Дополнительное соглашение N 3 к Тарифному
соглашению на оплату медицинской помощи
по обязательному медицинскому
страхованию на территории Иркутской
области от 30.12.2021
от 28 февраля 2022 года
г. Иркутск
Данилова Анна Николаевна - первый
заместитель министра здравоохранения
Иркутской области;
Градобоев Евгений Валерьевич -
директор Территориального фонда
обязательного медицинского страхования
Иркутской области;
Сосова Кристина Вилорьевна -
полномочный представитель
Всероссийского союза страховщиков по
медицинскому страхованию в Иркутской
области, директор Иркутского филиала АО
"Страховая компания "СОГАЗ-Мед";
Никифорова Светлана Владимировна -
председатель Иркутской областной
организации профсоюза работников
здравоохранения Российской Федерации;
Гайдаров Гайдар Мамедович -
Председатель Общественной организации
"Ассоциация медицинских и
фармацевтических работников Иркутской
области";
включенные в состав Комиссии по
разработке территориальной программы
обязательного медицинского страхования
в Иркутской области (далее - Комиссия) и в
дальнейшем именуемые "Стороны", на
основании решения, принятого Комиссией,
заключили настоящее Дополнительное
соглашение к Тарифному соглашению на
оплату медицинской помощи по
обязательному медицинскому страхованию
на территории Иркутской области от 30
декабря 2021 года (далее - Дополнительное
соглашение) о нижеследующем:
Внести в Тарифное соглашение на
оплату медицинской помощи по
обязательному медицинскому страхованию
на территории Иркутской области от 30.12.2021
(в редакции Дополнительных соглашений N 1
от 31.01.2022, N 2 от 21.02.2022) (далее - Тарифное
соглашение) следующие изменения:
1. Пункт 3 главы 1 раздела 2 Тарифного
соглашения изложить в новой редакции:
"3. В рамках подушевого норматива
финансируется первичная
медико-санитарная помощь, в том числе
первичная специализированная
медико-санитарная помощь, оказанная в
амбулаторных условиях прикрепившимся
застрахованным лицам. Единицей объема
медицинской помощи является медицинская
услуга, посещение, обращение.
Подушевой норматив включает
финансовые средства, обеспечивающие
собственную деятельность поликлиники, а
также внешние консультации и
обследования (исследования), оказанные в
амбулаторных условиях в других
медицинских организациях
застрахованным лицам, а также средства,
направляемые на выплаты медицинским
организациям в случае достижения
целевых значений показателей
результативности деятельности.
Доля стимулирующей части базового
подушевого норматива (Дсч), за выполнение
показателей результативности
деятельности, - 0,05.
Показатели результативности
деятельности медицинских организаций и
критерии их оценки установлены
Приложением N 30.
2. Абзацы 3 - 8 пункта 6 главы 1 раздела
2 Тарифного соглашения изложить в новой
редакции:
"Значение базового подушевого
норматива финансирования на
прикрепившихся лиц, исключающего
влияние применяемых коэффициентов
специфики оказания медицинской помощи,
уровня медицинской организации,
коэффициента дифференциации по
территориям оказания медицинской
помощи, стоимости медицинской помощи,
оплачиваемой за единицу объема ее
оказания, стоимости медицинской помощи,
оказываемой в фельдшерских,
фельдшерско-акушерских пунктах,
стоимости проведения профилактического
медицинского осмотра и диспансеризации
застрахованных лиц, а также выплаты
медицинским организациям за достижение
показателей результативности
деятельности (далее - базовый подушевой
норматив финансирования медицинской
помощи) определяется по следующей
формуле:

ПНБАЗ |
базовый подушевой норматив финансирования медицинской помощи, рублей; |
ОСПНФ-проф |
объем средств на оплату медицинской помощи по подушевому нормативу финансирования (за исключением средств на оплату профилактических медицинских осмотров и диспансеризации), рублей; |
Рез |
доля средств, направляемая на выплаты медицинским организациям за достижение показателей результативности деятельности; |
КД |
единый коэффициент дифференциации субъекта Российской Федерации, рассчитанный в соответствии с Постановлением N 462.". |
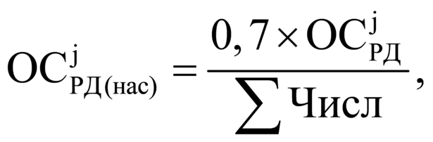
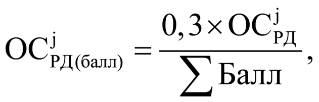
3. Абзац 1, 2 пункта 9 главы 1 раздела 2
Тарифного соглашения изложить в новой
редакции:
"9. В целях приведения в
соответствие объема средств,
рассчитанного по дифференцированным
подушевым нормативам финансирования
медицинской помощи в амбулаторных
условиях, к объему средств на оплату
медицинской помощи в амбулаторных
условиях по подушевому нормативу
финансирования (за исключением средств
на финансовое обеспечение мероприятий
по проведению профилактических
медицинских осмотров и диспансеризации,
а также средств на выплаты по итогам
оценки результативности деятельности
медицинских организаций),
рассчитывается поправочный коэффициент
(ПК) по формуле:
".
4. Пункт 1 главы 5 раздела 2 Тарифного
соглашения изложить в новой редакции:
"1. Перечень медицинских
организаций, оказывающих медицинскую
помощь в амбулаторных, стационарных
условиях, в условиях дневного
стационара, имеющих прикрепившихся лиц,
оплата медицинской помощи в которых
осуществляется по подушевому нормативу
финансирования на прикрепившихся к
медицинской организации лиц, включая
оплату медицинской помощи по всем видам
и условиям предоставляемой указанной
медицинской организацией медицинской
помощи, с учетом показателей
результативности деятельности
медицинской организации (включая
показатели объема медицинской помощи),
приведен в Приложении N 29 к Тарифному
соглашению.
Доля стимулирующей части базового
подушевого норматива, за выполнение
показателей результативности
деятельности - 0,05.
Показатели результативности
деятельности медицинских организаций и
критерии их оценки установлены
Приложением N 30.
Подушевой норматив включает
финансовые средства, обеспечивающие
собственную деятельность медицинской
организации, а также внешние
консультации и обследования
(исследования), оказанные в амбулаторных,
стационарных условиях и в условиях
дневного стационара в других
медицинских организациях
застрахованным лицам, а также средства,
направляемые на выплаты медицинским
организациям в случае достижения
целевых значений показателей
результативности деятельности.
Подушевой норматив финансирования
на прикрепившихся лиц включает в том
числе расходы на оказание медицинской
помощи с применением телемедицинских
технологий.
Указанный подушевой норматив (ПН)
финансирования на прикрепившихся лиц
для медицинской организации
складывается из рассчитанного
фактического дифференцированного
подушевого норматива финансирования на
прикрепившихся лиц для каждой (i-й)
медицинской организации, включающего
медицинскую помощь в неотложной форме, а
также объема средств на финансовое
обеспечение медицинской помощи в
стационарных условиях и в условиях
дневного стационара.".
5. Пункт 7 главы 2 раздела 3 Тарифного
соглашения изложить в новой редакции:
"7. Стоимость одного случая
госпитализации в стационаре по КСГ
(ССксг/кс), за исключением КСГ, в составе
которых Программой установлены доли
заработной платы и прочих расходов
(Приложение N 33), определяется по
следующей формуле:
ССксг/кс = БС x КД x (КЗксг/кс x
КСксг/кс x КУСмо/кс + КСЛП), где:
БС - размер средней стоимости
законченного случая лечения,
включенного в КСГ (базовая ставка),
рублей;
КЗксг/кс - коэффициент
относительной затратоемкости по КСГ, к
которой отнесен данный случай
госпитализации (основной коэффициент,
устанавливаемый на федеральном уровне);
КСксг/кс - коэффициент специфики
КСГ, к которой отнесен данный случай
госпитализации;
КУСмо/кс - коэффициент уровня
медицинской организации, в которой был
пролечен пациент;
КД - коэффициент дифференциации;
КСЛП - коэффициент сложности
лечения пациента (при необходимости,
сумма применяемых КСЛП)".
6. Пункт 8 главы 2 раздела 3 Тарифного
соглашения изложить в новой редакции:
"8. Стоимость одного случая
госпитализации по КСГ, в составе которых
Программой установлены доли заработной
платы и прочих расходов (Приложение N 33),
определяется по следующей формуле:
ССксг/кс = БС x КЗ x ((1 ДЗП) + ДЗП x КСксг
x КУСмо x КД) + БС x КД x КСЛП, где:
БС - размер средней стоимости
законченного случая лечения без учета
коэффициента дифференциации (базовая
ставка), рублей;
КЗ - коэффициент относительной
затратоемкости по КСГ, к которой отнесен
данный случай госпитализации;
ДЗП - доля заработной платы и прочих
расходов в структуре стоимости КСГ
установлена в приложении N 33 к Тарифному
соглашению;
КСксг - коэффициент специфики КСГ, к
которой отнесен данный случай
госпитализации;
КУСмо - коэффициент уровня
медицинской организации, в которой был
пролечен пациент;
КД - коэффициент дифференциации;
КСЛП - коэффициент сложности
лечения пациента (при необходимости,
сумма применяемых КСЛП)".
7. Пункт 11 главы 2 раздела 3 Тарифного
соглашения исключить.
8. Пункт 7 главы 3 раздела 3 Тарифного
соглашения изложить в новой редакции:
"7. Стоимость одного случая
госпитализации в дневном стационаре по
КСГ (ССксг/дс), за исключением КСГ, в
составе которых Программой установлены
доли заработной платы и прочих расходов,
определяется по следующей формуле:
ССксг/кс = БС x КД x (КЗксг/кс x
КСксг/дс x КУСмо/дс + КСЛП), где:
БС - размер средней стоимости
законченного случая лечения,
включенного в КСГ (базовая ставка),
рублей;
КЗксг/кс - коэффициент
относительной затратоемкости по КСГ, к
которой отнесен данный случай
госпитализации (основной коэффициент,
устанавливаемый на федеральном уровне);
КСксг/дс - коэффициент специфики
КСГ, к которой отнесен данный случай
госпитализации;
КУСмо/дс - коэффициент уровня
медицинской организации, в которой был
пролечен пациент;
КД - коэффициент дифференциации;
КСЛП - коэффициент сложности
лечения пациента (при необходимости,
сумма применяемых КСЛП).
9. Пункт 8 главы 3 раздела 3 Тарифного
соглашения изложить в новой редакции:
"8. Стоимость одного случая
госпитализации по КСГ, в составе которых
Программой установлены доли заработной
платы и прочих расходов (Приложение N 34),
определяется по следующей формуле:
ССксг/кс = БС x КЗ x ((1 ДЗП) + ДЗП x КСксг
x КУСмо x КД) + БС x КД x КСЛП, где:
БС - размер средней стоимости
законченного случая лечения без учета
коэффициента дифференциации (базовая
ставка), рублей;
КЗ - коэффициент относительной
затратоемкости по КСГ, к которой отнесен
данный случай госпитализации;
ДЗП - доля заработной платы и прочих
расходов в структуре стоимости КСГ
установлена в приложении N 33 к Тарифному
соглашению;
КСксг - коэффициент специфики КСГ, к
которой отнесен данный случай
госпитализации;
КУСмо - коэффициент уровня
медицинской организации, в которой был
пролечен пациент;
КД - коэффициент дифференциации;
КСЛП коэффициент сложности лечения
пациента (при необходимости, сумма
применяемых КСЛП).
10. Пункт 11 главы 3 раздела 3
Тарифного соглашения исключить.
11. Пункт 1 главы 5 раздела 3 Тарифного
соглашения изложить в новой редакции:
"1. Размер базового подушевого
норматива финансирования на
прикрепившихся лиц, включая оплату
медицинской помощи по всем видам и
условиям предоставляемой медицинской
помощи, с учетом показателей
результативности деятельности
медицинской организации, составляет 706,93
рубля на 1 застрахованное лицо в месяц".
12. Приложение N 1 "Перечень
медицинских организаций (структурных
подразделений медицинских организаций),
оказывающих медицинскую помощь в
амбулаторных условиях" к Тарифному
соглашению изложить в новой редакции
(приложение N 1 к настоящему
Дополнительному соглашению).
13. Приложение N 2 "Перечень
медицинских организаций (структурных
подразделений медицинских организаций),
оказывающих медицинскую помощь в
стационарных условиях" к Тарифному
соглашению изложить в новой редакции
(приложение N 2 к настоящему
Дополнительному соглашению).
14. Приложение N 7 "Тарифы на оплату
медицинской помощи, оказываемой в
амбулаторных условиях" к Тарифному
соглашению изложить в новой редакции
(приложение N 3 к настоящему
Дополнительному соглашению).
15. Приложение N 10 "Тарифы на оплату
медицинской помощи в рамках мероприятий
по диспансеризации определенных групп
взрослого населения к Тарифному
соглашению изложить в новой редакции"
(приложение N 4 к настоящему
Дополнительному соглашению).
16. Приложение N 13
"Дифференцированные подушевые нормативы
финансирования медицинской помощи в
амбулаторных условиях" к Тарифному
соглашению изложить в новой редакции
(приложение N 5 к настоящему
Дополнительному соглашению).
17. Приложение N 19 "Коэффициенты
подуровня для оплаты медицинской помощи
в стационарных условиях" к Тарифному
соглашению изложить в новой редакции
(приложение N 6 к настоящему
Дополнительному соглашению).
18. Приложение N 26 "Тарифы на
проведение отдельных диагностических
(лабораторных) исследований" к Тарифному
соглашению изложить в новой редакции
(приложение N 7 к настоящему
Дополнительному соглашению).
19. Приложение N 28 "Перечень
фельдшерских, фельдшерско-акушерских
пунктов" к Тарифному соглашению изложить
в новой редакции (приложение N 8 к
настоящему Дополнительному соглашению).
20. Приложение N 29 "Перечень
медицинских организаций, оказывающих
медицинскую помощь в амбулаторных,
стационарных условиях, в условиях
дневного стационара, имеющих
прикрепившихся лиц, оплата медицинской
помощи в которых осуществляется по
подушевому нормативу финансирования на
прикрепившихся к данной медицинской
организации лиц (включая оплату
медицинской помощи по всем видам и
условиям предоставляемой указанной
медицинской организацией медицинской
помощи), с учетом показателей
результативности деятельности
медицинской организации (включая
показатели объема медицинской помощи)" к
Тарифному соглашению изложить в новой
редакции (приложение N 9 к настоящему
Дополнительному соглашению).
21. Приложение N 30 "Показатели
результативности деятельности
медицинских организаций, оказывающих
медицинскую помощь, оплата которой
производится по подушевому нормативу
финансирования на прикрепившихся к
медицинской организации лиц" к Тарифному
соглашению изложить в новой редакции
(приложение N 10 к настоящему
Дополнительному соглашению).
22. Приложение N 31
"Дифференцированные подушевые нормативы
финансирования медицинской помощи по
всем видам и условиям предоставляемой
медицинской помощи" к Тарифному
соглашению изложить в новой редакции
(приложение N 11 к настоящему
Дополнительному соглашению).
23. Настоящее Дополнительное
соглашение вступает в силу с момента его
подписания и распространяется на
правоотношения при оплате медицинской
помощи, оказанной с 1 февраля 2022 года, за
исключением пункта 21 настоящего
Дополнительного соглашения, действие
которого распространяется на
правоотношения при оплате медицинской
помощи, оказанной с 1 января 2022 года.
24. Настоящее Дополнительное
соглашение составлено в пяти
экземплярах, имеющих одинаковую
юридическую силу, по одному каждой из
Сторон.
ПОДПИСИ СТОРОН
А.Н.ДАНИЛОВА
Е.В.ГРАДОБОЕВ
К.В.СОСОВА
С.В.НИКИФОРОВА
Г.М.ГАЙДАРОВ
Приложение N 1
к Дополнительному соглашению
от 28 февраля 2022 г. N 3
Приложение N 1
к Тарифному соглашению
от 30 декабря 2021 г.
ПЕРЕЧЕНЬ МЕДИЦИНСКИХ ОРГАНИЗАЦИЙ
(СТРУКТУРНЫХ ПОДРАЗДЕЛЕНИЙ МЕДИЦИНСКИХ
ОРГАНИЗАЦИЙ), ОКАЗЫВАЮЩИХ МЕДИЦИНСКУЮ
ПОМОЩЬ В АМБУЛАТОРНЫХ УСЛОВИЯХ
Раздел 1. ПЕРЕЧЕНЬ МЕДИЦИНСКИХ
ОРГАНИЗАЦИЙ (СТРУКТУРНЫХ ПОДРАЗДЕЛЕНИЙ
МЕДИЦИНСКИХ ОРГАНИЗАЦИЙ), ОКАЗЫВАЮЩИХ
МЕДИЦИНСКУЮ ПОМОЩЬ В АМБУЛАТОРНЫХ
УСЛОВИЯХ, ИМЕЮЩИХ ПРИКРЕПИВШИХСЯ ЛИЦ,
ОПЛАТА МЕДИЦИНСКОЙ ПОМОЩИ В КОТОРЫХ
ОСУЩЕСТВЛЯЕТСЯ ПО ПОДУШЕВОМУ НОРМАТИВУ
ФИНАНСИРОВАНИЯ НА ПРИКРЕПИВШИХСЯ ЛИЦ
N п/п |
|
Наименование медицинской организации |
Уровень |
КУ мо |
КС проф |
КС заб |
1 |
380140 |
Федеральное государственное бюджетное учреждение здравоохранения "Центральная медико-санитарная часть N 28 Федерального медико-биологического агентства" |
7 |
0,92 |
1,0788 |
0,7178 |
2 |
380141 |
Частное учреждение "Медико-санитарная часть N 36" |
2 |
0,98 |
1,0783 |
0,4423 |
3 |
380152 |
частное учреждение здравоохранения "Поликлиника "РЖД-Медицина" города Вихоревка" |
9 |
0,90 |
1,1722 |
0,4482 |
4 |
380039 |
Федеральное государственное бюджетное учреждение здравоохранения "Клиническая Больница Иркутского научного центра Сибирского отделения Российской академии наук" |
4 |
0,95 |
1,0602 |
1,1007 |
5 |
380056 |
областное государственное автономное учреждение здравоохранения "Иркутская городская детская поликлиника N 1" |
6 |
0,93 |
1,2851 |
1,0321 |
6 |
380046 |
областное государственное автономное учреждение здравоохранения "Иркутская городская детская поликлиника N 2" |
6 |
0,93 |
1,3125 |
1,0821 |
7 |
380051 |
областное государственное бюджетное учреждение здравоохранения "Иркутская детская городская поликлиника N 3" |
6 |
0,93 |
1,3817 |
1,1976 |
8 |
380020 |
областное государственное бюджетное учреждение здравоохранения "Иркутская городская поликлиника N 4" |
3 |
0,96 |
1,1750 |
1,0998 |
9 |
380054 |
областное государственное бюджетное учреждение здравоохранения "Иркутская городская детская поликлиника N 6" |
5 |
0,94 |
1,3687 |
1,0748 |
10 |
380022 |
областное государственное бюджетное учреждение здравоохранения "Иркутская городская поликлиника N 11" |
5 |
0,94 |
1,1301 |
0,8936 |
11 |
380049 |
областное государственное бюджетное учреждение здравоохранения "Иркутская городская поликлиника N 15" |
3 |
0,96 |
1,1170 |
1,0888 |
12 |
380025 |
областное государственное бюджетное учреждение здравоохранения "Иркутская городская поликлиника N 17" |
4 |
0,95 |
1,1796 |
1,1539 |
13 |
380019 |
областное государственное автономное учреждение здравоохранения "Иркутская медико-санитарная часть N 2" |
5 |
0,94 |
1,1042 |
1,0474 |
14 |
380015 |
частное учреждение здравоохранения "Клиническая больница "РЖД-Медицина" города Иркутск" |
7 |
0,92 |
1,1422 |
0,5161 |
15 |
380202 |
федеральное казенное учреждение здравоохранения "Медико-санитарная часть Министерства внутренних дел Российской Федерации по Иркутской области" |
1 |
0,99 |
1,1125 |
0,2129 |
16 |
380024 |
Акционерное общество "Международный Аэропорт Иркутск" |
1 |
0,99 |
1,0798 |
0,9514 |
17 |
380170 |
частное учреждение здравоохранения "Поликлиника "РЖД-Медицина" города Нижнеудинск" |
8 |
0,91 |
1,0653 |
0,5250 |
18 |
380167 |
частное учреждение здравоохранения "Поликлиника "РЖД-Медицина" города Зима" |
4 |
0,95 |
1,0872 |
0,5073 |
19 |
380189 |
частное учреждение здравоохранения "Поликлиника "РЖД-Медицина" города Тайшет" |
7 |
0,92 |
1,2429 |
0,3870 |
20 |
380180 |
областное государственное автономное учреждение здравоохранения "Усть-Илимская городская поликлиника N 1" |
9 |
0,90 |
1,0579 |
1,5601 |
21 |
380181 |
областное государственное бюджетное учреждение здравоохранения "Усть-Илимская городская поликлиника N 2" |
2 |
0,98 |
1,1374 |
1,0674 |
22 |
380378 |
областное государственное бюджетное учреждение здравоохранения "Усть-Илимская городская детская поликлиника" |
6 |
0,93 |
1,2195 |
1,8104 |
23 |
380169 |
частное учреждение здравоохранения "Поликлиника "РЖД-Медицина" города Усть-Кут" |
5 |
0,94 |
1,0514 |
0,4194 |
24 |
380168 |
частное учреждение здравоохранения "Поликлиника "РЖД-Медицина" города Железногорск-Илимский" |
8 |
0,91 |
1,3503 |
0,4071 |
25 |
380004 |
областное государственное бюджетное учреждение здравоохранения "Иркутская городская больница N 5" |
1 |
0,99 |
1,1607 |
1,1657 |
Раздел 2. ПЕРЕЧЕНЬ МЕДИЦИНСКИХ
ОРГАНИЗАЦИЙ (СТРУКТУРНЫХ ПОДРАЗДЕЛЕНИЙ
МЕДИЦИНСКИХ ОРГАНИЗАЦИЙ), ОКАЗЫВАЮЩИХ
МЕДИЦИНСКУЮ ПОМОЩЬ В АМБУЛАТОРНЫХ
УСЛОВИЯХ, НЕ ИМЕЮЩИХ ПРИКРЕПИВШИХСЯ ЛИЦ,
ОПЛАТА МЕДИЦИНСКОЙ ПОМОЩИ В КОТОРЫХ
ОСУЩЕСТВЛЯЕТСЯ ЗА ЕДИНИЦУ ОБЪЕМА
МЕДИЦИНСКОЙ ПОМОЩИ - ЗА МЕДИЦИНСКУЮ
УСЛУГУ, ЗА ПОСЕЩЕНИЕ, ЗА ОБРАЩЕНИЕ
(ЗАКОНЧЕННЫЙ СЛУЧАЙ)
N п/п |
|
Наименование медицинской организации |
Группа |
1 |
380 139 |
областное государственное бюджетное учреждение здравоохранения "Ангарская городская детская стоматологическая поликлиника" |
2 |
2 |
380 142 |
областное государственное автономное учреждение здравоохранения "Ангарский перинатальный центр" |
2 |
3 |
380 143 |
Общество с ограниченной ответственностью "ЧЕЛЮСТНО-ЛИЦЕВАЯ КЛИНИКА" |
2 |
4 |
380 138 |
Акционерное общество "Городская стоматологическая поликлиника" |
2 |
5 |
380 366 |
Медицинская автономная некоммерческая организация "Центр Детской Стоматологии" |
2 |
6 |
380 415 |
Международное учреждение здравоохранения и дополнительного образования НАУЧНО-ИССЛЕДОВАТЕЛЬСКИЙ ИНСТИТУТ КЛИНИЧЕСКОЙ МЕДИЦИНЫ |
2 |
7 |
380 125 |
областное государственное автономное учреждение здравоохранения "Братская стоматологическая поликлиника N 1" |
2 |
8 |
380 127 |
областное государственное автономное учреждение здравоохранения "Братская стоматологическая поликлиника N 3" |
2 |
9 |
380 124 |
областное государственное автономное учреждение здравоохранения "Братский перинатальный центр" |
2 |
10 |
380 089 |
областное государственное бюджетное учреждение здравоохранения "Братский областной кожно-венерологический диспансер" |
2 |
11 |
380 191 |
Федеральное государственное бюджетное научное учреждение "Научный центр проблем здоровья семьи и репродукции человека" |
2 |
12 |
380 086 |
Федеральное государственное бюджетное образовательное учреждение высшего образования "Иркутский государственный медицинский университет" Министерства здравоохранения Российской Федерации |
2 |
13 |
380 017 |
областное государственное автономное учреждение здравоохранения "Городская Ивано-Матренинская детская клиническая больница" |
2 |
14 |
380 059 |
областное государственное автономное учреждение здравоохранения "Иркутская городская детская стоматологическая поликлиника" |
2 |
15 |
380 038 |
областное государственное автономное учреждение здравоохранения "Иркутская стоматологическая поликлиника N 1" |
2 |
16 |
380 012 |
областное государственное бюджетное учреждение здравоохранения "Иркутский городской перинатальный центр" |
2 |
17 |
380 060 |
государственное бюджетное учреждение здравоохранения "Областной кожно-венерологический диспансер" |
2 |
18 |
380 224 |
областное государственное автономное учреждение здравоохранения "Иркутский областной клинический консультативно-диагностический центр" |
2 |
19 |
380 210 |
государственное бюджетное учреждение здравоохранения "Областной онкологический диспансер" |
2 |
20 |
380061 |
государственное бюджетное учреждение здравоохранения Иркутская государственная областная детская клиническая больница |
2 |
21 |
380 243 |
Государственное бюджетное учреждение здравоохранения Иркутская ордена "Знак Почета" областная клиническая больница |
2 |
22 |
380 242 |
областное государственное бюджетное учреждение здравоохранения "Иркутская областная стоматологическая поликлиника" |
2 |
23 |
380 212 |
областное государственное бюджетное учреждение здравоохранения "Иркутская областная инфекционная клиническая больница" |
2 |
24 |
380 379 |
Общество с ограниченной ответственностью "Б.Браун Авитум Руссланд Клиникс" |
2 |
25 |
380 373 |
государственное автономное учреждение здравоохранения "Областной центр врачебной косметологии" |
2 |
26 |
380 382 |
Общество с ограниченной ответственностью "Диамант" |
2 |
27 |
380 421 |
закрытое акционерное общество "Центр компьютерной томографии" |
2 |
28 |
380 408 |
Общество с ограниченной ответственностью "Центр Магнитно-Резонансной Томографии" |
2 |
29 |
380 358 |
Общество с ограниченной ответственностью "Элит-Дент" |
2 |
30 |
380 159 |
областное государственное автономное учреждение здравоохранения "Саянская городская стоматологическая поликлиника" |
2 |
31 |
380 130 |
областное государственное автономное учреждение здравоохранения "Железногорская стоматологическая поликлиника" |
2 |
32 |
380 159 |
областное государственное автономное учреждение здравоохранения "Усольская городская стоматологическая поликлиника" |
2 |
33 |
380 372 |
Общество с ограниченной ответственностью "Эстетика" |
2 |
34 |
380 345 |
Общество с ограниченной ответственностью "Нео-Дент" |
2 |
35 |
380 334 |
областное государственное бюджетное учреждение здравоохранения "Усть-Ордынская областная стоматологическая поликлиника" |
2 |
36 |
380 187 |
Общество с ограниченной ответственностью "РУСАЛ Медицинский Центр" (филиал Общество с ограниченной ответственностью "РУСАЛ Медицинский Центр" в г. Шелехове) |
2 |
37 |
380 375 |
Общество с ограниченной ответственностью "Вита-Дент" |
2 |
38 |
380 426 |
Общество с ограниченной ответственностью "ЮНИЛАБ-Иркутск" |
2 |
39 |
380 052 |
Иркутская государственная медицинская академия последипломного образования - филиал федерального государственного бюджетного образовательного учреждения дополнительного профессионального образования "Российская медицинская академия непрерывного профессионального образования" Министерства здравоохранения Российской Федерации |
2 |
40 |
380 071 |
государственное бюджетное учреждение здравоохранения "Иркутское областное патологоанатомическое бюро" |
2 |
41 |
380 070 |
Общество с ограниченной ответственностью "ИНВИТРО-Сибирь" |
2 |
42 |
380 014 |
Иркутский филиал федерального государственного автономного учреждения "Национальный медицинский исследовательский центр "Межотраслевой научно-технический комплекс "Микрохирургия глаза" имени академика С.Н.Федорова" Министерства здравоохранения Российской Федерации |
2 |
43 |
380088 |
Федеральное государственное бюджетное научное учреждение "Восточно-Сибирский институт медико-экологических исследований" |
2 |
44 |
380068 |
Общество с ограниченной ответственностью "Клиника Центра Молекулярной Диагностики" |
2 |
45 |
380 068 |
областное государственное бюджетное учреждение здравоохранения "Усть-Илимская городская больница" |
2 |
46 |
380 034 |
Общество с ограниченной ответственностью "Нефропротек" |
2 |
47 |
380035 |
Общество с ограниченной ответственностью "Центр Профессиональной медицины "Планета здоровья" |
2 |
48 |
380 040 |
Общество с ограниченной ответственностью "ОБЛАСТНОЙ МНОГОПРОФИЛЬНЫЙ МЕДИЦИНСКИЙ ЦЕНТР ИМЕНИ СВЯТИТЕЛЯ ЛУКИ" |
2 |
49 |
380 037 |
Общество с ограниченной ответственностью "М-ЛАЙН" |
2 |
50 |
380042 |
государственное бюджетное учреждение здравоохранения "Иркутский областной центр по профилактике и борьбе со СПИД и инфекционными заболеваниями" |
2 |
51 |
380 409 |
Областное государственное бюджетное учреждение здравоохранения "Клинический госпиталь Ветеранов войн" |
2 |
52 |
380 044 |
Общество с ограниченной ответственностью "КЛИНИКА ЭКСПЕРТ ИРКУТСК" |
2 |
53 |
380 174 |
Общество с ограниченной ответственностью "Научно-производственная Фирма "ХЕЛИКС" |
2 |
54 |
380 048 |
Общество с ограниченной ответственностью "Клиника Байкал-медикл" |
2 |
55 |
380 047 |
Общество с ограниченной ответственностью Научно-медицинский центр "ФЕНИКС" |
2 |
56 |
380 376 |
Общество с ограниченной ответственностью Клиника "Сибирского здоровья" |
2 |
57 |
380 074 |
Общество с ограниченной ответственностью "СанаТерра" |
2 |
58 |
380 075 |
Общество с ограниченной ответственностью "ВитаЛаб" |
2 |
Приложение N 2
к Дополнительному соглашению
от 28 февраля 2022 г. N 3
Приложение N 2
к Тарифному соглашению
от 30 декабря 2021 г.
