,28000 |
1 |
1 |
1 |
st09.010 |
1.1.1.2.9.10 |
Операции на почке и мочевыделительной системе, дети (уровень 6) |
4,28000 |
107 545,86 |
107 545,86 |
107 545,86 |
24 538,61 |
0,90000 |
1,05000 |
1,25000 |
0,80000 |
||||||||||||||||||||||||||||||||||||||||||||||||||
1,28000 |
1 |
1 |
1 |
st10.001 |
1.1.1.2.10.1 |
Детская хирургия (уровень 1) |
2,95000 |
66 713,61 |
77 832,54 |
92 657,79 |
24 538,61 |
0,90000 |
1,05000 |
1,25000 |
0,80000 |
||||||||||||||||||||||||||||||||||||||||||||||||||
1,28000 |
1 |
1 |
1 |
st10.002 |
1.1.1.2.10.2 |
Детская хирургия (уровень 2) |
5,33000 |
120 536,79 |
140 626,26 |
167 412,21 |
24 538,61 |
0,90000 |
1,05000 |
1,25000 |
0,80000 |
||||||||||||||||||||||||||||||||||||||||||||||||||
1,28000 |
1 |
1 |
1 |
st10.003 |
1.1.1.2.10.3 |
Аппендэктомия, дети (уровень 1) |
0,77000 |
19 348,20 |
19 348,20 |
19 348,20 |
24 538,61 |
0,90000 |
1,05000 |
1,25000 |
0,80000 |
||||||||||||||||||||||||||||||||||||||||||||||||||
1,28000 |
1 |
1 |
1 |
st10.004 |
1.1.1.2.10.4 |
Аппендэктомия, дети (уровень 2) |
0,97000 |
21 936,34 |
25 592,40 |
30 467,14 |
24 538,61 |
0,90000 |
1,05000 |
1,25000 |
0,80000 |
||||||||||||||||||||||||||||||||||||||||||||||||||
1,28000 |
1 |
1 |
1 |
st10.005 |
1.1.1.2.10.5 |
Операции по поводу грыж, дети (уровень 1) |
0,88000 |
22 112,23 |
22 112,23 |
22 112,23 |
24 538,61 |
0,90000 |
1,05000 |
1,25000 |
0,80000 |
||||||||||||||||||||||||||||||||||||||||||||||||||
1,28000 |
1 |
1 |
1 |
st10.006 |
1.1.1.2.10.6 |
Операции по поводу грыж, дети (уровень 2) |
1,05000 |
23 745,52 |
27 703,11 |
32 979,89 |
24 538,61 |
0,90000 |
1,05000 |
1,25000 |
0,80000 |
||||||||||||||||||||||||||||||||||||||||||||||||||
1,28000 |
1 |
1 |
1 |
st10.007 |
1.1.1.2.10.7 |
Операции по поводу грыж, дети (уровень 3) |
1,25000 |
28 268,48 |
32 979,89 |
39 261,78 |
24 538,61 |
0,90000 |
1,05000 |
1,25000 |
0,80000 |
||||||||||||||||||||||||||||||||||||||||||||||||||
1,28000 |
1 |
1 |
1 |
st11.001 |
1.1.1.1.11.1 |
Сахарный диабет, дети |
1,51000 |
34 148,32 |
39 839,71 |
47 428,23 |
24 538,61 |
0,90000 |
1,05000 |
1,25000 |
0,80000 |
||||||||||||||||||||||||||||||||||||||||||||||||||
1,28000 |
1 |
1 |
1 |
st11.002 |
1.1.1.1.11.2 |
Заболевания гипофиза, дети |
2,26000 |
51 109,41 |
59 627,64 |
70 985,29 |
24 538,61 |
0,90000 |
1,05000 |
1,25000 |
0,80000 |
||||||||||||||||||||||||||||||||||||||||||||||||||
1,28000 |
1 |
1 |
1 |
st11.003 |
1.1.1.1.11.3 |
Другие болезни эндокринной системы, дети (уровень 1) |
1,38000 |
31 208,40 |
36 409,80 |
43 345,00 |
24 538,61 |
0,90000 |
1,05000 |
1,25000 |
0,80000 |
||||||||||||||||||||||||||||||||||||||||||||||||||
1,28000 |
1 |
1 |
1 |
st11.004 |
1.1.1.1.11.4 |
Другие болезни эндокринной системы, дети (уровень 2) |
2,82000 |
63 773,69 |
74 402,64 |
88 574,57 |
24 538,61 |
0,90000 |
1,05000 |
1,25000 |
0,80000 |
||||||||||||||||||||||||||||||||||||||||||||||||||
1,28000 |
1 |
1 |
1 |
st12.001 |
1.1.1.1.12.1 |
Кишечные инфекции, взрослые |
0,58000 |
13 116,57 |
15 302,67 |
18 217,46 |
24 538,61 |
0,90000 |
1,05000 |
1,25000 |
0,80000 |
||||||||||||||||||||||||||||||||||||||||||||||||||
1,28000 |
1 |
1 |
1 |
st12.002 |
1.1.1.1.12.2 |
Кишечные инфекции, дети |
0,62000 |
14 021,17 |
16 358,03 |
19 473,84 |
24 538,61 |
0,90000 |
1,05000 |
1,25000 |
0,80000 |
||||||||||||||||||||||||||||||||||||||||||||||||||
1,28000 |
1 |
1 |
1 |
st12.003 |
1.1.1.1.12.3 |
Вирусный гепатит острый |
1,40000 |
31 660,70 |
36 937,48 |
43 973,19 |
24 538,61 |
0,90000 |
1,05000 |
1,25000 |
0,80000 |
||||||||||||||||||||||||||||||||||||||||||||||||||
1,28000 |
1 |
1 |
1 |
st12.004 |
1.1.1.1.12.4 |
Вирусный гепатит хронический |
1,27000 |
28 720,77 |
33 507,57 |
39 889,96 |
24 538,61 |
0,90000 |
1,05000 |
1,25000 |
0,80000 |
||||||||||||||||||||||||||||||||||||||||||||||||||
1,28000 |
1 |
1 |
1 |
st12.005 |
1.1.1.1.12.5 |
Сепсис, взрослые |
3,12000 |
70 558,12 |
82 317,81 |
97 997,39 |
24 538,61 |
0,90000 |
1,05000 |
1,25000 |
0,80000 |
||||||||||||||||||||||||||||||||||||||||||||||||||
1,28000 |
1 |
1 |
1 |
st12.006 |
1.1.1.1.12.6 |
Сепсис, дети |
4,51000 |
101 992,67 |
118 991,45 |
141 656,49 |
24 538,61 |
0,90000 |
1,05000 |
1,25000 |
0,80000 |
||||||||||||||||||||||||||||||||||||||||||||||||||
1,28000 |
1 |
1 |
1 |
st12.007 |
1.1.1.1.12.7 |
Сепсис с синдромом органной дисфункции |
7,20000 |
162 826,44 |
189 964,18 |
226 147,83 |
24 538,61 |
0,90000 |
1,05000 |
1,25000 |
0,80000 |
||||||||||||||||||||||||||||||||||||||||||||||||||
1,28000 |
1 |
1 |
1 |
st12.008 |
1.1.1.1.12.8 |
Другие инфекционные и паразитарные болезни, взрослые |
1,18000 |
26 685,44 |
31 133,02 |
37 063,12 |
24 538,61 |
0,90000 |
1,05000 |
1,25000 |
0,80000 |
||||||||||||||||||||||||||||||||||||||||||||||||||
1,28000 |
1 |
1 |
1 |
st12.009 |
1.1.1.1.12.9 |
Другие инфекционные и паразитарные болезни, дети |
0,98000 |
22 162,49 |
25 856,24 |
30 781,23 |
24 538,61 |
0,90000 |
1,05000 |
1,25000 |
0,80000 |
||||||||||||||||||||||||||||||||||||||||||||||||||
1,28000 |
1 |
1 |
1 |
st12.010 |
1.1.1.1.12.10 |
Респираторные инфекции верхних дыхательных путей с осложнениями, взрослые |
0,35000 |
7 915,17 |
9 234,37 |
10 993,30 |
24 538,61 |
0,90000 |
1,05000 |
1,25000 |
0,80000 |
||||||||||||||||||||||||||||||||||||||||||||||||||
1,28000 |
1 |
1 |
1 |
st12.011 |
1.1.1.1.12.11 |
Респираторные инфекции верхних дыхательных путей, дети |
0,50000 |
11 307,39 |
13 191,96 |
15 704,71 |
24 538,61 |
0,90000 |
1,05000 |
1,25000 |
0,80000 |
||||||||||||||||||||||||||||||||||||||||||||||||||
1,28000 |
1 |
1 |
1 |
st12.012 |
1.1.1.1.12.12 |
Грипп, вирус гриппа идентифицирован |
1,00000 |
22 614,78 |
26 383,91 |
31 409,42 |
24 538,61 |
0,90000 |
1,05000 |
1,25000 |
0,80000 |
||||||||||||||||||||||||||||||||||||||||||||||||||
1,28000 |
1 |
1 |
1 |
st12.013 |
1.1.1.1.12.13 |
Грипп и пневмония с синдромом органной дисфункции |
4,40000 |
99 505,05 |
116 089,22 |
138 201,45 |
24 538,61 |
0,90000 |
1,05000 |
1,25000 |
0,80000 |
||||||||||||||||||||||||||||||||||||||||||||||||||
1,28000 |
1 |
1 |
1 |
st12.014 |
1.1.1.1.12.14 |
Клещевой энцефалит |
2,30000 |
52 014,00 |
60 683,00 |
72 241,67 |
24 538,61 |
0,90000 |
1,05000 |
1,25000 |
0,80000 |
||||||||||||||||||||||||||||||||||||||||||||||||||
1,28000 |
1 |
1 |
1 |
st12.015 |
1.1.1.1.12.15 |
Коронавирусная инфекция COVID-19 (уровень 1) |
2,87000 |
65 242,34 |
75 397,72 |
88 938,22 |
24 538,61 |
0,90000 |
1,05000 |
1,25000 |
0,80000 |
||||||||||||||||||||||||||||||||||||||||||||||||||
1,28000 |
1 |
1 |
1 |
st12.016 |
1.1.1.1.12.16 |
Коронавирусная инфекция COVID-19 (уровень 2) |
4,96000 |
115 363,09 |
127 800,80 |
144 384,41 |
24 538,61 |
0,90000 |
1,05000 |
1,25000 |
0,80000 |
||||||||||||||||||||||||||||||||||||||||||||||||||
1,28000 |
1 |
1 |
1 |
st12.017 |
1.1.1.1.12.17 |
Коронавирусная инфекция COVID-19 (уровень 3) |
7,40000 |
171 865,15 |
190 909,52 |
216 302,00 |
24 538,61 |
0,90000 |
1,05000 |
1,25000 |
0,80000 |
||||||||||||||||||||||||||||||||||||||||||||||||||
1,28000 |
1 |
1 |
1 |
st12.018 |
1.1.1.1.12.18 |
Коронавирусная инфекция COVID-19 (уровень 4) |
12,07000 |
278 154,88 |
313 471,41 |
360 560,11 |
24 538,61 |
0,90000 |
1,05000 |
1,25000 |
0,80000 |
||||||||||||||||||||||||||||||||||||||||||||||||||
1,28000 |
1 |
1 |
1 |
st12.019 |
1.1.1.1.12.19 |
Коронавирусная инфекция COVID-19 (долечивание) |
2,07000 |
46 812,60 |
54 614,70 |
65 017,50 |
24 538,61 |
0,90000 |
1,05000 |
1,25000 |
0,80000 |
||||||||||||||||||||||||||||||||||||||||||||||||||
1,28000 |
1 |
1 |
1 |
st13.001 |
1.1.1.1.13.1 |
Нестабильная стенокардия, инфаркт миокарда, легочная эмболия (уровень 1) |
1,42000 |
32 112,99 |
37 465,16 |
44 601,38 |
24 538,61 |
0,90000 |
1,05000 |
1,25000 |
0,80000 |
||||||||||||||||||||||||||||||||||||||||||||||||||
1,28000 |
1 |
1 |
1 |
st13.002 |
1.1.1.3.13.2 |
Нестабильная стенокардия, инфаркт миокарда, легочная эмболия (уровень 2) |
2,81000 |
79 434,43 |
92 673,50 |
110 325,59 |
24 538,61 |
0,90000 |
1,05000 |
1,25000 |
1,00000 |
||||||||||||||||||||||||||||||||||||||||||||||||||
1,28000 |
1 |
1 |
1 |
st13.004 |
1.1.1.1.13.4 |
Нарушения ритма и проводимости (уровень 1) |
1,12000 |
25 328,56 |
29 549,98 |
35 178,55 |
24 538,61 |
0,90000 |
1,05000 |
1,25000 |
0,80000 |
||||||||||||||||||||||||||||||||||||||||||||||||||
1,28000 |
1 |
1 |
1 |
st13.005 |
1.1.1.3.13.5 |
Нарушения ритма и проводимости (уровень 2) |
2,01000 |
56 819,64 |
66 289,58 |
78 916,17 |
24 538,61 |
0,90000 |
1,05000 |
1,25000 |
1,00000 |
||||||||||||||||||||||||||||||||||||||||||||||||||
1,28000 |
1 |
1 |
1 |
st13.006 |
1.1.1.1.13.6 |
Эндокардит, миокардит, перикардит, кардиомиопатии (уровень 1) |
1,42000 |
32 112,99 |
37 465,16 |
44 601,38 |
24 538,61 |
0,90000 |
1,05000 |
1,25000 |
0,80000 |
||||||||||||||||||||||||||||||||||||||||||||||||||
1,28000 |
1 |
1 |
1 |
st13.007 |
1.1.1.3.13.7 |
Эндокардит, миокардит, перикардит, кардиомиопатии (уровень 2) |
2,38000 |
67 278,98 |
78 492,14 |
93 443,03 |
24 538,61 |
0,90000 |
1,05000 |
1,25000 |
1,00000 |
||||||||||||||||||||||||||||||||||||||||||||||||||
1,28000 |
1 |
1 |
1 |
st13.008 |
1.1.1.3.13.8 |
Инфаркт миокарда, легочная эмболия, лечение с применением тромболитической терапии (уровень 1) |
1,61000 |
36 409,80 |
42 478,10 |
50 569,17 |
24 538,61 |
0,90000 |
1,05000 |
1,25000 |
0,80000 |
||||||||||||||||||||||||||||||||||||||||||||||||||
1,28000 |
1 |
1 |
1 |
st13.009 |
1.1.1.3.13.9 |
Инфаркт миокарда, легочная эмболия, лечение с применением тромболитической терапии (уровень 2) |
2,99000 |
67 618,20 |
78 887,90 |
93 914,17 |
24 538,61 |
0,90000 |
1,05000 |
1,25000 |
0,80000 |
||||||||||||||||||||||||||||||||||||||||||||||||||
1,28000 |
1 |
1 |
1 |
st13.010 |
1.1.1.3.13.10 |
Инфаркт миокарда, легочная эмболия, лечение с применением тромболитической терапии (уровень 3) |
3,54000 |
80 056,33 |
93 399,05 |
111 189,35 |
24 538,61 |
0,90000 |
1,05000 |
1,25000 |
0,80000 |
||||||||||||||||||||||||||||||||||||||||||||||||||
1,28000 |
1 |
1 |
1 |
st14.001 |
1.1.1.2.14.1 |
Операции на кишечнике и анальной области (уровень 1) |
0,84000 |
21 107,13 |
21 107,13 |
21 107,13 |
24 538,61 |
0,90000 |
1,05000 |
1,25000 |
0,80000 |
||||||||||||||||||||||||||||||||||||||||||||||||||
1,28000 |
1 |
1 |
1 |
st14.002 |
1.1.1.2.14.2 |
Операции на кишечнике и анальной области (уровень 2) |
1,74000 |
39 349,72 |
45 908,01 |
54 652,39 |
24 538,61 |
0,90000 |
1,05000 |
1,25000 |
0,80000 |
||||||||||||||||||||||||||||||||||||||||||||||||||
1,28000 |
1 |
1 |
1 |
st14.003 |
1.1.1.2.14.3 |
Операции на кишечнике и анальной области (уровень 3) |
2,49000 |
56 310,81 |
65 695,94 |
78 209,46 |
24 538,61 |
0,90000 |
1,05000 |
1,25000 |
0,80000 |
||||||||||||||||||||||||||||||||||||||||||||||||||
1,28000 |
1 |
1 |
1 |
st15.001 |
1.1.1.1.15.1 |
Воспалительные заболевания ЦНС, взрослые |
0,98000 |
22 162,49 |
25 856,24 |
30 781,23 |
24 538,61 |
0,90000 |
1,05000 |
1,25000 |
0,80000 |
||||||||||||||||||||||||||||||||||||||||||||||||||
1,28000 |
1 |
1 |
1 |
st15.002 |
1.1.1.1.15.2 |
Воспалительные заболевания ЦНС, дети |
1,55000 |
35 052,91 |
40 895,07 |
48 684,60 |
24 538,61 |
0,90000 |
1,05000 |
1,25000 |
0,80000 |
||||||||||||||||||||||||||||||||||||||||||||||||||
1,28000 |
1 |
1 |
1 |
st15.003 |
1.1.1.1.15.3 |
Дегенеративные болезни нервной системы |
0,84000 |
18 996,42 |
22 162,49 |
26 383,91 |
24 538,61 |
0,90000 |
1,05000 |
1,25000 |
0,80000 |
||||||||||||||||||||||||||||||||||||||||||||||||||
1,28000 |
1 |
1 |
1 |
st15.004 |
1.1.1.1.15.4 |
Демиелинизирующие болезни нервной системы |
1,33000 |
30 077,66 |
35 090,60 |
41 774,53 |
24 538,61 |
0,90000 |
1,05000 |
1,25000 |
0,80000 |
||||||||||||||||||||||||||||||||||||||||||||||||||
1,28000 |
1 |
1 |
1 |
st15.005 |
1.1.1.3.15.5 |
Эпилепсия, судороги (уровень 1) |
0,96000 |
24 122,44 |
24 122,44 |
24 122,44 |
24 538,61 |
0,90000 |
1,05000 |
1,25000 |
0,80000 |
||||||||||||||||||||||||||||||||||||||||||||||||||
1,28000 |
1 |
1 |
1 |
st15.007 |
1.1.1.1.15.7 |
Расстройства периферической нервной системы |
1,02000 |
23 067,08 |
26 911,59 |
32 037,61 |
24 538,61 |
0,90000 |
1,05000 |
1,25000 |
0,80000 |
||||||||||||||||||||||||||||||||||||||||||||||||||
1,28000 |
1 |
1 |
1 |
st15.008 |
1.1.1.1.15.8 |
Неврологические заболевания, лечение с применением ботулотоксина (уровень 1) |
1,43000 |
35 932,38 |
35 932,38 |
35 932,38 |
24 538,61 |
0,90000 |
1,05000 |
1,25000 |
0,80000 |
||||||||||||||||||||||||||||||||||||||||||||||||||
1,28000 |
1 |
1 |
1 |
st15.009 |
1.1.1.1.15.9 |
Неврологические заболевания, лечение с применением ботулотоксина (уровень 2) |
2,11000 |
53 019,10 |
53 019,10 |
53 019,10 |
24 538,61 |
0,90000 |
1,05000 |
1,25000 |
0,80000 |
||||||||||||||||||||||||||||||||||||||||||||||||||
1,28000 |
1 |
1 |
1 |
st15.010 |
1.1.1.1.15.10 |
Другие нарушения нервной системы (уровень 1) |
0,74000 |
16 734,94 |
19 524,10 |
23 242,97 |
24 538,61 |
0,90000 |
1,05000 |
1,25000 |
0,80000 |
||||||||||||||||||||||||||||||||||||||||||||||||||
1,28000 |
1 |
1 |
1 |
st15.011 |
1.1.1.1.15.11 |
Другие нарушения нервной системы (уровень 2) |
0,99000 |
22 388,64 |
26 120,07 |
31 095,33 |
24 538,61 |
0,90000 |
1,05000 |
1,25000 |
0,80000 |
||||||||||||||||||||||||||||||||||||||||||||||||||
1,28000 |
1 |
1 |
1 |
st15.012 |
1.1.1.1.15.12 |
Транзиторные ишемические приступы, сосудистые мозговые синдромы |
1,15000 |
26 007,00 |
30 341,50 |
36 120,83 |
24 538,61 |
0,90000 |
1,05000 |
1,25000 |
0,80000 |
||||||||||||||||||||||||||||||||||||||||||||||||||
1,28000 |
1 |
1 |
1 |
st15.013 |
1.1.1.1.15.13 |
Кровоизлияние в мозг |
2,82000 |
63 773,69 |
74 402,64 |
88 574,57 |
24 538,61 |
0,90000 |
1,05000 |
1,25000 |
0,80000 |
||||||||||||||||||||||||||||||||||||||||||||||||||
1,28000 |
1 |
1 |
1 |
st15.014 |
1.1.1.1.15.14 |
Инфаркт мозга (уровень 1) |
2,52000 |
56 989,25 |
66 487,46 |
79 151,74 |
24 538,61 |
0,90000 |
1,05000 |
1,25000 |
0,80000 |
||||||||||||||||||||||||||||||||||||||||||||||||||
1,28000 |
1 |
1 |
1 |
st15.015 |
1.1.1.3.15.15 |
Инфаркт мозга (уровень 2) |
3,12000 |
88 197,65 |
102 897,26 |
122 496,74 |
24 538,61 |
0,90000 |
1,05000 |
1,25000 |
1,00000 |
||||||||||||||||||||||||||||||||||||||||||||||||||
1,28000 |
1 |
1 |
1 |
st15.016 |
1.1.1.3.15.16 |
Инфаркт мозга (уровень 3) |
4,51000 |
127 490,84 |
148 739,31 |
177 070,61 |
24 538,61 |
0,90000 |
1,05000 |
1,25000 |
1,00000 |
||||||||||||||||||||||||||||||||||||||||||||||||||
1,28000 |
1 |
1 |
1 |
st15.017 |
1.1.1.1.15.17 |
Другие цереброваскулярные болезни |
0,82000 |
18 544,12 |
21 634,81 |
25 755,73 |
24 538,61 |
0,90000 |
1,05000 |
1,25000 |
0,80000 |
||||||||||||||||||||||||||||||||||||||||||||||||||
1,28000 |
1 |
1 |
1 |
st15.018 |
1.1.1.1.15.18 |
Эпилепсия, судороги (уровень 2) |
2,30000 |
52 014,00 |
60 683,00 |
72 241,67 |
24 538,61 |
0,90000 |
1,05000 |
1,25000 |
0,80000 |
||||||||||||||||||||||||||||||||||||||||||||||||||
1,28000 |
1 |
1 |
1 |
st15.019 |
1.1.1.1.15.19 |
Эпилепсия (уровень 3) |
3,16000 |
71 462,71 |
83 373,17 |
99 253,77 |
24 538,61 |
0,90000 |
1,05000 |
1,25000 |
0,80000 |
||||||||||||||||||||||||||||||||||||||||||||||||||
1,28000 |
1 |
1 |
1 |
st15.020 |
1.1.1.1.15.20 |
Эпилепсия (уровень 4) |
4,84000 |
109 455,55 |
127 698,14 |
152 021,60 |
24 538,61 |
0,90000 |
1,05000 |
1,25000 |
0,80000 |
||||||||||||||||||||||||||||||||||||||||||||||||||
1,28000 |
1 |
1 |
1 |
st16.001 |
1.1.1.1.16.1 |
Паралитические синдромы, травма спинного мозга (уровень 1) |
0,98000 |
22 162,49 |
25 856,24 |
30 781,23 |
24 538,61 |
0,90000 |
1,05000 |
1,25000 |
0,80000 |
||||||||||||||||||||||||||||||||||||||||||||||||||
1,28000 |
1 |
1 |
1 |
st16.002 |
1.1.1.1.16.2 |
Паралитические синдромы, травма спинного мозга (уровень 2) |
1,49000 |
33 696,03 |
39 312,03 |
46 800,04 |
24 538,61 |
0,90000 |
1,05000 |
1,25000 |
0,80000 |
||||||||||||||||||||||||||||||||||||||||||||||||||
1,28000 |
1 |
1 |
1 |
st16.003 |
1.1.1.1.16.3 |
Дорсопатии, спондилопатии, остеопатии |
0,68000 |
17 086,72 |
17 086,72 |
17 086,72 |
24 538,61 |
0,90000 |
1,05000 |
1,25000 |
0,80000 |
||||||||||||||||||||||||||||||||||||||||||||||||||
1,28000 |
1 |
1 |
1 |
st16.004 |
1.1.1.1.16.4 |
Травмы позвоночника |
1,01000 |
22 840,93 |
26 647,75 |
31 723,52 |
24 538,61 |
0,90000 |
1,05000 |
1,25000 |
0,80000 |
||||||||||||||||||||||||||||||||||||||||||||||||||
1,28000 |
1 |
1 |
1 |
st16.005 |
1.1.1.1.16.5 |
Сотрясение головного мозга |
0,40000 |
10 051,01 |
10 051,01 |
10 051,01 |
24 538,61 |
0,90000 |
1,05000 |
1,25000 |
0,80000 |
||||||||||||||||||||||||||||||||||||||||||||||||||
1,28000 |
1 |
1 |
1 |
st16.006 |
1.1.1.1.16.6 |
Переломы черепа, внутричерепная травма |
1,54000 |
34 826,77 |
40 631,23 |
48 370,51 |
24 538,61 |
0,90000 |
1,05000 |
1,25000 |
0,80000 |
||||||||||||||||||||||||||||||||||||||||||||||||||
1,28000 |
1 |
1 |
1 |
st16.007 |
1.1.1.2.16.7 |
Операции на центральной нервной системе и головном мозге (уровень 1) |
4,13000 |
93 399,05 |
108 965,56 |
129 720,91 |
24 538,61 |
0,90000 |
1,05000 |
1,25000 |
0,80000 |
||||||||||||||||||||||||||||||||||||||||||||||||||
1,28000 |
1 |
1 |
1 |
st16.008 |
1.1.1.2.16.8 |
Операции на центральной нервной системе и головном мозге (уровень 2) |
5,82000 |
131 618,04 |
153 554,38 |
182 802,83 |
24 538,61 |
0,90000 |
1,05000 |
1,25000 |
0,80000 |
||||||||||||||||||||||||||||||||||||||||||||||||||
1,28000 |
1 |
1 |
1 |
st16.009 |
1.1.1.2.16.9 |
Операции на периферической нервной системе (уровень 1) |
1,41000 |
31 886,84 |
37 201,32 |
44 287,28 |
24 538,61 |
0,90000 |
1,05000 |
1,25000 |
0,80000 |
||||||||||||||||||||||||||||||||||||||||||||||||||
1,28000 |
1 |
1 |
1 |
st16.010 |
1.1.1.2.16.10 |
Операции на периферической нервной системе (уровень 2) |
2,19000 |
55 029,31 |
55 029,31 |
55 029,31 |
24 538,61 |
0,90000 |
1,05000 |
1,25000 |
0,80000 |
||||||||||||||||||||||||||||||||||||||||||||||||||
1,28000 |
1 |
1 |
1 |
st16.011 |
1.1.1.2.16.11 |
Операции на периферической нервной системе (уровень 3) |
2,42000 |
60 808,64 |
60 808,64 |
60 808,64 |
24 538,61 |
0,90000 |
1,05000 |
1,25000 |
0,80000 |
||||||||||||||||||||||||||||||||||||||||||||||||||
1,28000 |
1 |
1 |
1 |
st16.012 |
1.1.1.1.16.12 |
Доброкачественные новообразования нервной системы |
1,02000 |
23 067,08 |
26 911,59 |
32 037,61 |
24 538,61 |
0,90000 |
1,05000 |
1,25000 |
0,80000 |
||||||||||||||||||||||||||||||||||||||||||||||||||
1,28000 |
1 |
1 |
1 |
st17.001 |
1.1.1.1.17.1 |
Малая масса тела при рождении, недоношенность |
4,21000 |
119 010,30 |
138 845,34 |
165 292,08 |
24 538,61 |
0,90000 |
1,05000 |
1,25000 |
1,00000 |
||||||||||||||||||||||||||||||||||||||||||||||||||
1,28000 |
1 |
1 |
1 |
st17.002 |
1.1.1.1.17.2 |
Крайне малая масса тела при рождении, крайняя незрелость |
15,63000 |
441 836,32 |
515 475,71 |
613 661,56 |
24 538,61 |
0,90000 |
1,05000 |
1,25000 |
1,00000 |
||||||||||||||||||||||||||||||||||||||||||||||||||
1,28000 |
1 |
1 |
1 |
st17.003 |
1.1.1.3.17.3 |
Лечение новорожденных с тяжелой патологией с применением аппаратных методов поддержки или замещения витальных функций |
7,40000 |
209 186,74 |
244 051,20 |
290 537,14 |
24 538,61 |
0,90000 |
1,05000 |
1,25000 |
1,00000 |
||||||||||||||||||||||||||||||||||||||||||||||||||
1,28000 |
1 |
1 |
1 |
st17.004 |
1.1.1.1.17.4 |
Геморрагические и гемолитические нарушения у новорожденных |
1,92000 |
43 420,38 |
50 657,11 |
60 306,09 |
24 538,61 |
0,90000 |
1,05000 |
1,25000 |
0,80000 |
||||||||||||||||||||||||||||||||||||||||||||||||||
1,28000 |
1 |
1 |
1 |
st17.005 |
1.1.1.1.17.5 |
Другие нарушения, возникшие в перинатальном периоде (уровень 1) |
1,39000 |
31 434,55 |
36 673,64 |
43 659,09 |
24 538,61 |
0,90000 |
1,05000 |
1,25000 |
0,80000 |
||||||||||||||||||||||||||||||||||||||||||||||||||
1,28000 |
1 |
1 |
1 |
st17.006 |
1.1.1.1.17.6 |
Другие нарушения, возникшие в перинатальном периоде (уровень 2) |
1,89000 |
42 741,94 |
49 865,60 |
59 363,81 |
24 538,61 |
0,90000 |
1,05000 |
1,25000 |
0,80000 |
||||||||||||||||||||||||||||||||||||||||||||||||||
1,28000 |
1 |
1 |
1 |
st17.007 |
1.1.1.1.17.7 |
Другие нарушения, возникшие в перинатальном периоде (уровень 3) |
2,56000 |
57 893,84 |
67 542,82 |
80 408,12 |
24 538,61 |
0,90000 |
1,05000 |
1,25000 |
0,80000 |
||||||||||||||||||||||||||||||||||||||||||||||||||
1,28000 |
1 |
1 |
1 |
st18.001 |
1.1.1.1.18.1 |
Почечная недостаточность |
1,66000 |
37 540,54 |
43 797,30 |
52 139,64 |
24 538,61 |
0,90000 |
1,05000 |
1,25000 |
0,80000 |
||||||||||||||||||||||||||||||||||||||||||||||||||
1,28000 |
1 |
1 |
1 |
st18.002 |
1.1.1.3.18.2 |
Формирование, имплантация, реконструкция, удаление, смена доступа для диализа |
1,82000 |
41 158,91 |
48 018,72 |
57 165,15 |
24 538,61 |
0,90000 |
1,05000 |
1,25000 |
0,80000 |
||||||||||||||||||||||||||||||||||||||||||||||||||
1,28000 |
1 |
1 |
1 |
st18.003 |
1.1.1.1.18.3 |
Гломерулярные болезни |
1,71000 |
38 671,28 |
45 116,49 |
53 710,11 |
24 538,61 |
0,90000 |
1,05000 |
1,25000 |
0,80000 |
||||||||||||||||||||||||||||||||||||||||||||||||||
1,28000 |
1 |
1 |
1 |
st19.001 |
1.1.1.2.19.1 |
Операции на женских половых органах при злокачественных новообразованиях (уровень 1) |
2,41000 |
68 127,03 |
79 481,54 |
94 620,88 |
24 538,61 |
0,90000 |
1,05000 |
1,25000 |
1,00000 |
||||||||||||||||||||||||||||||||||||||||||||||||||
1,28000 |
1 |
1 |
1 |
st19.002 |
1.1.1.2.19.2 |
Операции на женских половых органах при злокачественных новообразованиях (уровень 2) |
4,02000 |
113 639,28 |
132 579,17 |
157 832,34 |
24 538,61 |
0,90000 |
1,05000 |
1,25000 |
1,00000 |
||||||||||||||||||||||||||||||||||||||||||||||||||
1,28000 |
1 |
1 |
1 |
st19.003 |
1.1.1.2.19.3 |
Операции на женских половых органах при злокачественных новообразованиях (уровень 3) |
4,89000 |
138 232,86 |
161 271,67 |
191 990,08 |
24 538,61 |
0,90000 |
1,05000 |
1,25000 |
1,00000 |
||||||||||||||||||||||||||||||||||||||||||||||||||
1,28000 |
1 |
1 |
1 |
st19.004 |
1.1.1.2.19.4 |
Операции на кишечнике и анальной области при злокачественных новообразованиях (уровень 1) |
3,05000 |
86 218,86 |
100 588,67 |
119 748,42 |
24 538,61 |
0,90000 |
1,05000 |
1,25000 |
1,00000 |
||||||||||||||||||||||||||||||||||||||||||||||||||
1,28000 |
1 |
1 |
1 |
st19.005 |
1.1.1.2.19.5 |
Операции на кишечнике и анальной области при злокачественных новообразованиях (уровень 2) |
5,31000 |
150 105,62 |
175 123,23 |
208 480,03 |
24 538,61 |
0,90000 |
1,05000 |
1,25000 |
1,00000 |
||||||||||||||||||||||||||||||||||||||||||||||||||
1,28000 |
1 |
1 |
1 |
st19.006 |
1.1.1.2.19.6 |
Операции при злокачественных новообразованиях почки и мочевыделительной системы (уровень 1) |
1,66000 |
46 925,67 |
54 746,62 |
65 174,55 |
24 538,61 |
0,90000 |
1,05000 |
1,25000 |
1,00000 |
||||||||||||||||||||||||||||||||||||||||||||||||||
1,28000 |
1 |
1 |
1 |
st19.007 |
1.1.1.2.19.7 |
Операции при злокачественных новообразованиях почки и мочевыделительной системы (уровень 2) |
2,77000 |
78 303,69 |
91 354,30 |
108 755,12 |
24 538,61 |
0,90000 |
1,05000 |
1,25000 |
1,00000 |
||||||||||||||||||||||||||||||||||||||||||||||||||
1,28000 |
1 |
1 |
1 |
st19.008 |
1.1.1.2.19.8 |
Операции при злокачественных новообразованиях почки и мочевыделительной системы (уровень 3) |
4,32000 |
122 119,83 |
142 473,13 |
169 610,87 |
24 538,61 |
0,90000 |
1,05000 |
1,25000 |
1,00000 |
||||||||||||||||||||||||||||||||||||||||||||||||||
1,28000 |
1 |
1 |
1 |
st19.009 |
1.1.1.2.19.9 |
Операции при злокачественных новообразованиях кожи (уровень 1) |
1,29000 |
36 466,34 |
42 544,06 |
50 647,69 |
24 538,61 |
0,90000 |
1,05000 |
1,25000 |
1,00000 |
||||||||||||||||||||||||||||||||||||||||||||||||||
1,28000 |
1 |
1 |
1 |
st19.010 |
1.1.1.2.19.10 |
Операции при злокачественных новообразованиях кожи (уровень 2) |
1,55000 |
43 816,14 |
51 118,83 |
60 855,75 |
24 538,61 |
0,90000 |
1,05000 |
1,25000 |
1,00000 |
||||||||||||||||||||||||||||||||||||||||||||||||||
1,28000 |
1 |
1 |
1 |
st19.011 |
1.1.1.2.19.11 |
Операции при злокачественных новообразованиях кожи (уровень 3) |
1,71000 |
48 339,10 |
56 395,62 |
67 137,64 |
24 538,61 |
0,90000 |
1,05000 |
1,25000 |
1,00000 |
||||||||||||||||||||||||||||||||||||||||||||||||||
1,28000 |
1 |
1 |
1 |
st19.012 |
1.1.1.2.19.12 |
Операции при злокачественном новообразовании щитовидной железы (уровень 1) |
2,29000 |
64 734,82 |
75 523,95 |
89 909,47 |
24 538,61 |
0,90000 |
1,05000 |
1,25000 |
1,00000 |
||||||||||||||||||||||||||||||||||||||||||||||||||
1,28000 |
1 |
1 |
1 |
st19.013 |
1.1.1.2.19.13 |
Операции при злокачественном новообразовании щитовидной железы (уровень 2) |
2,49000 |
70 388,51 |
82 119,93 |
97 761,82 |
24 538,61 |
0,90000 |
1,05000 |
1,25000 |
1,00000 |
||||||||||||||||||||||||||||||||||||||||||||||||||
1,28000 |
1 |
1 |
1 |
st19.014 |
1.1.1.2.19.14 |
Мастэктомия, другие операции при злокачественном новообразовании молочной железы (уровень 1) |
2,79000 |
78 869,06 |
92 013,90 |
109 540,36 |
24 538,61 |
0,90000 |
1,05000 |
1,25000 |
1,00000 |
||||||||||||||||||||||||||||||||||||||||||||||||||
1,28000 |
1 |
1 |
1 |
st19.015 |
1.1.1.2.19.15 |
Мастэктомия, другие операции при злокачественном новообразовании молочной железы (уровень 2) |
3,95000 |
111 660,49 |
130 270,57 |
155 084,02 |
24 538,61 |
0,90000 |
1,05000 |
1,25000 |
1,00000 |
||||||||||||||||||||||||||||||||||||||||||||||||||
1,28000 |
1 |
1 |
1 |
st19.016 |
1.1.1.2.19.16 |
Операции при злокачественном новообразовании желчного пузыря, желчных протоков (уровень 1) |
2,38000 |
67 278,98 |
78 492,14 |
93 443,03 |
24 538,61 |
0,90000 |
1,05000 |
1,25000 |
1,00000 |
||||||||||||||||||||||||||||||||||||||||||||||||||
1,28000 |
1 |
1 |
1 |
st19.017 |
1.1.1.2.19.17 |
Операции при злокачественном новообразовании желчного пузыря, желчных протоков (уровень 2) |
2,63000 |
74 346,10 |
86 737,12 |
103 258,47 |
24 538,61 |
0,90000 |
1,05000 |
1,25000 |
1,00000 |
||||||||||||||||||||||||||||||||||||||||||||||||||
1,28000 |
1 |
1 |
1 |
st19.018 |
1.1.1.2.19.18 |
Операции при злокачественном новообразовании пищевода, желудка (уровень 1) |
2,17000 |
61 342,60 |
71 566,37 |
85 198,05 |
24 538,61 |
0,90000 |
1,05000 |
1,25000 |
1,00000 |
||||||||||||||||||||||||||||||||||||||||||||||||||
1,28000 |
1 |
1 |
1 |
st19.019 |
1.1.1.2.19.19 |
Операции при злокачественном новообразовании пищевода, желудка (уровень 2) |
3,43000 |
96 960,88 |
113 121,03 |
134 667,89 |
24 538,61 |
0,90000 |
1,05000 |
1,25000 |
1,00000 |
||||||||||||||||||||||||||||||||||||||||||||||||||
1,28000 |
1 |
1 |
1 |
st19.020 |
1.1.1.2.19.20 |
Операции при злокачественном новообразовании пищевода, желудка (уровень 3) |
4,27000 |
120 706,40 |
140 824,14 |
167 647,78 |
24 538,61 |
0,90000 |
1,05000 |
1,25000 |
1,00000 |
||||||||||||||||||||||||||||||||||||||||||||||||||
1,28000 |
1 |
1 |
1 |
st19.021 |
1.1.1.2.19.21 |
Другие операции при злокачественном новообразовании брюшной полости |
3,66000 |
103 462,63 |
120 706,40 |
143 698,10 |
24 538,61 |
0,90000 |
1,05000 |
1,25000 |
1,00000 |
||||||||||||||||||||||||||||||||||||||||||||||||||
1,28000 |
1 |
1 |
1 |
st19.022 |
1.1.1.2.19.22 |
Операции на органе слуха, придаточных пазухах носа и верхних дыхательных путях при злокачественных новообразованиях |
2,81000 |
79 434,43 |
92 673,50 |
110 325,59 |
24 538,61 |
0,90000 |
1,05000 |
1,25000 |
1,00000 |
||||||||||||||||||||||||||||||||||||||||||||||||||
1,28000 |
1 |
1 |
1 |
st19.023 |
1.1.1.2.19.23 |
Операции на нижних дыхательных путях и легочной ткани при злокачественных новообразованиях (уровень 1) |
3,42000 |
96 678,20 |
112 791,23 |
134 275,27 |
24 538,61 |
0,90000 |
1,05000 |
1,25000 |
1,00000 |
||||||||||||||||||||||||||||||||||||||||||||||||||
1,28000 |
1 |
1 |
1 |
st19.024 |
1.1.1.2.19.24 |
Операции на нижних дыхательных путях и легочной ткани при злокачественных новообразованиях (уровень 2) |
5,31000 |
150 105,62 |
175 123,23 |
208 480,03 |
24 538,61 |
0,90000 |
1,05000 |
1,25000 |
1,00000 |
||||||||||||||||||||||||||||||||||||||||||||||||||
1,28000 |
1 |
1 |
1 |
st19.025 |
1.1.1.2.19.25 |
Операции при злокачественных новообразованиях мужских половых органов (уровень 1) |
2,86000 |
80 847,85 |
94 322,49 |
112 288,68 |
24 538,61 |
0,90000 |
1,05000 |
1,25000 |
1,00000 |
||||||||||||||||||||||||||||||||||||||||||||||||||
1,28000 |
1 |
1 |
1 |
st19.026 |
1.1.1.2.19.26 |
Операции при злокачественных новообразованиях мужских половых органов (уровень 2) |
4,31000 |
121 837,14 |
142 143,33 |
169 218,25 |
24 538,61 |
0,90000 |
1,05000 |
1,25000 |
1,00000 |
||||||||||||||||||||||||||||||||||||||||||||||||||
1,28000 |
1 |
1 |
1 |
st19.037 |
1.1.1.2.19.37 |
Фебрильная нейтропения, агранулоцитоз вследствие проведения лекарственной терапии злокачественных новообразований |
2,93000 |
82 826,64 |
96 631,08 |
115 037,00 |
24 538,61 |
0,90000 |
1,05000 |
1,25000 |
1,00000 |
||||||||||||||||||||||||||||||||||||||||||||||||||
1,28000 |
1 |
1 |
1 |
st19.038 |
1.1.1.2.19.38 |
Установка, замена порт системы (катетера) для лекарственной терапии злокачественных новообразований |
1,24000 |
35 052,91 |
40 895,07 |
48 684,60 |
24 538,61 |
0,90000 |
1,05000 |
1,25000 |
1,00000 |
||||||||||||||||||||||||||||||||||||||||||||||||||
1,28000 |
1 |
1 |
1 |
st19.075 |
1.1.1.2.19.75 |
Лучевая терапия (уровень 1) |
0,79000 |
22 332,10 |
26 054,11 |
31 016,80 |
24 538,61 |
0,90000 |
1,05000 |
1,25000 |
1,00000 |
||||||||||||||||||||||||||||||||||||||||||||||||||
1,28000 |
1 |
1 |
1 |
st19.076 |
1.1.1.2.19.76 |
Лучевая терапия (уровень 2) |
1,14000 |
32 226,07 |
37 597,08 |
44 758,42 |
24 538,61 |
0,90000 |
1,05000 |
1,25000 |
1,00000 |
||||||||||||||||||||||||||||||||||||||||||||||||||
1,28000 |
1 |
1 |
1 |
st19.077 |
1.1.1.2.19.77 |
Лучевая терапия (уровень 3) |
2,46000 |
69 540,46 |
81 130,53 |
96 583,97 |
24 538,61 |
0,90000 |
1,05000 |
1,25000 |
1,00000 |
||||||||||||||||||||||||||||||||||||||||||||||||||
1,28000 |
1 |
1 |
1 |
st19.078 |
1.1.1.2.19.78 |
Лучевая терапия (уровень 4) |
2,51000 |
70 953,88 |
82 779,53 |
98 547,06 |
24 538,61 |
0,90000 |
1,05000 |
1,25000 |
1,00000 |
||||||||||||||||||||||||||||||||||||||||||||||||||
1,28000 |
1 |
1 |
1 |
st19.079 |
1.1.1.2.19.79 |
Лучевая терапия (уровень 5) |
2,82000 |
79 717,11 |
93 003,29 |
110 718,21 |
24 538,61 |
0,90000 |
1,05000 |
1,25000 |
1,00000 |
||||||||||||||||||||||||||||||||||||||||||||||||||
1,28000 |
1 |
1 |
1 |
st19.080 |
1.1.1.2.19.80 |
Лучевая терапия (уровень 6) |
4,51000 |
127 490,84 |
148 739,31 |
177 070,61 |
24 538,61 |
0,90000 |
1,05000 |
1,25000 |
1,00000 |
||||||||||||||||||||||||||||||||||||||||||||||||||
1,28000 |
1 |
1 |
1 |
st19.081 |
1.1.1.2.19.81 |
Лучевая терапия (уровень 7) |
4,87000 |
137 667,49 |
160 612,07 |
191 204,85 |
24 538,61 |
0,90000 |
1,05000 |
1,25000 |
1,00000 |
||||||||||||||||||||||||||||||||||||||||||||||||||
1,28000 |
1 |
1 |
1 |
st19.082 |
1.1.1.2.19.82 |
Лучевая терапия (уровень 8) |
14,55000 |
411 306,37 |
479 857,43 |
571 258,84 |
24 538,61 |
0,90000 |
1,05000 |
1,25000 |
1,00000 |
||||||||||||||||||||||||||||||||||||||||||||||||||
1,28000 |
1 |
1 |
1 |
st19.084 |
1.1.1.2.19.84 |
Лучевая терапия в сочетании с лекарственной терапией (уровень 2) |
3,78000 |
105 033,27 |
120 541,47 |
141 219,07 |
24 538,61 |
0,90000 |
1,05000 |
1,25000 |
1,00000 |
||||||||||||||||||||||||||||||||||||||||||||||||||
1,28000 |
1 |
1 |
1 |
st19.085 |
1.1.1.2.19.85 |
Лучевая терапия в сочетании с лекарственной терапией (уровень 3) |
4,37000 |
121 714,22 |
140 005,38 |
164 393,59 |
24 538,61 |
0,90000 |
1,05000 |
1,25000 |
1,00000 |
||||||||||||||||||||||||||||||||||||||||||||||||||
1,28000 |
1 |
1 |
1 |
st19.086 |
1.1.1.2.19.86 |
Лучевая терапия в сочетании с лекарственной терапией (уровень 4) |
5,85000 |
162 544,95 |
186 537,46 |
218 527,49 |
24 538,61 |
0,90000 |
1,05000 |
1,25000 |
1,00000 |
||||||||||||||||||||||||||||||||||||||||||||||||||
1,28000 |
1 |
1 |
1 |
st19.087 |
1.1.1.2.19.87 |
Лучевая терапия в сочетании с лекарственной терапией (уровень 5) |
6,57000 |
182 903,35 |
210 294,53 |
246 816,11 |
24 538,61 |
0,90000 |
1,05000 |
1,25000 |
1,00000 |
||||||||||||||||||||||||||||||||||||||||||||||||||
1,28000 |
1 |
1 |
1 |
st19.088 |
1.1.1.2.19.88 |
Лучевая терапия в сочетании с лекарственной терапией (уровень 6) |
9,49000 |
249 164,40 |
269 745,01 |
297 185,83 |
24 538,61 |
0,90000 |
1,05000 |
1,25000 |
1,00000 |
||||||||||||||||||||||||||||||||||||||||||||||||||
1,28000 |
1 |
1 |
1 |
st19.089 |
1.1.1.2.19.89 |
Лучевая терапия в сочетании с лекарственной терапией (уровень 7) |
16,32000 |
416 759,32 |
437 335,15 |
464 769,60 |
24 538,61 |
0,90000 |
1,05000 |
1,25000 |
1,00000 |
||||||||||||||||||||||||||||||||||||||||||||||||||
1,28000 |
1 |
1 |
1 |
st19.090 |
1.1.1.2.19.90 |
ЗНО лимфоидной и кроветворной тканей без специального противоопухолевого лечения (уровень 1) |
0,43000 |
12 155,45 |
14 181,35 |
16 882,56 |
24 538,61 |
0,90000 |
1,05000 |
1,25000 |
1,00000 |
||||||||||||||||||||||||||||||||||||||||||||||||||
1,28000 |
1 |
1 |
1 |
st19.091 |
1.1.1.2.19.91 |
ЗНО лимфоидной и кроветворной тканей без специального противоопухолевого лечения (уровень 2) |
1,37000 |
38 727,82 |
45 182,45 |
53 788,63 |
24 538,61 |
0,90000 |
1,05000 |
1,25000 |
1,00000 |
||||||||||||||||||||||||||||||||||||||||||||||||||
1,28000 |
1 |
1 |
1 |
st19.092 |
1.1.1.2.19.92 |
ЗНО лимфоидной и кроветворной тканей без специального противоопухолевого лечения (уровень 3) |
2,85000 |
80 565,16 |
93 992,69 |
111 896,06 |
24 538,61 |
0,90000 |
1,05000 |
1,25000 |
1,00000 |
||||||||||||||||||||||||||||||||||||||||||||||||||
1,28000 |
1 |
1 |
1 |
st19.093 |
1.1.1.2.19.93 |
ЗНО лимфоидной и кроветворной тканей без специального противоопухолевого лечения (уровень 4) |
4,87000 |
137 667,49 |
160 612,07 |
191 204,85 |
24 538,61 |
0,90000 |
1,05000 |
1,25000 |
1,00000 |
||||||||||||||||||||||||||||||||||||||||||||||||||
1,28000 |
1 |
1 |
1 |
st19.094 |
1.1.1.2.19.94 |
ЗНО лимфоидной и кроветворной тканей, лекарственная терапия, взрослые (уровень 1) |
1,46000 |
39 959,04 |
45 179,26 |
52 139,55 |
24 538,61 |
0,90000 |
1,05000 |
1,25000 |
1,00000 |
||||||||||||||||||||||||||||||||||||||||||||||||||
1,28000 |
1 |
1 |
1 |
st19.095 |
1.1.1.2.19.95 |
ЗНО лимфоидной и кроветворной тканей, лекарственная терапия, взрослые (уровень 2) |
3,65000 |
99 897,61 |
112 948,15 |
130 348,88 |
24 538,61 |
0,90000 |
1,05000 |
1,25000 |
1,00000 |
||||||||||||||||||||||||||||||||||||||||||||||||||
1,28000 |
1 |
1 |
1 |
st19.096 |
1.1.1.2.19.96 |
ЗНО лимфоидной и кроветворной тканей, лекарственная терапия, взрослые (уровень 3) |
7,18000 |
196 510,91 |
222 182,94 |
256 412,31 |
24 538,61 |
0,90000 |
1,05000 |
1,25000 |
1,00000 |
||||||||||||||||||||||||||||||||||||||||||||||||||
1,28000 |
1 |
1 |
1 |
st19.097 |
1.1.1.2.19.97 |
ЗНО лимфоидной и кроветворной тканей, лекарственная терапия с применением отдельных препаратов (по перечню), взрослые (уровень 1) |
3,52000 |
90 090,14 |
94 781,80 |
101 037,35 |
24 538,61 |
0,90000 |
1,05000 |
1,25000 |
1,00000 |
||||||||||||||||||||||||||||||||||||||||||||||||||
1,28000 |
1 |
1 |
1 |
st19.098 |
1.1.1.2.19.98 |
ЗНО лимфоидной и кроветворной тканей, лекарственная терапия с применением отдельных препаратов (по перечню), взрослые (уровень 2) |
5,79000 |
152 226,48 |
165 044,92 |
182 136,18 |
24 538,61 |
0,90000 |
1,05000 |
1,25000 |
1,00000 |
||||||||||||||||||||||||||||||||||||||||||||||||||
1,28000 |
1 |
1 |
1 |
st19.099 |
1.1.1.2.19.99 |
ЗНО лимфоидной и кроветворной тканей, лекарственная терапия с применением отдельных препаратов (по перечню), взрослые (уровень 3) |
9,00000 |
240 079,07 |
264 371,58 |
296 761,61 |
24 538,61 |
0,90000 |
1,05000 |
1,25000 |
1,00000 |
||||||||||||||||||||||||||||||||||||||||||||||||||
1,28000 |
1 |
1 |
1 |
st19.100 |
1.1.1.2.19.100 |
ЗНО лимфоидной и кроветворной тканей, лекарственная терапия с применением отдельных препаратов (по перечню), взрослые (уровень 4) |
14,84000 |
366 909,46 |
370 391,35 |
375 033,86 |
24 538,61 |
0,90000 |
1,05000 |
1,25000 |
1,00000 |
||||||||||||||||||||||||||||||||||||||||||||||||||
1,28000 |
1 |
1 |
1 |
st19.101 |
1.1.1.2.19.101 |
ЗНО лимфоидной и кроветворной тканей, лекарственная терапия с применением отдельных препаратов (по перечню), взрослые (уровень 5) |
17,50000 |
439 719,18 |
452 721,50 |
470 057,93 |
24 538,61 |
0,90000 |
1,05000 |
1,25000 |
1,00000 |
||||||||||||||||||||||||||||||||||||||||||||||||||
1,28000 |
1 |
1 |
1 |
st19.102 |
1.1.1.2.19.102 |
ЗНО лимфоидной и кроветворной тканей, лекарственная терапия с применением отдельных препаратов (по перечню), взрослые (уровень 6) |
20,60000 |
524 573,57 |
548 672,35 |
580 804,07 |
24 538,61 |
0,90000 |
1,05000 |
1,25000 |
1,00000 |
||||||||||||||||||||||||||||||||||||||||||||||||||
1,28000 |
1 |
1 |
1 |
st19.103 |
1.1.1.2.19.103 |
Лучевые повреждения |
2,64000 |
74 628,78 |
87 066,91 |
103 651,09 |
24 538,61 |
0,90000 |
1,05000 |
1,25000 |
1,00000 |
||||||||||||||||||||||||||||||||||||||||||||||||||
1,28000 |
1 |
1 |
1 |
st19.104 |
1.1.1.2.19.104 |
Эвисцерация малого таза при лучевых повреждениях |
19,75000 |
558 302,45 |
651 352,86 |
775 420,08 |
24 538,61 |
0,90000 |
1,05000 |
1,25000 |
1,00000 |
||||||||||||||||||||||||||||||||||||||||||||||||||
1,28000 |
1 |
1 |
1 |
st19.105 |
1.1.1.1.19.105 |
Лекарственная терапия при злокачественных новообразованиях (кроме лимфоидной и кроветворной тканей), взрослые (уровень 1) |
0,40000 |
10 645,41 |
11 693,80 |
13 091,64 |
24 538,61 |
0,90000 |
1,05000 |
1,25000 |
1,00000 |
||||||||||||||||||||||||||||||||||||||||||||||||||
1,28000 |
1 |
1 |
1 |
st19.106 |
1.1.1.1.19.106 |
Лекарственная терапия при злокачественных новообразованиях (кроме лимфоидной и кроветворной тканей), взрослые (уровень 2) |
0,76000 |
19 830,56 |
21 322,63 |
23 312,05 |
24 538,61 |
0,90000 |
1,05000 |
1,25000 |
1,00000 |
||||||||||||||||||||||||||||||||||||||||||||||||||
1,28000 |
1 |
1 |
1 |
st19.107 |
1.1.1.1.19.107 |
Лекарственная терапия при злокачественных новообразованиях (кроме лимфоидной и кроветворной тканей), взрослые (уровень 3) |
1,07000 |
27 202,57 |
28 397,84 |
29 991,54 |
24 538,61 |
0,90000 |
1,05000 |
1,25000 |
1,00000 |
||||||||||||||||||||||||||||||||||||||||||||||||||
1,28000 |
1 |
1 |
1 |
st19.108 |
1.1.1.1.19.108 |
Лекарственная терапия при злокачественных новообразованиях (кроме лимфоидной и кроветворной тканей), взрослые (уровень 4) |
1,37000 |
34 576,01 |
35 786,25 |
37 399,91 |
24 538,61 |
0,90000 |
1,05000 |
1,25000 |
1,00000 |
||||||||||||||||||||||||||||||||||||||||||||||||||
1,28000 |
1 |
1 |
1 |
st19.109 |
1.1.1.1.19.109 |
Лекарственная терапия при злокачественных новообразованиях (кроме лимфоидной и кроветворной тканей), взрослые (уровень 5) |
2,16000 |
55 621,77 |
58 929,18 |
63 339,06 |
24 538,61 |
0,90000 |
1,05000 |
1,25000 |
1,00000 |
||||||||||||||||||||||||||||||||||||||||||||||||||
1,28000 |
1 |
1 |
1 |
st19.110 |
1.1.1.1.19.110 |
Лекарственная терапия при злокачественных новообразованиях (кроме лимфоидной и кроветворной тканей), взрослые (уровень 6) |
2,68000 |
66 639,13 |
67 745,22 |
69 220,00 |
24 538,61 |
0,90000 |
1,05000 |
1,25000 |
1,00000 |
||||||||||||||||||||||||||||||||||||||||||||||||||
1,28000 |
1 |
1 |
1 |
st19.111 |
1.1.1.1.19.111 |
Лекарственная терапия при злокачественных новообразованиях (кроме лимфоидной и кроветворной тканей), взрослые (уровень 7) |
3,53000 |
87 557,43 |
88 739,91 |
90 316,56 |
24 538,61 |
0,90000 |
1,05000 |
1,25000 |
1,00000 |
||||||||||||||||||||||||||||||||||||||||||||||||||
1,28000 |
1 |
1 |
1 |
st19.112 |
1.1.1.1.19.112 |
Лекарственная терапия при злокачественных новообразованиях (кроме лимфоидной и кроветворной тканей), взрослые (уровень 8) |
4,44000 |
110 238,19 |
111 863,57 |
114 030,74 |
24 538,61 |
0,90000 |
1,05000 |
1,25000 |
1,00000 |
||||||||||||||||||||||||||||||||||||||||||||||||||
1,28000 |
1 |
1 |
1 |
st19.113 |
1.1.1.1.19.113 |
Лекарственная терапия при злокачественных новообразованиях (кроме лимфоидной и кроветворной тканей), взрослые (уровень 9) |
4,88000 |
120 811,40 |
122 154,11 |
123 944,40 |
24 538,61 |
0,90000 |
1,05000 |
1,25000 |
1,00000 |
||||||||||||||||||||||||||||||||||||||||||||||||||
1,28000 |
1 |
1 |
1 |
st19.114 |
1.1.1.1.19.114 |
Лекарственная терапия при злокачественных новообразованиях (кроме лимфоидной и кроветворной тканей), взрослые (уровень 10) |
5,25000 |
129 961,49 |
131 393,64 |
133 303,18 |
24 538,61 |
0,90000 |
1,05000 |
1,25000 |
1,00000 |
||||||||||||||||||||||||||||||||||||||||||||||||||
1,28000 |
1 |
1 |
1 |
st19.115 |
1.1.1.1.19.115 |
Лекарственная терапия при злокачественных новообразованиях (кроме лимфоидной и кроветворной тканей), взрослые (уровень 11) |
5,74000 |
142 408,09 |
144 374,15 |
146 995,57 |
24 538,61 |
0,90000 |
1,05000 |
1,25000 |
1,00000 |
||||||||||||||||||||||||||||||||||||||||||||||||||
1,28000 |
1 |
1 |
1 |
st19.116 |
1.1.1.1.19.116 |
Лекарственная терапия при злокачественных новообразованиях (кроме лимфоидной и кроветворной тканей), взрослые (уровень 12) |
6,76000 |
167 368,62 |
169 247,72 |
171 753,19 |
24 538,61 |
0,90000 |
1,05000 |
1,25000 |
1,00000 |
||||||||||||||||||||||||||||||||||||||||||||||||||
1,28000 |
1 |
1 |
1 |
st19.117 |
1.1.1.1.19.117 |
Лекарственная терапия при злокачественных новообразованиях (кроме лимфоидной и кроветворной тканей), взрослые (уровень 13) |
8,07000 |
199 025,90 |
200 288,20 |
201 971,27 |
24 538,61 |
0,90000 |
1,05000 |
1,25000 |
1,00000 |
||||||||||||||||||||||||||||||||||||||||||||||||||
1,28000 |
1 |
1 |
1 |
st19.118 |
1.1.1.1.19.118 |
Лекарственная терапия при злокачественных новообразованиях (кроме лимфоидной и кроветворной тканей), взрослые (уровень 14) |
10,11000 |
248 896,09 |
249 920,19 |
251 285,65 |
24 538,61 |
0,90000 |
1,05000 |
1,25000 |
1,00000 |
||||||||||||||||||||||||||||||||||||||||||||||||||
1,28000 |
1 |
1 |
1 |
st19.119 |
1.1.1.1.19.119 |
Лекарственная терапия при злокачественных новообразованиях (кроме лимфоидной и кроветворной тканей), взрослые (уровень 15) |
13,86000 |
340 906,42 |
341 918,58 |
343 268,11 |
24 538,61 |
0,90000 |
1,05000 |
1,25000 |
1,00000 |
||||||||||||||||||||||||||||||||||||||||||||||||||
1,28000 |
1 |
1 |
1 |
st19.120 |
1.1.1.1.19.120 |
Лекарственная терапия при злокачественных новообразованиях (кроме лимфоидной и кроветворной тканей), взрослые (уровень 16) |
17,20000 |
422 827,52 |
423 791,85 |
425 077,63 |
24 538,61 |
0,90000 |
1,05000 |
1,25000 |
1,00000 |
||||||||||||||||||||||||||||||||||||||||||||||||||
1,28000 |
1 |
1 |
1 |
st19.121 |
1.1.1.1.19.121 |
Лекарственная терапия при злокачественных новообразованиях (кроме лимфоидной и кроветворной тканей), взрослые (уровень 17) |
29,17000 |
716 541,98 |
717 490,26 |
718 754,63 |
24 538,61 |
0,90000 |
1,05000 |
1,25000 |
1,00000 |
||||||||||||||||||||||||||||||||||||||||||||||||||
1,28000 |
1 |
1 |
1 |
st19.122 |
1.1.1.2.19.122 |
Поздний посттрансплантационный период после пересадки костного мозга |
23,41000 |
626 009,09 |
691 137,81 |
777 976,09 |
24 538,61 |
0,90000 |
1,05000 |
1,25000 |
1,00000 |
||||||||||||||||||||||||||||||||||||||||||||||||||
1,28000 |
1 |
1 |
1 |
st20.001 |
1.1.1.1.20.1 |
Доброкачественные новообразования, новообразования in situ уха, горла, носа, полости рта |
0,66000 |
14 925,76 |
17 413,38 |
20 730,22 |
24 538,61 |
0,90000 |
1,05000 |
1,25000 |
0,80000 |
||||||||||||||||||||||||||||||||||||||||||||||||||
1,28000 |
1 |
1 |
1 |
st20.002 |
1.1.1.1.20.2 |
Средний отит, мастоидит, нарушения вестибулярной функции |
0,47000 |
10 628,95 |
12 400,44 |
14 762,43 |
24 538,61 |
0,90000 |
1,05000 |
1,25000 |
0,80000 |
||||||||||||||||||||||||||||||||||||||||||||||||||
1,28000 |
1 |
1 |
1 |
st20.003 |
1.1.1.1.20.3 |
Другие болезни уха |
0,61000 |
13 795,02 |
16 094,19 |
19 159,75 |
24 538,61 |
0,90000 |
1,05000 |
1,25000 |
0,80000 |
||||||||||||||||||||||||||||||||||||||||||||||||||
1,28000 |
1 |
1 |
1 |
st20.004 |
1.1.1.1.20.4 |
Другие болезни и врожденные аномалии верхних дыхательных путей, симптомы и признаки, относящиеся к органам дыхания, нарушения речи |
0,71000 |
16 056,50 |
18 732,58 |
22 300,69 |
24 538,61 |
0,90000 |
1,05000 |
1,25000 |
0,80000 |
||||||||||||||||||||||||||||||||||||||||||||||||||
1,28000 |
1 |
1 |
1 |
st20.005 |
1.1.1.2.20.5 |
Операции на органе слуха, придаточных пазухах носа и верхних дыхательных путях (уровень 1) |
0,84000 |
18 996,42 |
22 162,49 |
26 383,91 |
24 538,61 |
0,90000 |
1,05000 |
1,25000 |
0,80000 |
||||||||||||||||||||||||||||||||||||||||||||||||||
1,28000 |
1 |
1 |
1 |
st20.006 |
1.1.1.2.20.6 |
Операции на органе слуха, придаточных пазухах носа и верхних дыхательных путях (уровень 2) |
0,91000 |
20 579,45 |
24 009,36 |
28 582,57 |
24 538,61 |
0,90000 |
1,05000 |
1,25000 |
0,80000 |
||||||||||||||||||||||||||||||||||||||||||||||||||
1,28000 |
1 |
1 |
1 |
st20.007 |
1.1.1.2.20.7 |
Операции на органе слуха, придаточных пазухах носа и верхних дыхательных путях (уровень 3) |
1,10000 |
24 876,26 |
29 022,30 |
34 550,36 |
24 538,61 |
0,90000 |
1,05000 |
1,25000 |
0,80000 |
||||||||||||||||||||||||||||||||||||||||||||||||||
1,28000 |
1 |
1 |
1 |
st20.008 |
1.1.1.2.20.8 |
Операции на органе слуха, придаточных пазухах носа и верхних дыхательных путях (уровень 4) |