ПЕРЕЧЕНЬ МЕДИЦИНСКИХ ОРГАНИЗАЦИЙ
(СТРУКТУРНЫХ ПОДРАЗДЕЛЕНИЙ МЕДИЦИНСКИХ
ОРГАНИЗАЦИЙ), ОКАЗЫВАЮЩИХ МЕДИЦИНСКУЮ
ПОМОЩЬ В СТАЦИОНАРНЫХ УСЛОВИЯХ
N п/п |
Код МО |
Наименование медицинской организации |
Уровень (подуровень) |
|
|
Уровень 1 |
|
1 |
380148 |
областное государственное бюджетное учреждение здравоохранения "Районная больница п. Мама" |
1(1) |
2 |
380183 |
областное государственное бюджетное учреждение здравоохранения "Усть-Удинская районная больница" |
1(1) |
3 |
380115 |
областное государственное бюджетное учреждение здравоохранения "Районная больница г. Бодайбо" |
1(1) |
4 |
380097 |
областное государственное бюджетное учреждение здравоохранения "Жигаловская районная больница" |
1(1) |
5 |
380249 |
областное государственное бюджетное учреждение здравоохранения "Осинская районная больница" |
1(1) |
6 |
380100 |
областное государственное бюджетное учреждение здравоохранения "Ольхонская районная больница" |
1(1) |
7 |
380024 |
Акционерное общество "Международный Аэропорт Иркутск" |
1(3) |
8 |
380162 |
областное государственное бюджетное учреждение здравоохранения "Больница г. Свирска" |
1(3) |
9 |
380132 |
областное государственное бюджетное учреждение здравоохранения "Заларинская районная больница" |
1(1) |
10 |
380096 |
областное государственное бюджетное учреждение здравоохранения "Качугская районная больница" |
1(1) |
11 |
380247 |
областное государственное бюджетное учреждение здравоохранения "Боханская районная больница" |
1(1) |
12 |
380185 |
областное государственное бюджетное учреждение здравоохранения "Чунская районная больница" |
1(1) |
13 |
380246 |
областное государственное бюджетное учреждение здравоохранения "Баяндаевская районная больница" |
1(1) |
14 |
380098 |
областное государственное бюджетное учреждение здравоохранения "Иркутская районная больница" |
1(2) |
15 |
380147 |
областное государственное бюджетное учреждение здравоохранения "Куйтунская районная больница" |
1(1) |
16 |
380114 |
областное государственное бюджетное учреждение здравоохранения "Балаганская районная больница" |
1(2) |
17 |
380144 |
областное государственное бюджетное учреждение здравоохранения "Казачинско-Ленская районная больница" |
1(3) |
18 |
380095 |
областное государственное бюджетное учреждение здравоохранения "Катангская районная больница" |
1(3) |
|
|
Уровень 2 |
|
19 |
380004 |
областное государственное бюджетное учреждение здравоохранения "Иркутская городская больница N 5" <**> |
2(1) |
20 |
380248 |
областное государственное бюджетное учреждение здравоохранения "Нукутская районная больница" |
2(1) |
21 |
380129 |
областное государственное бюджетное учреждение здравоохранения "Железногорская районная больница" |
2(1) |
22 |
380137 |
областное государственное автономное учреждение здравоохранения "Ангарская городская детская больница N 1" (за исключением Отделения детей первого года жизни) |
2(2) |
23 |
380142 |
областное государственное автономное учреждение здравоохранения "Ангарский перинатальный центр" |
2(2) |
24 |
380060 |
государственное бюджетное учреждение здравоохранения "Областной кожно-венерологический диспансер" (за исключением Иркутского отделения) |
2(4) |
25 |
380212 |
областное государственное бюджетное учреждение здравоохранения "Иркутская областная инфекционная клиническая больница" |
2(1) |
26 |
380141 |
Частное учреждение "Медико-санитарная часть N 36" (за исключением травматолого-ортопедического отделения стационара) |
2(2) |
27 |
380009 |
областное государственное бюджетное учреждение здравоохранения "Иркутская городская клиническая больница N 3" (за исключением Нейрохирургического отделения; Травматологического отделения N 1; Травматологического отделения N 2; Ожогового отделения) |
2(2) |
28 |
380146 |
областное государственное бюджетное учреждение здравоохранения "Киренская районная больница" |
2(2) |
29 |
380119 |
областное государственное бюджетное учреждение здравоохранения "Братская городская больница N 2" |
2(4) |
30 |
380420 |
Акционерное общество "Клинический курорт "Ангара" <*> |
2(1) |
31 |
380122 |
областное государственное бюджетное учреждение здравоохранения "Братская детская городская больница" |
2(1) |
32 |
380003 |
областное государственное бюджетное учреждение здравоохранения "Иркутская городская больница N 6" |
2(1) |
33 |
380013 |
областное государственное автономное учреждение здравоохранения "Иркутская городская клиническая больница N 9" |
2(1) |
34 |
380006 |
областное государственное автономное учреждение здравоохранения "Иркутская городская клиническая больница N 10" |
2(2) |
35 |
380029 |
областное государственное автономное учреждение здравоохранения "Иркутская городская клиническая больница N 8" |
2(2) |
36 |
380017 |
областное государственное автономное учреждение здравоохранения "Городская Ивано-Матренинская детская клиническая больница" (за исключением Гастроэнтерологического отделения; Нейрохирургического отделения; Нефрологического отделения; Отделения патологии новорожденных и недоношенных детей; Офтальмологического отделения детского; Травматолого-ортопедического отделения; Урологического отделения; Хирургического отделения детского N 2 (для новорожденных и недоношенных детей); Отделения челюстно-лицевой хирургии детского) |
2(4) |
37 |
380015 |
частное учреждение здравоохранения "Клиническая больница "РЖД-Медицина" города Иркутск" (за исключением Отделения гнойной хирургии; Нейрохирургического отделения; Оториноларингологического отделения; Центра микрохирургии глаза; Ревматологического отделения; Центра травматологии и ортопедии) |
2(3) |
38 |
380210 |
государственное бюджетное учреждение здравоохранения "Областной онкологический диспансер" (за исключением Онкологического отделения хирургических методов лечения N 1 (г. Ангарск); Онкологического отделения хирургических методов лечения N 4 (онкогинекологии); Онкологического отделения хирургических методов лечения N 5; Онкологического отделения хирургических методов лечения N 10 (опухолей костей, кожи и мягких тканей) (г. Иркутск); Онкологического отделения хирургических методов лечения N 11 (г. Иркутск); Онкологического отделения хирургических методов лечения N 2 (опухолей молочной железы) (г. Иркутск); Онкологического отделения хирургических методов лечения N 3 (опухолей головы и шеи) (г. Иркутск); Онкологического отделения хирургических методов лечения N 7 (с блоком трансплантации органов) (г. Иркутск); Онкологического отделения хирургических методов лечения N 9 (онкогинекологии) (г. Иркутск); Онкологического отделения хирургических методов лечения (абдоминальной хирургии) (г. Иркутск); Онкологического отделения хирургических методов лечения (колопроктологическое) (г. Иркутск); Онкологического отделения хирургических методов лечения (нейрохирургическое) (г. Иркутск); Онкологического отделения хирургических методов лечения (онкоурологии) (г. Иркутск); Онкологического отделения хирургических методов лечения (торакальной хирургии) (г. Иркутск); Химиотерапевтического отделения N 4 (г. Иркутск) (отделение противоопухолевой лекарственной терапии с блоком трансплантации костного мозга); Отделения радиотерапии N 1 (г. Иркутск); Отделения радиотерапии N 2 (г. Ангарск)) |
2(4) |
39 |
380182 |
областное государственное бюджетное учреждение здравоохранения "Усть-Кутская районная больница" |
2(2) |
40 |
380121 |
областное государственное автономное учреждение здравоохранения "Братская городская больница N 5" |
2(2) |
41 |
380089 |
областное государственное бюджетное учреждение здравоохранения "Братский областной кожно-венерологический диспансер" |
2(1) |
42 |
380118 |
областное государственное автономное учреждение здравоохранения "Братская городская больница N 1" |
2(3) |
43 |
380140 |
Федеральное государственное бюджетное учреждение здравоохранения "Центральная медико-санитарная часть N 28 Федерального медико-биологического агентства" |
2(2) |
44 |
380039 |
Федеральное государственное бюджетное учреждение здравоохранения "Клиническая Больница Иркутского научного центра Сибирского отделения Российской академии наук" |
2(1) |
45 |
380061 |
государственное бюджетное учреждение здравоохранения Иркутская государственная областная детская клиническая больница (за исключением Офтальмологического отделения; Нейрохирургического отделения; Травматолого-ортопедического отделения; Онкологического отделения; Нефрологического отделения; Кардиологического отделения; Хирургического отделения) |
2(4) |
46 |
380021 |
областное государственное автономное учреждение здравоохранения "МЕДСАНЧАСТЬ ИАПО" (за исключением Гастроэнтерологического отделения) |
2(2) |
47 |
380165 |
областное государственное бюджетное учреждение здравоохранения "Тулунская городская больница" |
2(2) |
48 |
380251 |
областное государственное бюджетное учреждение здравоохранения "Областная больница N 2" |
2(2) |
49 |
380087 |
областное государственное автономное учреждение здравоохранения "Ангарская городская больница скорой медицинской помощи" (за исключением Нейрохирургического отделения; Травматологического отделения; Урологического отделения; Кардиологического отделения с палатой реанимации и интенсивной терапии для больных с острым коронарным синдромом (первичное сосудистое отделение)) |
2(2) |
50 |
380243 |
государственное бюджетное учреждение здравоохранения Иркутская ордена "Знак Почета" областная клиническая больница (за исключением Кардиологического отделения; Гастроэнтерологического отделения; Гематологического отделения; Эндокринологического отделения; Отделения портальной гипертензии; Отделения сосудистой хирургии; Хирургического торакального отделения; Кардиохирургического отделения N 1; Микрохирургического отделения; Колопроктологического отделения; Нейрохирургического отделения; Гинекологического отделения; Урологического отделения; Офтальмологического отделения; Кардиохирургического отделения N 2; Травматологического отделения; Отделения патологии новорожденных и недоношенных детей, Отделения гнойной хирургии; Хирургического отделения) |
2(4) |
51 |
380245 |
областное государственное бюджетное учреждение здравоохранения "Аларская районная больница" |
2(2) |
52 |
380117 |
областное государственное бюджетное учреждение здравоохранения "Братская районная больница" |
2(2) |
53 |
380133 |
областное государственное бюджетное учреждение здравоохранения "Зиминская городская больница" |
2(3) |
54 |
380164 |
областное государственное бюджетное учреждение здравоохранения "Тайшетская районная больница" |
2(2) |
55 |
380099 |
областное государственное бюджетное учреждение здравоохранения "Слюдянская районная больница" |
2(2) |
56 |
380409 |
Областное государственное бюджетное учреждение здравоохранения "Клинический госпиталь Ветеранов войн" |
2(1) |
57 |
380036 |
государственное бюджетное учреждение здравоохранения "Областной гериатрический центр" |
2(1) |
58 |
380221 |
областное государственное автономное учреждение здравоохранения "Санаторий "Юбилейный" |
2(1) |
59 |
380136 |
областное государственное автономное учреждение здравоохранения "Ангарская городская больница N 1" |
2(2) |
60 |
380120 |
областное государственное автономное учреждение здравоохранения "Братская городская больница N 3" |
2(2) |
61 |
380154 |
областное государственное бюджетное учреждение здравоохранения "Саянская городская больница" |
2(2) |
62 |
380177 |
областное государственное бюджетное учреждение здравоохранения "Усольская городская больница" |
2(2) |
63 |
380188 |
областное государственное бюджетное учреждение здравоохранения "Шелеховская районная больница" |
2(2) |
64 |
380157 |
областное государственное бюджетное учреждение здравоохранения "Черемховская городская больница N 1" |
2(2) |
65 |
380231 |
областное государственное бюджетное учреждение здравоохранения "Усть-Илимская городская больница" |
2(2) |
66 |
380124 |
областное государственное автономное учреждение здравоохранения "Братский перинатальный центр" |
2(4) |
67 |
380149 |
областное государственное бюджетное учреждение здравоохранения "Нижнеудинская районная больница" |
2(2) |
68 |
380005 |
областное государственное бюджетное учреждение здравоохранения "Иркутская городская клиническая больница N 1" (за исключением Хирургического отделения-1; Хирургического отделения-2; Отделения гнойной хирургии; Урологического отделения; Ревматологического отделения; Гастроэнтерологического отделения; Кардиологического отделения с палатой реанимации и интенсивной терапии) |
2(2) |
69 |
380012 |
областное государственное бюджетное учреждение здравоохранения "Иркутский городской перинатальный центр" (за исключением Отделения патологии новорожденных и недоношенных детей (2 этап выхаживания)) |
2(3) |
70 |
380240 |
Медицинская автономная некоммерческая организация "Лечебно-диагностический центр" <**> |
2(2) |
71 |
380330 |
областное государственное бюджетное учреждение здравоохранения "Иркутский областной психоневрологический диспансер" <**> |
2(1) |
72 |
380403 |
Акционерное общество Курорт "Русь" <*> |
2(1) |
73 |
380072 |
областное государственное бюджетное учреждение здравоохранения "Усть-Ордынский областной противотуберкулезный диспансер" <**> |
2(1) |
74 |
380191 |
ФЕДЕРАЛЬНОЕ ГОСУДАРСТВЕННОЕ БЮДЖЕТНОЕ НАУЧНОЕ УЧРЕЖДЕНИЕ "НАУЧНЫЙ ЦЕНТР ПРОБЛЕМ ЗДОРОВЬЯ СЕМЬИ И РЕПРОДУКЦИИ ЧЕЛОВЕКА" |
2(4) |
|
|
Уровень 3 |
|
75 |
380137 |
областное государственное автономное учреждение здравоохранения "Ангарская городская детская больница N 1" (Отделение детей первого года жизни) |
3(1) |
76 |
380141 |
Частное учреждение "Медико-санитарная часть N 36" (Травматолого-ортопедическое отделение стационара) |
3(1) |
77 |
380015 |
частное учреждение здравоохранения "Клиническая больница "РЖД-Медицина" города Иркутск" (Отделение гнойной хирургии; Нейрохирургическое отделение; Оториноларингологическое отделение; Центр микрохирургии глаза; Ревматологическое отделение; Центр травматологии и ортопедии) |
3(2) |
78 |
380009 |
областное государственное бюджетное учреждение здравоохранения "Иркутская городская клиническая больница N 3" (Нейрохирургическое отделение; Травматологическое отделение N 1; Травматологическое отделение N 2; Ожоговое отделение) |
3(1) |
79 |
380061 |
государственное бюджетное учреждение здравоохранения Иркутская государственная областная детская клиническая больница (Офтальмологическое отделение; Нейрохирургическое отделение; Травматолого-ортопедическое отделение; Онкологическое отделение; Нефрологическое отделение; Кардиологическое отделение; Хирургическое отделение) |
3(3) |
80 |
380021 |
областное государственное автономное учреждение здравоохранения "МЕДСАНЧАСТЬ ИАПО" (Гастроэнтерологическое отделение) |
3(1) |
81 |
380087 |
областное государственное автономное учреждение здравоохранения "Ангарская городская больница скорой медицинской помощи" (Нейрохирургическое отделение; Травматологическое отделение; Урологическое отделение; Кардиологическое отделение с палатой реанимации и интенсивной терапии для больных с острым коронарным синдромом (первичное сосудистое отделение)) |
3(2) |
82 |
380060 |
государственное бюджетное учреждение здравоохранения "Областной кожно-венерологический диспансер" (Иркутское отделение) |
3(3) |
83 |
380017 |
областное государственное автономное учреждение здравоохранения "Городская Ивано-Матренинская детская клиническая больница" (Гастроэнтерологическое отделение; Нейрохирургическое отделение; Нефрологическое отделение; Отделение патологии новорожденных и недоношенных детей; Офтальмологическое отделение детское; Травматолого-ортопедическое отделение; Урологическое отделение; Хирургическое отделение детское N 2 (для новорожденных и недоношенных детей); Отделение челюстно-лицевой хирургии детское) |
3(3) |
84 |
380210 |
государственное бюджетное учреждение здравоохранения "Областной онкологический диспансер" (Онкологическое отделение хирургических методов лечения N 1; Онкологическое отделение хирургических методов лечения N 4 (онкогинекологии); Онкологическое отделение хирургических методов лечения N 5; Онкологическое отделение хирургических методов лечения N 10 (опухолей костей, кожи и мягких тканей) (г. Иркутск); Онкологическое отделение хирургических методов лечения N 11 (г. Иркутск); Онкологическое отделение хирургических методов лечения N 2 (опухолей молочной железы) (г. Иркутск); Онкологическое отделение хирургических методов лечения N 3 (опухолей головы и шеи) (г. Иркутск); Онкологическое отделение хирургических методов лечения N 7 (с блоком трансплантации органов) (г. Иркутск); Онкологическое отделение хирургических методов лечения N 9 (онкогинекологии) (г. Иркутск); Онкологическое отделение хирургических методов лечения (абдоминальной хирургии) (г. Иркутск); Онкологическое отделение хирургических методов лечения (колопроктологическое) (г. Иркутск); Онкологическое отделение хирургических методов лечения (нейрохирургическое) (г. Иркутск); Онкологическое отделение хирургических методов лечения (онкоурологии) (г. Иркутск); Онкологическое отделение хирургических методов лечения (торакальной хирургии) (г. Иркутск); Химиотерапевтическое отделение N 4 (г. Иркутск) (отделение противоопухолевой лекарственной терапии с блоком трансплантации костного мозга); Отделение радиотерапии N 1 (г. Иркутск); Отделение радиотерапии N 2 (г. Ангарск)) |
3(3) |
85 |
380012 |
областное государственное бюджетное учреждение здравоохранения "Иркутский городской перинатальный центр" (Отделение патологии новорожденных и недоношенных детей (2 этап выхаживания)) |
3(2) |
86 |
380243 |
государственное бюджетное учреждение здравоохранения Иркутская ордена "Знак Почета" областная клиническая больница (Кардиологическое отделение; Гастроэнтерологическое отделение; Гематологическое отделение; Эндокринологическое отделение; Отделение портальной гипертензии; Отделение сосудистой хирургии; Хирургическое торакальное отделение; Кардиохирургическое отделение N 1; Микрохирургическое отделение; Колопроктологическое отделение; Нейрохирургическое отделение; Гинекологическое отделение; Урологическое отделение; Офтальмологическое отделение; Кардиохирургическое отделение N 2; Травматологическое отделение; Отделение патологии новорожденных и недоношенных детей, Отделение гнойной хирургии; Хирургическое отделение) |
3(3) |
87 |
380005 |
областное государственное бюджетное учреждение здравоохранения "Иркутская городская клиническая больница N 1" (Хирургическое отделение-1; Хирургическое отделение-2; Отделение гнойной хирургии; Урологическое отделение; Ревматологическое отделение; Гастроэнтерологическое отделение; Кардиологическое отделение с палатой реанимации и интенсивной терапии) |
3(1) |
* санаторно-курортные организации,
оказывающие услуги по медицинской
реабилитации;
** за счет средств обязательного
медицинского страхования лечение
пациентов с новой коронавирусной
инфекцией (COVID-19).
Приложение N 3
к Дополнительному соглашению
от 28 февраля 2022 г. N 3
Приложение N 7
к Тарифному соглашению
от 30 декабря 2021 г.