1,35000 |
33 922,17 |
33 922,17 |
33 922,17 |
24 538,61 |
0,90000 |
1,05000 |
1,25000 |
0,80000 |
||||||||||||||||||||||||||||||||||||||||||||||||||
1,28000 |
1 |
1 |
1 |
st20.009 |
1.1.1.2.20.9 |
Операции на органе слуха, придаточных пазухах носа и верхних дыхательных путях (уровень 5) |
1,96000 |
49 249,97 |
49 249,97 |
49 249,97 |
24 538,61 |
0,90000 |
1,05000 |
1,25000 |
0,80000 |
||||||||||||||||||||||||||||||||||||||||||||||||||
1,28000 |
1 |
1 |
1 |
st20.010 |
1.1.1.2.20.10 |
Замена речевого процессора |
29,91000 |
734 080,17 |
734 080,17 |
734 080,17 |
24 538,61 |
0,90000 |
1,05000 |
1,25000 |
0,80000 |
||||||||||||||||||||||||||||||||||||||||||||||||||
1,28000 |
1 |
1 |
1 |
st21.001 |
1.1.1.2.21.1 |
Операции на органе зрения (уровень 1) |
0,49000 |
11 081,24 |
12 928,12 |
15 390,62 |
24 538,61 |
0,90000 |
1,05000 |
1,25000 |
0,80000 |
||||||||||||||||||||||||||||||||||||||||||||||||||
1,28000 |
1 |
1 |
1 |
st21.002 |
1.1.1.2.21.2 |
Операции на органе зрения (уровень 2) |
0,79000 |
17 865,68 |
20 843,29 |
24 813,44 |
24 538,61 |
0,90000 |
1,05000 |
1,25000 |
0,80000 |
||||||||||||||||||||||||||||||||||||||||||||||||||
1,28000 |
1 |
1 |
1 |
st21.003 |
1.1.1.2.21.3 |
Операции на органе зрения (уровень 3) |
1,07000 |
24 197,82 |
28 230,79 |
33 608,08 |
24 538,61 |
0,90000 |
1,05000 |
1,25000 |
0,80000 |
||||||||||||||||||||||||||||||||||||||||||||||||||
1,28000 |
1 |
1 |
1 |
st21.004 |
1.1.1.2.21.4 |
Операции на органе зрения (уровень 4) |
1,19000 |
29 901,77 |
29 901,77 |
29 901,77 |
24 538,61 |
0,90000 |
1,05000 |
1,25000 |
0,80000 |
||||||||||||||||||||||||||||||||||||||||||||||||||
1,28000 |
1 |
1 |
1 |
st21.005 |
1.1.1.2.21.5 |
Операции на органе зрения (уровень 5) |
2,11000 |
53 019,10 |
53 019,10 |
53 019,10 |
24 538,61 |
0,90000 |
1,05000 |
1,25000 |
0,80000 |
||||||||||||||||||||||||||||||||||||||||||||||||||
1,28000 |
1 |
1 |
1 |
st21.006 |
1.1.1.2.21.6 |
Операции на органе зрения (уровень 6) |
2,33000 |
58 547,16 |
58 547,16 |
58 547,16 |
24 538,61 |
0,90000 |
1,05000 |
1,25000 |
0,80000 |
||||||||||||||||||||||||||||||||||||||||||||||||||
1,28000 |
1 |
1 |
1 |
st21.007 |
1.1.1.1.21.7 |
Болезни глаза |
0,51000 |
11 533,54 |
13 455,80 |
16 018,80 |
24 538,61 |
0,90000 |
1,05000 |
1,25000 |
0,80000 |
||||||||||||||||||||||||||||||||||||||||||||||||||
1,28000 |
1 |
1 |
1 |
st21.008 |
1.1.1.1.21.8 |
Травмы глаза |
0,66000 |
14 925,76 |
17 413,38 |
20 730,22 |
24 538,61 |
0,90000 |
1,05000 |
1,25000 |
0,80000 |
||||||||||||||||||||||||||||||||||||||||||||||||||
1,28000 |
1 |
1 |
1 |
st22.001 |
1.1.1.1.22.1 |
Нарушения всасывания, дети |
1,11000 |
25 102,41 |
29 286,14 |
34 864,46 |
24 538,61 |
0,90000 |
1,05000 |
1,25000 |
0,80000 |
||||||||||||||||||||||||||||||||||||||||||||||||||
1,28000 |
1 |
1 |
1 |
st22.002 |
1.1.1.1.22.2 |
Другие болезни органов пищеварения, дети |
0,39000 |
8 819,77 |
10 289,73 |
12 249,67 |
24 538,61 |
0,90000 |
1,05000 |
1,25000 |
0,80000 |
||||||||||||||||||||||||||||||||||||||||||||||||||
1,28000 |
1 |
1 |
1 |
st22.003 |
1.1.1.1.22.3 |
Воспалительные артропатии, спондилопатии, дети |
1,85000 |
41 837,35 |
48 810,24 |
58 107,43 |
24 538,61 |
0,90000 |
1,05000 |
1,25000 |
0,80000 |
||||||||||||||||||||||||||||||||||||||||||||||||||
1,28000 |
1 |
1 |
1 |
st22.004 |
1.1.1.1.22.4 |
Врожденные аномалии головного и спинного мозга, дети |
2,12000 |
47 943,34 |
55 933,90 |
66 587,97 |
24 538,61 |
0,90000 |
1,05000 |
1,25000 |
0,80000 |
||||||||||||||||||||||||||||||||||||||||||||||||||
1,28000 |
1 |
1 |
1 |
st23.001 |
1.1.1.1.23.1 |
Другие болезни органов дыхания |
0,85000 |
19 222,57 |
22 426,33 |
26 698,01 |
24 538,61 |
0,90000 |
1,05000 |
1,25000 |
0,80000 |
||||||||||||||||||||||||||||||||||||||||||||||||||
1,28000 |
1 |
1 |
1 |
st23.002 |
1.1.1.1.23.2 |
Интерстициальные болезни легких, врожденные аномалии развития легких, бронхолегочная дисплазия, дети |
2,48000 |
56 084,66 |
65 432,11 |
77 895,36 |
24 538,61 |
0,90000 |
1,05000 |
1,25000 |
0,80000 |
||||||||||||||||||||||||||||||||||||||||||||||||||
1,28000 |
1 |
1 |
1 |
st23.003 |
1.1.1.1.23.3 |
Доброкачественные новообразования, новообразования in situ органов дыхания, других и неуточненных органов грудной клетки |
0,91000 |
20 579,45 |
24 009,36 |
28 582,57 |
24 538,61 |
0,90000 |
1,05000 |
1,25000 |
0,80000 |
||||||||||||||||||||||||||||||||||||||||||||||||||
1,28000 |
1 |
1 |
1 |
st23.004 |
1.1.1.1.23.4 |
Пневмония, плеврит, другие болезни плевры |
1,28000 |
28 946,92 |
33 771,41 |
40 204,06 |
24 538,61 |
0,90000 |
1,05000 |
1,25000 |
0,80000 |
||||||||||||||||||||||||||||||||||||||||||||||||||
1,28000 |
1 |
1 |
1 |
st23.005 |
1.1.1.1.23.5 |
Астма, взрослые |
1,11000 |
25 102,41 |
29 286,14 |
34 864,46 |
24 538,61 |
0,90000 |
1,05000 |
1,25000 |
0,80000 |
||||||||||||||||||||||||||||||||||||||||||||||||||
1,28000 |
1 |
1 |
1 |
st23.006 |
1.1.1.1.23.6 |
Астма, дети |
1,25000 |
28 268,48 |
32 979,89 |
39 261,78 |
24 538,61 |
0,90000 |
1,05000 |
1,25000 |
0,80000 |
||||||||||||||||||||||||||||||||||||||||||||||||||
1,28000 |
1 |
1 |
1 |
st24.001 |
1.1.1.1.24.1 |
Системные поражения соединительной ткани |
1,78000 |
40 254,31 |
46 963,37 |
55 908,77 |
24 538,61 |
0,90000 |
1,05000 |
1,25000 |
0,80000 |
||||||||||||||||||||||||||||||||||||||||||||||||||
1,28000 |
1 |
1 |
1 |
st24.002 |
1.1.1.1.24.2 |
Артропатии и спондилопатии |
1,67000 |
37 766,69 |
44 061,14 |
52 453,73 |
24 538,61 |
0,90000 |
1,05000 |
1,25000 |
0,80000 |
||||||||||||||||||||||||||||||||||||||||||||||||||
1,28000 |
1 |
1 |
1 |
st24.003 |
1.1.1.1.24.3 |
Ревматические болезни сердца (уровень 1) |
0,87000 |
19 674,86 |
22 954,00 |
27 326,20 |
24 538,61 |
0,90000 |
1,05000 |
1,25000 |
0,80000 |
||||||||||||||||||||||||||||||||||||||||||||||||||
1,28000 |
1 |
1 |
1 |
st24.004 |
1.1.1.3.24.4 |
Ревматические болезни сердца (уровень 2) |
1,57000 |
35 505,21 |
41 422,74 |
49 312,79 |
24 538,61 |
0,90000 |
1,05000 |
1,25000 |
0,80000 |
||||||||||||||||||||||||||||||||||||||||||||||||||
1,28000 |
1 |
1 |
1 |
st25.001 |
1.1.1.1.25.1 |
Флебит и тромбофлебит, варикозное расширение вен нижних конечностей |
0,85000 |
19 222,57 |
22 426,33 |
26 698,01 |
24 538,61 |
0,90000 |
1,05000 |
1,25000 |
0,80000 |
||||||||||||||||||||||||||||||||||||||||||||||||||
1,28000 |
1 |
1 |
1 |
st25.002 |
1.1.1.1.25.2 |
Другие болезни, врожденные аномалии вен |
1,32000 |
29 851,51 |
34 826,77 |
41 460,44 |
24 538,61 |
0,90000 |
1,05000 |
1,25000 |
0,80000 |
||||||||||||||||||||||||||||||||||||||||||||||||||
1,28000 |
1 |
1 |
1 |
st25.003 |
1.1.1.1.25.3 |
Болезни артерий, артериол и капилляров |
1,05000 |
23 745,52 |
27 703,11 |
32 979,89 |
24 538,61 |
0,90000 |
1,05000 |
1,25000 |
0,80000 |
||||||||||||||||||||||||||||||||||||||||||||||||||
1,28000 |
1 |
1 |
1 |
st25.004 |
1.1.1.3.25.4 |
Диагностическое обследование сердечно-сосудистой системы |
1,01000 |
22 840,93 |
26 647,75 |
31 723,52 |
24 538,61 |
0,90000 |
1,05000 |
1,25000 |
0,80000 |
||||||||||||||||||||||||||||||||||||||||||||||||||
1,28000 |
1 |
1 |
1 |
st25.005 |
1.1.1.2.25.5 |
Операции на сердце и коронарных сосудах (уровень 1) |
2,11000 |
47 717,19 |
55 670,06 |
66 273,88 |
24 538,61 |
0,90000 |
1,05000 |
1,25000 |
0,80000 |
||||||||||||||||||||||||||||||||||||||||||||||||||
1,28000 |
1 |
1 |
1 |
st25.006 |
1.1.1.2.25.6 |
Операции на сердце и коронарных сосудах (уровень 2) |
3,97000 |
89 780,69 |
104 744,14 |
124 695,40 |
24 538,61 |
0,90000 |
1,05000 |
1,25000 |
0,80000 |
||||||||||||||||||||||||||||||||||||||||||||||||||
1,28000 |
1 |
1 |
1 |
st25.007 |
1.1.1.2.25.7 |
Операции на сердце и коронарных сосудах (уровень 3) |
4,31000 |
97 469,71 |
113 714,67 |
135 374,60 |
24 538,61 |
0,90000 |
1,05000 |
1,25000 |
0,80000 |
||||||||||||||||||||||||||||||||||||||||||||||||||
1,28000 |
1 |
1 |
1 |
st25.008 |
1.1.1.2.25.8 |
Операции на сосудах (уровень 1) |
1,20000 |
27 137,74 |
31 660,70 |
37 691,30 |
24 538,61 |
0,90000 |
1,05000 |
1,25000 |
0,80000 |
||||||||||||||||||||||||||||||||||||||||||||||||||
1,28000 |
1 |
1 |
1 |
st25.009 |
1.1.1.2.25.9 |
Операции на сосудах (уровень 2) |
2,37000 |
53 597,04 |
62 529,87 |
74 440,33 |
24 538,61 |
0,90000 |
1,05000 |
1,25000 |
0,80000 |
||||||||||||||||||||||||||||||||||||||||||||||||||
1,28000 |
1 |
1 |
1 |
st25.010 |
1.1.1.2.25.10 |
Операции на сосудах (уровень 3) |
4,13000 |
93 399,05 |
108 965,56 |
129 720,91 |
24 538,61 |
0,90000 |
1,05000 |
1,25000 |
0,80000 |
||||||||||||||||||||||||||||||||||||||||||||||||||
1,28000 |
1 |
1 |
1 |
st25.011 |
1.1.1.2.25.11 |
Операции на сосудах (уровень 4) |
6,08000 |
137 497,88 |
160 414,19 |
190 969,28 |
24 538,61 |
0,90000 |
1,05000 |
1,25000 |
0,80000 |
||||||||||||||||||||||||||||||||||||||||||||||||||
1,28000 |
1 |
1 |
1 |
st25.012 |
1.1.1.2.25.12 |
Операции на сосудах (уровень 5) |
7,12000 |
161 017,25 |
187 853,46 |
223 635,08 |
24 538,61 |
0,90000 |
1,05000 |
1,25000 |
0,80000 |
||||||||||||||||||||||||||||||||||||||||||||||||||
1,28000 |
1 |
1 |
1 |
st26.001 |
1.1.1.1.26.1 |
Болезни полости рта, слюнных желез и челюстей, врожденные аномалии лица и шеи, дети |
0,79000 |
17 865,68 |
20 843,29 |
24 813,44 |
24 538,61 |
0,90000 |
1,05000 |
1,25000 |
0,80000 |
||||||||||||||||||||||||||||||||||||||||||||||||||
1,28000 |
1 |
1 |
1 |
st27.001 |
1.1.1.1.27.1 |
Болезни пищевода, гастрит, дуоденит, другие болезни желудка и двенадцатиперстной кишки |
0,74000 |
18 594,38 |
18 594,38 |
18 594,38 |
24 538,61 |
0,90000 |
1,05000 |
1,25000 |
0,80000 |
||||||||||||||||||||||||||||||||||||||||||||||||||
1,28000 |
1 |
1 |
1 |
st27.002 |
1.1.1.1.27.2 |
Новообразования доброкачественные, in situ, неопределенного и неуточненного характера органов пищеварения |
0,69000 |
15 604,20 |
18 204,90 |
21 672,50 |
24 538,61 |
0,90000 |
1,05000 |
1,25000 |
0,80000 |
||||||||||||||||||||||||||||||||||||||||||||||||||
1,28000 |
1 |
1 |
1 |
st27.003 |
1.1.1.1.27.3 |
Болезни желчного пузыря |
0,72000 |
18 091,83 |
18 091,83 |
18 091,83 |
24 538,61 |
0,90000 |
1,05000 |
1,25000 |
0,80000 |
||||||||||||||||||||||||||||||||||||||||||||||||||
1,28000 |
1 |
1 |
1 |
st27.004 |
1.1.1.1.27.4 |
Другие болезни органов пищеварения, взрослые |
0,59000 |
13 342,72 |
15 566,51 |
18 531,56 |
24 538,61 |
0,90000 |
1,05000 |
1,25000 |
0,80000 |
||||||||||||||||||||||||||||||||||||||||||||||||||
1,28000 |
1 |
1 |
1 |
st27.005 |
1.1.1.1.27.5 |
Гипертоническая болезнь в стадии обострения |
0,70000 |
17 589,28 |
17 589,28 |
17 589,28 |
24 538,61 |
0,90000 |
1,05000 |
1,25000 |
0,80000 |
||||||||||||||||||||||||||||||||||||||||||||||||||
1,28000 |
1 |
1 |
1 |
st27.006 |
1.1.1.1.27.6 |
Стенокардия (кроме нестабильной), хроническая ишемическая болезнь сердца (уровень 1) |
0,78000 |
19 599,48 |
19 599,48 |
19 599,48 |
24 538,61 |
0,90000 |
1,05000 |
1,25000 |
0,80000 |
||||||||||||||||||||||||||||||||||||||||||||||||||
1,28000 |
1 |
1 |
1 |
st27.007 |
1.1.1.3.27.7 |
Стенокардия (кроме нестабильной), хроническая ишемическая болезнь сердца (уровень 2) |
1,70000 |
38 445,13 |
44 852,65 |
53 396,02 |
24 538,61 |
0,90000 |
1,05000 |
1,25000 |
0,80000 |
||||||||||||||||||||||||||||||||||||||||||||||||||
1,28000 |
1 |
1 |
1 |
st27.008 |
1.1.1.1.27.8 |
Другие болезни сердца (уровень 1) |
0,78000 |
17 639,53 |
20 579,45 |
24 499,35 |
24 538,61 |
0,90000 |
1,05000 |
1,25000 |
0,80000 |
||||||||||||||||||||||||||||||||||||||||||||||||||
1,28000 |
1 |
1 |
1 |
st27.009 |
1.1.1.3.27.9 |
Другие болезни сердца (уровень 2) |
1,54000 |
34 826,77 |
40 631,23 |
48 370,51 |
24 538,61 |
0,90000 |
1,05000 |
1,25000 |
0,80000 |
||||||||||||||||||||||||||||||||||||||||||||||||||
1,28000 |
1 |
1 |
1 |
st27.010 |
1.1.1.1.27.10 |
Бронхит необструктивный, симптомы и признаки, относящиеся к органам дыхания |
0,75000 |
18 845,65 |
18 845,65 |
18 845,65 |
24 538,61 |
0,90000 |
1,05000 |
1,25000 |
0,80000 |
||||||||||||||||||||||||||||||||||||||||||||||||||
1,28000 |
1 |
1 |
1 |
st27.011 |
1.1.1.1.27.11 |
ХОБЛ, эмфизема, бронхоэктатическая болезнь |
0,89000 |
20 127,16 |
23 481,68 |
27 954,38 |
24 538,61 |
0,90000 |
1,05000 |
1,25000 |
0,80000 |
||||||||||||||||||||||||||||||||||||||||||||||||||
1,28000 |
1 |
1 |
1 |
st27.012 |
1.1.1.1.27.12 |
Отравления и другие воздействия внешних причин |
0,53000 |
11 985,83 |
13 983,47 |
16 646,99 |
24 538,61 |
0,90000 |
1,05000 |
1,25000 |
0,80000 |
||||||||||||||||||||||||||||||||||||||||||||||||||
1,28000 |
1 |
1 |
1 |
st27.013 |
1.1.1.1.27.13 |
Отравления и другие воздействия внешних причин с синдромом органной дисфункции |
4,07000 |
92 042,17 |
107 382,53 |
127 836,34 |
24 538,61 |
0,90000 |
1,05000 |
1,25000 |
0,80000 |
||||||||||||||||||||||||||||||||||||||||||||||||||
1,28000 |
1 |
1 |
1 |
st27.014 |
1.1.1.2.27.14 |
Госпитализация в диагностических целях с постановкой/ подтверждением диагноза злокачественного новообразования |
1,00000 |
22 614,78 |
26 383,91 |
31 409,42 |
24 538,61 |
0,90000 |
1,05000 |
1,25000 |
0,80000 |
||||||||||||||||||||||||||||||||||||||||||||||||||
1,28000 |
1 |
1 |
1 |
st28.001 |
1.1.1.1.28.1 |
Гнойные состояния нижних дыхательных путей |
2,05000 |
46 360,31 |
54 087,02 |
64 389,31 |
24 538,61 |
0,90000 |
1,05000 |
1,25000 |
0,80000 |
||||||||||||||||||||||||||||||||||||||||||||||||||
1,28000 |
1 |
1 |
1 |
st28.002 |
1.1.1.2.28.2 |
Операции на нижних дыхательных путях и легочной ткани, органах средостения (уровень 1) |
1,54000 |
34 826,77 |
40 631,23 |
48 370,51 |
24 538,61 |
0,90000 |
1,05000 |
1,25000 |
0,80000 |
||||||||||||||||||||||||||||||||||||||||||||||||||
1,28000 |
1 |
1 |
1 |
st28.003 |
1.1.1.2.28.3 |
Операции на нижних дыхательных путях и легочной ткани, органах средостения (уровень 2) |
1,92000 |
43 420,38 |
50 657,11 |
60 306,09 |
24 538,61 |
0,90000 |
1,05000 |
1,25000 |
0,80000 |
||||||||||||||||||||||||||||||||||||||||||||||||||
1,28000 |
1 |
1 |
1 |
st28.004 |
1.1.1.2.28.4 |
Операции на нижних дыхательных путях и легочной ткани, органах средостения (уровень 3) |
2,56000 |
64 326,49 |
64 326,49 |
64 326,49 |
24 538,61 |
0,90000 |
1,05000 |
1,25000 |
0,80000 |
||||||||||||||||||||||||||||||||||||||||||||||||||
1,28000 |
1 |
1 |
1 |
st28.005 |
1.1.1.2.28.5 |
Операции на нижних дыхательных путях и легочной ткани, органах средостения (уровень 4) |
4,12000 |
103 525,45 |
103 525,45 |
103 525,45 |
24 538,61 |
0,90000 |
1,05000 |
1,25000 |
0,80000 |
||||||||||||||||||||||||||||||||||||||||||||||||||
1,28000 |
1 |
1 |
1 |
st29.001 |
1.1.1.1.29.1 |
Приобретенные и врожденные костно-мышечные деформации |
0,99000 |
22 388,64 |
26 120,07 |
31 095,33 |
24 538,61 |
0,90000 |
1,05000 |
1,25000 |
0,80000 |
||||||||||||||||||||||||||||||||||||||||||||||||||
1,28000 |
1 |
1 |
1 |
st29.002 |
1.1.1.1.29.2 |
Переломы шейки бедра и костей таза |
1,52000 |
38 193,86 |
38 193,86 |
38 193,86 |
24 538,61 |
0,90000 |
1,05000 |
1,25000 |
0,80000 |
||||||||||||||||||||||||||||||||||||||||||||||||||
1,28000 |
1 |
1 |
1 |
st29.003 |
1.1.1.1.29.3 |
Переломы бедренной кости, другие травмы области бедра и тазобедренного сустава |
0,69000 |
17 338,00 |
17 338,00 |
17 338,00 |
24 538,61 |
0,90000 |
1,05000 |
1,25000 |
0,80000 |
||||||||||||||||||||||||||||||||||||||||||||||||||
1,28000 |
1 |
1 |
1 |
st29.004 |
1.1.1.1.29.4 |
Переломы, вывихи, растяжения области грудной клетки, верхней конечности и стопы |
0,56000 |
14 071,42 |
14 071,42 |
14 071,42 |
24 538,61 |
0,90000 |
1,05000 |
1,25000 |
0,80000 |
||||||||||||||||||||||||||||||||||||||||||||||||||
1,28000 |
1 |
1 |
1 |
st29.005 |
1.1.1.1.29.5 |
Переломы, вывихи, растяжения области колена и голени |
0,74000 |
18 594,38 |
18 594,38 |
18 594,38 |
24 538,61 |
0,90000 |
1,05000 |
1,25000 |
0,80000 |
||||||||||||||||||||||||||||||||||||||||||||||||||
1,28000 |
1 |
1 |
1 |
st29.006 |
1.1.1.1.29.6 |
Множественные переломы, травматические ампутации, размозжения и последствия травм |
1,44000 |
32 565,29 |
37 992,84 |
45 229,57 |
24 538,61 |
0,90000 |
1,05000 |
1,25000 |
0,80000 |
||||||||||||||||||||||||||||||||||||||||||||||||||
1,28000 |
1 |
1 |
1 |
st29.007 |
1.1.1.3.29.7 |
Тяжелая множественная и сочетанная травма (политравма) |
7,07000 |
159 886,52 |
186 534,27 |
222 064,61 |
24 538,61 |
0,90000 |
1,05000 |
1,25000 |
0,80000 |
||||||||||||||||||||||||||||||||||||||||||||||||||
1,28000 |
1 |
1 |
1 |
st29.008 |
1.1.1.2.29.8 |
Эндопротезирование суставов |
4,46000 |
100 861,93 |
117 672,25 |
140 086,02 |
24 538,61 |
0,90000 |
1,05000 |
1,25000 |
0,80000 |
||||||||||||||||||||||||||||||||||||||||||||||||||
1,28000 |
1 |
1 |
1 |
st29.009 |
1.1.1.2.29.9 |
Операции на костно-мышечной системе и суставах (уровень 1) |
0,79000 |
17 865,68 |
20 843,29 |
24 813,44 |
24 538,61 |
0,90000 |
1,05000 |
1,25000 |
0,80000 |
||||||||||||||||||||||||||||||||||||||||||||||||||
1,28000 |
1 |
1 |
1 |
st29.010 |
1.1.1.2.29.10 |
Операции на костно-мышечной системе и суставах (уровень 2) |
0,93000 |
21 031,75 |
24 537,04 |
29 210,76 |
24 538,61 |
0,90000 |
1,05000 |
1,25000 |
0,80000 |
||||||||||||||||||||||||||||||||||||||||||||||||||
1,28000 |
1 |
1 |
1 |
st29.011 |
1.1.1.2.29.11 |
Операции на костно-мышечной системе и суставах (уровень 3) |
1,37000 |
30 982,25 |
36 145,96 |
43 030,91 |
24 538,61 |
0,90000 |
1,05000 |
1,25000 |
0,80000 |
||||||||||||||||||||||||||||||||||||||||||||||||||
1,28000 |
1 |
1 |
1 |
st29.012 |
1.1.1.3.29.12 |
Операции на костно-мышечной системе и суставах (уровень 4) |
2,42000 |
60 808,64 |
60 808,64 |
60 808,64 |
24 538,61 |
0,90000 |
1,05000 |
1,25000 |
0,80000 |
||||||||||||||||||||||||||||||||||||||||||||||||||
1,28000 |
1 |
1 |
1 |
st29.013 |
1.1.1.3.29.13 |
Операции на костно-мышечной системе и суставах (уровень 5) |
3,15000 |
79 151,74 |
79 151,74 |
79 151,74 |
24 538,61 |
0,90000 |
1,05000 |
1,25000 |
0,80000 |
||||||||||||||||||||||||||||||||||||||||||||||||||
1,28000 |
1 |
1 |
1 |
st30.001 |
1.1.1.1.30.1 |
Тубулоинтерстициальные болезни почек, другие болезни мочевой системы |
0,86000 |
19 448,71 |
22 690,17 |
27 012,10 |
24 538,61 |
0,90000 |
1,05000 |
1,25000 |
0,80000 |
||||||||||||||||||||||||||||||||||||||||||||||||||
1,28000 |
1 |
1 |
1 |
st30.002 |
1.1.1.1.30.2 |
Камни мочевой системы; симптомы, относящиеся к мочевой системе |
0,49000 |
11 081,24 |
12 928,12 |
15 390,62 |
24 538,61 |
0,90000 |
1,05000 |
1,25000 |
0,80000 |
||||||||||||||||||||||||||||||||||||||||||||||||||
1,28000 |
1 |
1 |
1 |
st30.003 |
1.1.1.1.30.3 |
Доброкачественные новообразования, новообразования in situ, неопределенного и неизвестного характера мочевых органов и мужских половых органов |
0,64000 |
14 473,46 |
16 885,70 |
20 102,03 |
24 538,61 |
0,90000 |
1,05000 |
1,25000 |
0,80000 |
||||||||||||||||||||||||||||||||||||||||||||||||||
1,28000 |
1 |
1 |
1 |
st30.004 |
1.1.1.1.30.4 |
Болезни предстательной железы |
0,73000 |
18 343,10 |
18 343,10 |
18 343,10 |
24 538,61 |
0,90000 |
1,05000 |
1,25000 |
0,80000 |
||||||||||||||||||||||||||||||||||||||||||||||||||
1,28000 |
1 |
1 |
1 |
st30.005 |
1.1.1.1.30.5 |
Другие болезни, врожденные аномалии, повреждения мочевой системы и мужских половых органов |
0,67000 |
15 151,90 |
17 677,22 |
21 044,31 |
24 538,61 |
0,90000 |
1,05000 |
1,25000 |
0,80000 |
||||||||||||||||||||||||||||||||||||||||||||||||||
1,28000 |
1 |
1 |
1 |
st30.006 |
1.1.1.2.30.6 |
Операции на мужских половых органах, взрослые (уровень 1) |
1,20000 |
27 137,74 |
31 660,70 |
37 691,30 |
24 538,61 |
0,90000 |
1,05000 |
1,25000 |
0,80000 |
||||||||||||||||||||||||||||||||||||||||||||||||||
1,28000 |
1 |
1 |
1 |
st30.007 |
1.1.1.2.30.7 |
Операции на мужских половых органах, взрослые (уровень 2) |
1,42000 |
32 112,99 |
37 465,16 |
44 601,38 |
24 538,61 |
0,90000 |
1,05000 |
1,25000 |
0,80000 |
||||||||||||||||||||||||||||||||||||||||||||||||||
1,28000 |
1 |
1 |
1 |
st30.008 |
1.1.1.2.30.8 |
Операции на мужских половых органах, взрослые (уровень 3) |
2,31000 |
58 044,61 |
58 044,61 |
58 044,61 |
24 538,61 |
0,90000 |
1,05000 |
1,25000 |
0,80000 |
||||||||||||||||||||||||||||||||||||||||||||||||||
1,28000 |
1 |
1 |
1 |
st30.009 |
1.1.1.2.30.9 |
Операции на мужских половых органах, взрослые (уровень 4) |
3,12000 |
78 397,91 |
78 397,91 |
78 397,91 |
24 538,61 |
0,90000 |
1,05000 |
1,25000 |
0,80000 |
||||||||||||||||||||||||||||||||||||||||||||||||||
1,28000 |
1 |
1 |
1 |
st30.010 |
1.1.1.2.30.10 |
Операции на почке и мочевыделительной системе, взрослые (уровень 1) |
1,08000 |
24 423,97 |
28 494,63 |
33 922,17 |
24 538,61 |
0,90000 |
1,05000 |
1,25000 |
0,80000 |
||||||||||||||||||||||||||||||||||||||||||||||||||
1,28000 |
1 |
1 |
1 |
st30.011 |
1.1.1.2.30.11 |
Операции на почке и мочевыделительной системе, взрослые (уровень 2) |
1,12000 |
25 328,56 |
29 549,98 |
35 178,55 |
24 538,61 |
0,90000 |
1,05000 |
1,25000 |
0,80000 |
||||||||||||||||||||||||||||||||||||||||||||||||||
1,28000 |
1 |
1 |
1 |
st30.012 |
1.1.1.2.30.12 |
Операции на почке и мочевыделительной системе, взрослые (уровень 3) |
1,62000 |
36 635,95 |
42 741,94 |
50 883,26 |
24 538,61 |
0,90000 |
1,05000 |
1,25000 |
0,80000 |
||||||||||||||||||||||||||||||||||||||||||||||||||
1,28000 |
1 |
1 |
1 |
st30.013 |
1.1.1.2.30.13 |
Операции на почке и мочевыделительной системе, взрослые (уровень 4) |
1,95000 |
44 098,83 |
51 448,63 |
61 248,37 |
24 538,61 |
0,90000 |
1,05000 |
1,25000 |
0,80000 |
||||||||||||||||||||||||||||||||||||||||||||||||||
1,28000 |
1 |
1 |
1 |
st30.014 |
1.1.1.2.30.14 |
Операции на почке и мочевыделительной системе, взрослые (уровень 5) |
2,14000 |
48 395,64 |
56 461,57 |
67 216,16 |
24 538,61 |
0,90000 |
1,05000 |
1,25000 |
0,80000 |
||||||||||||||||||||||||||||||||||||||||||||||||||
1,28000 |
1 |
1 |
1 |
st30.015 |
1.1.1.2.30.15 |
Операции на почке и мочевыделительной системе, взрослые (уровень 6) |
4,13000 |
103 776,73 |
103 776,73 |
103 776,73 |
24 538,61 |
0,90000 |
1,05000 |
1,25000 |
0,80000 |
||||||||||||||||||||||||||||||||||||||||||||||||||
1,28000 |
1 |
1 |
1 |
st31.001 |
1.1.1.1.31.1 |
Болезни лимфатических сосудов и лимфатических узлов |
0,61000 |
13 795,02 |
16 094,19 |
19 159,75 |
24 538,61 |
0,90000 |
1,05000 |
1,25000 |
0,80000 |
||||||||||||||||||||||||||||||||||||||||||||||||||
1,28000 |
1 |
1 |
1 |
st31.002 |
1.1.1.2.31.2 |
Операции на коже, подкожной клетчатке, придатках кожи (уровень 1) |
0,55000 |
13 820,15 |
13 820,15 |
13 820,15 |
24 538,61 |
0,90000 |
1,05000 |
1,25000 |
0,80000 |
||||||||||||||||||||||||||||||||||||||||||||||||||
1,28000 |
1 |
1 |
1 |
st31.003 |
1.1.1.2.31.3 |
Операции на коже, подкожной клетчатке, придатках кожи (уровень 2) |
0,71000 |
16 056,50 |
18 732,58 |
22 300,69 |
24 538,61 |
0,90000 |
1,05000 |
1,25000 |
0,80000 |
||||||||||||||||||||||||||||||||||||||||||||||||||
1,28000 |
1 |
1 |
1 |
st31.004 |
1.1.1.2.31.4 |
Операции на коже, подкожной клетчатке, придатках кожи (уровень 3) |
1,38000 |
31 208,40 |
36 409,80 |
43 345,00 |
24 538,61 |
0,90000 |
1,05000 |
1,25000 |
0,80000 |
||||||||||||||||||||||||||||||||||||||||||||||||||
1,28000 |
1 |
1 |
1 |
st31.005 |
1.1.1.2.31.5 |
Операции на коже, подкожной клетчатке, придатках кожи (уровень 4) |
2,41000 |
54 501,63 |
63 585,23 |
75 696,70 |
24 538,61 |
0,90000 |
1,05000 |
1,25000 |
0,80000 |
||||||||||||||||||||||||||||||||||||||||||||||||||
1,28000 |
1 |
1 |
1 |
st31.006 |
1.1.1.2.31.6 |
Операции на органах кроветворения и иммунной системы (уровень 1) |
1,43000 |
32 339,14 |
37 729,00 |
44 915,47 |
24 538,61 |
0,90000 |
1,05000 |
1,25000 |
0,80000 |
||||||||||||||||||||||||||||||||||||||||||||||||||
1,28000 |
1 |
1 |
1 |
st31.007 |
1.1.1.2.31.7 |
Операции на органах кроветворения и иммунной системы (уровень 2) |
1,83000 |
41 385,05 |
48 282,56 |
57 479,24 |
24 538,61 |
0,90000 |
1,05000 |
1,25000 |
0,80000 |
||||||||||||||||||||||||||||||||||||||||||||||||||
1,28000 |
1 |
1 |
1 |
st31.008 |
1.1.1.2.31.8 |
Операции на органах кроветворения и иммунной системы (уровень 3) |
2,16000 |
48 847,93 |
56 989,25 |
67 844,35 |
24 538,61 |
0,90000 |
1,05000 |
1,25000 |
0,80000 |
||||||||||||||||||||||||||||||||||||||||||||||||||
1,28000 |
1 |
1 |
1 |
st31.009 |
1.1.1.2.31.9 |
Операции на эндокринных железах кроме гипофиза (уровень 1) |
1,81000 |
45 480,84 |
45 480,84 |
45 480,84 |
24 538,61 |
0,90000 |
1,05000 |
1,25000 |
0,80000 |
||||||||||||||||||||||||||||||||||||||||||||||||||
1,28000 |
1 |
1 |
1 |
st31.010 |
1.1.1.2.31.10 |
Операции на эндокринных железах кроме гипофиза (уровень 2) |
2,67000 |
67 090,52 |
67 090,52 |
67 090,52 |
24 538,61 |
0,90000 |
1,05000 |
1,25000 |
0,80000 |
||||||||||||||||||||||||||||||||||||||||||||||||||
1,28000 |
1 |
1 |
1 |
st31.011 |
1.1.1.1.31.11 |
Болезни молочной железы, новообразования молочной железы доброкачественные, in situ, неопределенного и неизвестного характера |
0,73000 |
16 508,79 |
19 260,26 |
22 928,88 |
24 538,61 |
0,90000 |
1,05000 |
1,25000 |
0,80000 |
||||||||||||||||||||||||||||||||||||||||||||||||||
1,28000 |
1 |
1 |
1 |
st31.012 |
1.1.1.1.31.12 |
Артрозы, другие поражения суставов, болезни мягких тканей |
0,76000 |
19 096,93 |
19 096,93 |
19 096,93 |
24 538,61 |
0,90000 |
1,05000 |
1,25000 |
0,80000 |
||||||||||||||||||||||||||||||||||||||||||||||||||
1,28000 |
1 |
1 |
1 |
st31.013 |
1.1.1.1.31.13 |
Остеомиелит (уровень 1) |
2,42000 |
54 727,77 |
63 849,07 |
76 010,80 |
24 538,61 |
0,90000 |
1,05000 |
1,25000 |
0,80000 |
||||||||||||||||||||||||||||||||||||||||||||||||||
1,28000 |
1 |
1 |
1 |
st31.014 |
1.1.1.1.31.14 |
Остеомиелит (уровень 2) |
3,51000 |
79 377,89 |
92 607,54 |
110 247,07 |
24 538,61 |
0,90000 |
1,05000 |
1,25000 |
0,80000 |
||||||||||||||||||||||||||||||||||||||||||||||||||
1,28000 |
1 |
1 |
1 |
st31.015 |
1.1.1.3.31.15 |
Остеомиелит (уровень 3) |
4,02000 |
90 911,43 |
106 063,33 |
126 265,87 |
24 538,61 |
0,90000 |
1,05000 |
1,25000 |
0,80000 |
||||||||||||||||||||||||||||||||||||||||||||||||||
1,28000 |
1 |
1 |
1 |
st31.016 |
1.1.1.1.31.16 |
Доброкачественные новообразования костно-мышечной системы и соединительной ткани |
0,84000 |
18 996,42 |
22 162,49 |
26 383,91 |
24 538,61 |
0,90000 |
1,05000 |
1,25000 |
0,80000 |
||||||||||||||||||||||||||||||||||||||||||||||||||
1,28000 |
1 |
1 |
1 |
st31.017 |
1.1.1.1.31.17 |
Доброкачественные новообразования, новообразования in situ кожи, жировой ткани и другие болезни кожи |
0,50000 |
11 307,39 |
13 191,96 |
15 704,71 |
24 538,61 |
0,90000 |
1,05000 |
1,25000 |
0,80000 |
||||||||||||||||||||||||||||||||||||||||||||||||||
1,28000 |
1 |
1 |
1 |
st31.018 |
1.1.1.1.31.18 |
Открытые раны, поверхностные, другие и неуточненные травмы |
0,37000 |
9 297,19 |
9 297,19 |
9 297,19 |
24 538,61 |
0,90000 |
1,05000 |
1,25000 |
0,80000 |
||||||||||||||||||||||||||||||||||||||||||||||||||
1,28000 |
1 |
1 |
1 |
st31.019 |
1.1.1.2.31.19 |
Операции на молочной железе (кроме злокачественных новообразований) |
1,19000 |
26 911,59 |
31 396,86 |
37 377,21 |
24 538,61 |
0,90000 |
1,05000 |
1,25000 |
0,80000 |
||||||||||||||||||||||||||||||||||||||||||||||||||
1,28000 |
1 |
1 |
1 |
st32.001 |
1.1.1.2.32.1 |
Операции на желчном пузыре и желчевыводящих путях (уровень 1) |
1,15000 |
26 007,00 |
30 341,50 |
36 120,83 |
24 538,61 |
0,90000 |
1,05000 |
1,25000 |
0,80000 |
||||||||||||||||||||||||||||||||||||||||||||||||||
1,28000 |
1 |
1 |
1 |
st32.002 |
1.1.1.2.32.2 |
Операции на желчном пузыре и желчевыводящих путях (уровень 2) |
1,43000 |
32 339,14 |
37 729,00 |
44 915,47 |
24 538,61 |
0,90000 |
1,05000 |
1,25000 |
0,80000 |
||||||||||||||||||||||||||||||||||||||||||||||||||
1,28000 |
1 |
1 |
1 |
st32.003 |
1.1.1.2.32.3 |
Операции на желчном пузыре и желчевыводящих путях (уровень 3) |
3,00000 |
67 844,35 |
79 151,74 |
94 228,26 |
24 538,61 |
0,90000 |
1,05000 |
1,25000 |
0,80000 |
||||||||||||||||||||||||||||||||||||||||||||||||||
1,28000 |
1 |
1 |
1 |
st32.004 |
1.1.1.2.32.4 |
Операции на желчном пузыре и желчевыводящих путях (уровень 4) |
4,30000 |
108 048,41 |
108 048,41 |
108 048,41 |
24 538,61 |
0,90000 |
1,05000 |
1,25000 |
0,80000 |
||||||||||||||||||||||||||||||||||||||||||||||||||
1,28000 |
1 |
1 |
1 |
st32.005 |
1.1.1.2.32.5 |
Операции на печени и поджелудочной железе (уровень 1) |
2,42000 |
54 727,77 |
63 849,07 |
76 010,80 |
24 538,61 |
0,90000 |
1,05000 |
1,25000 |
0,80000 |
||||||||||||||||||||||||||||||||||||||||||||||||||
1,28000 |
1 |
1 |
1 |
st32.006 |
1.1.1.2.32.6 |
Операции на печени и поджелудочной железе (уровень 2) |
2,69000 |
60 833,77 |
70 972,73 |
84 491,34 |
24 538,61 |
0,90000 |
1,05000 |
1,25000 |
0,80000 |
||||||||||||||||||||||||||||||||||||||||||||||||||
1,28000 |
1 |
1 |
1 |
st32.007 |
1.1.1.3.32.7 |
Панкреатит, хирургическое лечение |
4,12000 |
93 172,91 |
108 701,72 |
129 406,81 |
24 538,61 |
0,90000 |
1,05000 |
1,25000 |
0,80000 |
||||||||||||||||||||||||||||||||||||||||||||||||||
1,28000 |
1 |
1 |
1 |
st32.008 |
1.1.1.2.32.8 |
Операции на пищеводе, желудке, двенадцатиперстной кишке (уровень 1) |
1,16000 |
26 233,15 |
30 605,34 |
36 434,93 |
24 538,61 |
0,90000 |
1,05000 |
1,25000 |
0,80000 |
||||||||||||||||||||||||||||||||||||||||||||||||||
1,28000 |
1 |
1 |
1 |
st32.009 |
1.1.1.2.32.9 |
Операции на пищеводе, желудке, двенадцатиперстной кишке (уровень 2) |
1,95000 |
44 098,83 |
51 448,63 |
61 248,37 |
24 538,61 |
0,90000 |
1,05000 |
1,25000 |
0,80000 |
||||||||||||||||||||||||||||||||||||||||||||||||||
1,28000 |
1 |
1 |
1 |
st32.010 |
1.1.1.2.32.10 |
Операции на пищеводе, желудке, двенадцатиперстной кишке (уровень 3) |
2,46000 |
61 813,74 |
61 813,74 |
61 813,74 |
24 538,61 |
0,90000 |
1,05000 |
1,25000 |
0,80000 |
||||||||||||||||||||||||||||||||||||||||||||||||||
1,28000 |
1 |
1 |
1 |
st32.011 |
1.1.1.2.32.11 |
Аппендэктомия, взрослые (уровень 1) |
0,73000 |
18 343,10 |
18 343,10 |
18 343,10 |
24 538,61 |
0,90000 |
1,05000 |
1,25000 |
0,80000 |
||||||||||||||||||||||||||||||||||||||||||||||||||
1,28000 |
1 |
1 |
1 |
st32.012 |
1.1.1.2.32.12 |
Аппендэктомия, взрослые (уровень 2) |
0,91000 |
22 866,06 |
22 866,06 |
22 866,06 |
24 538,61 |
0,90000 |
1,05000 |
1,25000 |
0,80000 |
||||||||||||||||||||||||||||||||||||||||||||||||||
1,28000 |
1 |
1 |
1 |
st32.013 |
1.1.1.2.32.13 |
Операции по поводу грыж, взрослые (уровень 1) |
0,86000 |
21 609,68 |
21 609,68 |
21 609,68 |
24 538,61 |
0,90000 |
1,05000 |
1,25000 |
0,80000 |
||||||||||||||||||||||||||||||||||||||||||||||||||
1,28000 |
1 |
1 |
1 |
st32.014 |
1.1.1.2.32.14 |
Операции по поводу грыж, взрослые (уровень 2) |
1,24000 |
31 158,15 |
31 158,15 |
31 158,15 |
24 538,61 |
0,90000 |
1,05000 |
1,25000 |
0,80000 |
||||||||||||||||||||||||||||||||||||||||||||||||||
1,28000 |
1 |
1 |
1 |
st32.015 |
1.1.1.2.32.15 |
Операции по поводу грыж, взрослые (уровень 3) |
1,78000 |
44 727,02 |
44 727,02 |
44 727,02 |
24 538,61 |
0,90000 |
1,05000 |
1,25000 |
0,80000 |
||||||||||||||||||||||||||||||||||||||||||||||||||
1,28000 |
1 |
1 |
1 |
st32.016 |
1.1.1.2.32.16 |
Другие операции на органах брюшной полости (уровень 1) |
1,13000 |
25 554,70 |
29 813,82 |
35 492,65 |
24 538,61 |
0,90000 |
1,05000 |
1,25000 |
0,80000 |
||||||||||||||||||||||||||||||||||||||||||||||||||
1,28000 |
1 |
1 |
1 |
st32.017 |
1.1.1.2.32.17 |
Другие операции на органах брюшной полости (уровень 2) |
1,19000 |
26 911,59 |
31 396,86 |
37 377,21 |
24 538,61 |
0,90000 |
1,05000 |
1,25000 |
0,80000 |
||||||||||||||||||||||||||||||||||||||||||||||||||
1,28000 |
1 |
1 |
1 |
st32.018 |
1.1.1.2.32.18 |
Другие операции на органах брюшной полости (уровень 3) |
2,13000 |
48 169,49 |
56 197,74 |
66 902,07 |
24 538,61 |
0,90000 |
1,05000 |
1,25000 |
0,80000 |
||||||||||||||||||||||||||||||||||||||||||||||||||
1,28000 |
1 |
1 |
1 |
st32.019 |
1.1.1.2.32.19 |
Операции по поводу грыж, взрослые (уровень 4) |
5,60000 |
126 642,78 |
147 749,92 |
175 892,76 |
24 538,61 |
0,90000 |
1,05000 |
1,25000 |
0,80000 |
||||||||||||||||||||||||||||||||||||||||||||||||||
1,28000 |
1 |
1 |
1 |
st33.001 |
1.1.1.1.33.1 |
Отморожения (уровень 1) |
1,17000 |
26 459,30 |
30 869,18 |
36 749,02 |
24 538,61 |
0,90000 |
1,05000 |
1,25000 |
0,80000 |
||||||||||||||||||||||||||||||||||||||||||||||||||
1,28000 |
1 |
1 |
1 |
st33.002 |
1.1.1.1.33.2 |
Отморожения (уровень 2) |
2,91000 |
65 809,02 |
76 777,19 |
91 401,41 |
24 538,61 |
0,90000 |
1,05000 |
1,25000 |
0,80000 |
||||||||||||||||||||||||||||||||||||||||||||||||||
1,28000 |
1 |
1 |
1 |
st33.003 |
1.1.1.1.33.3 |
Ожоги (уровень 1) |
1,21000 |
27 363,89 |
31 924,54 |
38 005,40 |
24 538,61 |
0,90000 |
1,05000 |
1,25000 |
0,80000 |
||||||||||||||||||||||||||||||||||||||||||||||||||
1,28000 |
1 |
1 |
1 |
st33.004 |
1.1.1.1.33.4 |
Ожоги (уровень 2) |
2,03000 |
45 908,01 |
53 559,34 |
63 761,12 |
24 538,61 |
0,90000 |
1,05000 |
1,25000 |
0,80000 |
||||||||||||||||||||||||||||||||||||||||||||||||||
1,28000 |
1 |
1 |
1 |
st33.005 |
1.1.1.1.33.5 |
Ожоги (уровень 3) |
3,54000 |
80 056,33 |
93 399,05 |
111 189,35 |
24 538,61 |
0,90000 |
1,05000 |
1,25000 |
0,80000 |
||||||||||||||||||||||||||||||||||||||||||||||||||
1,28000 |
1 |
1 |
1 |
st33.006 |
1.1.1.1.33.6 |
Ожоги (уровень 4) |
5,20000 |
117 596,87 |
137 196,35 |
163 328,99 |
24 538,61 |
0,90000 |
1,05000 |
1,25000 |
0,80000 |
||||||||||||||||||||||||||||||||||||||||||||||||||
1,28000 |
1 |
1 |
1 |
st33.007 |
1.1.1.1.33.7 |
Ожоги (уровень 5) |
11,11000 |
251 250,24 |
293 125,28 |
348 958,67 |
24 538,61 |
0,90000 |
1,05000 |
1,25000 |
0,80000 |
||||||||||||||||||||||||||||||||||||||||||||||||||
1,28000 |
1 |
1 |
1 |
st33.008 |
1.1.1.1.33.8 |
Ожоги (уровень 4,5) с синдромом органной дисфункции |
14,07000 |
318 190,00 |
371 221,66 |
441 930,55 |
24 538,61 |
0,90000 |
1,05000 |
1,25000 |
0,80000 |
||||||||||||||||||||||||||||||||||||||||||||||||||
1,28000 |
1 |
1 |
1 |
st34.001 |
1.1.1.1.34.1 |
Болезни полости рта, слюнных желез и челюстей, врожденные аномалии лица и шеи, взрослые |
0,89000 |
20 127,16 |
23 481,68 |
27 954,38 |
24 538,61 |
0,90000 |
1,05000 |
1,25000 |
0,80000 |
||||||||||||||||||||||||||||||||||||||||||||||||||
1,28000 |
1 |
1 |
1 |
st34.002 |
1.1.1.2.34.2 |
Операции на органах полости рта (уровень 1) |
0,74000 |
16 734,94 |
19 524,10 |
23 242,97 |
24 538,61 |
0,90000 |
1,05000 |
1,25000 |
0,80000 |
||||||||||||||||||||||||||||||||||||||||||||||||||
1,28000 |
1 |
1 |
1 |
st34.003 |
1.1.1.2.34.3 |
Операции на органах полости рта (уровень 2) |
1,27000 |
28 720,77 |
33 507,57 |
39 889,96 |
24 538,61 |
0,90000 |
1,05000 |
1,25000 |
0,80000 |
||||||||||||||||||||||||||||||||||||||||||||||||||
1,28000 |
1 |
1 |
1 |
st34.004 |
1.1.1.2.34.4 |
Операции на органах полости рта (уровень 3) |
1,63000 |
36 862,10 |
43 005,78 |
51 197,36 |
24 538,61 |
0,90000 |
1,05000 |
1,25000 |
0,80000 |
||||||||||||||||||||||||||||||||||||||||||||||||||
1,28000 |
1 |
1 |
1 |
st34.005 |
1.1.1.2.34.5 |
Операции на органах полости рта (уровень 4) |
1,90000 |
42 968,09 |
50 129,44 |
59 677,90 |
24 538,61 |
0,90000 |
1,05000 |
1,25000 |
0,80000 |
||||||||||||||||||||||||||||||||||||||||||||||||||
1,28000 |
1 |
1 |
1 |
st35.001 |
1.1.1.1.35.1 |
Сахарный диабет, взрослые (уровень 1) |
1,02000 |
23 067,08 |
26 911,59 |
32 037,61 |
24 538,61 |
0,90000 |
1,05000 |
1,25000 |
0,80000 |
||||||||||||||||||||||||||||||||||||||||||||||||||
1,28000 |
1 |
1 |
1 |
st35.002 |
1.1.1.1.35.2 |
Сахарный диабет, взрослые (уровень 2) |
1,49000 |
33 696,03 |
39 312,03 |
46 800,04 |
24 538,61 |
0,90000 |
1,05000 |
1,25000 |
0,80000 |
||||||||||||||||||||||||||||||||||||||||||||||||||
1,28000 |
1 |
1 |
1 |
st35.003 |
1.1.1.1.35.3 |
Заболевания гипофиза, взрослые |
2,14000 |
48 395,64 |
56 461,57 |
67 216,16 |
24 538,61 |
0,90000 |
1,05000 |
1,25000 |
0,80000 |
||||||||||||||||||||||||||||||||||||||||||||||||||
1,28000 |
1 |
1 |
1 |
st35.004 |
1.1.1.1.35.4 |
Другие болезни эндокринной системы, взрослые (уровень 1) |
1,25000 |
28 268,48 |
32 979,89 |
39 261,78 |
24 538,61 |
0,90000 |
1,05000 |
1,25000 |
0,80000 |
||||||||||||||||||||||||||||||||||||||||||||||||||
1,28000 |
1 |
1 |
1 |
st35.005 |
1.1.1.1.35.5 |
Другие болезни эндокринной системы, взрослые (уровень 2) |
2,76000 |
62 416,80 |
72 819,60 |
86 690,00 |
24 538,61 |
0,90000 |
1,05000 |
1,25000 |
0,80000 |
||||||||||||||||||||||||||||||||||||||||||||||||||
1,28000 |
1 |
1 |
1 |
st35.006 |
1.1.1.1.35.6 |
Новообразования эндокринных желез доброкачественные, in situ, неопределенного и неизвестного характера |
0,76000 |
17 187,24 |
20 051,77 |
23 871,16 |
24 538,61 |
0,90000 |
1,05000 |
1,25000 |
0,80000 |
||||||||||||||||||||||||||||||||||||||||||||||||||
1,28000 |
1 |
1 |
1 |
st35.007 |
1.1.1.1.35.7 |
Расстройства питания |
1,06000 |
23 971,67 |
27 966,95 |
33 293,99 |
24 538,61 |
0,90000 |
1,05000 |
1,25000 |
0,80000 |
||||||||||||||||||||||||||||||||||||||||||||||||||
1,28000 |
1 |
1 |
1 |
st35.008 |
1.1.1.1.35.8 |
Другие нарушения обмена веществ |
1,16000 |
26 233,15 |
30 605,34 |
36 434,93 |
24 538,61 |
0,90000 |
1,05000 |
1,25000 |
0,80000 |
||||||||||||||||||||||||||||||||||||||||||||||||||
1,28000 |
1 |
1 |
1 |
st35.009 |
1.1.1.1.35.9 |
Кистозный фиброз |
3,32000 |
75 081,08 |
87 594,59 |
104 279,28 |
24 538,61 |
0,90000 |
1,05000 |
1,25000 |
0,80000 |
||||||||||||||||||||||||||||||||||||||||||||||||||
1,28000 |
1 |
1 |
1 |
st36.001 |
1.1.1.3.36.1 |
Комплексное лечение с применением препаратов иммуноглобулина |
4,32000 |
108 550,96 |
108 550,96 |
108 550,96 |
24 538,61 |
0,90000 |
1,05000 |
1,25000 |
0,80000 |
||||||||||||||||||||||||||||||||||||||||||||||||||
1,28000 |
1 |
1 |
1 |
st36.002 |
1.1.1.1.36.2 |
Редкие генетические заболевания |
3,50000 |
79 151,74 |
92 343,70 |
109 932,97 |
24 538,61 |
0,90000 |
1,05000 |
1,25000 |
0,80000 |
||||||||||||||||||||||||||||||||||||||||||||||||||
1,28000 |
1 |
1 |
1 |
st36.004 |
1.1.1.1.36.4 |
Факторы, влияющие на состояние здоровья населения и обращения в учреждения здравоохранения |
0,32000 |
7 236,73 |
8 442,85 |
10 051,01 |
24 538,61 |
0,90000 |
1,05000 |
1,25000 |
0,80000 |
||||||||||||||||||||||||||||||||||||||||||||||||||
1,28000 |
1 |
1 |
1 |
st36.005 |
1.1.1.1.36.5 |
Госпитализация в диагностических целях с постановкой диагноза туберкулеза, ВИЧ-инфекции, психического заболевания |
0,46000 |
10 402,80 |
12 136,60 |
14 448,33 |
24 538,61 |
0,90000 |
1,05000 |
1,25000 |
0,80000 |
||||||||||||||||||||||||||||||||||||||||||||||||||
1,28000 |
1 |
1 |
1 |
st36.006 |
1.1.1.1.36.6 |
Отторжение, отмирание трансплантата органов и тканей |
8,40000 |
189 964,18 |
221 624,87 |
263 839,13 |
24 538,61 |
0,90000 |
1,05000 |
1,25000 |
0,80000 |
||||||||||||||||||||||||||||||||||||||||||||||||||
1,28000 |
1 |
1 |
1 |
st36.007 |
1.1.1.2.36.7 |
Установка, замена, заправка помп для лекарственных препаратов |
2,32000 |
58 295,89 |
58 295,89 |
58 295,89 |
24 538,61 |
0,90000 |
1,05000 |
1,25000 |
0,80000 |
||||||||||||||||||||||||||||||||||||||||||||||||||
1,28000 |
1 |
1 |
1 |
st36.008 |
1.1.1.3.36.8 |
Интенсивная терапия пациентов с нейрогенными нарушениями жизненно важных функций, нуждающихся в их длительном искусственном замещении |
18,15000 |
410 458,31 |
478 868,03 |
570 080,99 |
24 538,61 |
0,90000 |
1,05000 |
1,25000 |
0,80000 |
||||||||||||||||||||||||||||||||||||||||||||||||||
1,28000 |
1 |
1 |
1 |
st36.009 |
1.1.1.1.36.9 |
Реинфузия аутокрови |
2,05000 |
51 511,45 |
51 511,45 |
51 511,45 |
24 538,61 |
0,90000 |
1,05000 |
1,25000 |
0,80000 |
||||||||||||||||||||||||||||||||||||||||||||||||||
1,28000 |
1 |
1 |
1 |
st36.010 |
1.1.1.2.36.10 |
Баллонная внутриаортальная контрпульсация |
7,81000 |
196 246,06 |
196 246,06 |
196 246,06 |
24 538,61 |
0,90000 |
1,05000 |
1,25000 |
0,80000 |
||||||||||||||||||||||||||||||||||||||||||||||||||
1,28000 |
1 |
1 |
1 |
st36.011 |
1.1.1.1.36.11 |
Экстракорпоральная мембранная оксигенация |
15,57000 |
391 235,75 |
391 235,75 |
391 235,75 |
24 538,61 |
0,90000 |
1,05000 |
1,25000 |
0,80000 |
||||||||||||||||||||||||||||||||||||||||||||||||||
1,28000 |
1 |
1 |
1 |
st36.012 |
1.1.1.1.36.12 |
Злокачественное новообразование без специального противоопухолевого лечения |
0,50000 |
11 307,39 |
13 191,96 |
15 704,71 |
24 538,61 |
0,90000 |
1,05000 |
1,25000 |
0,80000 |
||||||||||||||||||||||||||||||||||||||||||||||||||
1,28000 |
1 |
1 |
1 |
st36.013 |
1.1.1.1.36.13 |
Проведение антимикробной терапии инфекций, вызванных полирезистентными микроорганизмами (уровень 1) |
1,61000 |
39 507,16 |
39 507,16 |
39 507,16 |
24 538,61 |
0,90000 |
1,05000 |
1,25000 |
0,80000 |
||||||||||||||||||||||||||||||||||||||||||||||||||
1,28000 |
1 |
1 |
1 |
st36.014 |
1.1.1.1.36.14 |
Проведение антимикробной терапии инфекций, вызванных полирезистентными микроорганизмами (уровень 2) |
3,89000 |
95 455,19 |
95 455,19 |
95 455,19 |
24 538,61 |
0,90000 |
1,05000 |
1,25000 |
0,80000 |
||||||||||||||||||||||||||||||||||||||||||||||||||
1,28000 |
1 |
1 |
1 |
st36.015 |
1.1.1.1.36.15 |
Проведение антимикробной терапии инфекций, вызванных полирезистентными микроорганизмами (уровень 3) |
10,54000 |
258 636,95 |
258 636,95 |
258 636,95 |
24 538,61 |
0,90000 |
1,05000 |
1,25000 |
0,80000 |
||||||||||||||||||||||||||||||||||||||||||||||||||
1,28000 |
1 |
1 |
1 |
st36.016 |
1.1.1.1.36.16 |
Проведение иммунизации против респираторно-синцитиальной вирусной инфекции |
2,61000 |
63 613,95 |
64 459,97 |
65 587,99 |
24 538,61 |
0,90000 |
1,05000 |
1,25000 |
0,80000 |
||||||||||||||||||||||||||||||||||||||||||||||||||
1,28000 |
1 |
1 |
1 |
st36.017 |
1.1.1.1.36.17 |
Лечение с применением генно-инженерных биологических препаратов и селективных иммунодепрессантов (уровень 1) |
1,04000 |
25 720,31 |
25 720,31 |
25 720,31 |
24 538,61 |
0,90000 |
1,05000 |
1,25000 |
0,80000 |
||||||||||||||||||||||||||||||||||||||||||||||||||
1,28000 |
1 |
1 |
1 |
st36.018 |
1.1.1.1.36.18 |
Лечение с применением генно-инженерных биологических препаратов и селективных иммунодепрессантов (уровень 2) |
2,14000 |
52 749,81 |
52 749,81 |
52 749,81 |
24 538,61 |
0,90000 |
1,05000 |
1,25000 |
0,80000 |
||||||||||||||||||||||||||||||||||||||||||||||||||
1,28000 |
1 |
1 |
1 |
st36.019 |
1.1.1.1.36.19 |
Лечение с применением генно-инженерных биологических препаратов и селективных иммунодепрессантов (уровень 3) |
6,31000 |
155 061,60 |
155 061,60 |
155 061,60 |
24 538,61 |
0,90000 |
1,05000 |
1,25000 |
0,80000 |
||||||||||||||||||||||||||||||||||||||||||||||||||
1,28000 |
1 |
1 |
1 |
st37.001 |
1.1.1.4.37.1 |
Медицинская реабилитация пациентов с заболеваниями центральной нервной системы (3 балла по ШРМ) |
1,53000 |
34 600,62 |
40 367,39 |
48 056,41 |
24 538,61 |
0,90000 |
1,05000 |
1,25000 |
0,80000 |
||||||||||||||||||||||||||||||||||||||||||||||||||
1,28000 |
1 |
1 |
1 |
st37.002 |
1.1.1.4.37.2 |
Медицинская реабилитация пациентов с заболеваниями центральной нервной системы (4 балла по ШРМ) |
2,04000 |
46 134,16 |
53 823,18 |
64 075,22 |
24 538,61 |
0,90000 |
1,05000 |
1,25000 |
0,80000 |
||||||||||||||||||||||||||||||||||||||||||||||||||
1,28000 |
1 |
1 |
1 |
st37.003 |
1.1.1.4.37.3 |
Медицинская реабилитация пациентов с заболеваниями центральной нервной системы (5 баллов по ШРМ) |
3,34000 |
75 533,38 |
88 122,27 |
104 907,47 |
24 538,61 |
0,90000 |
1,05000 |
1,25000 |
0,80000 |
||||||||||||||||||||||||||||||||||||||||||||||||||
1,28000 |
1 |
1 |
1 |
st37.004 |
1.1.1.4.37.4 |
Медицинская реабилитация пациентов с заболеваниями центральной нервной системы (6 баллов по ШРМ) |
8,60000 |
216 096,82 |
216 096,82 |
216 096,82 |
24 538,61 |
0,90000 |
1,05000 |
1,25000 |
0,80000 |
||||||||||||||||||||||||||||||||||||||||||||||||||
1,28000 |
1 |
1 |
1 |
st37.005 |
1.1.1.4.37.5 |
Медицинская реабилитация пациентов с заболеваниями опорно-двигательного аппарата и периферической нервной системы (3 балла по ШРМ) |
1,24000 |
28 042,33 |
32 716,05 |
38 947,68 |
24 538,61 |
0,90000 |
1,05000 |
1,25000 |
0,80000 |
||||||||||||||||||||||||||||||||||||||||||||||||||
1,28000 |
1 |
1 |
1 |
st37.006 |
1.1.1.4.37.6 |
Медицинская реабилитация пациентов с заболеваниями опорно-двигательного аппарата и периферической нервной системы (4 балла по ШРМ) |
1,67000 |
37 766,69 |
44 061,14 |
52 453,73 |
24 538,61 |
0,90000 |
1,05000 |
1,25000 |
0,80000 |
||||||||||||||||||||||||||||||||||||||||||||||||||
1,28000 |
1 |
1 |
1 |
st37.007 |
1.1.1.4.37.7 |
Медицинская реабилитация пациентов с заболеваниями опорно-двигательного аппарата и периферической нервной системы (5 баллов по ШРМ) |
3,03000 |
68 522,79 |
79 943,26 |
95 170,55 |
24 538,61 |
0,90000 |
1,05000 |
1,25000 |
0,80000 |
||||||||||||||||||||||||||||||||||||||||||||||||||
1,28000 |
1 |
1 |
1 |
st37.008 |
1.1.1.4.37.8 |
Медицинская кардиореабилитация (3 балла по ШРМ) |
1,02000 |
23 067,08 |
26 911,59 |
32 037,61 |
24 538,61 |
0,90000 |
1,05000 |
1,25000 |
0,80000 |
||||||||||||||||||||||||||||||||||||||||||||||||||
1,28000 |
1 |
1 |
1 |
st37.009 |
1.1.1.4.37.9 |
Медицинская кардиореабилитация (4 балла по ШРМ) |
1,38000 |
31 208,40 |
36 409,80 |
43 345,00 |
24 538,61 |
0,90000 |
1,05000 |
1,25000 |
0,80000 |
||||||||||||||||||||||||||||||||||||||||||||||||||
1,28000 |
1 |
1 |
1 |
st37.010 |
1.1.1.4.37.10 |
Медицинская кардиореабилитация (5 баллов по ШРМ) |
2,00000 |
45 229,57 |
52 767,83 |
62 818,84 |
24 538,61 |
0,90000 |
1,05000 |
1,25000 |
0,80000 |
||||||||||||||||||||||||||||||||||||||||||||||||||
1,28000 |
1 |
1 |
1 |
st37.011 |
1.1.1.4.37.11 |
Медицинская реабилитация при других соматических заболеваниях (3 балла по ШРМ) |
0,59000 |
13 342,72 |
15 566,51 |
18 531,56 |
24 538,61 |
0,90000 |
1,05000 |
1,25000 |
0,80000 |
||||||||||||||||||||||||||||||||||||||||||||||||||
1,28000 |
1 |
1 |
1 |
st37.012 |
1.1.1.4.37.12 |
Медицинская реабилитация при других соматических заболеваниях (4 балла по ШРМ) |
0,84000 |
18 996,42 |
22 162,49 |
26 383,91 |
24 538,61 |
0,90000 |
1,05000 |
1,25000 |
0,80000 |
||||||||||||||||||||||||||||||||||||||||||||||||||
1,28000 |
1 |
1 |
1 |
st37.013 |
1.1.1.4.37.13 |
Медицинская реабилитация при других соматических заболеваниях (5 баллов по ШРМ) |
1,17000 |
26 459,30 |
30 869,18 |
36 749,02 |
24 538,61 |
0,90000 |
1,05000 |
1,25000 |
0,80000 |
||||||||||||||||||||||||||||||||||||||||||||||||||
1,28000 |
1 |
1 |
1 |
st37.014 |
1.1.1.4.37.14 |
Медицинская реабилитация детей, перенесших заболевания перинатального периода |
1,50000 |
33 922,17 |
39 575,87 |
47 114,13 |
24 538,61 |
0,90000 |
1,05000 |
1,25000 |
0,80000 |
||||||||||||||||||||||||||||||||||||||||||||||||||
1,28000 |
1 |
1 |
1 |
st37.015 |
1.1.1.4.37.15 |
Медицинская реабилитация детей с нарушениями слуха без замены речевого процессора системы кохлеарной имплантации |
1,80000 |
40 706,61 |
47 491,04 |
56 536,96 |
24 538,61 |
0,90000 |
1,05000 |
1,25000 |
0,80000 |
||||||||||||||||||||||||||||||||||||||||||||||||||
1,28000 |
1 |
1 |
1 |
st37.016 |
1.1.1.4.37.16 |
Медицинская реабилитация детей с онкологическими, гематологическими и иммунологическими заболеваниями в тяжелых формах продолжительного течения |
4,81000 |
108 777,11 |
126 906,62 |
151 079,31 |
24 538,61 |
0,90000 |
1,05000 |
1,25000 |
0,80000 |
||||||||||||||||||||||||||||||||||||||||||||||||||
1,28000 |
1 |
1 |
1 |
st37.017 |
1.1.1.4.37.17 |
Медицинская реабилитация детей с поражениями центральной нервной системы |
2,75000 |
62 190,65 |
72 555,76 |
86 375,91 |
24 538,61 |
0,90000 |
1,05000 |
1,25000 |
0,80000 |
||||||||||||||||||||||||||||||||||||||||||||||||||
1,28000 |
1 |
1 |
1 |
st37.018 |
1.1.1.4.37.18 |
Медицинская реабилитация детей, после хирургической коррекции врожденных пороков развития органов и систем |
2,35000 |
53 144,74 |
62 002,20 |
73 812,14 |
24 538,61 |
0,90000 |
1,05000 |
1,25000 |
0,80000 |
||||||||||||||||||||||||||||||||||||||||||||||||||
1,28000 |
1 |
1 |
1 |
st37.019 |
1.1.1.4.37.19 |
Медицинская реабилитация после онкоортопедических операций |
1,44000 |
32 565,29 |
37 992,84 |
45 229,57 |
24 538,61 |
0,90000 |
1,05000 |
1,25000 |
0,80000 |
||||||||||||||||||||||||||||||||||||||||||||||||||
1,28000 |
1 |
1 |
1 |
st37.020 |
1.1.1.4.37.20 |
Медицинская реабилитация по поводу постмастэктомического синдрома в онкологии |
1,24000 |
28 042,33 |
32 716,05 |
38 947,68 |
24 538,61 |
0,90000 |
1,05000 |
1,25000 |
0,80000 |
||||||||||||||||||||||||||||||||||||||||||||||||||
1,28000 |
1 |
1 |
1 |
st37.021 |
1.1.1.4.37.21 |
Медицинская реабилитация после перенесенной коронавирусной инфекции COVID-19 (3 балла по ШРМ) |
1,08000 |
24 423,97 |
28 494,63 |
33 922,17 |
24 538,61 |
0,90000 |
1,05000 |
1,25000 |
0,80000 |
||||||||||||||||||||||||||||||||||||||||||||||||||
1,28000 |
1 |
1 |
1 |
st37.022 |
1.1.1.4.37.22 |
Медицинская реабилитация после перенесенной коронавирусной инфекции COVID-19 (4 балла по ШРМ) |
1,61000 |
36 409,80 |
42 478,10 |
50 569,17 |
24 538,61 |
0,90000 |
1,05000 |
1,25000 |
0,80000 |
||||||||||||||||||||||||||||||||||||||||||||||||||
1,28000 |
1 |
1 |
1 |
st37.023 |
1.1.1.4.37.23 |
Медицинская реабилитация после перенесенной коронавирусной инфекции COVID-19 (5 баллов по ШРМ) |
2,15000 |
48 621,78 |
56 725,41 |
67 530,25 |
24 538,61 |
0,90000 |
1,05000 |
1,25000 |
0,80000 |
||||||||||||||||||||||||||||||||||||||||||||||||||
1,28000 |
1 |
1 |
1 |
st38.001 |
1.1.1.1.38.1 |
Соматические заболевания, осложненные старческой астенией |
1,50000 |
33 922,17 |
39 575,87 |
47 114,13 |
24 538,61 |
0,90000 |
1,05000 |
1,25000 |
0,80000 |
||||||||||||||||||||||||||||||||||||||||||||||||||
1,28000 |
1 |
1 |
2 |
ds02.001 |
1.1.2.1.2.1 |
Осложнения беременности, родов, послеродового периода |
0,83000 |
13 766,90 |
13 766,90 |
13 766,90 |
14 039,33 |
1,00000 |
1,00000 |
1,00000 |
0,92300 |
||||||||||||||||||||||||||||||||||||||||||||||||||
1,28000 |
1 |
1 |
2 |
ds02.002 |
1.1.2.1.2.2 |
Болезни женских половых органов |
0,66000 |
10 947,17 |
10 947,17 |
10 947,17 |
14 039,33 |
1,00000 |
1,00000 |
1,00000 |
0,92300 |
||||||||||||||||||||||||||||||||||||||||||||||||||
1,28000 |
1 |
1 |
2 |
ds02.003 |
1.1.2.2.2.3 |
Операции на женских половых органах (уровень 1) |
0,71000 |
11 776,50 |
11 776,50 |
11 776,50 |
14 039,33 |
1,00000 |
1,00000 |
1,00000 |
0,92300 |
||||||||||||||||||||||||||||||||||||||||||||||||||
1,28000 |
1 |
1 |
2 |
ds02.004 |
1.1.2.2.2.4 |
Операции на женских половых органах (уровень 2) |
1,06000 |
17 581,82 |
17 581,82 |
17 581,82 |
14 039,33 |
1,00000 |
1,00000 |
1,00000 |
0,92300 |
||||||||||||||||||||||||||||||||||||||||||||||||||
1,28000 |
1 |
1 |
2 |
ds02.006 |
1.1.2.2.2.6 |
Искусственное прерывание беременности (аборт) |
0,33000 |
5 473,59 |
5 473,59 |
5 473,59 |
14 039,33 |
1,00000 |
1,00000 |
1,00000 |
0,92300 |
||||||||||||||||||||||||||||||||||||||||||||||||||
1,28000 |
1 |
1 |
2 |
ds02.007 |
1.1.2.2.2.7 |
Аборт медикаментозный* |
0,38000 |
6 302,92 |
6 302,92 |
6 302,92 |
14 039,33 |
1,00000 |
1,00000 |
1,00000 |
0,92300 |
||||||||||||||||||||||||||||||||||||||||||||||||||
1,28000 |
1 |
1 |
2 |
ds02.008 |
1.1.2.2.2.8 |
Экстракорпоральное оплодотворение (уровень 1) |
1,70000 |
30 549,58 |
30 549,58 |
30 549,58 |
14 039,33 |
1,00000 |
1,00000 |
1,00000 |
1,00000 |
||||||||||||||||||||||||||||||||||||||||||||||||||
1,28000 |
1 |
1 |
2 |
ds02.009 |
1.1.2.2.2.9 |
Экстракорпоральное оплодотворение (уровень 2) |
5,38000 |
96 680,44 |
96 680,44 |
96 680,44 |
14 039,33 |
1,00000 |
1,00000 |
1,00000 |
1,00000 |
||||||||||||||||||||||||||||||||||||||||||||||||||
1,28000 |
1 |
1 |
2 |
ds02.010 |
1.1.2.2.2.10 |
Экстракорпоральное оплодотворение (уровень 3) |
8,96000 |
161 014,27 |
161 014,27 |
161 014,27 |
14 039,33 |
1,00000 |
1,00000 |
1,00000 |
1,00000 |
||||||||||||||||||||||||||||||||||||||||||||||||||
1,28000 |
1 |
1 |
2 |
ds02.011 |
1.1.2.2.2.11 |
Экстракорпоральное оплодотворение (уровень 4) |
9,86000 |
177 187,58 |
177 187,58 |
177 187,58 |
14 039,33 |
1,00000 |
1,00000 |
1,00000 |
1,00000 |
||||||||||||||||||||||||||||||||||||||||||||||||||
1,28000 |
1 |
1 |
2 |
ds03.001 |
1.1.2.1.3.1 |
Нарушения с вовлечением иммунного механизма |
0,98000 |
16 254,89 |
16 254,89 |
16 254,89 |
14 039,33 |
1,00000 |
1,00000 |
1,00000 |
0,92300 |
||||||||||||||||||||||||||||||||||||||||||||||||||
1,28000 |
1 |
1 |
2 |
ds04.001 |
1.1.2.1.4.1 |
Болезни органов пищеварения, взрослые |
0,89000 |
14 762,10 |
14 762,10 |
14 762,10 |
14 039,33 |
1,00000 |
1,00000 |
1,00000 |
0,92300 |
||||||||||||||||||||||||||||||||||||||||||||||||||
1,28000 |
1 |
1 |
2 |
ds05.001 |
1.1.2.1.5.1 |
Болезни крови (уровень 1) |
0,91000 |
15 093,83 |
15 093,83 |
15 093,83 |
14 039,33 |
1,00000 |
1,00000 |
1,00000 |
0,92300 |
||||||||||||||||||||||||||||||||||||||||||||||||||
1,28000 |
1 |
1 |
2 |
ds05.002 |
1.1.2.1.5.2 |
Болезни крови (уровень 2) |
2,41000 |
39 973,77 |
39 973,77 |
39 973,77 |
14 039,33 |
1,00000 |
1,00000 |
1,00000 |
0,92300 |
||||||||||||||||||||||||||||||||||||||||||||||||||
1,28000 |
1 |
1 |
2 |
ds05.005 |
1.1.2.3.5.5 |
Лекарственная терапия при доброкачественных заболеваниях крови и пузырном заносе |
3,73000 |
61 868,12 |
61 868,12 |
61 868,12 |
14 039,33 |
1,00000 |
1,00000 |
1,00000 |
0,92300 |
||||||||||||||||||||||||||||||||||||||||||||||||||
1,28000 |
1 |
1 |
2 |
ds06.002 |
1.1.2.1.6.2 |
Лечение дерматозов с применением наружной терапии |
0,35000 |
5 782,50 |
5 782,50 |
5 782,50 |
14 039,33 |
1,00000 |
1,00000 |
1,00000 |
0,92300 |
||||||||||||||||||||||||||||||||||||||||||||||||||
1,28000 |
1 |
1 |
2 |
ds06.003 |
1.1.2.1.6.3 |
Лечение дерматозов с применением наружной терапии, физиотерапии, плазмофереза |
0,97000 |
15 997,60 |
15 997,60 |
15 997,60 |
14 039,33 |
1,00000 |
1,00000 |
1,00000 |
0,92300 |
||||||||||||||||||||||||||||||||||||||||||||||||||
1,28000 |
1 |
1 |
2 |
ds06.004 |
1.1.2.1.6.4 |
Лечение дерматозов с применением наружной и системной терапии |
0,97000 |
16 046,28 |
16 046,28 |
16 046,28 |
14 039,33 |
1,00000 |
1,00000 |
1,00000 |
0,92300 |
||||||||||||||||||||||||||||||||||||||||||||||||||
1,28000 |
1 |
1 |
2 |
ds06.005 |
1.1.2.1.6.5 |
Лечение дерматозов с применением наружной и фототерапии |
1,95000 |
32 254,51 |
32 254,51 |
32 254,51 |
14 039,33 |
1,00000 |
1,00000 |
1,00000 |
0,92300 |
||||||||||||||||||||||||||||||||||||||||||||||||||
1,28000 |
1 |
1 |
2 |
ds07.001 |
1.1.2.1.7.1 |
Болезни системы кровообращения, дети |
0,98000 |
16 254,89 |
16 254,89 |
16 254,89 |
14 039,33 |
1,00000 |
1,00000 |
1,00000 |
0,92300 |
||||||||||||||||||||||||||||||||||||||||||||||||||
1,28000 |
1 |
1 |
2 |
ds08.001 |
1.1.2.3.8.1 |
Лекарственная терапия при злокачественных новообразованиях других локализаций (кроме лимфоидной и кроветворной тканей), дети |
7,95000 |
142 864,22 |
142 864,22 |
142 864,22 |
14 039,33 |
1,00000 |
1,00000 |
1,00000 |
1,00000 |
||||||||||||||||||||||||||||||||||||||||||||||||||
1,28000 |
1 |
1 |
2 |
ds08.002 |
1.1.2.3.8.2 |
Лекарственная терапия при остром лейкозе, дети |
14,23000 |
255 717,97 |
255 717,97 |
255 717,97 |
14 039,33 |
1,00000 |
1,00000 |
1,00000 |
1,00000 |
||||||||||||||||||||||||||||||||||||||||||||||||||
1,28000 |
1 |
1 |
2 |
ds08.003 |
1.1.2.3.8.3 |
Лекарственная терапия при других злокачественных новообразованиях лимфоидной и кроветворной тканей, дети |
10,34000 |
185 813,34 |
185 813,34 |
185 813,34 |
14 039,33 |
1,00000 |
1,00000 |
1,00000 |
1,00000 |
||||||||||||||||||||||||||||||||||||||||||||||||||
1,28000 |
1 |
1 |
2 |
ds09.001 |
1.1.2.2.9.1 |
Операции на мужских половых органах, дети |
1,38000 |
22 889,54 |
22 889,54 |
22 889,54 |
14 039,33 |
1,00000 |
1,00000 |
1,00000 |
0,92300 |
||||||||||||||||||||||||||||||||||||||||||||||||||
1,28000 |
1 |
1 |
2 |
ds09.002 |
1.1.2.2.9.2 |
Операции на почке и мочевыделительной системе, дети |
2,09000 |
34 666,05 |
34 666,05 |
34 666,05 |
14 039,33 |
1,00000 |
1,00000 |
1,00000 |
0,92300 |
||||||||||||||||||||||||||||||||||||||||||||||||||
1,28000 |
1 |
1 |
2 |
ds10.001 |
1.1.2.2.10.1 |
Операции по поводу грыж, дети |
1,60000 |
26 538,60 |
26 538,60 |
26 538,60 |
14 039,33 |
1,00000 |
1,00000 |
1,00000 |
0,92300 |
||||||||||||||||||||||||||||||||||||||||||||||||||
1,28000 |
1 |
1 |
2 |
ds11.001 |
1.1.2.1.11.1 |
Сахарный диабет, дети |
1,49000 |
24 714,07 |
24 714,07 |
24 714,07 |
14 039,33 |
1,00000 |
1,00000 |
1,00000 |
0,92300 |
||||||||||||||||||||||||||||||||||||||||||||||||||
1,28000 |
1 |
1 |
2 |
ds11.002 |
1.1.2.1.11.2 |
Другие болезни эндокринной системы, дети |
1,36000 |
22 557,81 |
22 557,81 |
22 557,81 |
14 039,33 |
1,00000 |
1,00000 |
1,00000 |
0,92300 |
||||||||||||||||||||||||||||||||||||||||||||||||||
1,28000 |
1 |
1 |
2 |
ds12.001 |
1.1.2.3.12.1 |
Вирусный гепатит B хронический, лекарственная терапия |
2,75000 |
45 613,22 |
45 613,22 |
45 613,22 |
14 039,33 |
1,00000 |
1,00000 |
1,00000 |
0,92300 |
||||||||||||||||||||||||||||||||||||||||||||||||||
1,28000 |
1 |
1 |
2 |
ds12.005 |
1.1.2.1.12.5 |
Другие вирусные гепатиты |
0,97000 |
16 089,03 |
16 089,03 |
16 089,03 |
14 039,33 |
1,00000 |
1,00000 |
1,00000 |
0,92300 |
||||||||||||||||||||||||||||||||||||||||||||||||||
1,28000 |
1 |
1 |
2 |
ds12.006 |
1.1.2.1.12.6 |
Инфекционные и паразитарные болезни, взрослые |
1,16000 |
19 240,49 |
19 240,49 |
19 240,49 |
14 039,33 |
1,00000 |
1,00000 |
1,00000 |
0,92300 |
||||||||||||||||||||||||||||||||||||||||||||||||||
1,28000 |
1 |
1 |
2 |
ds12.007 |
1.1.2.1.12.7 |
Инфекционные и паразитарные болезни, дети |
0,97000 |
16 089,03 |
16 089,03 |
16 089,03 |
14 039,33 |
1,00000 |
1,00000 |
1,00000 |
0,92300 |
||||||||||||||||||||||||||||||||||||||||||||||||||
1,28000 |
1 |
1 |
2 |
ds12.008 |
1.1.2.1.12.8 |
Респираторные инфекции верхних дыхательных путей, взрослые |
0,52000 |
8 625,05 |
8 625,05 |
8 625,05 |
14 039,33 |
1,00000 |
1,00000 |
1,00000 |
0,92300 |
||||||||||||||||||||||||||||||||||||||||||||||||||
1,28000 |
1 |
1 |
2 |
ds12.009 |
1.1.2.1.12.9 |
Респираторные инфекции верхних дыхательных путей, дети |
0,65000 |
10 781,31 |
10 781,31 |
10 781,31 |
14 039,33 |
1,00000 |
1,00000 |
1,00000 |
0,92300 |
||||||||||||||||||||||||||||||||||||||||||||||||||
1,28000 |
1 |
1 |
2 |
ds12.010 |
1.1.2.3.12.10 |
Лечение хронического вирусного гепатита C (уровень 1) |
4,90000 |
81 274,47 |
81 274,47 |
81 274,47 |
14 039,33 |
1,00000 |
1,00000 |
1,00000 |
0,92300 |
||||||||||||||||||||||||||||||||||||||||||||||||||
1,28000 |
1 |
1 |
2 |
ds12.011 |
1.1.2.3.12.11 |
Лечение хронического вирусного гепатита C (уровень 2) |
22,20000 |
368 223,10 |
368 223,10 |
368 223,10 |
14 039,33 |
1,00000 |
1,00000 |
1,00000 |
0,92300 |
||||||||||||||||||||||||||||||||||||||||||||||||||
1,28000 |
1 |
1 |
2 |
ds13.001 |
1.1.2.1.13.1 |
Болезни системы кровообращения, взрослые |
0,80000 |
13 269,30 |
13 269,30 |
13 269,30 |
14 039,33 |
1,00000 |
1,00000 |
1,00000 |
0,92300 |
||||||||||||||||||||||||||||||||||||||||||||||||||
1,28000 |
1 |
1 |
2 |
ds13.002 |
1.1.2.3.13.2 |
Болезни системы кровообращения с применением инвазивных методов |
3,39000 |
56 228,66 |
56 228,66 |
56 228,66 |
14 039,33 |
1,00000 |
1,00000 |
1,00000 |
0,92300 |
||||||||||||||||||||||||||||||||||||||||||||||||||
1,28000 |
1 |
1 |
2 |
ds13.003 |
1.1.2.3.13.3 |
Лечение наследственных атерогенных нарушений липидного обмена с применением методов афереза (липидная фильтрация, афинная и иммуносорбция липопротеидов) в случае отсутствия эффективности базисной терапии |
5,07000 |
84 094,19 |
84 094,19 |
84 094,19 |
14 039,33 |
1,00000 |
1,00000 |
1,00000 |
0,92300 |
||||||||||||||||||||||||||||||||||||||||||||||||||
1,28000 |
1 |
1 |
2 |
ds14.001 |
1.1.2.2.14.1 |
Операции на кишечнике и анальной области (уровень 1) |
1,53000 |
25 377,54 |
25 377,54 |
25 377,54 |
14 039,33 |
1,00000 |
1,00000 |
1,00000 |
0,92300 |
||||||||||||||||||||||||||||||||||||||||||||||||||
1,28000 |
1 |
1 |
2 |
ds14.002 |
1.1.2.2.14.2 |
Операции на кишечнике и анальной области (уровень 2) |
3,17000 |
52 579,60 |
52 579,60 |
52 579,60 |
14 039,33 |
1,00000 |
1,00000 |
1,00000 |
0,92300 |
||||||||||||||||||||||||||||||||||||||||||||||||||
1,28000 |
1 |
1 |
2 |
ds15.001 |
1.1.2.1.15.1 |
Болезни нервной системы, хромосомные аномалии |
0,98000 |
16 254,89 |
16 254,89 |
16 254,89 |
14 039,33 |
1,00000 |
1,00000 |
1,00000 |
0,92300 |
||||||||||||||||||||||||||||||||||||||||||||||||||
1,28000 |
1 |
1 |
2 |
ds15.002 |
1.1.2.3.15.2 |
Неврологические заболевания, лечение с применением ботулотоксина (уровень 1) |
1,75000 |
29 026,60 |
29 026,60 |
29 026,60 |
14 039,33 |
1,00000 |
1,00000 |
1,00000 |
0,92300 |
||||||||||||||||||||||||||||||||||||||||||||||||||
1,28000 |
1 |
1 |
2 |
ds15.003 |
1.1.2.3.15.3 |
Неврологические заболевания, лечение с применением ботулотоксина (уровень 2) |
2,89000 |
47 935,35 |
47 935,35 |
47 935,35 |
14 039,33 |
1,00000 |
1,00000 |
1,00000 |
0,92300 |
||||||||||||||||||||||||||||||||||||||||||||||||||
1,28000 |
1 |
1 |
2 |
ds16.001 |
1.1.2.1.16.1 |
Болезни и травмы позвоночника, спинного мозга, последствия внутричерепной травмы, сотрясение головного мозга |
0,94000 |
15 591,43 |
15 591,43 |
15 591,43 |
14 039,33 |
1,00000 |
1,00000 |
1,00000 |
0,92300 |
||||||||||||||||||||||||||||||||||||||||||||||||||
1,28000 |
1 |
1 |
2 |
ds16.002 |
1.1.2.2.16.2 |
Операции на периферической нервной системе |
2,57000 |
42 627,63 |
42 627,63 |
42 627,63 |
14 039,33 |
1,00000 |
1,00000 |
1,00000 |
0,92300 |
||||||||||||||||||||||||||||||||||||||||||||||||||
1,28000 |
1 |
1 |
2 |
ds17.001 |
1.1.2.1.17.1 |
Нарушения, возникшие в перинатальном периоде |
1,79000 |
29 690,06 |
29 690,06 |
29 690,06 |
14 039,33 |
1,00000 |
1,00000 |
1,00000 |
0,92300 |
||||||||||||||||||||||||||||||||||||||||||||||||||
1,28000 |
1 |
1 |
2 |
ds18.001 |
1.1.2.1.18.1 |
Гломерулярные болезни, почечная недостаточность (без диализа) |
1,60000 |
26 538,60 |
26 538,60 |
26 538,60 |
14 039,33 |
1,00000 |
1,00000 |
1,00000 |
0,92300 |
||||||||||||||||||||||||||||||||||||||||||||||||||
1,28000 |
1 |
1 |
2 |
ds18.002 |
1.1.2.3.18.2 |
Лекарственная терапия у пациентов, получающих диализ |
3,25000 |
53 906,53 |
53 906,53 |
53 906,53 |
14 039,33 |
1,00000 |
1,00000 |
1,00000 |
0,92300 |
||||||||||||||||||||||||||||||||||||||||||||||||||
1,28000 |
1 |
1 |
2 |
ds18.003 |
1.1.2.3.18.3 |
Формирование, имплантация, удаление, смена доступа для диализа |
3,18000 |
52 745,47 |
52 745,47 |
52 745,47 |
14 039,33 |
1,00000 |
1,00000 |
1,00000 |
0,92300 |
||||||||||||||||||||||||||||||||||||||||||||||||||
1,28000 |
1 |
1 |
2 |
ds18.004 |
1.1.2.1.18.4 |
Другие болезни почек |
0,80000 |
13 269,30 |
13 269,30 |
13 269,30 |
14 039,33 |
1,00000 |
1,00000 |
1,00000 |
0,92300 |
||||||||||||||||||||||||||||||||||||||||||||||||||
1,28000 |
1 |
1 |
2 |
ds19.016 |
1.1.2.3.19.16 |
Операции при злокачественных новообразованиях кожи (уровень 1) |
2,35000 |
42 230,30 |
42 230,30 |
42 230,30 |
14 039,33 |
1,00000 |
1,00000 |
1,00000 |
1,00000 |
||||||||||||||||||||||||||||||||||||||||||||||||||
1,28000 |
1 |
1 |
2 |
ds19.017 |
1.1.2.3.19.17 |
Операции при злокачественных новообразованиях кожи (уровень 2) |
2,48000 |
44 566,45 |
44 566,45 |
44 566,45 |
14 039,33 |
1,00000 |
1,00000 |
1,00000 |
1,00000 |
||||||||||||||||||||||||||||||||||||||||||||||||||
1,28000 |
1 |
1 |
2 |
ds19.028 |
1.1.2.1.19.28 |
Установка, замена порт системы (катетера) для лекарственной терапии злокачественных новообразований (кроме лимфоидной и кроветворной тканей) |
2,17000 |
38 995,64 |
38 995,64 |
38 995,64 |
14 039,33 |
1,00000 |
1,00000 |
1,00000 |
1,00000 |
||||||||||||||||||||||||||||||||||||||||||||||||||
1,28000 |
1 |
1 |
2 |
ds19.029 |
1.1.2.1.19.29 |
Госпитализация в диагностических целях с постановкой/ подтверждением диагноза злокачественного новообразования с использованием ПЭТ КТ |
2,55000 |
45 824,37 |
45 824,37 |
45 824,37 |
14 039,33 |
1,00000 |
1,00000 |
1,00000 |
1,00000 |
||||||||||||||||||||||||||||||||||||||||||||||||||
1,28000 |
1 |
1 |
2 |
ds19.033 |
1.1.2.1.19.33 |
Госпитализация в диагностических целях с проведением биопсии и последующим проведением молекулярно-генетического и/или иммуногистохимического исследования |
2,44000 |
43 847,64 |
43 847,64 |
43 847,64 |
14 039,33 |
1,00000 |
1,00000 |
1,00000 |
1,00000 |
||||||||||||||||||||||||||||||||||||||||||||||||||
1,28000 |
1 |
1 |
2 |
ds19.050 |
1.1.2.2.19.50 |
Лучевая терапия (уровень 1) |
0,74000 |
13 298,05 |
13 298,05 |
13 298,05 |
14 039,33 |
1,00000 |
1,00000 |
1,00000 |
1,00000 |
||||||||||||||||||||||||||||||||||||||||||||||||||
1,28000 |
1 |
1 |
2 |
ds19.051 |
1.1.2.2.19.51 |
Лучевая терапия (уровень 2) |
1,44000 |
25 877,29 |
25 877,29 |
25 877,29 |
14 039,33 |
1,00000 |
1,00000 |
1,00000 |
1,00000 |
||||||||||||||||||||||||||||||||||||||||||||||||||
1,28000 |
1 |
1 |
2 |
ds19.052 |
1.1.2.2.19.52 |
Лучевая терапия (уровень 3) |
2,22000 |
39 894,16 |
39 894,16 |
39 894,16 |
14 039,33 |
1,00000 |
1,00000 |
1,00000 |
1,00000 |
||||||||||||||||||||||||||||||||||||||||||||||||||
1,28000 |
1 |
1 |
2 |
ds19.053 |
1.1.2.2.19.53 |
Лучевая терапия (уровень 4) |
2,93000 |
52 653,10 |
52 653,10 |
52 653,10 |
14 039,33 |
1,00000 |
1,00000 |
1,00000 |
1,00000 |
||||||||||||||||||||||||||||||||||||||||||||||||||
1,28000 |
1 |
1 |
2 |
ds19.054 |
1.1.2.2.19.54 |
Лучевая терапия (уровень 5) |
3,14000 |
56 426,88 |
56 426,88 |
56 426,88 |
14 039,33 |
1,00000 |
1,00000 |
1,00000 |
1,00000 |
||||||||||||||||||||||||||||||||||||||||||||||||||
1,28000 |
1 |
1 |
2 |
ds19.055 |
1.1.2.2.19.55 |
Лучевая терапия (уровень 6) |
3,80000 |
68 287,30 |
68 287,30 |
68 287,30 |
14 039,33 |
1,00000 |
1,00000 |
1,00000 |
1,00000 |
||||||||||||||||||||||||||||||||||||||||||||||||||
1,28000 |
1 |
1 |
2 |
ds19.056 |
1.1.2.2.19.56 |
Лучевая терапия (уровень 7) |
4,70000 |
84 460,61 |
84 460,61 |
84 460,61 |
14 039,33 |
1,00000 |
1,00000 |
1,00000 |
1,00000 |
||||||||||||||||||||||||||||||||||||||||||||||||||
1,28000 |
1 |
1 |
2 |
ds19.057 |
1.1.2.2.19.57 |
Лучевая терапия (уровень 8) |
26,65000 |
478 909,62 |
478 909,62 |
478 909,62 |
14 039,33 |
1,00000 |
1,00000 |
1,00000 |
1,00000 |
||||||||||||||||||||||||||||||||||||||||||||||||||
1,28000 |
1 |
1 |
2 |
ds19.058 |
1.1.2.2.19.58 |
Лучевая терапия в сочетании с лекарственной терапией (уровень 1) |
4,09000 |
70 022,67 |
70 022,67 |
70 022,67 |
14 039,33 |
1,00000 |
1,00000 |
1,00000 |
1,00000 |
||||||||||||||||||||||||||||||||||||||||||||||||||
1,28000 |
1 |
1 |
2 |
ds19.060 |
1.1.2.2.19.60 |
Лучевая терапия в сочетании с лекарственной терапией (уровень 3) |
4,96000 |
85 748,08 |
85 748,08 |
85 748,08 |
14 039,33 |
1,00000 |
1,00000 |
1,00000 |
1,00000 |
||||||||||||||||||||||||||||||||||||||||||||||||||
1,28000 |
1 |
1 |
2 |
ds19.061 |
1.1.2.2.19.61 |
Лучевая терапия в сочетании с лекарственной терапией (уровень 4) |
13,27000 |
202 921,53 |
202 921,53 |
202 921,53 |
14 039,33 |
1,00000 |
1,00000 |
1,00000 |
1,00000 |
||||||||||||||||||||||||||||||||||||||||||||||||||
1,28000 |
1 |
1 |
2 |
ds19.062 |
1.1.2.2.19.62 |
Лучевая терапия в сочетании с лекарственной терапией (уровень 5) |
25,33000 |
372 234,89 |
372 234,89 |
372 234,89 |
14 039,33 |
1,00000 |
1,00000 |
1,00000 |
1,00000 |
||||||||||||||||||||||||||||||||||||||||||||||||||
1,28000 |
1 |
1 |
2 |
ds19.063 |
1.1.2.2.19.63 |
ЗНО лимфоидной и кроветворной тканей без специального противоопухолевого лечения, взрослые (уровень 1) |
0,15000 |
2 695,55 |
2 695,55 |
2 695,55 |
14 039,33 |
1,00000 |
1,00000 |
1,00000 |
1,00000 |
||||||||||||||||||||||||||||||||||||||||||||||||||
1,28000 |
1 |
1 |
2 |
ds19.064 |
1.1.2.2.19.64 |
ЗНО лимфоидной и кроветворной тканей без специального противоопухолевого лечения, взрослые (уровень 2) |
0,69000 |
12 399,54 |
12 399,54 |
12 399,54 |
14 039,33 |
1,00000 |
1,00000 |
1,00000 |
1,00000 |
||||||||||||||||||||||||||||||||||||||||||||||||||
1,28000 |
1 |
1 |
2 |
ds19.065 |
1.1.2.2.19.65 |
ЗНО лимфоидной и кроветворной тканей без специального противоопухолевого лечения, взрослые (уровень 3) |
1,57000 |
28 213,44 |
28 213,44 |
28 213,44 |
14 039,33 |
1,00000 |
1,00000 |
1,00000 |
1,00000 |
||||||||||||||||||||||||||||||||||||||||||||||||||
1,28000 |
1 |
1 |
2 |
ds19.066 |
1.1.2.2.19.66 |
ЗНО лимфоидной и кроветворной тканей без специального противоопухолевого лечения, взрослые (уровень 4) |
2,82000 |
50 676,37 |
50 676,37 |
50 676,37 |
14 039,33 |
1,00000 |
1,00000 |
1,00000 |
1,00000 |
||||||||||||||||||||||||||||||||||||||||||||||||||
1,28000 |
1 |
1 |
2 |
ds19.067 |
1.1.2.2.19.67 |
ЗНО лимфоидной и кроветворной тканей, лекарственная терапия, взрослые (уровень 1) |
0,31000 |
4 974,42 |
4 974,42 |
4 974,42 |
14 039,33 |
1,00000 |
1,00000 |
1,00000 |
1,00000 |
||||||||||||||||||||||||||||||||||||||||||||||||||
1,28000 |
1 |
1 |
2 |
ds19.068 |
1.1.2.2.19.68 |
ЗНО лимфоидной и кроветворной тканей, лекарственная терапия, взрослые (уровень 2) |
1,36000 |
21 823,25 |
21 823,25 |
21 823,25 |
14 039,33 |
1,00000 |
1,00000 |
1,00000 |
1,00000 |
||||||||||||||||||||||||||||||||||||||||||||||||||
1,28000 |
1 |
1 |
2 |
ds19.069 |
1.1.2.2.19.69 |
ЗНО лимфоидной и кроветворной тканей, лекарственная терапия, взрослые (уровень 3) |
3,06000 |
49 102,31 |
49 102,31 |
49 102,31 |
14 039,33 |
1,00000 |
1,00000 |
1,00000 |
1,00000 |
||||||||||||||||||||||||||||||||||||||||||||||||||
1,28000 |
1 |
1 |
2 |
ds19.070 |
1.1.2.2.19.70 |
ЗНО лимфоидной и кроветворной тканей, лекарственная терапия, взрослые (уровень 4) |
5,66000 |
90 823,22 |
90 823,22 |
90 823,22 |
14 039,33 |
1,00000 |
1,00000 |
1,00000 |
1,00000 |
||||||||||||||||||||||||||||||||||||||||||||||||||
1,28000 |
1 |
1 |
2 |
ds19.071 |
1.1.2.2.19.71 |
ЗНО лимфоидной и кроветворной тканей, лекарственная терапия с применением отдельных препаратов (по перечню), взрослые (уровень 1) |
4,18000 |
59 363,03 |
59 363,03 |
59 363,03 |
14 039,33 |
1,00000 |
1,00000 |
1,00000 |
1,00000 |
||||||||||||||||||||||||||||||||||||||||||||||||||
1,28000 |
1 |
1 |
2 |
ds19.072 |
1.1.2.2.19.72 |
ЗНО лимфоидной и кроветворной тканей, лекарственная терапия с применением отдельных препаратов (по перечню), взрослые (уровень 2) |
5,13000 |
74 592,94 |
74 592,94 |
74 592,94 |
14 039,33 |
1,00000 |
1,00000 |
1,00000 |
1,00000 |
||||||||||||||||||||||||||||||||||||||||||||||||||
1,28000 |
1 |
1 |
2 |
ds19.073 |
1.1.2.2.19.73 |
ЗНО лимфоидной и кроветворной тканей, лекарственная терапия с применением отдельных препаратов (по перечню), взрослые (уровень 3) |
6,88000 |
102 683,91 |
102 683,91 |
102 683,91 |
14 039,33 |
1,00000 |
1,00000 |
1,00000 |
1,00000 |
||||||||||||||||||||||||||||||||||||||||||||||||||
1,28000 |
1 |
1 |
2 |
ds19.074 |
1.1.2.2.19.74 |
ЗНО лимфоидной и кроветворной тканей, лекарственная терапия с применением отдельных препаратов (по перечню), взрослые (уровень 4) |
10,03000 |
153 230,37 |
153 230,37 |
153 230,37 |
14 039,33 |
1,00000 |
1,00000 |
1,00000 |
1,00000 |
||||||||||||||||||||||||||||||||||||||||||||||||||
1,28000 |
1 |
1 |
2 |
ds19.075 |
1.1.2.2.19.75 |
ЗНО лимфоидной и кроветворной тканей, лекарственная терапия с применением отдельных препаратов (по перечню), взрослые (уровень 5) |
34,21000 |
480 850,30 |
480 850,30 |
480 850,30 |
14 039,33 |
1,00000 |
1,00000 |
1,00000 |
1,00000 |
||||||||||||||||||||||||||||||||||||||||||||||||||
1,28000 |
1 |
1 |
2 |
ds19.076 |
1.1.2.2.19.76 |
ЗНО лимфоидной и кроветворной тканей, лекарственная терапия с применением отдельных препаратов (по перечню), взрослые (уровень 6) |
35,00000 |
493 522,88 |
493 522,88 |
493 522,88 |
14 039,33 |
1,00000 |
1,00000 |
1,00000 |
1,00000 |
||||||||||||||||||||||||||||||||||||||||||||||||||
1,28000 |
1 |
1 |
2 |
ds19.077 |
1.1.2.2.19.77 |
ЗНО лимфоидной и кроветворной тканей, лекарственная терапия с применением отдельных препаратов (по перечню), взрослые (уровень 7) |
37,10000 |
527 217,79 |
527 217,79 |
527 217,79 |
14 039,33 |
1,00000 |
1,00000 |
1,00000 |
1,00000 |
||||||||||||||||||||||||||||||||||||||||||||||||||
1,28000 |
1 |
1 |
2 |
ds19.078 |
1.1.2.2.19.78 |
ЗНО лимфоидной и кроветворной тканей, лекарственная терапия с применением отдельных препаратов (по перечню), взрослые (уровень 8) |
39,91000 |
572 311,49 |
572 311,49 |
572 311,49 |
14 039,33 |
1,00000 |
1,00000 |
1,00000 |
1,00000 |
||||||||||||||||||||||||||||||||||||||||||||||||||
1,28000 |
1 |
1 |
2 |
ds19.079 |
1.1.2.2.19.79 |
Лучевые повреждения |
2,62000 |
47 082,30 |
47 082,30 |
47 082,30 |
14 039,33 |
1,00000 |
1,00000 |
1,00000 |
1,00000 |
||||||||||||||||||||||||||||||||||||||||||||||||||
1,28000 |
1 |
1 |
2 |
ds19.080 |
1.1.2.1.19.80 |
Лекарственная терапия при злокачественных новообразованиях (кроме лимфоидной и кроветворной тканей), взрослые (уровень 1) |
0,49000 |
7 247,56 |
7 247,56 |
7 247,56 |
14 039,33 |
1,00000 |
1,00000 |
1,00000 |
1,00000 |
||||||||||||||||||||||||||||||||||||||||||||||||||
1,28000 |
1 |
1 |
2 |
ds19.081 |
1.1.2.1.19.81 |
Лекарственная терапия при злокачественных новообразованиях (кроме лимфоидной и кроветворной тканей), взрослые (уровень 2) |
1,41000 |
20 282,66 |
20 282,66 |
20 282,66 |
14 039,33 |
1,00000 |
1,00000 |
1,00000 |
1,00000 |
||||||||||||||||||||||||||||||||||||||||||||||||||
1,28000 |
1 |
1 |
2 |
ds19.082 |
1.1.2.1.19.82 |
Лекарственная терапия при злокачественных новообразованиях (кроме лимфоидной и кроветворной тканей), взрослые (уровень 3) |
2,03000 |
30 565,85 |
30 565,85 |
30 565,85 |
14 039,33 |
1,00000 |
1,00000 |
1,00000 |
1,00000 |
||||||||||||||||||||||||||||||||||||||||||||||||||
1,28000 |
1 |
1 |
2 |
ds19.083 |
1.1.2.1.19.83 |
Лекарственная терапия при злокачественных новообразованиях (кроме лимфоидной и кроветворной тканей), взрослые (уровень 4) |
2,63000 |
39 353,00 |
39 353,00 |
39 353,00 |
14 039,33 |
1,00000 |
1,00000 |
1,00000 |
1,00000 |
||||||||||||||||||||||||||||||||||||||||||||||||||
1,28000 |
1 |
1 |
2 |
ds19.084 |
1.1.2.1.19.84 |
Лекарственная терапия при злокачественных новообразованиях (кроме лимфоидной и кроветворной тканей), взрослые (уровень 5) |
4,19000 |
59 341,98 |
59 341,98 |
59 341,98 |
14 039,33 |
1,00000 |
1,00000 |
1,00000 |
1,00000 |
||||||||||||||||||||||||||||||||||||||||||||||||||
1,28000 |
1 |
1 |
2 |
ds19.085 |
1.1.2.1.19.85 |
Лекарственная терапия при злокачественных новообразованиях (кроме лимфоидной и кроветворной тканей), взрослые (уровень 6) |
4,93000 |
69 609,25 |
69 609,25 |
69 609,25 |
14 039,33 |
1,00000 |
1,00000 |
1,00000 |
1,00000 |
||||||||||||||||||||||||||||||||||||||||||||||||||
1,28000 |
1 |
1 |
2 |
ds19.086 |
1.1.2.1.19.86 |
Лекарственная терапия при злокачественных новообразованиях (кроме лимфоидной и кроветворной тканей), взрослые (уровень 7) |
5,87000 |
83 931,51 |
83 931,51 |
83 931,51 |
14 039,33 |
1,00000 |
1,00000 |
1,00000 |
1,00000 |
||||||||||||||||||||||||||||||||||||||||||||||||||
1,28000 |
1 |
1 |
2 |
ds19.087 |
1.1.2.1.19.87 |
Лекарственная терапия при злокачественных новообразованиях (кроме лимфоидной и кроветворной тканей), взрослые (уровень 8) |
7,66000 |
110 871,61 |
110 871,61 |
110 871,61 |
14 039,33 |
1,00000 |
1,00000 |
1,00000 |
1,00000 |
||||||||||||||||||||||||||||||||||||||||||||||||||
1,28000 |
1 |
1 |
2 |
ds19.088 |
1.1.2.1.19.88 |
Лекарственная терапия при злокачественных новообразованиях (кроме лимфоидной и кроветворной тканей), взрослые (уровень 9) |
8,57000 |
125 397,33 |
125 397,33 |
125 397,33 |
14 039,33 |
1,00000 |
1,00000 |
1,00000 |
1,00000 |
||||||||||||||||||||||||||||||||||||||||||||||||||
1,28000 |
1 |
1 |
2 |
ds19.089 |
1.1.2.1.19.89 |
Лекарственная терапия при злокачественных новообразованиях (кроме лимфоидной и кроветворной тканей), взрослые (уровень 10) |
9,65000 |
141 135,53 |
141 135,53 |
141 135,53 |
14 039,33 |
1,00000 |
1,00000 |
1,00000 |
1,00000 |
||||||||||||||||||||||||||||||||||||||||||||||||||
1,28000 |
1 |
1 |
2 |
ds19.090 |
1.1.2.1.19.90 |
Лекарственная терапия при злокачественных новообразованиях (кроме лимфоидной и кроветворной тканей), взрослые (уровень 11) |
10,57000 |
157 682,32 |
157 682,32 |
157 682,32 |
14 039,33 |
1,00000 |
1,00000 |
1,00000 |
1,00000 |
||||||||||||||||||||||||||||||||||||||||||||||||||
1,28000 |
1 |
1 |
2 |
ds19.091 |
1.1.2.1.19.91 |
Лекарственная терапия при злокачественных новообразованиях (кроме лимфоидной и кроветворной тканей), взрослые (уровень 12) |
13,50000 |
194 832,51 |
194 832,51 |
194 832,51 |
14 039,33 |
1,00000 |
1,00000 |
1,00000 |
1,00000 |
||||||||||||||||||||||||||||||||||||||||||||||||||
1,28000 |
1 |
1 |
2 |
ds19.092 |
1.1.2.1.19.92 |
Лекарственная терапия при злокачественных новообразованиях (кроме лимфоидной и кроветворной тканей), взрослые (уровень 13) |
16,03000 |
230 400,36 |
230 400,36 |
230 400,36 |
14 039,33 |
1,00000 |
1,00000 |
1,00000 |
1,00000 |
||||||||||||||||||||||||||||||||||||||||||||||||||
1,28000 |
1 |
1 |
2 |
ds19.093 |
1.1.2.1.19.93 |
Лекарственная терапия при злокачественных новообразованиях (кроме лимфоидной и кроветворной тканей), взрослые (уровень 14) |
20,54000 |
292 921,74 |
292 921,74 |
292 921,74 |
14 039,33 |
1,00000 |
1,00000 |
1,00000 |
1,00000 |
||||||||||||||||||||||||||||||||||||||||||||||||||
1,28000 |
1 |
1 |
2 |
ds19.094 |
1.1.2.1.19.94 |
Лекарственная терапия при злокачественных новообразованиях (кроме лимфоидной и кроветворной тканей), взрослые (уровень 15) |
27,22000 |
385 168,02 |
385 168,02 |
385 168,02 |
14 039,33 |
1,00000 |
1,00000 |
1,00000 |
1,00000 |
||||||||||||||||||||||||||||||||||||||||||||||||||
1,28000 |
1 |
1 |
2 |
ds19.095 |
1.1.2.1.19.95 |
Лекарственная терапия при злокачественных новообразованиях (кроме лимфоидной и кроветворной тканей), взрослые (уровень 16) |
34,01000 |
485 285,33 |
485 285,33 |
485 285,33 |
14 039,33 |
1,00000 |
1,00000 |
1,00000 |
1,00000 |
||||||||||||||||||||||||||||||||||||||||||||||||||
1,28000 |
1 |
1 |
2 |
ds19.096 |
1.1.2.1.19.96 |
Лекарственная терапия при злокачественных новообразованиях (кроме лимфоидной и кроветворной тканей), взрослые (уровень 17) |
56,65000 |
795 840,24 |
795 840,24 |
795 840,24 |
14 039,33 |
1,00000 |
1,00000 |
1,00000 |
1,00000 |
||||||||||||||||||||||||||||||||||||||||||||||||||
1,28000 |
1 |
1 |
2 |
ds20.001 |
1.1.2.1.20.1 |
Болезни уха, горла, носа |
0,74000 |
12 274,10 |
12 274,10 |
12 274,10 |
14 039,33 |
1,00000 |
1,00000 |
1,00000 |
0,92300 |
||||||||||||||||||||||||||||||||||||||||||||||||||
1,28000 |
1 |
1 |
2 |
ds20.002 |
1.1.2.2.20.2 |
Операции на органе слуха, придаточных пазухах носа и верхних дыхательных путях (уровень 1) |
1,12000 |
18 577,02 |
18 577,02 |
18 577,02 |
14 039,33 |
1,00000 |
1,00000 |
1,00000 |
0,92300 |
||||||||||||||||||||||||||||||||||||||||||||||||||
1,28000 |
1 |
1 |
2 |
ds20.003 |
1.1.2.2.20.3 |
Операции на органе слуха, придаточных пазухах носа и верхних дыхательных путях (уровень 2) |
1,66000 |
27 533,80 |
27 533,80 |
27 533,80 |
14 039,33 |
1,00000 |
1,00000 |
1,00000 |
0,92300 |
||||||||||||||||||||||||||||||||||||||||||||||||||
1,28000 |
1 |
1 |
2 |
ds20.004 |
1.1.2.2.20.4 |
Операции на органе слуха, придаточных пазухах носа и верхних дыхательных путях (уровень 3) |
2,00000 |
33 173,25 |
33 173,25 |
33 173,25 |
14 039,33 |
1,00000 |
1,00000 |
1,00000 |
0,92300 |
||||||||||||||||||||||||||||||||||||||||||||||||||
1,28000 |
1 |
1 |
2 |
ds20.005 |
1.1.2.2.20.5 |
Операции на органе слуха, придаточных пазухах носа и верхних дыхательных путях (уровень 4) |
2,46000 |
40 803,10 |
40 803,10 |
40 803,10 |
14 039,33 |
1,00000 |
1,00000 |
1,00000 |
0,92300 |
||||||||||||||||||||||||||||||||||||||||||||||||||
1,28000 |
1 |
1 |
2 |
ds20.006 |
1.1.2.3.20.6 |
Замена речевого процессора |
51,86000 |
728 383,49 |
728 383,49 |
728 383,49 |
14 039,33 |
1,00000 |
1,00000 |
1,00000 |
0,92300 |
||||||||||||||||||||||||||||||||||||||||||||||||||
1,28000 |
1 |
1 |
2 |
ds21.001 |
1.1.2.1.21.1 |
Болезни и травмы глаза |
0,39000 |
6 468,78 |
6 468,78 |
6 468,78 |
14 039,33 |
1,00000 |
1,00000 |
1,00000 |
0,92300 |
||||||||||||||||||||||||||||||||||||||||||||||||||
1,28000 |
1 |
1 |
2 |
ds21.002 |
1.1.2.2.21.2 |
Операции на органе зрения (уровень 1) |
0,67000 |
11 113,04 |
11 113,04 |
11 113,04 |
14 039,33 |
1,00000 |
1,00000 |
1,00000 |
0,92300 |
||||||||||||||||||||||||||||||||||||||||||||||||||
1,28000 |
1 |
1 |
2 |
ds21.003 |
1.1.2.2.21.3 |
Операции на органе зрения (уровень 2) |
1,09000 |
18 079,42 |
18 079,42 |
18 079,42 |
14 039,33 |
1,00000 |
1,00000 |
1,00000 |
0,92300 |
||||||||||||||||||||||||||||||||||||||||||||||||||
1,28000 |
1 |
1 |
2 |
ds21.004 |
1.1.2.2.21.4 |
Операции на органе зрения (уровень 3) |
1,62000 |
26 870,33 |
26 870,33 |
26 870,33 |
14 039,33 |
1,00000 |
1,00000 |
1,00000 |
0,92300 |
||||||||||||||||||||||||||||||||||||||||||||||||||
1,28000 |
1 |
1 |
2 |
ds21.005 |
1.1.2.2.21.5 |
Операции на органе зрения (уровень 4) |
2,01000 |
33 339,12 |
33 339,12 |
33 339,12 |
14 039,33 |
1,00000 |
1,00000 |
1,00000 |
0,92300 |
||||||||||||||||||||||||||||||||||||||||||||||||||
1,28000 |
1 |
1 |
2 |
ds21.006 |
1.1.2.2.21.6 |
Операции на органе зрения (уровень 5) |
3,50000 |
58 053,19 |
58 053,19 |
58 053,19 |
14 039,33 |
1,00000 |
1,00000 |
1,00000 |
0,92300 |
||||||||||||||||||||||||||||||||||||||||||||||||||
1,28000 |
1 |
1 |
2 |
ds22.001 |
1.1.2.1.22.1 |
Системные поражения соединительной ткани, артропатии, спондилопатии, дети |
2,31000 |
38 315,11 |
38 315,11 |
38 315,11 |
14 039,33 |
1,00000 |
1,00000 |
1,00000 |
0,92300 |
||||||||||||||||||||||||||||||||||||||||||||||||||
1,28000 |
1 |
1 |
2 |
ds22.002 |
1.1.2.1.22.2 |
Болезни органов пищеварения, дети |
0,89000 |
14 762,10 |
14 762,10 |
14 762,10 |
14 039,33 |
1,00000 |
1,00000 |
1,00000 |
0,92300 |
||||||||||||||||||||||||||||||||||||||||||||||||||
1,28000 |
1 |
1 |
2 |
ds23.001 |
1.1.2.1.23.1 |
Болезни органов дыхания |
0,90000 |
14 927,96 |
14 927,96 |
14 927,96 |
14 039,33 |
1,00000 |
1,00000 |
1,00000 |
0,92300 |
||||||||||||||||||||||||||||||||||||||||||||||||||
1,28000 |
1 |
1 |
2 |
ds24.001 |
1.1.2.1.24.1 |
Системные поражения соединительной ткани, артропатии, спондилопатии, взрослые |
1,46000 |
24 216,47 |
24 216,47 |
24 216,47 |
14 039,33 |
1,00000 |
1,00000 |
1,00000 |
0,92300 |
||||||||||||||||||||||||||||||||||||||||||||||||||
1,28000 |
1 |
1 |
2 |
ds25.001 |
1.1.2.2.25.1 |
Диагностическое обследование сердечно-сосудистой системы |
1,84000 |
30 519,39 |
30 519,39 |
30 519,39 |
14 039,33 |
1,00000 |
1,00000 |
1,00000 |
0,92300 |
||||||||||||||||||||||||||||||||||||||||||||||||||
1,28000 |
1 |
1 |
2 |
ds25.002 |
1.1.2.2.25.2 |
Операции на сосудах (уровень 1) |
2,18000 |
36 158,84 |
36 158,84 |
36 158,84 |
14 039,33 |
1,00000 |
1,00000 |
1,00000 |
0,92300 |
||||||||||||||||||||||||||||||||||||||||||||||||||
1,28000 |
1 |
1 |
2 |
ds25.003 |
1.1.2.2.25.3 |
Операции на сосудах (уровень 2) |
4,31000 |
71 488,36 |
71 488,36 |
71 488,36 |
14 039,33 |
1,00000 |
1,00000 |
1,00000 |
0,92300 |
||||||||||||||||||||||||||||||||||||||||||||||||||
1,28000 |
1 |
1 |
2 |
ds26.001 |
1.1.2.1.26.1 |
Болезни полости рта, слюнных желез и челюстей, врожденные аномалии лица и шеи, дети |
0,98000 |
16 254,89 |
16 254,89 |
16 254,89 |
14 039,33 |
1,00000 |
1,00000 |
1,00000 |
0,92300 |
||||||||||||||||||||||||||||||||||||||||||||||||||
1,28000 |
1 |
1 |
2 |
ds27.001 |
1.1.2.1.27.1 |
Отравления и другие воздействия внешних причин |
0,74000 |
12 274,10 |
12 274,10 |
12 274,10 |
14 039,33 |
1,00000 |
1,00000 |
1,00000 |
0,92300 |
||||||||||||||||||||||||||||||||||||||||||||||||||
1,28000 |
1 |
1 |
2 |
ds28.001 |
1.1.2.2.28.1 |
Операции на нижних дыхательных путях и легочной ткани, органах средостения |
1,32000 |
21 894,35 |
21 894,35 |
21 894,35 |
14 039,33 |
1,00000 |
1,00000 |
1,00000 |
0,92300 |
||||||||||||||||||||||||||||||||||||||||||||||||||
1,28000 |
1 |
1 |
2 |
ds29.001 |
1.1.2.2.29.1 |
Операции на костно-мышечной системе и суставах (уровень 1) |
1,44000 |
23 884,74 |
23 884,74 |
23 884,74 |
14 039,33 |
1,00000 |
1,00000 |
1,00000 |
0,92300 |
||||||||||||||||||||||||||||||||||||||||||||||||||
1,28000 |
1 |
1 |
2 |
ds29.002 |
1.1.2.2.29.2 |
Операции на костно-мышечной системе и суставах (уровень 2) |
1,69000 |
28 031,40 |
28 031,40 |
28 031,40 |
14 039,33 |
1,00000 |
1,00000 |
1,00000 |
0,92300 |
||||||||||||||||||||||||||||||||||||||||||||||||||
1,28000 |
1 |
1 |
2 |
ds29.003 |
1.1.2.2.29.3 |
Операции на костно-мышечной системе и суставах (уровень 3) |
2,49000 |
41 300,70 |
41 300,70 |
41 300,70 |
14 039,33 |
1,00000 |
1,00000 |
1,00000 |
0,92300 |
||||||||||||||||||||||||||||||||||||||||||||||||||
1,28000 |
1 |
1 |
2 |
ds29.004 |
1.1.2.1.29.4 |
Заболевания опорно-двигательного аппарата, травмы, болезни мягких тканей |
1,05000 |
17 415,96 |
17 415,96 |
17 415,96 |
14 039,33 |
1,00000 |
1,00000 |
1,00000 |
0,92300 |
||||||||||||||||||||||||||||||||||||||||||||||||||
1,28000 |
1 |
1 |
2 |
ds30.001 |
1.1.2.1.30.1 |
Болезни, врожденные аномалии, повреждения мочевой системы и мужских половых органов |
0,80000 |
13 269,30 |
13 269,30 |
13 269,30 |
14 039,33 |
1,00000 |
1,00000 |
1,00000 |
0,92300 |
||||||||||||||||||||||||||||||||||||||||||||||||||
1,28000 |
1 |
1 |
2 |
ds30.002 |
1.1.2.2.30.2 |
Операции на мужских половых органах, взрослые (уровень 1) |
2,18000 |
36 158,84 |
36 158,84 |
36 158,84 |
14 039,33 |
1,00000 |
1,00000 |
1,00000 |
0,92300 |
||||||||||||||||||||||||||||||||||||||||||||||||||
1,28000 |
1 |
1 |
2 |
ds30.003 |
1.1.2.2.30.3 |
Операции на мужских половых органах, взрослые (уровень 2) |
2,58000 |
42 793,50 |
42 793,50 |
42 793,50 |
14 039,33 |
1,00000 |
1,00000 |
1,00000 |
0,92300 |
||||||||||||||||||||||||||||||||||||||||||||||||||
1,28000 |
1 |
1 |
2 |
ds30.004 |
1.1.2.2.30.4 |
Операции на почке и мочевыделительной системе, взрослые (уровень 1) |
1,97000 |
32 675,65 |
32 675,65 |
32 675,65 |
14 039,33 |
1,00000 |
1,00000 |
1,00000 |
0,92300 |
||||||||||||||||||||||||||||||||||||||||||||||||||
1,28000 |
1 |
1 |
2 |
ds30.005 |
1.1.2.2.30.5 |
Операции на почке и мочевыделительной системе, взрослые (уровень 2) |
2,04000 |
33 836,72 |
33 836,72 |
33 836,72 |
14 039,33 |
1,00000 |
1,00000 |
1,00000 |
0,92300 |
||||||||||||||||||||||||||||||||||||||||||||||||||
1,28000 |
1 |
1 |
2 |
ds30.006 |
1.1.2.2.30.6 |
Операции на почке и мочевыделительной системе, взрослые (уровень 3) |
2,95000 |
48 930,55 |
48 930,55 |
48 930,55 |
14 039,33 |
1,00000 |
1,00000 |
1,00000 |
0,92300 |
||||||||||||||||||||||||||||||||||||||||||||||||||
1,28000 |
1 |
1 |
2 |
ds31.001 |
1.1.2.1.31.1 |
Болезни, новообразования молочной железы |
0,89000 |
14 762,10 |
14 762,10 |
14 762,10 |
14 039,33 |
1,00000 |
1,00000 |
1,00000 |
0,92300 |
||||||||||||||||||||||||||||||||||||||||||||||||||
1,28000 |
1 |
1 |
2 |
ds31.002 |
1.1.2.2.31.2 |
Операции на коже, подкожной клетчатке, придатках кожи (уровень 1) |
0,75000 |
12 439,97 |
12 439,97 |
12 439,97 |
14 039,33 |
1,00000 |
1,00000 |
1,00000 |
0,92300 |
||||||||||||||||||||||||||||||||||||||||||||||||||
1,28000 |
1 |
1 |
2 |
ds31.003 |
1.1.2.2.31.3 |
Операции на коже, подкожной клетчатке, придатках кожи (уровень 2) |
1,00000 |
16 586,63 |
16 586,63 |
16 586,63 |
14 039,33 |
1,00000 |
1,00000 |
1,00000 |
0,92300 |
||||||||||||||||||||||||||||||||||||||||||||||||||
1,28000 |
1 |
1 |
2 |
ds31.004 |
1.1.2.2.31.4 |
Операции на коже, подкожной клетчатке, придатках кожи (уровень 3) |
4,34000 |
71 985,96 |
71 985,96 |
71 985,96 |
14 039,33 |
1,00000 |
1,00000 |
1,00000 |
0,92300 |
||||||||||||||||||||||||||||||||||||||||||||||||||
1,28000 |
1 |
1 |
2 |
ds31.005 |
1.1.2.2.31.5 |
Операции на органах кроветворения и иммунной системы |
1,29000 |
21 396,75 |
21 396,75 |
21 396,75 |
14 039,33 |
1,00000 |
1,00000 |
1,00000 |
0,92300 |
||||||||||||||||||||||||||||||||||||||||||||||||||
1,28000 |
1 |
1 |
2 |
ds31.006 |
1.1.2.2.31.6 |
Операции на молочной железе |
2,60000 |
43 125,23 |
43 125,23 |
43 125,23 |
14 039,33 |
1,00000 |
1,00000 |
1,00000 |
0,92300 |
||||||||||||||||||||||||||||||||||||||||||||||||||
1,28000 |
1 |
1 |
2 |
ds32.001 |
1.1.2.2.32.1 |
Операции на пищеводе, желудке, двенадцатиперстной кишке (уровень 1) |
2,11000 |
34 997,78 |
34 997,78 |
34 997,78 |
14 039,33 |
1,00000 |
1,00000 |
1,00000 |
0,92300 |
||||||||||||||||||||||||||||||||||||||||||||||||||
1,28000 |
1 |
1 |
2 |
ds32.002 |
1.1.2.2.32.2 |
Операции на пищеводе, желудке, двенадцатиперстной кишке (уровень 2) |
3,55000 |
58 882,52 |
58 882,52 |
58 882,52 |
14 039,33 |
1,00000 |
1,00000 |
1,00000 |
0,92300 |
||||||||||||||||||||||||||||||||||||||||||||||||||
1,28000 |
1 |
1 |
2 |
ds32.003 |
1.1.2.2.32.3 |
Операции по поводу грыж, взрослые (уровень 1) |
1,57000 |
26 041,00 |
26 041,00 |
26 041,00 |
14 039,33 |
1,00000 |
1,00000 |
1,00000 |
0,92300 |
||||||||||||||||||||||||||||||||||||||||||||||||||
1,28000 |
1 |
1 |
2 |
ds32.004 |
1.1.2.2.32.4 |
Операции по поводу грыж, взрослые (уровень 2) |
2,26000 |
37 485,77 |
37 485,77 |
37 485,77 |
14 039,33 |
1,00000 |
1,00000 |
1,00000 |
0,92300 |
||||||||||||||||||||||||||||||||||||||||||||||||||
1,28000 |
1 |
1 |
2 |
ds32.005 |
1.1.2.2.32.5 |
Операции по поводу грыж, взрослые (уровень 3) |
3,24000 |
53 740,67 |
53 740,67 |
53 740,67 |
14 039,33 |
1,00000 |
1,00000 |
1,00000 |
0,92300 |
||||||||||||||||||||||||||||||||||||||||||||||||||
1,28000 |
1 |
1 |
2 |
ds32.006 |
1.1.2.2.32.6 |
Операции на желчном пузыре и желчевыводящих путях |
1,70000 |
28 197,26 |
28 197,26 |
28 197,26 |
14 039,33 |
1,00000 |
1,00000 |
1,00000 |
0,92300 |
||||||||||||||||||||||||||||||||||||||||||||||||||
1,28000 |
1 |
1 |
2 |
ds32.007 |
1.1.2.2.32.7 |
Другие операции на органах брюшной полости (уровень 1) |
2,06000 |
34 168,45 |
34 168,45 |
34 168,45 |
14 039,33 |
1,00000 |
1,00000 |
1,00000 |
0,92300 |
||||||||||||||||||||||||||||||||||||||||||||||||||
1,28000 |
1 |
1 |
2 |
ds32.008 |
1.1.2.2.32.8 |
Другие операции на органах брюшной полости (уровень 2) |
2,17000 |
35 992,98 |
35 992,98 |
35 992,98 |
14 039,33 |
1,00000 |
1,00000 |
1,00000 |
0,92300 |
||||||||||||||||||||||||||||||||||||||||||||||||||
1,28000 |
1 |
1 |
2 |
ds33.001 |
1.1.2.1.33.1 |
Ожоги и отморожения |
1,10000 |
18 245,29 |
18 245,29 |
18 245,29 |
14 039,33 |
1,00000 |
1,00000 |
1,00000 |
0,92300 |
||||||||||||||||||||||||||||||||||||||||||||||||||
1,28000 |
1 |
1 |
2 |
ds34.001 |
1.1.2.1.34.1 |
Болезни полости рта, слюнных желез и челюстей, врожденные аномалии лица и шеи, взрослые |
0,88000 |
14 596,23 |
14 596,23 |
14 596,23 |
14 039,33 |
1,00000 |
1,00000 |
1,00000 |
0,92300 |
||||||||||||||||||||||||||||||||||||||||||||||||||
1,28000 |
1 |
1 |
2 |
ds34.002 |
1.1.2.2.34.2 |
Операции на органах полости рта (уровень 1) |
0,92000 |
15 259,70 |
15 259,70 |
15 259,70 |