ТАРИФЫ НА ОПЛАТУ МЕДИЦИНСКОЙ ПОМОЩИ,
ОКАЗЫВАЕМОЙ В АМБУЛАТОРНЫХ УСЛОВИЯХ
Код услуги |
Наименование услуги |
Тариф <*>, руб. |
||||
A01.19.004 |
Трансректальное пальцевое исследование |
86,92 |
||||
A01.25.002 |
Визуальное исследование при патологии органа слуха |
27,92 |
||||
A02.26.005 |
Периметрия статическая |
111,54 |
||||
A02.26.015 |
Офтальмотонометрия |
78,69 |
||||
A03.08.005 |
Фиброларингоскопия |
400,95 |
||||
A03.09.001 |
Бронхоскопия |
961,74 |
||||
A03.16.001 |
Эзофагогастродуоденоскопия |
867,50 |
||||
A03.16.001.002 |
Эзофагогастродуоденоскопия со стимуляцией желчеотделения |
1 038,35 |
||||
A03.18.001 |
Колоноскопия |
2 503,72 |
||||
A03.18.001.001 |
Видеоколоноскопия |
596,19 |
||||
A03.18.002 |
Эндоскопическая резекция слизистой толстой кишки |
2 599,90 |
||||
A03.19.001 |
Аноскопия |
2 664,09 |
||||
A03.19.002 |
Ректороманоскопия |
1 088,10 |
||||
A03.20.001 |
Кольпоскопия |
319,84 |
||||
A03.20.003 |
Гистероскопия |
319,84 |
||||
A03.20.005 |
Вульвоскопия |
206,66 |
||||
A03.25.003 |
Исследование органа слуха с помощью камертона |
72,29 |
||||
A03.26.002 |
Гониоскопия |
205,62 |
||||
A03.26.003 |
Осмотр периферии глазного дна с использованием трехзеркальной линзы Гольдмана |
100,69 |
||||
A03.26.005.001 |
Биомикрофотография глазного дна с использованием фундус-камеры |
136,15 |
||||
A03.26.006 |
Флюоресцентная ангиография глаза |
483,08 |
||||
A03.26.015 |
Тонография |
176,00 |
||||
A03.26.018 |
Биомикроскопия глазного дна |
198,00 |
||||
A03.26.020 |
Компьютерная периметрия |
304,75 |
||||
A03.28.001 |
Цистоскопия |
369,36 |
||||
A03.28.002 |
Уретроскопия |
1 177,19 |
||||
A03.30.007 |
Хромоскопия, контрастное исследование органов желудочно-кишечного тракта |
509,88 |
||||
A04.01.001 |
Ультразвуковое исследование мягких тканей (одна анатомическая зона) |
133,69 |
||||
A04.04.001 |
Ультразвуковое исследование сустава |
156,92 |
||||
A04.06.002 |
Ультразвуковое исследование лимфатических узлов (одна анатомическая зона) |
133,69 |
||||
A04.07.002 |
Ультразвуковое исследование слюнных желез |
145,38 |
||||
A04.09.001 |
Ультразвуковое исследование плевральной полости |
100,69 |
||||
A04.10.002 |
Эхокардиография |
415,67 |
||||
A04.10.002.001 |
Эхокардиография чреспищеводная |
1 133,08 |
||||
A04.10.002.002 |
Эхокардиография трехмерная |
434,79 |
||||
A04.10.002.003 |
Эхокардиография с фармакологической нагрузкой |
1 258,20 |
||||
A04.11.001 |
Ультразвуковое исследование средостения |
95,62 |
||||
A04.12.001 |
Ультразвуковая допплерография артерий верхних конечностей |
438,76 |
||||
A04.12.001.001 |
Ультразвуковая допплерография артерий нижних конечностей |
438,76 |
||||
A04.12.001.003 |
Ультразвуковая допплерография с медикаментозной пробой |
292,51 |
||||
A04.12.001.005 |
Ультразвуковая допплерография транскраниальная с медикаментозной пробой |
382,54 |
||||
A04.12.001.006 |
Ультразвуковая допплерография транскраниальная артерий методом мониторирования |
332,16 |
||||
A04.12.002 |
Ультразвуковая допплерография сосудов (артерий и вен) верхних конечностей |
596,21 |
||||
A04.12.002.001 |
Ультразвуковая допплерография сосудов (артерий и вен) нижних конечностей |
596,21 |
||||
A04.12.002.002 |
Ультразвуковая допплерография вен нижних конечностей |
596,21 |
||||
A04.12.002.003 |
Ультразвуковая допплерография вен верхних конечностей |
815,94 |
||||
A04.12.003 |
Дуплексное сканирование аорты |
675,98 |
||||
A04.12.005 |
Дуплексное сканирование сосудов (артерий и вен) верхних конечностей |
675,98 |
||||
A04.12.006.001 |
Дуплексное сканирование артерий нижних конечностей |
813,14 |
||||
A04.12.005.002 |
Дуплексное сканирование артерий верхних конечностей |
541,63 |
||||
A04.12.005.003 |
Дуплексное сканирование брахиоцефальных артерий с цветным допплеровским картированием кровотока |
735,89 |
||||
A04.12.006 |
Дуплексное сканирование сосудов (артерий и вен) нижних конечностей |
823,64 |
||||
A04.12.008 |
Дуплексное сканирование сосудов мошонки и полового члена |
388,46 |
||||
A04.12.018 |
Дуплексное сканирование транскраниальное артерий и вен |
548,07 |
||||
A04.12.019 |
Дуплексное сканирование транскраниальное артерий и вен с нагрузочными пробами |
548,07 |
||||
A04.14.001 |
Ультразвуковое исследование печени |
116,77 |
||||
A04.14.002 |
Ультразвуковое исследование желчного пузыря и протоков |
116,77 |
||||
A04.14.002.001 |
Ультразвуковое исследование желчного пузыря с определением его сократимости |
157,69 |
||||
A04.16.001 |
Ультразвуковое исследование органов брюшной полости (комплексное) |
214,92 |
||||
A04.16.002 |
Эндосонография желудка |
2 686,15 |
||||
A04.20.001 |
Ультразвуковое исследование матки и придатков трансабдоминальное |
109,62 |
||||
A04.20.001.001 |
Ультразвуковое исследование матки и придатков трансвагинальное |
231,00 |
||||
A04.20.002 |
Ультразвуковое исследование молочных желез |
123,54 |
||||
A04.21.001 |
Ультразвуковое исследование предстательной железы |
156,15 |
||||
A04.21.001.001 |
Ультразвуковое исследование предстательной железы трансректальное |
175,38 |
||||
A04.22.001 |
Ультразвуковое исследование щитовидной железы и паращитовидных желез |
74,15 |
||||
A04.22.002 |
Ультразвуковое исследование надпочечников |
95,62 |
||||
A04.23.001 |
Нейросонография |
134,31 |
||||
A04.23.001.001 |
Ультразвуковое исследование головного мозга |
134,31 |
||||
A04.23.002 |
Эхоэнцефалография |
237,62 |
||||
A04.26.002 |
Ультразвуковое исследование глазного яблока |
100,69 |
||||
A04.28.001 |
Ультразвуковое исследование почек и надпочечников |
246,92 |
||||
A04.28.002.001 |
Ультразвуковое исследование почек |
133,69 |
||||
A04.28.002.003 |
Ультразвуковое исследование мочевого пузыря |
100,69 |
||||
A04.28.003 |
Ультразвуковое исследование органов мошонки |
95,62 |
||||
A04.30.001 |
Ультразвуковое исследование плода |
361,54 |
||||
A04.30.002 |
Дуплексное сканирование сердца и сосудов плода |
279,23 |
||||
A05.01.002 |
Магнитно-резонансная томография мягких тканей |
1 768,53 |
||||
A05.01.002.001 |
Магнитно-резонансная томография мягких тканей с контрастированием |
7 568,70 |
||||
A05.02.001 |
Электромиография игольчатая (одна мышца) |
489,92 |
||||
A05.02.001.002 |
Электромиография накожная (одна анатомическая зона) |
335,23 |
||||
A05.02.001.003 |
Электронейромиография стимуляционная одного нерва |
321,54 |
||||
A05.02.001.016 |
Электродиагностика (определение электровозбудимости (функциональных свойств) периферических двигательных нервов и скелетных мышц) |
411,54 |
||||
A05.02.001.017 |
Электродиагностика (определение электровозбудимости (функциональных свойств) лицевого и тройничного нервов, мимических и жевательных мышц) |
426,15 |
||||
A05.02.002 |
Магнитно-резонансная томография мышечной системы |
2 475,95 |
||||
A05.03.001 |
Магнитно-резонансная томография костной ткани (одна область) |
2 475,95 |
||||
A05.03.002 |
Магнитно-резонансная томография позвоночника (один отдел) |
1 395,73 |
||||
A05.03.002.001 |
Магнитно-резонансная томография позвоночника с контрастированием (один отдел) |
7 281,66 |
||||
A05.03.003 |
Магнитно-резонансная томография основания черепа |
697,86 |
||||
A05.03.003.001 |
Магнитно-резонансная томография основания черепа с ангиографией |
4 728,35 |
||||
A05.04.001 |
Магнитно-резонансная томография суставов (один сустав) |
2 475,95 |
||||
A05.04.001.001 |
Магнитно-резонансная томография суставов (один сустав) с контрастированием |
7 568,70 |
||||
A05.08.001 |
Магнитно-резонансная томография околоносовых пазух |
1 768,53 |
||||
A05.08.002 |
Магнитно-резонансная томография гортаноглотки |
884,27 |
||||
A05.08.003 |
Магнитно-резонансная томография преддверно-улиткового органа |
3 537,06 |
||||
A05.10.001 |
Регистрация электрической активности проводящей системы сердца |
146,38 |
||||
A05.10.004 |
Расшифровка, описание и интерпретация электрокардиографических данных |
146,38 |
||||
A05.10.007 |
Мониторирование электрокардиографических данных |
199,85 |
||||
A05.10.006 |
Регистрация электрокардиограммы |
30,25 |
||||
A05.10.008 |
Холтеровское мониторирование сердечного ритма |
385,00 |
||||
A05.10.009 |
Магнитно-резонансная томография сердца и магистральных сосудов |
1 163,86 |
||||
A05.10.009.001 |
Магнитно-резонансная томография сердца с контрастированием |
7 999,30 |
||||
A05.11.001 |
Магнитно-резонансная томография средостения |
1 768,53 |
||||
A05.12.004 |
Магнитно-резонансная артериография (одна область) |
1 954,02 |
||||
A05.12.005 |
Магнитно-резонансная венография (одна область) |
1 954,02 |
||||
A05.12.006 |
Магнитно-резонансная ангиография с контрастированием (одна область) |
7 568,70 |
||||
A05.15.001 |
Магнитно-резонансная томография поджелудочной железы |
1 163,86 |
||||
A05.15.002 |
Магнитно-резонансная холангиопанкреатография |
2 475,95 |
||||
A05.19.002 |
Аноректальная манометрия |
443,85 |
||||
A05.20.001 |
Маммография электроимпедансная |
237,62 |
||||
A05.23.001 |
Электроэнцефалография |
301,92 |
||||
A05.23.001.001 |
Электроэнцефалография с нагрузочными пробами |
438,31 |
||||
A05.23.001.002 |
Электроэнцефалография с видеомониторингом |
1 936,15 |
||||
A05.23.002 |
Реоэнцефалография |
99,23 |
||||
A05.23.005 |
Регистрация соматосенсорных вызванных потенциалов коры головного мозга |
1 178,46 |
||||
A05.23.005.001 |
Регистрация вызванных потенциалов коры головного мозга одной модальности (зрительные, когнитивные, акустические стволовые) |
1 178,46 |
||||
A05.23.007 |
Стабиллометрия |
847,69 |
||||
A05.23.009 |
Магнитно-резонансная томография головного мозга |
2 475,95 |
||||
A05.23.009.001 |
Магнитно-резонансная томография головного мозга с контрастированием |
7 568,70 |
||||
A05.23.009.002 |
Магнитно-резонансная томография головного мозга функциональная |
1 443,44 |
||||
A05.23.009.003 |
Магнитно-резонансная перфузия головного мозга |
5 194,35 |
||||
A05.23.009.005 |
Магнитно-резонансная ликворография головного мозга |
1 395,73 |
||||
A05.23.009.006 |
Магнитно-резонансная томография головного мозга топометрическая |
884,27 |
||||
A05.23.009.008 |
Магнитно-резонансная ангиография интракраниальных сосудов |
2 475,95 |
||||
A05.23.009.010 |
Магнитно-резонансная томография спинного мозга (один отдел) |
2 475,95 |
||||
A05.23.009.011 |
Магнитно-резонансная томография спинного мозга с контрастированием (один отдел) |
7 568,70 |
||||
A05.23.009.012 |
Магнитно-резонансная перфузия спинного мозга (один отдел) |
5 194,35 |
||||
A05.23.009.014 |
Магнитно-резонансная ликворография спинного мозга (один отдел) |
1 954,02 |
||||
A05.23.009.016 |
Магнитно-резонансная томография спинного мозга фазовоконтрастная (один отдел) |
884,27 |
||||
A05.24.001 |
Измерение скорости проведения электрического импульса по нерву |
466,23 |
||||
A05.25.002 |
Исследование вызванной отоакустической эмиссии |
169,24 |
||||
A05.25.002.001 |
Исследование отоакустической эмиссии на частоте продукта искажения |
169,24 |
||||
A05.25.003 |
Исследование коротколатентных вызванных потенциалов |
420,80 |
||||
A05.25.005 |
Исследование длиннолатентных вызванных потенциалов |
539,85 |
||||
A05.25.006 |
Регистрация вызванных акустических ответов мозга на постоянные модулированные тоны (ASSR тест) |
330,79 |
||||
A05.26.002 |
Регистрация зрительных вызванных потенциалов коры головного мозга |
535,62 |
||||
A05.26.008 |
Магнитно-резонансная томография глазницы |
2 475,95 |
||||
A05.28.002 |
Магнитно-резонансная томография почек |
3 258,81 |
||||
A05.30.004 |
Магнитно-резонансная томография органов малого таза |
3 258,81 |
||||
A05.30.004.001 |
Магнитно-резонансная томография органов малого таза с внутривенным контрастированием |
7 999,30 |
||||
A05.30.005 |
Магнитно-резонансная томография органов брюшной полости |
3 258,81 |
||||
A05.30.005.001 |
Магнитно-резонансная томография органов брюшной полости с внутривенным контрастированием |
7 999,30 |
||||
A05.30.006 |
Магнитно-резонансная томография органов грудной клетки |
2 475,95 |
||||
A05.30.006.001 |
Магнитно-резонансная томография органов грудной клетки с внутривенным контрастированием |
5 406,22 |
||||
A05.30.007 |
Магнитно-резонансная томография забрюшинного пространства |
3 258,81 |
||||
A05.30.007.001 |
Магнитно-резонансная томография забрюшинного пространства с внутривенным контрастированием |
7 999,30 |
||||
A05.30.008 |
Магнитно-резонансная томография шеи |
2 475,95 |
||||
A05.30.008.001 |
Магнитно-резонансная томография шеи с внутривенным контрастированием |
7 568,70 |
||||
A05.30.010 |
Магнитно-резонансная томография мягких тканей головы |
2 475,95 |
||||
A05.03.004 |
Магнитно-резонансная томография лицевого отдела черепа |
884,27 |
||||
A05.03.004.001 |
Магнитно-резонансная томография лицевого отдела черепа с внутривенным контрастированием |
5 406,22 |
||||
A06.03.001 |
Рентгенография черепа тангенциальная |
149,77 |
||||
A06.23.004.006 |
Компьютерная томография головного мозга с внутривенным контрастированием |
5 982,56 |
||||
A06.03.005 |
Рентгенография всего черепа, в одной или более проекциях |
129,46 |
||||
A06.03.010 |
Рентгенография шейного отдела позвоночника |
282,62 |
||||
A06.03.013 |
Рентгенография грудного отдела позвоночника |
356,23 |
||||
A06.03.016 |
Рентгенография поясничного и крестцового отдела позвоночника |
356,23 |
||||
A06.03.019 |
Рентгенография позвоночника с функциональными пробами |
189,54 |
||||
A06.03.021 |
Рентгенография верхней конечности |
302,92 |
||||
A06.03.021.001 |
Компьютерная томография верхней конечности |
1 226,39 |
||||
A06.03.021.003 |
Компьютерная томография верхней конечности с внутривенным болюсным контрастированием, мультипланарной и трехмерной реконструкцией |
5 982,56 |
||||
A06.03.023 |
Рентгенография ребра(ер) |
356,23 |
||||
A06.03.036 |
Рентгенография нижней конечности |
303,77 |
||||
A06.03.036.001 |
Компьютерная томография нижней конечности |
1 226,39 |
||||
A06.03.036.003 |
Компьютерная томография нижней конечности с внутривенным болюсным контрастированием, мультипланарной и трехмерной реконструкцией |
5 982,56 |
||||
A06.03.041 |
Рентгенография таза |
112,54 |
||||
A06.03.052 |
Рентгенография стопы в одной проекции |
253,85 |
||||
A06.03.056 |
Рентгенография костей лицевого скелета |
246,92 |
||||
A06.03.061 |
Рентгеноденситометрия |
343,08 |
||||
A06.03.061.001 |
Рентгеноденситометрия поясничного отдела позвоночника |
210,77 |
||||
A06.03.061.002 |
Рентгеноденситометрия проксимального отдела бедренной кости |
329,23 |
||||
A06.03.062 |
Компьютерная томография кости |
1 226,39 |
||||
A06.04.001 |
Рентгенография височно-нижнечелюстного сустава |
104,08 |
||||
A06.04.017 |
Компьютерная томография сустава |
1 226,39 |
||||
A06.07.005 |
Контрастная рентгенография протоков слюнных желез (сиалография) |
354,54 |
||||
A06.07.009 |
Рентгенография нижней челюсти в боковой проекции |
149,77 |
||||
A06.08.002 |
Рентгенография гортани и трахеи |
94,77 |
||||
A06.08.003 |
Рентгенография придаточных пазух носа |
69,38 |
||||
A06.08.007.001 |
Спиральная компьютерная томография гортани |
1 226,39 |
||||
A06.08.007.002 |
Компьютерная томография гортани с внутривенным болюсным контрастированием |
5 982,56 |
||||
A06.08.007.003 |
Спиральная компьютерная томография придаточных пазух носа |
1 226,39 |
||||
A06.08.009.001 |
Спиральная компьютерная томография шеи |
1 226,39 |
||||
A06.08.009.003 |
Компьютерная томография шеи с внутривенным болюсным контрастированием, мультипланарной и трехмерной реконструкцией |
5 982,56 |
||||
A06.09.001 |
Рентгеноскопия легких |
117,62 |
||||
A06.09.003 |
Бронхография |
312,23 |
||||
A06.03.058 |
Компьютерная томография позвоночника (один отдел) |
1 533,45 |
||||
A06.09.005 |
Компьютерная томография органов грудной полости |
1 533,45 |
||||
A06.09.005.003 |
Компьютерная томография грудной полости с внутривенным болюсным контрастированием, мультипланарной и трехмерной реконструкцией |
5 982,56 |
||||
A06.09.006 |
Флюорография легких |
45,00 |
||||
A06.09.007 |
Рентгенография легких |
107,46 |
||||
A06.09.007.002 |
Рентгенография легких цифровая |
236,38 |
||||
A06.10.003 |
Рентгенография сердца с контрастированием пищевода |
176,00 |
||||
A06.10.009.001 |
Компьютерная томография сердца с контрастированием |
851,91 |
||||
A06.14.003 |
Операционная и послеоперационная холангиография |
208,15 |
||||
A06.14.004 |
Внутривенная холецистография и холангиография |
208,15 |
||||
A06.14.007 |
Ретроградная холангиопанкреатография |
1 193,92 |
||||
A06.16.002 |
Компьютерная томография пищевода с пероральным контрастированием |
2 124,78 |
||||
A06.16.006 |
Рентгенография желудка и двенадцатиперстной кишки |
440,54 |
||||
A06.16.007 |
Рентгеноскопия желудка и двенадцатиперстной кишки |
303,77 |
||||
A06.16.008 |
Рентгенография желудка и двенадцатиперстной кишки, с двойным контрастированием |
268,23 |
||||
A06.16.009 |
Рентгенография желудочно-кишечная |
252,15 |
||||
A06.18.001 |
Ирригоскопия |
487,77 |
||||
A06.20.001 |
Гистеросальпингография |
412,92 |
||||
A06.20.002.001 |
Спиральная компьютерная томография органов малого таза у женщин |
1 614,15 |
||||
A06.20.002.002 |
Спиральная компьютерная томография органов малого таза у женщин с внутривенным болюсным контрастированием |
5 019,07 |
||||
A06.20.004 |
Маммография |
314,69 |
||||
A06.21.003.001 |
Спиральная компьютерная томография органов таза у мужчин |
1 533,45 |
||||
A06.21.003.002 |
Спиральная компьютерная томография органов таза у мужчин с внутривенным болюсным контрастированием |
6 297,43 |
||||
A06.23.004 |
Компьютерная томография головного мозга |
3 230,59 |
||||
A06.03.002.006 |
Компьютерная томография лицевого отдела черепа с внутривенным болюсным контрастированием, мультипланарной и трехмерной реконструкцией |
6 297,43 |
||||
A06.23.009 |
Миелография |
312,23 |
||||
A06.25.002 |
Рентгенография височной кости |
367,46 |
||||
A06.25.003 |
Компьютерная томография височной кости |
1 226,39 |
||||
A06.26.001 |
Рентгенография глазницы |
149,77 |
||||
A06.26.005 |
Рентгенография глазного яблока с протезом-индикатором Комберга-Балтина |
356,23 |
||||
A06.26.006 |
Компьютерная томография глазницы |
1 226,39 |
||||
A06.28.002 |
Внутривенная урография |
510,23 |
||||
A06.28.003 |
Ретроградная пиелография |
277,54 |
||||
A06.28.007 |
Цистография |
104,08 |
||||
A06.28.009.001 |
Компьютерная томография почек и верхних мочевыводящих путей с внутривенным болюсным контрастированием |
5 982,56 |
||||
A06.28.009.002 |
Спиральная компьютерная томография почек и надпочечников |
1 533,45 |
||||
A06.28.013 |
Обзорная урография (рентгенография мочевыделительной системы) |
178,54 |
||||
A06.30.002.002 |
Описание и интерпретация магнитно-резонансных томограмм |
519,07 |
||||
A06.30.004 |
Обзорный снимок брюшной полости и органов малого таза |
431,92 |
||||
A06.30.005 |
Компьютерная томография органов брюшной полости |
2 557,15 |
||||
A06.30.005.004 |
Спиральная компьютерная томография органов брюшной полости с внутривенным болюсным контрастированием, мультипланарной и трехмерной реконструкцией |
5 982,56 |
||||
A06.30.008 |
Фистулография |
502,62 |
||||
A07.30.001 |
Реконструкция, описание и интерпретация радионуклидных исследований |
88,46 |
||||
A08.01.002 |
Цитологическое исследование микропрепарата кожи |
187,85 |
||||
A08.03.001 |
Цитологическое исследование микропрепарата пунктатов опухолей, опухолеподобных образований костей |
202,31 |
||||
A08.03.004 |
Цитологическое исследование микропрепарата костной ткани |
187,85 |
||||
A08.04.003 |
Цитологическое исследование микропрепарата тканей сустава |
202,31 |
||||
A08.05.001 |
Цитологическое исследование мазка костного мозга (миелограмма) |
92,23 |
||||
A12.05.118 |
Исследование уровня эритроцитов в крови |
33,85 |
||||
A12.05.119 |
Исследование уровня лейкоцитов в крови |
56,69 |
||||
A12.05.120 |
Исследование уровня тромбоцитов в крови |
55,00 |
||||
A12.05.121 |
Дифференцированный подсчет лейкоцитов (лейкоцитарная формула) |
37,23 |
||||
A12.05.122 |
Просмотр мазка крови для анализа аномалий морфологии эритроцитов, тромбоцитов и лейкоцитов |
74,46 |
||||
A12.05.123 |
Исследование уровня ретикулоцитов в крови |
342,72 |
||||
A12.05.124 |
Определение цветового показателя |
38,08 |
||||
A08.05.014 |
Иммуноцитохимическое исследование с моноклональными антителами материала на антигены дифференцировки лимфоидных клеток (CD) |
2 880,77 |
||||
A08.06.001 |
Цитологическое исследование препарата тканей лимфоузла |
202,31 |
||||
A08.06.005 |
Цитологическое исследование биоптатов лимфоузлов |
202,31 |
||||
A08.07.001 |
Цитологическое исследование микропрепарата тканей полости рта |
202,31 |
||||
A08.07.003 |
Цитологическое исследование микропрепарата тканей языка |
202,31 |
||||
A08.07.006 |
Цитологическое исследование микропрепарата тканей губы |
202,31 |
||||
A08.07.008 |
Цитологическое исследование микропрепарата тканей слюнной железы |
202,31 |
||||
A08.08.002 |
Цитологическое исследование отделяемого верхних дыхательных путей и отпечатков |
202,31 |
||||
A08.08.003 |
Цитологическое исследование мазков с поверхности слизистой оболочки верхних дыхательных путей |
117,69 |
||||