14 039,33 |
1,00000 |
1,00000 |
1,00000 |
0,92300 |
||||||||||||||||||||||||||||||||||||||||||||||||||
1,28000 |
1 |
1 |
2 |
ds34.003 |
1.1.2.2.34.3 |
Операции на органах полости рта (уровень 2) |
1,56000 |
25 875,14 |
25 875,14 |
25 875,14 |
14 039,33 |
1,00000 |
1,00000 |
1,00000 |
0,92300 |
||||||||||||||||||||||||||||||||||||||||||||||||||
1,28000 |
1 |
1 |
2 |
ds35.001 |
1.1.2.1.35.1 |
Сахарный диабет, взрослые |
1,08000 |
17 913,56 |
17 913,56 |
17 913,56 |
14 039,33 |
1,00000 |
1,00000 |
1,00000 |
0,92300 |
||||||||||||||||||||||||||||||||||||||||||||||||||
1,28000 |
1 |
1 |
2 |
ds35.002 |
1.1.2.1.35.2 |
Другие болезни эндокринной системы, новообразования эндокринных желез доброкачественные, in situ, неопределенного и неизвестного характера, расстройства питания, другие нарушения обмена веществ |
1,41000 |
23 387,14 |
23 387,14 |
23 387,14 |
14 039,33 |
1,00000 |
1,00000 |
1,00000 |
0,92300 |
||||||||||||||||||||||||||||||||||||||||||||||||||
1,28000 |
1 |
1 |
2 |
ds35.003 |
1.1.2.1.35.3 |
Кистозный фиброз |
2,58000 |
42 793,50 |
42 793,50 |
42 793,50 |
14 039,33 |
1,00000 |
1,00000 |
1,00000 |
0,92300 |
||||||||||||||||||||||||||||||||||||||||||||||||||
1,28000 |
1 |
1 |
2 |
ds35.004 |
1.1.2.1.35.4 |
Лечение кистозного фиброза с применением ингаляционной антибактериальной терапии |
12,27000 |
203 517,90 |
203 517,90 |
203 517,90 |
14 039,33 |
1,00000 |
1,00000 |
1,00000 |
0,92300 |
||||||||||||||||||||||||||||||||||||||||||||||||||
1,28000 |
1 |
1 |
2 |
ds36.001 |
1.1.2.3.36.1 |
Комплексное лечение с применением препаратов иммуноглобулина |
7,86000 |
130 370,88 |
130 370,88 |
130 370,88 |
14 039,33 |
1,00000 |
1,00000 |
1,00000 |
0,92300 |
||||||||||||||||||||||||||||||||||||||||||||||||||
1,28000 |
1 |
1 |
2 |
ds36.002 |
1.1.2.1.36.2 |
Факторы, влияющие на состояние здоровья населения и обращения в учреждения здравоохранения |
0,56000 |
9 288,51 |
9 288,51 |
9 288,51 |
14 039,33 |
1,00000 |
1,00000 |
1,00000 |
0,92300 |
||||||||||||||||||||||||||||||||||||||||||||||||||
1,28000 |
1 |
1 |
2 |
ds36.003 |
1.1.2.1.36.3 |
Госпитализация в дневной стационар в диагностических целях с постановкой диагноза туберкулеза, ВИЧ-инфекции, психического заболевания |
0,46000 |
7 629,85 |
7 629,85 |
7 629,85 |
14 039,33 |
1,00000 |
1,00000 |
1,00000 |
0,92300 |
||||||||||||||||||||||||||||||||||||||||||||||||||
1,28000 |
1 |
1 |
2 |
ds36.005 |
1.1.2.1.36.5 |
Отторжение, отмирание трансплантата органов и тканей |
7,40000 |
122 741,03 |
122 741,03 |
122 741,03 |
14 039,33 |
1,00000 |
1,00000 |
1,00000 |
0,92300 |
||||||||||||||||||||||||||||||||||||||||||||||||||
1,28000 |
1 |
1 |
2 |
ds36.006 |
1.1.2.1.36.6 |
Злокачественное новообразование без специального противоопухолевого лечения |
0,40000 |
6 634,65 |
6 634,65 |
6 634,65 |
14 039,33 |
1,00000 |
1,00000 |
1,00000 |
0,92300 |
||||||||||||||||||||||||||||||||||||||||||||||||||
1,28000 |
1 |
1 |
2 |
ds36.007 |
1.1.2.1.36.7 |
Проведение иммунизации против респираторно-синцитиальной вирусной инфекции |
4,23000 |
59 583,55 |
59 583,55 |
59 583,55 |
14 039,33 |
1,00000 |
1,00000 |
1,00000 |
0,92300 |
||||||||||||||||||||||||||||||||||||||||||||||||||
1,28000 |
1 |
1 |
2 |
ds36.008 |
1.1.2.1.36.8 |
Лечение с применением генно-инженерных биологических препаратов и селективных иммунодепрессантов (уровень 1) |
1,29000 |
18 302,97 |
18 302,97 |
18 302,97 |
14 039,33 |
1,00000 |
1,00000 |
1,00000 |
0,92300 |
||||||||||||||||||||||||||||||||||||||||||||||||||
1,28000 |
1 |
1 |
2 |
ds36.009 |
1.1.2.1.36.9 |
Лечение с применением генно-инженерных биологических препаратов и селективных иммунодепрессантов (уровень 2) |
3,23000 |
45 793,80 |
45 793,80 |
45 793,80 |
14 039,33 |
1,00000 |
1,00000 |
1,00000 |
0,92300 |
||||||||||||||||||||||||||||||||||||||||||||||||||
1,28000 |
1 |
1 |
2 |
ds36.010 |
1.1.2.1.36.10 |
Лечение с применением генно-инженерных биологических препаратов и селективных иммунодепрессантов (уровень 3) |
8,93000 |
127 404,83 |
127 404,83 |
127 404,83 |
14 039,33 |
1,00000 |
1,00000 |
1,00000 |
0,92300 |
||||||||||||||||||||||||||||||||||||||||||||||||||
1,28000 |
1 |
1 |
2 |
ds37.001 |
1.1.2.4.37.1 |
Медицинская реабилитация пациентов с заболеваниями центральной нервной системы (2 балла по ШРМ) |
1,98000 |
32 841,52 |
32 841,52 |
32 841,52 |
14 039,33 |
1,00000 |
1,00000 |
1,00000 |
0,92300 |
||||||||||||||||||||||||||||||||||||||||||||||||||
1,28000 |
1 |
1 |
2 |
ds37.002 |
1.1.2.4.37.2 |
Медицинская реабилитация пациентов с заболеваниями центральной нервной системы (3 балла по ШРМ) |
2,31000 |
38 315,11 |
38 315,11 |
38 315,11 |
14 039,33 |
1,00000 |
1,00000 |
1,00000 |
0,92300 |
||||||||||||||||||||||||||||||||||||||||||||||||||
1,28000 |
1 |
1 |
2 |
ds37.003 |
1.1.2.4.37.3 |
Медицинская реабилитация пациентов с заболеваниями опорно-двигательного аппарата и периферической нервной системы (2 балла по ШРМ) |
1,52000 |
25 211,67 |
25 211,67 |
25 211,67 |
14 039,33 |
1,00000 |
1,00000 |
1,00000 |
0,92300 |
||||||||||||||||||||||||||||||||||||||||||||||||||
1,28000 |
1 |
1 |
2 |
ds37.004 |
1.1.2.4.37.4 |
Медицинская реабилитация пациентов с заболеваниями опорно-двигательного аппарата и периферической нервной системы (3 балла по ШРМ) |
1,82000 |
30 187,66 |
30 187,66 |
30 187,66 |
14 039,33 |
1,00000 |
1,00000 |
1,00000 |
0,92300 |
||||||||||||||||||||||||||||||||||||||||||||||||||
1,28000 |
1 |
1 |
2 |
ds37.005 |
1.1.2.4.37.5 |
Медицинская кардиореабилитация (2 балла по ШРМ) |
1,39000 |
23 055,41 |
23 055,41 |
23 055,41 |
14 039,33 |
1,00000 |
1,00000 |
1,00000 |
0,92300 |
||||||||||||||||||||||||||||||||||||||||||||||||||
1,28000 |
1 |
1 |
2 |
ds37.006 |
1.1.2.4.37.6 |
Медицинская кардиореабилитация (3 балла по ШРМ) |
1,67000 |
27 699,67 |
27 699,67 |
27 699,67 |
14 039,33 |
1,00000 |
1,00000 |
1,00000 |
0,92300 |
||||||||||||||||||||||||||||||||||||||||||||||||||
1,28000 |
1 |
1 |
2 |
ds37.007 |
1.1.2.4.37.7 |
Медицинская реабилитация при других соматических заболеваниях (2 балла по ШРМ) |
0,85000 |
14 098,63 |
14 098,63 |
14 098,63 |
14 039,33 |
1,00000 |
1,00000 |
1,00000 |
0,92300 |
||||||||||||||||||||||||||||||||||||||||||||||||||
1,28000 |
1 |
1 |
2 |
ds37.008 |
1.1.2.4.37.8 |
Медицинская реабилитация при других соматических заболеваниях (3 балла по ШРМ) |
1,09000 |
18 079,42 |
18 079,42 |
18 079,42 |
14 039,33 |
1,00000 |
1,00000 |
1,00000 |
0,92300 |
||||||||||||||||||||||||||||||||||||||||||||||||||
1,28000 |
1 |
1 |
2 |
ds37.009 |
1.1.2.4.37.9 |
Медицинская реабилитация детей, перенесших заболевания перинатального периода |
1,50000 |
24 879,94 |
24 879,94 |
24 879,94 |
14 039,33 |
1,00000 |
1,00000 |
1,00000 |
0,92300 |
||||||||||||||||||||||||||||||||||||||||||||||||||
1,28000 |
1 |
1 |
2 |
ds37.010 |
1.1.2.4.37.10 |
Медицинская реабилитация детей с нарушениями слуха без замены речевого процессора системы кохлеарной имплантации |
1,80000 |
29 855,93 |
29 855,93 |
29 855,93 |
14 039,33 |
1,00000 |
1,00000 |
1,00000 |
0,92300 |
||||||||||||||||||||||||||||||||||||||||||||||||||
1,28000 |
1 |
1 |
2 |
ds37.011 |
1.1.2.4.37.11 |
Медицинская реабилитация детей с поражениями центральной нервной системы |
2,75000 |
45 613,22 |
45 613,22 |
45 613,22 |
14 039,33 |
1,00000 |
1,00000 |
1,00000 |
0,92300 |
||||||||||||||||||||||||||||||||||||||||||||||||||
1,28000 |
1 |
1 |
2 |
ds37.012 |
1.1.2.4.37.12 |
Медицинская реабилитация детей после хирургической коррекции врожденных пороков развития органов и систем |
2,35000 |
38 978,57 |
38 978,57 |
38 978,57 |
14 039,33 |
1,00000 |
1,00000 |
1,00000 |
0,92300 |
||||||||||||||||||||||||||||||||||||||||||||||||||
1,28000 |
1 |
1 |
2 |
ds37.013 |
1.1.2.4.37.13 |
Медицинская реабилитация после онкоортопедических операций |
1,76000 |
29 192,46 |
29 192,46 |
29 192,46 |
14 039,33 |
1,00000 |
1,00000 |
1,00000 |
0,92300 |
||||||||||||||||||||||||||||||||||||||||||||||||||
1,28000 |
1 |
1 |
2 |
ds37.014 |
1.1.2.4.37.14 |
Медицинская реабилитация по поводу постмастэктомического синдрома в онкологии |
1,51000 |
25 045,81 |
25 045,81 |
25 045,81 |
14 039,33 |
1,00000 |
1,00000 |
1,00000 |
0,92300 |
||||||||||||||||||||||||||||||||||||||||||||||||||
1,28000 |
1 |
1 |
2 |
ds37.015 |
1.1.2.4.37.15 |
Медицинская реабилитация после перенесенной коронавирусной инфекции COVID-19 (2 балла по ШРМ) |
1,00000 |
16 586,63 |
16 586,63 |
16 586,63 |
14 039,33 |
1,00000 |
1,00000 |
1,00000 |
0,92300 |
||||||||||||||||||||||||||||||||||||||||||||||||||
1,28000 |
1 |
1 |
2 |
ds37.016 |
1.1.2.4.37.16 |
Медицинская реабилитация после перенесенной коронавирусной инфекции COVID-19 (3 балла по ШРМ) |
1,40000 |
23 221,28 |
23 221,28 |
23 221,28 |
14 039,33 |
1,00000 |
1,00000 |
1,00000 |
0,92300 |
||||||||||||||||||||||||||||||||||||||||||||||||||
1,70000 |
1 |
1 |
3 |
|
1.1.3.169 |
Проведение молекулярно-генетического исследования при злокачественном новообразовании бронхов и легкого (C34) |
1,00000 |
23 207,48 |
23 207,48 |
23 207,48 |
13 651,46 |
1,00000 |
1,00000 |
1,00000 |
1,00000 |
||||||||||||||||||||||||||||||||||||||||||||||||||
1,70000 |
1 |
1 |
3 |
|
1.1.3.170 |
Проведение молекулярно-генетического исследования при злокачественном новообразовании кишечника (C18-С20) |
1,00000 |
23 350,50 |
23 350,50 |
23 350,50 |
13 735,59 |
1,00000 |
1,00000 |
1,00000 |
1,00000 |
||||||||||||||||||||||||||||||||||||||||||||||||||
1,70000 |
1 |
1 |
3 |
|
1.1.3.171 |
Проведение молекулярно-генетического исследования при злокачественном новообразовании кожи (меланома кожи C43) |
1,00000 |
10 264,50 |
10 264,50 |
10 264,50 |
6 037,94 |
1,00000 |
1,00000 |
1,00000 |
1,00000 |
||||||||||||||||||||||||||||||||||||||||||||||||||
1,70000 |
1 |
1 |
3 |
|
1.1.3.172 |
Проведение молекулярно-генетического исследования при злокачественном новообразовании поджелудочной железы (C25) |
1,00000 |
3 920,32 |
3 920,32 |
3 920,32 |
2 306,07 |
1,00000 |
1,00000 |
1,00000 |
1,00000 |
||||||||||||||||||||||||||||||||||||||||||||||||||
1,70000 |
1 |
1 |
3 |
|
1.1.3.173 |
Проведение молекулярно-генетического исследования при злокачественном новообразовании яичника (C56) |
1,00000 |
7 841,51 |
7 841,51 |
7 841,51 |
4 612,65 |
1,00000 |
1,00000 |
1,00000 |
1,00000 |
||||||||||||||||||||||||||||||||||||||||||||||||||
1,70000 |
1 |
1 |
3 |
|
1.1.3.174 |
Проведение молекулярно-генетического исследования при злокачественном новообразовании молочной железы (C50) |
1,00000 |
9 979,87 |
9 979,87 |
9 979,87 |
5 870,51 |
1,00000 |
1,00000 |
1,00000 |
1,00000 |
||||||||||||||||||||||||||||||||||||||||||||||||||
1,70000 |
1 |
1 |
3 |
|
1.1.3.175 |
Проведение молекулярно-генетического исследования при злокачественных новообразованиях лимфоидной и кроветворной тканей |
1,00000 |
14 704,95 |
14 704,95 |
14 704,95 |
8 649,97 |
1,00000 |
1,00000 |
1,00000 |
1,00000 |
||||||||||||||||||||||||||||||||||||||||||||||||||
1,70000 |
1 |
1 |
3 |
|
1.1.3.176 |
Молекулярно-биологическое исследование отделяемого из цервикального канала на вирус папилломы человека (Papilloma virus) |
1,00000 |
2 392,12 |
2 392,12 |
2 392,12 |
1 407,13 |
1,00000 |
1,00000 |
1,00000 |
1,00000 |
||||||||||||||||||||||||||||||||||||||||||||||||||
1,70000 |
1 |
1 |
3 |
|
1.1.3.182 |
Обращение (законченный случай) оказания амбулаторной помощи |
1,00000 |
1 314,56 |
1 314,56 |
1 314,56 |
773,27 |
1,00000 |
1,00000 |
1,00000 |
1,00000 |
||||||||||||||||||||||||||||||||||||||||||||||||||
1,70000 |
1 |
1 |
3 |
|
1.1.3.183 |
Врачебное посещение |
1,00000 |
359,53 |
359,53 |
359,53 |
211,49 |
1,00000 |
1,00000 |
1,00000 |
1,00000 |
||||||||||||||||||||||||||||||||||||||||||||||||||
1,70000 |
1 |
1 |
3 |
|
1.1.3.196 |
Посещение при оказании неотложной помощи (ФАП) |
1,00000 |
1 200,15 |
1 200,15 |
1 200,15 |
705,97 |
1,00000 |
1,00000 |
1,00000 |
1,00000 |
||||||||||||||||||||||||||||||||||||||||||||||||||
1,70000 |
1 |
1 |
2 |
|
1.1.2.22 |
Гемодиализ |
1,00000 |
3 600,14 |
3 600,14 |
3 600,14 |
3 158,02 |
1,00000 |
1,00000 |
1,00000 |
1,00000 |
||||||||||||||||||||||||||||||||||||||||||||||||||
1,70000 |
1 |
1 |
2 |
|
1.1.2.23 |
Перитонеальный диализ |
1,00000 |
2 756,78 |
2 756,78 |
2 756,78 |
2 494,82 |
1,00000 |
1,00000 |
1,00000 |
1,00000 |
||||||||||||||||||||||||||||||||||||||||||||||||||
1,70000 |
1 |
1 |
3 |
|
1.1.3.019 |
Проведение многосрезовой компьютерной томографии - ангиографии |
1,00000 |
10 030,31 |
10 030,31 |
10 030,31 |
5 900,18 |
1,00000 |
1,00000 |
1,00000 |
1,00000 |
||||||||||||||||||||||||||||||||||||||||||||||||||
1,70000 |
1 |
1 |
3 |
|
1.1.3.023 |
Проведение многосрезовой компьютерной томографии с болюсным контрастированием |
1,00000 |
9 897,45 |
9 897,45 |
9 897,45 |
5 822,03 |
1,00000 |
1,00000 |
1,00000 |
1,00000 |
||||||||||||||||||||||||||||||||||||||||||||||||||
1,70000 |
1 |
1 |
3 |
|
1.1.3.024 |
Проведение ядерно-магнитно-резонансной томографии |
1,00000 |
2 963,19 |
2 963,19 |
2 963,19 |
1 743,05 |
1,00000 |
1,00000 |
1,00000 |
1,00000 |
||||||||||||||||||||||||||||||||||||||||||||||||||
1,70000 |
1 |
1 |
3 |
|
1.1.3.025 |
Проведение ядерно-магнитно-резонансной томографии с контрастным усилением |
1,00000 |
12 474,80 |
12 474,80 |
12 474,80 |
7 338,12 |
1,00000 |
1,00000 |
1,00000 |
1,00000 |
||||||||||||||||||||||||||||||||||||||||||||||||||
1,70000 |
1 |
1 |
3 |
|
1.1.3.026 |
Проведение сцинтиграфии |
1,00000 |
2 654,19 |
2 654,19 |
2 654,19 |
1 561,29 |
1,00000 |
1,00000 |
1,00000 |
1,00000 |
||||||||||||||||||||||||||||||||||||||||||||||||||
1,70000 |
1 |
1 |
3 |
|
1.1.3.027 |
Проведение однофотонной эмиссионной компьютерной томографии |
1,00000 |
16 365,05 |
16 365,05 |
16 365,05 |
9 626,50 |
1,00000 |
1,00000 |
1,00000 |
1,00000 |
||||||||||||||||||||||||||||||||||||||||||||||||||
1,70000 |
1 |
1 |
3 |
|
1.1.3.028 |
Проведение позитронно-эмиссионной компьютерной томографии совмещенной с компьютерной томографией |
1,00000 |
70 691,70 |
70 691,70 |
70 691,70 |
41 583,35 |
1,00000 |
1,00000 |
1,00000 |
1,00000 |
||||||||||||||||||||||||||||||||||||||||||||||||||
1,70000 |
1 |
1 |
3 |
|
1.1.3.031 |
Обращение (законченный случай) оказания скринингового эндоскопического обследования |
1,00000 |
1 888,96 |
1 888,96 |
1 888,96 |
1 111,15 |
1,00000 |
1,00000 |
1,00000 |
1,00000 |
||||||||||||||||||||||||||||||||||||||||||||||||||
1,70000 |
1 |
1 |
3 |
|
1.1.3.049 |
Проведение общеклинического, в том числе гематологического, исследования |
1,00000 |
77,03 |
77,03 |
77,03 |
45,31 |
1,00000 |
1,00000 |
1,00000 |
1,00000 |
||||||||||||||||||||||||||||||||||||||||||||||||||
1,70000 |
1 |
1 |
3 |
|
1.1.3.050 |
Проведение биохимического исследования |
1,00000 |
138,55 |
138,55 |
138,55 |
81,50 |
1,00000 |
1,00000 |
1,00000 |
1,00000 |
||||||||||||||||||||||||||||||||||||||||||||||||||
1,70000 |
1 |
1 |
3 |
|
1.1.3.051 |
Проведение коагулогического исследования |
1,00000 |
148,53 |
148,53 |
148,53 |
87,37 |
1,00000 |
1,00000 |
1,00000 |
1,00000 |
||||||||||||||||||||||||||||||||||||||||||||||||||
1,70000 |
1 |
1 |
3 |
|
1.1.3.052 |
Проведение иммунологического, в том числе иммуносерологического, иммунохимического исследования |
1,00000 |
224,60 |
224,60 |
224,60 |
132,12 |
1,00000 |
1,00000 |
1,00000 |
1,00000 |
||||||||||||||||||||||||||||||||||||||||||||||||||
1,70000 |
1 |
1 |
3 |
|
1.1.3.054 |
Проведение диагностического обследования призывников |
1,00000 |
2 463,84 |
2 463,84 |
2 463,84 |
1 449,32 |
1,00000 |
1,00000 |
1,00000 |
1,00000 |
||||||||||||||||||||||||||||||||||||||||||||||||||
1,70000 |
1 |
1 |
3 |
|
1.1.3.066 |
Проведение многосрезовой компьютерной томографии |
1,00000 |
3 384,65 |
3 384,65 |
3 384,65 |
1 990,97 |
1,00000 |
1,00000 |
1,00000 |
1,00000 |
||||||||||||||||||||||||||||||||||||||||||||||||||
1,70000 |
1 |
1 |
3 |
|
1.1.3.097 |
Проведение скринингового эндоскопического обследования органов желудочно-кишечного тракта |
1,00000 |
9 828,92 |
9 828,92 |
9 828,92 |
5 781,72 |
1,00000 |
1,00000 |
1,00000 |
1,00000 |
||||||||||||||||||||||||||||||||||||||||||||||||||
1,70000 |
1 |
1 |
3 |
|
1.1.3.132 |
Проведение цитологического исследования |
1,00000 |
445,38 |
445,38 |
445,38 |
261,99 |
1,00000 |
1,00000 |
1,00000 |
1,00000 |
||||||||||||||||||||||||||||||||||||||||||||||||||
1,70000 |
1 |
1 |
3 |
|
1.1.3.148 |
Проведение цитологического исследования (методом жидкостной цитологии) |
1,00000 |
1 260,91 |
1 260,91 |
1 260,91 |
741,71 |
1,00000 |
1,00000 |
1,00000 |
1,00000 |
||||||||||||||||||||||||||||||||||||||||||||||||||
1,70000 |
1 |
1 |
3 |
|
1.1.3.133 |
Обращение (законченный случай) проведения неполного цикла ЭКО (размораживание криоконсервированных эмбрионов с последующим переносом эмбрионов в полость матки) |
1,00000 |
40 573,66 |
40 573,66 |
40 573,66 |
23 866,86 |
1,00000 |
1,00000 |
1,00000 |
1,00000 |
||||||||||||||||||||||||||||||||||||||||||||||||||
1,70000 |
1 |
1 |
3 |
|
1.1.3.001 |
Обращение (законченный случай) оказания амбулаторной помощи |
1,00000 |
1 314,56 |
1 314,56 |
1 314,56 |
773,27 |
1,00000 |
1,00000 |
1,00000 |
1,00000 |
||||||||||||||||||||||||||||||||||||||||||||||||||
1,70000 |
1 |
1 |
3 |
|
1.1.3.138 |
Обращение (законченный случай) оказания амбулаторной помощи (специализированная ПМСП) |
1,00000 |
1 203,96 |
1 203,96 |
1 203,96 |
708,21 |
1,00000 |
1,00000 |
1,00000 |
1,00000 |
||||||||||||||||||||||||||||||||||||||||||||||||||
1,70000 |
1 |
1 |
3 |
|
1.1.3.004 |
Обращение (законченный случай) лечения в приемном отделении стационара |
1,00000 |
722,76 |
722,76 |
722,76 |
425,15 |
1,00000 |
1,00000 |
1,00000 |
1,00000 |
||||||||||||||||||||||||||||||||||||||||||||||||||
1,70000 |
1 |
1 |
3 |
|
1.1.3.008 |
Обращение (законченный случай) консультативной помощи при выездной форме работы |
1,00000 |
2 352,09 |
2 352,09 |
2 352,09 |
1 383,58 |
1,00000 |
1,00000 |
1,00000 |
1,00000 |
||||||||||||||||||||||||||||||||||||||||||||||||||
1,70000 |
1 |
1 |
3 |
|
1.1.3.017 |
Обращение (законченный случай) обследования и лечения в приемном отделении стационара (неврологическая и нейрохирургическая помощь) |
1,00000 |
3 961,95 |
3 961,95 |
3 961,95 |
2 330,56 |
1,00000 |
1,00000 |
1,00000 |
1,00000 |
||||||||||||||||||||||||||||||||||||||||||||||||||
1,70000 |
1 |
1 |
3 |
|
1.1.3.098 |
Обращение (законченный случай) амбулаторной урологии |
1,00000 |
18 959,88 |
18 959,88 |
18 959,88 |
11 152,87 |
1,00000 |
1,00000 |
1,00000 |
1,00000 |
||||||||||||||||||||||||||||||||||||||||||||||||||
1,70000 |
1 |
1 |
3 |
|
1.1.3.113 |
Обращение (законченный случай) оказания амбулаторной акушерско-гинекологической помощи |
1,00000 |
727,21 |
727,21 |
727,21 |
427,77 |
1,00000 |
1,00000 |
1,00000 |
1,00000 |
||||||||||||||||||||||||||||||||||||||||||||||||||
1,70000 |
1 |
1 |
3 |
|
1.1.3.010 |
Посещение при оказании неотложной помощи |
1,00000 |
1 200,15 |
1 200,15 |
1 200,15 |
705,97 |
1,00000 |
1,00000 |
1,00000 |
1,00000 |
||||||||||||||||||||||||||||||||||||||||||||||||||
1,70000 |
1 |
1 |
3 |
|
1.1.3.005 |
Врачебное посещение |
1,00000 |
359,53 |
359,53 |
359,53 |
211,49 |
1,00000 |
1,00000 |
1,00000 |
1,00000 |
||||||||||||||||||||||||||||||||||||||||||||||||||
1,70000 |
1 |
1 |
3 |
|
1.1.3.139 |
Врачебное посещение (специализированная ПМСП) |
1,00000 |
359,53 |
359,53 |
359,53 |
211,49 |
1,00000 |
1,00000 |
1,00000 |
1,00000 |
||||||||||||||||||||||||||||||||||||||||||||||||||
1,70000 |
1 |
1 |
3 |
|
1.1.3.137 |
УЕТ Центров здоровья |
1,00000 |
308,69 |
308,69 |
308,69 |
181,58 |
1,00000 |
1,00000 |
1,00000 |
1,00000 |
||||||||||||||||||||||||||||||||||||||||||||||||||
1,70000 |
1 |
1 |
3 |
|
1.1.3.009 |
Консультативный прием |
1,00000 |
810,88 |
810,88 |
810,88 |
476,99 |
1,00000 |
1,00000 |
1,00000 |
1,00000 |
||||||||||||||||||||||||||||||||||||||||||||||||||
1,70000 |
1 |
1 |
3 |
|
1.1.3.011 |
Обращение (законченный случай) экстренной иммунопрофилактики бешенства |
1,00000 |
4 851,73 |
4 851,73 |
4 851,73 |
2 853,96 |
1,00000 |
1,00000 |
1,00000 |
1,00000 |
||||||||||||||||||||||||||||||||||||||||||||||||||
1,70000 |
1 |
1 |
3 |
|
1.1.3.012 |
Проведение экстренной иммунопрофилактики клещевого вирусного энцефалита у детей |
1,00000 |
4 368,64 |
4 368,64 |
4 368,64 |
2 569,79 |
1,00000 |
1,00000 |
1,00000 |
1,00000 |
||||||||||||||||||||||||||||||||||||||||||||||||||
1,70000 |
1 |
1 |
3 |
|
1.1.3.013 |
Проведение экстренной иммунопрофилактики клещевого вирусного энцефалита у взрослых |
1,00000 |
11 268,65 |
11 268,65 |
11 268,65 |
6 628,62 |
1,00000 |
1,00000 |
1,00000 |
1,00000 |
||||||||||||||||||||||||||||||||||||||||||||||||||
1,70000 |
1 |
1 |
3 |
|
1.1.3.016 |
Обращение (законченный случай) комплексного обследования в Центре здоровья |
1,00000 |
2 216,31 |
2 216,31 |
2 216,31 |
1 303,71 |
1,00000 |
1,00000 |
1,00000 |
1,00000 |
||||||||||||||||||||||||||||||||||||||||||||||||||
1,70000 |
1 |
1 |
3 |
|
1.1.3.095 |
Обращение (законченный случай) при проведении профилактического медицинского осмотра несовершеннолетних |
1,00000 |
3 406,05 |
3 406,05 |
3 406,05 |
2 003,56 |
1,00000 |
1,00000 |
1,00000 |
1,00000 |
||||||||||||||||||||||||||||||||||||||||||||||||||
1,70000 |
1 |
1 |
3 |
|
1.1.3.105 |
Обращение (законченный случай) проведения диспансеризации взрослого населения 2 этап (мужчины) |
1,00000 |
1 936,42 |
1 936,42 |
1 936,42 |
1 139,07 |
1,00000 |
1,00000 |
1,00000 |
1,00000 |
||||||||||||||||||||||||||||||||||||||||||||||||||
1,70000 |
1 |
1 |
3 |
|
1.1.3.111 |
Обращение (законченный случай) проведения диспансеризации взрослого населения 2 этап (женщины) |
1,00000 |
2 200,87 |
2 200,87 |
2 200,87 |
1 294,63 |
1,00000 |
1,00000 |
1,00000 |
1,00000 |
||||||||||||||||||||||||||||||||||||||||||||||||||
1,70000 |
1 |
1 |
3 |
|
1.1.3.926 |
Подушевого норматива финансирования на прикрепившихся лиц с учетом показателей результативности деятельности медицинской организации |
1,00000 |
2 175,46 |
2 175,46 |
2 175,46 |
2 175,46 |
1,00000 |
1,00000 |
1,00000 |
1,00000 |
||||||||||||||||||||||||||||||||||||||||||||||||||
1,70000 |
1 |
1 |
3 |
|
1.1.3.945 |
Подушевого норматива финансирования на прикрепившихся лиц с учетом показателей результативности деятельности медицинской организации (5% для расчета финансирования) |
1,00000 |
2 175,46 |
2 175,46 |
2 175,46 |
2 175,46 |
1,00000 |
1,00000 |
1,00000 |
1,00000 |
||||||||||||||||||||||||||||||||||||||||||||||||||
1,70000 |
1 |
1 |
4 |
|
1.1.4.001 |
Вызов с проведением системного тромболизиса на догоспитальном этапе |
1,00000 |
244 707,42 |
244 707,42 |
244 707,42 |
143 945,54 |
1,00000 |
1,00000 |
1,00000 |
1,00000 |
||||||||||||||||||||||||||||||||||||||||||||||||||
1,70000 |
1 |
1 |
4 |
|
1.1.4.005 |
Вызов скорой медицинской помощи |
1,00000 |
4 707,40 |
4 707,40 |
4 707,40 |
2 769,06 |
1,00000 |
1,00000 |
1,00000 |
1,00000 |
||||||||||||||||||||||||||||||||||||||||||||||||||
1,70000 |
1 |
1 |
4 |
|
1.1.4.926 |
Подушевой норматив финансирования скорой медицинской помощи, оказываемой вне медицинской организации |
1,00000 |
825,45 |
825,45 |
825,45 |
825,45 |
1,00000 |
1,00000 |
1,00000 |
1,00000 |
||||||||||||||||||||||||||||||||||||||||||||||||||
1,70000 |
1 |
1 |
3 |
|
1.1.3.140 |
Проведение маммографии (специализированная ПМСП) |
1,00000 |
1 535,17 |
1 535,17 |
1 535,17 |
903,04 |
1,00000 |
1,00000 |
1,00000 |
1,00000 |
||||||||||||||||||||||||||||||||||||||||||||||||||
1,70000 |
1 |
1 |
3 |
|
1.1.3.141 |
Определение уровня ПСА (специализированная ПМСП) |
1,00000 |
767,52 |
767,52 |
767,52 |
451,48 |
1,00000 |
1,00000 |
1,00000 |
1,00000 |
||||||||||||||||||||||||||||||||||||||||||||||||||
1,70000 |
1 |
1 |
3 |
|
1.1.3.142 |
Комплексное посещение при проведении диспансеризации взрослого населения (мужчины, 18, 21, 24, 27, 30, 33, 36, 39 лет) |
1,00000 |
2 281,43 |
2 281,43 |
2 281,43 |
1 342,02 |
1,00000 |
1,00000 |
1,00000 |
1,00000 |
||||||||||||||||||||||||||||||||||||||||||||||||||
1,70000 |
1 |
1 |
3 |
|
1.1.3.143 |
Комплексное посещение при проведении диспансеризации взрослого населения (женщины, 18, 21, 24, 27, 30, 33, 36, 39 лет) |
1,00000 |
5 113,57 |
5 113,57 |
5 113,57 |
3 007,98 |
1,00000 |
1,00000 |
1,00000 |
1,00000 |
||||||||||||||||||||||||||||||||||||||||||||||||||
1,70000 |
1 |
1 |
3 |
|
1.1.3.144 |
Комплексное посещение при проведении диспансеризации взрослого населения (мужчины, с 40 до 64 лет) |
1,00000 |
2 767,53 |
2 767,53 |
2 767,53 |
1 627,96 |
1,00000 |
1,00000 |
1,00000 |
1,00000 |
||||||||||||||||||||||||||||||||||||||||||||||||||
1,70000 |
1 |
1 |
3 |
|
1.1.3.145 |
Комплексное посещение при проведении диспансеризации взрослого населения (женщины, с 40 до 64 лет) |
1,00000 |
5 658,13 |
5 658,13 |
5 658,13 |
3 328,31 |
1,00000 |
1,00000 |
1,00000 |
1,00000 |
||||||||||||||||||||||||||||||||||||||||||||||||||
1,70000 |
1 |
1 |
3 |
|
1.1.3.146 |
Комплексное посещение при проведении диспансеризации взрослого населения (мужчины старше 65 лет) |
1,00000 |
4 151,26 |
4 151,26 |
4 151,26 |
2 441,92 |
1,00000 |
1,00000 |
1,00000 |
1,00000 |
||||||||||||||||||||||||||||||||||||||||||||||||||
1,70000 |
1 |
1 |
3 |
|
1.1.3.147 |
Комплексное посещение при проведении диспансеризации взрослого населения (женщины старше 65 лет) |
1,00000 |
2 767,53 |
2 767,53 |
2 767,53 |
1 627,96 |
1,00000 |
1,00000 |
1,00000 |
1,00000 |
||||||||||||||||||||||||||||||||||||||||||||||||||
1,70000 |
1 |
1 |
3 |
|
1.1.3.149 |
Врачебное посещение ЦАОП |
1,00000 |
810,88 |
810,88 |
810,88 |
476,99 |
1,00000 |
1,00000 |
1,00000 |
1,00000 |
||||||||||||||||||||||||||||||||||||||||||||||||||
1,70000 |
1 |
1 |
3 |
|
1.1.3.150 |
Гемодиализ |
1,00000 |
3 600,14 |
3 600,14 |
3 600,14 |
3 158,02 |
1,00000 |
1,00000 |
1,00000 |
1,00000 |
||||||||||||||||||||||||||||||||||||||||||||||||||
1,70000 |
1 |
1 |
3 |
|
1.1.3.151 |
Обращение (законченный случай) диспансерного наблюдения ЦАОП |
1,00000 |
1 326,95 |
1 326,95 |
1 326,95 |
780,56 |
1,00000 |
1,00000 |
1,00000 |
1,00000 |
||||||||||||||||||||||||||||||||||||||||||||||||||
1,70000 |
1 |
1 |
3 |
|
1.1.3.152 |
Обращение (законченный случай) оказания медицинской помощи ЦАОП |
1,00000 |
1 203,96 |
1 203,96 |
1 203,96 |
708,21 |
1,00000 |
1,00000 |
1,00000 |
1,00000 |
||||||||||||||||||||||||||||||||||||||||||||||||||
1,70000 |
1 |
1 |
3 |
|
1.1.3.153 |
Обращение (законченный случай) проведения профилактических медицинских осмотров взрослого женского населения |
1,00000 |
3 508,46 |
3 508,46 |
3 508,46 |
2 063,80 |
1,00000 |
1,00000 |
1,00000 |
1,00000 |
||||||||||||||||||||||||||||||||||||||||||||||||||
1,70000 |
1 |
1 |
3 |
|
1.1.3.154 |
Обращение (законченный случай) проведения профилактических медицинских осмотров взрослого мужского населения |
1,00000 |
3 297,95 |
3 297,95 |
3 297,95 |
1 939,97 |
1,00000 |
1,00000 |
1,00000 |
1,00000 |
||||||||||||||||||||||||||||||||||||||||||||||||||
1,70000 |
1 |
1 |
3 |
|
1.1.3.155 |
Проведение исследования кала на скрытую кровь иммунохроматографическим методом |
1,00000 |
1 006,06 |
1 006,06 |
1 006,06 |
591,80 |
1,00000 |
1,00000 |
1,00000 |
1,00000 |
||||||||||||||||||||||||||||||||||||||||||||||||||
1,70000 |
1 |
1 |
3 |
|
1.1.3.156 |
УЕТ для профилактической стоматологической помощи |
1,00000 |
315,18 |
315,18 |
315,18 |
185,40 |
1,00000 |
1,00000 |
1,00000 |
1,00000 |
||||||||||||||||||||||||||||||||||||||||||||||||||
1,70000 |
1 |
1 |
3 |
|
1.1.3.157 |
Ультразвуковое исследование в рамках II - III этапа пренатального скрининга |
1,00000 |
880,16 |
880,16 |
880,16 |
517,74 |
1,00000 |
1,00000 |
1,00000 |
1,00000 |
||||||||||||||||||||||||||||||||||||||||||||||||||
1,70000 |
1 |
1 |
3 |
|
1.1.3.158 |
Ультразвуковое исследование сердечно-сосудистой системы |
1,00000 |
834,84 |
834,84 |
834,84 |
491,08 |
1,00000 |
1,00000 |
1,00000 |
1,00000 |
||||||||||||||||||||||||||||||||||||||||||||||||||
1,70000 |
1 |
1 |
3 |
|
1.1.3.159 |
Посещение при диспансерном наблюдении |
1,00000 |
359,53 |
359,53 |
359,53 |
211,49 |
1,00000 |
1,00000 |
1,00000 |
1,00000 |
||||||||||||||||||||||||||||||||||||||||||||||||||
1,70000 |
1 |
1 |
3 |
|
1.1.3.160 |
Обращение (законченный случай) оказания акушерско-гинекологической помощи с профилактической целью |
1,00000 |
879,75 |
879,75 |
879,75 |
517,50 |
1,00000 |
1,00000 |
1,00000 |
1,00000 |
||||||||||||||||||||||||||||||||||||||||||||||||||
1,70000 |
1 |
1 |
3 |
|
1.1.3.943 |
Фельдшерский, фельдшерско-акушерский пункт, обслуживающий свыше 2 000 жителей (соответствующие приказу МЗ РФ) |
1,00000 |
840 565,00 |
840 565,00 |
840 565,00 |
494 450,00 |
1,00000 |
1,00000 |
1,00000 |
1,00000 |
||||||||||||||||||||||||||||||||||||||||||||||||||
1,70000 |
1 |
1 |
3 |
|
1.1.3.161 |
Обращение (законченный случай) лечения при диспансерном наблюдении |
1,00000 |
1 326,95 |
1 326,95 |
1 326,95 |
780,56 |
1,00000 |
1,00000 |
1,00000 |
1,00000 |
||||||||||||||||||||||||||||||||||||||||||||||||||
1,70000 |
1 |
1 |
3 |
|
1.1.3.162 |
УЕТ для стоматологической помощи |
1,00000 |
287,91 |
287,91 |
287,91 |
169,36 |
1,00000 |
1,00000 |
1,00000 |
1,00000 |
||||||||||||||||||||||||||||||||||||||||||||||||||
1,70000 |
1 |
1 |
3 |
|
1.1.3.163 |
Обращение (законченный случай) проведения диспансеризации пребывающих в стационарных условиях детей-сирот и детей, находящихся в трудной жизненной ситуации |
1,00000 |
18 719,33 |
18 719,33 |
18 719,33 |
11 011,37 |
1,00000 |
1,00000 |
1,00000 |
1,00000 |
||||||||||||||||||||||||||||||||||||||||||||||||||
1,70000 |
1 |
1 |
3 |
|
1.1.3.195 |
Проведения диспансеризации пребывающих в стационарных условиях детей-сирот и детей, находящихся в трудной жизненной ситуации |
1,00000 |
18 719,33 |
18 719,33 |
18 719,33 |
11 011,37 |
1,00000 |
1,00000 |
1,00000 |
1,00000 |
||||||||||||||||||||||||||||||||||||||||||||||||||
1,70000 |
1 |
1 |
3 |
|
1.1.3.164 |
Обращение (законченный случай) проведения диспансеризации детей-сирот и детей, оставшихся без попечения родителей |
1,00000 |
18 719,33 |
18 719,33 |
18 719,33 |
11 011,37 |
1,00000 |
1,00000 |
1,00000 |
1,00000 |
||||||||||||||||||||||||||||||||||||||||||||||||||
1,70000 |
1 |
1 |
3 |
|
1.1.3.165 |
Молекулярно-биологическое исследование на новую коронавирусную инфекцию COVID-19 |
1,00000 |
1 007,73 |
1 007,73 |
1 007,73 |
592,78 |
1,00000 |
1,00000 |
1,00000 |
1,00000 |
||||||||||||||||||||||||||||||||||||||||||||||||||
1,70000 |
1 |
1 |
3 |
|
1.1.3.185 |
Комплексное посещение при проведении углубленной диспансеризации взрослого населения |
1,00000 |
1 311,38 |
1 311,38 |
1 311,38 |
771,40 |
1,00000 |
1,00000 |
1,00000 |
1,00000 |
||||||||||||||||||||||||||||||||||||||||||||||||||
1,70000 |
1 |
1 |
3 |
|
1.1.3.186 |
Проведение теста с 6-минутной ходьбой |
1,00000 |
108,29 |
108,29 |
108,29 |
63,70 |
1,00000 |
1,00000 |
1,00000 |
1,00000 |
||||||||||||||||||||||||||||||||||||||||||||||||||
1,70000 |
1 |
1 |
3 |
|
1.1.3.187 |
Определение концентрации Д-димера в крови |
1,00000 |
756,84 |
756,84 |
756,84 |
445,20 |
1,00000 |
1,00000 |
1,00000 |
1,00000 |
||||||||||||||||||||||||||||||||||||||||||||||||||
1,70000 |
1 |
1 |
3 |
|
1.1.3.188 |
Проведение эхокардиографии |
1,00000 |
2 469,76 |
2 469,76 |
2 469,76 |
1 452,80 |
1,00000 |
1,00000 |
1,00000 |
1,00000 |
||||||||||||||||||||||||||||||||||||||||||||||||||
1,70000 |
1 |
1 |
3 |
|
1.1.3.189 |
Проведение компьютерной томографии легких |
1,00000 |
1 923,72 |
1 923,72 |
1 923,72 |
1 131,60 |
1,00000 |
1,00000 |
1,00000 |
1,00000 |
||||||||||||||||||||||||||||||||||||||||||||||||||
1,70000 |
1 |
1 |
3 |
|
1.1.3.190 |
Проведение дуплексного сканирования вен нижних конечностей |
1,00000 |
2 058,02 |
2 058,02 |
2 058,02 |
1 210,60 |
1,00000 |
1,00000 |
1,00000 |
1,00000 |
||||||||||||||||||||||||||||||||||||||||||||||||||
1,70000 |
1 |
1 |
3 |
|
1.1.3.191 |
Обращение в связи с заболеваниями при оказании медицинской реабилитации |
1,00000 |
31 370,36 |
31 370,36 |
31 370,36 |
18 453,15 |
1,00000 |
1,00000 |
1,00000 |
1,00000 |
||||||||||||||||||||||||||||||||||||||||||||||||||
1,70000 |
1 |
1 |
3 |
|
1.1.3.192 |
Проведение молекулярно-генетического исследования при злокачественном новообразовании |
1,00000 |
0,00 |
0,00 |
0,00 |
0,00 |
1,00000 |
1,00000 |
1,00000 |
1,00000 |
||||||||||||||||||||||||||||||||||||||||||||||||||
1,70000 |
1 |
1 |
3 |
|
1.1.3.193 |
Проведение патологоанатомических исследований биопсийного (операционного) материала с целью диагностики онкологических заболеваний и подбора противоопухолевой лекарственной терапии |
1,00000 |
3 460,27 |
3 460,27 |
3 460,27 |
2 035,45 |
1,00000 |
1,00000 |
1,00000 |
1,00000 |
||||||||||||||||||||||||||||||||||||||||||||||||||
1,70000 |
1 |
1 |
3 |
|
1.1.3.194 |
Проведение патологоанатомических исследований биопсийного (операционного) материала |
1,00000 |
0,00 |
0,00 |
0,00 |
0,00 |
1,00000 |
1,00000 |
1,00000 |
1,00000 |
||||||||||||||||||||||||||||||||||||||||||||||||||
1,70000 |
1 |
1 |
1 |
|
1.1.1.00.01 |
Абдоминальная хирургия 1 |
1,00000 |
208 079,64 |
208 079,64 |
208 079,64 |
182 526,00 |
1,00000 |
1,00000 |
1,00000 |
1,00000 |
||||||||||||||||||||||||||||||||||||||||||||||||||
1,70000 |
1 |
1 |
1 |
|
1.1.1.00.02 |
Абдоминальная хирургия 2 |
1,00000 |
232 214,54 |
232 214,54 |
232 214,54 |
196 459,00 |
1,00000 |
1,00000 |
1,00000 |
1,00000 |
||||||||||||||||||||||||||||||||||||||||||||||||||
1,70000 |
1 |
1 |
1 |
|
1.1.1.00.03 |
Акушерство и гинекология 3 |
1,00000 |
172 428,63 |
172 428,63 |
172 428,63 |
140 072,00 |
1,00000 |
1,00000 |
1,00000 |
1,00000 |
||||||||||||||||||||||||||||||||||||||||||||||||||
1,70000 |
1 |
1 |
1 |
|
1.1.1.00.04 |
Акушерство и гинекология 4 |
1,00000 |
270 324,10 |
270 324,10 |
270 324,10 |
212 352,00 |
1,00000 |
1,00000 |
1,00000 |
1,00000 |
||||||||||||||||||||||||||||||||||||||||||||||||||
1,70000 |
1 |
1 |
1 |
|
1.1.1.00.05 |
Гастроэнтерология 5 |
1,00000 |
169 123,32 |
169 123,32 |
169 123,32 |
146 554,00 |
1,00000 |
1,00000 |
1,00000 |
1,00000 |
||||||||||||||||||||||||||||||||||||||||||||||||||
1,70000 |
1 |
1 |
1 |
|
1.1.1.00.06 |
Гематология 6 |
1,00000 |
198 570,68 |
198 570,68 |
198 570,68 |
164 108,00 |
1,00000 |
1,00000 |
1,00000 |
1,00000 |
||||||||||||||||||||||||||||||||||||||||||||||||||
1,70000 |
1 |
1 |
1 |
|
1.1.1.00.09 |
Дерматовенерология 9 |
1,00000 |
136 623,77 |
136 623,77 |
136 623,77 |
110 986,00 |
1,00000 |
1,00000 |
1,00000 |
1,00000 |
||||||||||||||||||||||||||||||||||||||||||||||||||
1,70000 |
1 |
1 |
1 |
|
1.1.1.00.10 |
Комбустиология 10 |
1,00000 |
778 476,51 |
778 476,51 |
778 476,51 |
582 692,00 |
1,00000 |
1,00000 |
1,00000 |
1,00000 |
||||||||||||||||||||||||||||||||||||||||||||||||||
1,70000 |
1 |
1 |
1 |
|
1.1.1.00.11 |
Комбустиология 11 |
1,00000 |
2 055 047,33 |
2 055 047,33 |
2 055 047,33 |
1 718 267,00 |
1,00000 |
1,00000 |
1,00000 |
1,00000 |
||||||||||||||||||||||||||||||||||||||||||||||||||
1,70000 |
1 |
1 |
1 |
|
1.1.1.00.12 |
Нейрохирургия 12 |
1,00000 |
208 844,50 |
208 844,50 |
208 844,50 |
177 740,00 |
1,00000 |
1,00000 |
1,00000 |
1,00000 |
||||||||||||||||||||||||||||||||||||||||||||||||||
1,70000 |
1 |
1 |
1 |
|
1.1.1.00.14 |
Нейрохирургия 14 |
1,00000 |
195 248,72 |
195 248,72 |
195 248,72 |
174 485,00 |
1,00000 |
1,00000 |
1,00000 |
1,00000 |
||||||||||||||||||||||||||||||||||||||||||||||||||
1,70000 |
1 |
1 |
1 |
|
1.1.1.00.15 |
Нейрохирургия 15 |
1,00000 |
280 551,20 |
280 551,20 |
280 551,20 |
250 716,00 |
1,00000 |
1,00000 |
1,00000 |
1,00000 |
||||||||||||||||||||||||||||||||||||||||||||||||||
1,70000 |
1 |
1 |
1 |
|
1.1.1.00.17 |
Нейрохирургия 17 |
1,00000 |
518 590,38 |
518 590,38 |
518 590,38 |
433 604,00 |
1,00000 |
1,00000 |
1,00000 |
1,00000 |
||||||||||||||||||||||||||||||||||||||||||||||||||
1,70000 |
1 |
1 |
1 |
|
1.1.1.00.18 |
Неонатология 18 |
1,00000 |
314 073,83 |
314 073,83 |
314 073,83 |
273 822,00 |
1,00000 |
1,00000 |
1,00000 |
1,00000 |
||||||||||||||||||||||||||||||||||||||||||||||||||
1,70000 |
1 |
1 |
1 |
|
1.1.1.00.19 |
Неонатология 19 |
1,00000 |
671 286,22 |
671 286,22 |
671 286,22 |
554 782,00 |
1,00000 |
1,00000 |
1,00000 |
1,00000 |
||||||||||||||||||||||||||||||||||||||||||||||||||
1,70000 |
1 |
1 |
1 |
|
1.1.1.00.20 |
Онкология 20 |
1,00000 |
156 889,56 |
156 889,56 |
156 889,56 |
128 915,00 |
1,00000 |
1,00000 |
1,00000 |
1,00000 |
||||||||||||||||||||||||||||||||||||||||||||||||||
1,70000 |
1 |
1 |
1 |
|
1.1.1.00.22 |
Онкология 22 |
1,00000 |
185 254,68 |
185 254,68 |
185 254,68 |
147 967,00 |
1,00000 |
1,00000 |
1,00000 |
1,00000 |
||||||||||||||||||||||||||||||||||||||||||||||||||
1,70000 |
1 |
1 |
1 |
|
1.1.1.00.24 |
Онкология 24 |
1,00000 |
221 629,92 |
221 629,92 |
221 629,92 |
178 016,00 |
1,00000 |
1,00000 |
1,00000 |
1,00000 |
||||||||||||||||||||||||||||||||||||||||||||||||||
1,70000 |
1 |
1 |
1 |
|
1.1.1.00.25 |
Онкология 25 |
1,00000 |
293 524,85 |
293 524,85 |
293 524,85 |
237 096,00 |
1,00000 |
1,00000 |
1,00000 |
1,00000 |
||||||||||||||||||||||||||||||||||||||||||||||||||
1,70000 |
1 |
1 |
1 |
|
1.1.1.00.26 |
Оториноларингология 26 |
1,00000 |
147 198,01 |
147 198,01 |
147 198,01 |
124 533,00 |
1,00000 |
1,00000 |
1,00000 |
1,00000 |
||||||||||||||||||||||||||||||||||||||||||||||||||
1,70000 |
1 |
1 |
1 |
|
1.1.1.00.27 |
Оториноларингология 27 |
1,00000 |
84 450,06 |
84 450,06 |
84 450,06 |
74 079,00 |
1,00000 |
1,00000 |
1,00000 |
1,00000 |
||||||||||||||||||||||||||||||||||||||||||||||||||
1,70000 |
1 |
1 |
2 |
|
1.1.2.00.29 |
Офтальмология 29 |
1,00000 |
82 650,57 |
82 650,57 |
82 650,57 |
66 386,00 |
1,00000 |
1,00000 |
1,00000 |
1,00000 |
||||||||||||||||||||||||||||||||||||||||||||||||||
1,70000 |
1 |
1 |
1 |
|
1.1.1.00.29 |
Офтальмология 29 |
1,00000 |
82 650,57 |
82 650,57 |
82 650,57 |
66 386,00 |
1,00000 |
1,00000 |
1,00000 |
1,00000 |
||||||||||||||||||||||||||||||||||||||||||||||||||
1,70000 |
1 |
1 |
1 |
|
1.1.1.00.34 |
Педиатрия 34 |
1,00000 |
215 259,78 |
215 259,78 |
215 259,78 |
187 672,00 |
1,00000 |
1,00000 |
1,00000 |
1,00000 |
||||||||||||||||||||||||||||||||||||||||||||||||||
1,70000 |
1 |
1 |
1 |
|
1.1.1.00.35 |
Ревматология 35 |
1,00000 |
180 351,95 |
180 351,95 |
180 351,95 |
144 861,00 |
1,00000 |
1,00000 |
1,00000 |
1,00000 |
||||||||||||||||||||||||||||||||||||||||||||||||||
1,70000 |
1 |
1 |
1 |
|
1.1.1.00.36 |
Сердечно-сосудистая хирургия 36 |
1,00000 |
240 327,41 |
240 327,41 |
240 327,41 |
172 649,00 |
1,00000 |
1,00000 |
1,00000 |
1,00000 |
||||||||||||||||||||||||||||||||||||||||||||||||||
1,70000 |
1 |
1 |
1 |
|
1.1.1.00.37 |
Сердечно-сосудистая хирургия 37 |
1,00000 |
269 393,71 |
269 393,71 |
269 393,71 |
200 591,00 |
1,00000 |
1,00000 |
1,00000 |
1,00000 |
||||||||||||||||||||||||||||||||||||||||||||||||||
1,70000 |
1 |
1 |
1 |
|
1.1.1.00.38 |
Сердечно-сосудистая хирургия 38 |
1,00000 |
297 200,44 |
297 200,44 |
297 200,44 |
228 440,00 |
1,00000 |
1,00000 |
1,00000 |
1,00000 |
||||||||||||||||||||||||||||||||||||||||||||||||||
1,70000 |
1 |
1 |
1 |
|
1.1.1.00.39 |
Сердечно-сосудистая хирургия 39 |
1,00000 |
177 057,84 |
177 057,84 |
177 057,84 |
128 489,00 |
1,00000 |
1,00000 |
1,00000 |
1,00000 |
||||||||||||||||||||||||||||||||||||||||||||||||||
1,70000 |
1 |
1 |
1 |
|
1.1.1.00.40 |
Сердечно-сосудистая хирургия 40 |
1,00000 |
205 773,83 |
205 773,83 |
205 773,83 |
156 482,00 |
1,00000 |
1,00000 |
1,00000 |
1,00000 |
||||||||||||||||||||||||||||||||||||||||||||||||||
1,70000 |
1 |
1 |
1 |
|
1.1.1.00.41 |
Сердечно-сосудистая хирургия 41 |
1,00000 |
243 446,51 |
243 446,51 |
243 446,51 |
196 645,00 |
1,00000 |
1,00000 |
1,00000 |
1,00000 |
||||||||||||||||||||||||||||||||||||||||||||||||||
1,70000 |
1 |
1 |
1 |
|
1.1.1.00.42 |
Сердечно-сосудистая хирургия 42 |
1,00000 |
222 235,38 |
222 235,38 |
222 235,38 |
167 220,00 |
1,00000 |
1,00000 |
1,00000 |
1,00000 |
||||||||||||||||||||||||||||||||||||||||||||||||||
1,70000 |
1 |
1 |
1 |
|
1.1.1.00.43 |
Сердечно-сосудистая хирургия 43 |
1,00000 |
386 132,62 |
386 132,62 |
386 132,62 |
330 593,00 |
1,00000 |
1,00000 |
1,00000 |
1,00000 |
||||||||||||||||||||||||||||||||||||||||||||||||||
1,70000 |
1 |
1 |
1 |
|
1.1.1.00.44 |
Сердечно-сосудистая хирургия 44 |
1,00000 |
171 108,53 |
171 108,53 |
171 108,53 |
152 912,00 |
1,00000 |
1,00000 |
1,00000 |
1,00000 |
||||||||||||||||||||||||||||||||||||||||||||||||||
1,70000 |
1 |
1 |
1 |
|
1.1.1.00.45 |
Сердечно-сосудистая хирургия 45 |
1,00000 |
315 525,02 |
315 525,02 |
315 525,02 |
285 543,00 |
1,00000 |
1,00000 |
1,00000 |
1,00000 |
||||||||||||||||||||||||||||||||||||||||||||||||||
1,70000 |
1 |
1 |
1 |
|
1.1.1.00.46 |
Сердечно-сосудистая хирургия 46 |
1,00000 |
283 759,72 |
283 759,72 |
283 759,72 |
225 385,00 |
1,00000 |
1,00000 |
1,00000 |
1,00000 |
||||||||||||||||||||||||||||||||||||||||||||||||||
1,70000 |
1 |
1 |
1 |
|
1.1.1.00.47 |
Сердечно-сосудистая хирургия 47 |
1,00000 |
807 771,26 |
807 771,26 |
807 771,26 |
726 413,00 |
1,00000 |
1,00000 |
1,00000 |
1,00000 |
||||||||||||||||||||||||||||||||||||||||||||||||||
1,70000 |
1 |
1 |
1 |
|
1.1.1.00.48 |
Сердечно-сосудистая хирургия 48 |
1,00000 |
528 423,15 |
528 423,15 |
528 423,15 |
387 407,00 |
1,00000 |
1,00000 |
1,00000 |
1,00000 |
||||||||||||||||||||||||||||||||||||||||||||||||||
1,70000 |
1 |
1 |
1 |
|
1.1.1.00.51 |
Травматология и ортопедия 51 |
1,00000 |
172 075,60 |
172 075,60 |
172 075,60 |
147 325,00 |
1,00000 |
1,00000 |
1,00000 |
1,00000 |
||||||||||||||||||||||||||||||||||||||||||||||||||
1,70000 |
1 |
1 |
1 |
|
1.1.1.00.52 |
Травматология и ортопедия 52 |
1,00000 |
366 515,78 |
366 515,78 |
366 515,78 |
299 441,00 |
1,00000 |
1,00000 |
1,00000 |
1,00000 |
||||||||||||||||||||||||||||||||||||||||||||||||||
1,70000 |
1 |
1 |
1 |
|
1.1.1.00.53 |
Травматология и ортопедия 53 |
1,00000 |
187 194,26 |
187 194,26 |
187 194,26 |
154 706,00 |
1,00000 |
1,00000 |
1,00000 |
1,00000 |
||||||||||||||||||||||||||||||||||||||||||||||||||
1,70000 |
1 |
1 |
1 |
|
1.1.1.00.56 |
Урология 56 |
1,00000 |
124 215,36 |
124 215,36 |
124 215,36 |
103 859,00 |
1,00000 |
1,00000 |
1,00000 |
1,00000 |
||||||||||||||||||||||||||||||||||||||||||||||||||
1,70000 |
1 |
1 |
1 |
|
1.1.1.00.57 |
Урология 57 |
1,00000 |
187 074,94 |
187 074,94 |
187 074,94 |
152 839,00 |
1,00000 |
1,00000 |
1,00000 |
1,00000 |
||||||||||||||||||||||||||||||||||||||||||||||||||
1,70000 |
1 |
1 |
1 |
|
1.1.1.00.58 |
Челюстно-лицевая хирургия 58 |
1,00000 |
164 608,99 |
164 608,99 |
164 608,99 |
135 258,00 |
1,00000 |
1,00000 |
1,00000 |
1,00000 |
||||||||||||||||||||||||||||||||||||||||||||||||||
1,70000 |
1 |
1 |
1 |
|
1.1.1.00.59 |
Эндокринология 59 |
1,00000 |
228 957,47 |
228 957,47 |
228 957,47 |
204 609,00 |
1,00000 |
1,00000 |
1,00000 |
1,00000 |
||||||||||||||||||||||||||||||||||||||||||||||||||
1,70000 |
1 |
1 |
3 |
|
1.1.3.935 |
Фельдшерские, фельдшерско-акушерские пункты, обслуживающие до 99 жителей (соответствующие приказу МЗ РФ) |
1,00000 |
343 638,00 |
343 638,00 |
343 638,00 |
202 140,00 |
1,00000 |
1,00000 |
1,00000 |
1,00000 |
||||||||||||||||||||||||||||||||||||||||||||||||||
1,70000 |
1 |
1 |
3 |
|
1.1.3.936 |
Фельдшерские, фельдшерско-акушерские пункты, обслуживающие до 99 жителей (не соответствующие приказу МЗ РФ) |
1,00000 |
240 546,60 |
240 546,60 |
240 546,60 |
141 498,00 |
1,00000 |
1,00000 |
1,00000 |
1,00000 |
||||||||||||||||||||||||||||||||||||||||||||||||||
1,70000 |
1 |
1 |
3 |
|
1.1.3.937 |
Фельдшерские, фельдшерско-акушерские пункты, обслуживающие от 100 до 899 жителей (соответствующие приказу МЗ РФ) |
1,00000 |
429 547,50 |
429 547,50 |
429 547,50 |
252 675,00 |
1,00000 |
1,00000 |
1,00000 |
1,00000 |
||||||||||||||||||||||||||||||||||||||||||||||||||
1,70000 |
1 |
1 |
3 |
|
1.1.3.938 |
Фельдшерские, фельдшерско-акушерские пункты, обслуживающие от 100 до 899 жителей (не соответствующие приказу МЗ РФ) |
1,00000 |
300 683,25 |
300 683,25 |
300 683,25 |
176 872,50 |
1,00000 |
1,00000 |
1,00000 |
1,00000 |
||||||||||||||||||||||||||||||||||||||||||||||||||
1,70000 |
1 |
1 |
3 |
|
1.1.3.939 |
Фельдшерские, фельдшерско-акушерские пункты, обслуживающий от 900 до 1499 жителей (соответствующие приказу МЗ РФ) |
1,00000 |
680 510,00 |
680 510,00 |
680 510,00 |
400 300,00 |
1,00000 |
1,00000 |
1,00000 |
1,00000 |
||||||||||||||||||||||||||||||||||||||||||||||||||
1,70000 |
1 |
1 |
3 |
|
1.1.3.941 |
Фельдшерские, фельдшерско-акушерские пункты, обслуживающий от 1500 до 1999 жителей (соответствующие приказу МЗ РФ) |
1,00000 |
764 150,00 |
764 150,00 |
764 150,00 |
449 500,00 |
1,00000 |
1,00000 |
1,00000 |
1,00000 |
||||||||||||||||||||||||||||||||||||||||||||||||||
1,70000 |
1 |
1 |
1 |
st01.001 |
1.1.1.1.1.1 |
Беременность без патологии, дородовая госпитализация в отделение сестринского ухода |
0,50000 |
16 686,25 |
16 686,25 |
16 686,25 |
24 538,61 |
0,90000 |
1,05000 |
1,25000 |
0,80000 |
||||||||||||||||||||||||||||||||||||||||||||||||||
1,70000 |
1 |
1 |
1 |
st02.001 |
1.1.1.1.2.1 |
Осложнения, связанные с беременностью |
0,93000 |
27 932,79 |
32 588,26 |
38 795,54 |
24 538,61 |
0,90000 |
1,05000 |
1,25000 |
0,80000 |
||||||||||||||||||||||||||||||||||||||||||||||||||
1,70000 |
1 |
1 |
1 |
st02.002 |
1.1.1.3.2.2 |
Беременность, закончившаяся абортивным исходом |
0,28000 |
9 344,30 |
9 344,30 |
9 344,30 |
24 538,61 |
0,90000 |
1,05000 |
1,25000 |
0,80000 |