A08.08.004 |
Цитологическое исследование микропрепарата тканей верхних дыхательных путей |
202,31 |
||||
A08.09.003 |
Цитологическое исследование микропрепарата тканей нижних дыхательных путей |
202,31 |
||||
A08.09.006 |
Цитологическое исследование микропрепарата тканей плевры |
331,54 |
||||
A08.11.002 |
Цитологическое исследование микропрепарата опухоли средостения |
202,31 |
||||
A08.14.002 |
Цитологическое исследование микропрепарата тканей печени |
187,85 |
||||
A08.14.003 |
Цитологическое исследование микропрепарата тканей желчного пузыря |
202,31 |
||||
A08.15.002 |
Цитологическое исследование микропрепарата тканей поджелудочной железы |
202,31 |
||||
A26.16.001 |
Исследование материала желудка на наличие геликобактер пилори (Helicobacter pylori) |
92,23 |
||||
A08.16.006 |
Цитологическое исследование микропрепарата тканей пищевода |
202,31 |
||||
A08.16.007 |
Цитологическое исследование микропрепарата тканей желудка |
202,31 |
||||
A08.16.008 |
Цитологическое исследование микропрепарата тканей двенадцатиперстной кишки |
202,31 |
||||
A08.17.002 |
Цитологическое исследование микропрепарата тканей тонкой кишки |
202,31 |
||||
A08.18.002 |
Цитологическое исследование микропрепарата тканей толстой кишки |
202,31 |
||||
A08.19.003 |
Цитологическое исследование микропрепарата тканей сигмовидной кишки |
202,31 |
||||
A08.19.004 |
Цитологическое исследование микропрепарата тканей прямой кишки |
202,31 |
||||
A08.20.004 |
Цитологическое исследование аспирата из полости матки |
52,46 |
||||
A08.20.012 |
Цитологическое исследование микропрепарата тканей влагалища |
129,46 |
||||
A08.20.013 |
Цитологическое исследование микропрепарата тканей матки |
170,08 |
||||
A08.20.014 |
Цитологическое исследование микропрепарата тканей яичников |
202,31 |
||||
A08.20.015 |
Цитологическое исследование микропрепарата тканей молочной железы |
187,85 |
||||
A08.21.005 |
Цитологическое исследование микропрепарата тканей предстательной железы |
202,31 |
||||
A08.21.006 |
Цитологическое исследование микропрепарата тканей яичка |
202,31 |
||||
A08.22.004 |
Цитологическое исследование микропрепарата тканей щитовидной железы |
202,31 |
||||
A08.22.005 |
Цитологическое исследование микропрепарата тканей паращитовидной железы |
202,31 |
||||
A08.25.001 |
Цитологическое исследование микропрепарата тканей уха |
202,31 |
||||
A08.26.001 |
Цитологическое исследование соскоба с конъюнктивы |
331,54 |
||||
A08.26.002 |
Цитологическое исследование отпечатков с конъюнктивы |
202,31 |
||||
A08.26.005 |
Цитологическое исследование соскоба век |
202,31 |
||||
A08.26.006 |
Цитологическое исследование отпечатков с век |
202,31 |
||||
A08.26.007 |
Цитологическое исследование микропрепарата тонкоигольной аспирационной биопсии |
155,69 |
||||
A08.28.001 |
Микроскопия микропрепарата тканей почки |
331,54 |
||||
A08.28.006 |
Цитологическое исследование микропрепарата тканей почек |
202,31 |
||||
A08.28.008 |
Цитологическое исследование микропрепарата тканей почечной лоханки и мочеточника |
202,31 |
||||
A08.28.012 |
Исследование мочи для выявления клеток опухоли |
231,00 |
||||
A08.30.002 |
Иммуноцитохимическое исследование с моноклональными антителами материала из различных тканей и органов для выявления метастазов опухоли (онкомаркеры-цитокератины, nm23, SCC, РЭА и другие) |
244,31 |
||||
A08.30.003 |
Цитологическое исследование пунктатов и отпечатков биоптатов опухолей забрюшинного пространства |
202,31 |
||||
A08.30.006 |
Просмотр гистологического препарата |
140,00 |
||||
A08.30.007 |
Просмотр цитологического препарата |
46,54 |
||||
A08.30.011 |
Цитологическое исследование микропрепарата тканей брюшины |
202,31 |
||||
A08.30.016 |
Цитологическое исследование микропрепарата пунктатов опухолей, опухолеподобных образований мягких тканей |
202,31 |
||||
A08.30.018 |
Срочное интраоперационное цитологическое исследование |
187,85 |
||||
A26.01.032 |
Микробиологическое (культуральное) исследование отделяемого высыпных элементов кожи на чувствительность к антибактериальным и противогрибковым препаратам |
153,85 |
||||
A26.01.016 |
Микроскопическое исследование соскоба с кожи, папул и краев язв на лейшмании (Leishmania) |
123,85 |
||||
A26.01.011 |
Микроскопическое исследование волос на дерматомицеты |
130,00 |
||||
A26.01.012 |
Микроскопическое исследование волос на пьедру (белую и черную) |
130,00 |
||||
A08.04.004 |
Цитологическое исследование синовиальной жидкости |
196,31 |
||||
A09.04.003 |
Исследование химических свойств синовиальной жидкости |
196,31 |
||||
A12.04.001 |
Исследование физических свойств синовиальной жидкости |
196,31 |
||||
A09.04.005 |
Исследование уровня белка в синовиальной жидкости |
196,31 |
||||
A12.05.117 |
Оценка гематокрита |
19,46 |
||||
A09.05.004 |
Исследование уровня холестерина липопротеинов высокой плотности в крови |
130,77 |
||||
A09.05.006 |
Исследование уровня миоглобина в крови |
555,38 |
||||
A09.05.007 |
Исследование уровня железа сыворотки крови |
45,69 |
||||
A09.05.008 |
Исследование уровня трансферрина сыворотки крови |
163,81 |
||||
A09.05.009 |
Исследование уровня C-реактивного белка в сыворотке крови |
43,15 |
||||
A09.05.010 |
Исследование уровня общего белка в крови |
78,25 |
||||
A09.05.011 |
Исследование уровня альбумина в крови |
39,77 |
||||
A09.05.014 |
Определение соотношения белковых фракций методом электрофореза |
240,31 |
||||
A09.05.017 |
Исследование уровня мочевины в крови |
32,15 |
||||
A09.05.018 |
Исследование уровня мочевой кислоты в крови |
68,54 |
||||
A09.05.020 |
Исследование уровня креатинина в крови |
37,23 |
||||
A09.05.021 |
Исследование уровня общего билирубина в крови |
56,92 |
||||
A09.05.022 |
Исследование уровня свободного и связанного билирубина в крови |
42,31 |
||||
A09.05.023 |
Исследование уровня глюкозы в крови |
17,77 |
||||
A09.05.023.001 |
Исследование уровня глюкозы в крови методом непрерывного мониторирования |
86,00 |
||||
A09.05.023.002 |
Дистанционное наблюдение за показателями уровня глюкозы крови |
82,92 |
||||
A09.05.025 |
Исследование уровня триглицеридов в крови |
40,62 |
||||
A09.05.026 |
Исследование уровня холестерина в крови |
40,62 |
||||
A09.05.027 |
Исследование уровня липопротеинов в крови |
71,92 |
||||
A09.05.028 |
Исследование уровня холестерина липопротеинов низкой плотности |
127,77 |
||||
A09.05.029 |
Исследование уровня фосфолипидов в крови |
166,92 |
||||
A09.05.030 |
Исследование уровня натрия в крови |
43,15 |
||||
A09.05.031 |
Исследование уровня калия в крови |
20,31 |
||||
A09.05.032 |
Исследование уровня общего кальция в крови |
43,08 |
||||
A09.05.033 |
Исследование уровня неорганического фосфора в крови |
49,08 |
||||
A09.05.034 |
Исследование уровня хлоридов в крови |
20,31 |
||||
A09.05.035 |
Исследование уровня лекарственных препаратов в крови |
277,69 |
||||
A09.05.037 |
Исследование уровня водородных ионов (pH) крови |
178,54 |
||||
A09.05.038 |
Исследование уровня осмолярности (осмоляльности) крови |
400,23 |
||||
A09.05.039 |
Определение активности лактатдегидрогеназы в крови |
48,23 |
||||
A09.05.041 |
Определение активности аспартатаминотрансферазы в крови |
32,15 |
||||
A09.05.042 |
Определение активности аланинаминотрансферазы в крови |
32,15 |
||||
A09.05.043 |
Определение активности креатинкиназы в крови |
80,54 |
||||
A09.05.044 |
Определение активности гамма-глютамилтрансферазы в крови |
45,69 |
||||
A09.05.045 |
Определение активности амилазы в крови |
78,46 |
||||
A09.05.046 |
Определение активности щелочной фосфатазы в крови |
42,31 |
||||
A09.05.047 |
Определение активности антитромбина III в крови |
129,92 |
||||
A09.05.048 |
Исследование уровня плазминогена в крови |
393,62 |
||||
A09.05.050 |
Исследование уровня фибриногена в крови |
109,62 |
||||
A09.05.051 |
Исследование уровня продуктов паракоагуляции в крови |
5,92 |
||||
A09.05.054 |
Исследование уровня иммуноглобулинов в крови |
257,07 |
||||
A09.05.054.001 |
Исследование уровня общего иммуноглобулина E в крови |
157,38 |
||||
A09.05.056 |
Исследование уровня инсулина плазмы крови |
294,62 |
||||
A09.05.058 |
Исследование уровня паратиреоидного гормона в крови |
197,69 |
||||
A09.05.061 |
Исследование уровня свободного трийодтиронина (СТ3) в крови |
116,77 |
||||
A09.05.063 |
Исследование уровня свободного тироксина (СТ4) сыворотки крови |
119,31 |
||||
A09.05.064 |
Исследование уровня общего тироксина (Т4) сыворотки крови |
154,62 |
||||
A09.05.065 |
Исследование уровня тиреотропного гормона (ТТГ) в крови |
118,46 |
||||
A09.05.066 |
Исследование уровня соматотропного гормона в крови |
281,68 |
||||
A09.05.067 |
Исследование уровня адренокортикотропного гормона в крови |
279,23 |
||||
A09.05.069 |
Исследование уровня альдостерона в крови |
268,46 |
||||
A09.05.073 |
Определение активности альфа-1-антитрипсина в крови |
387,69 |
||||
A09.05.074 |
Исследование уровня циркулирующих иммунных комплексов в крови |
102,31 |
||||
A09.05.076 |
Исследование уровня ферритина в крови |
243,64 |
||||
A09.05.077 |
Исследование уровня церулоплазмина в крови |
403,08 |
||||
A09.05.078 |
Исследование уровня общего тестостерона в крови |
428,06 |
||||
A09.05.079 |
Исследование уровня гаптоглобина крови |
395,38 |
||||
A09.05.080 |
Исследование уровня фолиевой кислоты в сыворотке крови |
211,54 |
||||
A09.05.083 |
Исследование уровня гликированного гемоглобина в крови |
366,38 |
||||
A09.05.087 |
Исследование уровня пролактина в крови |
177,74 |
||||
A09.05.095 |
Исследование уровня гемопексина в крови |
392,31 |
||||
A09.05.106.001 |
Исследование моноклональности иммуноглобулинов в крови методом иммунофиксации |
1 290,77 |
||||
A09.05.106.003 |
Исследование моноклональности легких цепей иммуноглобулинов в крови методом иммунофиксации |
2 409,85 |
||||
A09.28.030.002 |
Исследование моноклональности легких цепей иммуноглобулинов в моче методом иммунофиксации |
2 409,85 |
||||
A09.05.106.005 |
Определение содержания свободных легких цепей каппа в крови |
619,84 |
||||
A09.28.030.003 |
Определение содержания свободных легких цепей каппа в моче |
516,15 |
||||
A09.05.108 |
Исследование уровня фибронектина в крови |
330,77 |
||||
A09.05.109 |
Исследование уровня альфа-1-гликопротеина (орозомукоида) в крови |
364,62 |
||||
A09.05.115 |
Исследование уровня вазопрессина (антидиуретического гормона) в крови |
1 147,69 |
||||
A09.05.117 |
Исследование уровня тиреоглобулина в крови |
206,84 |
||||
A09.05.118 |
Исследование уровня антител к антигенам растительного, животного и химического происхождения в крови |
239,23 |
||||
A09.05.119 |
Исследование уровня кальцитонина в крови |
424,62 |
||||
A09.05.121 |
Исследование уровня ренина в крови |
501,54 |
||||
A09.05.125 |
Исследование уровня протеина C в крови |
565,22 |
||||
A09.05.127 |
Исследование уровня общего магния в сыворотке крови |
86,15 |
||||
A09.05.130 |
Исследование уровня простатспецифического антигена общего в крови |
380,37 |
||||
A09.05.131 |
Исследование уровня лютеинизирующего гормона в сыворотке крови |
167,85 |
||||
A09.05.132 |
Исследование уровня фолликулостимулирующего гормона в сыворотке крови |
160,55 |
||||
A09.05.135 |
Исследование уровня общего кортизола в крови |
260,27 |
||||
A09.05.148 |
Исследование уровня свободного (неконъюгированного) дегидроэпиандростерона в крови |
142,15 |
||||
A09.05.149 |
Исследование уровня дегидроэпиандростерона сульфата в крови |
238,51 |
||||
A09.05.153 |
Исследование уровня прогестерона в крови |
250,08 |
||||
A09.05.154 |
Исследование уровня общего эстрадиола в крови |
171,65 |
||||
A09.05.159 |
Исследование уровня лептина в крови |
303,85 |
||||
A09.05.160 |
Исследование уровня глобулина, связывающего половые гормоны, в крови |
349,23 |
||||
A09.05.173 |
Определение активности липазы в сыворотке крови |
185,31 |
||||
A09.05.174 |
Определение активности холинэстеразы в крови |
86,31 |
||||
A09.05.176 |
Исследование уровня сывороточного амилоида A в крови |
593,85 |
||||
A09.05.177 |
Исследование уровня/активности изоферментов креатинкиназы в крови |
542,38 |
||||
A09.05.179 |
Исследование уровня/активности изоферментов щелочной фосфатазы в крови |
735,38 |
||||
A09.05.273 |
Исследование уровня меди в крови |
176,92 |
||||
A09.05.184 |
Определение активности фактора XII в сыворотке крови |
723,85 |
||||
A09.05.185 |
Определение активности фактора XI в сыворотке крови |
699,23 |
||||
A09.05.186 |
Определение активности фактора X в сыворотке крови |
445,38 |
||||
A09.05.187 |
Определение активности фактора IX в сыворотке крови |
203,85 |
||||
A09.05.188 |
Определение активности фактора VIII в сыворотке крови |
204,62 |
||||
A09.05.189 |
Определение активности фактора VII в сыворотке крови |
697,28 |
||||
A09.05.190 |
Определение активности фактора V в сыворотке крови |
253,85 |
||||
A09.05.193 |
Исследование уровня тропонинов I, T в крови |
333,85 |
||||
A09.05.193.001 |
Экспресс-исследование уровня тропонинов I, T в крови |
333,85 |
||||
A09.05.195 |
Исследование уровня ракового эмбрионального антигена в крови |
273,08 |
||||
A09.05.200 |
Исследование уровня антигена аденогенных раков CA 72-4 в крови |
378,46 |
||||
A09.05.201 |
Исследование уровня антигена аденогенных раков CA 19-9 в крови |
284,44 |
||||
A09.05.202 |
Исследование уровня антигена аденогенных раков CA 125 в крови |
234,54 |
||||
A09.05.204 |
Исследование уровня инсулиноподобного ростового фактора I в крови |
412,31 |
||||
A09.05.205 |
Исследование уровня C-пептида в крови |
163,62 |
||||
A09.05.206 |
Исследование уровня ионизированного кальция в крови |
280,92 |
||||
A09.05.207 |
Исследование уровня молочной кислоты в крови |
152,31 |
||||
A09.05.209 |
Исследование уровня прокальцитонина в крови |
773,08 |
||||
A09.05.214 |
Исследование уровня гомоцистеина в крови |
550,00 |
||||
A09.05.220 |
Исследование уровня антигена фактора Виллебранда |
313,15 |
||||
A09.05.225 |
Исследование уровня антимюллерова гормона в крови |
826,15 |
||||
A08.07.010 |
Цитологическое исследование отделяемого полости рта |
73,85 |
||||
A08.07.011 |
Цитологическое исследование содержимого кисты (абсцесса) полости рта или содержимого зубодесневого кармана |
202,31 |
||||
A12.07.007 |
Микроскопическое исследование отделяемого из ротоглотки |
40,62 |
||||
A08.08.006 |
Цитологическое исследование смывов с верхних дыхательных путей |
132,31 |
||||
A12.09.010 |
Микроскопическое исследование нативного и окрашенного препарата мокроты |
48,23 |
||||
A08.09.010 |
Цитологическое исследование плевральной жидкости |
118,46 |
||||
A09.09.005 |
Исследование мокроты на гемосидерин |
27,92 |
||||
A12.09.012 |
Исследование физических свойств мокроты |
163,31 |
||||
A12.09.013 |
Исследование физических свойств плевральной жидкости |
21,15 |
||||
A09.09.010 |
Экспресс-диагностика общего, рода и видов эндотоксинов в мокроте |
90,31 |
||||
A08.09.012 |
Цитологическое исследование лаважной жидкости |
202,31 |
||||
A09.14.001 |
Экспресс-диагностика общего, рода и видов эндотоксинов в желчи |
118,46 |
||||
A09.16.014 |
Внутрипищеводная pH-метрия |
795,38 |
||||
A09.16.014.001 |
Внутрипищеводная pH-метрия суточная |
795,38 |
||||
A09.19.001 |
Исследование кала на скрытую кровь |
30,00 |
||||
A09.19.003 |
Исследование уровня стеркобилина в кале |
80,38 |
||||
A12.19.005 |
Исследование физических свойств каловых масс |
174,31 |
||||
A09.19.007 |
Исследование копропорфиринов в кале |
130,00 |
||||
A26.19.010 |
Микроскопическое исследование кала на яйца и личинки гельминтов |
166,31 |
||||
A26.19.010.001 |
Микроскопическое исследование кала на гельминты с применением методов обогащения |
166,31 |
||||
A09.19.010 |
Определение активности панкреатической эластазы-1 в кале |
561,54 |
||||
A12.20.001 |
Микроскопическое исследование влагалищных мазков |
60,92 |
||||
A09.05.051.001 |
Определение концентрации Д-димера в крови |
183,85 |
||||
A09.28.003.002 |
Определение количества белка в суточной моче |
35,54 |
||||
A08.20.018 |
Цитологическое исследование аспирата кисты |
118,46 |
||||
A08.20.019 |
Цитологическое исследование отделяемого из соска молочной железы |
202,31 |
||||
A12.21.003 |
Микроскопическое исследование уретрального отделяемого и сока простаты |
82,92 |
||||
A12.21.005 |
Микроскопическое исследование осадка секрета простаты |
191,23 |
||||
A08.23.007 |
Цитологическое исследование клеток спинномозговой жидкости |
202,31 |
||||
A12.23.004 |
Микроскопическое исследование спинномозговой жидкости, подсчет клеток в счетной камере (определение цитоза) |
26,23 |
||||
A12.28.011 |
Микроскопическое исследование осадка мочи |
16,92 |
||||
A09.28.002 |
Исследование аминокислот и метаболитов в моче |
185,31 |
||||
A09.28.003 |
Определение белка в моче |
6,77 |
||||
A09.28.003.001 |
Определение альбумина в моче |
201,69 |
||||
A09.28.005 |
Обнаружение гемоглобина в моче |
32,15 |
||||
A09.28.006 |
Исследование уровня креатинина в моче |
43,15 |
||||
A09.28.007 |
Обнаружение желчных пигментов в моче |
14,38 |
||||
A09.28.008 |
Исследование уровня порфиринов и их производных в моче |
130,00 |
||||
A09.28.009 |
Исследование уровня мочевины в моче |
86,15 |
||||
A09.28.010 |
Исследование уровня мочевой кислоты в моче |
72,77 |
||||
A09.28.012 |
Исследование уровня кальция в моче |
47,69 |
||||
A09.28.013 |
Исследование уровня калия в моче |
50,00 |
||||
A09.28.014 |
Исследование уровня натрия в моче |
50,00 |
||||
A09.28.015.001 |
Обнаружение кетоновых тел в моче экспресс-методом |
23,69 |
||||
A09.28.017 |
Определение концентрации водородных ионов (pH) мочи |
11,00 |
||||
A12.28.013 |
Определение удельного веса (относительной плотности) мочи |
21,15 |
||||
A09.28.026 |
Исследование уровня фосфора в моче |
56,69 |
||||
A09.28.027 |
Определение активности альфа-амилазы в моче |
120,00 |
||||
A09.28.028 |
Исследование мочи на белок Бенс-Джонса |
24,69 |
||||
A09.28.032 |
Исследование уровня билирубина в моче |
14,38 |
||||
A09.28.033 |
Исследование уровня фенилпировиноградной кислоты в моче (проба Фелинга) |
227,62 |
||||
A09.28.034 |
Исследование уровня катехоламинов в моче |
636,92 |
||||
A09.28.035 |
Исследование уровня свободного кортизола в моче |
121,00 |
||||
A09.28.039 |
Исследование уровня нитритов в моче |
130,31 |
||||
A12.28.014 |
Визуальное исследование мочи |
11,85 |
||||
A12.30.013 |
Микроскопическое исследование перитонеальной (асцитической) жидкости |
215,77 |
||||
A08.30.031 |
Цитологическое исследование перитонеальной жидкости |
202,31 |
||||
A12.30.014 |
Определение международного нормализованного отношения (МНО) |
111,89 |
||||
A11.01.001 |
Биопсия кожи |
198,85 |
||||
A11.01.002 |
Подкожное введение лекарственных препаратов |
32,15 |
||||
A11.30.024.001 |
Пункция мягких тканей под контролем ультразвукового исследования |
283,08 |
||||
A11.01.009 |
Соскоб кожи |
34,62 |
||||
A11.01.016 |
Получение мазка-отпечатка с поверхности кожи |
15,38 |
||||
A11.01.018 |
Взятие образца биологического материала из очагов поражения на патологический грибок |
34,62 |
||||
A11.02.002 |
Внутримышечное введение лекарственных препаратов |
32,15 |
||||
A11.04.003 |
Диагностическая аспирация сустава |
370,00 |
||||
A11.04.004 |
Внутрисуставное введение лекарственных препаратов |
452,31 |
||||
A11.05.001 |
Взятие крови из пальца |
26,92 |
||||
A11.05.002 |
Получение цитологического препарата костного мозга путем пункции |
126,92 |
||||
A11.05.003 |
Получение гистологического препарата костного мозга |
250,00 |
||||
A11.07.016 |
Биопсия слизистой ротоглотки |
417,15 |
||||
A11.08.004 |
Пункция околоносовых пазух |
161,62 |
||||
A11.09.003 |
Пункция плевральной полости |
216,62 |
||||
A11.09.003.002 |
Пункция плевральной полости под контролем ультразвукового исследования |
361,31 |
||||
A11.09.007.001 |
Ингаляторное введение лекарственных препаратов через небулайзер |
77,85 |
||||
A11.11.005 |
Пункция средостения |
629,54 |
||||
A11.12.001 |
Катетеризация подключичной и других центральных вен |
771,54 |
||||
A11.12.002 |
Катетеризация кубитальной и других периферических вен |
175,38 |
||||
A11.12.003 |
Внутривенное введение лекарственных препаратов |
33,00 |
||||
A11.12.003.001 |
Непрерывное внутривенное введение лекарственных препаратов |
218,46 |
||||
A11.12.009 |
Взятие крови из периферической вены |
38,46 |
||||
A11.14.001 |
Чрескожная биопсия печени |
380,77 |
||||
A11.14.001.001 |
Биопсия печени под контролем ультразвукового исследования |
584,62 |
||||
A11.14.002 |
Чрескожная пункция желчного пузыря |
434,92 |
||||
A11.15.002.001 |
Пункция поджелудочной железы под контролем ультразвукового исследования |
629,54 |
||||
A11.16.001 |
Биопсия пищевода с помощью эндоскопии |
570,00 |
||||
A11.16.002 |
Биопсия желудка с помощью эндоскопии |
570,00 |
||||
A11.16.003 |
Биопсия двенадцатиперстной кишки с помощью эндоскопии |
570,00 |
||||
A11.19.003 |
Биопсия ануса и перианальной области |
71,92 |
||||
A11.20.002 |
Получение цервикального мазка |
99,23 |
||||
A11.20.004 |
Влагалищная биопсия |
300,00 |
||||
A11.20.005 |
Получение влагалищного мазка |
99,23 |
||||
A11.20.008 |