||||||||||||||||||||||||||||||||||||||||||||||||||
1,70000 |
1 |
1 |
1 |
st02.003 |
1.1.1.3.2.3 |
Родоразрешение |
0,98000 |
29 434,55 |
34 340,31 |
40 881,32 |
24 538,61 |
0,90000 |
1,05000 |
1,25000 |
0,80000 |
||||||||||||||||||||||||||||||||||||||||||||||||||
1,70000 |
1 |
1 |
1 |
st02.004 |
1.1.1.2.2.4 |
Кесарево сечение |
1,01000 |
30 335,61 |
35 391,55 |
42 132,79 |
24 538,61 |
0,90000 |
1,05000 |
1,25000 |
0,80000 |
||||||||||||||||||||||||||||||||||||||||||||||||||
1,70000 |
1 |
1 |
1 |
st02.005 |
1.1.1.1.2.5 |
Осложнения послеродового периода |
0,74000 |
22 226,09 |
25 930,44 |
30 869,57 |
24 538,61 |
0,90000 |
1,05000 |
1,25000 |
0,80000 |
||||||||||||||||||||||||||||||||||||||||||||||||||
1,70000 |
1 |
1 |
1 |
st02.006 |
1.1.1.1.2.6 |
Послеродовой сепсис |
3,21000 |
107 125,76 |
107 125,76 |
107 125,76 |
24 538,61 |
0,90000 |
1,05000 |
1,25000 |
0,80000 |
||||||||||||||||||||||||||||||||||||||||||||||||||
1,70000 |
1 |
1 |
1 |
st02.007 |
1.1.1.1.2.7 |
Воспалительные болезни женских половых органов |
0,71000 |
21 325,03 |
24 879,21 |
29 618,10 |
24 538,61 |
0,90000 |
1,05000 |
1,25000 |
0,80000 |
||||||||||||||||||||||||||||||||||||||||||||||||||
1,70000 |
1 |
1 |
1 |
st02.008 |
1.1.1.1.2.8 |
Доброкачественные новообразования, новообразования in situ, неопределенного и неизвестного характера женских половых органов |
0,89000 |
26 731,38 |
31 186,61 |
37 126,92 |
24 538,61 |
0,90000 |
1,05000 |
1,25000 |
0,80000 |
||||||||||||||||||||||||||||||||||||||||||||||||||
1,70000 |
1 |
1 |
1 |
st02.009 |
1.1.1.1.2.9 |
Другие болезни, врожденные аномалии, повреждения женских половых органов |
0,46000 |
13 816,22 |
16 118,92 |
19 189,19 |
24 538,61 |
0,90000 |
1,05000 |
1,25000 |
0,80000 |
||||||||||||||||||||||||||||||||||||||||||||||||||
1,70000 |
1 |
1 |
1 |
st02.010 |
1.1.1.2.2.10 |
Операции на женских половых органах (уровень 1) |
0,39000 |
11 713,75 |
13 666,04 |
16 269,10 |
24 538,61 |
0,90000 |
1,05000 |
1,25000 |
0,80000 |
||||||||||||||||||||||||||||||||||||||||||||||||||
1,70000 |
1 |
1 |
1 |
st02.011 |
1.1.1.2.2.11 |
Операции на женских половых органах (уровень 2) |
0,58000 |
17 420,45 |
20 323,86 |
24 195,07 |
24 538,61 |
0,90000 |
1,05000 |
1,25000 |
0,80000 |
||||||||||||||||||||||||||||||||||||||||||||||||||
1,70000 |
1 |
1 |
1 |
st02.012 |
1.1.1.2.2.12 |
Операции на женских половых органах (уровень 3) |
1,17000 |
39 045,84 |
39 045,84 |
39 045,84 |
24 538,61 |
0,90000 |
1,05000 |
1,25000 |
0,80000 |
||||||||||||||||||||||||||||||||||||||||||||||||||
1,70000 |
1 |
1 |
1 |
st02.013 |
1.1.1.2.2.13 |
Операции на женских половых органах (уровень 4) |
2,20000 |
66 077,57 |
77 090,50 |
91 774,40 |
24 538,61 |
0,90000 |
1,05000 |
1,25000 |
0,80000 |
||||||||||||||||||||||||||||||||||||||||||||||||||
1,70000 |
1 |
1 |
1 |
st03.001 |
1.1.1.1.3.1 |
Нарушения с вовлечением иммунного механизма |
4,52000 |
135 759,37 |
158 385,93 |
188 554,68 |
24 538,61 |
0,90000 |
1,05000 |
1,25000 |
0,80000 |
||||||||||||||||||||||||||||||||||||||||||||||||||
1,70000 |
1 |
1 |
1 |
st03.002 |
1.1.1.1.3.2 |
Ангионевротический отек, анафилактический шок |
0,27000 |
9 010,58 |
9 010,58 |
9 010,58 |
24 538,61 |
0,90000 |
1,05000 |
1,25000 |
0,80000 |
||||||||||||||||||||||||||||||||||||||||||||||||||
1,70000 |
1 |
1 |
1 |
st04.001 |
1.1.1.1.4.1 |
Язва желудка и двенадцатиперстной кишки |
0,89000 |
29 701,53 |
29 701,53 |
29 701,53 |
24 538,61 |
0,90000 |
1,05000 |
1,25000 |
0,80000 |
||||||||||||||||||||||||||||||||||||||||||||||||||
1,70000 |
1 |
1 |
1 |
st04.002 |
1.1.1.1.4.2 |
Воспалительные заболевания кишечника |
2,01000 |
60 370,87 |
70 432,68 |
83 848,43 |
24 538,61 |
0,90000 |
1,05000 |
1,25000 |
0,80000 |
||||||||||||||||||||||||||||||||||||||||||||||||||
1,70000 |
1 |
1 |
1 |
st04.003 |
1.1.1.1.4.3 |
Болезни печени, невирусные (уровень 1) |
0,86000 |
25 830,32 |
30 135,38 |
35 875,45 |
24 538,61 |
0,90000 |
1,05000 |
1,25000 |
0,80000 |
||||||||||||||||||||||||||||||||||||||||||||||||||
1,70000 |
1 |
1 |
1 |
st04.004 |
1.1.1.1.4.4 |
Болезни печени, невирусные (уровень 2) |
1,21000 |
36 342,66 |
42 399,77 |
50 475,92 |
24 538,61 |
0,90000 |
1,05000 |
1,25000 |
0,80000 |
||||||||||||||||||||||||||||||||||||||||||||||||||
1,70000 |
1 |
1 |
1 |
st04.005 |
1.1.1.1.4.5 |
Болезни поджелудочной железы |
0,87000 |
26 130,68 |
30 485,79 |
36 292,60 |
24 538,61 |
0,90000 |
1,05000 |
1,25000 |
0,80000 |
||||||||||||||||||||||||||||||||||||||||||||||||||
1,70000 |
1 |
1 |
1 |
st04.006 |
1.1.1.1.4.6 |
Панкреатит с синдромом органной дисфункции |
4,19000 |
125 847,73 |
146 822,36 |
174 788,52 |
24 538,61 |
0,90000 |
1,05000 |
1,25000 |
0,80000 |
||||||||||||||||||||||||||||||||||||||||||||||||||
1,70000 |
1 |
1 |
1 |
st05.001 |
1.1.1.1.5.1 |
Анемии (уровень 1) |
0,94000 |
28 233,14 |
32 938,67 |
39 212,70 |
24 538,61 |
0,90000 |
1,05000 |
1,25000 |
0,80000 |
||||||||||||||||||||||||||||||||||||||||||||||||||
1,70000 |
1 |
1 |
1 |
st05.002 |
1.1.1.1.5.2 |
Анемии (уровень 2) |
5,32000 |
159 787,58 |
186 418,84 |
221 927,19 |
24 538,61 |
0,90000 |
1,05000 |
1,25000 |
0,80000 |
||||||||||||||||||||||||||||||||||||||||||||||||||
1,70000 |
1 |
1 |
1 |
st05.003 |
1.1.1.1.5.3 |
Нарушения свертываемости крови |
4,50000 |
135 158,66 |
157 685,11 |
187 720,37 |
24 538,61 |
0,90000 |
1,05000 |
1,25000 |
0,80000 |
||||||||||||||||||||||||||||||||||||||||||||||||||
1,70000 |
1 |
1 |
1 |
st05.004 |
1.1.1.1.5.4 |
Другие болезни крови и кроветворных органов (уровень 1) |
1,09000 |
32 738,43 |
38 194,84 |
45 470,04 |
24 538,61 |
0,90000 |
1,05000 |
1,25000 |
0,80000 |
||||||||||||||||||||||||||||||||||||||||||||||||||
1,70000 |
1 |
1 |
1 |
st05.005 |
1.1.1.1.5.5 |
Другие болезни крови и кроветворных органов (уровень 2) |
4,51000 |
135 459,02 |
158 035,52 |
188 137,52 |
24 538,61 |
0,90000 |
1,05000 |
1,25000 |
0,80000 |
||||||||||||||||||||||||||||||||||||||||||||||||||
1,70000 |
1 |
1 |
1 |
st05.008 |
1.1.1.1.5.8 |
Лекарственная терапия при доброкачественных заболеваниях крови и пузырном заносе |
2,05000 |
61 572,28 |
71 834,33 |
85 517,06 |
24 538,61 |
0,90000 |
1,05000 |
1,25000 |
0,80000 |
||||||||||||||||||||||||||||||||||||||||||||||||||
1,70000 |
1 |
1 |
1 |
st06.004 |
1.1.1.1.6.4 |
Лечение дерматозов с применением наружной терапии |
0,32000 |
9 566,78 |
11 128,13 |
13 209,94 |
24 538,61 |
0,90000 |
1,05000 |
1,25000 |
0,80000 |
||||||||||||||||||||||||||||||||||||||||||||||||||
1,70000 |
1 |
1 |
1 |
st06.005 |
1.1.1.1.6.5 |
Лечение дерматозов с применением наружной терапии, физиотерапии, плазмофереза |
1,39000 |
41 633,64 |
48 486,74 |
57 624,21 |
24 538,61 |
0,90000 |
1,05000 |
1,25000 |
0,80000 |
||||||||||||||||||||||||||||||||||||||||||||||||||
1,70000 |
1 |
1 |
1 |
st06.006 |
1.1.1.1.6.6 |
Лечение дерматозов с применением наружной и системной терапии |
2,10000 |
62 963,23 |
73 374,65 |
87 256,55 |
24 538,61 |
0,90000 |
1,05000 |
1,25000 |
0,80000 |
||||||||||||||||||||||||||||||||||||||||||||||||||
1,70000 |
1 |
1 |
1 |
st06.007 |
1.1.1.1.6.7 |
Лечение дерматозов с применением наружной и фототерапии |
2,86000 |
85 586,43 |
99 616,90 |
118 324,20 |
24 538,61 |
0,90000 |
1,05000 |
1,25000 |
0,80000 |
||||||||||||||||||||||||||||||||||||||||||||||||||
1,70000 |
1 |
1 |
1 |
st07.001 |
1.1.1.1.7.1 |
Врожденные аномалии сердечно-сосудистой системы, дети |
1,84000 |
55 264,88 |
64 475,69 |
76 756,77 |
24 538,61 |
0,90000 |
1,05000 |
1,25000 |
0,80000 |
||||||||||||||||||||||||||||||||||||||||||||||||||
1,70000 |
1 |
1 |
1 |
st08.001 |
1.1.1.3.8.1 |
Лекарственная терапия при злокачественных новообразованиях других локализаций (кроме лимфоидной и кроветворной тканей), дети |
4,37000 |
164 067,60 |
191 412,20 |
227 871,67 |
24 538,61 |
0,90000 |
1,05000 |
1,25000 |
1,00000 |
||||||||||||||||||||||||||||||||||||||||||||||||||
1,70000 |
1 |
1 |
1 |
st08.002 |
1.1.1.3.8.2 |
Лекарственная терапия при остром лейкозе, дети |
7,82000 |
293 594,65 |
342 527,10 |
407 770,35 |
24 538,61 |
0,90000 |
1,05000 |
1,25000 |
1,00000 |
||||||||||||||||||||||||||||||||||||||||||||||||||
1,70000 |
1 |
1 |
1 |
st08.003 |
1.1.1.3.8.3 |
Лекарственная терапия при других злокачественных новообразованиях лимфоидной и кроветворной тканей, дети |
5,68000 |
213 250,34 |
248 792,06 |
296 181,02 |
24 538,61 |
0,90000 |
1,05000 |
1,25000 |
1,00000 |
||||||||||||||||||||||||||||||||||||||||||||||||||
1,70000 |
1 |
1 |
1 |
st09.001 |
1.1.1.2.9.1 |
Операции на мужских половых органах, дети (уровень 1) |
0,97000 |
29 134,20 |
33 989,90 |
40 464,17 |
24 538,61 |
0,90000 |
1,05000 |
1,25000 |
0,80000 |
||||||||||||||||||||||||||||||||||||||||||||||||||
1,70000 |
1 |
1 |
1 |
st09.002 |
1.1.1.2.9.2 |
Операции на мужских половых органах, дети (уровень 2) |
1,11000 |
33 339,14 |
38 895,66 |
46 304,36 |
24 538,61 |
0,90000 |
1,05000 |
1,25000 |
0,80000 |
||||||||||||||||||||||||||||||||||||||||||||||||||
1,70000 |
1 |
1 |
1 |
st09.003 |
1.1.1.2.9.3 |
Операции на мужских половых органах, дети (уровень 3) |
1,97000 |
65 743,84 |
65 743,84 |
65 743,84 |
24 538,61 |
0,90000 |
1,05000 |
1,25000 |
0,80000 |
||||||||||||||||||||||||||||||||||||||||||||||||||
1,70000 |
1 |
1 |
1 |
st09.004 |
1.1.1.2.9.4 |
Операции на мужских половых органах, дети (уровень 4) |
2,78000 |
92 775,58 |
92 775,58 |
92 775,58 |
24 538,61 |
0,90000 |
1,05000 |
1,25000 |
0,80000 |
||||||||||||||||||||||||||||||||||||||||||||||||||
1,70000 |
1 |
1 |
1 |
st09.005 |
1.1.1.2.9.5 |
Операции на почке и мочевыделительной системе, дети (уровень 1) |
1,15000 |
34 540,55 |
40 297,31 |
47 972,98 |
24 538,61 |
0,90000 |
1,05000 |
1,25000 |
0,80000 |
||||||||||||||||||||||||||||||||||||||||||||||||||
1,70000 |
1 |
1 |
1 |
st09.006 |
1.1.1.2.9.6 |
Операции на почке и мочевыделительной системе, дети (уровень 2) |
1,22000 |
36 643,02 |
42 750,18 |
50 893,08 |
24 538,61 |
0,90000 |
1,05000 |
1,25000 |
0,80000 |
||||||||||||||||||||||||||||||||||||||||||||||||||
1,70000 |
1 |
1 |
1 |
st09.007 |
1.1.1.2.9.7 |
Операции на почке и мочевыделительной системе, дети (уровень 3) |
1,78000 |
53 462,76 |
62 373,22 |
74 253,83 |
24 538,61 |
0,90000 |
1,05000 |
1,25000 |
0,80000 |
||||||||||||||||||||||||||||||||||||||||||||||||||
1,70000 |
1 |
1 |
1 |
st09.008 |
1.1.1.2.9.8 |
Операции на почке и мочевыделительной системе, дети (уровень 4) |
2,23000 |
74 420,70 |
74 420,70 |
74 420,70 |
24 538,61 |
0,90000 |
1,05000 |
1,25000 |
0,80000 |
||||||||||||||||||||||||||||||||||||||||||||||||||
1,70000 |
1 |
1 |
1 |
st09.009 |
1.1.1.2.9.9 |
Операции на почке и мочевыделительной системе, дети (уровень 5) |
2,36000 |
78 759,12 |
78 759,12 |
78 759,12 |
24 538,61 |
0,90000 |
1,05000 |
1,25000 |
0,80000 |
||||||||||||||||||||||||||||||||||||||||||||||||||
1,70000 |
1 |
1 |
1 |
st09.010 |
1.1.1.2.9.10 |
Операции на почке и мочевыделительной системе, дети (уровень 6) |
4,28000 |
142 834,34 |
142 834,34 |
142 834,34 |
24 538,61 |
0,90000 |
1,05000 |
1,25000 |
0,80000 |
||||||||||||||||||||||||||||||||||||||||||||||||||
1,70000 |
1 |
1 |
1 |
st10.001 |
1.1.1.2.10.1 |
Детская хирургия (уровень 1) |
2,95000 |
88 604,01 |
103 371,35 |
123 061,13 |
24 538,61 |
0,90000 |
1,05000 |
1,25000 |
0,80000 |
||||||||||||||||||||||||||||||||||||||||||||||||||
1,70000 |
1 |
1 |
1 |
st10.002 |
1.1.1.2.10.2 |
Детская хирургия (уровень 2) |
5,33000 |
160 087,93 |
186 769,25 |
222 344,35 |
24 538,61 |
0,90000 |
1,05000 |
1,25000 |
0,80000 |
||||||||||||||||||||||||||||||||||||||||||||||||||
1,70000 |
1 |
1 |
1 |
st10.003 |
1.1.1.2.10.3 |
Аппендэктомия, дети (уровень 1) |
0,77000 |
25 696,83 |
25 696,83 |
25 696,83 |
24 538,61 |
0,90000 |
1,05000 |
1,25000 |
0,80000 |
||||||||||||||||||||||||||||||||||||||||||||||||||
1,70000 |
1 |
1 |
1 |
st10.004 |
1.1.1.2.10.4 |
Аппендэктомия, дети (уровень 2) |
0,97000 |
29 134,20 |
33 989,90 |
40 464,17 |
24 538,61 |
0,90000 |
1,05000 |
1,25000 |
0,80000 |
||||||||||||||||||||||||||||||||||||||||||||||||||
1,70000 |
1 |
1 |
1 |
st10.005 |
1.1.1.2.10.5 |
Операции по поводу грыж, дети (уровень 1) |
0,88000 |
29 367,81 |
29 367,81 |
29 367,81 |
24 538,61 |
0,90000 |
1,05000 |
1,25000 |
0,80000 |
||||||||||||||||||||||||||||||||||||||||||||||||||
1,70000 |
1 |
1 |
1 |
st10.006 |
1.1.1.2.10.6 |
Операции по поводу грыж, дети (уровень 2) |
1,05000 |
31 537,02 |
36 793,19 |
43 801,42 |
24 538,61 |
0,90000 |
1,05000 |
1,25000 |
0,80000 |
||||||||||||||||||||||||||||||||||||||||||||||||||
1,70000 |
1 |
1 |
1 |
st10.007 |
1.1.1.2.10.7 |
Операции по поводу грыж, дети (уровень 3) |
1,25000 |
37 544,07 |
43 801,42 |
52 144,55 |
24 538,61 |
0,90000 |
1,05000 |
1,25000 |
0,80000 |
||||||||||||||||||||||||||||||||||||||||||||||||||
1,70000 |
1 |
1 |
1 |
st11.001 |
1.1.1.1.11.1 |
Сахарный диабет, дети |
1,51000 |
45 353,24 |
52 912,11 |
62 990,61 |
24 538,61 |
0,90000 |
1,05000 |
1,25000 |
0,80000 |
||||||||||||||||||||||||||||||||||||||||||||||||||
1,70000 |
1 |
1 |
1 |
st11.002 |
1.1.1.1.11.2 |
Заболевания гипофиза, дети |
2,26000 |
67 879,68 |
79 192,97 |
94 277,34 |
24 538,61 |
0,90000 |
1,05000 |
1,25000 |
0,80000 |
||||||||||||||||||||||||||||||||||||||||||||||||||
1,70000 |
1 |
1 |
1 |
st11.003 |
1.1.1.1.11.3 |
Другие болезни эндокринной системы, дети (уровень 1) |
1,38000 |
41 448,66 |
48 356,77 |
57 567,58 |
24 538,61 |
0,90000 |
1,05000 |
1,25000 |
0,80000 |
||||||||||||||||||||||||||||||||||||||||||||||||||
1,70000 |
1 |
1 |
1 |
st11.004 |
1.1.1.1.11.4 |
Другие болезни эндокринной системы, дети (уровень 2) |
2,82000 |
84 699,43 |
98 816,00 |
117 638,10 |
24 538,61 |
0,90000 |
1,05000 |
1,25000 |
0,80000 |
||||||||||||||||||||||||||||||||||||||||||||||||||
1,70000 |
1 |
1 |
1 |
st12.001 |
1.1.1.1.12.1 |
Кишечные инфекции, взрослые |
0,58000 |
17 420,45 |
20 323,86 |
24 195,07 |
24 538,61 |
0,90000 |
1,05000 |
1,25000 |
0,80000 |
||||||||||||||||||||||||||||||||||||||||||||||||||
1,70000 |
1 |
1 |
1 |
st12.002 |
1.1.1.1.12.2 |
Кишечные инфекции, дети |
0,62000 |
18 621,86 |
21 725,50 |
25 863,69 |
24 538,61 |
0,90000 |
1,05000 |
1,25000 |
0,80000 |
||||||||||||||||||||||||||||||||||||||||||||||||||
1,70000 |
1 |
1 |
1 |
st12.003 |
1.1.1.1.12.3 |
Вирусный гепатит острый |
1,40000 |
42 049,36 |
49 057,59 |
58 401,89 |
24 538,61 |
0,90000 |
1,05000 |
1,25000 |
0,80000 |
||||||||||||||||||||||||||||||||||||||||||||||||||
1,70000 |
1 |
1 |
1 |
st12.004 |
1.1.1.1.12.4 |
Вирусный гепатит хронический |
1,27000 |
38 144,78 |
44 502,24 |
52 978,86 |
24 538,61 |
0,90000 |
1,05000 |
1,25000 |
0,80000 |
||||||||||||||||||||||||||||||||||||||||||||||||||
1,70000 |
1 |
1 |
1 |
st12.005 |
1.1.1.1.12.5 |
Сепсис, взрослые |
3,12000 |
93 710,01 |
109 328,34 |
130 152,79 |
24 538,61 |
0,90000 |
1,05000 |
1,25000 |
0,80000 |
||||||||||||||||||||||||||||||||||||||||||||||||||
1,70000 |
1 |
1 |
1 |
st12.006 |
1.1.1.1.12.6 |
Сепсис, дети |
4,51000 |
135 459,02 |
158 035,52 |
188 137,52 |
24 538,61 |
0,90000 |
1,05000 |
1,25000 |
0,80000 |
||||||||||||||||||||||||||||||||||||||||||||||||||
1,70000 |
1 |
1 |
1 |
st12.007 |
1.1.1.1.12.7 |
Сепсис с синдромом органной дисфункции |
7,20000 |
216 253,86 |
252 296,17 |
300 352,59 |
24 538,61 |
0,90000 |
1,05000 |
1,25000 |
0,80000 |
||||||||||||||||||||||||||||||||||||||||||||||||||
1,70000 |
1 |
1 |
1 |
st12.008 |
1.1.1.1.12.8 |
Другие инфекционные и паразитарные болезни, взрослые |
1,18000 |
35 441,61 |
41 348,54 |
49 224,45 |
24 538,61 |
0,90000 |
1,05000 |
1,25000 |
0,80000 |
||||||||||||||||||||||||||||||||||||||||||||||||||
1,70000 |
1 |
1 |
1 |
st12.009 |
1.1.1.1.12.9 |
Другие инфекционные и паразитарные болезни, дети |
0,98000 |
29 434,55 |
34 340,31 |
40 881,32 |
24 538,61 |
0,90000 |
1,05000 |
1,25000 |
0,80000 |
||||||||||||||||||||||||||||||||||||||||||||||||||
1,70000 |
1 |
1 |
1 |
st12.010 |
1.1.1.1.12.10 |
Респираторные инфекции верхних дыхательных путей с осложнениями, взрослые |
0,35000 |
10 512,34 |
12 264,40 |
14 600,47 |
24 538,61 |
0,90000 |
1,05000 |
1,25000 |
0,80000 |
||||||||||||||||||||||||||||||||||||||||||||||||||
1,70000 |
1 |
1 |
1 |
st12.011 |
1.1.1.1.12.11 |
Респираторные инфекции верхних дыхательных путей, дети |
0,50000 |
15 017,63 |
17 520,57 |
20 857,82 |
24 538,61 |
0,90000 |
1,05000 |
1,25000 |
0,80000 |
||||||||||||||||||||||||||||||||||||||||||||||||||
1,70000 |
1 |
1 |
1 |
st12.012 |
1.1.1.1.12.12 |
Грипп, вирус гриппа идентифицирован |
1,00000 |
30 035,26 |
35 041,14 |
41 715,64 |
24 538,61 |
0,90000 |
1,05000 |
1,25000 |
0,80000 |
||||||||||||||||||||||||||||||||||||||||||||||||||
1,70000 |
1 |
1 |
1 |
st12.013 |
1.1.1.1.12.13 |
Грипп и пневмония с синдромом органной дисфункции |
4,40000 |
132 155,14 |
154 180,99 |
183 548,80 |
24 538,61 |
0,90000 |
1,05000 |
1,25000 |
0,80000 |
||||||||||||||||||||||||||||||||||||||||||||||||||
1,70000 |
1 |
1 |
1 |
st12.014 |
1.1.1.1.12.14 |
Клещевой энцефалит |
2,30000 |
69 081,09 |
80 594,61 |
95 945,97 |
24 538,61 |
0,90000 |
1,05000 |
1,25000 |
0,80000 |
||||||||||||||||||||||||||||||||||||||||||||||||||
1,70000 |
1 |
1 |
1 |
st12.015 |
1.1.1.1.12.15 |
Коронавирусная инфекция COVID-19 (уровень 1) |
2,87000 |
85 235,74 |
98 723,35 |
116 706,84 |
24 538,61 |
0,90000 |
1,05000 |
1,25000 |
0,80000 |
||||||||||||||||||||||||||||||||||||||||||||||||||
1,70000 |
1 |
1 |
1 |
st12.016 |
1.1.1.1.12.16 |
Коронавирусная инфекция COVID-19 (уровень 2) |
4,96000 |
139 849,83 |
156 368,66 |
178 393,77 |
24 538,61 |
0,90000 |
1,05000 |
1,25000 |
0,80000 |
||||||||||||||||||||||||||||||||||||||||||||||||||
1,70000 |
1 |
1 |
1 |
st12.017 |
1.1.1.1.12.17 |
Коронавирусная инфекция COVID-19 (уровень 3) |
7,40000 |
209 358,74 |
234 652,03 |
268 376,42 |
24 538,61 |
0,90000 |
1,05000 |
1,25000 |
0,80000 |
||||||||||||||||||||||||||||||||||||||||||||||||||
1,70000 |
1 |
1 |
1 |
st12.018 |
1.1.1.1.12.18 |
Коронавирусная инфекция COVID-19 (уровень 4) |
12,07000 |
347 684,30 |
394 589,06 |
457 128,75 |
24 538,61 |
0,90000 |
1,05000 |
1,25000 |
0,80000 |
||||||||||||||||||||||||||||||||||||||||||||||||||
1,70000 |
1 |
1 |
1 |
st12.019 |
1.1.1.1.12.19 |
Коронавирусная инфекция COVID-19 (долечивание) |
2,07000 |
62 172,99 |
72 535,15 |
86 351,37 |
24 538,61 |
0,90000 |
1,05000 |
1,25000 |
0,80000 |
||||||||||||||||||||||||||||||||||||||||||||||||||
1,70000 |
1 |
1 |
1 |
st13.001 |
1.1.1.1.13.1 |
Нестабильная стенокардия, инфаркт миокарда, легочная эмболия (уровень 1) |
1,42000 |
42 650,07 |
49 758,41 |
59 236,20 |
24 538,61 |
0,90000 |
1,05000 |
1,25000 |
0,80000 |
||||||||||||||||||||||||||||||||||||||||||||||||||
1,70000 |
1 |
1 |
1 |
st13.002 |
1.1.1.3.13.2 |
Нестабильная стенокардия, инфаркт миокарда, легочная эмболия (уровень 2) |
2,81000 |
105 498,85 |
123 081,99 |
146 526,17 |
24 538,61 |
0,90000 |
1,05000 |
1,25000 |
1,00000 |
||||||||||||||||||||||||||||||||||||||||||||||||||
1,70000 |
1 |
1 |
1 |
st13.004 |
1.1.1.1.13.4 |
Нарушения ритма и проводимости (уровень 1) |
1,12000 |
33 639,49 |
39 246,07 |
46 721,51 |
24 538,61 |
0,90000 |
1,05000 |
1,25000 |
0,80000 |
||||||||||||||||||||||||||||||||||||||||||||||||||
1,70000 |
1 |
1 |
1 |
st13.005 |
1.1.1.3.13.5 |
Нарушения ритма и проводимости (уровень 2) |
2,01000 |
75 463,59 |
88 040,85 |
104 810,54 |
24 538,61 |
0,90000 |
1,05000 |
1,25000 |
1,00000 |
||||||||||||||||||||||||||||||||||||||||||||||||||
1,70000 |
1 |
1 |
1 |
st13.006 |
1.1.1.1.13.6 |
Эндокардит, миокардит, перикардит, кардиомиопатии (уровень 1) |
1,42000 |
42 650,07 |
49 758,41 |
59 236,20 |
24 538,61 |
0,90000 |
1,05000 |
1,25000 |
0,80000 |
||||||||||||||||||||||||||||||||||||||||||||||||||
1,70000 |
1 |
1 |
1 |
st13.007 |
1.1.1.3.13.7 |
Эндокардит, миокардит, перикардит, кардиомиопатии (уровень 2) |
2,38000 |
89 354,89 |
104 247,38 |
124 104,02 |
24 538,61 |
0,90000 |
1,05000 |
1,25000 |
1,00000 |
||||||||||||||||||||||||||||||||||||||||||||||||||
1,70000 |
1 |
1 |
1 |
st13.008 |
1.1.1.3.13.8 |
Инфаркт миокарда, легочная эмболия, лечение с применением тромболитической терапии (уровень 1) |
1,61000 |
48 356,77 |
56 416,23 |
67 162,18 |
24 538,61 |
0,90000 |
1,05000 |
1,25000 |
0,80000 |
||||||||||||||||||||||||||||||||||||||||||||||||||
1,70000 |
1 |
1 |
1 |
st13.009 |
1.1.1.3.13.9 |
Инфаркт миокарда, легочная эмболия, лечение с применением тромболитической терапии (уровень 2) |
2,99000 |
89 805,42 |
104 772,99 |
124 729,75 |
24 538,61 |
0,90000 |
1,05000 |
1,25000 |
0,80000 |
||||||||||||||||||||||||||||||||||||||||||||||||||
1,70000 |
1 |
1 |
1 |
st13.010 |
1.1.1.3.13.10 |
Инфаркт миокарда, легочная эмболия, лечение с применением тромболитической терапии (уровень 3) |
3,54000 |
106 324,82 |
124 045,62 |
147 673,35 |
24 538,61 |
0,90000 |
1,05000 |
1,25000 |
0,80000 |
||||||||||||||||||||||||||||||||||||||||||||||||||
1,70000 |
1 |
1 |
1 |
st14.001 |
1.1.1.2.14.1 |
Операции на кишечнике и анальной области (уровень 1) |
0,84000 |
28 032,91 |
28 032,91 |
28 032,91 |
24 538,61 |
0,90000 |
1,05000 |
1,25000 |
0,80000 |
||||||||||||||||||||||||||||||||||||||||||||||||||
1,70000 |
1 |
1 |
1 |
st14.002 |
1.1.1.2.14.2 |
Операции на кишечнике и анальной области (уровень 2) |
1,74000 |
52 261,35 |
60 971,58 |
72 585,21 |
24 538,61 |
0,90000 |
1,05000 |
1,25000 |
0,80000 |
||||||||||||||||||||||||||||||||||||||||||||||||||
1,70000 |
1 |
1 |
1 |
st14.003 |
1.1.1.2.14.3 |
Операции на кишечнике и анальной области (уровень 3) |
2,49000 |
74 787,79 |
87 252,43 |
103 871,94 |
24 538,61 |
0,90000 |
1,05000 |
1,25000 |
0,80000 |
||||||||||||||||||||||||||||||||||||||||||||||||||
1,70000 |
1 |
1 |
1 |
st15.001 |
1.1.1.1.15.1 |
Воспалительные заболевания ЦНС, взрослые |
0,98000 |
29 434,55 |
34 340,31 |
40 881,32 |
24 538,61 |
0,90000 |
1,05000 |
1,25000 |
0,80000 |
||||||||||||||||||||||||||||||||||||||||||||||||||
1,70000 |
1 |
1 |
1 |
st15.002 |
1.1.1.1.15.2 |
Воспалительные заболевания ЦНС, дети |
1,55000 |
46 554,65 |
54 313,76 |
64 659,24 |
24 538,61 |
0,90000 |
1,05000 |
1,25000 |
0,80000 |
||||||||||||||||||||||||||||||||||||||||||||||||||
1,70000 |
1 |
1 |
1 |
st15.003 |
1.1.1.1.15.3 |
Дегенеративные болезни нервной системы |
0,84000 |
25 229,62 |
29 434,55 |
35 041,14 |
24 538,61 |
0,90000 |
1,05000 |
1,25000 |
0,80000 |
||||||||||||||||||||||||||||||||||||||||||||||||||
1,70000 |
1 |
1 |
1 |
st15.004 |
1.1.1.1.15.4 |
Демиелинизирующие болезни нервной системы |
1,33000 |
39 946,89 |
46 604,71 |
55 481,80 |
24 538,61 |
0,90000 |
1,05000 |
1,25000 |
0,80000 |
||||||||||||||||||||||||||||||||||||||||||||||||||
1,70000 |
1 |
1 |
1 |
st15.005 |
1.1.1.3.15.5 |
Эпилепсия, судороги (уровень 1) |
0,96000 |
32 037,61 |
32 037,61 |
32 037,61 |
24 538,61 |
0,90000 |
1,05000 |
1,25000 |
0,80000 |
||||||||||||||||||||||||||||||||||||||||||||||||||
1,70000 |
1 |
1 |
1 |
st15.007 |
1.1.1.1.15.7 |
Расстройства периферической нервной системы |
1,02000 |
30 635,96 |
35 741,96 |
42 549,95 |
24 538,61 |
0,90000 |
1,05000 |
1,25000 |
0,80000 |
||||||||||||||||||||||||||||||||||||||||||||||||||
1,70000 |
1 |
1 |
1 |
st15.008 |
1.1.1.1.15.8 |
Неврологические заболевания, лечение с применением ботулотоксина (уровень 1) |
1,43000 |
47 722,69 |
47 722,69 |
47 722,69 |
24 538,61 |
0,90000 |
1,05000 |
1,25000 |
0,80000 |
||||||||||||||||||||||||||||||||||||||||||||||||||
1,70000 |
1 |
1 |
1 |
st15.009 |
1.1.1.1.15.9 |
Неврологические заболевания, лечение с применением ботулотоксина (уровень 2) |
2,11000 |
70 416,00 |
70 416,00 |
70 416,00 |
24 538,61 |
0,90000 |
1,05000 |
1,25000 |
0,80000 |
||||||||||||||||||||||||||||||||||||||||||||||||||
1,70000 |
1 |
1 |
1 |
st15.010 |
1.1.1.1.15.10 |
Другие нарушения нервной системы (уровень 1) |
0,74000 |
22 226,09 |
25 930,44 |
30 869,57 |
24 538,61 |
0,90000 |
1,05000 |
1,25000 |
0,80000 |
||||||||||||||||||||||||||||||||||||||||||||||||||
1,70000 |
1 |
1 |
1 |
st15.011 |
1.1.1.1.15.11 |
Другие нарушения нервной системы (уровень 2) |
0,99000 |
29 734,91 |
34 690,72 |
41 298,48 |
24 538,61 |
0,90000 |
1,05000 |
1,25000 |
0,80000 |
||||||||||||||||||||||||||||||||||||||||||||||||||
1,70000 |
1 |
1 |
1 |
st15.012 |
1.1.1.1.15.12 |
Транзиторные ишемические приступы, сосудистые мозговые синдромы |
1,15000 |
34 540,55 |
40 297,31 |
47 972,98 |
24 538,61 |
0,90000 |
1,05000 |
1,25000 |
0,80000 |
||||||||||||||||||||||||||||||||||||||||||||||||||
1,70000 |
1 |
1 |
1 |
st15.013 |
1.1.1.1.15.13 |
Кровоизлияние в мозг |
2,82000 |
84 699,43 |
98 816,00 |
117 638,10 |
24 538,61 |
0,90000 |
1,05000 |
1,25000 |
0,80000 |
||||||||||||||||||||||||||||||||||||||||||||||||||
1,70000 |
1 |
1 |
1 |
st15.014 |
1.1.1.1.15.14 |
Инфаркт мозга (уровень 1) |
2,52000 |
75 688,85 |
88 303,66 |
105 123,41 |
24 538,61 |
0,90000 |
1,05000 |
1,25000 |
0,80000 |
||||||||||||||||||||||||||||||||||||||||||||||||||
1,70000 |
1 |
1 |
1 |
st15.015 |
1.1.1.3.15.15 |
Инфаркт мозга (уровень 2) |
3,12000 |
117 137,51 |
136 660,43 |
162 690,98 |
24 538,61 |
0,90000 |
1,05000 |
1,25000 |
1,00000 |
||||||||||||||||||||||||||||||||||||||||||||||||||
1,70000 |
1 |
1 |
1 |
st15.016 |
1.1.1.3.15.16 |
Инфаркт мозга (уровень 3) |
4,51000 |
169 323,77 |
197 544,40 |
235 171,90 |
24 538,61 |
0,90000 |
1,05000 |
1,25000 |
1,00000 |
||||||||||||||||||||||||||||||||||||||||||||||||||
1,70000 |
1 |
1 |
1 |
st15.017 |
1.1.1.1.15.17 |
Другие цереброваскулярные болезни |
0,82000 |
24 628,91 |
28 733,73 |
34 206,82 |
24 538,61 |
0,90000 |
1,05000 |
1,25000 |
0,80000 |
||||||||||||||||||||||||||||||||||||||||||||||||||
1,70000 |
1 |
1 |
1 |
st15.018 |
1.1.1.1.15.18 |
Эпилепсия, судороги (уровень 2) |
2,30000 |
69 081,09 |
80 594,61 |
95 945,97 |
24 538,61 |
0,90000 |
1,05000 |
1,25000 |
0,80000 |
||||||||||||||||||||||||||||||||||||||||||||||||||
1,70000 |
1 |
1 |
1 |
st15.019 |
1.1.1.1.15.19 |
Эпилепсия (уровень 3) |
3,16000 |
94 911,42 |
110 729,99 |
131 821,41 |
24 538,61 |
0,90000 |
1,05000 |
1,25000 |
0,80000 |
||||||||||||||||||||||||||||||||||||||||||||||||||
1,70000 |
1 |
1 |
1 |
st15.020 |
1.1.1.1.15.20 |
Эпилепсия (уровень 4) |
4,84000 |
145 370,65 |
169 599,09 |
201 903,68 |
24 538,61 |
0,90000 |
1,05000 |
1,25000 |
0,80000 |
||||||||||||||||||||||||||||||||||||||||||||||||||
1,70000 |
1 |
1 |
1 |
st16.001 |
1.1.1.1.16.1 |
Паралитические синдромы, травма спинного мозга (уровень 1) |
0,98000 |
29 434,55 |
34 340,31 |
40 881,32 |
24 538,61 |
0,90000 |
1,05000 |
1,25000 |
0,80000 |
||||||||||||||||||||||||||||||||||||||||||||||||||
1,70000 |
1 |
1 |
1 |
st16.002 |
1.1.1.1.16.2 |
Паралитические синдромы, травма спинного мозга (уровень 2) |
1,49000 |
44 752,54 |
52 211,29 |
62 156,30 |
24 538,61 |
0,90000 |
1,05000 |
1,25000 |
0,80000 |
||||||||||||||||||||||||||||||||||||||||||||||||||
1,70000 |
1 |
1 |
1 |
st16.003 |
1.1.1.1.16.3 |
Дорсопатии, спондилопатии, остеопатии |
0,68000 |
22 693,31 |
22 693,31 |
22 693,31 |
24 538,61 |
0,90000 |
1,05000 |
1,25000 |
0,80000 |
||||||||||||||||||||||||||||||||||||||||||||||||||
1,70000 |
1 |
1 |
1 |
st16.004 |
1.1.1.1.16.4 |
Травмы позвоночника |
1,01000 |
30 335,61 |
35 391,55 |
42 132,79 |
24 538,61 |
0,90000 |
1,05000 |
1,25000 |
0,80000 |
||||||||||||||||||||||||||||||||||||||||||||||||||
1,70000 |
1 |
1 |
1 |
st16.005 |
1.1.1.1.16.5 |
Сотрясение головного мозга |
0,40000 |
13 349,00 |
13 349,00 |
13 349,00 |
24 538,61 |
0,90000 |
1,05000 |
1,25000 |
0,80000 |
||||||||||||||||||||||||||||||||||||||||||||||||||
1,70000 |
1 |
1 |
1 |
st16.006 |
1.1.1.1.16.6 |
Переломы черепа, внутричерепная травма |
1,54000 |
46 254,30 |
53 963,35 |
64 242,08 |
24 538,61 |
0,90000 |
1,05000 |
1,25000 |
0,80000 |
||||||||||||||||||||||||||||||||||||||||||||||||||
1,70000 |
1 |
1 |
1 |
st16.007 |
1.1.1.2.16.7 |
Операции на центральной нервной системе и головном мозге (уровень 1) |
4,13000 |
124 045,62 |
144 719,89 |
172 285,58 |
24 538,61 |
0,90000 |
1,05000 |
1,25000 |
0,80000 |
||||||||||||||||||||||||||||||||||||||||||||||||||
1,70000 |
1 |
1 |
1 |
st16.008 |
1.1.1.2.16.8 |
Операции на центральной нервной системе и головном мозге (уровень 2) |
5,82000 |
174 805,21 |
203 939,41 |
242 785,01 |
24 538,61 |
0,90000 |
1,05000 |
1,25000 |
0,80000 |
||||||||||||||||||||||||||||||||||||||||||||||||||
1,70000 |
1 |
1 |
1 |
st16.009 |
1.1.1.2.16.9 |
Операции на периферической нервной системе (уровень 1) |
1,41000 |
42 349,71 |
49 408,00 |
58 819,05 |
24 538,61 |
0,90000 |
1,05000 |
1,25000 |
0,80000 |
||||||||||||||||||||||||||||||||||||||||||||||||||
1,70000 |
1 |
1 |
1 |
st16.010 |
1.1.1.2.16.10 |
Операции на периферической нервной системе (уровень 2) |
2,19000 |
73 085,80 |
73 085,80 |
73 085,80 |
24 538,61 |
0,90000 |
1,05000 |
1,25000 |
0,80000 |
||||||||||||||||||||||||||||||||||||||||||||||||||
1,70000 |
1 |
1 |
1 |
st16.011 |
1.1.1.2.16.11 |
Операции на периферической нервной системе (уровень 3) |
2,42000 |
80 761,47 |
80 761,47 |
80 761,47 |
24 538,61 |
0,90000 |
1,05000 |
1,25000 |
0,80000 |
||||||||||||||||||||||||||||||||||||||||||||||||||
1,70000 |
1 |
1 |
1 |
st16.012 |
1.1.1.1.16.12 |
Доброкачественные новообразования нервной системы |
1,02000 |
30 635,96 |
35 741,96 |
42 549,95 |
24 538,61 |
0,90000 |
1,05000 |
1,25000 |
0,80000 |
||||||||||||||||||||||||||||||||||||||||||||||||||
1,70000 |
1 |
1 |
1 |
st17.001 |
1.1.1.1.17.1 |
Малая масса тела при рождении, недоношенность |
4,21000 |
158 060,55 |
184 403,97 |
219 528,54 |
24 538,61 |
0,90000 |
1,05000 |
1,25000 |
1,00000 |
||||||||||||||||||||||||||||||||||||||||||||||||||
1,70000 |
1 |
1 |
1 |
st17.002 |
1.1.1.1.17.2 |
Крайне малая масса тела при рождении, крайняя незрелость |
15,63000 |
586 813,87 |
684 616,18 |
815 019,26 |
24 538,61 |
0,90000 |
1,05000 |
1,25000 |
1,00000 |
||||||||||||||||||||||||||||||||||||||||||||||||||
1,70000 |
1 |
1 |
1 |
st17.003 |
1.1.1.3.17.3 |
Лечение новорожденных с тяжелой патологией с применением аппаратных методов поддержки или замещения витальных функций |
7,40000 |
277 826,14 |
324 130,50 |
385 869,64 |
24 538,61 |
0,90000 |
1,05000 |
1,25000 |
1,00000 |
||||||||||||||||||||||||||||||||||||||||||||||||||
1,70000 |
1 |
1 |
1 |
st17.004 |
1.1.1.1.17.4 |
Геморрагические и гемолитические нарушения у новорожденных |
1,92000 |
57 667,70 |
67 278,98 |
80 094,02 |
24 538,61 |
0,90000 |
1,05000 |
1,25000 |
0,80000 |
||||||||||||||||||||||||||||||||||||||||||||||||||
1,70000 |
1 |
1 |
1 |
st17.005 |
1.1.1.1.17.5 |
Другие нарушения, возникшие в перинатальном периоде (уровень 1) |
1,39000 |
41 749,01 |
48 707,18 |
57 984,74 |
24 538,61 |
0,90000 |
1,05000 |
1,25000 |
0,80000 |
||||||||||||||||||||||||||||||||||||||||||||||||||
1,70000 |
1 |
1 |
1 |
st17.006 |
1.1.1.1.17.6 |
Другие нарушения, возникшие в перинатальном периоде (уровень 2) |
1,89000 |
56 766,64 |
66 227,75 |
78 842,55 |
24 538,61 |
0,90000 |
1,05000 |
1,25000 |
0,80000 |
||||||||||||||||||||||||||||||||||||||||||||||||||
1,70000 |
1 |
1 |
1 |
st17.007 |
1.1.1.1.17.7 |
Другие нарушения, возникшие в перинатальном периоде (уровень 3) |
2,56000 |
76 890,26 |
89 705,31 |
106 792,03 |
24 538,61 |
0,90000 |
1,05000 |
1,25000 |
0,80000 |
||||||||||||||||||||||||||||||||||||||||||||||||||
1,70000 |
1 |
1 |
1 |
st18.001 |
1.1.1.1.18.1 |
Почечная недостаточность |
1,66000 |
49 858,53 |
58 168,28 |
69 247,96 |
24 538,61 |
0,90000 |
1,05000 |
1,25000 |
0,80000 |
||||||||||||||||||||||||||||||||||||||||||||||||||
1,70000 |
1 |
1 |
1 |
st18.002 |
1.1.1.3.18.2 |
Формирование, имплантация, реконструкция, удаление, смена доступа для диализа |
1,82000 |
54 664,17 |
63 774,87 |
75 922,46 |
24 538,61 |
0,90000 |
1,05000 |
1,25000 |
0,80000 |
||||||||||||||||||||||||||||||||||||||||||||||||||
1,70000 |
1 |
1 |
1 |
st18.003 |
1.1.1.1.18.3 |
Гломерулярные болезни |
1,71000 |
51 360,29 |
59 920,34 |
71 333,74 |
24 538,61 |
0,90000 |
1,05000 |
1,25000 |
0,80000 |
||||||||||||||||||||||||||||||||||||||||||||||||||
1,70000 |
1 |
1 |
1 |
st19.001 |
1.1.1.2.19.1 |
Операции на женских половых органах при злокачественных новообразованиях (уровень 1) |
2,41000 |
90 481,22 |
105 561,42 |
125 668,36 |
24 538,61 |
0,90000 |
1,05000 |
1,25000 |
1,00000 |
||||||||||||||||||||||||||||||||||||||||||||||||||
1,70000 |
1 |
1 |
1 |
st19.002 |
1.1.1.2.19.2 |
Операции на женских половых органах при злокачественных новообразованиях (уровень 2) |
4,02000 |
150 927,17 |
176 081,70 |
209 621,08 |
24 538,61 |
0,90000 |
1,05000 |
1,25000 |
1,00000 |
||||||||||||||||||||||||||||||||||||||||||||||||||
1,70000 |
1 |
1 |
1 |
st19.003 |
1.1.1.2.19.3 |
Операции на женских половых органах при злокачественных новообразованиях (уровень 3) |
4,89000 |
183 590,52 |
214 188,94 |
254 986,83 |
24 538,61 |
0,90000 |
1,05000 |
1,25000 |
1,00000 |
||||||||||||||||||||||||||||||||||||||||||||||||||
1,70000 |
1 |
1 |
1 |
st19.004 |
1.1.1.2.19.4 |
Операции на кишечнике и анальной области при злокачественных новообразованиях (уровень 1) |
3,05000 |
114 509,42 |
133 594,33 |
159 040,87 |
24 538,61 |
0,90000 |
1,05000 |
1,25000 |
1,00000 |
||||||||||||||||||||||||||||||||||||||||||||||||||
1,70000 |
1 |
1 |
1 |
st19.005 |
1.1.1.2.19.5 |
Операции на кишечнике и анальной области при злокачественных новообразованиях (уровень 2) |
5,31000 |
199 359,03 |
232 585,53 |
276 887,54 |
24 538,61 |
0,90000 |
1,05000 |
1,25000 |
1,00000 |
||||||||||||||||||||||||||||||||||||||||||||||||||
1,70000 |
1 |
1 |
1 |
st19.006 |
1.1.1.2.19.6 |
Операции при злокачественных новообразованиях почки и мочевыделительной системы (уровень 1) |
1,66000 |
62 323,16 |
72 710,36 |
86 559,95 |
24 538,61 |
0,90000 |
1,05000 |
1,25000 |
1,00000 |
||||||||||||||||||||||||||||||||||||||||||||||||||
1,70000 |
1 |
1 |
1 |
st19.007 |
1.1.1.2.19.7 |
Операции при злокачественных новообразованиях почки и мочевыделительной системы (уровень 2) |
2,77000 |
103 997,08 |
121 329,93 |
144 440,39 |
24 538,61 |
0,90000 |
1,05000 |
1,25000 |
1,00000 |
||||||||||||||||||||||||||||||||||||||||||||||||||
1,70000 |
1 |
1 |
1 |
st19.008 |
1.1.1.2.19.8 |
Операции при злокачественных новообразованиях почки и мочевыделительной системы (уровень 3) |
4,32000 |
162 190,40 |
189 222,13 |
225 264,44 |
24 538,61 |
0,90000 |
1,05000 |
1,25000 |
1,00000 |
||||||||||||||||||||||||||||||||||||||||||||||||||
1,70000 |
1 |
1 |
1 |
st19.009 |
1.1.1.2.19.9 |
Операции при злокачественных новообразованиях кожи (уровень 1) |
1,29000 |
48 431,85 |
56 503,83 |
67 266,46 |
24 538,61 |
0,90000 |
1,05000 |
1,25000 |
1,00000 |
||||||||||||||||||||||||||||||||||||||||||||||||||
1,70000 |
1 |
1 |
1 |
st19.010 |
1.1.1.2.19.10 |
Операции при злокачественных новообразованиях кожи (уровень 2) |
1,55000 |
58 193,31 |
67 892,20 |
80 824,05 |
24 538,61 |
0,90000 |
1,05000 |
1,25000 |
1,00000 |
||||||||||||||||||||||||||||||||||||||||||||||||||
1,70000 |
1 |
1 |
1 |
st19.011 |
1.1.1.2.19.11 |
Операции при злокачественных новообразованиях кожи (уровень 3) |
1,71000 |
64 200,37 |
74 900,43 |
89 167,17 |
24 538,61 |
0,90000 |
1,05000 |
1,25000 |
1,00000 |
||||||||||||||||||||||||||||||||||||||||||||||||||
1,70000 |
1 |
1 |
1 |
st19.012 |
1.1.1.2.19.12 |
Операции при злокачественном новообразовании щитовидной железы (уровень 1) |
2,29000 |
85 975,93 |
100 305,25 |
119 411,01 |
24 538,61 |
0,90000 |
1,05000 |
1,25000 |
1,00000 |
||||||||||||||||||||||||||||||||||||||||||||||||||
1,70000 |
1 |
1 |
1 |
st19.013 |
1.1.1.2.19.13 |
Операции при злокачественном новообразовании щитовидной железы (уровень 2) |
2,49000 |
93 484,74 |
109 065,53 |
129 839,92 |
24 538,61 |
0,90000 |
1,05000 |
1,25000 |
1,00000 |
||||||||||||||||||||||||||||||||||||||||||||||||||
1,70000 |
1 |
1 |
1 |
st19.014 |
1.1.1.2.19.14 |
Мастэктомия, другие операции при злокачественном новообразовании молочной железы (уровень 1) |
2,79000 |
104 747,96 |
122 205,96 |
145 483,28 |
24 538,61 |
0,90000 |
1,05000 |
1,25000 |
1,00000 |
||||||||||||||||||||||||||||||||||||||||||||||||||
1,70000 |
1 |
1 |
1 |
st19.015 |
1.1.1.2.19.15 |
Мастэктомия, другие операции при злокачественном новообразовании молочной железы (уровень 2) |
3,95000 |
148 299,09 |
173 015,60 |
205 970,96 |
24 538,61 |
0,90000 |
1,05000 |
1,25000 |
1,00000 |
||||||||||||||||||||||||||||||||||||||||||||||||||
1,70000 |
1 |
1 |
1 |
st19.016 |
1.1.1.2.19.16 |
Операции при злокачественном новообразовании желчного пузыря, желчных протоков (уровень 1) |
2,38000 |
89 354,89 |
104 247,38 |
124 104,02 |
24 538,61 |
0,90000 |
1,05000 |
1,25000 |
1,00000 |
||||||||||||||||||||||||||||||||||||||||||||||||||
1,70000 |
1 |
1 |
1 |
st19.017 |
1.1.1.2.19.17 |
Операции при злокачественном новообразовании желчного пузыря, желчных протоков (уровень 2) |
2,63000 |
98 740,91 |
115 197,73 |
137 140,16 |
24 538,61 |
0,90000 |
1,05000 |
1,25000 |
1,00000 |
||||||||||||||||||||||||||||||||||||||||||||||||||
1,70000 |
1 |
1 |
1 |
st19.018 |
1.1.1.2.19.18 |
Операции при злокачественном новообразовании пищевода, желудка (уровень 1) |
2,17000 |
81 470,64 |
95 049,08 |
113 153,67 |
24 538,61 |
0,90000 |
1,05000 |
1,25000 |
1,00000 |
||||||||||||||||||||||||||||||||||||||||||||||||||
1,70000 |
1 |
1 |
1 |
st19.019 |
1.1.1.2.19.19 |
Операции при злокачественном новообразовании пищевода, желудка (уровень 2) |
3,43000 |
128 776,17 |
150 238,87 |
178 855,79 |
24 538,61 |
0,90000 |
1,05000 |
1,25000 |
1,00000 |
||||||||||||||||||||||||||||||||||||||||||||||||||
1,70000 |
1 |
1 |
1 |
st19.020 |
1.1.1.2.19.20 |
Операции при злокачественном новообразовании пищевода, желудка (уровень 3) |
4,27000 |
160 313,19 |
187 032,06 |
222 657,21 |
24 538,61 |
0,90000 |
1,05000 |
1,25000 |
1,00000 |
||||||||||||||||||||||||||||||||||||||||||||||||||
1,70000 |
1 |
1 |
1 |
st19.021 |
1.1.1.2.19.21 |
Другие операции при злокачественном новообразовании брюшной полости |
3,66000 |
137 411,31 |
160 313,19 |
190 849,04 |
24 538,61 |
0,90000 |
1,05000 |
1,25000 |
1,00000 |
||||||||||||||||||||||||||||||||||||||||||||||||||
1,70000 |
1 |
1 |
1 |
st19.022 |
1.1.1.2.19.22 |
Операции на органе слуха, придаточных пазухах носа и верхних дыхательных путях при злокачественных новообразованиях |
2,81000 |
105 498,85 |
123 081,99 |
146 526,17 |
24 538,61 |
0,90000 |
1,05000 |
1,25000 |
1,00000 |
||||||||||||||||||||||||||||||||||||||||||||||||||
1,70000 |
1 |
1 |
1 |
st19.023 |
1.1.1.2.19.23 |
Операции на нижних дыхательных путях и легочной ткани при злокачественных новообразованиях (уровень 1) |
3,42000 |
128 400,73 |
149 800,85 |
178 334,35 |
24 538,61 |
0,90000 |
1,05000 |
1,25000 |
1,00000 |
||||||||||||||||||||||||||||||||||||||||||||||||||
1,70000 |
1 |
1 |
1 |
st19.024 |
1.1.1.2.19.24 |
Операции на нижних дыхательных путях и легочной ткани при злокачественных новообразованиях (уровень 2) |
5,31000 |
199 359,03 |
232 585,53 |
276 887,54 |
24 538,61 |
0,90000 |
1,05000 |
1,25000 |
1,00000 |
||||||||||||||||||||||||||||||||||||||||||||||||||
1,70000 |
1 |
1 |
1 |
st19.025 |
1.1.1.2.19.25 |
Операции при злокачественных новообразованиях мужских половых органов (уровень 1) |
2,86000 |
107 376,05 |
125 272,06 |
149 133,40 |
24 538,61 |
0,90000 |
1,05000 |
1,25000 |
1,00000 |
||||||||||||||||||||||||||||||||||||||||||||||||||
1,70000 |
1 |
1 |
1 |
st19.026 |
1.1.1.2.19.26 |
Операции при злокачественных новообразованиях мужских половых органов (уровень 2) |
4,31000 |
161 814,96 |
188 784,12 |
224 742,99 |
24 538,61 |
0,90000 |
1,05000 |
1,25000 |
1,00000 |
||||||||||||||||||||||||||||||||||||||||||||||||||
1,70000 |
1 |
1 |
1 |
st19.037 |
1.1.1.2.19.37 |
Фебрильная нейтропения, агранулоцитоз вследствие проведения лекарственной терапии злокачественных новообразований |
2,93000 |
110 004,13 |
128 338,16 |
152 783,52 |
24 538,61 |
0,90000 |
1,05000 |
1,25000 |
1,00000 |
||||||||||||||||||||||||||||||||||||||||||||||||||
1,70000 |
1 |
1 |
1 |
st19.038 |
1.1.1.2.19.38 |
Установка, замена порт системы (катетера) для лекарственной терапии злокачественных новообразований |
1,24000 |
46 554,65 |
54 313,76 |
64 659,24 |
24 538,61 |
0,90000 |
1,05000 |
1,25000 |
1,00000 |
||||||||||||||||||||||||||||||||||||||||||||||||||
1,70000 |
1 |
1 |
1 |
st19.075 |
1.1.1.2.19.75 |
Лучевая терапия (уровень 1) |
0,79000 |
29 659,82 |
34 603,12 |
41 194,19 |
24 538,61 |
0,90000 |
1,05000 |
1,25000 |
1,00000 |
||||||||||||||||||||||||||||||||||||||||||||||||||
1,70000 |
1 |
1 |
1 |
st19.076 |
1.1.1.2.19.76 |
Лучевая терапия (уровень 2) |
1,14000 |
42 800,24 |
49 933,62 |
59 444,78 |
24 538,61 |
0,90000 |
1,05000 |
1,25000 |
1,00000 |
||||||||||||||||||||||||||||||||||||||||||||||||||
1,70000 |
1 |
1 |
1 |
st19.077 |
1.1.1.2.19.77 |
Лучевая терапия (уровень 3) |
2,46000 |
92 358,42 |
107 751,49 |
128 275,58 |
24 538,61 |
0,90000 |
1,05000 |
1,25000 |
1,00000 |
||||||||||||||||||||||||||||||||||||||||||||||||||
1,70000 |
1 |
1 |
1 |
st19.078 |
1.1.1.2.19.78 |
Лучевая терапия (уровень 4) |
2,51000 |
94 235,62 |
109 941,56 |
130 882,81 |
24 538,61 |
0,90000 |
1,05000 |
1,25000 |
1,00000 |
||||||||||||||||||||||||||||||||||||||||||||||||||
1,70000 |
1 |
1 |
1 |
st19.079 |
1.1.1.2.19.79 |
Лучевая терапия (уровень 5) |
2,82000 |
105 874,29 |
123 520,00 |
147 047,62 |
24 538,61 |
0,90000 |
1,05000 |
1,25000 |
1,00000 |
||||||||||||||||||||||||||||||||||||||||||||||||||
1,70000 |
1 |
1 |
1 |
st19.080 |
1.1.1.2.19.80 |
Лучевая терапия (уровень 6) |
4,51000 |
169 323,77 |
197 544,40 |
235 171,90 |
24 538,61 |
0,90000 |
1,05000 |
1,25000 |
1,00000 |
||||||||||||||||||||||||||||||||||||||||||||||||||
1,70000 |
1 |
1 |
1 |
st19.081 |
1.1.1.2.19.81 |
Лучевая терапия (уровень 7) |
4,87000 |
182 839,64 |
213 312,91 |
253 943,94 |
24 538,61 |
0,90000 |
1,05000 |
1,25000 |
1,00000 |
||||||||||||||||||||||||||||||||||||||||||||||||||
1,70000 |
1 |
1 |
1 |
st19.082 |
1.1.1.2.19.82 |
Лучевая терапия (уровень 8) |
14,55000 |
546 266,27 |
637 310,64 |
758 703,15 |
24 538,61 |
0,90000 |
1,05000 |
1,25000 |
1,00000 |
||||||||||||||||||||||||||||||||||||||||||||||||||
1,70000 |
1 |
1 |
1 |
st19.084 |
1.1.1.2.19.84 |
Лучевая терапия в сочетании с лекарственной терапией (уровень 2) |
3,78000 |
135 565,04 |
156 161,87 |
183 624,31 |
24 538,61 |
0,90000 |
1,05000 |
1,25000 |
1,00000 |
||||||||||||||||||||||||||||||||||||||||||||||||||
1,70000 |
1 |
1 |
1 |
st19.085 |
1.1.1.2.19.85 |
Лучевая терапия в сочетании с лекарственной терапией (уровень 3) |
4,37000 |
157 724,94 |
182 017,88 |
214 408,47 |
24 538,61 |
0,90000 |
1,05000 |
1,25000 |
1,00000 |
||||||||||||||||||||||||||||||||||||||||||||||||||
1,70000 |
1 |
1 |
1 |
st19.086 |
1.1.1.2.19.86 |
Лучевая терапия в сочетании с лекарственной терапией (уровень 4) |
5,85000 |
209 780,21 |
241 645,28 |
284 132,03 |
24 538,61 |
0,90000 |
1,05000 |
1,25000 |
1,00000 |
||||||||||||||||||||||||||||||||||||||||||||||||||
1,70000 |
1 |
1 |
1 |
st19.087 |
1.1.1.2.19.87 |
Лучевая терапия в сочетании с лекарственной терапией (уровень 5) |
6,57000 |
236 829,74 |
273 208,65 |
321 713,87 |
24 538,61 |
0,90000 |
1,05000 |
1,25000 |
1,00000 |
||||||||||||||||||||||||||||||||||||||||||||||||||
1,70000 |
1 |
1 |
1 |
st19.088 |
1.1.1.2.19.88 |
Лучевая терапия в сочетании с лекарственной терапией (уровень 6) |
9,49000 |
289 682,48 |
317 016,12 |
353 460,96 |
24 538,61 |
0,90000 |
1,05000 |
1,25000 |
1,00000 |
||||||||||||||||||||||||||||||||||||||||||||||||||
1,70000 |
1 |
1 |
1 |
st19.089 |
1.1.1.2.19.89 |
Лучевая терапия в сочетании с лекарственной терапией (уровень 7) |
16,32000 |
457 267,99 |
484 595,27 |
521 031,64 |
24 538,61 |
0,90000 |
1,05000 |
1,25000 |
1,00000 |
||||||||||||||||||||||||||||||||||||||||||||||||||
1,70000 |
1 |
1 |
1 |
st19.090 |
1.1.1.2.19.90 |
ЗНО лимфоидной и кроветворной тканей без специального противоопухолевого лечения (уровень 1) |
0,43000 |
16 143,95 |
18 834,61 |
22 422,15 |
24 538,61 |
0,90000 |
1,05000 |
1,25000 |
1,00000 |
||||||||||||||||||||||||||||||||||||||||||||||||||
1,70000 |
1 |
1 |
1 |
st19.091 |
1.1.1.2.19.91 |
ЗНО лимфоидной и кроветворной тканей без специального противоопухолевого лечения (уровень 2) |
1,37000 |
51 435,38 |
60 007,94 |
71 438,03 |
24 538,61 |
0,90000 |
1,05000 |
1,25000 |
1,00000 |
||||||||||||||||||||||||||||||||||||||||||||||||||
1,70000 |
1 |
1 |
1 |
st19.092 |
1.1.1.2.19.92 |
ЗНО лимфоидной и кроветворной тканей без специального противоопухолевого лечения (уровень 3) |
2,85000 |
107 000,61 |
124 834,04 |
148 611,96 |
24 538,61 |
0,90000 |
1,05000 |
1,25000 |
1,00000 |
||||||||||||||||||||||||||||||||||||||||||||||||||
1,70000 |
1 |
1 |
1 |
st19.093 |
1.1.1.2.19.93 |
ЗНО лимфоидной и кроветворной тканей без специального противоопухолевого лечения (уровень 4) |
4,87000 |
182 839,64 |
213 312,91 |
253 943,94 |
24 538,61 |
0,90000 |
1,05000 |
1,25000 |
1,00000 |
||||||||||||||||||||||||||||||||||||||||||||||||||
1,70000 |
1 |
1 |
1 |
st19.094 |
1.1.1.2.19.94 |
ЗНО лимфоидной и кроветворной тканей, лекарственная терапия, взрослые (уровень 1) |
1,46000 |
50 236,35 |
57 169,45 |
66 413,58 |
24 538,61 |
0,90000 |
1,05000 |
1,25000 |
1,00000 |
||||||||||||||||||||||||||||||||||||||||||||||||||
1,70000 |
1 |
1 |
1 |
st19.095 |
1.1.1.2.19.95 |
ЗНО лимфоидной и кроветворной тканей, лекарственная терапия, взрослые (уровень 2) |
3,65000 |
125 590,86 |
142 923,62 |
166 033,96 |
24 538,61 |
0,90000 |
1,05000 |
1,25000 |
1,00000 |
||||||||||||||||||||||||||||||||||||||||||||||||||