Раздельное диагностическое выскабливание полости матки и цервикального канала |
167,54 |
||||
A11.20.011 |
Биопсия шейки матки |
300,00 |
||||
A11.20.014 |
Введение внутриматочной спирали |
138,77 |
||||
A11.20.015 |
Удаление внутриматочной спирали |
138,77 |
||||
A11.21.004 |
Сбор секрета простаты |
95,38 |
||||
A11.22.001.001 |
Биопсия щитовидной или паращитовидной железы под контролем ультразвукового исследования |
361,54 |
||||
A11.22.002.001 |
Пункция щитовидной или паращитовидной железы под контролем ультразвукового исследования |
295,31 |
||||
A11.26.004 |
Промывание слезных путей |
68,54 |
||||
A11.26.011 |
Пара- и ретробульбарные инъекции |
59,23 |
||||
A11.28.004 |
Пункция и аспирация из кисты почки или почечной лоханки |
358,77 |
||||
A11.28.006 |
Получение уретрального отделяемого |
320,77 |
||||
A11.28.007 |
Катетеризация мочевого пузыря |
315,38 |
||||
A11.30.003 |
Амниоцентез |
1 152,34 |
||||
A11.30.008 |
Введение лекарственных препаратов в ткань опухоли |
374,85 |
||||
A11.30.013 |
Биопсия опухолей, опухолеподобных образований мягких тканей |
341,00 |
||||
A11.30.018 |
Забор материала для исследования пузырной жидкости на эозинофилы |
34,62 |
||||
A12.05.001 |
Исследование скорости оседания эритроцитов |
29,62 |
||||
A12.05.002 |
Исследование осмотической резистентности эритроцитов |
71,54 |
||||
A12.05.004 |
Проба на совместимость перед переливанием компонентов крови |
112,77 |
||||
A12.05.005 |
Определение основных групп по системе (A, B, 0) |
291,37 |
||||
A12.05.006 |
Определение антигена D системы Резус (резус-фактор) |
115,00 |
||||
A12.05.007 |
Определение подгруппы и других групп крови меньшего значения A-1, A-2, D, Cc, E, Kell, Duffy |
49,92 |
||||
A12.05.008 |
Непрямой антиглобулиновый тест (тест Кумбса) |
97,31 |
||||
A12.05.009 |
Прямой антиглобулиновый тест (прямая проба Кумбса) |
159,08 |
||||
A12.05.011 |
Исследование железосвязывающей способности сыворотки |
112,98 |
||||
A12.05.014 |
Исследование времени свертывания нестабилизированной крови или рекальцификации плазмы неактивированное |
53,31 |
||||
A12.05.015 |
Исследование времени кровотечения |
57,54 |
||||
A12.05.017 |
Исследование агрегации тромбоцитов |
388,38 |
||||
A12.05.019 |
Исследование насыщения трансферрина железом |
181,54 |
||||
A12.05.027 |
Определение протромбинового (тромбопластинового) времени в крови или в плазме |
93,08 |
||||
A12.05.028 |
Определение тромбинового времени в крови |
106,14 |
||||
A09.05.285 |
Исследование активности и свойств фактора Виллебранда в крови |
318,42 |
||||
A12.05.039 |
Активированное частичное тромбопластиновое время |
10,77 |
||||
A12.05.040 |
Определение резистентности к активированному протеину C |
351,06 |
||||
A27.05.002 |
Определение полиморфизма G20210A протромбина в гене фактора II свертывания крови |
875,77 |
||||
A27.05.003 |
Определение полиморфизма C677T метилентетрагидрофолатредуктазы |
2 014,69 |
||||
A09.05.286 |
Определение активности фактора XIII в плазме крови |
966,15 |
||||
A09.05.287 |
Исследование уровня альфа-2-антиплазмина в крови |
52,46 |
||||
A09.05.291 |
Определение активности ингибиторов к фактору VIII в плазме крови |
384,69 |
||||
A12.06.001 |
Исследование популяций лимфоцитов |
602,31 |
||||
A12.06.001.011 |
Исследование HLADR+/- лимфоцитов |
2 581,62 |
||||
A12.06.003 |
Микроскопия крови на обнаружение LE-клеток |
44,08 |
||||
A12.06.006 |
Накожные исследования реакции на аллергены |
176,00 |
||||
A12.06.010 |
Определение содержания антител к антигенам ядра клетки и ДНК |
396,61 |
||||
A12.06.015 |
Определение антистрептолизина-О в сыворотке крови |
78,69 |
||||
A12.06.017 |
Определение содержания антител к тироглобулину в сыворотке крови |
289,97 |
||||
A12.06.018 |
Определение содержания антител к ткани щитовидной железы в крови |
135,38 |
||||
A12.06.019 |
Определение содержания ревматоидного фактора в крови |
77,00 |
||||
A12.06.020 |
Определение содержания антител к антигенам островков клеток поджелудочной железы в крови |
390,77 |
||||
A12.06.029 |
Определение содержания антител к кардиолипину в крови |
84,85 |
||||
A12.06.030 |
Определение содержания антител к фосфолипидам в крови |
640,40 |
||||
A12.06.036 |
Определение содержания антител к антигенам микросом в крови |
378,46 |
||||
A12.06.037 |
Определение содержания антител к цитоплазме нейтрофилов в крови |
402,31 |
||||
A12.06.039 |
Определение содержания антител к инсулину в крови |
478,58 |
||||
A12.06.043 |
Определение содержания антител к антигенам групп крови |
608,08 |
||||
A12.06.044 |
Определение содержания антител к эпидермальному ростовому фактору человека в крови |
322,31 |
||||
A12.06.045 |
Определение содержания антител к тиреопероксидазе в крови |
226,98 |
||||
A12.06.046 |
Определение содержания антител к рецептору тиреотропного гормона (ТТГ) в крови |
414,46 |
||||
A12.09.001 |
Исследование неспровоцированных дыхательных объемов и потоков |
156,54 |
||||
A12.09.001.001 |
Исследование неспровоцированных дыхательных объемов и потоков с использованием пикфлоуметра |
64,31 |
||||
A12.09.002 |
Исследование спровоцированных дыхательных объемов |
165,00 |
||||
A12.09.002.001 |
Исследование дыхательных объемов с применением лекарственных препаратов |
159,00 |
||||
A12.09.002.002 |
Исследование дыхательных объемов при провокации физической нагрузкой |
165,00 |
||||
A12.09.004 |
Бодиплетизмография |
676,92 |
||||
A12.09.005 |
Пульсоксиметрия |
686,15 |
||||
A12.10.001 |
Электрокардиография с физической нагрузкой |
124,31 |
||||
A12.10.002 |
Электрокардиография с применением лекарственных препаратов |
286,00 |
||||
A12.10.005 |
Велоэргометрия |
426,46 |
||||
A02.12.002.001 |
Суточное мониторирование артериального давления |
420,77 |
||||
A12.17.001 |
Исследование всасывания витамина B12 (проба Шиллинга) |
225,38 |
||||
A12.22.005 |
Проведение глюкозотолерантного теста |
165,85 |
||||
A12.25.001 |
Тональная аудиометрия |
128,07 |
||||
A12.25.003 |
Составление слухового паспорта |
31,31 |
||||
A12.25.005 |
Импедансометрия |
106,62 |
||||
A12.25.006 |
Исследование функций слуховой трубы |
53,48 |
||||
A12.26.005 |
Эластотонометрия |
66,85 |
||||
A12.26.006 |
Тонометрическая проба Хеймса |
81,23 |
||||
A12.26.007 |
Нагрузочно-разгрузочные пробы для исследования регуляции внутриглазного давления |
117,62 |
||||
A12.26.016 |
Авторефрактометрия с узким зрачком |
79,54 |
||||
A14.01.013 |
Проведение эпиляции |
53,85 |
||||
A15.01.001 |
Наложение повязки при нарушении целостности кожных покровов |
190,77 |
||||
A15.19.001 |
Наложение повязки при операциях на прямой кишке |
236,92 |
||||
A16.01.004 |
Хирургическая обработка раны или инфицированной ткани |
306,31 |
||||
A16.01.008 |
Сшивание кожи и подкожной клетчатки |
141,31 |
||||
A16.01.011 |
Вскрытие фурункула (карбункула) |
140,46 |
||||
A16.01.012 |
Вскрытие и дренирование флегмоны (абсцесса) |
103,23 |
||||
A16.01.017 |
Удаление доброкачественных новообразований кожи |
274,62 |
||||
A16.01.019 |
Вскрытие инфильтрата (угревого элемента) кожи и подкожно-жировой клетчатки |
154,85 |
||||
A16.01.020 |
Удаление контагиозных моллюсков |
97,69 |
||||
A16.01.023 |
Иссечение рубцов кожи |
426,46 |
||||
A16.01.027 |
Удаление ногтевых пластинок |
346,92 |
||||
A16.30.032.004 |
Иссечение множественных новообразований мягких тканей |
278,46 |
||||
A16.08.001 |
Тонзиллэктомия |
386,69 |
||||
A16.08.002 |
Аденоидэктомия |
386,69 |
||||
A16.08.006 |
Механическая остановка кровотечения (передняя и задняя тампонада носа) |
176,85 |
||||
A16.08.007 |
Удаление инородного тела глотки или гортани |
181,92 |
||||
A16.08.011 |
Удаление инородного тела носа |
37,54 |
||||
A16.08.012 |
Вскрытие паратонзиллярного абсцесса |
242,85 |
||||
A16.08.014 |
Репозиция костей носа |
430,69 |
||||
A16.08.016 |
Промывание лакун миндалин |
115,00 |
||||
A16.08.018 |
Вскрытие фурункула носа |
126,92 |
||||
A16.08.023 |
Промывание верхнечелюстной пазухи носа |
202,23 |
||||
A16.09.001 |
Торакоцентез |
380,77 |
||||
A16.09.001.001 |
Торакоцентез под контролем ультразвукового исследования |
380,77 |
||||
A16.12.006 |
Разрез, иссечение и закрытие вен нижней конечности |
563,85 |
||||
A16.14.007.001 |
Дренирование желчного пузыря под контролем ультразвукового исследования |
653,85 |
||||
A16.14.018.001 |
Дренирование абсцесса печени под контролем ультразвукового исследования |
466,31 |
||||
A16.14.020.001 |
Наружное дренирование желчных протоков под контролем ультразвукового исследования |
772,54 |
||||
A16.19.008 |
Разрез или иссечение приректальной ткани |
695,54 |
||||
A16.19.010 |
Иссечение наружного свища прямой кишки |
571,15 |
||||
A16.19.012 |
Дренирование абсцесса прямой кишки |
671,85 |
||||
A16.19.013 |
Удаление геморроидальных узлов |
602,46 |
||||
A16.19.016 |
Эвакуация тромбированных геморроидальных узлов |
101,54 |
||||
A16.19.017 |
Удаление полипа анального канала и прямой кишки |
94,77 |
||||
A16.20.020 |
Дренирование абсцесса женских половых органов |
323,85 |
||||
A16.20.036.001 |
Электродиатермоконизация шейки матки |
204,77 |
||||
A16.20.036.003 |
Радиоволновая терапия шейки матки |
326,15 |
||||
A16.20.037 |
Искусственное прерывание беременности (аборт) |
179,38 |
||||
A16.20.079 |
Вакуум-аспирация эндометрия |
137,92 |
||||
A16.25.001 |
Дренирование фурункула наружного уха |
126,92 |
||||
A16.25.007 |
Удаление ушной серы |
139,62 |
||||
A16.25.008.001 |
Удаление инородного тела из наружного слухового прохода; вторичное оперативное лечение |
234,38 |
||||
A16.25.011 |
Миринготомия |
136,23 |
||||
A16.25.012 |
Продувание слуховой трубы |
164,15 |
||||
A16.25.036 |
Катетеризация слуховой трубы |
243,69 |
||||
A16.26.011 |
Зондирование слезных канальцев, активация слезных точек |
270,77 |
||||
A16.26.034 |
Удаление инородного тела конъюнктивы |
66,85 |
||||
A16.26.044 |
Удаление птеригиума |
826,69 |
||||
A16.30.002 |
Оперативное лечение пупочной грыжи |
743,08 |
||||
A16.30.007.003 |
Дренирование кист брюшной полости |
406,15 |
||||
A16.30.007.004 |
Лапароскопическое дренирование брюшной полости |
460,77 |
||||
A17.02.001 |
Электростимуляция мышц |
6 639,23 |
||||
A17.03.001 |
Электрофорез лекарственных препаратов при костной патологии |
55,00 |
||||
A17.07.001 |
Электрофорез лекарственных препаратов при патологии полости рта и зубов |
59,08 |
||||
A17.08.001.001 |
Электрофорез лекарственных препаратов эндоназальный |
41,46 |
||||
A17.09.001 |
Электрофорез лекарственных препаратов при патологии легких |
54,15 |
||||
A17.13.001 |
Электрофорез лекарственных препаратов при нарушениях микроциркуляции |
56,69 |
||||
A17.16.001 |
Электрофорез лекарственных препаратов при заболеваниях желудка и двенадцатиперстной кишки |
65,15 |
||||
A17.23.001 |
Электрофорез лекарственных препаратов при заболеваниях центральной нервной системы и головного мозга |
54,15 |
||||
A17.23.004.001 |
Транскраниальная магнитная стимуляция |
1 273,08 |
||||
A17.24.004 |
Дарсонвализация местная при заболеваниях периферической нервной системы |
26,23 |
||||
A17.24.005 |
Электрофорез лекарственных препаратов при заболеваниях периферической нервной системы |
55,00 |
||||
A17.29.002 |
Электросон |
55,00 |
||||
A17.29.003 |
Лекарственный электрофорез при неуточненных заболеваниях |
55,85 |
||||
A17.30.004 |
Воздействие синусоидальными модулированными токами |
25,38 |
||||
A17.30.017 |
Воздействие электрическим полем ультравысокой частоты (ЭП УВЧ) |
30,46 |
||||
A17.30.019 |
Воздействие переменным магнитным полем (ПеМП) |
39,77 |
||||
A17.30.021 |
Электрокоагуляция |
75,38 |
||||
A17.30.024.001 |
Электрофорез диадинамическими токами (ДДТ-форез) |
33,00 |
||||
A19.03.003 |
Лечебная физкультура при переломе костей |
63,46 |
||||
A19.04.001 |
Лечебная физкультура при заболеваниях и травмах суставов |
63,46 |
||||
A19.23.003.014 |
Тренировка с биологической обратной связью по электромиографии при заболеваниях центральной нервной системы и головного мозга |
866,92 |
||||
A19.24.001 |
Лечебная физкультура при заболеваниях периферической нервной системы |
63,46 |
||||
A20.30.010 |
Подводный душ-массаж лечебный |
121,85 |
||||
A20.30.023 |
Термовоздействие |
109,15 |
||||
A20.30.030 |
Ванны воздушно-пузырьковые (жемчужные) |
121,85 |
||||
A22.01.001 |
Ультразвуковое лечение кожи |
78,69 |
||||
A22.01.001.001 |
Ультрафонофорез лекарственный кожи |
58,46 |
||||
A22.01.003 |
Лазерная деструкция ткани кожи |
77,69 |
||||
A22.01.006 |
Ультрафиолетовое облучение кожи |
16,92 |
||||
A22.01.006.002 |
Ультрафиолетовое облучение кожи. Общая узкополосная средневолновая ультрафиолетовая терапия |
98,15 |
||||
A22.01.006.003 |
Ультрафиолетовое облучение кожи. Общая ультрафиолетовая терапия дальнего длинноволнового диапазона |
98,15 |
||||
A22.01.006.004 |
Ультрафиолетовое облучение кожи. Фотохимиотерапия с внутренним применением фотосенсибилизаторов (ПУВА) |
134,54 |
||||
A22.01.006.007 |
Ультрафиолетовое облучение кожи. Селективная фототерапия (широкополосная ультрафиолетовая терапия) |
67,69 |
||||
A22.04.002 |
Воздействие ультразвуком при заболеваниях суставов |
34,69 |
||||
A22.04.002.001 |
Ультрафонофорез лекарственный при заболеваниях суставов |
38,92 |
||||
A22.04.003 |
Воздействие низкоинтенсивным лазерным излучением при заболеваниях суставов |
47,38 |
||||
A22.28.005.002 |
Абляция радиочастотная новообразования мочевыделительного тракта с использованием видеоэндоскопических технологий |
423,08 |
||||
A22.30.002 |
Воздействие излучением видимого диапазона |
47,38 |
||||
A22.30.015 |
Ударно-волновая терапия |
577,92 |
||||
A23.25.001 |
Подбор слухового аппарата |
178,67 |
||||
A23.25.002 |
Настройка речевого процессора |
301,90 |
||||
A23.26.001 |
Подбор очковой коррекции зрения |
72,77 |
||||
A23.30.007 |
Определение типа реакции сердечно-сосудистой системы на физическую нагрузку |
55,38 |
||||
A24.01.004 |
Криодеструкция кожи |
76,92 |
||||
A26.01.001 |
Микробиологическое (культуральное) исследование гнойного отделяемого на аэробные и факультативно-анаэробные микроорганизмы |
95,62 |
||||
A26.01.010 |
Микробиологическое (культуральное) исследование соскоба с кожи на грибы (дрожжевые, плесневые, дерматомицеты) |
141,54 |
||||
A26.01.013 |
Микробиологическое (культуральное) исследование биоптата кожи на дрожжевые грибы |
181,92 |
||||
A26.01.014 |
Микробиологическое (культуральное) исследование пунктата пролежня кожи на дрожжевые грибы |
181,92 |
||||
A26.01.015 |
Микроскопическое исследование соскоба с кожи на грибы (дрожжевые, плесневые, дерматомицеты) |
99,00 |
||||
A26.01.017 |
Микроскопическое исследование отпечатков с поверхности кожи перианальных складок на яйца остриц (Enterobius vermicularis) |
17,77 |
||||
A26.01.018 |
Микроскопическое исследование соскоба с кожи на клещей |
57,54 |
||||
A26.01.019 |
Микроскопическое исследование отпечатков с поверхности перианальных складок на яйца гельминтов |
58,08 |
||||
A26.02.001 |
Микробиологическое (культуральное) исследование раневого отделяемого на аэробные и факультативно-анаэробные микроорганизмы |
516,15 |
||||
A26.02.002 |
Микробиологическое (культуральное) исследование раневого отделяемого на возбудителей газовой гангрены (Clostridium spp.) |
62,62 |
||||
A26.02.004 |
Микробиологическое (культуральное) исследование раневого отделяемого на грибы (дрожжевые, мицелиальные) |
181,92 |
||||
A26.04.007 |
Микробиологическое (культуральное) исследование синовиальной жидкости на грибы (дрожжевые, мицелиальные) |
181,92 |
||||
A26.05.001 |
Микробиологическое (культуральное) исследование крови на стерильность |
506,85 |
||||
A26.05.005 |
Микробиологическое (культуральное) исследование крови на мицелиальные грибы |
171,85 |
||||
A26.05.009 |
Микроскопическое исследование "толстой капли" и "тонкого" мазка крови на малярийные плазмодии |
101,54 |
||||
A26.05.011 |
Молекулярно-биологическое исследование крови на вирус Эпштейна-Барра (Epstein - Barr virus) |
270,77 |
||||
A26.05.012 |
Молекулярно-биологическое исследование крови на хламидии (Chlamydia spp.) |
237,69 |
||||
A26.05.013 |
Молекулярно-биологическое исследование крови на токсоплазмы (Toxoplasma gondii) |
280,77 |
||||
A26.05.016 |
Исследование микробиоценоза кишечника (дисбактериоз) |
617,77 |
||||
A26.05.017 |
Молекулярно-биологическое исследование крови на цитомегаловирус (Cytomegalovirus) |
270,77 |
||||
A26.05.019 |
Молекулярно-биологическое исследование крови на вирус гепатита C (Hepatitis C virus) |
572,31 |
||||
A26.05.020 |
Молекулярно-биологическое исследование крови на вирус гепатита B (Hepatitis B virus) |
466,92 |
||||
A26.06.004 |
Определение антител к амебе всеядной (Acanthamoeba polyphaga) в крови |
203,08 |
||||
A26.06.006 |
Определение антител к грибам рода аспергиллы (Aspergillus spp.) в крови |
276,92 |
||||
A26.06.015 |
Определение антител к хламидиям (Chlamydia spp.) в крови |
234,62 |
||||
A26.06.018 |
Определение антител к хламидии трахоматис (Chlamydia trachomatis) в крови |
211,69 |
||||
A26.06.022 |
Определение антител классов M, G (IgM, IgG) к цитомегаловирусу (Cytomegalovirus) в крови |
479,46 |
||||
A26.06.024 |
Определение антител класса G (IgG) к эхинококку однокамерному в крови |
137,62 |
||||
A26.06.025 |
Определение антител к эхинококку многокамерному (Echinococcus multilocularis) в крови |
130,00 |
||||
A26.06.028 |
Определение антител классов M, G (IgM, IgG) к вирусу Эпштейна-Барра (Epstein - Barr virus) в крови |
485,38 |
||||
A26.06.029 |
Определение антител к капсидному антигену (VCA) вируса Эпштейна-Барра (Epstein - Barr virus) в крови |
239,23 |
||||
A26.06.030 |
Определение антител класса G (IgG) к ранним белкам (EA) вируса Эпштейна-Барра (Epstein-Barr virus) в крови |
242,31 |
||||
A26.06.032 |
Определение антител классов A, M, G (IgM, IgA, IgG) к лямблиям в крови |
114,00 |
||||
A26.06.033 |
Определение антител к хеликобактер пилори (Helicobacter pylori) в крови |
120,77 |
||||
A26.06.034 |
Определение антител к вирусу гепатита A (Hepatitis A virus) в крови |
113,92 |
||||
A26.06.035 |
Определение антигена (HbeAg) вируса гепатита B (Hepatitis B virus) в крови |
284,05 |
||||
A26.06.036 |
Определение антигена (HbsAg) вируса гепатита B (Hepatitis B virus) в крови |
260,78 |
||||
A26.06.037 |
Определение антигена (HbcAg) вируса гепатита B (Hepatitis B virus) в крови |
113,92 |
||||
A26.06.038 |
Определение антител к антигену (anti-HBe) вируса гепатита B (Hepatitis B virus) в крови |
272,64 |
||||
A26.06.039 |
Определение антител классов к ядерному антигену (HBcAg) вируса гепатита B (Hepatitis B virus) в крови |
433,85 |
||||
A26.06.040 |
Определение антител к поверхностному антигену (HBsAg) вируса гепатита B (Hepatitis B virus) в крови |
132,08 |
||||
A26.06.041 |
Определение антител к вирусу гепатиту C (Hepatitis C virus) в крови |
153,24 |
||||
A26.06.043 |
Определение антител к вирусу гепатита D (Hepatitis D virus) в крови |
362,60 |
||||
A26.06.045 |
Определение антител к вирусу простого герпеса (Herpes simplex virus) в крови |
107,46 |
||||
A26.06.046 |
Определение индекса авидности антител класса G (Ig G avidity) к вирусу простого герпеса (Herpes simplex virus) в крови |
110,00 |
||||
A26.06.048 |
Определение антител классов M, G (IgM, IgG) к вирусу иммунодефицита человека ВИЧ-1 (Human immunodeficiency virus HIV 1) в крови |
72,00 |
||||
A26.06.056 |
Определение антител к вирусу кори в крови |
158,00 |
||||
A26.06.057 |
Определение антител классов M, G (IgM, IgG) к микоплазме пневмонии (Mycoplasma pneumoniae) в крови |
484,62 |
||||
A26.06.062 |
Определение антител к возбудителю описторхоза (Opisthorchis felineus) в крови |
130,00 |
||||
A26.06.063 |
Определение антител к парвовирусу B19 (Parvovirus B19) в крови |
155,69 |
||||
A26.06.071 |
Определение антител к вирусу краснухи (Rubella virus) в крови |
369,54 |
||||
A26.06.079 |
Определение антител к трихинеллам (Trichinella spp.) в крови |
137,62 |
||||
A26.06.080 |
Определение антител к токсокаре собак (Toxocara canis) в крови |
130,00 |
||||
A26.06.081 |
Определение антител к токсоплазме (Toxoplasma gondii) в крови |
395,46 |
||||
A26.06.082 |
Определение антител к бледной трепонеме (Treponema pallidum) в крови |
136,15 |
||||
A26.06.082.001 |
Определение антител к бледной трепонеме (Treponema Pallidum) в нетрепонемных тестах (RPR, РМП) (качественное и полуколичественное исследование) в сыворотке крови |
104,08 |
||||
A26.06.082.003 |
Определение антител к бледной трепонеме (Treponema pallidum) в реакции пассивной гемагглютинации (РПГА) (качественное и полуколичественное исследование) в сыворотке крови |
40,85 |
||||
A26.06.082.005 |
Определение антител к бледной трепонеме (Treponema Pallidum) в нетрепонемных тестах (RPR, РМП, РСК) (качественное и полуколичественное исследование) в ликворе |
119,23 |
||||
A26.07.002 |
Микробиологическое (культуральное) исследование материала из десневых карманов на неспорообразующие анаэробные микроорганизмы |
850,00 |
||||
A26.07.004 |
Микробиологическое (культуральное) исследование отделяемого слизистой полости рта на неспорообразующие анаэробные микроорганизмы |