1,70000 |
1 |
1 |
1 |
st19.096 |
1.1.1.2.19.96 |
ЗНО лимфоидной и кроветворной тканей, лекарственная терапия, взрослые (уровень 3) |
7,18000 |
247 052,71 |
281 148,38 |
326 609,26 |
24 538,61 |
0,90000 |
1,05000 |
1,25000 |
1,00000 |
||||||||||||||||||||||||||||||||||||||||||||||||||
1,70000 |
1 |
1 |
1 |
st19.097 |
1.1.1.2.19.97 |
ЗНО лимфоидной и кроветворной тканей, лекарственная терапия с применением отдельных препаратов (по перечню), взрослые (уровень 1) |
3,52000 |
99 326,85 |
105 557,97 |
113 866,12 |
24 538,61 |
0,90000 |
1,05000 |
1,25000 |
1,00000 |
||||||||||||||||||||||||||||||||||||||||||||||||||
1,70000 |
1 |
1 |
1 |
st19.098 |
1.1.1.2.19.98 |
ЗНО лимфоидной и кроветворной тканей, лекарственная терапия с применением отдельных препаратов (по перечню), взрослые (уровень 2) |
5,79000 |
177 462,79 |
194 487,28 |
217 186,60 |
24 538,61 |
0,90000 |
1,05000 |
1,25000 |
1,00000 |
||||||||||||||||||||||||||||||||||||||||||||||||||
1,70000 |
1 |
1 |
1 |
st19.099 |
1.1.1.2.19.99 |
ЗНО лимфоидной и кроветворной тканей, лекарственная терапия с применением отдельных препаратов (по перечню), взрослые (уровень 3) |
9,00000 |
287 904,96 |
320 168,46 |
363 186,46 |
24 538,61 |
0,90000 |
1,05000 |
1,25000 |
1,00000 |
||||||||||||||||||||||||||||||||||||||||||||||||||
1,70000 |
1 |
1 |
1 |
st19.100 |
1.1.1.2.19.100 |
ЗНО лимфоидной и кроветворной тканей, лекарственная терапия с применением отдельных препаратов (по перечню), взрослые (уровень 4) |
14,84000 |
373 764,43 |
378 388,80 |
384 554,64 |
24 538,61 |
0,90000 |
1,05000 |
1,25000 |
1,00000 |
||||||||||||||||||||||||||||||||||||||||||||||||||
1,70000 |
1 |
1 |
1 |
st19.101 |
1.1.1.2.19.101 |
ЗНО лимфоидной и кроветворной тканей, лекарственная терапия с применением отдельных препаратов (по перечню), взрослые (уровень 5) |
17,50000 |
465 317,50 |
482 586,21 |
505 611,16 |
24 538,61 |
0,90000 |
1,05000 |
1,25000 |
1,00000 |
||||||||||||||||||||||||||||||||||||||||||||||||||
1,70000 |
1 |
1 |
1 |
st19.102 |
1.1.1.2.19.102 |
ЗНО лимфоидной и кроветворной тканей, лекарственная терапия с применением отдельных препаратов (по перечню), взрослые (уровень 6) |
20,60000 |
572 018,05 |
604 024,25 |
646 699,18 |
24 538,61 |
0,90000 |
1,05000 |
1,25000 |
1,00000 |
||||||||||||||||||||||||||||||||||||||||||||||||||
1,70000 |
1 |
1 |
1 |
st19.103 |
1.1.1.2.19.103 |
Лучевые повреждения |
2,64000 |
99 116,35 |
115 635,75 |
137 661,60 |
24 538,61 |
0,90000 |
1,05000 |
1,25000 |
1,00000 |
||||||||||||||||||||||||||||||||||||||||||||||||||
1,70000 |
1 |
1 |
1 |
st19.104 |
1.1.1.2.19.104 |
Эвисцерация малого таза при лучевых повреждениях |
19,75000 |
741 495,45 |
865 078,02 |
1 029 854,79 |
24 538,61 |
0,90000 |
1,05000 |
1,25000 |
1,00000 |
||||||||||||||||||||||||||||||||||||||||||||||||||
1,70000 |
1 |
1 |
1 |
st19.105 |
1.1.1.1.19.105 |
Лекарственная терапия при злокачественных новообразованиях (кроме лимфоидной и кроветворной тканей), взрослые (уровень 1) |
0,40000 |
12 709,42 |
14 101,80 |
15 958,32 |
24 538,61 |
0,90000 |
1,05000 |
1,25000 |
1,00000 |
||||||||||||||||||||||||||||||||||||||||||||||||||
1,70000 |
1 |
1 |
1 |
st19.106 |
1.1.1.1.19.106 |
Лекарственная терапия при злокачественных новообразованиях (кроме лимфоидной и кроветворной тканей), взрослые (уровень 2) |
0,76000 |
22 768,07 |
24 749,72 |
27 391,92 |
24 538,61 |
0,90000 |
1,05000 |
1,25000 |
1,00000 |
||||||||||||||||||||||||||||||||||||||||||||||||||
1,70000 |
1 |
1 |
1 |
st19.107 |
1.1.1.1.19.107 |
Лекарственная терапия при злокачественных новообразованиях (кроме лимфоидной и кроветворной тканей), взрослые (уровень 3) |
1,07000 |
29 555,76 |
31 143,23 |
33 259,86 |
24 538,61 |
0,90000 |
1,05000 |
1,25000 |
1,00000 |
||||||||||||||||||||||||||||||||||||||||||||||||||
1,70000 |
1 |
1 |
1 |
st19.108 |
1.1.1.1.19.108 |
Лекарственная терапия при злокачественных новообразованиях (кроме лимфоидной и кроветворной тканей), взрослые (уровень 4) |
1,37000 |
36 958,67 |
38 566,03 |
40 709,17 |
24 538,61 |
0,90000 |
1,05000 |
1,25000 |
1,00000 |
||||||||||||||||||||||||||||||||||||||||||||||||||
1,70000 |
1 |
1 |
1 |
st19.109 |
1.1.1.1.19.109 |
Лекарственная терапия при злокачественных новообразованиях (кроме лимфоидной и кроветворной тканей), взрослые (уровень 5) |
2,16000 |
62 133,23 |
66 525,89 |
72 382,76 |
24 538,61 |
0,90000 |
1,05000 |
1,25000 |
1,00000 |
||||||||||||||||||||||||||||||||||||||||||||||||||
1,70000 |
1 |
1 |
1 |
st19.110 |
1.1.1.1.19.110 |
Лекарственная терапия при злокачественных новообразованиях (кроме лимфоидной и кроветворной тканей), взрослые (уровень 6) |
2,68000 |
68 816,74 |
70 285,77 |
72 244,47 |
24 538,61 |
0,90000 |
1,05000 |
1,25000 |
1,00000 |
||||||||||||||||||||||||||||||||||||||||||||||||||
1,70000 |
1 |
1 |
1 |
st19.111 |
1.1.1.1.19.111 |
Лекарственная терапия при злокачественных новообразованиях (кроме лимфоидной и кроветворной тканей), взрослые (уровень 7) |
3,53000 |
89 885,44 |
91 455,93 |
93 549,91 |
24 538,61 |
0,90000 |
1,05000 |
1,25000 |
1,00000 |
||||||||||||||||||||||||||||||||||||||||||||||||||
1,70000 |
1 |
1 |
1 |
st19.112 |
1.1.1.1.19.112 |
Лекарственная терапия при злокачественных новообразованиях (кроме лимфоидной и кроветворной тканей), взрослые (уровень 8) |
4,44000 |
113 438,16 |
115 596,87 |
118 475,15 |
24 538,61 |
0,90000 |
1,05000 |
1,25000 |
1,00000 |
||||||||||||||||||||||||||||||||||||||||||||||||||
1,70000 |
1 |
1 |
1 |
st19.113 |
1.1.1.1.19.113 |
Лекарственная терапия при злокачественных новообразованиях (кроме лимфоидной и кроветворной тканей), взрослые (уровень 9) |
4,88000 |
123 454,87 |
125 238,16 |
127 615,89 |
24 538,61 |
0,90000 |
1,05000 |
1,25000 |
1,00000 |
||||||||||||||||||||||||||||||||||||||||||||||||||
1,70000 |
1 |
1 |
1 |
st19.114 |
1.1.1.1.19.114 |
Лекарственная терапия при злокачественных новообразованиях (кроме лимфоидной и кроветворной тканей), взрослые (уровень 10) |
5,25000 |
132 781,04 |
134 683,11 |
137 219,22 |
24 538,61 |
0,90000 |
1,05000 |
1,25000 |
1,00000 |
||||||||||||||||||||||||||||||||||||||||||||||||||
1,70000 |
1 |
1 |
1 |
st19.115 |
1.1.1.1.19.115 |
Лекарственная терапия при злокачественных новообразованиях (кроме лимфоидной и кроветворной тканей), взрослые (уровень 11) |
5,74000 |
146 278,78 |
148 889,95 |
152 371,52 |
24 538,61 |
0,90000 |
1,05000 |
1,25000 |
1,00000 |
||||||||||||||||||||||||||||||||||||||||||||||||||
1,70000 |
1 |
1 |
1 |
st19.116 |
1.1.1.1.19.116 |
Лекарственная терапия при злокачественных новообразованиях (кроме лимфоидной и кроветворной тканей), взрослые (уровень 12) |
6,76000 |
171 068,10 |
173 563,78 |
176 891,36 |
24 538,61 |
0,90000 |
1,05000 |
1,25000 |
1,00000 |
||||||||||||||||||||||||||||||||||||||||||||||||||
1,70000 |
1 |
1 |
1 |
st19.117 |
1.1.1.1.19.117 |
Лекарственная терапия при злокачественных новообразованиях (кроме лимфоидной и кроветворной тканей), взрослые (уровень 13) |
8,07000 |
201 511,06 |
203 187,55 |
205 422,88 |
24 538,61 |
0,90000 |
1,05000 |
1,25000 |
1,00000 |
||||||||||||||||||||||||||||||||||||||||||||||||||
1,70000 |
1 |
1 |
1 |
st19.118 |
1.1.1.1.19.118 |
Лекарственная терапия при злокачественных новообразованиях (кроме лимфоидной и кроветворной тканей), взрослые (уровень 14) |
10,11000 |
250 912,28 |
252 272,41 |
254 085,91 |
24 538,61 |
0,90000 |
1,05000 |
1,25000 |
1,00000 |
||||||||||||||||||||||||||||||||||||||||||||||||||
1,70000 |
1 |
1 |
1 |
st19.119 |
1.1.1.1.19.119 |
Лекарственная терапия при злокачественных новообразованиях (кроме лимфоидной и кроветворной тканей), взрослые (уровень 15) |
13,86000 |
342 899,10 |
344 243,36 |
346 035,72 |
24 538,61 |
0,90000 |
1,05000 |
1,25000 |
1,00000 |
||||||||||||||||||||||||||||||||||||||||||||||||||
1,70000 |
1 |
1 |
1 |
st19.120 |
1.1.1.1.19.120 |
Лекарственная терапия при злокачественных новообразованиях (кроме лимфоидной и кроветворной тканей), взрослые (уровень 16) |
17,20000 |
424 726,05 |
426 006,80 |
427 714,48 |
24 538,61 |
0,90000 |
1,05000 |
1,25000 |
1,00000 |
||||||||||||||||||||||||||||||||||||||||||||||||||
1,70000 |
1 |
1 |
1 |
st19.121 |
1.1.1.1.19.121 |
Лекарственная терапия при злокачественных новообразованиях (кроме лимфоидной и кроветворной тканей), взрослые (уровень 17) |
29,17000 |
718 408,90 |
719 668,34 |
721 347,58 |
24 538,61 |
0,90000 |
1,05000 |
1,25000 |
1,00000 |
||||||||||||||||||||||||||||||||||||||||||||||||||
1,70000 |
1 |
1 |
1 |
st19.122 |
1.1.1.2.19.122 |
Поздний посттрансплантационный период после пересадки костного мозга |
23,41000 |
754 231,25 |
840 730,32 |
956 062,42 |
24 538,61 |
0,90000 |
1,05000 |
1,25000 |
1,00000 |
||||||||||||||||||||||||||||||||||||||||||||||||||
1,70000 |
1 |
1 |
1 |
st20.001 |
1.1.1.1.20.1 |
Доброкачественные новообразования, новообразования in situ уха, горла, носа, полости рта |
0,66000 |
19 823,27 |
23 127,15 |
27 532,32 |
24 538,61 |
0,90000 |
1,05000 |
1,25000 |
0,80000 |
||||||||||||||||||||||||||||||||||||||||||||||||||
1,70000 |
1 |
1 |
1 |
st20.002 |
1.1.1.1.20.2 |
Средний отит, мастоидит, нарушения вестибулярной функции |
0,47000 |
14 116,57 |
16 469,33 |
19 606,35 |
24 538,61 |
0,90000 |
1,05000 |
1,25000 |
0,80000 |
||||||||||||||||||||||||||||||||||||||||||||||||||
1,70000 |
1 |
1 |
1 |
st20.003 |
1.1.1.1.20.3 |
Другие болезни уха |
0,61000 |
18 321,51 |
21 375,09 |
25 446,54 |
24 538,61 |
0,90000 |
1,05000 |
1,25000 |
0,80000 |
||||||||||||||||||||||||||||||||||||||||||||||||||
1,70000 |
1 |
1 |
1 |
st20.004 |
1.1.1.1.20.4 |
Другие болезни и врожденные аномалии верхних дыхательных путей, симптомы и признаки, относящиеся к органам дыхания, нарушения речи |
0,71000 |
21 325,03 |
24 879,21 |
29 618,10 |
24 538,61 |
0,90000 |
1,05000 |
1,25000 |
0,80000 |
||||||||||||||||||||||||||||||||||||||||||||||||||
1,70000 |
1 |
1 |
1 |
st20.005 |
1.1.1.2.20.5 |
Операции на органе слуха, придаточных пазухах носа и верхних дыхательных путях (уровень 1) |
0,84000 |
25 229,62 |
29 434,55 |
35 041,14 |
24 538,61 |
0,90000 |
1,05000 |
1,25000 |
0,80000 |
||||||||||||||||||||||||||||||||||||||||||||||||||
1,70000 |
1 |
1 |
1 |
st20.006 |
1.1.1.2.20.6 |
Операции на органе слуха, придаточных пазухах носа и верхних дыхательных путях (уровень 2) |
0,91000 |
27 332,09 |
31 887,43 |
37 961,23 |
24 538,61 |
0,90000 |
1,05000 |
1,25000 |
0,80000 |
||||||||||||||||||||||||||||||||||||||||||||||||||
1,70000 |
1 |
1 |
1 |
st20.007 |
1.1.1.2.20.7 |
Операции на органе слуха, придаточных пазухах носа и верхних дыхательных путях (уровень 3) |
1,10000 |
33 038,78 |
38 545,25 |
45 887,20 |
24 538,61 |
0,90000 |
1,05000 |
1,25000 |
0,80000 |
||||||||||||||||||||||||||||||||||||||||||||||||||
1,70000 |
1 |
1 |
1 |
st20.008 |
1.1.1.2.20.8 |
Операции на органе слуха, придаточных пазухах носа и верхних дыхательных путях (уровень 4) |
1,35000 |
45 052,89 |
45 052,89 |
45 052,89 |
24 538,61 |
0,90000 |
1,05000 |
1,25000 |
0,80000 |
||||||||||||||||||||||||||||||||||||||||||||||||||
1,70000 |
1 |
1 |
1 |
st20.009 |
1.1.1.2.20.9 |
Операции на органе слуха, придаточных пазухах носа и верхних дыхательных путях (уровень 5) |
1,96000 |
65 410,12 |
65 410,12 |
65 410,12 |
24 538,61 |
0,90000 |
1,05000 |
1,25000 |
0,80000 |
||||||||||||||||||||||||||||||||||||||||||||||||||
1,70000 |
1 |
1 |
1 |
st20.010 |
1.1.1.2.20.10 |
Замена речевого процессора |
29,91000 |
735 905,07 |
735 905,07 |
735 905,07 |
24 538,61 |
0,90000 |
1,05000 |
1,25000 |
0,80000 |
||||||||||||||||||||||||||||||||||||||||||||||||||
1,70000 |
1 |
1 |
1 |
st21.001 |
1.1.1.2.21.1 |
Операции на органе зрения (уровень 1) |
0,49000 |
14 717,28 |
17 170,16 |
20 440,66 |
24 538,61 |
0,90000 |
1,05000 |
1,25000 |
0,80000 |
||||||||||||||||||||||||||||||||||||||||||||||||||
1,70000 |
1 |
1 |
1 |
st21.002 |
1.1.1.2.21.2 |
Операции на органе зрения (уровень 2) |
0,79000 |
23 727,85 |
27 682,50 |
32 955,35 |
24 538,61 |
0,90000 |
1,05000 |
1,25000 |
0,80000 |
||||||||||||||||||||||||||||||||||||||||||||||||||
1,70000 |
1 |
1 |
1 |
st21.003 |
1.1.1.2.21.3 |
Операции на органе зрения (уровень 3) |
1,07000 |
32 137,73 |
37 494,01 |
44 635,73 |
24 538,61 |
0,90000 |
1,05000 |
1,25000 |
0,80000 |
||||||||||||||||||||||||||||||||||||||||||||||||||
1,70000 |
1 |
1 |
1 |
st21.004 |
1.1.1.2.21.4 |
Операции на органе зрения (уровень 4) |
1,19000 |
39 713,29 |
39 713,29 |
39 713,29 |
24 538,61 |
0,90000 |
1,05000 |
1,25000 |
0,80000 |
||||||||||||||||||||||||||||||||||||||||||||||||||
1,70000 |
1 |
1 |
1 |
st21.005 |
1.1.1.2.21.5 |
Операции на органе зрения (уровень 5) |
2,11000 |
70 416,00 |
70 416,00 |
70 416,00 |
24 538,61 |
0,90000 |
1,05000 |
1,25000 |
0,80000 |
||||||||||||||||||||||||||||||||||||||||||||||||||
1,70000 |
1 |
1 |
1 |
st21.006 |
1.1.1.2.21.6 |
Операции на органе зрения (уровень 6) |
2,33000 |
77 757,95 |
77 757,95 |
77 757,95 |
24 538,61 |
0,90000 |
1,05000 |
1,25000 |
0,80000 |
||||||||||||||||||||||||||||||||||||||||||||||||||
1,70000 |
1 |
1 |
1 |
st21.007 |
1.1.1.1.21.7 |
Болезни глаза |
0,51000 |
15 317,98 |
17 870,98 |
21 274,97 |
24 538,61 |
0,90000 |
1,05000 |
1,25000 |
0,80000 |
||||||||||||||||||||||||||||||||||||||||||||||||||
1,70000 |
1 |
1 |
1 |
st21.008 |
1.1.1.1.21.8 |
Травмы глаза |
0,66000 |
19 823,27 |
23 127,15 |
27 532,32 |
24 538,61 |
0,90000 |
1,05000 |
1,25000 |
0,80000 |
||||||||||||||||||||||||||||||||||||||||||||||||||
1,70000 |
1 |
1 |
1 |
st22.001 |
1.1.1.1.22.1 |
Нарушения всасывания, дети |
1,11000 |
33 339,14 |
38 895,66 |
46 304,36 |
24 538,61 |
0,90000 |
1,05000 |
1,25000 |
0,80000 |
||||||||||||||||||||||||||||||||||||||||||||||||||
1,70000 |
1 |
1 |
1 |
st22.002 |
1.1.1.1.22.2 |
Другие болезни органов пищеварения, дети |
0,39000 |
11 713,75 |
13 666,04 |
16 269,10 |
24 538,61 |
0,90000 |
1,05000 |
1,25000 |
0,80000 |
||||||||||||||||||||||||||||||||||||||||||||||||||
1,70000 |
1 |
1 |
1 |
st22.003 |
1.1.1.1.22.3 |
Воспалительные артропатии, спондилопатии, дети |
1,85000 |
55 565,23 |
64 826,10 |
77 173,93 |
24 538,61 |
0,90000 |
1,05000 |
1,25000 |
0,80000 |
||||||||||||||||||||||||||||||||||||||||||||||||||
1,70000 |
1 |
1 |
1 |
st22.004 |
1.1.1.1.22.4 |
Врожденные аномалии головного и спинного мозга, дети |
2,12000 |
63 674,75 |
74 287,21 |
88 437,15 |
24 538,61 |
0,90000 |
1,05000 |
1,25000 |
0,80000 |
||||||||||||||||||||||||||||||||||||||||||||||||||
1,70000 |
1 |
1 |
1 |
st23.001 |
1.1.1.1.23.1 |
Другие болезни органов дыхания |
0,85000 |
25 529,97 |
29 784,96 |
35 458,29 |
24 538,61 |
0,90000 |
1,05000 |
1,25000 |
0,80000 |
||||||||||||||||||||||||||||||||||||||||||||||||||
1,70000 |
1 |
1 |
1 |
st23.002 |
1.1.1.1.23.2 |
Интерстициальные болезни легких, врожденные аномалии развития легких, бронхолегочная дисплазия, дети |
2,48000 |
74 487,44 |
86 902,01 |
103 454,78 |
24 538,61 |
0,90000 |
1,05000 |
1,25000 |
0,80000 |
||||||||||||||||||||||||||||||||||||||||||||||||||
1,70000 |
1 |
1 |
1 |
st23.003 |
1.1.1.1.23.3 |
Доброкачественные новообразования, новообразования in situ органов дыхания, других и неуточненных органов грудной клетки |
0,91000 |
27 332,09 |
31 887,43 |
37 961,23 |
24 538,61 |
0,90000 |
1,05000 |
1,25000 |
0,80000 |
||||||||||||||||||||||||||||||||||||||||||||||||||
1,70000 |
1 |
1 |
1 |
st23.004 |
1.1.1.1.23.4 |
Пневмония, плеврит, другие болезни плевры |
1,28000 |
38 445,13 |
44 852,65 |
53 396,02 |
24 538,61 |
0,90000 |
1,05000 |
1,25000 |
0,80000 |
||||||||||||||||||||||||||||||||||||||||||||||||||
1,70000 |
1 |
1 |
1 |
st23.005 |
1.1.1.1.23.5 |
Астма, взрослые |
1,11000 |
33 339,14 |
38 895,66 |
46 304,36 |
24 538,61 |
0,90000 |
1,05000 |
1,25000 |
0,80000 |
||||||||||||||||||||||||||||||||||||||||||||||||||
1,70000 |
1 |
1 |
1 |
st23.006 |
1.1.1.1.23.6 |
Астма, дети |
1,25000 |
37 544,07 |
43 801,42 |
52 144,55 |
24 538,61 |
0,90000 |
1,05000 |
1,25000 |
0,80000 |
||||||||||||||||||||||||||||||||||||||||||||||||||
1,70000 |
1 |
1 |
1 |
st24.001 |
1.1.1.1.24.1 |
Системные поражения соединительной ткани |
1,78000 |
53 462,76 |
62 373,22 |
74 253,83 |
24 538,61 |
0,90000 |
1,05000 |
1,25000 |
0,80000 |
||||||||||||||||||||||||||||||||||||||||||||||||||
1,70000 |
1 |
1 |
1 |
st24.002 |
1.1.1.1.24.2 |
Артропатии и спондилопатии |
1,67000 |
50 158,88 |
58 518,70 |
69 665,11 |
24 538,61 |
0,90000 |
1,05000 |
1,25000 |
0,80000 |
||||||||||||||||||||||||||||||||||||||||||||||||||
1,70000 |
1 |
1 |
1 |
st24.003 |
1.1.1.1.24.3 |
Ревматические болезни сердца (уровень 1) |
0,87000 |
26 130,68 |
30 485,79 |
36 292,60 |
24 538,61 |
0,90000 |
1,05000 |
1,25000 |
0,80000 |
||||||||||||||||||||||||||||||||||||||||||||||||||
1,70000 |
1 |
1 |
1 |
st24.004 |
1.1.1.3.24.4 |
Ревматические болезни сердца (уровень 2) |
1,57000 |
47 155,36 |
55 014,58 |
65 493,55 |
24 538,61 |
0,90000 |
1,05000 |
1,25000 |
0,80000 |
||||||||||||||||||||||||||||||||||||||||||||||||||
1,70000 |
1 |
1 |
1 |
st25.001 |
1.1.1.1.25.1 |
Флебит и тромбофлебит, варикозное расширение вен нижних конечностей |
0,85000 |
25 529,97 |
29 784,96 |
35 458,29 |
24 538,61 |
0,90000 |
1,05000 |
1,25000 |
0,80000 |
||||||||||||||||||||||||||||||||||||||||||||||||||
1,70000 |
1 |
1 |
1 |
st25.002 |
1.1.1.1.25.2 |
Другие болезни, врожденные аномалии вен |
1,32000 |
39 646,54 |
46 254,30 |
55 064,64 |
24 538,61 |
0,90000 |
1,05000 |
1,25000 |
0,80000 |
||||||||||||||||||||||||||||||||||||||||||||||||||
1,70000 |
1 |
1 |
1 |
st25.003 |
1.1.1.1.25.3 |
Болезни артерий, артериол и капилляров |
1,05000 |
31 537,02 |
36 793,19 |
43 801,42 |
24 538,61 |
0,90000 |
1,05000 |
1,25000 |
0,80000 |
||||||||||||||||||||||||||||||||||||||||||||||||||
1,70000 |
1 |
1 |
1 |
st25.004 |
1.1.1.3.25.4 |
Диагностическое обследование сердечно-сосудистой системы |
1,01000 |
30 335,61 |
35 391,55 |
42 132,79 |
24 538,61 |
0,90000 |
1,05000 |
1,25000 |
0,80000 |
||||||||||||||||||||||||||||||||||||||||||||||||||
1,70000 |
1 |
1 |
1 |
st25.005 |
1.1.1.2.25.5 |
Операции на сердце и коронарных сосудах (уровень 1) |
2,11000 |
63 374,40 |
73 936,80 |
88 019,99 |
24 538,61 |
0,90000 |
1,05000 |
1,25000 |
0,80000 |
||||||||||||||||||||||||||||||||||||||||||||||||||
1,70000 |
1 |
1 |
1 |
st25.006 |
1.1.1.2.25.6 |
Операции на сердце и коронарных сосудах (уровень 2) |
3,97000 |
119 239,98 |
139 113,31 |
165 611,08 |
24 538,61 |
0,90000 |
1,05000 |
1,25000 |
0,80000 |
||||||||||||||||||||||||||||||||||||||||||||||||||
1,70000 |
1 |
1 |
1 |
st25.007 |
1.1.1.2.25.7 |
Операции на сердце и коронарных сосудах (уровень 3) |
4,31000 |
129 451,96 |
151 027,29 |
179 794,40 |
24 538,61 |
0,90000 |
1,05000 |
1,25000 |
0,80000 |
||||||||||||||||||||||||||||||||||||||||||||||||||
1,70000 |
1 |
1 |
1 |
st25.008 |
1.1.1.2.25.8 |
Операции на сосудах (уровень 1) |
1,20000 |
36 042,31 |
42 049,36 |
50 058,76 |
24 538,61 |
0,90000 |
1,05000 |
1,25000 |
0,80000 |
||||||||||||||||||||||||||||||||||||||||||||||||||
1,70000 |
1 |
1 |
1 |
st25.009 |
1.1.1.2.25.9 |
Операции на сосудах (уровень 2) |
2,37000 |
71 183,56 |
83 047,49 |
98 866,06 |
24 538,61 |
0,90000 |
1,05000 |
1,25000 |
0,80000 |
||||||||||||||||||||||||||||||||||||||||||||||||||
1,70000 |
1 |
1 |
1 |
st25.010 |
1.1.1.2.25.10 |
Операции на сосудах (уровень 3) |
4,13000 |
124 045,62 |
144 719,89 |
172 285,58 |
24 538,61 |
0,90000 |
1,05000 |
1,25000 |
0,80000 |
||||||||||||||||||||||||||||||||||||||||||||||||||
1,70000 |
1 |
1 |
1 |
st25.011 |
1.1.1.2.25.11 |
Операции на сосудах (уровень 4) |
6,08000 |
182 614,37 |
213 050,10 |
253 631,07 |
24 538,61 |
0,90000 |
1,05000 |
1,25000 |
0,80000 |
||||||||||||||||||||||||||||||||||||||||||||||||||
1,70000 |
1 |
1 |
1 |
st25.012 |
1.1.1.2.25.12 |
Операции на сосудах (уровень 5) |
7,12000 |
213 851,04 |
249 492,88 |
297 015,34 |
24 538,61 |
0,90000 |
1,05000 |
1,25000 |
0,80000 |
||||||||||||||||||||||||||||||||||||||||||||||||||
1,70000 |
1 |
1 |
1 |
st26.001 |
1.1.1.1.26.1 |
Болезни полости рта, слюнных желез и челюстей, врожденные аномалии лица и шеи, дети |
0,79000 |
23 727,85 |
27 682,50 |
32 955,35 |
24 538,61 |
0,90000 |
1,05000 |
1,25000 |
0,80000 |
||||||||||||||||||||||||||||||||||||||||||||||||||
1,70000 |
1 |
1 |
1 |
st27.001 |
1.1.1.1.27.1 |
Болезни пищевода, гастрит, дуоденит, другие болезни желудка и двенадцатиперстной кишки |
0,74000 |
24 695,66 |
24 695,66 |
24 695,66 |
24 538,61 |
0,90000 |
1,05000 |
1,25000 |
0,80000 |
||||||||||||||||||||||||||||||||||||||||||||||||||
1,70000 |
1 |
1 |
1 |
st27.002 |
1.1.1.1.27.2 |
Новообразования доброкачественные, in situ, неопределенного и неуточненного характера органов пищеварения |
0,69000 |
20 724,33 |
24 178,38 |
28 783,79 |
24 538,61 |
0,90000 |
1,05000 |
1,25000 |
0,80000 |
||||||||||||||||||||||||||||||||||||||||||||||||||
1,70000 |
1 |
1 |
1 |
st27.003 |
1.1.1.1.27.3 |
Болезни желчного пузыря |
0,72000 |
24 028,21 |
24 028,21 |
24 028,21 |
24 538,61 |
0,90000 |
1,05000 |
1,25000 |
0,80000 |
||||||||||||||||||||||||||||||||||||||||||||||||||
1,70000 |
1 |
1 |
1 |
st27.004 |
1.1.1.1.27.4 |
Другие болезни органов пищеварения, взрослые |
0,59000 |
17 720,80 |
20 674,27 |
24 612,23 |
24 538,61 |
0,90000 |
1,05000 |
1,25000 |
0,80000 |
||||||||||||||||||||||||||||||||||||||||||||||||||
1,70000 |
1 |
1 |
1 |
st27.005 |
1.1.1.1.27.5 |
Гипертоническая болезнь в стадии обострения |
0,70000 |
23 360,76 |
23 360,76 |
23 360,76 |
24 538,61 |
0,90000 |
1,05000 |
1,25000 |
0,80000 |
||||||||||||||||||||||||||||||||||||||||||||||||||
1,70000 |
1 |
1 |
1 |
st27.006 |
1.1.1.1.27.6 |
Стенокардия (кроме нестабильной), хроническая ишемическая болезнь сердца (уровень 1) |
0,78000 |
26 030,56 |
26 030,56 |
26 030,56 |
24 538,61 |
0,90000 |
1,05000 |
1,25000 |
0,80000 |
||||||||||||||||||||||||||||||||||||||||||||||||||
1,70000 |
1 |
1 |
1 |
st27.007 |
1.1.1.3.27.7 |
Стенокардия (кроме нестабильной), хроническая ишемическая болезнь сердца (уровень 2) |
1,70000 |
51 059,94 |
59 569,93 |
70 916,58 |
24 538,61 |
0,90000 |
1,05000 |
1,25000 |
0,80000 |
||||||||||||||||||||||||||||||||||||||||||||||||||
1,70000 |
1 |
1 |
1 |
st27.008 |
1.1.1.1.27.8 |
Другие болезни сердца (уровень 1) |
0,78000 |
23 427,50 |
27 332,09 |
32 538,20 |
24 538,61 |
0,90000 |
1,05000 |
1,25000 |
0,80000 |
||||||||||||||||||||||||||||||||||||||||||||||||||
1,70000 |
1 |
1 |
1 |
st27.009 |
1.1.1.3.27.9 |
Другие болезни сердца (уровень 2) |
1,54000 |
46 254,30 |
53 963,35 |
64 242,08 |
24 538,61 |
0,90000 |
1,05000 |
1,25000 |
0,80000 |
||||||||||||||||||||||||||||||||||||||||||||||||||
1,70000 |
1 |
1 |
1 |
st27.010 |
1.1.1.1.27.10 |
Бронхит необструктивный, симптомы и признаки, относящиеся к органам дыхания |
0,75000 |
25 029,38 |
25 029,38 |
25 029,38 |
24 538,61 |
0,90000 |
1,05000 |
1,25000 |
0,80000 |
||||||||||||||||||||||||||||||||||||||||||||||||||
1,70000 |
1 |
1 |
1 |
st27.011 |
1.1.1.1.27.11 |
ХОБЛ, эмфизема, бронхоэктатическая болезнь |
0,89000 |
26 731,38 |
31 186,61 |
37 126,92 |
24 538,61 |
0,90000 |
1,05000 |
1,25000 |
0,80000 |
||||||||||||||||||||||||||||||||||||||||||||||||||
1,70000 |
1 |
1 |
1 |
st27.012 |
1.1.1.1.27.12 |
Отравления и другие воздействия внешних причин |
0,53000 |
15 918,69 |
18 571,80 |
22 109,29 |
24 538,61 |
0,90000 |
1,05000 |
1,25000 |
0,80000 |
||||||||||||||||||||||||||||||||||||||||||||||||||
1,70000 |
1 |
1 |
1 |
st27.013 |
1.1.1.1.27.13 |
Отравления и другие воздействия внешних причин с синдромом органной дисфункции |
4,07000 |
122 243,50 |
142 617,42 |
169 782,64 |
24 538,61 |
0,90000 |
1,05000 |
1,25000 |
0,80000 |
||||||||||||||||||||||||||||||||||||||||||||||||||
1,70000 |
1 |
1 |
1 |
st27.014 |
1.1.1.2.27.14 |
Госпитализация в диагностических целях с постановкой/ подтверждением диагноза злокачественного новообразования |
1,00000 |
30 035,26 |
35 041,14 |
41 715,64 |
24 538,61 |
0,90000 |
1,05000 |
1,25000 |
0,80000 |
||||||||||||||||||||||||||||||||||||||||||||||||||
1,70000 |
1 |
1 |
1 |
st28.001 |
1.1.1.1.28.1 |
Гнойные состояния нижних дыхательных путей |
2,05000 |
61 572,28 |
71 834,33 |
85 517,06 |
24 538,61 |
0,90000 |
1,05000 |
1,25000 |
0,80000 |
||||||||||||||||||||||||||||||||||||||||||||||||||
1,70000 |
1 |
1 |
1 |
st28.002 |
1.1.1.2.28.2 |
Операции на нижних дыхательных путях и легочной ткани, органах средостения (уровень 1) |
1,54000 |
46 254,30 |
53 963,35 |
64 242,08 |
24 538,61 |
0,90000 |
1,05000 |
1,25000 |
0,80000 |
||||||||||||||||||||||||||||||||||||||||||||||||||
1,70000 |
1 |
1 |
1 |
st28.003 |
1.1.1.2.28.3 |
Операции на нижних дыхательных путях и легочной ткани, органах средостения (уровень 2) |
1,92000 |
57 667,70 |
67 278,98 |
80 094,02 |
24 538,61 |
0,90000 |
1,05000 |
1,25000 |
0,80000 |
||||||||||||||||||||||||||||||||||||||||||||||||||
1,70000 |
1 |
1 |
1 |
st28.004 |
1.1.1.2.28.4 |
Операции на нижних дыхательных путях и легочной ткани, органах средостения (уровень 3) |
2,56000 |
85 433,62 |
85 433,62 |
85 433,62 |
24 538,61 |
0,90000 |
1,05000 |
1,25000 |
0,80000 |
||||||||||||||||||||||||||||||||||||||||||||||||||
1,70000 |
1 |
1 |
1 |
st28.005 |
1.1.1.2.28.5 |
Операции на нижних дыхательных путях и легочной ткани, органах средостения (уровень 4) |
4,12000 |
137 494,74 |
137 494,74 |
137 494,74 |
24 538,61 |
0,90000 |
1,05000 |
1,25000 |
0,80000 |
||||||||||||||||||||||||||||||||||||||||||||||||||
1,70000 |
1 |
1 |
1 |
st29.001 |
1.1.1.1.29.1 |
Приобретенные и врожденные костно-мышечные деформации |
0,99000 |
29 734,91 |
34 690,72 |
41 298,48 |
24 538,61 |
0,90000 |
1,05000 |
1,25000 |
0,80000 |
||||||||||||||||||||||||||||||||||||||||||||||||||
1,70000 |
1 |
1 |
1 |
st29.002 |
1.1.1.1.29.2 |
Переломы шейки бедра и костей таза |
1,52000 |
50 726,21 |
50 726,21 |
50 726,21 |
24 538,61 |
0,90000 |
1,05000 |
1,25000 |
0,80000 |
||||||||||||||||||||||||||||||||||||||||||||||||||
1,70000 |
1 |
1 |
1 |
st29.003 |
1.1.1.1.29.3 |
Переломы бедренной кости, другие травмы области бедра и тазобедренного сустава |
0,69000 |
23 027,03 |
23 027,03 |
23 027,03 |
24 538,61 |
0,90000 |
1,05000 |
1,25000 |
0,80000 |
||||||||||||||||||||||||||||||||||||||||||||||||||
1,70000 |
1 |
1 |
1 |
st29.004 |
1.1.1.1.29.4 |
Переломы, вывихи, растяжения области грудной клетки, верхней конечности и стопы |
0,56000 |
18 688,61 |
18 688,61 |
18 688,61 |
24 538,61 |
0,90000 |
1,05000 |
1,25000 |
0,80000 |
||||||||||||||||||||||||||||||||||||||||||||||||||
1,70000 |
1 |
1 |
1 |
st29.005 |
1.1.1.1.29.5 |
Переломы, вывихи, растяжения области колена и голени |
0,74000 |
24 695,66 |
24 695,66 |
24 695,66 |
24 538,61 |
0,90000 |
1,05000 |
1,25000 |
0,80000 |
||||||||||||||||||||||||||||||||||||||||||||||||||
1,70000 |
1 |
1 |
1 |
st29.006 |
1.1.1.1.29.6 |
Множественные переломы, травматические ампутации, размозжения и последствия травм |
1,44000 |
43 250,77 |
50 459,23 |
60 070,52 |
24 538,61 |
0,90000 |
1,05000 |
1,25000 |
0,80000 |
||||||||||||||||||||||||||||||||||||||||||||||||||
1,70000 |
1 |
1 |
1 |
st29.007 |
1.1.1.3.29.7 |
Тяжелая множественная и сочетанная травма (политравма) |
7,07000 |
212 349,28 |
247 740,83 |
294 929,55 |
24 538,61 |
0,90000 |
1,05000 |
1,25000 |
0,80000 |
||||||||||||||||||||||||||||||||||||||||||||||||||
1,70000 |
1 |
1 |
1 |
st29.008 |
1.1.1.2.29.8 |
Эндопротезирование суставов |
4,46000 |
133 957,25 |
156 283,46 |
186 051,74 |
24 538,61 |
0,90000 |
1,05000 |
1,25000 |
0,80000 |
||||||||||||||||||||||||||||||||||||||||||||||||||
1,70000 |
1 |
1 |
1 |
st29.009 |
1.1.1.2.29.9 |
Операции на костно-мышечной системе и суставах (уровень 1) |
0,79000 |
23 727,85 |
27 682,50 |
32 955,35 |
24 538,61 |
0,90000 |
1,05000 |
1,25000 |
0,80000 |
||||||||||||||||||||||||||||||||||||||||||||||||||
1,70000 |
1 |
1 |
1 |
st29.010 |
1.1.1.2.29.10 |
Операции на костно-мышечной системе и суставах (уровень 2) |
0,93000 |
27 932,79 |
32 588,26 |
38 795,54 |
24 538,61 |
0,90000 |
1,05000 |
1,25000 |
0,80000 |
||||||||||||||||||||||||||||||||||||||||||||||||||
1,70000 |
1 |
1 |
1 |
st29.011 |
1.1.1.2.29.11 |
Операции на костно-мышечной системе и суставах (уровень 3) |
1,37000 |
41 148,30 |
48 006,36 |
57 150,42 |
24 538,61 |
0,90000 |
1,05000 |
1,25000 |
0,80000 |
||||||||||||||||||||||||||||||||||||||||||||||||||
1,70000 |
1 |
1 |
1 |
st29.012 |
1.1.1.3.29.12 |
Операции на костно-мышечной системе и суставах (уровень 4) |
2,42000 |
80 761,47 |
80 761,47 |
80 761,47 |
24 538,61 |
0,90000 |
1,05000 |
1,25000 |
0,80000 |
||||||||||||||||||||||||||||||||||||||||||||||||||
1,70000 |
1 |
1 |
1 |
st29.013 |
1.1.1.3.29.13 |
Операции на костно-мышечной системе и суставах (уровень 5) |
3,15000 |
105 123,41 |
105 123,41 |
105 123,41 |
24 538,61 |
0,90000 |
1,05000 |
1,25000 |
0,80000 |
||||||||||||||||||||||||||||||||||||||||||||||||||
1,70000 |
1 |
1 |
1 |
st30.001 |
1.1.1.1.30.1 |
Тубулоинтерстициальные болезни почек, другие болезни мочевой системы |
0,86000 |
25 830,32 |
30 135,38 |
35 875,45 |
24 538,61 |
0,90000 |
1,05000 |
1,25000 |
0,80000 |
||||||||||||||||||||||||||||||||||||||||||||||||||
1,70000 |
1 |
1 |
1 |
st30.002 |
1.1.1.1.30.2 |
Камни мочевой системы; симптомы, относящиеся к мочевой системе |
0,49000 |
14 717,28 |
17 170,16 |
20 440,66 |
24 538,61 |
0,90000 |
1,05000 |
1,25000 |
0,80000 |
||||||||||||||||||||||||||||||||||||||||||||||||||
1,70000 |
1 |
1 |
1 |
st30.003 |
1.1.1.1.30.3 |
Доброкачественные новообразования, новообразования in situ, неопределенного и неизвестного характера мочевых органов и мужских половых органов |
0,64000 |
19 222,57 |
22 426,33 |
26 698,01 |
24 538,61 |
0,90000 |
1,05000 |
1,25000 |
0,80000 |
||||||||||||||||||||||||||||||||||||||||||||||||||
1,70000 |
1 |
1 |
1 |
st30.004 |
1.1.1.1.30.4 |
Болезни предстательной железы |
0,73000 |
24 361,93 |
24 361,93 |
24 361,93 |
24 538,61 |
0,90000 |
1,05000 |
1,25000 |
0,80000 |
||||||||||||||||||||||||||||||||||||||||||||||||||
1,70000 |
1 |
1 |
1 |
st30.005 |
1.1.1.1.30.5 |
Другие болезни, врожденные аномалии, повреждения мочевой системы и мужских половых органов |
0,67000 |
20 123,62 |
23 477,56 |
27 949,48 |
24 538,61 |
0,90000 |
1,05000 |
1,25000 |
0,80000 |
||||||||||||||||||||||||||||||||||||||||||||||||||
1,70000 |
1 |
1 |
1 |
st30.006 |
1.1.1.2.30.6 |
Операции на мужских половых органах, взрослые (уровень 1) |
1,20000 |
36 042,31 |
42 049,36 |
50 058,76 |
24 538,61 |
0,90000 |
1,05000 |
1,25000 |
0,80000 |
||||||||||||||||||||||||||||||||||||||||||||||||||
1,70000 |
1 |
1 |
1 |
st30.007 |
1.1.1.2.30.7 |
Операции на мужских половых органах, взрослые (уровень 2) |
1,42000 |
42 650,07 |
49 758,41 |
59 236,20 |
24 538,61 |
0,90000 |
1,05000 |
1,25000 |
0,80000 |
||||||||||||||||||||||||||||||||||||||||||||||||||
1,70000 |
1 |
1 |
1 |
st30.008 |
1.1.1.2.30.8 |
Операции на мужских половых органах, взрослые (уровень 3) |
2,31000 |
77 090,50 |
77 090,50 |
77 090,50 |
24 538,61 |
0,90000 |
1,05000 |
1,25000 |
0,80000 |
||||||||||||||||||||||||||||||||||||||||||||||||||
1,70000 |
1 |
1 |
1 |
st30.009 |
1.1.1.2.30.9 |
Операции на мужских половых органах, взрослые (уровень 4) |
3,12000 |
104 122,23 |
104 122,23 |
104 122,23 |
24 538,61 |
0,90000 |
1,05000 |
1,25000 |
0,80000 |
||||||||||||||||||||||||||||||||||||||||||||||||||
1,70000 |
1 |
1 |
1 |
st30.010 |
1.1.1.2.30.10 |
Операции на почке и мочевыделительной системе, взрослые (уровень 1) |
1,08000 |
32 438,08 |
37 844,43 |
45 052,89 |
24 538,61 |
0,90000 |
1,05000 |
1,25000 |
0,80000 |
||||||||||||||||||||||||||||||||||||||||||||||||||
1,70000 |
1 |
1 |
1 |
st30.011 |
1.1.1.2.30.11 |
Операции на почке и мочевыделительной системе, взрослые (уровень 2) |
1,12000 |
33 639,49 |
39 246,07 |
46 721,51 |
24 538,61 |
0,90000 |
1,05000 |
1,25000 |
0,80000 |
||||||||||||||||||||||||||||||||||||||||||||||||||
1,70000 |
1 |
1 |
1 |
st30.012 |
1.1.1.2.30.12 |
Операции на почке и мочевыделительной системе, взрослые (уровень 3) |
1,62000 |
48 657,12 |
56 766,64 |
67 579,33 |
24 538,61 |
0,90000 |
1,05000 |
1,25000 |
0,80000 |
||||||||||||||||||||||||||||||||||||||||||||||||||
1,70000 |
1 |
1 |
1 |
st30.013 |
1.1.1.2.30.13 |
Операции на почке и мочевыделительной системе, взрослые (уровень 4) |
1,95000 |
58 568,75 |
68 330,21 |
81 345,49 |
24 538,61 |
0,90000 |
1,05000 |
1,25000 |
0,80000 |
||||||||||||||||||||||||||||||||||||||||||||||||||
1,70000 |
1 |
1 |
1 |
st30.014 |
1.1.1.2.30.14 |
Операции на почке и мочевыделительной системе, взрослые (уровень 5) |
2,14000 |
64 275,45 |
74 988,03 |
89 271,46 |
24 538,61 |
0,90000 |
1,05000 |
1,25000 |
0,80000 |
||||||||||||||||||||||||||||||||||||||||||||||||||
1,70000 |
1 |
1 |
1 |
st30.015 |
1.1.1.2.30.15 |
Операции на почке и мочевыделительной системе, взрослые (уровень 6) |
4,13000 |
137 828,46 |
137 828,46 |
137 828,46 |
24 538,61 |
0,90000 |
1,05000 |
1,25000 |
0,80000 |
||||||||||||||||||||||||||||||||||||||||||||||||||
1,70000 |
1 |
1 |
1 |
st31.001 |
1.1.1.1.31.1 |
Болезни лимфатических сосудов и лимфатических узлов |
0,61000 |
18 321,51 |
21 375,09 |
25 446,54 |
24 538,61 |
0,90000 |
1,05000 |
1,25000 |
0,80000 |
||||||||||||||||||||||||||||||||||||||||||||||||||
1,70000 |
1 |
1 |
1 |
st31.002 |
1.1.1.2.31.2 |
Операции на коже, подкожной клетчатке, придатках кожи (уровень 1) |
0,55000 |
18 354,88 |
18 354,88 |
18 354,88 |
24 538,61 |
0,90000 |
1,05000 |
1,25000 |
0,80000 |
||||||||||||||||||||||||||||||||||||||||||||||||||
1,70000 |
1 |
1 |
1 |
st31.003 |
1.1.1.2.31.3 |
Операции на коже, подкожной клетчатке, придатках кожи (уровень 2) |
0,71000 |
21 325,03 |
24 879,21 |
29 618,10 |
24 538,61 |
0,90000 |
1,05000 |
1,25000 |
0,80000 |
||||||||||||||||||||||||||||||||||||||||||||||||||
1,70000 |
1 |
1 |
1 |
st31.004 |
1.1.1.2.31.4 |
Операции на коже, подкожной клетчатке, придатках кожи (уровень 3) |
1,38000 |
41 448,66 |
48 356,77 |
57 567,58 |
24 538,61 |
0,90000 |
1,05000 |
1,25000 |
0,80000 |
||||||||||||||||||||||||||||||||||||||||||||||||||
1,70000 |
1 |
1 |
1 |
st31.005 |
1.1.1.2.31.5 |
Операции на коже, подкожной клетчатке, придатках кожи (уровень 4) |
2,41000 |
72 384,97 |
84 449,14 |
100 534,69 |
24 538,61 |
0,90000 |
1,05000 |
1,25000 |
0,80000 |
||||||||||||||||||||||||||||||||||||||||||||||||||
1,70000 |
1 |
1 |
1 |
st31.006 |
1.1.1.2.31.6 |
Операции на органах кроветворения и иммунной системы (уровень 1) |
1,43000 |
42 950,42 |
50 108,82 |
59 653,36 |
24 538,61 |
0,90000 |
1,05000 |
1,25000 |
0,80000 |
||||||||||||||||||||||||||||||||||||||||||||||||||
1,70000 |
1 |
1 |
1 |
st31.007 |
1.1.1.2.31.7 |
Операции на органах кроветворения и иммунной системы (уровень 2) |
1,83000 |
54 964,52 |
64 125,28 |
76 339,62 |
24 538,61 |
0,90000 |
1,05000 |
1,25000 |
0,80000 |
||||||||||||||||||||||||||||||||||||||||||||||||||
1,70000 |
1 |
1 |
1 |
st31.008 |
1.1.1.2.31.8 |
Операции на органах кроветворения и иммунной системы (уровень 3) |
2,16000 |
64 876,16 |
75 688,85 |
90 105,78 |
24 538,61 |
0,90000 |
1,05000 |
1,25000 |
0,80000 |
||||||||||||||||||||||||||||||||||||||||||||||||||
1,70000 |
1 |
1 |
1 |
st31.009 |
1.1.1.2.31.9 |
Операции на эндокринных железах кроме гипофиза (уровень 1) |
1,81000 |
60 404,24 |
60 404,24 |
60 404,24 |
24 538,61 |
0,90000 |
1,05000 |
1,25000 |
0,80000 |
||||||||||||||||||||||||||||||||||||||||||||||||||
1,70000 |
1 |
1 |
1 |
st31.010 |
1.1.1.2.31.10 |
Операции на эндокринных железах кроме гипофиза (уровень 2) |
2,67000 |
89 104,60 |
89 104,60 |
89 104,60 |
24 538,61 |
0,90000 |
1,05000 |
1,25000 |
0,80000 |
||||||||||||||||||||||||||||||||||||||||||||||||||
1,70000 |
1 |
1 |
1 |
st31.011 |
1.1.1.1.31.11 |
Болезни молочной железы, новообразования молочной железы доброкачественные, in situ, неопределенного и неизвестного характера |
0,73000 |
21 925,74 |
25 580,03 |
30 452,42 |
24 538,61 |
0,90000 |
1,05000 |
1,25000 |
0,80000 |
||||||||||||||||||||||||||||||||||||||||||||||||||
1,70000 |
1 |
1 |
1 |
st31.012 |
1.1.1.1.31.12 |
Артрозы, другие поражения суставов, болезни мягких тканей |
0,76000 |
25 363,11 |
25 363,11 |
25 363,11 |
24 538,61 |
0,90000 |
1,05000 |
1,25000 |
0,80000 |
||||||||||||||||||||||||||||||||||||||||||||||||||
1,70000 |
1 |
1 |
1 |
st31.013 |
1.1.1.1.31.13 |
Остеомиелит (уровень 1) |
2,42000 |
72 685,33 |
84 799,55 |
100 951,84 |
24 538,61 |
0,90000 |
1,05000 |
1,25000 |
0,80000 |
||||||||||||||||||||||||||||||||||||||||||||||||||
1,70000 |
1 |
1 |
1 |
st31.014 |
1.1.1.1.31.14 |
Остеомиелит (уровень 2) |
3,51000 |
105 423,76 |
122 994,38 |
146 421,89 |
24 538,61 |
0,90000 |
1,05000 |
1,25000 |
0,80000 |
||||||||||||||||||||||||||||||||||||||||||||||||||
1,70000 |
1 |
1 |
1 |
st31.015 |
1.1.1.3.31.15 |
Остеомиелит (уровень 3) |
4,02000 |
120 741,74 |
140 865,36 |
167 696,86 |
24 538,61 |
0,90000 |
1,05000 |
1,25000 |
0,80000 |
||||||||||||||||||||||||||||||||||||||||||||||||||
1,70000 |
1 |
1 |
1 |
st31.016 |
1.1.1.1.31.16 |
Доброкачественные новообразования костно-мышечной системы и соединительной ткани |
0,84000 |
25 229,62 |
29 434,55 |
35 041,14 |
24 538,61 |
0,90000 |
1,05000 |
1,25000 |
0,80000 |
||||||||||||||||||||||||||||||||||||||||||||||||||
1,70000 |
1 |
1 |
1 |
st31.017 |
1.1.1.1.31.17 |
Доброкачественные новообразования, новообразования in situ кожи, жировой ткани и другие болезни кожи |
0,50000 |
15 017,63 |
17 520,57 |
20 857,82 |
24 538,61 |
0,90000 |
1,05000 |
1,25000 |
0,80000 |
||||||||||||||||||||||||||||||||||||||||||||||||||
1,70000 |
1 |
1 |
1 |
st31.018 |
1.1.1.1.31.18 |
Открытые раны, поверхностные, другие и неуточненные травмы |
0,37000 |
12 347,83 |
12 347,83 |
12 347,83 |
24 538,61 |
0,90000 |
1,05000 |
1,25000 |
0,80000 |
||||||||||||||||||||||||||||||||||||||||||||||||||
1,70000 |
1 |
1 |
1 |
st31.019 |
1.1.1.2.31.19 |
Операции на молочной железе (кроме злокачественных новообразований) |
1,19000 |
35 741,96 |
41 698,95 |
49 641,61 |
24 538,61 |
0,90000 |
1,05000 |
1,25000 |
0,80000 |
||||||||||||||||||||||||||||||||||||||||||||||||||
1,70000 |
1 |
1 |
1 |
st32.001 |
1.1.1.2.32.1 |
Операции на желчном пузыре и желчевыводящих путях (уровень 1) |
1,15000 |
34 540,55 |
40 297,31 |
47 972,98 |
24 538,61 |
0,90000 |
1,05000 |
1,25000 |
0,80000 |
||||||||||||||||||||||||||||||||||||||||||||||||||
1,70000 |
1 |
1 |
1 |
st32.002 |
1.1.1.2.32.2 |
Операции на желчном пузыре и желчевыводящих путях (уровень 2) |
1,43000 |
42 950,42 |
50 108,82 |
59 653,36 |
24 538,61 |
0,90000 |
1,05000 |
1,25000 |
0,80000 |
||||||||||||||||||||||||||||||||||||||||||||||||||
1,70000 |
1 |
1 |
1 |
st32.003 |
1.1.1.2.32.3 |
Операции на желчном пузыре и желчевыводящих путях (уровень 3) |
3,00000 |
90 105,78 |
105 123,41 |
125 146,91 |
24 538,61 |
0,90000 |
1,05000 |
1,25000 |
0,80000 |
||||||||||||||||||||||||||||||||||||||||||||||||||
1,70000 |
1 |
1 |
1 |
st32.004 |
1.1.1.2.32.4 |
Операции на желчном пузыре и желчевыводящих путях (уровень 4) |
4,30000 |
143 501,79 |
143 501,79 |
143 501,79 |
24 538,61 |
0,90000 |
1,05000 |
1,25000 |
0,80000 |
||||||||||||||||||||||||||||||||||||||||||||||||||
1,70000 |
1 |
1 |
1 |
st32.005 |
1.1.1.2.32.5 |
Операции на печени и поджелудочной железе (уровень 1) |
2,42000 |
72 685,33 |
84 799,55 |
100 951,84 |
24 538,61 |
0,90000 |
1,05000 |
1,25000 |
0,80000 |
||||||||||||||||||||||||||||||||||||||||||||||||||
1,70000 |
1 |
1 |
1 |
st32.006 |
1.1.1.2.32.6 |
Операции на печени и поджелудочной железе (уровень 2) |
2,69000 |
80 794,85 |
94 260,65 |
112 215,06 |
24 538,61 |
0,90000 |
1,05000 |
1,25000 |
0,80000 |
||||||||||||||||||||||||||||||||||||||||||||||||||
1,70000 |
1 |
1 |
1 |
st32.007 |
1.1.1.3.32.7 |
Панкреатит, хирургическое лечение |
4,12000 |
123 745,27 |
144 369,48 |
171 868,42 |
24 538,61 |
0,90000 |
1,05000 |
1,25000 |
0,80000 |
||||||||||||||||||||||||||||||||||||||||||||||||||
1,70000 |
1 |
1 |
1 |
st32.008 |
1.1.1.2.32.8 |
Операции на пищеводе, желудке, двенадцатиперстной кишке (уровень 1) |
1,16000 |
34 840,90 |
40 647,72 |
48 390,14 |
24 538,61 |
0,90000 |
1,05000 |
1,25000 |
0,80000 |
||||||||||||||||||||||||||||||||||||||||||||||||||
1,70000 |
1 |
1 |
1 |
st32.009 |
1.1.1.2.32.9 |
Операции на пищеводе, желудке, двенадцатиперстной кишке (уровень 2) |
1,95000 |
58 568,75 |
68 330,21 |
81 345,49 |
24 538,61 |
0,90000 |
1,05000 |
1,25000 |
0,80000 |
||||||||||||||||||||||||||||||||||||||||||||||||||
1,70000 |
1 |
1 |
1 |
st32.010 |
1.1.1.2.32.10 |
Операции на пищеводе, желудке, двенадцатиперстной кишке (уровень 3) |
2,46000 |
82 096,37 |
82 096,37 |
82 096,37 |
24 538,61 |
0,90000 |
1,05000 |
1,25000 |
0,80000 |
||||||||||||||||||||||||||||||||||||||||||||||||||
1,70000 |
1 |
1 |
1 |
st32.011 |
1.1.1.2.32.11 |
Аппендэктомия, взрослые (уровень 1) |
0,73000 |
24 361,93 |
24 361,93 |
24 361,93 |
24 538,61 |
0,90000 |
1,05000 |
1,25000 |
0,80000 |
||||||||||||||||||||||||||||||||||||||||||||||||||
1,70000 |
1 |
1 |
1 |
st32.012 |
1.1.1.2.32.12 |
Аппендэктомия, взрослые (уровень 2) |
0,91000 |
30 368,98 |
30 368,98 |
30 368,98 |
24 538,61 |
0,90000 |
1,05000 |
1,25000 |
0,80000 |
||||||||||||||||||||||||||||||||||||||||||||||||||
1,70000 |
1 |
1 |
1 |
st32.013 |
1.1.1.2.32.13 |
Операции по поводу грыж, взрослые (уровень 1) |
0,86000 |
28 700,36 |
28 700,36 |
28 700,36 |
24 538,61 |
0,90000 |
1,05000 |
1,25000 |
0,80000 |
||||||||||||||||||||||||||||||||||||||||||||||||||
1,70000 |
1 |
1 |
1 |
st32.014 |
1.1.1.2.32.14 |
Операции по поводу грыж, взрослые (уровень 2) |
1,24000 |
41 381,91 |
41 381,91 |
41 381,91 |
24 538,61 |
0,90000 |
1,05000 |
1,25000 |
0,80000 |
||||||||||||||||||||||||||||||||||||||||||||||||||
1,70000 |
1 |
1 |
1 |
st32.015 |
1.1.1.2.32.15 |
Операции по поводу грыж, взрослые (уровень 3) |
1,78000 |
59 403,07 |
59 403,07 |
59 403,07 |
24 538,61 |
0,90000 |
1,05000 |
1,25000 |
0,80000 |
||||||||||||||||||||||||||||||||||||||||||||||||||
1,70000 |
1 |
1 |
1 |
st32.016 |
1.1.1.2.32.16 |
Другие операции на органах брюшной полости (уровень 1) |
1,13000 |
33 939,84 |
39 596,48 |
47 138,67 |
24 538,61 |
0,90000 |
1,05000 |
1,25000 |
0,80000 |
||||||||||||||||||||||||||||||||||||||||||||||||||
1,70000 |
1 |
1 |
1 |
st32.017 |
1.1.1.2.32.17 |
Другие операции на органах брюшной полости (уровень 2) |
1,19000 |
35 741,96 |
41 698,95 |
49 641,61 |
24 538,61 |
0,90000 |
1,05000 |
1,25000 |
0,80000 |
||||||||||||||||||||||||||||||||||||||||||||||||||
1,70000 |
1 |
1 |
1 |
st32.018 |
1.1.1.2.32.18 |
Другие операции на органах брюшной полости (уровень 3) |
2,13000 |
63 975,10 |
74 637,62 |
88 854,31 |
24 538,61 |
0,90000 |
1,05000 |
1,25000 |
0,80000 |
||||||||||||||||||||||||||||||||||||||||||||||||||
1,70000 |
1 |
1 |
1 |
st32.019 |
1.1.1.2.32.19 |
Операции по поводу грыж, взрослые (уровень 4) |
5,60000 |
168 197,45 |
196 230,36 |
233 607,57 |
24 538,61 |
0,90000 |
1,05000 |
1,25000 |
0,80000 |
||||||||||||||||||||||||||||||||||||||||||||||||||
1,70000 |
1 |
1 |
1 |
st33.001 |
1.1.1.1.33.1 |
Отморожения (уровень 1) |
1,17000 |
35 141,25 |
40 998,13 |
48 807,30 |
24 538,61 |
0,90000 |
1,05000 |
1,25000 |
0,80000 |
||||||||||||||||||||||||||||||||||||||||||||||||||
1,70000 |
1 |
1 |
1 |
st33.002 |
1.1.1.1.33.2 |
Отморожения (уровень 2) |
2,91000 |
87 402,60 |
101 969,70 |
121 392,50 |
24 538,61 |
0,90000 |
1,05000 |
1,25000 |
0,80000 |
||||||||||||||||||||||||||||||||||||||||||||||||||
1,70000 |
1 |
1 |
1 |
st33.003 |
1.1.1.1.33.3 |
Ожоги (уровень 1) |
1,21000 |
36 342,66 |
42 399,77 |
50 475,92 |
24 538,61 |
0,90000 |
1,05000 |
1,25000 |
0,80000 |
||||||||||||||||||||||||||||||||||||||||||||||||||
1,70000 |
1 |
1 |
1 |
st33.004 |
1.1.1.1.33.4 |
Ожоги (уровень 2) |
2,03000 |
60 971,58 |
71 133,50 |
84 682,74 |
24 538,61 |
0,90000 |
1,05000 |
1,25000 |
0,80000 |
||||||||||||||||||||||||||||||||||||||||||||||||||
1,70000 |
1 |
1 |
1 |
st33.005 |
1.1.1.1.33.5 |
Ожоги (уровень 3) |
3,54000 |
106 324,82 |
124 045,62 |
147 673,35 |
24 538,61 |
0,90000 |
1,05000 |
1,25000 |
0,80000 |
||||||||||||||||||||||||||||||||||||||||||||||||||
1,70000 |
1 |
1 |
1 |
st33.006 |
1.1.1.1.33.6 |
Ожоги (уровень 4) |
5,20000 |
156 183,34 |
182 213,90 |
216 921,31 |
24 538,61 |
0,90000 |
1,05000 |
1,25000 |
0,80000 |
||||||||||||||||||||||||||||||||||||||||||||||||||
1,70000 |
1 |
1 |
1 |
st33.007 |
1.1.1.1.33.7 |
Ожоги (уровень 5) |
11,11000 |
333 691,72 |
389 307,01 |
463 460,73 |
24 538,61 |
0,90000 |
1,05000 |
1,25000 |
0,80000 |
||||||||||||||||||||||||||||||||||||||||||||||||||
1,70000 |
1 |
1 |
1 |
st33.008 |
1.1.1.1.33.8 |
Ожоги (уровень 4,5) с синдромом органной дисфункции |
14,07000 |
422 596,09 |
493 028,77 |
586 939,01 |
24 538,61 |
0,90000 |
1,05000 |
1,25000 |
0,80000 |
||||||||||||||||||||||||||||||||||||||||||||||||||
1,70000 |
1 |
1 |
1 |
st34.001 |
1.1.1.1.34.1 |
Болезни полости рта, слюнных желез и челюстей, врожденные аномалии лица и шеи, взрослые |
0,89000 |
26 731,38 |
31 186,61 |
37 126,92 |
24 538,61 |
0,90000 |
1,05000 |
1,25000 |
0,80000 |
||||||||||||||||||||||||||||||||||||||||||||||||||
1,70000 |
1 |
1 |
1 |
st34.002 |
1.1.1.2.34.2 |
Операции на органах полости рта (уровень 1) |
0,74000 |
22 226,09 |
25 930,44 |
30 869,57 |
24 538,61 |
0,90000 |
1,05000 |
1,25000 |
0,80000 |
||||||||||||||||||||||||||||||||||||||||||||||||||
1,70000 |
1 |
1 |
1 |
st34.003 |
1.1.1.2.34.3 |
Операции на органах полости рта (уровень 2) |
1,27000 |
38 144,78 |
44 502,24 |