500,92 |
||||
A26.07.006 |
Микробиологическое (культуральное) исследование соскоба полости рта на дрожжевые грибы |
181,92 |
||||
A26.08.001 |
Микробиологическое (культуральное) исследование слизи и пленок с миндалин на палочку дифтерии (Corinebacterium diphtheriae) |
296,62 |
||||
A26.08.003 |
Микробиологическое (культуральное) исследование слизи с задней стенки глотки на менингококк (Neisseria meningitidis) |
302,08 |
||||
A26.08.005 |
Микробиологическое (культуральное) исследование слизи с миндалин и задней стенки глотки на аэробные и факультативно-анаэробные микроорганизмы |
109,15 |
||||
A26.08.006 |
Микробиологическое (культуральное) исследование смывов из околоносовых полостей на аэробные и факультативно-анаэробные микроорганизмы |
110,69 |
||||
A26.08.008 |
Молекулярно-биологическое исследование мазков со слизистой оболочки носоглотки на коронавирусы 229E, OC43, NL63, HKUI (Human Coronavirus) |
1 180,00 |
||||
A26.08.009 |
Микробиологическое (культуральное) исследование носоглоточных смывов на дрожжевые грибы |
181,92 |
||||
A26.09.001 |
Микроскопическое исследование мокроты на микобактерии (Mycobacterium spp.) |
163,31 |
||||
A26.09.010 |
Микробиологическое (культуральное) исследование мокроты на аэробные и факультативно-анаэробные микроорганизмы |
333,08 |
||||
A26.09.015 |
Микробиологическое (культуральное) исследование слизи с задней стенки глотки на палочку коклюша (Bordetella pertussis) |
156,85 |
||||
A26.09.024 |
Микробиологическое (культуральное) исследование мокроты на дрожжевые грибы |
181,92 |
||||
A26.14.002 |
Микробиологическое (культуральное) исследование желчи на аэробные и факультативно-анаэробные микроорганизмы |
516,15 |
||||
A26.14.003 |
Микробиологическое (культуральное) исследование желчи на анаэробные микроорганизмы |
755,38 |
||||
A26.19.001 |
Микробиологическое (культуральное) исследование фекалий/ректального мазка на возбудителя дизентерии (Shigella spp.) |
57,54 |
||||
A26.19.003 |
Микробиологическое (культуральное) исследование фекалий/ректального мазка на микроорганизмы рода сальмонелла (Salmonella spp.) |
99,00 |
||||
A26.19.007 |
Микробиологическое (культуральное) исследование фекалий/ректального мазка на возбудитель диффициального клостридиоза (Clostridium difficile) |
756,46 |
||||
A26.19.008 |
Микробиологическое (культуральное) исследование кала на аэробные и факультативно-анаэробные микроорганизмы |
141,31 |
||||
A26.19.009 |
Микробиологическое (культуральное) исследование кала на грибы рода кандида (Candida spp.) |
181,92 |
||||
A26.19.011 |
Микроскопическое исследование кала на простейшие |
78,5 |
||||
A26.20.005 |
Микробиологическое (культуральное) исследование отделяемого женских половых органов на уреаплазму (Ureaplasma urealyticum) |
119,31 |
||||
A26.20.006 |
Микроскопическое исследование отделяемого женских половых органов на аэробные и факультативно-анаэробные микроорганизмы |
127,69 |
||||
A26.20.009 |
Молекулярно-биологическое исследование отделяемого из цервикального канала на вирус папилломы человека (Papilloma virus) |
143,85 |
||||
A26.20.012 |
Молекулярно-биологическое исследование влагалищного отделяемого на вирус папилломы человека (Papilloma virus) |
339,31 |
||||
A26.20.013 |
Молекулярно-биологическое исследование влагалищного отделяемого на вирус простого герпеса 1 и 2 типов (Herpes simplex virus types 1, 2) |
122,69 |
||||
A26.20.014 |
Молекулярно-биологическое исследование влагалищного отделяемого на цитомегаловирус (Cytomegalovirus) |
122,69 |
||||
A26.20.016 |
Микробиологическое (культуральное) исследование влагалищного отделяемого на дрожжевые грибы |
181,92 |
||||
A26.20.020 |
Молекулярно-биологическое исследование отделяемого слизистых оболочек женских половых органов на хламидию трахоматис (Chlamydia trachomatis) |
119,31 |
||||
A26.20.011 |
Молекулярно-биологическое исследование отделяемого из цервикального канала на цитомегаловирус (Cytomegalovirus) |
184,46 |
||||
A26.21.004 |
Микробиологическое (культуральное) исследование отделяемого из уретры на уреаплазму уреалитикум (Ureaplasma urealyticum) |
119,31 |
||||
A26.21.006 |
Микробиологическое (культуральное) исследование отделяемого секрета простаты на аэробные и факультативно-анаэробные условно-патогенные микроорганизмы |
613,85 | ||||
A26.21.007 |
Молекулярно-биологическое исследование отделяемого из уретры на хламидии трахоматис (Chlamydia trachomatis) |
199,23 | ||||
A26.21.008 |
Молекулярно-биологическое исследование отделяемого из уретры на вирус папилломы человека (Pailloma virus) |
339,30 | ||||
A26.21.009 |
Молекулярно-биологическое исследование отделяемого из уретры на вирус простого герпеса 1 и 2 типов (Herpes simplex virus types 1, 2) |
232,31 | ||||
A26.21.010 |
Молекулярно-биологическое исследование отделяемого из уретры на цитомегаловирус (Cytomegalovirus) |
184,46 | ||||
A26.21.014 |
Микробиологическое (культуральное) исследование отделяемого из уретры на дрожжевые грибы |
181,92 | ||||
A26.23.006 |
Микробиологическое (культуральное) исследование спинномозговой жидкости на аэробные и факультативно-анаэробные условно-патогенные микроорганизмы |
850,00 | ||||
A26.23.010 |
Молекулярно-биологическое исследование спинномозговой жидкости на вирус Эпштейна-Барра (virus Epstein - Barr) |
231,54 | ||||
A26.23.013 |
Микробиологическое (культуральное) исследование спинномозговой жидкости на дрожжевые грибы |
181,92 | ||||
A26.25.001 |
Микробиологическое (культуральное) исследование отделяемого из ушей на аэробные и факультативно-анаэробные микроорганизмы |
500,92 | ||||
A26.25.004 |
Микробиологическое (культуральное) исследование отделяемого из ушей на дрожжевые грибы |
181,92 | ||||
A26.26.001 |
Микроскопическое исследование отделяемого конъюнктивы на аэробные и факультативно-анаэробные микроорганизмы |
500,92 | ||||
A26.26.008 |
Микроскопическое исследование пунктата стекловидного тела на аэробные и факультативно-анаэробные условно-патогенные микроорганизмы |
500,92 | ||||
A26.28.002 |
Микроскопическое исследование мочи на кислото- и спиртоустойчивые бактерии |
14,38 | ||||
A26.28.003 |
Микробиологическое (культуральное) исследование мочи на аэробные и факультативно-анаэробные условно-патогенные микроорганизмы |
333,08 | ||||
A26.28.004 |
Микроскопическое исследование осадка мочи на дрожжевые грибы |
52,46 | ||||
A26.28.007 |
Микробиологическое (культуральное) исследование осадка мочи на дрожжевые грибы |
181,92 | ||||
A26.28.008 |
Микроскопическое исследование осадка мочи на трихомонады (Trichomonas vaginalis) |
130,31 | ||||
A26.30.002 |
Микробиологическое (культуральное) исследование перитонеальной жидкости на анаэробные неспорообразующие микроорганизмы |
783,31 | ||||
A26.30.004 |
Определение чувствительности микроорганизмов к антимикробным химиотерапевтическим препаратам |
80,54 | ||||
A26.30.005 |
Определение метаболитов анаэробных бактерий (летучих жирных кислот - ЛЖК) |
88,00 | ||||
A26.30.006 |
Определение чувствительности микроорганизмов к бактериофагам |
34,38 | ||||
A26.30.007 |
Определение метаболитов грибов |
140,46 | ||||
B01.001.001 |
Прием (осмотр, консультация) врача-акушера-гинеколога первичный |
226,15 | ||||
B01.001.002 |
Прием (осмотр, консультация) врача-акушера-гинеколога повторный |
186,15 | ||||
B01.002.001 |
Прием (осмотр, консультация) врача-аллерголога-иммунолога первичный |
137,92 | ||||
B01.002.002 |
Прием (осмотр, консультация) врача-аллерголога-иммунолога повторный |
137,92 | ||||
B01.003.001 |
Осмотр (консультация) врачом-анестезиологом-реаниматологом первичный |
115,38 | ||||
B01.003.003 |
Суточное наблюдение врачом-анестезиологом-реаниматологом |
1 218,46 | ||||
B01.003.004 |
Анестезиологическое пособие (включая раннее послеоперационное ведение) |
243,85 | ||||
B01.003.004.001 |
Местная анестезия |
62,31 | ||||
B01.003.004.005 |
Инфильтрационная анестезия |
104,92 | ||||
B01.003.004.009 |
Тотальная внутривенная анестезия |
710,77 | ||||
B01.004.001 |
Прием (осмотр, консультация) врача-гастроэнтеролога первичный |
186,92 | ||||
B01.004.002 |
Прием (осмотр, консультация) врача-гастроэнтеролога повторный |
150,62 | ||||
B01.005.001 |
Прием (осмотр, консультация) врача-гематолога первичный |
229,54 | ||||
B01.005.002 |
Прием (осмотр, консультация) врача-гематолога повторный |
160,77 | ||||
B01.008.001 |
Прием (осмотр, консультация) врача-дерматовенеролога первичный |
175,38 | ||||
B01.008.002 |
Прием (осмотр, консультация) врача-дерматовенеролога повторный |
161,54 | ||||
B01.009.001 |
Прием (осмотр, консультация) врача-детского онколога первичный |
118,23 | ||||
B01.010.001 |
Прием (осмотр, консультация) врача-детского хирурга первичный |
108,46 | ||||
B01.015.001 |
Прием (осмотр, консультация) врача-кардиолога первичный |
187,69 | ||||
B01.015.002 |
Прием (осмотр, консультация) врача-кардиолога повторный |
137,92 | ||||
B01.015.003 |
Прием (осмотр, консультация) врача-детского кардиолога первичный |
107,46 | ||||
B01.016.001 |
Прием (осмотр, консультация) врача-клинического миколога первичный |
169,23 | ||||
B01.016.002 |
Прием (осмотр, консультация) врача-клинического миколога повторный |
154,62 | ||||
B01.018.001 |
Прием (осмотр, консультация) врача-колопроктолога первичный |
147,23 | ||||
B01.018.002 |
Прием (осмотр, консультация) врача-колопроктолога повторный |
147,23 | ||||
B01.023.001 |
Прием (осмотр, консультация) врача-невролога первичный |
181,54 | ||||
B01.023.002 |
Прием (осмотр, консультация) врача-невролога повторный |
176,15 | ||||
B01.024.001 |
Прием (осмотр, консультация) врача-нейрохирурга первичный |
148,08 | ||||
B01.024.002 |
Прием (осмотр, консультация) врача-нейрохирурга повторный |
140,00 | ||||
B01.025.001 |
Прием (осмотр, консультация) врача-нефролога первичный |
193,08 | ||||
B01.025.002 |
Прием (осмотр, консультация) врача-нефролога повторный |
156,54 | ||||
B01.026.001 |
Прием (осмотр, консультация) врача общей практики (семейного врача) первичный |
130,85 | ||||
B01.026.002 |
Прием (осмотр, консультация) врача общей практики (семейного врача) повторный |
130,85 | ||||
B01.027.001 |
Прием (осмотр, консультация) врача-онколога первичный |
252,92 | ||||
B01.027.002 |
Прием (осмотр, консультация) врача-онколога повторный |
180,00 | ||||
B01.028.001 |
Прием (осмотр, консультация) врача-оториноларинголога первичный |
195,38 | ||||
B01.028.002 |
Прием (осмотр, консультация) врача-оториноларинголога повторный |
137,92 | ||||
B01.029.001 |
Прием (осмотр, консультация) врача-офтальмолога первичный |
186,15 | ||||
B01.029.002 |
Прием (осмотр, консультация) врача-офтальмолога повторный |
183,08 | ||||
B01.031.001 |
Прием (осмотр, консультация) врача-педиатра первичный |
230,00 | ||||
B01.031.002 |
Прием (осмотр, консультация) врача-педиатра повторный |
138,77 | ||||
B01.037.001 |
Прием (осмотр, консультация) врача-пульмонолога первичный |
157,92 | ||||
B01.037.002 |
Прием (осмотр, консультация) врача-пульмонолога повторный |
137,92 | ||||
B01.038.001 |
Осмотр (консультация) врачом-радиологом первичный |
59,23 | ||||
B01.040.001 |
Прием (осмотр, консультация) врача-ревматолога первичный |
191,54 | ||||
B01.040.002 |
Прием (осмотр, консультация) врача-ревматолога повторный |
132,85 | ||||
B01.043.001 |
Прием (осмотр, консультация) врача-сердечно-сосудистого хирурга первичный |
154,85 | ||||
B01.043.002 |
Прием (осмотр, консультация) врача-сердечно-сосудистого хирурга повторный |
154,85 | ||||
B01.046.001 |
Прием (осмотр, консультация) врача сурдолога-оториноларинголога первичный |
237,78 | ||||
B01.046.002 |
Прием (осмотр, консультация) врача сурдолога-оториноларинголога повторный |
237,78 | ||||
B01.046.003 |
Прием (осмотр, консультация) врача-сурдолога-протезиста первичный |
302,54 | ||||
B01.046.004 |
Прием (осмотр, консультация) врача-сурдолога-протезиста повторный |
302,54 | ||||
B01.047.001 |
Прием (осмотр, консультация) врача-терапевта первичный |
150,62 | ||||
B01.047.002 |
Прием (осмотр, консультация) врача-терапевта повторный |
149,23 | ||||
B01.047.003 |
Прием (осмотр, консультация) врача-терапевта подросткового первичный |
116,08 | ||||
B01.049.001 |
Прием (осмотр, консультация) врача-торакального хирурга первичный |
137,92 | ||||
B01.049.002 |
Прием (осмотр, консультация) врача-торакального хирурга повторный |
137,92 | ||||
B01.050.001 |
Прием (осмотр, консультация) врача-травматолога-ортопеда первичный |
250,77 | ||||
B01.050.002 |
Прием (осмотр, консультация) врача-травматолога-ортопеда повторный |
161,54 | ||||
B01.053.001 |
Прием (осмотр, консультация) врача-уролога первичный |
215,38 | ||||
B01.053.002 |
Прием (осмотр, консультация) врача-уролога повторный |
164,15 | ||||
B01.054.001 |
Осмотр (консультация) врача-физиотерапевта |
118,77 | ||||
B01.056.001 |
Осмотр (консультация) врача функциональной диагностики |
162,31 | ||||
B01.057.001 |
Прием (осмотр, консультация) врача-хирурга первичный |
149,77 | ||||
B01.057.002 |
Прием (осмотр, консультация) врача-хирурга повторный |
127,08 | ||||
B01.058.001 |
Прием (осмотр, консультация) врача-эндокринолога первичный |
193,08 | ||||
B01.058.002 |
Прием (осмотр, консультация) врача-эндокринолога повторный |
173,46 | ||||
B01.058.003 |
Прием (осмотр, консультация) врача-детского эндокринолога первичный |
110,69 | ||||
B01.059.001 |
Прием (осмотр, консультация) врача-эндоскописта первичный |
426,92 | ||||
B03.002.003 |
Исследование иммунологического статуса при смешанном иммунодефиците |
307,31 | ||||
B03.002.004 |
Комплекс исследований для выявления аллергена |
116,00 | ||||
B03.005.011 |
Комплекс исследований для верификации формы острого лейкоза |
3 899,92 | ||||
B03.008.002 |
Комплекс исследований для диагностики отрубевидного лишая |
182,31 | ||||
B03.008.003 |
Комплекс исследований для диагностики микроспории |
182,31 | ||||
B03.008.004 |
Комплекс исследований для диагностики трихофитии |
182,31 | ||||
B03.016.002 |
Общий (клинический) анализ крови |
157,69 | ||||
B03.016.003 |
Общий (клинический) анализ крови развернутый |
183,08 | ||||
B03.016.004 |
Анализ крови биохимический общетерапевтический |
233,85 | ||||
B03.016.005 |
Анализ крови по оценке нарушений липидного обмена биохимический |
359,23 | ||||
B03.016.006 |
Общий (клинический) анализ мочи |
122,54 | ||||
B03.016.010 |
Копрологическое исследование |
415,48 | ||||
B03.020.009 |
Врачебно-педагогическое наблюдение |
295,22 | ||||
B03.037.001 |
Функциональное тестирование легких |
21,46 | ||||
B03.052.001 |
Комплексное ультразвуковое исследование внутренних органов |
447,69 | ||||
B04.014.004 |
Вакцинация |
87,00 | ||||
B05.057.008 |
Услуги по медицинской реабилитации пациента, перенесшего операцию кохлеарной имплантации, включая замену речевого процессора |
149,69 | ||||
A03.08.001.001 |
Видеоларингоскопия |
855,32 | ||||
A03.08.003 |
Эзофагоскопия |
2 427,73 | ||||
A03.16.001.001 |
Эзофагогастродуоденоскопия с электрокоагуляцией кровоточащего сосуда |
707,63 | ||||
A03.17.001 |
Эзофагогастроинтестиноскопия |
906,13 | ||||
A03.30.006.002 |
Увеличительное эндоскопическое исследование слизистой органов желудочно-кишечного тракта |
551,11 | ||||
A03.30.003 |
Видеоэндоскопическая колпачковая резекция слизистой желудочно-кишечного тракта |
1 565,50 | ||||
A03.30.004 |
Видеоэндоскопическая петлевая резекция слизистой желудочно-кишечного тракта |
1 585,68 | ||||
A03.30.005 |
Видеоэндоскопическое лигирование основания малигнизированного полипа |
1 565,50 | ||||
A03.30.006.006 |
Узкоспектральное NBI-исследование органов желудочно-кишечного тракта |
461,41 | ||||
A04.06.001 |
Ультразвуковое исследование селезенки |
158,46 | ||||
A04.15.001 |
Ультразвуковое исследование поджелудочной железы |
158,46 | ||||
A04.16.003 |
Эндосонография двенадцатиперстной кишки |
3 623,70 | ||||
A04.16.004 |
Ультразвуковое исследование пищевода |
1 957,70 | ||||
A05.23.009.009 |
Протонная магнитно-резонансная спектроскопия |
5 194,74 | ||||
A06.03.003 |
Рентгенография основания черепа |
179,20 | ||||
A06.03.007 |
Рентгенография первого и второго шейного позвонка |
182,58 | ||||
A06.03.022 |
Рентгенография ключицы |
133,10 | ||||
A06.03.032 |
Рентгенография кисти |
136,20 | ||||
A06.04.003 |
Рентгенография локтевого сустава |
179,20 | ||||
A06.04.004 |
Рентгенография лучезапястного сустава |
179,20 |
||||
A06.04.005 |
Рентгенография коленного сустава |
182,30 |
||||
A06.04.010 |
Рентгенография плечевого сустава |
133,10 |
||||
A06.04.011 |
Рентгенография тазобедренного сустава |
182,30 |
||||
A06.16.001.002 |
Рентгеноскопия пищевода с контрастированием |
193,80 |
||||
A06.17.003 |
Рентгенография тонкой кишки с контрастированием |
450,80 |
||||
A06.18.002 |
Рентгеноконтроль прохождения контраста по толстой кишке |
219,20 |
||||
A06.20.004.002 |
Прицельная рентгенография молочной железы |
263,85 |
||||
A08.20.017 |
Цитологическое исследование микропрепарата шейки матки |
1 326,16 |
||||
A12.22.009 |
Определение уровня рецепторов стероидных гормонов |
2 880,77 |
||||
A08.28.007 |
Цитологическое исследование микропрепарата тканей мочевого пузыря |
202,31 |
||||
A08.30.004 |
Иммуноцитохимическое исследование биологического материала |
4 062,31 |
||||
A09.05.060 |
Исследование уровня общего трийодтиронина (T3) в крови |
180,00 |
||||
A09.05.126 |
Определение активности протеина S в крови |
686,90 |
||||
A09.05.133.001 |
Исследование уровня метанефринов в крови |
579,20 |
||||
A09.05.139 |
Исследование уровня 17-гидроксипрогестерона в крови |
212,30 |
||||
A09.05.157 |
Исследование уровня свободного эстриола в крови |
255,38 |
||||
A09.05.221 |
Исследование уровня 1,25-OH витамина Д в крови |
990,77 |
||||
A09.09.009 |
Исследование уровня белка в плевральной жидкости |
97,69 |
||||
A12.09.014 |
Микроскопическое исследование нативного и окрашенного препарата плевральной жидкости |
110,77 |
||||
A11.09.005 |
Бронхо-альвеолярный лаваж |
396,44 |
||||
A11.09.009 |
Эндобронхиальное введение лекарственных препаратов при бронхоскопии |
909,61 |
||||
A11.09.010 |
Получение материала из нижних дыхательных путей и легочной ткани |
477,77 |
||||
A11.11.002 |
Трансбронхиальная пункция |
265,13 |
||||
A11.14.004 |
Катетеризация Фатерова соска |
1 809,67 |
||||
A11.15.001 |
Биопсия поджелудочной железы |
4 589,23 |
||||
A11.15.001.001 |
Биопсия поджелудочной железы пункционная под контролем ультразвукового исследования |
4 589,23 |
||||
A11.15.002 |
Пункция поджелудочной железы |
4 589,23 |
||||
A11.17.002 |
Биопсия тонкой кишки эндоскопическая |
857,15 |
||||
A11.18.001 |
Биопсия ободочной кишки эндоскопическая |
857,15 |
||||
A11.19.001 |
Биопсия сигмовидной кишки с помощью видеоэндоскопических технологий |
1 382,56 |
||||
A11.19.002 |
Биопсия прямой кишки с помощью видеоэндоскопических технологий |
1 382,56 |
||||
A12.06.005 |
Исследование макрофагальной активности |
111,50 |
||||
A12.06.035 |
Определение содержания антител к антигенам митохондрий в крови |
412,31 |
||||
A12.09.003 |
Гипервентиляционная, ортостатическая пробы |
292,30 |
||||
A15.01.002 |
Наложение повязки при гнойных заболеваниях кожи и подкожной клетчатки |
159,20 |
||||
A16.09.005 |
Остановка кровотечения из нижних дыхательных путей |
441,71 |
||||
A16.09.012 |
Удаление инородного тела трахеи, бронха или легкого |
8 110,56 |
||||
A16.14.008.001 |
Эндоскопическая литоэкстракция из холедоха |
33 261,88 |
||||
A16.14.011 |
Разрез желчных протоков для устранения закупорки |
7 093,90 |
||||
A16.14.020.004 |
Эндоскопическое назобилиарное дренирование |
3 911,43 |
||||
A16.14.024.002 |
Ретроградное эндопротезирование желчных протоков |
2 019,70 |
||||
A16.14.024.003 |
Эндоскопическое эндопротезирование холедоха |
2 019,70 |
||||
A16.14.032.001 |
Эндоскопическая вирсунготомия |
3 420,64 |
||||
A16.14.041.001 |
Эндоскопическая папиллэктомия |
7 093,90 |
||||
A16.14.042.002 |
Эндоскопическая ретроградная папиллосфинктеротомия |
3 420,64 |
||||
A16.14.042.003 |
Эндоскопическая атипичная папиллосфинктеротомия |
3 420,64 |
||||
A16.14.043 |
Эндоскопическое бужирование и баллонная дилатация при опухолевом стенозе общего желчного протока под эндоскопическим контролем |
24 163,08 |
||||
A16.15.015.001 |
Дренирование кист поджелудочной железы под контролем ультразвукового исследования |
33 261,88 |
||||
A16.15.015.002 |
Транскатетерное лечение кист поджелудочной железы под контролем ультразвукового исследования |
32 137,69 |
||||
A16.15.021 |
Эндоскопическое стентирование главного панкреатического протока |
2 019,70 |
||||
A16.16.006.001 |
Бужирование пищевода эндоскопическое |
240,66 |
||||
A16.16.009 |
Перевязка кровеносных сосудов в пищеводе |
17 664,09 |
||||
A16.16.037 |
Эндоскопическая резекция слизистой пищевода |
1 585,68 |
||||
A16.16.037.001 |
Аргоноплазменная абляция подслизистых опухолей (очагов метаплазии) пищевода |
559,60 |
||||
A16.16.038 |
Эндоскопическая резекция слизистой желудка |
1 585,68 |
||||
A16.16.038.001 |
Эндоскопическое удаление подслизистых образований желудка |
1 585,68 |
||||
A16.16.041.001 |
Эндоскопическое удаление полипов из пищевода |
1 585,68 |
||||