52 978,86 |
24 538,61 |
0,90000 |
1,05000 |
1,25000 |
0,80000 |
||||||||||||||||||||||||||||||||||||||||||||||||||
1,70000 |
1 |
1 |
1 |
st34.004 |
1.1.1.2.34.4 |
Операции на органах полости рта (уровень 3) |
1,63000 |
48 957,47 |
57 117,05 |
67 996,49 |
24 538,61 |
0,90000 |
1,05000 |
1,25000 |
0,80000 |
||||||||||||||||||||||||||||||||||||||||||||||||||
1,70000 |
1 |
1 |
1 |
st34.005 |
1.1.1.2.34.5 |
Операции на органах полости рта (уровень 4) |
1,90000 |
57 066,99 |
66 578,16 |
79 259,71 |
24 538,61 |
0,90000 |
1,05000 |
1,25000 |
0,80000 |
||||||||||||||||||||||||||||||||||||||||||||||||||
1,70000 |
1 |
1 |
1 |
st35.001 |
1.1.1.1.35.1 |
Сахарный диабет, взрослые (уровень 1) |
1,02000 |
30 635,96 |
35 741,96 |
42 549,95 |
24 538,61 |
0,90000 |
1,05000 |
1,25000 |
0,80000 |
||||||||||||||||||||||||||||||||||||||||||||||||||
1,70000 |
1 |
1 |
1 |
st35.002 |
1.1.1.1.35.2 |
Сахарный диабет, взрослые (уровень 2) |
1,49000 |
44 752,54 |
52 211,29 |
62 156,30 |
24 538,61 |
0,90000 |
1,05000 |
1,25000 |
0,80000 |
||||||||||||||||||||||||||||||||||||||||||||||||||
1,70000 |
1 |
1 |
1 |
st35.003 |
1.1.1.1.35.3 |
Заболевания гипофиза, взрослые |
2,14000 |
64 275,45 |
74 988,03 |
89 271,46 |
24 538,61 |
0,90000 |
1,05000 |
1,25000 |
0,80000 |
||||||||||||||||||||||||||||||||||||||||||||||||||
1,70000 |
1 |
1 |
1 |
st35.004 |
1.1.1.1.35.4 |
Другие болезни эндокринной системы, взрослые (уровень 1) |
1,25000 |
37 544,07 |
43 801,42 |
52 144,55 |
24 538,61 |
0,90000 |
1,05000 |
1,25000 |
0,80000 |
||||||||||||||||||||||||||||||||||||||||||||||||||
1,70000 |
1 |
1 |
1 |
st35.005 |
1.1.1.1.35.5 |
Другие болезни эндокринной системы, взрослые (уровень 2) |
2,76000 |
82 897,31 |
96 713,53 |
115 135,16 |
24 538,61 |
0,90000 |
1,05000 |
1,25000 |
0,80000 |
||||||||||||||||||||||||||||||||||||||||||||||||||
1,70000 |
1 |
1 |
1 |
st35.006 |
1.1.1.1.35.6 |
Новообразования эндокринных желез доброкачественные, in situ, неопределенного и неизвестного характера |
0,76000 |
22 826,80 |
26 631,26 |
31 703,88 |
24 538,61 |
0,90000 |
1,05000 |
1,25000 |
0,80000 |
||||||||||||||||||||||||||||||||||||||||||||||||||
1,70000 |
1 |
1 |
1 |
st35.007 |
1.1.1.1.35.7 |
Расстройства питания |
1,06000 |
31 837,37 |
37 143,60 |
44 218,58 |
24 538,61 |
0,90000 |
1,05000 |
1,25000 |
0,80000 |
||||||||||||||||||||||||||||||||||||||||||||||||||
1,70000 |
1 |
1 |
1 |
st35.008 |
1.1.1.1.35.8 |
Другие нарушения обмена веществ |
1,16000 |
34 840,90 |
40 647,72 |
48 390,14 |
24 538,61 |
0,90000 |
1,05000 |
1,25000 |
0,80000 |
||||||||||||||||||||||||||||||||||||||||||||||||||
1,70000 |
1 |
1 |
1 |
st35.009 |
1.1.1.1.35.9 |
Кистозный фиброз |
3,32000 |
99 717,06 |
116 336,57 |
138 495,91 |
24 538,61 |
0,90000 |
1,05000 |
1,25000 |
0,80000 |
||||||||||||||||||||||||||||||||||||||||||||||||||
1,70000 |
1 |
1 |
1 |
st36.001 |
1.1.1.3.36.1 |
Комплексное лечение с применением препаратов иммуноглобулина |
4,32000 |
144 169,24 |
144 169,24 |
144 169,24 |
24 538,61 |
0,90000 |
1,05000 |
1,25000 |
0,80000 |
||||||||||||||||||||||||||||||||||||||||||||||||||
1,70000 |
1 |
1 |
1 |
st36.002 |
1.1.1.1.36.2 |
Редкие генетические заболевания |
3,50000 |
105 123,41 |
122 643,97 |
146 004,73 |
24 538,61 |
0,90000 |
1,05000 |
1,25000 |
0,80000 |
||||||||||||||||||||||||||||||||||||||||||||||||||
1,70000 |
1 |
1 |
1 |
st36.004 |
1.1.1.1.36.4 |
Факторы, влияющие на состояние здоровья населения и обращения в учреждения здравоохранения |
0,32000 |
9 611,28 |
11 213,16 |
13 349,00 |
24 538,61 |
0,90000 |
1,05000 |
1,25000 |
0,80000 |
||||||||||||||||||||||||||||||||||||||||||||||||||
1,70000 |
1 |
1 |
1 |
st36.005 |
1.1.1.1.36.5 |
Госпитализация в диагностических целях с постановкой диагноза туберкулеза, ВИЧ-инфекции, психического заболевания |
0,46000 |
13 816,22 |
16 118,92 |
19 189,19 |
24 538,61 |
0,90000 |
1,05000 |
1,25000 |
0,80000 |
||||||||||||||||||||||||||||||||||||||||||||||||||
1,70000 |
1 |
1 |
1 |
st36.006 |
1.1.1.1.36.6 |
Отторжение, отмирание трансплантата органов и тканей |
8,40000 |
252 296,17 |
294 345,53 |
350 411,35 |
24 538,61 |
0,90000 |
1,05000 |
1,25000 |
0,80000 |
||||||||||||||||||||||||||||||||||||||||||||||||||
1,70000 |
1 |
1 |
1 |
st36.007 |
1.1.1.2.36.7 |
Установка, замена, заправка помп для лекарственных препаратов |
2,32000 |
77 424,22 |
77 424,22 |
77 424,22 |
24 538,61 |
0,90000 |
1,05000 |
1,25000 |
0,80000 |
||||||||||||||||||||||||||||||||||||||||||||||||||
1,70000 |
1 |
1 |
1 |
st36.008 |
1.1.1.3.36.8 |
Интенсивная терапия пациентов с нейрогенными нарушениями жизненно важных функций, нуждающихся в их длительном искусственном замещении |
18,15000 |
545 139,94 |
635 996,60 |
757 138,81 |
24 538,61 |
0,90000 |
1,05000 |
1,25000 |
0,80000 |
||||||||||||||||||||||||||||||||||||||||||||||||||
1,70000 |
1 |
1 |
1 |
st36.009 |
1.1.1.1.36.9 |
Реинфузия аутокрови |
2,05000 |
68 413,64 |
68 413,64 |
68 413,64 |
24 538,61 |
0,90000 |
1,05000 |
1,25000 |
0,80000 |
||||||||||||||||||||||||||||||||||||||||||||||||||
1,70000 |
1 |
1 |
1 |
st36.010 |
1.1.1.2.36.10 |
Баллонная внутриаортальная контрпульсация |
7,81000 |
260 639,30 |
260 639,30 |
260 639,30 |
24 538,61 |
0,90000 |
1,05000 |
1,25000 |
0,80000 |
||||||||||||||||||||||||||||||||||||||||||||||||||
1,70000 |
1 |
1 |
1 |
st36.011 |
1.1.1.1.36.11 |
Экстракорпоральная мембранная оксигенация |
15,57000 |
519 609,97 |
519 609,97 |
519 609,97 |
24 538,61 |
0,90000 |
1,05000 |
1,25000 |
0,80000 |
||||||||||||||||||||||||||||||||||||||||||||||||||
1,70000 |
1 |
1 |
1 |
st36.012 |
1.1.1.1.36.12 |
Злокачественное новообразование без специального противоопухолевого лечения |
0,50000 |
15 017,63 |
17 520,57 |
20 857,82 |
24 538,61 |
0,90000 |
1,05000 |
1,25000 |
0,80000 |
||||||||||||||||||||||||||||||||||||||||||||||||||
1,70000 |
1 |
1 |
1 |
st36.013 |
1.1.1.1.36.13 |
Проведение антимикробной терапии инфекций, вызванных полирезистентными микроорганизмами (уровень 1) |
1,61000 |
39 507,16 |
39 507,16 |
39 507,16 |
24 538,61 |
0,90000 |
1,05000 |
1,25000 |
0,80000 |
||||||||||||||||||||||||||||||||||||||||||||||||||
1,70000 |
1 |
1 |
1 |
st36.014 |
1.1.1.1.36.14 |
Проведение антимикробной терапии инфекций, вызванных полирезистентными микроорганизмами (уровень 2) |
3,89000 |
95 455,19 |
95 455,19 |
95 455,19 |
24 538,61 |
0,90000 |
1,05000 |
1,25000 |
0,80000 |
||||||||||||||||||||||||||||||||||||||||||||||||||
1,70000 |
1 |
1 |
1 |
st36.015 |
1.1.1.1.36.15 |
Проведение антимикробной терапии инфекций, вызванных полирезистентными микроорганизмами (уровень 3) |
10,54000 |
258 636,95 |
258 636,95 |
258 636,95 |
24 538,61 |
0,90000 |
1,05000 |
1,25000 |
0,80000 |
||||||||||||||||||||||||||||||||||||||||||||||||||
1,70000 |
1 |
1 |
1 |
st36.016 |
1.1.1.1.36.16 |
Проведение иммунизации против респираторно-синцитиальной вирусной инфекции |
2,61000 |
65 279,55 |
66 403,17 |
67 901,33 |
24 538,61 |
0,90000 |
1,05000 |
1,25000 |
0,80000 |
||||||||||||||||||||||||||||||||||||||||||||||||||
1,70000 |
1 |
1 |
1 |
st36.017 |
1.1.1.1.36.17 |
Лечение с применением генно-инженерных биологических препаратов и селективных иммунодепрессантов (уровень 1) |
1,04000 |
28 522,55 |
28 522,55 |
28 522,55 |
24 538,61 |
0,90000 |
1,05000 |
1,25000 |
0,80000 |
||||||||||||||||||||||||||||||||||||||||||||||||||
1,70000 |
1 |
1 |
1 |
st36.018 |
1.1.1.1.36.18 |
Лечение с применением генно-инженерных биологических препаратов и селективных иммунодепрессантов (уровень 2) |
2,14000 |
56 070,46 |
56 070,46 |
56 070,46 |
24 538,61 |
0,90000 |
1,05000 |
1,25000 |
0,80000 |
||||||||||||||||||||||||||||||||||||||||||||||||||
1,70000 |
1 |
1 |
1 |
st36.019 |
1.1.1.1.36.19 |
Лечение с применением генно-инженерных биологических препаратов и селективных иммунодепрессантов (уровень 3) |
6,31000 |
158 183,14 |
158 183,14 |
158 183,14 |
24 538,61 |
0,90000 |
1,05000 |
1,25000 |
0,80000 |
||||||||||||||||||||||||||||||||||||||||||||||||||
1,70000 |
1 |
1 |
1 |
st37.001 |
1.1.1.4.37.1 |
Медицинская реабилитация пациентов с заболеваниями центральной нервной системы (3 балла по ШРМ) |
1,53000 |
45 953,95 |
53 612,94 |
63 824,92 |
24 538,61 |
0,90000 |
1,05000 |
1,25000 |
0,80000 |
||||||||||||||||||||||||||||||||||||||||||||||||||
1,70000 |
1 |
1 |
1 |
st37.002 |
1.1.1.4.37.2 |
Медицинская реабилитация пациентов с заболеваниями центральной нервной системы (4 балла по ШРМ) |
2,04000 |
61 271,93 |
71 483,92 |
85 099,90 |
24 538,61 |
0,90000 |
1,05000 |
1,25000 |
0,80000 |
||||||||||||||||||||||||||||||||||||||||||||||||||
1,70000 |
1 |
1 |
1 |
st37.003 |
1.1.1.4.37.3 |
Медицинская реабилитация пациентов с заболеваниями центральной нервной системы (5 баллов по ШРМ) |
3,34000 |
100 317,76 |
117 037,39 |
139 330,23 |
24 538,61 |
0,90000 |
1,05000 |
1,25000 |
0,80000 |
||||||||||||||||||||||||||||||||||||||||||||||||||
1,70000 |
1 |
1 |
1 |
st37.004 |
1.1.1.4.37.4 |
Медицинская реабилитация пациентов с заболеваниями центральной нервной системы (6 баллов по ШРМ) |
8,60000 |
287 003,58 |
287 003,58 |
287 003,58 |
24 538,61 |
0,90000 |
1,05000 |
1,25000 |
0,80000 |
||||||||||||||||||||||||||||||||||||||||||||||||||
1,70000 |
1 |
1 |
1 |
st37.005 |
1.1.1.4.37.5 |
Медицинская реабилитация пациентов с заболеваниями опорно-двигательного аппарата и периферической нервной системы (3 балла по ШРМ) |
1,24000 |
37 243,72 |
43 451,01 |
51 727,39 |
24 538,61 |
0,90000 |
1,05000 |
1,25000 |
0,80000 |
||||||||||||||||||||||||||||||||||||||||||||||||||
1,70000 |
1 |
1 |
1 |
st37.006 |
1.1.1.4.37.6 |
Медицинская реабилитация пациентов с заболеваниями опорно-двигательного аппарата и периферической нервной системы (4 балла по ШРМ) |
1,67000 |
50 158,88 |
58 518,70 |
69 665,11 |
24 538,61 |
0,90000 |
1,05000 |
1,25000 |
0,80000 |
||||||||||||||||||||||||||||||||||||||||||||||||||
1,70000 |
1 |
1 |
1 |
st37.007 |
1.1.1.4.37.7 |
Медицинская реабилитация пациентов с заболеваниями опорно-двигательного аппарата и периферической нервной системы (5 баллов по ШРМ) |
3,03000 |
91 006,83 |
106 174,64 |
126 398,38 |
24 538,61 |
0,90000 |
1,05000 |
1,25000 |
0,80000 |
||||||||||||||||||||||||||||||||||||||||||||||||||
1,70000 |
1 |
1 |
1 |
st37.008 |
1.1.1.4.37.8 |
Медицинская кардиореабилитация (3 балла по ШРМ) |
1,02000 |
30 635,96 |
35 741,96 |
42 549,95 |
24 538,61 |
0,90000 |
1,05000 |
1,25000 |
0,80000 |
||||||||||||||||||||||||||||||||||||||||||||||||||
1,70000 |
1 |
1 |
1 |
st37.009 |
1.1.1.4.37.9 |
Медицинская кардиореабилитация (4 балла по ШРМ) |
1,38000 |
41 448,66 |
48 356,77 |
57 567,58 |
24 538,61 |
0,90000 |
1,05000 |
1,25000 |
0,80000 |
||||||||||||||||||||||||||||||||||||||||||||||||||
1,70000 |
1 |
1 |
1 |
st37.010 |
1.1.1.4.37.10 |
Медицинская кардиореабилитация (5 баллов по ШРМ) |
2,00000 |
60 070,52 |
70 082,27 |
83 431,27 |
24 538,61 |
0,90000 |
1,05000 |
1,25000 |
0,80000 |
||||||||||||||||||||||||||||||||||||||||||||||||||
1,70000 |
1 |
1 |
1 |
st37.011 |
1.1.1.4.37.11 |
Медицинская реабилитация при других соматических заболеваниях (3 балла по ШРМ) |
0,59000 |
17 720,80 |
20 674,27 |
24 612,23 |
24 538,61 |
0,90000 |
1,05000 |
1,25000 |
0,80000 |
||||||||||||||||||||||||||||||||||||||||||||||||||
1,70000 |
1 |
1 |
1 |
st37.012 |
1.1.1.4.37.12 |
Медицинская реабилитация при других соматических заболеваниях (4 балла по ШРМ) |
0,84000 |
25 229,62 |
29 434,55 |
35 041,14 |
24 538,61 |
0,90000 |
1,05000 |
1,25000 |
0,80000 |
||||||||||||||||||||||||||||||||||||||||||||||||||
1,70000 |
1 |
1 |
1 |
st37.013 |
1.1.1.4.37.13 |
Медицинская реабилитация при других соматических заболеваниях (5 баллов по ШРМ) |
1,17000 |
35 141,25 |
40 998,13 |
48 807,30 |
24 538,61 |
0,90000 |
1,05000 |
1,25000 |
0,80000 |
||||||||||||||||||||||||||||||||||||||||||||||||||
1,70000 |
1 |
1 |
1 |
st37.014 |
1.1.1.4.37.14 |
Медицинская реабилитация детей, перенесших заболевания перинатального периода |
1,50000 |
45 052,89 |
52 561,70 |
62 573,46 |
24 538,61 |
0,90000 |
1,05000 |
1,25000 |
0,80000 |
||||||||||||||||||||||||||||||||||||||||||||||||||
1,70000 |
1 |
1 |
1 |
st37.015 |
1.1.1.4.37.15 |
Медицинская реабилитация детей с нарушениями слуха без замены речевого процессора системы кохлеарной имплантации |
1,80000 |
54 063,47 |
63 074,04 |
75 088,15 |
24 538,61 |
0,90000 |
1,05000 |
1,25000 |
0,80000 |
||||||||||||||||||||||||||||||||||||||||||||||||||
1,70000 |
1 |
1 |
1 |
st37.016 |
1.1.1.4.37.16 |
Медицинская реабилитация детей с онкологическими, гематологическими и иммунологическими заболеваниями в тяжелых формах продолжительного течения |
4,81000 |
144 469,59 |
168 547,86 |
200 652,21 |
24 538,61 |
0,90000 |
1,05000 |
1,25000 |
0,80000 |
||||||||||||||||||||||||||||||||||||||||||||||||||
1,70000 |
1 |
1 |
1 |
st37.017 |
1.1.1.4.37.17 |
Медицинская реабилитация детей с поражениями центральной нервной системы |
2,75000 |
82 596,96 |
96 363,12 |
114 718,00 |
24 538,61 |
0,90000 |
1,05000 |
1,25000 |
0,80000 |
||||||||||||||||||||||||||||||||||||||||||||||||||
1,70000 |
1 |
1 |
1 |
st37.018 |
1.1.1.4.37.18 |
Медицинская реабилитация детей, после хирургической коррекции врожденных пороков развития органов и систем |
2,35000 |
70 582,86 |
82 346,67 |
98 031,75 |
24 538,61 |
0,90000 |
1,05000 |
1,25000 |
0,80000 |
||||||||||||||||||||||||||||||||||||||||||||||||||
1,70000 |
1 |
1 |
1 |
st37.019 |
1.1.1.4.37.19 |
Медицинская реабилитация после онкоортопедических операций |
1,44000 |
43 250,77 |
50 459,23 |
60 070,52 |
24 538,61 |
0,90000 |
1,05000 |
1,25000 |
0,80000 |
||||||||||||||||||||||||||||||||||||||||||||||||||
1,70000 |
1 |
1 |
1 |
st37.020 |
1.1.1.4.37.20 |
Медицинская реабилитация по поводу постмастэктомического синдрома в онкологии |
1,24000 |
37 243,72 |
43 451,01 |
51 727,39 |
24 538,61 |
0,90000 |
1,05000 |
1,25000 |
0,80000 |
||||||||||||||||||||||||||||||||||||||||||||||||||
1,70000 |
1 |
1 |
1 |
st37.021 |
1.1.1.4.37.21 |
Медицинская реабилитация после перенесенной коронавирусной инфекции COVID-19 (3 балла по ШРМ) |
1,08000 |
32 438,08 |
37 844,43 |
45 052,89 |
24 538,61 |
0,90000 |
1,05000 |
1,25000 |
0,80000 |
||||||||||||||||||||||||||||||||||||||||||||||||||
1,70000 |
1 |
1 |
1 |
st37.022 |
1.1.1.4.37.22 |
Медицинская реабилитация после перенесенной коронавирусной инфекции COVID-19 (4 балла по ШРМ) |
1,61000 |
48 356,77 |
56 416,23 |
67 162,18 |
24 538,61 |
0,90000 |
1,05000 |
1,25000 |
0,80000 |
||||||||||||||||||||||||||||||||||||||||||||||||||
1,70000 |
1 |
1 |
1 |
st37.023 |
1.1.1.4.37.23 |
Медицинская реабилитация после перенесенной коронавирусной инфекции COVID-19 (5 баллов по ШРМ) |
2,15000 |
64 575,81 |
75 338,44 |
89 688,62 |
24 538,61 |
0,90000 |
1,05000 |
1,25000 |
0,80000 |
||||||||||||||||||||||||||||||||||||||||||||||||||
1,70000 |
1 |
1 |
1 |
st38.001 |
1.1.1.1.38.1 |
Соматические заболевания, осложненные старческой астенией |
1,50000 |
45 052,89 |
52 561,70 |
62 573,46 |
24 538,61 |
0,90000 |
1,05000 |
1,25000 |
0,80000 |
||||||||||||||||||||||||||||||||||||||||||||||||||
1,70000 |
1 |
1 |
2 |
ds02.001 |
1.1.2.1.2.1 |
Осложнения беременности, родов, послеродового периода |
0,83000 |
18 284,16 |
18 284,16 |
18 284,16 |
14 039,33 |
1,00000 |
1,00000 |
1,00000 |
0,92300 |
||||||||||||||||||||||||||||||||||||||||||||||||||
1,70000 |
1 |
1 |
2 |
ds02.002 |
1.1.2.1.2.2 |
Болезни женских половых органов |
0,66000 |
14 539,21 |
14 539,21 |
14 539,21 |
14 039,33 |
1,00000 |
1,00000 |
1,00000 |
0,92300 |
||||||||||||||||||||||||||||||||||||||||||||||||||
1,70000 |
1 |
1 |
2 |
ds02.003 |
1.1.2.2.2.3 |
Операции на женских половых органах (уровень 1) |
0,71000 |
15 640,67 |
15 640,67 |
15 640,67 |
14 039,33 |
1,00000 |
1,00000 |
1,00000 |
0,92300 |
||||||||||||||||||||||||||||||||||||||||||||||||||
1,70000 |
1 |
1 |
2 |
ds02.004 |
1.1.2.2.2.4 |
Операции на женских половых органах (уровень 2) |
1,06000 |
23 350,86 |
23 350,86 |
23 350,86 |
14 039,33 |
1,00000 |
1,00000 |
1,00000 |
0,92300 |
||||||||||||||||||||||||||||||||||||||||||||||||||
1,70000 |
1 |
1 |
2 |
ds02.006 |
1.1.2.2.2.6 |
Искусственное прерывание беременности (аборт) |
0,33000 |
7 269,61 |
7 269,61 |
7 269,61 |
14 039,33 |
1,00000 |
1,00000 |
1,00000 |
0,92300 |
||||||||||||||||||||||||||||||||||||||||||||||||||
1,70000 |
1 |
1 |
2 |
ds02.007 |
1.1.2.2.2.7 |
Аборт медикаментозный* |
0,38000 |
8 371,06 |
8 371,06 |
8 371,06 |
14 039,33 |
1,00000 |
1,00000 |
1,00000 |
0,92300 |
||||||||||||||||||||||||||||||||||||||||||||||||||
1,70000 |
1 |
1 |
2 |
ds02.008 |
1.1.2.2.2.8 |
Экстракорпоральное оплодотворение (уровень 1) |
1,70000 |
40 573,66 |
40 573,66 |
40 573,66 |
14 039,33 |
1,00000 |
1,00000 |
1,00000 |
1,00000 |
||||||||||||||||||||||||||||||||||||||||||||||||||
1,70000 |
1 |
1 |
2 |
ds02.009 |
1.1.2.2.2.9 |
Экстракорпоральное оплодотворение (уровень 2) |
5,38000 |
128 403,71 |
128 403,71 |
128 403,71 |
14 039,33 |
1,00000 |
1,00000 |
1,00000 |
1,00000 |
||||||||||||||||||||||||||||||||||||||||||||||||||
1,70000 |
1 |
1 |
2 |
ds02.010 |
1.1.2.2.2.10 |
Экстракорпоральное оплодотворение (уровень 3) |
8,96000 |
213 847,07 |
213 847,07 |
213 847,07 |
14 039,33 |
1,00000 |
1,00000 |
1,00000 |
1,00000 |
||||||||||||||||||||||||||||||||||||||||||||||||||
1,70000 |
1 |
1 |
2 |
ds02.011 |
1.1.2.2.2.11 |
Экстракорпоральное оплодотворение (уровень 4) |
9,86000 |
235 327,25 |
235 327,25 |
235 327,25 |
14 039,33 |
1,00000 |
1,00000 |
1,00000 |
1,00000 |
||||||||||||||||||||||||||||||||||||||||||||||||||
1,70000 |
1 |
1 |
2 |
ds03.001 |
1.1.2.1.3.1 |
Нарушения с вовлечением иммунного механизма |
0,98000 |
21 588,53 |
21 588,53 |
21 588,53 |
14 039,33 |
1,00000 |
1,00000 |
1,00000 |
0,92300 |
||||||||||||||||||||||||||||||||||||||||||||||||||
1,70000 |
1 |
1 |
2 |
ds04.001 |
1.1.2.1.4.1 |
Болезни органов пищеварения, взрослые |
0,89000 |
19 605,91 |
19 605,91 |
19 605,91 |
14 039,33 |
1,00000 |
1,00000 |
1,00000 |
0,92300 |
||||||||||||||||||||||||||||||||||||||||||||||||||
1,70000 |
1 |
1 |
2 |
ds05.001 |
1.1.2.1.5.1 |
Болезни крови (уровень 1) |
0,91000 |
20 046,49 |
20 046,49 |
20 046,49 |
14 039,33 |
1,00000 |
1,00000 |
1,00000 |
0,92300 |
||||||||||||||||||||||||||||||||||||||||||||||||||
1,70000 |
1 |
1 |
2 |
ds05.002 |
1.1.2.1.5.2 |
Болезни крови (уровень 2) |
2,41000 |
53 090,16 |
53 090,16 |
53 090,16 |
14 039,33 |
1,00000 |
1,00000 |
1,00000 |
0,92300 |
||||||||||||||||||||||||||||||||||||||||||||||||||
1,70000 |
1 |
1 |
2 |
ds05.005 |
1.1.2.3.5.5 |
Лекарственная терапия при доброкачественных заболеваниях крови и пузырном заносе |
3,73000 |
82 168,59 |
82 168,59 |
82 168,59 |
14 039,33 |
1,00000 |
1,00000 |
1,00000 |
0,92300 |
||||||||||||||||||||||||||||||||||||||||||||||||||
1,70000 |
1 |
1 |
2 |
ds06.002 |
1.1.2.1.6.2 |
Лечение дерматозов с применением наружной терапии |
0,35000 |
7 638,60 |
7 638,60 |
7 638,60 |
14 039,33 |
1,00000 |
1,00000 |
1,00000 |
0,92300 |
||||||||||||||||||||||||||||||||||||||||||||||||||
1,70000 |
1 |
1 |
2 |
ds06.003 |
1.1.2.1.6.3 |
Лечение дерматозов с применением наружной терапии, физиотерапии, плазмофереза |
0,97000 |
21 081,49 |
21 081,49 |
21 081,49 |
14 039,33 |
1,00000 |
1,00000 |
1,00000 |
0,92300 |
||||||||||||||||||||||||||||||||||||||||||||||||||
1,70000 |
1 |
1 |
2 |
ds06.004 |
1.1.2.1.6.4 |
Лечение дерматозов с применением наружной и системной терапии |
0,97000 |
21 234,16 |
21 234,16 |
21 234,16 |
14 039,33 |
1,00000 |
1,00000 |
1,00000 |
0,92300 |
||||||||||||||||||||||||||||||||||||||||||||||||||
1,70000 |
1 |
1 |
2 |
ds06.005 |
1.1.2.1.6.5 |
Лечение дерматозов с применением наружной и фототерапии |
1,95000 |
42 676,33 |
42 676,33 |
42 676,33 |
14 039,33 |
1,00000 |
1,00000 |
1,00000 |
0,92300 |
||||||||||||||||||||||||||||||||||||||||||||||||||
1,70000 |
1 |
1 |
2 |
ds07.001 |
1.1.2.1.7.1 |
Болезни системы кровообращения, дети |
0,98000 |
21 588,53 |
21 588,53 |
21 588,53 |
14 039,33 |
1,00000 |
1,00000 |
1,00000 |
0,92300 |
||||||||||||||||||||||||||||||||||||||||||||||||||
1,70000 |
1 |
1 |
2 |
ds08.001 |
1.1.2.3.8.1 |
Лекарственная терапия при злокачественных новообразованиях других локализаций (кроме лимфоидной и кроветворной тканей), дети |
7,95000 |
189 741,54 |
189 741,54 |
189 741,54 |
14 039,33 |
1,00000 |
1,00000 |
1,00000 |
1,00000 |
||||||||||||||||||||||||||||||||||||||||||||||||||
1,70000 |
1 |
1 |
2 |
ds08.002 |
1.1.2.3.8.2 |
Лекарственная терапия при остром лейкозе, дети |
14,23000 |
339 625,43 |
339 625,43 |
339 625,43 |
14 039,33 |
1,00000 |
1,00000 |
1,00000 |
1,00000 |
||||||||||||||||||||||||||||||||||||||||||||||||||
1,70000 |
1 |
1 |
2 |
ds08.003 |
1.1.2.3.8.3 |
Лекарственная терапия при других злокачественных новообразованиях лимфоидной и кроветворной тканей, дети |
10,34000 |
246 783,34 |
246 783,34 |
246 783,34 |
14 039,33 |
1,00000 |
1,00000 |
1,00000 |
1,00000 |
||||||||||||||||||||||||||||||||||||||||||||||||||
1,70000 |
1 |
1 |
2 |
ds09.001 |
1.1.2.2.9.1 |
Операции на мужских половых органах, дети |
1,38000 |
30 400,18 |
30 400,18 |
30 400,18 |
14 039,33 |
1,00000 |
1,00000 |
1,00000 |
0,92300 |
||||||||||||||||||||||||||||||||||||||||||||||||||
1,70000 |
1 |
1 |
2 |
ds09.002 |
1.1.2.2.9.2 |
Операции на почке и мочевыделительной системе, дети |
2,09000 |
46 040,85 |
46 040,85 |
46 040,85 |
14 039,33 |
1,00000 |
1,00000 |
1,00000 |
0,92300 |
||||||||||||||||||||||||||||||||||||||||||||||||||
1,70000 |
1 |
1 |
2 |
ds10.001 |
1.1.2.2.10.1 |
Операции по поводу грыж, дети |
1,60000 |
35 246,58 |
35 246,58 |
35 246,58 |
14 039,33 |
1,00000 |
1,00000 |
1,00000 |
0,92300 |
||||||||||||||||||||||||||||||||||||||||||||||||||
1,70000 |
1 |
1 |
2 |
ds11.001 |
1.1.2.1.11.1 |
Сахарный диабет, дети |
1,49000 |
32 823,38 |
32 823,38 |
32 823,38 |
14 039,33 |
1,00000 |
1,00000 |
1,00000 |
0,92300 |
||||||||||||||||||||||||||||||||||||||||||||||||||
1,70000 |
1 |
1 |
2 |
ds11.002 |
1.1.2.1.11.2 |
Другие болезни эндокринной системы, дети |
1,36000 |
29 959,59 |
29 959,59 |
29 959,59 |
14 039,33 |
1,00000 |
1,00000 |
1,00000 |
0,92300 |
||||||||||||||||||||||||||||||||||||||||||||||||||
1,70000 |
1 |
1 |
2 |
ds12.001 |
1.1.2.3.12.1 |
Вирусный гепатит B хронический, лекарственная терапия |
2,75000 |
60 580,06 |
60 580,06 |
60 580,06 |
14 039,33 |
1,00000 |
1,00000 |
1,00000 |
0,92300 |
||||||||||||||||||||||||||||||||||||||||||||||||||
1,70000 |
1 |
1 |
2 |
ds12.005 |
1.1.2.1.12.5 |
Другие вирусные гепатиты |
0,97000 |
21 368,24 |
21 368,24 |
21 368,24 |
14 039,33 |
1,00000 |
1,00000 |
1,00000 |
0,92300 |
||||||||||||||||||||||||||||||||||||||||||||||||||
1,70000 |
1 |
1 |
2 |
ds12.006 |
1.1.2.1.12.6 |
Инфекционные и паразитарные болезни, взрослые |
1,16000 |
25 553,77 |
25 553,77 |
25 553,77 |
14 039,33 |
1,00000 |
1,00000 |
1,00000 |
0,92300 |
||||||||||||||||||||||||||||||||||||||||||||||||||
1,70000 |
1 |
1 |
2 |
ds12.007 |
1.1.2.1.12.7 |
Инфекционные и паразитарные болезни, дети |
0,97000 |
21 368,24 |
21 368,24 |
21 368,24 |
14 039,33 |
1,00000 |
1,00000 |
1,00000 |
0,92300 |
||||||||||||||||||||||||||||||||||||||||||||||||||
1,70000 |
1 |
1 |
2 |
ds12.008 |
1.1.2.1.12.8 |
Респираторные инфекции верхних дыхательных путей, взрослые |
0,52000 |
11 455,14 |
11 455,14 |
11 455,14 |
14 039,33 |
1,00000 |
1,00000 |
1,00000 |
0,92300 |
||||||||||||||||||||||||||||||||||||||||||||||||||
1,70000 |
1 |
1 |
2 |
ds12.009 |
1.1.2.1.12.9 |
Респираторные инфекции верхних дыхательных путей, дети |
0,65000 |
14 318,92 |
14 318,92 |
14 318,92 |
14 039,33 |
1,00000 |
1,00000 |
1,00000 |
0,92300 |
||||||||||||||||||||||||||||||||||||||||||||||||||
1,70000 |
1 |
1 |
2 |
ds12.010 |
1.1.2.3.12.10 |
Лечение хронического вирусного гепатита C (уровень 1) |
4,90000 |
107 942,65 |
107 942,65 |
107 942,65 |
14 039,33 |
1,00000 |
1,00000 |
1,00000 |
0,92300 |
||||||||||||||||||||||||||||||||||||||||||||||||||
1,70000 |
1 |
1 |
2 |
ds12.011 |
1.1.2.3.12.11 |
Лечение хронического вирусного гепатита C (уровень 2) |
22,20000 |
489 046,30 |
489 046,30 |
489 046,30 |
14 039,33 |
1,00000 |
1,00000 |
1,00000 |
0,92300 |
||||||||||||||||||||||||||||||||||||||||||||||||||
1,70000 |
1 |
1 |
2 |
ds13.001 |
1.1.2.1.13.1 |
Болезни системы кровообращения, взрослые |
0,80000 |
17 623,29 |
17 623,29 |
17 623,29 |
14 039,33 |
1,00000 |
1,00000 |
1,00000 |
0,92300 |
||||||||||||||||||||||||||||||||||||||||||||||||||
1,70000 |
1 |
1 |
2 |
ds13.002 |
1.1.2.3.13.2 |
Болезни системы кровообращения с применением инвазивных методов |
3,39000 |
74 678,69 |
74 678,69 |
74 678,69 |
14 039,33 |
1,00000 |
1,00000 |
1,00000 |
0,92300 |
||||||||||||||||||||||||||||||||||||||||||||||||||
1,70000 |
1 |
1 |
2 |
ds13.003 |
1.1.2.3.13.3 |
Лечение наследственных атерогенных нарушений липидного обмена с применением методов афереза (липидная фильтрация, афинная и иммуносорбция липопротеидов) в случае отсутствия эффективности базисной терапии |
5,07000 |
111 687,60 |
111 687,60 |
111 687,60 |
14 039,33 |
1,00000 |
1,00000 |
1,00000 |
0,92300 |
||||||||||||||||||||||||||||||||||||||||||||||||||
1,70000 |
1 |
1 |
2 |
ds14.001 |
1.1.2.2.14.1 |
Операции на кишечнике и анальной области (уровень 1) |
1,53000 |
33 704,54 |
33 704,54 |
33 704,54 |
14 039,33 |
1,00000 |
1,00000 |
1,00000 |
0,92300 |
||||||||||||||||||||||||||||||||||||||||||||||||||
1,70000 |
1 |
1 |
2 |
ds14.002 |
1.1.2.2.14.2 |
Операции на кишечнике и анальной области (уровень 2) |
3,17000 |
69 832,29 |
69 832,29 |
69 832,29 |
14 039,33 |
1,00000 |
1,00000 |
1,00000 |
0,92300 |
||||||||||||||||||||||||||||||||||||||||||||||||||
1,70000 |
1 |
1 |
2 |
ds15.001 |
1.1.2.1.15.1 |
Болезни нервной системы, хромосомные аномалии |
0,98000 |
21 588,53 |
21 588,53 |
21 588,53 |
14 039,33 |
1,00000 |
1,00000 |
1,00000 |
0,92300 |
||||||||||||||||||||||||||||||||||||||||||||||||||
1,70000 |
1 |
1 |
2 |
ds15.002 |
1.1.2.3.15.2 |
Неврологические заболевания, лечение с применением ботулотоксина (уровень 1) |
1,75000 |
38 550,95 |
38 550,95 |
38 550,95 |
14 039,33 |
1,00000 |
1,00000 |
1,00000 |
0,92300 |
||||||||||||||||||||||||||||||||||||||||||||||||||
1,70000 |
1 |
1 |
2 |
ds15.003 |
1.1.2.3.15.3 |
Неврологические заболевания, лечение с применением ботулотоксина (уровень 2) |
2,89000 |
63 664,14 |
63 664,14 |
63 664,14 |
14 039,33 |
1,00000 |
1,00000 |
1,00000 |
0,92300 |
||||||||||||||||||||||||||||||||||||||||||||||||||
1,70000 |
1 |
1 |
2 |
ds16.001 |
1.1.2.1.16.1 |
Болезни и травмы позвоночника, спинного мозга, последствия внутричерепной травмы, сотрясение головного мозга |
0,94000 |
20 707,37 |
20 707,37 |
20 707,37 |
14 039,33 |
1,00000 |
1,00000 |
1,00000 |
0,92300 |
||||||||||||||||||||||||||||||||||||||||||||||||||
1,70000 |
1 |
1 |
2 |
ds16.002 |
1.1.2.2.16.2 |
Операции на периферической нервной системе |
2,57000 |
56 614,82 |
56 614,82 |
56 614,82 |
14 039,33 |
1,00000 |
1,00000 |
1,00000 |
0,92300 |
||||||||||||||||||||||||||||||||||||||||||||||||||
1,70000 |
1 |
1 |
2 |
ds17.001 |
1.1.2.1.17.1 |
Нарушения, возникшие в перинатальном периоде |
1,79000 |
39 432,11 |
39 432,11 |
39 432,11 |
14 039,33 |
1,00000 |
1,00000 |
1,00000 |
0,92300 |
||||||||||||||||||||||||||||||||||||||||||||||||||
1,70000 |
1 |
1 |
2 |
ds18.001 |
1.1.2.1.18.1 |
Гломерулярные болезни, почечная недостаточность (без диализа) |
1,60000 |
35 246,58 |
35 246,58 |
35 246,58 |
14 039,33 |
1,00000 |
1,00000 |
1,00000 |
0,92300 |
||||||||||||||||||||||||||||||||||||||||||||||||||
1,70000 |
1 |
1 |
2 |
ds18.002 |
1.1.2.3.18.2 |
Лекарственная терапия у пациентов, получающих диализ |
3,25000 |
71 594,62 |
71 594,62 |
71 594,62 |
14 039,33 |
1,00000 |
1,00000 |
1,00000 |
0,92300 |
||||||||||||||||||||||||||||||||||||||||||||||||||
1,70000 |
1 |
1 |
2 |
ds18.003 |
1.1.2.3.18.3 |
Формирование, имплантация, удаление, смена доступа для диализа |
3,18000 |
70 052,58 |
70 052,58 |
70 052,58 |
14 039,33 |
1,00000 |
1,00000 |
1,00000 |
0,92300 |
||||||||||||||||||||||||||||||||||||||||||||||||||
1,70000 |
1 |
1 |
2 |
ds18.004 |
1.1.2.1.18.4 |
Другие болезни почек |
0,80000 |
17 623,29 |
17 623,29 |
17 623,29 |
14 039,33 |
1,00000 |
1,00000 |
1,00000 |
0,92300 |
||||||||||||||||||||||||||||||||||||||||||||||||||
1,70000 |
1 |
1 |
2 |
ds19.016 |
1.1.2.3.19.16 |
Операции при злокачественных новообразованиях кожи (уровень 1) |
2,35000 |
56 087,12 |
56 087,12 |
56 087,12 |
14 039,33 |
1,00000 |
1,00000 |
1,00000 |
1,00000 |
||||||||||||||||||||||||||||||||||||||||||||||||||
1,70000 |
1 |
1 |
2 |
ds19.017 |
1.1.2.3.19.17 |
Операции при злокачественных новообразованиях кожи (уровень 2) |
2,48000 |
59 189,82 |
59 189,82 |
59 189,82 |
14 039,33 |
1,00000 |
1,00000 |
1,00000 |
1,00000 |
||||||||||||||||||||||||||||||||||||||||||||||||||
1,70000 |
1 |
1 |
2 |
ds19.028 |
1.1.2.1.19.28 |
Установка, замена порт системы (катетера) для лекарственной терапии злокачественных новообразований (кроме лимфоидной и кроветворной тканей) |
2,17000 |
51 791,09 |
51 791,09 |
51 791,09 |
14 039,33 |
1,00000 |
1,00000 |
1,00000 |
1,00000 |
||||||||||||||||||||||||||||||||||||||||||||||||||
1,70000 |
1 |
1 |
2 |
ds19.029 |
1.1.2.1.19.29 |
Госпитализация в диагностических целях с постановкой/ подтверждением диагноза злокачественного новообразования с использованием ПЭТ КТ |
2,55000 |
60 860,50 |
60 860,50 |
60 860,50 |
14 039,33 |
1,00000 |
1,00000 |
1,00000 |
1,00000 |
||||||||||||||||||||||||||||||||||||||||||||||||||
1,70000 |
1 |
1 |
2 |
ds19.033 |
1.1.2.1.19.33 |
Госпитализация в диагностических целях с проведением биопсии и последующим проведением молекулярно-генетического и/или иммуногистохимического исследования |
2,44000 |
58 235,14 |
58 235,14 |
58 235,14 |
14 039,33 |
1,00000 |
1,00000 |
1,00000 |
1,00000 |
||||||||||||||||||||||||||||||||||||||||||||||||||
1,70000 |
1 |
1 |
2 |
ds19.050 |
1.1.2.2.19.50 |
Лучевая терапия (уровень 1) |
0,74000 |
17 661,48 |
17 661,48 |
17 661,48 |
14 039,33 |
1,00000 |
1,00000 |
1,00000 |
1,00000 |
||||||||||||||||||||||||||||||||||||||||||||||||||
1,70000 |
1 |
1 |
2 |
ds19.051 |
1.1.2.2.19.51 |
Лучевая терапия (уровень 2) |
1,44000 |
34 368,28 |
34 368,28 |
34 368,28 |
14 039,33 |
1,00000 |
1,00000 |
1,00000 |
1,00000 |
||||||||||||||||||||||||||||||||||||||||||||||||||
1,70000 |
1 |
1 |
2 |
ds19.052 |
1.1.2.2.19.52 |
Лучевая терапия (уровень 3) |
2,22000 |
52 984,43 |
52 984,43 |
52 984,43 |
14 039,33 |
1,00000 |
1,00000 |
1,00000 |
1,00000 |
||||||||||||||||||||||||||||||||||||||||||||||||||
1,70000 |
1 |
1 |
2 |
ds19.053 |
1.1.2.2.19.53 |
Лучевая терапия (уровень 4) |
2,93000 |
69 929,90 |
69 929,90 |
69 929,90 |
14 039,33 |
1,00000 |
1,00000 |
1,00000 |
1,00000 |
||||||||||||||||||||||||||||||||||||||||||||||||||
1,70000 |
1 |
1 |
2 |
ds19.054 |
1.1.2.2.19.54 |
Лучевая терапия (уровень 5) |
3,14000 |
74 941,94 |
74 941,94 |
74 941,94 |
14 039,33 |
1,00000 |
1,00000 |
1,00000 |
1,00000 |
||||||||||||||||||||||||||||||||||||||||||||||||||
1,70000 |
1 |
1 |
2 |
ds19.055 |
1.1.2.2.19.55 |
Лучевая терапия (уровень 6) |
3,80000 |
90 694,07 |
90 694,07 |
90 694,07 |
14 039,33 |
1,00000 |
1,00000 |
1,00000 |
1,00000 |
||||||||||||||||||||||||||||||||||||||||||||||||||
1,70000 |
1 |
1 |
2 |
ds19.056 |
1.1.2.2.19.56 |
Лучевая терапия (уровень 7) |
4,70000 |
112 174,25 |
112 174,25 |
112 174,25 |
14 039,33 |
1,00000 |
1,00000 |
1,00000 |
1,00000 |
||||||||||||||||||||||||||||||||||||||||||||||||||
1,70000 |
1 |
1 |
2 |
ds19.057 |
1.1.2.2.19.57 |
Лучевая терапия (уровень 8) |
26,65000 |
636 051,85 |
636 051,85 |
636 051,85 |
14 039,33 |
1,00000 |
1,00000 |
1,00000 |
1,00000 |
||||||||||||||||||||||||||||||||||||||||||||||||||
1,70000 |
1 |
1 |
2 |
ds19.058 |
1.1.2.2.19.58 |
Лучевая терапия в сочетании с лекарственной терапией (уровень 1) |
4,09000 |
88 925,39 |
88 925,39 |
88 925,39 |
14 039,33 |
1,00000 |
1,00000 |
1,00000 |
1,00000 |
||||||||||||||||||||||||||||||||||||||||||||||||||
1,70000 |
1 |
1 |
2 |
ds19.060 |
1.1.2.2.19.60 |
Лучевая терапия в сочетании с лекарственной терапией (уровень 3) |
4,96000 |
109 917,58 |
109 917,58 |
109 917,58 |
14 039,33 |
1,00000 |
1,00000 |
1,00000 |
1,00000 |
||||||||||||||||||||||||||||||||||||||||||||||||||
1,70000 |
1 |
1 |
2 |
ds19.061 |
1.1.2.2.19.61 |
Лучевая терапия в сочетании с лекарственной терапией (уровень 4) |
13,27000 |
227 850,96 |
227 850,96 |
227 850,96 |
14 039,33 |
1,00000 |
1,00000 |
1,00000 |
1,00000 |
||||||||||||||||||||||||||||||||||||||||||||||||||
1,70000 |
1 |
1 |
2 |
ds19.062 |
1.1.2.2.19.62 |
Лучевая терапия в сочетании с лекарственной терапией (уровень 5) |
25,33000 |
397 162,87 |
397 162,87 |
397 162,87 |
14 039,33 |
1,00000 |
1,00000 |
1,00000 |
1,00000 |
||||||||||||||||||||||||||||||||||||||||||||||||||
1,70000 |
1 |
1 |
2 |
ds19.063 |
1.1.2.2.19.63 |
ЗНО лимфоидной и кроветворной тканей без специального противоопухолевого лечения, взрослые (уровень 1) |
0,15000 |
3 580,03 |
3 580,03 |
3 580,03 |
14 039,33 |
1,00000 |
1,00000 |
1,00000 |
1,00000 |
||||||||||||||||||||||||||||||||||||||||||||||||||
1,70000 |
1 |
1 |
2 |
ds19.064 |
1.1.2.2.19.64 |
ЗНО лимфоидной и кроветворной тканей без специального противоопухолевого лечения, взрослые (уровень 2) |
0,69000 |
16 468,13 |
16 468,13 |
16 468,13 |
14 039,33 |
1,00000 |
1,00000 |
1,00000 |
1,00000 |
||||||||||||||||||||||||||||||||||||||||||||||||||
1,70000 |
1 |
1 |
2 |
ds19.065 |
1.1.2.2.19.65 |
ЗНО лимфоидной и кроветворной тканей без специального противоопухолевого лечения, взрослые (уровень 3) |
1,57000 |
37 470,97 |
37 470,97 |
37 470,97 |
14 039,33 |
1,00000 |
1,00000 |
1,00000 |
1,00000 |
||||||||||||||||||||||||||||||||||||||||||||||||||
1,70000 |
1 |
1 |
2 |
ds19.066 |
1.1.2.2.19.66 |
ЗНО лимфоидной и кроветворной тканей без специального противоопухолевого лечения, взрослые (уровень 4) |
2,82000 |
67 304,55 |
67 304,55 |
67 304,55 |
14 039,33 |
1,00000 |
1,00000 |
1,00000 |
1,00000 |
||||||||||||||||||||||||||||||||||||||||||||||||||
1,70000 |
1 |
1 |
2 |
ds19.067 |
1.1.2.2.19.67 |
ЗНО лимфоидной и кроветворной тканей, лекарственная терапия, взрослые (уровень 1) |
0,31000 |
5 907,75 |
5 907,75 |
5 907,75 |
14 039,33 |
1,00000 |
1,00000 |
1,00000 |
1,00000 |
||||||||||||||||||||||||||||||||||||||||||||||||||
1,70000 |
1 |
1 |
2 |
ds19.068 |
1.1.2.2.19.68 |
ЗНО лимфоидной и кроветворной тканей, лекарственная терапия, взрослые (уровень 2) |
1,36000 |
25 917,88 |
25 917,88 |
25 917,88 |
14 039,33 |
1,00000 |
1,00000 |
1,00000 |
1,00000 |
||||||||||||||||||||||||||||||||||||||||||||||||||
1,70000 |
1 |
1 |
2 |
ds19.069 |
1.1.2.2.19.69 |
ЗНО лимфоидной и кроветворной тканей, лекарственная терапия, взрослые (уровень 3) |
3,06000 |
58 315,24 |
58 315,24 |
58 315,24 |
14 039,33 |
1,00000 |
1,00000 |
1,00000 |
1,00000 |
||||||||||||||||||||||||||||||||||||||||||||||||||
1,70000 |
1 |
1 |
2 |
ds19.070 |
1.1.2.2.19.70 |
ЗНО лимфоидной и кроветворной тканей, лекарственная терапия, взрослые (уровень 4) |
5,66000 |
107 864,13 |
107 864,13 |
107 864,13 |
14 039,33 |
1,00000 |
1,00000 |
1,00000 |
1,00000 |
||||||||||||||||||||||||||||||||||||||||||||||||||
1,70000 |
1 |
1 |
2 |
ds19.071 |
1.1.2.2.19.71 |
ЗНО лимфоидной и кроветворной тканей, лекарственная терапия с применением отдельных препаратов (по перечню), взрослые (уровень 1) |
4,18000 |
60 380,97 |
60 380,97 |
60 380,97 |
14 039,33 |
1,00000 |
1,00000 |
1,00000 |
1,00000 |
||||||||||||||||||||||||||||||||||||||||||||||||||
1,70000 |
1 |
1 |
2 |
ds19.072 |
1.1.2.2.19.72 |
ЗНО лимфоидной и кроветворной тканей, лекарственная терапия с применением отдельных препаратов (по перечню), взрослые (уровень 2) |
5,13000 |
78 449,71 |
78 449,71 |
78 449,71 |
14 039,33 |
1,00000 |
1,00000 |
1,00000 |
1,00000 |
||||||||||||||||||||||||||||||||||||||||||||||||||
1,70000 |
1 |
1 |
2 |
ds19.073 |
1.1.2.2.19.73 |
ЗНО лимфоидной и кроветворной тканей, лекарственная терапия с применением отдельных препаратов (по перечню), взрослые (уровень 3) |
6,88000 |
111 823,89 |
111 823,89 |
111 823,89 |
14 039,33 |
1,00000 |
1,00000 |
1,00000 |
1,00000 |
||||||||||||||||||||||||||||||||||||||||||||||||||
1,70000 |
1 |
1 |
2 |
ds19.074 |
1.1.2.2.19.74 |
ЗНО лимфоидной и кроветворной тканей, лекарственная терапия с применением отдельных препаратов (по перечню), взрослые (уровень 4) |
10,03000 |
171 854,22 |
171 854,22 |
171 854,22 |
14 039,33 |
1,00000 |
1,00000 |
1,00000 |
1,00000 |
||||||||||||||||||||||||||||||||||||||||||||||||||
1,70000 |
1 |
1 |
2 |
ds19.075 |
1.1.2.2.19.75 |
ЗНО лимфоидной и кроветворной тканей, лекарственная терапия с применением отдельных препаратов (по перечню), взрослые (уровень 5) |
34,21000 |
481 697,52 |
481 697,52 |
481 697,52 |
14 039,33 |
1,00000 |
1,00000 |
1,00000 |
1,00000 |
||||||||||||||||||||||||||||||||||||||||||||||||||
1,70000 |
1 |
1 |
2 |
ds19.076 |
1.1.2.2.19.76 |
ЗНО лимфоидной и кроветворной тканей, лекарственная терапия с применением отдельных препаратов (по перечню), взрослые (уровень 6) |
35,00000 |
496 742,38 |
496 742,38 |
496 742,38 |
14 039,33 |
1,00000 |
1,00000 |
1,00000 |
1,00000 |
||||||||||||||||||||||||||||||||||||||||||||||||||
1,70000 |
1 |
1 |
2 |
ds19.077 |
1.1.2.2.19.77 |
ЗНО лимфоидной и кроветворной тканей, лекарственная терапия с применением отдельных препаратов (по перечню), взрослые (уровень 7) |
37,10000 |
536 755,76 |
536 755,76 |
536 755,76 |
14 039,33 |
1,00000 |
1,00000 |
1,00000 |
1,00000 |
||||||||||||||||||||||||||||||||||||||||||||||||||
1,70000 |
1 |
1 |
2 |
ds19.078 |
1.1.2.2.19.78 |
ЗНО лимфоидной и кроветворной тканей, лекарственная терапия с применением отдельных препаратов (по перечню), взрослые (уровень 8) |
39,91000 |
590 314,24 |
590 314,24 |
590 314,24 |
14 039,33 |
1,00000 |
1,00000 |
1,00000 |
1,00000 |
||||||||||||||||||||||||||||||||||||||||||||||||||
1,70000 |
1 |
1 |
2 |
ds19.079 |
1.1.2.2.19.79 |
Лучевые повреждения |
2,62000 |
62 531,18 |
62 531,18 |
62 531,18 |
14 039,33 |
1,00000 |
1,00000 |
1,00000 |
1,00000 |
||||||||||||||||||||||||||||||||||||||||||||||||||
1,70000 |
1 |
1 |
2 |
ds19.080 |
1.1.2.1.19.80 |
Лекарственная терапия при злокачественных новообразованиях (кроме лимфоидной и кроветворной тканей), взрослые (уровень 1) |
0,49000 |
7 799,99 |
7 799,99 |
7 799,99 |
14 039,33 |
1,00000 |
1,00000 |
1,00000 |
1,00000 |
||||||||||||||||||||||||||||||||||||||||||||||||||
1,70000 |
1 |
1 |
2 |
ds19.081 |
1.1.2.1.19.81 |
Лекарственная терапия при злокачественных новообразованиях (кроме лимфоидной и кроветворной тканей), взрослые (уровень 2) |
1,41000 |
21 013,47 |
21 013,47 |
21 013,47 |
14 039,33 |
1,00000 |
1,00000 |
1,00000 |
1,00000 |
||||||||||||||||||||||||||||||||||||||||||||||||||
1,70000 |
1 |
1 |
2 |
ds19.082 |
1.1.2.1.19.82 |
Лекарственная терапия при злокачественных новообразованиях (кроме лимфоидной и кроветворной тканей), взрослые (уровень 3) |
2,03000 |
33 664,87 |
33 664,87 |
33 664,87 |
14 039,33 |
1,00000 |
1,00000 |
1,00000 |
1,00000 |
||||||||||||||||||||||||||||||||||||||||||||||||||
1,70000 |
1 |
1 |
2 |
ds19.083 |
1.1.2.1.19.83 |
Лекарственная терапия при злокачественных новообразованиях (кроме лимфоидной и кроветворной тканей), взрослые (уровень 4) |
2,63000 |
42 997,34 |
42 997,34 |
42 997,34 |
14 039,33 |
1,00000 |
1,00000 |
1,00000 |
1,00000 |
||||||||||||||||||||||||||||||||||||||||||||||||||
1,70000 |
1 |
1 |
2 |
ds19.084 |
1.1.2.1.19.84 |
Лекарственная терапия при злокачественных новообразованиях (кроме лимфоидной и кроветворной тканей), взрослые (уровень 5) |
4,19000 |
60 117,76 |
60 117,76 |
60 117,76 |
14 039,33 |
1,00000 |
1,00000 |
1,00000 |
1,00000 |
||||||||||||||||||||||||||||||||||||||||||||||||||
1,70000 |
1 |
1 |
2 |
ds19.085 |
1.1.2.1.19.85 |
Лекарственная терапия при злокачественных новообразованиях (кроме лимфоидной и кроветворной тканей), взрослые (уровень 6) |
4,93000 |
70 202,27 |
70 202,27 |
70 202,27 |
14 039,33 |
1,00000 |
1,00000 |
1,00000 |
1,00000 |
||||||||||||||||||||||||||||||||||||||||||||||||||
1,70000 |
1 |
1 |
2 |
ds19.086 |
1.1.2.1.19.86 |
Лекарственная терапия при злокачественных новообразованиях (кроме лимфоидной и кроветворной тканей), взрослые (уровень 7) |
5,87000 |
86 212,48 |
86 212,48 |
86 212,48 |
14 039,33 |
1,00000 |
1,00000 |
1,00000 |
1,00000 |
||||||||||||||||||||||||||||||||||||||||||||||||||
1,70000 |
1 |
1 |
2 |
ds19.087 |
1.1.2.1.19.87 |
Лекарственная терапия при злокачественных новообразованиях (кроме лимфоидной и кроветворной тканей), взрослые (уровень 8) |
7,66000 |
115 867,11 |
115 867,11 |
115 867,11 |
14 039,33 |
1,00000 |
1,00000 |
1,00000 |
1,00000 |
||||||||||||||||||||||||||||||||||||||||||||||||||
1,70000 |
1 |
1 |
2 |
ds19.088 |
1.1.2.1.19.88 |
Лекарственная терапия при злокачественных новообразованиях (кроме лимфоидной и кроветворной тканей), взрослые (уровень 9) |
8,57000 |
133 017,73 |
133 017,73 |
133 017,73 |
14 039,33 |
1,00000 |
1,00000 |
1,00000 |
1,00000 |
||||||||||||||||||||||||||||||||||||||||||||||||||
1,70000 |
1 |
1 |
2 |
ds19.089 |
1.1.2.1.19.89 |
Лекарственная терапия при злокачественных новообразованиях (кроме лимфоидной и кроветворной тканей), взрослые (уровень 10) |
9,65000 |
149 619,53 |
149 619,53 |
149 619,53 |
14 039,33 |
1,00000 |
1,00000 |
1,00000 |
1,00000 |
||||||||||||||||||||||||||||||||||||||||||||||||||
1,70000 |
1 |
1 |
2 |
ds19.090 |
1.1.2.1.19.90 |
Лекарственная терапия при злокачественных новообразованиях (кроме лимфоидной и кроветворной тканей), взрослые (уровень 11) |
10,57000 |
171 612,23 |
171 612,23 |
171 612,23 |
14 039,33 |
1,00000 |
1,00000 |
1,00000 |
1,00000 |
||||||||||||||||||||||||||||||||||||||||||||||||||
1,70000 |
1 |
1 |
2 |
ds19.091 |
1.1.2.1.19.91 |
Лекарственная терапия при злокачественных новообразованиях (кроме лимфоидной и кроветворной тканей), взрослые (уровень 12) |
13,50000 |
202 784,85 |
202 784,85 |
202 784,85 |
14 039,33 |
1,00000 |
1,00000 |
1,00000 |
1,00000 |
||||||||||||||||||||||||||||||||||||||||||||||||||
1,70000 |
1 |
1 |
2 |
ds19.092 |
1.1.2.1.19.92 |
Лекарственная терапия при злокачественных новообразованиях (кроме лимфоидной и кроветворной тканей), взрослые (уровень 13) |
16,03000 |
238 425,21 |
238 425,21 |
238 425,21 |
14 039,33 |
1,00000 |
1,00000 |
1,00000 |
1,00000 |
||||||||||||||||||||||||||||||||||||||||||||||||||
1,70000 |
1 |
1 |
2 |
ds19.093 |
1.1.2.1.19.93 |
Лекарственная терапия при злокачественных новообразованиях (кроме лимфоидной и кроветворной тканей), взрослые (уровень 14) |
20,54000 |
299 752,60 |
299 752,60 |
299 752,60 |
14 039,33 |
1,00000 |
1,00000 |
1,00000 |
1,00000 |
||||||||||||||||||||||||||||||||||||||||||||||||||
1,70000 |
1 |
1 |
2 |
ds19.094 |
1.1.2.1.19.94 |
Лекарственная терапия при злокачественных новообразованиях (кроме лимфоидной и кроветворной тканей), взрослые (уровень 15) |
27,22000 |
389 694,21 |
389 694,21 |
389 694,21 |
14 039,33 |
1,00000 |
1,00000 |
1,00000 |
1,00000 |
||||||||||||||||||||||||||||||||||||||||||||||||||
1,70000 |
1 |
1 |
2 |
ds19.095 |
1.1.2.1.19.95 |
Лекарственная терапия при злокачественных новообразованиях (кроме лимфоидной и кроветворной тканей), взрослые (уровень 16) |
34,01000 |
496 996,90 |
496 996,90 |
496 996,90 |
14 039,33 |
1,00000 |
1,00000 |
1,00000 |
1,00000 |
||||||||||||||||||||||||||||||||||||||||||||||||||
1,70000 |
1 |
1 |
2 |
ds19.096 |
1.1.2.1.19.96 |
Лекарственная терапия при злокачественных новообразованиях (кроме лимфоидной и кроветворной тканей), взрослые (уровень 17) |
56,65000 |
796 608,52 |
796 608,52 |
796 608,52 |
14 039,33 |
1,00000 |
1,00000 |
1,00000 |
1,00000 |
||||||||||||||||||||||||||||||||||||||||||||||||||
1,70000 |
1 |
1 |
2 |
ds20.001 |
1.1.2.1.20.1 |
Болезни уха, горла, носа |
0,74000 |
16 301,54 |
16 301,54 |
16 301,54 |
14 039,33 |
1,00000 |
1,00000 |
1,00000 |
0,92300 |
||||||||||||||||||||||||||||||||||||||||||||||||||
1,70000 |
1 |
1 |
2 |
ds20.002 |
1.1.2.2.20.2 |
Операции на органе слуха, придаточных пазухах носа и верхних дыхательных путях (уровень 1) |
1,12000 |
24 672,61 |
24 672,61 |
24 672,61 |
14 039,33 |
1,00000 |
1,00000 |
1,00000 |
0,92300 |
||||||||||||||||||||||||||||||||||||||||||||||||||
1,70000 |
1 |
1 |
2 |
ds20.003 |
1.1.2.2.20.3 |
Операции на органе слуха, придаточных пазухах носа и верхних дыхательных путях (уровень 2) |
1,66000 |
36 568,33 |
36 568,33 |
36 568,33 |
14 039,33 |
1,00000 |
1,00000 |
1,00000 |
0,92300 |
||||||||||||||||||||||||||||||||||||||||||||||||||
1,70000 |
1 |
1 |
2 |
ds20.004 |
1.1.2.2.20.4 |
Операции на органе слуха, придаточных пазухах носа и верхних дыхательных путях (уровень 3) |
2,00000 |
44 058,23 |
44 058,23 |
44 058,23 |
14 039,33 |
1,00000 |
1,00000 |
1,00000 |
0,92300 |
||||||||||||||||||||||||||||||||||||||||||||||||||
1,70000 |
1 |
1 |
2 |
ds20.005 |
1.1.2.2.20.5 |
Операции на органе слуха, придаточных пазухах носа и верхних дыхательных путях (уровень 4) |
2,46000 |
54 191,62 |
54 191,62 |
54 191,62 |
14 039,33 |
1,00000 |
1,00000 |
1,00000 |
0,92300 |
||||||||||||||||||||||||||||||||||||||||||||||||||
1,70000 |
1 |
1 |
2 |
ds20.006 |
1.1.2.3.20.6 |
Замена речевого процессора |
51,86000 |
729 032,66 |
729 032,66 |
729 032,66 |
14 039,33 |
1,00000 |
1,00000 |
1,00000 |
0,92300 |
||||||||||||||||||||||||||||||||||||||||||||||||||
1,70000 |
1 |
1 |
2 |
ds21.001 |
1.1.2.1.21.1 |
Болезни и травмы глаза |
0,39000 |
8 591,35 |
8 591,35 |
8 591,35 |
14 039,33 |
1,00000 |
1,00000 |
1,00000 |
0,92300 |
||||||||||||||||||||||||||||||||||||||||||||||||||
1,70000 |
1 |
1 |
2 |
ds21.002 |
1.1.2.2.21.2 |
Операции на органе зрения (уровень 1) |
0,67000 |
14 759,51 |
14 759,51 |
14 759,51 |
14 039,33 |
1,00000 |
1,00000 |
1,00000 |
0,92300 |
||||||||||||||||||||||||||||||||||||||||||||||||||
1,70000 |
1 |
1 |
2 |
ds21.003 |
1.1.2.2.21.3 |
Операции на органе зрения (уровень 2) |
1,09000 |
24 011,73 |
24 011,73 |
24 011,73 |
14 039,33 |
1,00000 |
1,00000 |
1,00000 |
0,92300 |
||||||||||||||||||||||||||||||||||||||||||||||||||
1,70000 |
1 |
1 |
2 |
ds21.004 |
1.1.2.2.21.4 |
Операции на органе зрения (уровень 3) |
1,62000 |
35 687,16 |
35 687,16 |
35 687,16 |
14 039,33 |
1,00000 |
1,00000 |
1,00000 |
0,92300 |
||||||||||||||||||||||||||||||||||||||||||||||||||
1,70000 |
1 |
1 |
2 |
ds21.005 |
1.1.2.2.21.5 |
Операции на органе зрения (уровень 4) |
2,01000 |
44 278,52 |
44 278,52 |
44 278,52 |
14 039,33 |
1,00000 |
1,00000 |
1,00000 |
0,92300 |
||||||||||||||||||||||||||||||||||||||||||||||||||
1,70000 |
1 |
1 |
2 |
ds21.006 |
1.1.2.2.21.6 |
Операции на органе зрения (уровень 5) |
3,50000 |
77 101,89 |
77 101,89 |
77 101,89 |
14 039,33 |
1,00000 |
1,00000 |
1,00000 |
0,92300 |
||||||||||||||||||||||||||||||||||||||||||||||||||
1,70000 |
1 |
1 |
2 |
ds22.001 |
1.1.2.1.22.1 |
Системные поражения соединительной ткани, артропатии, спондилопатии, дети |
2,31000 |
50 887,25 |
50 887,25 |
50 887,25 |
14 039,33 |
1,00000 |
1,00000 |
1,00000 |
0,92300 |
||||||||||||||||||||||||||||||||||||||||||||||||||
1,70000 |
1 |
1 |
2 |
ds22.002 |
1.1.2.1.22.2 |
Болезни органов пищеварения, дети |
0,89000 |
19 605,91 |
19 605,91 |
19 605,91 |
14 039,33 |
1,00000 |
1,00000 |
1,00000 |
0,92300 |
||||||||||||||||||||||||||||||||||||||||||||||||||
1,70000 |
1 |
1 |
2 |
ds23.001 |
1.1.2.1.23.1 |
Болезни органов дыхания |
0,90000 |
19 826,20 |
19 826,20 |
19 826,20 |
14 039,33 |
1,00000 |
1,00000 |
1,00000 |
0,92300 |
||||||||||||||||||||||||||||||||||||||||||||||||||
1,70000 |
1 |
1 |
2 |
ds24.001 |
1.1.2.1.24.1 |
Системные поражения соединительной ткани, артропатии, спондилопатии, взрослые |
1,46000 |
32 162,50 |
32 162,50 |
32 162,50 |
14 039,33 |
1,00000 |
1,00000 |
1,00000 |
0,92300 |
||||||||||||||||||||||||||||||||||||||||||||||||||
1,70000 |
1 |
1 |
2 |
ds25.001 |
1.1.2.2.25.1 |
Диагностическое обследование сердечно-сосудистой системы |
1,84000 |
40 533,57 |
40 533,57 |
40 533,57 |
14 039,33 |
1,00000 |
1,00000 |
1,00000 |
0,92300 |
||||||||||||||||||||||||||||||||||||||||||||||||||
1,70000 |
1 |
1 |
2 |
ds25.002 |
1.1.2.2.25.2 |
Операции на сосудах (уровень 1) |
2,18000 |
48 023,47 |
48 023,47 |
48 023,47 |
14 039,33 |
1,00000 |
1,00000 |
1,00000 |
0,92300 |
||||||||||||||||||||||||||||||||||||||||||||||||||
1,70000 |
1 |
1 |
2 |
ds25.003 |
1.1.2.2.25.3 |
Операции на сосудах (уровень 2) |
4,31000 |
94 945,48 |
94 945,48 |
94 945,48 |
14 039,33 |
1,00000 |
1,00000 |
1,00000 |
0,92300 |
||||||||||||||||||||||||||||||||||||||||||||||||||
1,70000 |
1 |
1 |
2 |
ds26.001 |
1.1.2.1.26.1 |
Болезни полости рта, слюнных желез и челюстей, врожденные аномалии лица и шеи, дети |
0,98000 |
21 588,53 |
21 588,53 |
21 588,53 |
14 039,33 |
1,00000 |
1,00000 |
1,00000 |
0,92300 |
||||||||||||||||||||||||||||||||||||||||||||||||||
1,70000 |
1 |
1 |
2 |
ds27.001 |
1.1.2.1.27.1 |
Отравления и другие воздействия внешних причин |
0,74000 |
16 301,54 |
16 301,54 |
16 301,54 |
14 039,33 |
1,00000 |
1,00000 |
1,00000 |
0,92300 |
||||||||||||||||||||||||||||||||||||||||||||||||||
1,70000 |
1 |
1 |
2 |
ds28.001 |
1.1.2.2.28.1 |
Операции на нижних дыхательных путях и легочной ткани, органах средостения |
1,32000 |
29 078,43 |
29 078,43 |
29 078,43 |
14 039,33 |
1,00000 |
1,00000 |
1,00000 |
0,92300 |
||||||||||||||||||||||||||||||||||||||||||||||||||
1,70000 |
1 |
1 |
2 |
ds29.001 |
1.1.2.2.29.1 |
Операции на костно-мышечной системе и суставах (уровень 1) |
1,44000 |
31 721,92 |
31 721,92 |
31 721,92 |
14 039,33 |
1,00000 |
1,00000 |
1,00000 |
0,92300 |
||||||||||||||||||||||||||||||||||||||||||||||||||
1,70000 |
1 |
1 |
2 |
ds29.002 |
1.1.2.2.29.2 |
Операции на костно-мышечной системе и суставах (уровень 2) |
1,69000 |
37 229,20 |
37 229,20 |
37 229,20 |
14 039,33 |
1,00000 |
1,00000 |
1,00000 |
0,92300 |
||||||||||||||||||||||||||||||||||||||||||||||||||
1,70000 |
1 |
1 |
2 |
ds29.003 |
1.1.2.2.29.3 |
Операции на костно-мышечной системе и суставах (уровень 3) |
2,49000 |
54 852,49 |
54 852,49 |
54 852,49 |
14 039,33 |
1,00000 |
1,00000 |
1,00000 |
0,92300 |
||||||||||||||||||||||||||||||||||||||||||||||||||
1,70000 |
1 |
1 |
2 |
ds29.004 |
1.1.2.1.29.4 |
Заболевания опорно-двигательного аппарата, травмы, болезни мягких тканей |
1,05000 |
23 130,57 |
23 130,57 |
23 130,57 |
14 039,33 |
1,00000 |
1,00000 |
1,00000 |
0,92300 |
||||||||||||||||||||||||||||||||||||||||||||||||||
1,70000 |
1 |
1 |
2 |
ds30.001 |
1.1.2.1.30.1 |
Болезни, врожденные аномалии, повреждения мочевой системы и мужских половых органов |
0,80000 |
17 623,29 |
17 623,29 |
17 623,29 |
14 039,33 |
1,00000 |
1,00000 |
1,00000 |
0,92300 |
||||||||||||||||||||||||||||||||||||||||||||||||||
1,70000 |
1 |
1 |
2 |
ds30.002 |
1.1.2.2.30.2 |
Операции на мужских половых органах, взрослые (уровень 1) |
2,18000 |
48 023,47 |
48 023,47 |
48 023,47 |
14 039,33 |
1,00000 |
1,00000 |
1,00000 |
0,92300 |
||||||||||||||||||||||||||||||||||||||||||||||||||
1,70000 |
1 |
1 |
2 |
ds30.003 |
1.1.2.2.30.3 |
Операции на мужских половых органах, взрослые (уровень 2) |
2,58000 |
56 835,11 |
56 835,11 |
56 835,11 |
14 039,33 |
1,00000 |
1,00000 |
1,00000 |
0,92300 |
||||||||||||||||||||||||||||||||||||||||||||||||||
1,70000 |
1 |
1 |
2 |
ds30.004 |
1.1.2.2.30.4 |
Операции на почке и мочевыделительной системе, взрослые (уровень 1) |
1,97000 |
43 397,35 |
43 397,35 |
43 397,35 |
14 039,33 |
1,00000 |
1,00000 |
1,00000 |
0,92300 |
||||||||||||||||||||||||||||||||||||||||||||||||||
1,70000 |
1 |
1 |
2 |
ds30.005 |
1.1.2.2.30.5 |
Операции на почке и мочевыделительной системе, взрослые (уровень 2) |
2,04000 |
44 939,39 |
44 939,39 |
44 939,39 |
14 039,33 |
1,00000 |
1,00000 |
1,00000 |
0,92300 |
||||||||||||||||||||||||||||||||||||||||||||||||||
1,70000 |
1 |
1 |
2 |
ds30.006 |
1.1.2.2.30.6 |
Операции на почке и мочевыделительной системе, взрослые (уровень 3) |
2,95000 |
64 985,88 |
64 985,88 |
64 985,88 |
14 039,33 |
1,00000 |
1,00000 |
1,00000 |
0,92300 |
||||||||||||||||||||||||||||||||||||||||||||||||||
1,70000 |
1 |
1 |
2 |
ds31.001 |
1.1.2.1.31.1 |
Болезни, новообразования молочной железы |
0,89000 |
19 605,91 |
19 605,91 |
19 605,91 |
14 039,33 |
1,00000 |
1,00000 |
1,00000 |
0,92300 |
||||||||||||||||||||||||||||||||||||||||||||||||||
1,70000 |
1 |
1 |
2 |
ds31.002 |
1.1.2.2.31.2 |
Операции на коже, подкожной клетчатке, придатках кожи (уровень 1) |
0,75000 |
16 521,83 |
16 521,83 |
16 521,83 |
14 039,33 |
1,00000 |
1,00000 |
1,00000 |
0,92300 |
||||||||||||||||||||||||||||||||||||||||||||||||||
1,70000 |
1 |
1 |
2 |
ds31.003 |
1.1.2.2.31.3 |
Операции на коже, подкожной клетчатке, придатках кожи (уровень 2) |
1,00000 |
22 029,11 |
22 029,11 |
22 029,11 |
14 039,33 |
1,00000 |
1,00000 |
1,00000 |
0,92300 |
||||||||||||||||||||||||||||||||||||||||||||||||||
1,70000 |
1 |
1 |
2 |
ds31.004 |
1.1.2.2.31.4 |
Операции на коже, подкожной клетчатке, придатках кожи (уровень 3) |
4,34000 |
95 606,35 |
95 606,35 |
95 606,35 |
14 039,33 |
1,00000 |
1,00000 |
1,00000 |
0,92300 |
||||||||||||||||||||||||||||||||||||||||||||||||||
1,70000 |
1 |
1 |
2 |
ds31.005 |
1.1.2.2.31.5 |
Операции на органах кроветворения и иммунной системы |
1,29000 |
28 417,56 |
28 417,56 |
28 417,56 |
14 039,33 |
1,00000 |
1,00000 |
1,00000 |
0,92300 |
||||||||||||||||||||||||||||||||||||||||||||||||||
1,70000 |
1 |
1 |
2 |
ds31.006 |
1.1.2.2.31.6 |
Операции на молочной железе |
2,60000 |
57 275,69 |
57 275,69 |
57 275,69 |
14 039,33 |
1,00000 |
1,00000 |
1,00000 |
0,92300 |
||||||||||||||||||||||||||||||||||||||||||||||||||
1,70000 |
1 |
1 |
2 |
ds32.001 |
1.1.2.2.32.1 |
Операции на пищеводе, желудке, двенадцатиперстной кишке (уровень 1) |
2,11000 |
46 481,43 |
46 481,43 |
46 481,43 |
14 039,33 |
1,00000 |
1,00000 |
1,00000 |
0,92300 |
||||||||||||||||||||||||||||||||||||||||||||||||||
1,70000 |
1 |
1 |
2 |
ds32.002 |
1.1.2.2.32.2 |
Операции на пищеводе, желудке, двенадцатиперстной кишке (уровень 2) |
3,55000 |
78 203,35 |
78 203,35 |
78 203,35 |
14 039,33 |
1,00000 |
1,00000 |
1,00000 |
0,92300 |
||||||||||||||||||||||||||||||||||||||||||||||||||
1,70000 |
1 |
1 |
2 |
ds32.003 |
1.1.2.2.32.3 |
Операции по поводу грыж, взрослые (уровень 1) |
1,57000 |
34 585,71 |
34 585,71 |
34 585,71 |
14 039,33 |
1,00000 |
1,00000 |
1,00000 |
0,92300 |
||||||||||||||||||||||||||||||||||||||||||||||||||
1,70000 |
1 |
1 |
2 |
ds32.004 |
1.1.2.2.32.4 |
Операции по поводу грыж, взрослые (уровень 2) |
2,26000 |
49 785,79 |
49 785,79 |
49 785,79 |
14 039,33 |
1,00000 |
1,00000 |
1,00000 |
0,92300 |
||||||||||||||||||||||||||||||||||||||||||||||||||
1,70000 |
1 |
1 |
2 |
ds32.005 |
1.1.2.2.32.5 |
Операции по поводу грыж, взрослые (уровень 3) |
3,24000 |
71 374,33 |
71 374,33 |
71 374,33 |
14 039,33 |
1,00000 |
1,00000 |
1,00000 |
0,92300 |
||||||||||||||||||||||||||||||||||||||||||||||||||
1,70000 |
1 |
1 |
2 |
ds32.006 |
1.1.2.2.32.6 |
Операции на желчном пузыре и желчевыводящих путях |
1,70000 |
37 449,49 |
37 449,49 |
37 449,49 |
14 039,33 |
1,00000 |
1,00000 |
1,00000 |
0,92300 |
||||||||||||||||||||||||||||||||||||||||||||||||||
1,70000 |
1 |
1 |
2 |
ds32.007 |
1.1.2.2.32.7 |
Другие операции на органах брюшной полости (уровень 1) |
2,06000 |
45 379,97 |
45 379,97 |
45 379,97 |
14 039,33 |
1,00000 |
1,00000 |
1,00000 |
0,92300 |
||||||||||||||||||||||||||||||||||||||||||||||||||
1,70000 |
1 |
1 |
2 |
ds32.008 |
1.1.2.2.32.8 |
Другие операции на органах брюшной полости (уровень 2) |
2,17000 |
47 803,17 |
47 803,17 |
47 803,17 |
14 039,33 |
1,00000 |
1,00000 |
1,00000 |
0,92300 |
||||||||||||||||||||||||||||||||||||||||||||||||||
1,70000 |
1 |
1 |
2 |
ds33.001 |
1.1.2.1.33.1 |
Ожоги и отморожения |
1,10000 |
24 232,02 |
24 232,02 |
24 232,02 |
14 039,33 |
1,00000 |
1,00000 |
1,00000 |
0,92300 |
||||||||||||||||||||||||||||||||||||||||||||||||||
1,70000 |
1 |
1 |
2 |
ds34.001 |
1.1.2.1.34.1 |
Болезни полости рта, слюнных желез и челюстей, врожденные аномалии лица и шеи, взрослые |
0,88000 |
19 385,62 |
19 385,62 |
19 385,62 |
14 039,33 |
1,00000 |
1,00000 |
1,00000 |
0,92300 |
||||||||||||||||||||||||||||||||||||||||||||||||||
1,70000 |
1 |
1 |
2 |
ds34.002 |
1.1.2.2.34.2 |
Операции на органах полости рта (уровень 1) |
0,92000 |
20 266,78 |
20 266,78 |
20 266,78 |
14 039,33 |
1,00000 |
1,00000 |
1,00000 |
0,92300 |
||||||||||||||||||||||||||||||||||||||||||||||||||
1,70000 |
1 |
1 |
2 |
ds34.003 |
1.1.2.2.34.3 |
Операции на органах полости рта (уровень 2) |
1,56000 |
34 365,42 |
34 365,42 |
34 365,42 |
14 039,33 |
1,00000 |
1,00000 |
1,00000 |
0,92300 |
||||||||||||||||||||||||||||||||||||||||||||||||||
1,70000 |
1 |
1 |
2 |
ds35.001 |
1.1.2.1.35.1 |
Сахарный диабет, взрослые |
1,08000 |
23 791,44 |
23 791,44 |
23 791,44 |
14 039,33 |
1,00000 |
1,00000 |
1,00000 |
0,92300 |
||||||||||||||||||||||||||||||||||||||||||||||||||
1,70000 |
1 |
1 |
2 |
ds35.002 |
1.1.2.1.35.2 |
Другие болезни эндокринной системы, новообразования эндокринных желез доброкачественные, in situ, неопределенного и неизвестного характера, расстройства питания, другие нарушения обмена веществ |
1,41000 |
31 061,05 |
31 061,05 |
31 061,05 |
14 039,33 |
1,00000 |
1,00000 |
1,00000 |
0,92300 |
||||||||||||||||||||||||||||||||||||||||||||||||||
1,70000 |
1 |
1 |
2 |
ds35.003 |
1.1.2.1.35.3 |
Кистозный фиброз |
2,58000 |
56 835,11 |
56 835,11 |
56 835,11 |
14 039,33 |
1,00000 |
1,00000 |
1,00000 |
0,92300 |
||||||||||||||||||||||||||||||||||||||||||||||||||
1,70000 |
1 |
1 |
2 |
ds35.004 |
1.1.2.1.35.4 |
Лечение кистозного фиброза с применением ингаляционной антибактериальной терапии |
12,27000 |
270 297,21 |
270 297,21 |
270 297,21 |
14 039,33 |
1,00000 |
1,00000 |
1,00000 |
0,92300 |
||||||||||||||||||||||||||||||||||||||||||||||||||
1,70000 |
1 |
1 |
2 |
ds36.001 |
1.1.2.3.36.1 |
Комплексное лечение с применением препаратов иммуноглобулина |
7,86000 |
173 148,83 |
173 148,83 |
173 148,83 |
14 039,33 |
1,00000 |
1,00000 |
1,00000 |
0,92300 |
||||||||||||||||||||||||||||||||||||||||||||||||||
1,70000 |
1 |
1 |
2 |
ds36.002 |
1.1.2.1.36.2 |
Факторы, влияющие на состояние здоровья населения и обращения в учреждения здравоохранения |
0,56000 |
12 336,30 |
12 336,30 |
12 336,30 |
14 039,33 |
1,00000 |
1,00000 |
1,00000 |
0,92300 |
||||||||||||||||||||||||||||||||||||||||||||||||||
1,70000 |
1 |
1 |
2 |
ds36.003 |
1.1.2.1.36.3 |
Госпитализация в дневной стационар в диагностических целях с постановкой диагноза туберкулеза, ВИЧ-инфекции, психического заболевания |
0,46000 |
10 133,39 |
10 133,39 |
10 133,39 |
14 039,33 |
1,00000 |
1,00000 |
1,00000 |
0,92300 |
||||||||||||||||||||||||||||||||||||||||||||||||||
1,70000 |
1 |
1 |
2 |
ds36.005 |
1.1.2.1.36.5 |
Отторжение, отмирание трансплантата органов и тканей |
7,40000 |
163 015,43 |
163 015,43 |
163 015,43 |
14 039,33 |
1,00000 |
1,00000 |
1,00000 |
0,92300 |
||||||||||||||||||||||||||||||||||||||||||||||||||
1,70000 |
1 |
1 |
2 |
ds36.006 |
1.1.2.1.36.6 |
Злокачественное новообразование без специального противоопухолевого лечения |
0,40000 |
8 811,65 |
8 811,65 |
8 811,65 |
14 039,33 |
1,00000 |
1,00000 |
1,00000 |
0,92300 |
||||||||||||||||||||||||||||||||||||||||||||||||||
1,70000 |
1 |
1 |
2 |
ds36.007 |
1.1.2.1.36.7 |
Проведение иммунизации против респираторно-синцитиальной вирусной инфекции |
4,23000 |
60 004,85 |
60 004,85 |
60 004,85 |
14 039,33 |
1,00000 |
1,00000 |
1,00000 |
0,92300 |
||||||||||||||||||||||||||||||||||||||||||||||||||
1,70000 |
1 |
1 |
2 |
ds36.008 |
1.1.2.1.36.8 |
Лечение с применением генно-инженерных биологических препаратов и селективных иммунодепрессантов (уровень 1) |
1,29000 |
18 713,68 |
18 713,68 |
18 713,68 |
14 039,33 |
1,00000 |
1,00000 |
1,00000 |
0,92300 |
||||||||||||||||||||||||||||||||||||||||||||||||||
1,70000 |
1 |
1 |
2 |
ds36.009 |
1.1.2.1.36.9 |
Лечение с применением генно-инженерных биологических препаратов и селективных иммунодепрессантов (уровень 2) |
3,23000 |
46 748,36 |
46 748,36 |
46 748,36 |
14 039,33 |
1,00000 |
1,00000 |
1,00000 |
0,92300 |
||||||||||||||||||||||||||||||||||||||||||||||||||
1,70000 |
1 |
1 |
2 |
ds36.010 |
1.1.2.1.36.10 |
Лечение с применением генно-инженерных биологических препаратов и селективных иммунодепрессантов (уровень 3) |
8,93000 |
131 749,80 |
131 749,80 |
131 749,80 |
14 039,33 |
1,00000 |
1,00000 |
1,00000 |
0,92300 |
||||||||||||||||||||||||||||||||||||||||||||||||||
1,70000 |
1 |
1 |
2 |
ds37.001 |
1.1.2.4.37.1 |
Медицинская реабилитация пациентов с заболеваниями центральной нервной системы (2 балла по ШРМ) |
1,98000 |
43 617,64 |
43 617,64 |
43 617,64 |
14 039,33 |
1,00000 |
1,00000 |
1,00000 |
0,92300 |
||||||||||||||||||||||||||||||||||||||||||||||||||
1,70000 |
1 |
1 |
2 |
ds37.002 |
1.1.2.4.37.2 |
Медицинская реабилитация пациентов с заболеваниями центральной нервной системы (3 балла по ШРМ) |
2,31000 |
50 887,25 |
50 887,25 |
50 887,25 |
14 039,33 |
1,00000 |
1,00000 |
1,00000 |
0,92300 |
||||||||||||||||||||||||||||||||||||||||||||||||||
1,70000 |
1 |
1 |
2 |
ds37.003 |
1.1.2.4.37.3 |
Медицинская реабилитация пациентов с заболеваниями опорно-двигательного аппарата и периферической нервной системы (2 балла по ШРМ) |
1,52000 |
33 484,25 |
33 484,25 |
33 484,25 |
14 039,33 |
1,00000 |
1,00000 |
1,00000 |
0,92300 |
||||||||||||||||||||||||||||||||||||||||||||||||||
1,70000 |
1 |
1 |
2 |
ds37.004 |
1.1.2.4.37.4 |
Медицинская реабилитация пациентов с заболеваниями опорно-двигательного аппарата и периферической нервной системы (3 балла по ШРМ) |
1,82000 |
40 092,99 |
40 092,99 |
40 092,99 |
14 039,33 |
1,00000 |
1,00000 |
1,00000 |
0,92300 |
||||||||||||||||||||||||||||||||||||||||||||||||||
1,70000 |
1 |
1 |
2 |
ds37.005 |
1.1.2.4.37.5 |
Медицинская кардиореабилитация (2 балла по ШРМ) |
1,39000 |
30 620,47 |
30 620,47 |
30 620,47 |
14 039,33 |
1,00000 |
1,00000 |
1,00000 |
0,92300 |
||||||||||||||||||||||||||||||||||||||||||||||||||
1,70000 |
1 |
1 |
2 |
ds37.006 |
1.1.2.4.37.6 |
Медицинская кардиореабилитация (3 балла по ШРМ) |
1,67000 |
36 788,62 |
36 788,62 |
36 788,62 |
14 039,33 |
1,00000 |
1,00000 |
1,00000 |
0,92300 |
||||||||||||||||||||||||||||||||||||||||||||||||||
1,70000 |
1 |
1 |
2 |
ds37.007 |
1.1.2.4.37.7 |
Медицинская реабилитация при других соматических заболеваниях (2 балла по ШРМ) |
0,85000 |
18 724,75 |
18 724,75 |
18 724,75 |
14 039,33 |
1,00000 |
1,00000 |
1,00000 |
0,92300 |
||||||||||||||||||||||||||||||||||||||||||||||||||
1,70000 |
1 |
1 |
2 |
ds37.008 |
1.1.2.4.37.8 |
Медицинская реабилитация при других соматических заболеваниях (3 балла по ШРМ) |
1,09000 |
24 011,73 |
24 011,73 |
24 011,73 |
14 039,33 |
1,00000 |
1,00000 |
1,00000 |
0,92300 |
||||||||||||||||||||||||||||||||||||||||||||||||||
1,70000 |
1 |
1 |
2 |
ds37.009 |
1.1.2.4.37.9 |
Медицинская реабилитация детей, перенесших заболевания перинатального периода |
1,50000 |
33 043,67 |
33 043,67 |
33 043,67 |
14 039,33 |
1,00000 |
1,00000 |
1,00000 |
0,92300 |
||||||||||||||||||||||||||||||||||||||||||||||||||
1,70000 |
1 |
1 |
2 |
ds37.010 |
1.1.2.4.37.10 |
Медицинская реабилитация детей с нарушениями слуха без замены речевого процессора системы кохлеарной имплантации |
1,80000 |
39 652,40 |
39 652,40 |
39 652,40 |
14 039,33 |
1,00000 |
1,00000 |
1,00000 |
0,92300 |
||||||||||||||||||||||||||||||||||||||||||||||||||
1,70000 |
1 |
1 |
2 |
ds37.011 |
1.1.2.4.37.11 |
Медицинская реабилитация детей с поражениями центральной нервной системы |
2,75000 |
60 580,06 |
60 580,06 |
60 580,06 |
14 039,33 |
1,00000 |
1,00000 |
1,00000 |
0,92300 |
||||||||||||||||||||||||||||||||||||||||||||||||||
1,70000 |
1 |
1 |
2 |
ds37.012 |
1.1.2.4.37.12 |
Медицинская реабилитация детей после хирургической коррекции врожденных пороков развития органов и систем |
2,35000 |
51 768,41 |
51 768,41 |
51 768,41 |
14 039,33 |
1,00000 |
1,00000 |
1,00000 |
0,92300 |
||||||||||||||||||||||||||||||||||||||||||||||||||
1,70000 |
1 |
1 |
2 |
ds37.013 |
1.1.2.4.37.13 |
Медицинская реабилитация после онкоортопедических операций |
1,76000 |
38 771,24 |
38 771,24 |
38 771,24 |
14 039,33 |
1,00000 |
1,00000 |
1,00000 |
0,92300 |
||||||||||||||||||||||||||||||||||||||||||||||||||
1,70000 |
1 |
1 |
2 |
ds37.014 |
1.1.2.4.37.14 |
Медицинская реабилитация по поводу постмастэктомического синдрома в онкологии |
1,51000 |
33 263,96 |
33 263,96 |
33 263,96 |
14 039,33 |
1,00000 |
1,00000 |
1,00000 |
0,92300 |
||||||||||||||||||||||||||||||||||||||||||||||||||
1,70000 |
1 |
1 |
2 |
ds37.015 |
1.1.2.4.37.15 |
Медицинская реабилитация после перенесенной коронавирусной инфекции COVID-19 (2 балла по ШРМ) |
1,00000 |
22 029,11 |
22 029,11 |
22 029,11 |
14 039,33 |
1,00000 |
1,00000 |
1,00000 |
0,92300 |
||||||||||||||||||||||||||||||||||||||||||||||||||
1,70000 |
1 |
1 |
2 |
ds37.016 |
1.1.2.4.37.16 |
Медицинская реабилитация после перенесенной коронавирусной инфекции COVID-19 (3 балла по ШРМ) |
1,40000 |
30 840,76 |
30 840,76 |
30 840,76 |
14 039,33 |
1,00000 |
1,00000 |
1,00000 |
0,92300 |
||||||||||||||||||||||||||||||||||||||||||||||||||
Код условий оказания МП: |
1 |
Стационар |
|
2 |
Дневной стационар |
|
3 |
Амбулаторная помощь |
|
4 |
Скорая медицинская помощь |
* Перечень КСГ, при оплате по
которым не применяется коэффициент
уровня медицинской организации
установлен Приложением N 14
Приложение N 7
к Дополнению N 4 к Тарифному соглашению
по программе ОМС на территории Тюменской
области в рамках
Базовой программы ОМС
от 16.03.2022
Приложение N 33
к Тарифному соглашению по программе ОМС
на территории
Тюменской области в рамках Базовой
программы ОМС
от 03.02.2022
ПЕРЕЧЕНЬ ОСНОВАНИЙ ДЛЯ ОТКАЗА В ОПЛАТЕ
МЕДИЦИНСКОЙ ПОМОЩИ (РАЗМЕРЫ НЕОПЛАТЫ,
НЕПОЛНОЙ ОПЛАТЫ МЕДИЦИНСКОЙ ПОМОЩИ)
Код нарушения/ дефекта |
Перечень оснований |
Значение коэффициента для определения размера неоплаты или неполной оплаты затрат медицинской организации на оказание медицинской помощи |
Значение коэффициента для определения размера штрафа за неоказание, несвоевременное оказание либо оказание медицинской помощи ненадлежащего качества |
Раздел 1. НАРУШЕНИЯ, ВЫЯВЛЯЕМЫЕ ПРИ ПРОВЕДЕНИИ МЕДИКО-ЭКОНОМИЧЕСКОГО КОНТРОЛЯ | |||
1.1. |
Нарушение условий оказания медицинской помощи, в том числе сроков ожидания медицинской помощи, несвоевременное включение в группу диспансерного наблюдения лиц, которым по результатам проведения профилактических мероприятий или оказания иной медицинской помощи впервые установлены диагнозы, при которых предусмотрено диспансерное наблюдение в соответствии с порядком проведения диспансерного наблюдения. |
0 |
0,3 |
1.2. |
Невключение в группу диспансерного наблюдения лиц, которым по результатам проведения профилактических мероприятий или оказания иной медицинской помощи впервые установлены диагнозы, при которых предусмотрено диспансерное наблюдение в соответствии с порядком проведения диспансерного наблюдения в случае, если установление диагноза и постановка на диспансерное наблюдение должно быть осуществлено в рамках одного случая оказания медицинской помощи. |
0 |
1 |
1.3. |
Госпитализация застрахованного лица, медицинская помощь которому должна быть оказана в стационаре другого профиля (непрофильная госпитализация), кроме случаев госпитализации для оказания медицинской помощи в неотложной и экстренной форме на койки терапевтического и хирургического профилей. |
1 |
0,3 |
1.4. |
Нарушения, связанные с оформлением и предъявлением на оплату счетов и реестров счетов, в том числе: | ||
1.4.1. |
наличие ошибок и/или недостоверной информации в реквизитах счета; |
1 |
0 |
1.4.2. |
сумма счета не соответствует итоговой сумме предоставленной медицинской помощи по реестру счетов; |
1 |
0 |
1.4.3. |
наличие незаполненных полей реестра счетов, обязательных к заполнению, в том числе отсутствие указаний о включении в группу диспансерного наблюдения лица, которому установлен диагноз, при котором предусмотрено диспансерное наблюдение, отсутствие сведений о страховом случае с летальным исходом при наличии сведений о смерти застрахованного лица в период оказания ему медицинской помощи по данным персонифицированного учета сведений о застрахованных лицах и (или) о медицинской помощи, оказанной застрахованным лицам; |
1 |
0 |
1.4.4. |
некорректное заполнение полей реестра счетов; |
1 |
0 |
1.4.5. |
заявленная сумма по позиции реестра счетов не корректна (содержит арифметическую ошибку); |
1 |
0 |
1.4.6. |
дата оказания медицинской помощи в реестре счетов не соответствует отчетному периоду/периоду оплаты; |
1 |
0 |
1.5. |
Введение в реестр счетов недостоверных персональных данных застрахованного лица, приводящее к невозможности его полной идентификации (включая ошибки в серии и номере полиса обязательного медицинского страхования, адресе); |
1 |
0 |
1.6. |
Нарушения, связанные с включением в реестр счетов медицинской помощи, не входящей в программу ОМС, в том числе: | ||
1.6.1. |
включение в реестр счетов видов медицинской помощи, не входящих в программу ОМС; |
1 |
0 |
1.6.2. |
предъявление к оплате медицинской помощи сверх распределенного объема предоставления медицинской помощи, установленного медицинской организации в соответствии с законодательством об ОМС; |
1 |
0 |
1.6.3. |
предъявление к оплате медицинской помощи сверх размера финансового обеспечения распределенного объема предоставления медицинской помощи, установленного медицинской организации в соответствии с законодательством об ОМС; |
1 |
0 |
1.6.4. |
включение в реестр счетов медицинской помощи, подлежащей оплате из других источников финансирования, в том числе тяжелые несчастные случаи на производстве, оплачиваемые ФСС <1>, медицинских услуг, оказываемой частными медицинскими организациями в рамках пилотного проекта по вовлечению частных медицинских организаций в оказание медико-социальных услуг лицам в возрасте 65 лет и старше, являющимся гражданами Российской Федерации, в том числе проживающим в сельской местности. |
1 |
0 |
1.7. |
Нарушения, связанные с необоснованным применением тарифа на оплату медицинской помощи, в том числе: | ||
1.7.1. |
включение в реестр счетов случаев оказания медицинской помощи по тарифам на оплату медицинской помощи, неустановленным в соответствии с законодательством об ОМС; |
1 |
0 |
1.7.2. |
включение в реестр счетов случаев оказания медицинской по тарифам на оплату медицинской помощи, не соответствующим утвержденным в соответствии с законодательством об ОМС; |
1 |
0 |
1.8. |
Нарушения, связанные с включением в реестр счетов нелицензированных видов медицинской деятельности, в том числе с нарушением лицензионных требований: | ||
1.8.1. |
включение в реестр счетов страховых случаев по видам медицинской деятельности, отсутствующим в действующей лицензии медицинской организации; |
1 |
0 |
1.8.2. |
предоставление реестров счетов в случае прекращения действия лицензии медицинской организации на осуществление медицинской деятельности по случаям оказания медицинской помощи, завершившимся после прекращения действия лицензии медицинской организации; |
1 |
0 |
1.8.3. |
предоставление на оплату реестров счетов, в случае нарушения лицензионных условий и требований при оказании медицинской помощи: в том числе, данные лицензии не соответствуют фактическим адресам осуществления медицинской организацией лицензируемого вида деятельности (на основании информации лицензирующих органов). |
1 |
0 |
1.9. |
Включение в реестр счетов страховых случаев, при которых медицинская помощь оказана медицинским работником, не имеющим сертификата или свидетельства об аккредитации специалиста по профилю оказания медицинской помощи. |
1 |
0 |
1.10. |
Нарушения, связанные с повторным включением в реестр счетов случаев оказания медицинской помощи, в том числе: | ||
1.10.1. |
позиция реестра счетов оплачена ранее (повторное выставление счета на оплату случаев оказания медицинской помощи, которые были оплачены ранее); |
1 |
0 |
1.10.2. |
дублирование случаев оказания медицинской помощи в одном реестре; |
1 |
0 |
1.10.3. |
стоимость отдельной медицинской услуги, включенной в счет, учтена в тарифе на оплату медицинской помощи другой услуги, также предъявленной к оплате медицинской организацией; |
1 |
0 |
1.10.4. |
стоимость медицинской услуги включена в норматив финансового обеспечения оплаты медицинской помощи, оказанной амбулаторно, на прикрепленное население, застрахованное по обязательному медицинскому страхованию. |
1 |
0 |
1.10.5. |
включение в реестр счетов медицинской помощи, оказанной амбулаторно, в период пребывания застрахованного лица в условиях стационара (кроме дня поступления и выписки из стационара, а также оказания медицинской помощи (консультаций) в других медицинских организациях в экстренной и неотложной форме); |
1 |
0 |
1.10.6. |
включение в реестр счетов нескольких страховых случаев, при которых медицинская помощь оказана застрахованному лицу стационарно в один период оплаты с пересечением или совпадением сроков лечения. |
1 |
0 |
Раздел 2. НАРУШЕНИЯ, ВЫЯВЛЯЕМЫЕ ПРИ ПРОВЕДЕНИИ МЕДИКО-ЭКОНОМИЧЕСКОЙ ЭКСПЕРТИЗЫ | |||
2.1. |
Нарушение сроков ожидания медицинской помощи, установленных территориальной программой ОМС; |
0 |
0,3 |
2.2. |
Нарушение условий оказания скорой медицинской помощи, выразившееся в несоблюдении установленного программой ОМС времени доезда бригады скорой медицинской помощи, при летальном исходе до приезда бригады скорой помощи. |
1 |
3 |
2.7. |
Представление в реестрах счетов повторных случаев госпитализации застрахованного лица по одному и тому же заболеванию с длительностью три дня и менее (за исключением случаев, связанных с патологией беременности и родами) в течение четырнадцати календарных дней при оказании медицинской помощи в указанный период в амбулаторных условиях (за исключением случаев, при которых стоимость отдельной медицинской услуги, включенной в счет, учтена в тарифе на оплату медицинской помощи другой услуги, также предъявленной к оплате медицинской организацией). |
1 |
0,3 |
2.8. |
Необоснованное представление в реестрах счетов случаев оказания застрахованному лицу медицинской помощи, оказанной в условиях дневного стационара в период пребывания в условиях круглосуточного стационара (кроме дня поступления и выписки из стационара, а также консультаций в других медицинских организациях при экстренных и неотложных состояниях). |
1 |
0,3 |
2.9. |
Взимание платы с застрахованных лиц за оказанную медицинскую помощь, входящую в базовую либо территориальную программу ОМС, при оказании медицинской помощи в рамках базовой либо территориальной программы ОМС. |
0 |
1 |
2.10. |
Приобретение пациентом или его представителем в период оказания медицинской помощи по назначению врача лекарственных препаратов для медицинского применения, включенных в перечень жизненно необходимых и важнейших лекарственных препаратов <2>, и (или) медицинских изделий, включенных в перечень медицинских изделий, имплантируемых в организм человека <3>, на основе клинических рекомендаций, с учетом стандартов медицинской помощи. |
0,5 |
0,5 |
2.11. |
Отсутствие в реестре счетов сведений о страховом случае с летальным исходом при наличии сведений о смерти застрахованного лица в период оказания ему медицинской помощи в первичной медицинской документации и учетно-отчетной документации медицинской организации. |
0 |
0,6 |
2.12. |
Непредставление медицинской документации, подтверждающей факт оказания застрахованному лицу медицинской помощи в медицинской организации, а также результатов внутреннего и внешнего контроля медицинской организации, безопасности оказания медицинской помощи без объективных причин в течение 10 рабочих дней после получения медицинской организацией соответствующего запроса от ФОМС или ТФОМС, или СМО, или специалиста-эксперта, эксперта качества медицинской помощи, действующего по их поручению |
1 |
0 |
2.13. |
Отсутствие в документации (несоблюдение требований к оформлению) информированного добровольного согласия застрахованного лица на медицинское вмешательство или отказа застрахованного лица от медицинского вмешательства в установленных законодательством Российской Федерации случаях <4>. |
0,1 |
0 |
2.14. |
Наличие признаков искажения сведений, представленных в медицинской документации (дописки, исправления, "вклейки", полное переоформление с искажением сведений о проведенных диагностических и лечебных мероприятиях, клинической картине заболевания; расхождение сведений об оказании медицинской помощи в различных разделах медицинской документации и/или учетно-отчетной документации, запрошенной на проведение экспертизы). |
0,5 |
0 |
2.15. |
Дата оказания медицинской помощи, зарегистрированная в первичной медицинской документации и реестре счетов, не соответствует табелю учета рабочего времени врача (в том числе, оказание медицинской помощи в период отпуска, обучения, командировок, выходных дней). |
1 |
0 |
2.16. |
Несоответствие данных медицинской документации данным реестра счетов, в том числе: | ||
2.16.1. |
оплаченный случай оказания медицинской помощи не соответствует тарифу, установленному законодательством об ОМС; |
0,1 |
0,3 |
2.16.2. |
включение в счет на оплату медицинской помощи при отсутствии в медицинской документации сведений, подтверждающих факт оказания медицинской помощи застрахованному лицу. |
1 |
1 |
2.16.3. |
Некорректное (неполное) отражение в реестре счета сведений медицинской документации |
1 |
0 |
2.17. |
Отсутствие в карте стационарного больного протокола врачебной комиссии в случаях назначения застрахованному лицу лекарственного препарата, не входящего в перечень жизненно необходимых и важнейших лекарственных препаратов. |
0 |
0,3 |
2.18. |
Нарушение сроков ожидания медицинской помощи, установленных территориальной либо базовой программой ОМС. |
0 |
0,3 |
Раздел 3. НАРУШЕНИЯ, ВЫЯВЛЯЕМЫЕ ПРИ ПРОВЕДЕНИИ ЭКСПЕРТИЗЫ КАЧЕСТВА МЕДИЦИНСКОЙ ПОМОЩИ | |||
3.1. |
Установление неверного диагноза, связанное с невыполнением, несвоевременным или ненадлежащим выполнением необходимых пациенту диагностических и (или) лечебных мероприятий, оперативных вмешательств в соответствии с порядками оказания медицинской помощи, на основе клинических рекомендаций и с учетом стандартов медицинской помощи, в том числе по результатам проведенного диспансерного наблюдения, с учетом рекомендаций по применению методов профилактики, диагностики, лечения и реабилитации, данных медицинскими работниками национальных медицинских центров в ходе консультаций/консилиумов с применением телемедицинских технологий: | ||
3.1.1. |
не повлиявшее на состояние здоровья застрахованного лица; |
0,1 |
0 |
3.1.2. |
приведшее к удлинению или укорочению сроков лечения сверх установленных (за исключением случаев отказа застрахованного лица от медицинского вмешательства в установленных законодательством Российской Федерации случаях; |
0,3 |
0 |
3.1.3. |
приведшее к ухудшению состояния здоровья застрахованного лица, либо создавшее риск прогрессирования имеющегося заболевания, либо создавшее риск возникновения нового заболевания; |
0,4 |
0,3 |
3.1.4. |
приведшее к инвалидизации; |
0,9 |
1 |
3.1.5. |
приведшее к летальному исходу (в том числе при наличии расхождений клинического и патологоанатомического диагнозов); |
1 |
3 |
3.2. |
Невыполнение, несвоевременное или ненадлежащее выполнение необходимых пациенту диагностических и (или) лечебных мероприятий, оперативных вмешательств в соответствии с порядками оказания медицинской помощи, на основе клинических рекомендаций и с учетом стандартов медицинской помощи, в том числе по результатам проведенного диспансерного наблюдения, рекомендаций по применению методов профилактики, диагностики, лечения и реабилитации, данных медицинскими работниками национальных медицинских исследовательских центров в ходе консультаций/консилиумов с применением телемедицинских технологий: | ||
3.2.1. |
не повлиявшее на состояние здоровья застрахованного лица; |
0,1 |
0 |
3.2.2. |
приведшее к ухудшению состояния здоровья застрахованного лица, либо создавшее риск прогрессирования имеющегося заболевания, либо создавшее риск возникновения нового заболевания (за исключением случаев отказа застрахованного лица от медицинского вмешательства в установленных законодательством Российской Федерации случаях); |
0,4 |
0,3 |
3.2.3. |
приведшее к инвалидизации (за исключением случаев отказа застрахованного лица от медицинского вмешательства в установленных законодательством Российской Федерации случаях); |
0,9 |
1 |
3.2.4. |
приведшее к летальному исходу (за исключением случаев отказа застрахованного лица от медицинского вмешательства в установленных законодательством Российской Федерации случаях); |
1 |
3 |
3.2.5. |
рекомендаций медицинских работников национальных медицинских исследовательских центров по применению методов профилактики, диагностики, лечения и реабилитации, данных при проведении указанными центрами консультаций/консилиумов с применением консультаций с применением телемедицинских технологий, при необоснованном невыполнении данных рекомендаций; |
0,9 |
1 |
3.2.6. |
по результатам проведенного диспансерного наблюдения |
0,9 |
1 |
3.3. |
Выполнение непоказанных, неоправданных с клинической точки зрения, не регламентированных порядками оказания медицинской помощи, клиническими рекомендациями, стандартами медицинской помощи мероприятий, приведшее к ухудшению состояния здоровья застрахованного лица, либо создавшее риск прогрессирования имеющегося заболевания, либо создавшее риск возникновения нового заболевания. |
0,5 |
0,6 |
3.4. |
Преждевременное с клинической точки зрения прекращение оказания медицинской помощи при отсутствии клинического эффекта (за исключением случаев отказа застрахованного лица от медицинского вмешательства в установленных законодательством Российской Федерации случаях). |
0,5 |
0,3 |
3.5. |
Нарушения при оказании медицинской помощи (в частности, преждевременная выписка из медицинской организации), вследствие которых, при отсутствии положительной динамики в состоянии здоровья, потребовалось повторное обоснованное обращение застрахованного лица за медицинской помощью по поводу того же заболевания в течение четырнадцати дней со дня окончания оказания медицинской помощи амбулаторно, тридцати дней стационарно (повторная госпитализация). |
0,3 |
0 |
3.6. |
Нарушение по вине медицинской организации преемственности в оказании медицинской помощи (в том числе несвоевременный перевод пациента в медицинскую организацию более высокого уровня), приведшее к удлинению сроков оказания медицинской помощи и (или) ухудшению состояния здоровья застрахованного лица. |
0,8 |
1 |
3.7. |
Госпитализация застрахованного лица в плановой или неотложной форме с нарушением требований к профильности оказанной медицинской помощи (непрофильная госпитализация), кроме случаев госпитализации в неотложной и экстренной форме с последующим переводом в течение суток в профильные медицинские организации (структурные подразделения медицинских организаций). |
1 |
0,3 |
3.8. |
Госпитализация застрахованного лица без медицинских показаний (необоснованная госпитализация), медицинская помощь которому могла быть предоставлена в установленном объеме амбулаторно, в дневном стационаре, отсутствие пациента в медицинской организации на дату проверки. |
1 |
0,3 |
3.9. |
Необоснованное повторное посещение врача одной и той же специальности в один день при оказании медицинской помощи амбулаторно, за исключением повторного посещения для определения показаний к госпитализации, операции, консультациям в других медицинских организациях, в связи с выпиской лекарственных препаратов группам населения, при амбулаторном лечении которых лекарственные препараты отпускаются по рецептам врачей бесплатно и с 50-процентной скидкой, наблюдения беременных женщин, посещений, связанных с выдачей справок и иных медицинских документов. |
1 |
0,3 |
3.10. |
Наличие расхождений клинического и патологоанатомического диагнозов 2-3 категории, обусловленное непроведением необходимых диагностических исследований (за исключением оказания медицинской помощи в экстренной форме) |
0,9 |
0,5 |
3.11. |
Отсутствие в медицинской документации результатов обследований, осмотров, консультаций специалистов, дневниковых записей, позволяющих оценить динамику состояния здоровья застрахованного лица, объем, характер, условия предоставления медицинской помощи и провести оценку качества оказанной медицинской помощи. |
0,5 |
0 |
3.12. |
Нарушение прав застрахованных лиц на выбор медицинской организации из медицинских организаций, участвующих в реализации территориальной программы ОМС, базовой программы ОМС; на выбор врача. |
0 |
0,3 |
3.13. |
Необоснованное назначение лекарственных препаратов; одновременное назначение лекарственных препаратов со схожим фармакологическим действием; нерациональная лекарственная терапия, в том числе несоответствие дозировок, кратности и длительности приема лекарственных препаратов с учетом стандартов медицинской помощи и клинических рекомендаций, связанные с риском для здоровья пациента. |
0,5 |
0,6 |
3.14. |
Необоснованный отказ застрахованным лицам в оказании медицинской помощи в соответствии с программами ОМС, в том числе: | ||
3.14.1. |
с отсутствием последующего ухудшения состояния здоровья; |
0 |
1 |
3.14.2. |
с последующим ухудшением состояния здоровья; |
0 |
2 |
3.14.3. |
приведший к летальному исходу. |
0 |
3 |
3.15. |
Непроведение диспансерного наблюдения застрахованного лица (за исключением случаев отказа застрахованного лица, проинформированного лечащим врачом и (или) страховым представителем о возможности прохождения диспансерного наблюдения, от его прохождения), включенного в группу диспансерного наблюдения, в соответствии с порядком и периодичностью проведения диспансерного наблюдения и перечнем включаемых в указанный порядок исследований, в том числе: | ||
3.15.1. |
с отсутствием последующего ухудшения состояния здоровья; |
0 |
1 |
3.15.2. |
с последующим ухудшением состояния здоровья (за исключением случаев отказа застрахованного лица, проинформированного лечащим врачом и/или страховым представителем о возможности прохождения диспансерного наблюдения, от его прохождения); |
0 |
2 |
3.15.3. |
приведший к летальному исходу (за исключением случаев отказа застрахованного лица, проинформированного лечащим врачом и/или страховым представителем о возможности прохождения диспансерного наблюдения, от его прохождения). |
0 |
3 |
<1> В соответствии с частью 1
статьи 32 Федерального закона от 29 ноября
2010 N 326-ФЗ "Об обязательном медицинском
страховании в Российской Федерации
(Собрание законодательства Российской
Федерации, 2010, N 49, ст. 6422; 2017, N 1, ст. 34).
<2> Распоряжение Правительства
Российской Федерации от 12 октября 2019 N
2406-р (Собрание законодательства
Российской Федерации, 2019, N 42, ст. 5979; 2020, N
48, ст. 7813).
<3> Распоряжение Правительства
Российской Федерации 31 декабря 2018 N 3053-р
(Собрание законодательства Российской
Федерации, 2019, N 2, ст. 196; N 41, ст. 5780).
<4> В соответствии со статьей 20
Федерального закона от 21 ноября 2011 N 323-ФЗ
"Об основах охраны здоровья граждан в
Российской Федерации (Собрание
законодательства Российской Федерации,
2011, N 48, ст. 6724; 2020, N 29, ст. 4516).
Размер неоплаты или неполной
оплаты затрат медицинской организации
на оказание медицинской помощи в рамках
Территориальной программы ОМС (Н)
рассчитывается по формуле:
Н = РТ x Кно
где:
Н - размер неоплаты или неполной
оплаты затрат медицинской организации
на оказание медицинской помощи в рамках
территориальной программы ОМС;
РТ - размер тарифа на оплату
медицинской помощи, действующий на дату
оказания медицинской помощи;
Кно - коэффициент для определения
размера неполной оплаты медицинской
помощи по основанию для отказа в оплате
медицинской помощи либо уменьшению
оплаты медицинской помощи, действующий
на дату проведения МЭК, МЭЭ, ЭКМП.
(Сшт) - Размер штрафа, применяемого к
медицинской организации за неоказание,
несвоевременное оказание либо оказание
медицинской помощи ненадлежащего
качества, рассчитывается по формуле:
Сшт = РП x Кшт
где:
Сшт - размер штрафа за неоказание,
несвоевременное оказание либо оказание
медицинской помощи ненадлежащего
качества;
РП - установленный тарифным
соглашением на дату проведения контроля
объемов, сроков, качества и условий
предоставления медицинской помощи и
применяемый в зависимости от условий
оказания медицинской помощи, в отношении
оказания которой проводится контроль
объемов, сроков, качества и условий
предоставления медицинской помощи,
подушевой норматив финансирования
медицинской помощи;
Кшт - коэффициент для определения
размера штрафа по основанию для
начисления штрафа за неоказание,
несвоевременное оказание либо оказание
медицинской помощи ненадлежащего
качества, действующий на дату проведения
МЭК, МЭЭ, ЭКМП.
Размеры подушевых нормативов
финансирования, используемые при
определении размера штрафа за
неоказание, несвоевременное оказание
либо оказание медицинской помощи
ненадлежащего качества в разрезе
условий оказания медицинской помощи*:
1. в амбулаторных условиях -
установленный Территориальной
программой подушевой норматив
финансирования за счет средств ОМС для
медицинской помощи, предоставляемой в
рамках базовой программы застрахованным
лицам в амбулаторных условиях, в размере
- 6 246,18 руб.
2. при оплате скорой медицинской
помощи вне медицинской организации -
установленный Территориальной
программой подушевой норматив
финансирования за счет средств ОМС для
скорой медицинской помощи,
предоставляемой в рамках базовой
программы застрахованным лицам, в
размере - 951,60 руб.
3. в стационарных условиях, в том
числе при оказании высокотехнологичной
медицинской помощи - установленный
Территориальной программой подушевой
норматив финансирования за счет средств
ОМС для специализированной медицинской
помощи в стационарных условиях,
предоставляемой в рамках базовой
программы застрахованным лицам, в
размере - 6 982,77 руб.
4. в условиях дневного стационара, в
том числе при оказании
высокотехнологичной медицинской помощи
- установленный Территориальной
программой государственных гарантий
подушевой норматив финансирования за
счет средств ОМС для специализированной
медицинской помощи в условиях дневного
стационара, предоставляемой в рамках
базовой программы застрахованным лицам,
в размере - 1 784,71 руб.
* при определении размера штрафа
применяется 1/12 установленного
Территориальной программой размера
подушевого норматива финансирования за
счет средств ОМС в зависимости от
условия оказания медицинской помощи