A16.16.041.002 |
Эндоскопическое удаление подслизистых образований пищевода |
1 585,68 |
||||
A16.16.041.003 |
Эндоскопическое удаление инородных тел пищевода |
417,86 |
||||
A16.16.041.004 |
Эндоскопическое протезирование пищевода |
346,98 |
||||
A16.16.048 |
Эндоскопическое удаление инородных тел из желудка |
305,51 |
||||
A16.18.019.001 |
Удаление полипа толстой кишки эндоскопическое |
5 291,05 |
||||
A16.18.025 |
Эндоскопическое удаление ворсинчатых опухолей толстой кишки |
1 671,83 |
||||
A16.19.002 |
Прижигание слизистой прямой кишки |
559,60 |
||||
A16.19.018 |
Удаление инородного тела прямой кишки без разреза |
553,59 |
||||
A16.30.037 |
Эндоскопическое стентирование при опухолевом стенозе |
346,98 |
||||
A16.30.045 |
Эндоскопическое бужирование стриктур анастомозов |
240,66 |
||||
A16.30.046 |
Эндоскопическая дилятация стриктур анастомозов |
240,66 |
||||
A22.28.005 |
Абляция при новообразованиях мочевыделительного тракта |
423,08 |
||||
A22.30.016 |
Эндоскопическая аргоноплазменная коагуляция опухоли |
559,60 |
||||
A22.30.018 |
Эндоскопическое электрохирургическое удаление опухоли |
2 140,67 |
||||
A26.26.012 |
Молекулярно-биологическое исследование отделяемого конъюнктивы на вирус простого герпеса 1 и 2 типов (Herpes simplex virus types 1, 2) |
906,90 |
||||
B01.059.002 |
Прием (осмотр, консультация) врача-эндоскописта повторный |
341,35 |
||||
A07.03.001 |
Сцинтиграфия полипозиционная костей |
3459,23 |
||||
A07.09.003 |
Сцинтиграфия легких перфузионная |
2026,15 |
||||
A07.10.001 |
Сцинтиграфия миокарда |
6535,38 |
||||
A07.14.002 |
Сцинтиграфия печени и селезенки |
1206,92 |
||||
A07.14.002.001 |
Гепатобилисцинтиграфия |
2875,38 |
||||
A07.20.004 |
Сцинтиграфия молочной железы |
3109,23 |
||||
A07.22.002 |
Сцинтиграфия щитовидной железы |
1450,77 |
||||
A07.22.005 |
Сцинтиграфия паращитовидных желез |
2224,62 |
||||
A07.28.004 |
Ангионефросцинтиграфия |
1890,77 |
||||
A07.30.029 |
Сцинтиграфия в режиме "все тело" для выявления воспалительных очагов |
3242,31 |
||||
A25.23.001 |
Назначение лекарственных препаратов при заболеваниях центральной нервной системы и головного мозга |
365,35 |
||||
A05.30.001 |
Кардиотокография плода |
379,92 |
||||
B01.052.001 |
Осмотр (консультация) врача ультразвуковой диагностики |
503,85 |
||||
B03.005.003 |
Исследование сосудисто-тромбоцитарного первичного гемостаза |
735,40 |
||||
B01.047.007 |
Прием (осмотр, консультация) врача приемного отделения первичный |
632,00 |
||||
A25.04.001 |
Назначение лекарственных препаратов при заболеваниях суставов |
1 939,98 |
||||
A08.05.012 |
Цитохимическое исследование микропрепарата костного мозга |
4 300,15 |
||||
A27.05.018 |
Молекулярно-генетическое исследование мутации G1691A в гене фактора V (мутация Лейдена в V факторе свертывания) |
875,77 |
||||
A27.05.004 |
Определение полиморфизма 455 G/A (замена гуанина на аденин в позиции 455) в гене бета-субъединицы фактора I |
1 168,54 |
||||
A27.05.006 |
Определение полиморфизма 675 4G/5G (инсерция гуанина в позиции 675) в гене ингибитора активатора плазминогена I типа (PAI-1) |
874,92 |
||||
A27.05.017 |
Молекулярно-генетическое исследование точечных мутаций гена bcr-abl (химерный ген, образованный слиянием области кластера разрывов на 22 хромосоме и гена тирозин-киназы Абельсона на 9 хромосоме) |
834,62 |
||||
A09.05.089 |
Исследование уровня альфа-фетопротеина в сыворотке крови |
198,61 |
||||
A09.05.090 |
Исследование уровня хорионического гонадотропина в крови |
172,75 |
||||
B04.032.002 |
Профилактический прием (осмотр, консультация) врача-неонатолога |
138,00 |
||||
B04.047.006 |
Профилактический прием (осмотр, консультация) врача-терапевта подросткового |
118,25 |
||||
B01.038.002 |
Осмотр (консультация) врачом-радиологом повторный |
59,23 |
||||
B01.014.001 |
Прием (осмотр, консультация) врача-инфекциониста первичный |
138,08 |
||||
B01.014.002 |
Прием (осмотр, консультация) врача-инфекциониста повторный |
138,08 |
||||
B01.026.001.6 |
Прием фельдшера (акушерки) |
71,31 |
||||
B01.032.001 |
Прием (осмотр, консультация) врача-неонатолога первичный |
161,77 |
||||
B01.032.002 |
Прием (осмотр, консультация) врача-неонатолога повторный |
161,77 |
||||
B01.047.004 |
Прием (осмотр, консультация) врача-терапевта подросткового повторный |
116,08 |
||||
B03.047.002 |
Комплекс исследований в центре здоровья для оценки наиболее вероятных факторов риска, функциональных и адаптивных резервов организма с учетом возрастных особенностей |
487,38 |
||||
A25.30.019 |
Назначение комплекса упражнений (лечебной физкультуры) |
133,69 |
||||
B02.031.001 |
Патронаж педиатрической сестры на дому |
196,23 |
||||
A07.30.032 |
Однофотонная эмиссионная компьютерная томография мягких тканей |
563,88 |
||||
A07.30.036 |
Радиометрия биологических сред организма |
608,46 |
||||
B01.007.001 |
Прием (осмотр, консультация) врача-гериатра первичный |
230,20 |
||||
B01.007.002 |
Прием (осмотр, консультация) врача-гериатра повторный |
154,60 |
||||
A12.05.010 |
Определение HLA-антигенов |
465,79 |
||||
A26.23.029.001 |
"Определение РНК не полиомиелитных энтеровирусов в образцах спинномозговой жидкости методом ПЦР |
634,12 |
||||
B01.015.004 |
Прием (осмотр, консультация) врача-детского кардиолога повторный |
86,50 |
||||
B01.009.002 |
Прием (осмотр, консультация) врача-детского онколога повторный |
180,00 |
||||
B01.010.002 |
Прием (осмотр, консультация) врача-детского хирурга повторный |
87,31 |
||||
B01.058.004 |
Прием (осмотр, консультация) врача-детского эндокринолога повторный |
173,46 |
||||
B04.014.002 |
Диспансерный прием (осмотр, консультация) врача-инфекциониста |
433,62 |
||||
B04.027.001 |
Диспансерный прием (осмотр, консультация) врача-онколога |
452,89 |
||||
B04.053.001 |
Диспансерный прием (осмотр, консультация) врача-уролога |
366,91 |
||||
B04.057.001 |
Диспансерный прием (осмотр, консультация) врача-хирурга |
452,89 |
||||
B04.001.001 |
Диспансерный прием (осмотр, консультация) врача-акушера-гинеколога |
589,57 |
||||
B04.002.001 |
Диспансерный прием (осмотр, консультация) врача-аллерголога-иммунолога |
806,08 |
||||
B04.004.001 |
Диспансерный прием (осмотр, консультация) врача-гастроэнтеролога |
433,62 |
||||
B04.005.001 |
Диспансерный прием (осмотр, консультация) врача-гематолога |
433,62 |
||||
B04.008.001 |
Диспансерный прием (осмотр, консультация) врача-дерматовенеролога |
373,69 |
||||
B04.009.001 |
Диспансерный прием (осмотр, консультация) врача-детского онколога |
452,89 |
||||
B04.010.001 |
Диспансерный прием (осмотр, консультация) врача-детского хирурга |
452,89 |
||||
B04.015.003 |
Диспансерный прием (осмотр, консультация) врача-кардиолога |
484,88 |
||||
B04.015.005 |
Диспансерный прием (осмотр, консультация) врача-детского кардиолога |
484,88 |
||||
B04.018.001 |
Диспансерный прием (осмотр, консультация) врача-колопроктолога |
357,54 |
||||
B04.020.001 |
Диспансерный прием (осмотр, консультация) врача по лечебной физкультуре |
342,08 |
||||
B04.023.001 |
Диспансерный прием (осмотр, консультация) врача-невролога |
508,39 |
||||
B04.025.002 |
Диспансерный прием (осмотр, консультация) врача-нефролога |
433,62 |
||||
B04.026.001 |
Диспансерный прием (осмотр, консультация) врача общей практики (семейного врача) |
433,62 |
||||
B04.028.001 |
Диспансерный прием (осмотр, консультация) врача-оториноларинголога |
623,61 |
||||
B04.029.001 |
Диспансерный прием (осмотр, консультация) врача-офтальмолога |
875,71 |
||||
B04.031.001 |
Диспансерный прием (осмотр, консультация) врача-педиатра |
645,27 |
||||
B04.031.003 |
Диспансерный прием (осмотр, консультация) врача-педиатра участкового |
645,27 |
||||
B04.037.001 |
Диспансерный прием (осмотр, консультация) врача-пульмонолога |
433,62 |
||||
B04.046.001 |
Диспансерный прием (осмотр, консультация) врача сурдолога-оториноларинголога |
342,08 |
||||
B04.047.003 |
Диспансерный прием (осмотр, консультация) врача-терапевта участкового |
457,92 |
||||
B04.047.005 |
Диспансерный прием (осмотр, консультация) врача-терапевта подросткового |
457,92 |
||||
B04.048.001 |
Диспансерный прием (осмотр, консультация) врача-токсиколога |
433,62 |
||||
B04.049.001 |
Диспансерный прием (осмотр, консультация) врача-торакального хирурга |
342,08 |
||||
B04.050.001 |
Диспансерный прием (осмотр, консультация) врача-травматолога-ортопеда |
452,89 |
||||
B04.053.003 |
Диспансерный прием (осмотр, консультация) врача-детского уролога-андролога |
589,57 |
||||
B04.058.002 |
Диспансерный прием (осмотр, консультация) врача-детского эндокринолога |
878,80 |
||||
B04.007.001 |
Диспансерный прием (осмотр, консультация) врача-гериатра |
645,27 |
||||
B04.032.001 |
Диспансерный прием (осмотр, консультация) врача-неонатолога |
665,92 |
||||
B04.047.001 |
Диспансерный прием (осмотр, консультация) врача-терапевта |
433,62 |
||||
B04.006.001 |
Диспансерный прием (осмотр, консультация) врача-генетика |
433,62 |
||||
A03.30.010 |
Описание и интерпретация данных эндоскопических исследований с применением телемедицинских технологий |
146,38 |
||||
A05.10.004.001 |
Расшифровка, описание и интерпретация данных электрокардиографических исследований с применением телемедицинских технологий |
146,38 |
||||
A05.10.007.002 |
Дистанционное наблюдение за электрокардиографическими данными |
146,38 |
||||
A06.30.002.004 |
Описание и интерпретация данных рентгеноскопических исследований с применением телемедицинских технологий |
146,38 |
||||
A06.30.002.005 |
Описание и интерпретация компьютерных томограмм с применением телемедицинских технологий |
146,38 |
||||
A06.30.002.006 |
Описание и интерпретация магнитно-резонансных томограмм с применением телемедицинских технологий |
146,38 |
||||
B01.027.001.1 |
Консультация врача-онколога с применением телемедицинских технологий |
252,92 |
||||
A06.30.002 |
Описание и интерпретация рентгенографических изображений |
146,38 |
||||
A06.30.002.001 |
Описание и интерпретация компьютерных томограмм |
146,38 |
||||
A06.30.002.003 |
Описание и интерпретация данных рентгенографических исследований с применением телемедицинских технологий |
146,38 |
||||
A27.30.016 |
Молекулярно-генетическое исследование мутаций в гене EGFR в биопсийном (операционном) материале |
1 768,83 |
||||
A27.30.006 |
Молекулярно-генетическое исследование мутаций в гене KRAS в биопсийном (операционном) материале |
493,15 |
||||
A27.30.007 |
Молекулярно-генетическое исследование мутаций в гене NRAS в биопсийном (операционном) материале |
493,15 |
||||
A27.30.008 |
Молекулярно-генетическое исследование мутаций в гене BRAF в биопсийном (операционном) материале |
2 376,46 |
||||
A27.05.040 |
Молекулярно-генетическое исследование мутаций в генах BRCA1 и BRCA2 в крови |
162,40 |
||||
B03.019.001 |
Молекулярно-цитогенетическое исследование (FISH-метод) на одну пару хромосом |
7 916,59 |
||||
A12.05.013 |
Цитогенетическое исследование (кариотип) |
4 071,81 |
||||
A08.30.029 |
Исследование хромосом методом дифференциальной окраски |
5 081,56 |
||||
A08.30.029.001 |
Исследование клеток костного мозга методом дифференциальной окраски хромосом для выявления клональных опухолевых клеток |
5 081,56 |
||||
A08.30.029.002 |
Исследование клеток крови для определения кариотипа методом дифференциальной окраски хромосом при различных генетических |
5 081,56 |
||||
A06.10.006 |
Коронарография |
13 301,85 |
||||
A26.06.022.001 |
Определение антител класса G (IgG) к цитомегаловирусу (Cytomegalovirus) в крови |
159,82 |
||||
A26.06.022.002 |
Определение антител класса M (IgM) к цитомегаловирусу (Cytomegalovirus) в крови |
159,82 |
||||
A26.06.022.003 |
Определение индекса авидности антител класса G (IgG avidity) к цитомегаловирусу (Cytomegalovirus) в крови |
159,82 |
||||
A26.06.029.001 |
Определение антител класса M (IgM) к капсидному антигену (VCA) вируса Эпштейна-Барра (Epstein - Barr virus) в крови |
119,62 |
||||
A26.06.029.002 |
Определение антител класса G (IgG) к капсидному антигену (VCA) вируса Эпштейна-Барра (Epstein - Barr virus) в крови |
119,62 |
||||
A26.06.034.001 |
Определение антител класса M (anti-HAV IgM) к вирусу гепатита A (Hepatitis A virus) в крови |
56,96 |
||||
A26.06.034.002 |
Обнаружение антител класса G (anti-HAV IgG) к вирусу гепатита A (Hepatitis A virus) в крови |
56,96 |
||||
A26.06.036.001 |
Определение антигена (HBsAg) вируса гепатита B (Hepatitis B virus) в крови, качественное исследование |
130,39 |
||||
A26.06.036.002 |
Определение антигена (HBsAg) вируса гепатита B (Hepatitis B virus) в крови, количественное исследование |
130,39 |
||||
A26.06.039.001 |
Определение антител класса M к ядерному антигену (anti-HBc IgM) вируса гепатита B (Hepatitis B virus) в крови |
216,93 |
||||
A26.06.039.002 |
Определение антител класса G к ядерному антигену (anti-HBc IgG) вируса гепатита B (Hepatitis B virus) в крови |
216,93 |
||||
A26.06.040.001 |
Определение антител к поверхностному антигену (anti-HBs) вируса гепатита B (Hepatitis B virus) в крови, качественное исследование |
66,04 |
||||
A26.06.040.002 |
Определение антител к поверхностному антигену (anti-HBs) вируса гепатита B (Hepatitis B virus) в крови, количественное исследование |
66,04 |
||||
A26.06.041.001 |
Определение антител класса G (anti-HCV IgG) к вирусу гепатита C (Hepatitis C virus) в крови |
76,62 |
||||
A26.06.041.002 |
Определение суммарных антител классов M и G (anti-HCV IgG и anti-HCV IgM) к вирусу гепатита C (Hepatitis C virus) в крови |
76,62 |
||||
A26.06.043.001 |
Определение антител класса M (anti-HDV IgM) к вирусу гепатита D (Hepatitis D virus) в крови |
181,30 |
||||
A26.06.043.002 |
Определение антител класса G (anti-HDV IgG) к вирусу гепатита D (Hepatitis D virus) в крови |
181,30 |
||||
A26.06.045.001 |
Определение антител класса G (IgG) к вирусу простого герпеса 1 типа (Herpes simplex virus 1) в крови |
35,82 |
||||
A26.06.045.002 |
Определение антител класса G (IgG) к вирусу простого герпеса 2 типа (Herpes simplex virus 2) в крови |
35,82 |
||||
A26.06.045.003 |
Определение антител класса M (IgM) к вирусу простого герпеса 1 и 2 типов (Herpes simplex virus types 1, 2) в крови |
35,82 |
||||
A26.06.046.001 |
Определение авидности антител класса G к вирусу простого герпеса 2 типа (Herpes simplex virus 2) |
55,00 |
||||
A26.06.046.002 |
определение авидности антител класса G к вирусу простого герпеса 1 и 2 типов (Herpes simplex virus types 1, 2) |
55,00 |
||||
A26.06.056.001 |
Определение антител класса G (IgG) к вирусу кори в крови |
79,00 |
||||
A26.06.056.002 |
Определение антител класса M (IgM) к вирусу кори в крови |
79,00 |
||||
A26.06.071.001 |
Определение антител класса G (IgG) к вирусу краснухи (Rubella virus) в крови |
123,18 |
||||
A26.06.071.002 |
Определение антител класса M (IgM) к вирусу краснухи (Rubella virus) в крови |
123,18 |
||||
A26.06.071.003 |
Определение индекса авидности антител класса G (IgG avidity) к вирусу краснухи (Rubella virus) в крови |
123,18 |
||||
A03.01.001 |
Осмотр кожи под увеличением (дерматоскопия) |
46,54 |
||||
A03.26.019 |
Оптическое исследование сетчатки с помощью компьютерного анализатора |
373,5 |
||||
A03.26.019.001 |
Оптическое исследование переднего отдела глаза с помощью компьютерного анализатора |
373,5 |
||||
A03.26.019.002 |
Оптическое исследование заднего отдела глаза с помощью компьютерного анализатора |
373,5 |
||||
A03.26.019.003 |
Оптическое исследование головки зрительного нерва и слоя нервных волокон с помощью компьютерного анализатора |
373,5 |
||||
A08.30.046.001 |
Патологоанатомическое исследование биопсийного (операционного) материала первой категории сложности |
393,38 |
||||
A08.30.046.002 |
Патологоанатомическое исследование биопсийного (операционного) материала второй категории сложности |
432,72 |
||||
A08.30.046.003 |
Патологоанатомическое исследование биопсийного (операционного) материала третьей категории сложности |
475,99 |
||||
A08.30.046.004 |
Патологоанатомическое исследование биопсийного (операционного) материала четвертой категории сложности |
523,59 |
||||
A08.30.046.005 |
Патологоанатомическое исследование биопсийного (операционного) материала пятой категории сложности |
575,95 |
||||
A08.20.012.001 |
Жидкостное цитологическое исследование микропрепарата влагалища |
578,60 |
||||
A26.08.027.001 |
Определение РНК коронавируса ТОРС (SARS-cov) в мазках со слизистой оболочки носоглотки методом ПЦР |
507,73 |
||||
A26.08.046.001 |
Определение РНК коронавируса ТОРС (SARS-cov) в мазках со слизистой оболочки ротоглотки методом ПЦР |
507,73 |
||||
A26.09.044.001 |
Определение РНК коронавируса ТОРС (SARS-cov) в мокроте (индуцированной мокроте, фаринго-трахеальных аспиратах) методом ПЦР |
507,73 |
||||
A26.09.060.001 |
Определение РНК коронавируса ТОРС (SARS-cov) в бронхоальвеолярной лаважной жидкости методом ПЦР |
507,73 |
||||
* тариф применять с учетом
коэффициентов дифференциации по
муниципальным образованиям Иркутской
области, указанных в приложении N 6;
** в лабораториях Иркутской области,
допущенных Роспотребнадзором к
проведению таких исследований.
Приложение N 4
к Дополнительному соглашению
от 28 февраля 2022 г. N 3
Приложение N 13
к Тарифному соглашению
от 30 декабря 2021 г.
ДИФФЕРЕНЦИРОВАННЫЕ ПОДУШЕВЫЕ НОРМАТИВЫ
ФИНАНСИРОВАНИЯ МЕДИЦИНСКОЙ ПОМОЩИ В
АМБУЛАТОРНЫХ УСЛОВИЯХ
N п/п |
|
Наименование медицинской организации |
ДПН |
1 |
380140 |
Федеральное государственное бюджетное учреждение здравоохранения "Центральная медико-санитарная часть N 28 Федерального медико-биологического агентства" |
221,24 |
2 |
380141 |
Частное учреждение "Медико-санитарная часть N 36" |
145,22 |
3 |
380152 |
частное учреждение здравоохранения "Поликлиника "РЖД-Медицина" города Вихоревка" |
187,77 |
4 |
380039 |
Федеральное государственное бюджетное учреждение здравоохранения "Клиническая Больница Иркутского научного центра Сибирского отделения Российской академии наук" |
350,29 |
5 |
380056 |
областное государственное автономное учреждение здравоохранения "Иркутская городская детская поликлиника N 1" |
321,56 |
6 |
380046 |
областное государственное автономное учреждение здравоохранения "Иркутская городская детская поликлиника N 2" |
337,14 |
7 |
380051 |
областное государственное бюджетное учреждение здравоохранения "Иркутская детская городская поликлиника N 3" |
373,13 |
8 |
380020 |
областное государственное бюджетное учреждение здравоохранения "Иркутская городская поликлиника N 4" |
353,68 |
9 |
380054 |
областное государственное бюджетное учреждение здравоохранения "Иркутская городская детская поликлиника N 6" |
338,44 |
10 |
380022 |
областное государственное бюджетное учреждение здравоохранения "Иркутская городская поликлиника N 11" |
281,39 |
11 |
380049 |
областное государственное бюджетное учреждение здравоохранения "Иркутская городская поликлиника N 15" |
350,16 |
12 |
380025 |
областное государственное бюджетное учреждение здравоохранения "Иркутская городская поликлиника N 17" |
367,22 |
13 |
380019 |
областное государственное автономное учреждение здравоохранения "Иркутская медико-санитарная часть N 2" |
329,84 |
14 |
380015 |
частное учреждение здравоохранения "Клиническая больница "РЖД-Медицина" города Иркутск" |
159,06 |
15 |
380202 |
федеральное казенное учреждение здравоохранения "Медико-санитарная часть Министерства внутренних дел Российской Федерации по Иркутской области" |
70,60 |
16 |
380024 |
Акционерное общество "Международный Аэропорт Иркутск" |
315,53 |
17 |
380170 |
частное учреждение здравоохранения "Поликлиника "РЖД-Медицина" города Нижнеудинск" |
178,46 |
18 |
380167 |
частное учреждение здравоохранения "Поликлиника "РЖД-Медицина" города Зима" |
180,01 |
19 |
380189 |
частное учреждение здравоохранения "Поликлиника "РЖД-Медицина" города Тайшет" |
133,00 |
20 |
380180 |
областное государственное автономное учреждение здравоохранения "Усть-Илимская городская поликлиника N 1" |
582,82 |
21 |
380181 |
областное государственное бюджетное учреждение здравоохранения "Усть-Илимская городская поликлиника N 2" |
434,18 |
22 |
380378 |
областное государственное бюджетное учреждение здравоохранения "Усть-Илимская городская детская поликлиника" |
698,83 |
23 |
380169 |
частное учреждение здравоохранения "Поликлиника "РЖД-Медицина" города Усть-Кут" |
184,09 |
24 |
380168 |
частное учреждение здравоохранения "Поликлиника "РЖД-Медицина" города Железногорск-Илимский" |
176,65 |
25 |
380004 |
областное государственное бюджетное учреждение здравоохранения "Иркутская городская больница N 5" |
386,62 |
Приложение N 5
к Дополнительному соглашению
от 28 февраля 2022 г. N 3
Приложение N 10
к Тарифному соглашению
от 30 декабря 2021 г.
ТАРИФЫ НА ОПЛАТУ МЕДИЦИНСКОЙ ПОМОЩИ В
РАМКАХ МЕРОПРИЯТИЙ ПО ДИСПАНСЕРИЗАЦИИ
ОПРЕДЕЛЕННЫХ ГРУПП ВЗРОСЛОГО НАСЕЛЕНИЯ
1. Тарифы на 1-й этап диспансеризации
определенных групп взрослого населения,
тарифы по диспансеризации взрослого
населения, проводимой мобильными
медицинскими бригадами*
* тариф применять с учетом
коэффициентов дифференциации по
муниципальным образованиям Иркутской
области, указанных в приложении N 6.
ПОЛ |
Возраст |
Тариф, руб. |
Тариф на мобильные бригады, руб. |
Тариф в выходные дни, руб. |
|
Базовый норматив финансовых затрат |
2 298,30 |
2 413,30 |
2 528,20 |
мужчины |
18, 24, 30 |
1 212,60 |
1 273,10 |
1 333,90 |
мужчины |
21, 27, 33 |
1 134,80 |
1 191,60 |
1 248,30 |
мужчины |
39 |
1 349,80 |
1 417,30 |
1 484,80 |
мужчины |
36 |
1 427,70 |
1 499,00 |
1 570,50 |
мужчины |
40 |
1 695,50 |
1 780,20 |
1 865,10 |
мужчины |
41, 43, 47, 49, 53, 59, 61 |
1 565,60 |
1 643,90 |
1 722,20 |
мужчины |
42, 48, 54 |
1 825,10 |
1 916,30 |
2 007,60 |
мужчины |
44, 46, 52, 56, 58, 62 |
1 434,70 |
1 506,70 |
1 578,20 |
мужчины |
45 |
2 390,80 |
2 510,40 |
2 629,90 |
мужчины |
50, 64 |
2 353,30 |
2 470,90 |
2 588,60 |
мужчины |
51, 57, 63 |
1 565,50 |
1 643,60 |
1 722,10 |
мужчины |
55 |
1 963,10 |
2 061,00 |
2 159,40 |
мужчины |
60 |
2 614,20 |
2 744,70 |
2 875,60 |
мужчины |
65, 71 |
1 521,50 |
1 597,70 |
1 673,70 |
мужчины |
66, 70, 72 |
1 338,90 |
1 406,00 |
1 472,80 |
мужчины |
67, 69, 73, 75 |
1 261,10 |
1 324,10 |
1 387,20 |
мужчины |
68, 74 |
1 729,10 |
1 815,70 |
1 902,00 |
мужчины |
76, 78, 82, 84, 88, 90, 94, 96 |
1 547,50 |
1 624,90 |
1 702,30 |
мужчины |
77, 83, 89, 95 |
1 599,50 |
1 679,60 |
1 759,50 |
мужчины |
79, 81, 85, 87, 91, 93, 97, 99 |
1 339,90 |
1 406,90 |
1 473,90 |
мужчины |
80, 86, 92, 98 |
1 677,30 |
1 761,40 |
1 845,00 |
женщины |
18, 24, 30 |
2 272,00 |
2 356,50 |
2 441,30 |
женщины |
21, 27, 33 |
2 194,10 |
2 274,70 |
2 355,70 |
женщины |
36 |
2 487,00 |
2 582,30 |
2 677,80 |
женщины |
39 |
2 409,10 |
2 500,70 |
2 592,20 |
женщины |
40, 44, 46, 50, 52, 56, 58, 62, 64 |
3 209,80 |
3 341,20 |
3 472,90 |
женщины |
41, 43, 47, 49, 53, 55, 59, 61 |
2 535,40 |
2 633,10 |
2 731,10 |
женщины |
42, 48, 54, 60 |
3 559,80 |
3 708,70 |
3 857,90 |
женщины |
45 |
3 313,00 |
3 449,80 |
3 586,40 |
женщины |
51, 57, 63 |
2 885,50 |
3 000,90 |
3 116,20 |
женщины |
65, 71 |
2 230,00 |
2 312,50 |
2 395,10 |
женщины |
66, 70, 72 |
2 178,10 |
2 258,20 |
2 338,10 |
женщины |
67, 69, 73, 75 |
2 100,10 |
2 176,30 |
2 252,30 |
женщины |
68, 74 |
2 178,10 |
2 258,20 |
2 338,10 |
женщины |
76, 78, 82, 84, 88, 90, 94, 96 |
2 204,00 |
2 285,40 |
2 366,50 |
женщины |
77, 83, 89, 95 |
2 169,80 |
2 249,20 |
2 328,90 |
женщины |
79, 81, 85, 87, 91, 93, 97, 99 |
2 048,30 |
2 121,80 |
2 195,30 |
женщины |
80, 86, 92, 98 |
2 126,10 |
2 203,50 |
2 280,90 |
2. Тарифы на 2-й этап диспансеризации
определенных групп взрослого населения*
* тариф применять с учетом
коэффициентов дифференциации по
муниципальным образованиям Иркутской
области, указанных в приложении N 6.
Код услуги |
Наименование услуги |
Тариф |
B01.047.002 |
Прием (осмотр, консультация) врача-терапевта повторный |
149,23 |
B01.026.002 |
Прием (осмотр, консультация) врача общей практики (семейного врача) повторный |
130,85 |
B01.001.001 |
Прием (осмотр, консультация) врача-акушера-гинеколога первичный |
226,15 |
B01.023.001 |
Прием (осмотр, консультация) врача-невролога первичный |
181,54 |
B01.029.001 |
Прием (осмотр, консультация) врача-офтальмолога первичный |
186,15 |
B01.028.001 |
Прием (осмотр, консультация) врача-оториноларинголога первичный |
195,38 |
A04.12.005.003 |
Дуплексное сканирование брахиоцефальных артерий с цветным допплеровским картированием кровотока |
989,03 |
B01.053.001 |
Прием (осмотр, консультация) врача-уролога первичный |
215,38 |
B01.018.001 |
Прием (осмотр, консультация) врача-колопроктолога первичный |
147,23 |
A03.19.002 |
Ректороманоскопия |
1 088,10 |
B01.057.001 |
Прием (осмотр, консультация) врача-хирурга первичный |
149,77 |
A12.09.001 |
Исследование неспровоцированных дыхательных объемов и потоков |
156,54 |
A03.18.001 |
Колоноскопия |
2 503,72 |
B04.070.003 |
Индивидуальное углубленное профилактическое консультирование по коррекции факторов риска неинфекционных заболеваний первичное |
150,62 |
B04.070.005 |
Групповое профилактическое консультирование по коррекции факторов риска неинфекционных заболеваний |
150,62 |
B01.026.001.6 |
Прием фельдшера (акушерки) |
71,31 |
A03.16.001 |
Эзофагогастродуоденоскопия |
867,50 |
A06.09.008 |
Томография легких |
553,75 |
A06.09.008.001 |
Спиральная компьютерная томография легких |
568,60 |
B01.008.001 |
Прием (осмотр, консультация) врача-дерматовенеролога первичный |
175,38 |
A09.05.083 |
Исследование уровня гликированного гемоглобина в крови |
366,38 |
A03.01.001 |
Осмотр кожи под увеличением (дерматоскопия) |
46,54 |
3. Тарифы исследований и медицинских
вмешательств, включенных в углубленную
диспансеризацию
Способ оплаты |
Исследования и медицинские вмешательства в рамках углубленной диспансеризации |
Тариф <*>, руб. |
I этап углубленной диспансеризации | ||
комплексное посещение |
Итого, в том числе: |
771,40 |
|
измерение насыщения крови кислородом (сатурация) в покое |
25,50 |
|
проведение спирометрии или спирографии |
131,70 |
|
общий (клинический) анализ крови развернутый |
94,60 |
|
биохимический анализ крови (включая исследование уровня холестерина, уровня липопротеинов низкой плотности, C-реактивного белка, определение активности аспартатаминотрансферазы в крови, определение активности аспартатаминотрансферазы в крови, определение активности лактатдегидрогеназы в крови, исследование уровня креатинина в крови) |
519,60 |
за единицу объема оказания медицинской помощи |
проведение теста с 6-минутной ходьбой |
63,70 |
за единицу объема оказания медицинской помощи |
определение концентрации Д-димера в крови |
445,20 |
II этап углубленной диспансеризации | ||
за единицу объема оказания медицинской помощи |
проведение эхокардиографии |
1 452,80 |
за единицу объема оказания медицинской помощи |
проведение компьютерной томографии легких |
1 131,60 |
за единицу объема оказания медицинской помощи |
проведение дуплексного сканирования вен нижних конечностей размере |
1 210,60 |
* тариф применять с учетом
коэффициентов дифференциации по
муниципальным образованиям Иркутской
области, указанных в приложении N 6.
Приложение N 6
к Дополнительному соглашению
от 28 февраля 2022 г. N 3
Приложение N 19
к Тарифному соглашению
от 30 декабря 2021 г.
КОЭФФИЦИЕНТЫ ПОДУРОВНЯ ДЛЯ ОПЛАТЫ
МЕДИЦИНСКОЙ ПОМОЩИ В СТАЦИОНАРНЫХ
УСЛОВИЯХ
|
Коэффициент подуровня |
Уровень 1 |
|
подуровень 1 |
0,80 |
подуровень 2 |
0,90 |
подуровень 3 |
1,00 |
Уровень 2 |
|
подуровень 1 |
0,90 |
подуровень 2 |
1,00 |
подуровень 3 |
1,10 |
подуровень 4 |
1,20 |
Уровень 3 |
|
подуровень 1 |
1,10 |
подуровень 2 |
1,30 |
подуровень 3 |
1,40 |
Приложение N 7
к Дополнительному соглашению
от 28 февраля 2022 г. N 3
Приложение N 26
к Тарифному соглашению
от 30 декабря 2021 г.
ТАРИФЫ НА ПРОВЕДЕНИЕ ОТДЕЛЬНЫХ
ДИАГНОСТИЧЕСКИХ (ЛАБОРАТОРНЫХ)
ИССЛЕДОВАНИЙ
Код услуги |
Наименование услуги |
Тариф <*>, руб. |
Эндоскопическое диагностическое исследование, базовый норматив финансовых затрат - 1039,40 рубля | ||
A03.08.001.001 |
Видеоларингоскопия |
855,32 |
A03.08.003 |
Эзофагоскопия |
2427,73 |
A03.08.005 |
Фиброларингоскопия |
400,95 |
A03.09.001 |
Бронхоскопия |
961,74 |
A03.16.001 |
Эзофагогастродуоденоскопия |
867,50 |
A03.16.001.001 |
Эзофагогастродуоденоскопия с электрокоагуляцией кровоточащего сосуда |
707,63 |
A03.16.001.002 |
Эзофагогастродуоденоскопия со стимуляцией желчеотделения |
1038,35 |
A03.17.001 |
Эзофагогастроинтестиноскопия |
906,13 |
A03.18.001 |
Колоноскопия |
2503,72 |
A03.18.001.001 |
Видеоколоноскопия |
596,19 |
A03.18.002 |
Эндоскопическая резекция слизистой толстой кишки |
2599,90 |
A03.19.002 |
Ректороманоскопия |
1088,10 |
A03.20.003 |
Гистероскопия |
319,84 |
A03.28.001 |
Цистоскопия |
369,36 |
A03.28.002 |
Уретроскопия |
1177,19 |
A03.30.006.002 |
Увеличительное эндоскопическое исследование слизистой органов желудочно-кишечного тракта |
551,11 |
A03.30.007 |
Хромоскопия, контрастное исследование органов желудочно-кишечного тракта |
509,88 |
A22.30.018 |
Эндоскопическое электрохирургическое удаление опухоли |
2140,67 |
A06.18.001 |
Ирригоскопия |
487,77 |
Ультразвуковое исследование сердечно-сосудистой системы - базовый норматив финансовых затрат 492,60 руб. | ||
A04.10.002 |
Эхокардиография |
415,67 |
A04.10.002.001 |
Эхокардиография чреспищеводная |
1133,08 |
A04.10.002.002 |
Эхокардиография трехмерная |
434,79 |
A04.10.002.003 |
Эхокардиография с фармакологической нагрузкой |
1258,20 |
A04.12.001 |
Ультразвуковая допплерография артерий верхних конечностей |
438,76 |
A04.12.001.001 |
Ультразвуковая допплерография артерий нижних конечностей |
438,76 |
A04.12.001.003 |
Ультразвуковая допплерография с медикаментозной пробой |
292,51 |
A04.12.001.005 |
Ультразвуковая допплерография транскраниальная с медикаментозной пробой |
382,54 |
A04.12.001.006 |
Ультразвуковая допплерография транскраниальная артерий методом мониторирования |
332,16 |
A04.12.002 |
Ультразвуковая допплерография сосудов (артерий и вен) верхних конечностей |
596,21 |
A04.12.002.001 |
Ультразвуковая допплерография сосудов (артерий и вен) нижних конечностей |
596,21 |
A04.12.002.002 |
Ультразвуковая допплерография вен нижних конечностей |
596,21 |
A04.12.002.003 |
Ультразвуковая допплерография вен верхних конечностей |
815,94 |
A04.12.003 |
Дуплексное сканирование аорты |
675,98 |
A04.12.005 |
Дуплексное сканирование сосудов (артерий и вен) верхних конечностей |
675,98 |
A04.12.005.002 |
Дуплексное сканирование артерий верхних конечностей |
541,63 |
A04.12.005.003 |
Дуплексное сканирование брахиоцефальных артерий с цветным допплеровским картированием кровотока |
735,89 |
A04.12.006 |
Дуплексное сканирование сосудов (артерий и вен) нижних конечностей |
823,64 |
A04.12.006.001 |
Дуплексное сканирование артерий нижних конечностей |
813,14 |
A04.12.018 |
Дуплексное сканирование транскраниальное артерий и вен |
548,07 |
A04.12.019 |
Дуплексное сканирование транскраниальное артерий и вен с нагрузочными пробами |
548,07 |
Магнитно-резонансная томография - базовый норматив финансовых затрат 4335,90 руб. | ||
A05.01.002 |
Магнитно-резонансная томография мягких тканей |
1768,53 |
A05.01.002.001 |
Магнитно-резонансная томография мягких тканей с контрастированием |
7568,70 |
A05.02.002 |
Магнитно-резонансная томография мышечной системы |
2475,95 |
A05.03.001 |
Магнитно-резонансная томография костной ткани (одна область) |
2475,95 |
A05.03.002 |
Магнитно-резонансная томография позвоночника (один отдел) |
1395,73 |
A05.03.002.001 |
Магнитно-резонансная томография позвоночника с контрастированием (один отдел) |
7281,66 |
A05.03.003 |
Магнитно-резонансная томография основания черепа |
697,86 |
A05.03.003.001 |
Магнитно-резонансная томография основания черепа с ангиографией |
4728,35 |
A05.03.004 |
Магнитно-резонансная томография лицевого отдела черепа |
884,27 |
A05.03.004.001 |
Магнитно-резонансная томография лицевого отдела черепа с внутривенным контрастированием |
5406,22 |
A05.04.001 |
Магнитно-резонансная томография суставов (один сустав) |
2475,95 |
A05.04.001.001 |
Магнитно-резонансная томография суставов (один сустав) с контрастированием |
7568,70 |
A05.08.001 |
Магнитно-резонансная томография околоносовых пазух |
1768,53 |
A05.08.002 |
Магнитно-резонансная томография гортаноглотки |
884,27 |
A05.08.003 |
Магнитно-резонансная томография преддверно-улиткового органа |
3537,06 |
A05.10.009 |
Магнитно-резонансная томография сердца и магистральных сосудов |
1163,86 |
A05.10.009.001 |
Магнитно-резонансная томография сердца с контрастированием |
7999,30 |
A05.11.001 |
Магнитно-резонансная томография средостения |
1768,53 |
A05.12.004 |
Магнитно-резонансная артериография (одна область) |
1954,02 |
A05.12.005 |
Магнитно-резонансная венография (одна область) |
1954,02 |
A05.12.006 |
Магнитно-резонансная ангиография с контрастированием (одна область) |
7568,70 |
A05.15.001 |
Магнитно-резонансная томография поджелудочной железы |
1163,86 |
A05.15.002 |
Магнитно-резонансная холангиопанкреатография |
2475,95 |
A05.23.009 |
Магнитно-резонансная томография головного мозга |
2475,95 |
A05.23.009.001 |
Магнитно-резонансная томография головного мозга с контрастированием |
7568,70 |
A05.23.009.002 |
Магнитно-резонансная томография головного мозга функциональная |
1443,44 |
A05.23.009.003 |
Магнитно-резонансная перфузия головного мозга |
5194,35 |
A05.23.009.005 |
Магнитно-резонансная ликворография головного мозга |
1395,73 |
A05.23.009.006 |
Магнитно-резонансная томография головного мозга топометрическая |
884,27 |
A05.23.009.008 |
Магнитно-резонансная ангиография интракраниальных сосудов |
2475,95 |
A05.23.009.009 |
Протонная магнитно-резонансная спектроскопия |
5194,74 |
A05.23.009.010 |
Магнитно-резонансная томография спинного мозга (один отдел) |
2475,95 |
A05.23.009.011 |
Магнитно-резонансная томография спинного мозга с контрастированием (один отдел) |
7568,70 |
A05.23.009.012 |
Магнитно-резонансная перфузия спинного мозга (один отдел) |
5194,35 |
A05.23.009.014 |
Магнитно-резонансная ликворография спинного мозга (один отдел) |
1954,02 |
A05.23.009.016 |
Магнитно-резонансная томография спинного мозга фазовоконтрастная (один отдел) |
884,27 |
A05.26.008 |
Магнитно-резонансная томография глазницы |
2475,95 |
A05.28.002 |
Магнитно-резонансная томография почек |
3258,81 |
A05.30.004 |
Магнитно-резонансная томография органов малого таза |
3258,81 |
A05.30.004.001 |
Магнитно-резонансная томография органов малого таза с внутривенным контрастированием |
7999,30 |
A05.30.005 |
Магнитно-резонансная томография органов брюшной полости |
3258,81 |
A05.30.005.001 |
Магнитно-резонансная томография органов брюшной полости с внутривенным контрастированием |
7999,30 |
A05.30.006 |
Магнитно-резонансная томография органов грудной клетки |
2475,95 |
A05.30.006.001 |
Магнитно-резонансная томография органов грудной клетки с внутривенным контрастированием |
5406,22 |
A05.30.007 |
Магнитно-резонансная томография забрюшинного пространства |
3258,81 |
A05.30.007.001 |
Магнитно-резонансная томография забрюшинного пространства с внутривенным контрастированием |
7999,30 |
A05.30.008 |
Магнитно-резонансная томография шеи |
2475,95 |
A05.30.008.001 |
Магнитно-резонансная томография шеи с внутривенным контрастированием |
7568,70 |
A05.30.010 |
Магнитно-резонансная томография мягких тканей головы |
2475,95 |
Компьютерная томография - базовый норматив финансовых затрат 2 542,60 рублей | ||
A06.03.002.006 |
Компьютерная томография лицевого отдела черепа с внутривенным болюсным контрастированием, мультипланарной и трехмерной реконструкцией |
6297,43 |
A06.03.021.001 |
Компьютерная томография верхней конечности |
1226,39 |
A06.03.021.003 |
Компьютерная томография верхней конечности с внутривенным болюсным контрастированием, мультипланарной и трехмерной реконструкцией |
5982,56 |
A06.03.036.001 |
Компьютерная томография нижней конечности |
1226,39 |
A06.03.036.003 |
Компьютерная томография нижней конечности с внутривенным болюсным контрастированием, мультипланарной и трехмерной реконструкцией |
5982,56 |
A06.03.058 |
Компьютерная томография позвоночника (один отдел) |
1533,45 |
A06.03.062 |
Компьютерная томография кости |
1226,39 |
A06.04.017 |
Компьютерная томография сустава |
1226,39 |
A06.08.007.001 |
Спиральная компьютерная томография гортани |
1226,39 |
A06.08.007.002 |
Компьютерная томография гортани с внутривенным болюсным контрастированием |
5982,56 |
A06.08.007.003 |
Спиральная компьютерная томография придаточных пазух носа |
1226,39 |
A06.08.009.001 |
Спиральная компьютерная томография шеи |
1226,39 |
A06.08.009.003 |
Компьютерная томография шеи с внутривенным болюсным контрастированием, мультипланарной и трехмерной реконструкцией |
5982,56 |
A06.09.005 |
Компьютерная томография органов грудной полости |
1533,45 |
A06.09.005.003 |
Компьютерная томография грудной полости с внутривенным болюсным контрастированием, мультипланарной и трехмерной реконструкцией |
5982,56 |
A06.10.009.001 |
Компьютерная томография сердца с контрастированием |
851,91 |
A06.16.002 |
Компьютерная томография пищевода с пероральным контрастированием |
2124,78 |
A06.20.002.001 |
Спиральная компьютерная томография органов малого таза у женщин |
1614,15 |
A06.20.002.002 |
Спиральная компьютерная томография органов малого таза у женщин с внутривенным болюсным контрастированием |
5019,07 |
A06.21.003.001 |
Спиральная компьютерная томография органов таза у мужчин |
1533,45 |
A06.21.003.002 |
Спиральная компьютерная томография органов таза у мужчин с внутривенным болюсным контрастированием |
6297,43 |
A06.23.004 |
Компьютерная томография головного мозга |
3230,59 |
A06.23.004.006 |
Компьютерная томография головного мозга с внутривенным контрастированием |
5982,56 |
A06.25.003 |
Компьютерная томография височной кости |
1226,39 |
A06.26.006 |
Компьютерная томография глазницы |
1226,39 |
A06.28.009.001 |
Компьютерная томография почек и верхних мочевыводящих путей с внутривенным болюсным контрастированием |
5982,56 |
A06.28.009.002 |
Спиральная компьютерная томография почек и надпочечников |
1533,45 |
A06.30.005 |
Компьютерная томография органов брюшной полости |
2557,15 |
A06.30.005.004 |
Спиральная компьютерная томография органов брюшной полости с внутривенным болюсным контрастированием, мультипланарной и трехмерной реконструкцией |
5982,56 |
A07.30.032 |
Однофотонная эмиссионная компьютерная томография мягких тканей |
563,88 |
Патологоанатомическое исследование биопсийного (операционного) материала с целью диагностики онкологических заболеваний и подбора противоопухолевой лекарственной терапии - базовый норматив финансовых затрат 1941,50 рубля | ||
A08.01.001 |
Патологоанатомическое исследование биопсийного (операционного) материала кожи |
2897,68 |
A08.02.001 |
Патологоанатомическое исследование биопсийного (операционного) материала мышечной ткани |
2897,68 |
A08.03.002 |
Патологоанатомическое исследование биопсийного (операционного) материала костной ткани |
2897,68 |
A08.04.001 |
Патологоанатомическое исследование биопсийного (операционного) материала синовиальной оболочки |
1525,08 |
A08.04.002 |
Патологоанатомическое исследование биопсийного (операционного) материала суставной сумки или капсулы сустава |
2897,68 |
A08.05.002 |
Патологоанатомическое исследование биопсийного (операционного) материала костного мозга |
2897,68 |
A08.06.002 |
Патологоанатомическое исследование биопсийного (операционного) материала лимфоузла |
2897,68 |
A08.07.002 |
Патологоанатомическое исследование биопсийного (операционного) материала тканей полости рта |
2897,68 |
A08.07.004 |
Патологоанатомическое исследование биопсийного (операционного) материала тканей языка |
2897,68 |
A08.07.005 |
Патологоанатомическое исследование биопсийного (операционного) материала тканей губы |
2897,68 |
A08.07.007 |
Патологоанатомическое исследование биопсийного (операционного) материала тканей преддверия полости рта |
2897,68 |
A08.07.009 |
Патологоанатомическое исследование биопсийного (операционного) материала тканей слюнной железы |
2897,68 |
A08.08.001 |
Патологоанатомическое исследование биопсийного (операционного) материала тканей верхних дыхательных путей |
2897,68 |
A08.09.001 |
Патологоанатомическое исследование биопсийного (операционного) материала тканей трахеи и бронхов |
1727,21 |
A08.09.002 |
Патологоанатомическое исследование биопсийного (операционного) материала тканей легкого |
1525,08 |
A08.12.001 |
Патологоанатомическое исследование биопсийного (операционного) материала сосудистой стенки |
2897,68 |
A08.14.004 |
Патологоанатомическое исследование биопсийного (операционного) материала пункционной биопсии печени |
2897,68 |
A08.15.001 |
Патологоанатомическое исследование биопсийного (операционного) материала поджелудочной железы |
1525,08 |
A08.16.001 |
Патологоанатомическое исследование биопсийного (операционного) материала пищевода |
1525,08 |
A08.16.002 |
Патологоанатомическое исследование биопсийного (операционного) материала желудка |
1525,08 |
A08.16.003 |
Патологоанатомическое исследование биопсийного (операционного) материала двенадцатиперстной кишки |
2897,68 |
A08.17.001 |
Патологоанатомическое исследование биопсийного (операционного) материала тонкой кишки |
2897,68 |
A08.18.001 |
Патологоанатомическое исследование биопсийного (операционного) материала толстой кишки |
2897,68 |
A08.18.003 |
Патологоанатомическое исследование биопсийного (операционного) материала толстой кишки |
2897,68 |
A08.19.001 |
Патологоанатомическое исследование биопсийного (операционного) материала прямой кишки |
1525,08 |
A08.20.001 |
Патологоанатомическое исследование биопсийного (операционного) материала влагалища |
2897,68 |
A08.20.002.001 |
Патологоанатомическое исследование соскоба полости матки, цервикального канала |
2897,68 |
A08.20.009 |
Патологоанатомическое исследование биопсийного (операционного) материала молочной железы |
2897,68 |
A08.20.011 |
Патологоанатомическое исследование биопсийного (операционного) материала шейки матки |
2897,68 |
A08.20.016 |
Патологоанатомическое исследование биопсийного (операционного) материала вульвы |
1126,77 |
A08.21.001 |
Патологоанатомическое исследование биопсийного (операционного) материала предстательной железы |
2897,68 |
A08.21.002 |
Патологоанатомическое исследование биопсийного (операционного) материала яичка, семенного канатика и придатков |
2897,68 |
A08.21.003 |
Патологоанатомическое исследование биопсийного (операционного) материала крайней плоти |
1525,08 |
A08.22.003 |
Патологоанатомическое исследование биопсийного (операционного) материала тканей щитовидной железы |
1525,08 |
A08.22.006 |
Патологоанатомическое исследование биопсийного (операционного) материала паращитовидной железы |
1525,08 |
A08.24.001 |
Патологоанатомическое исследование биопсийного (операционного) материала тканей периферической нервной системы |
2897,68 |
A08.28.004 |
Патологоанатомическое исследование биопсийного (операционного) материала мочевого пузыря |
2897,68 |
A08.28.005 |
Патологоанатомическое исследование биопсийного (операционного) материала почек |
1525,08 |
A08.28.013 |
Патологоанатомическое исследование биопсийного (операционного) материала уретры |
2897,68 |
A08.30.014 |
Патологоанатомическое исследование биопсийного (операционного) материала опухолей, опухолеподобных образований мягких тканей |
2897,68 |
Молекулярно-генетическое исследование с целью диагностики онкологических заболеваний - базовый норматив финансовых затрат - 8175,50 руб. | ||
A12.05.013 |
Цитогенетическое исследование (кариотип) |
4071,81 |
A27.05.040 |
Молекулярно-генетическое исследование мутаций в генах BRCA1 и BRCA2 в крови |
162,40 |
A27.30.006 |
Молекулярно-генетическое исследование мутаций в гене KRAS в биопсийном (операционном) материале |
493,15 |
A27.30.007 |
Молекулярно-генетическое исследование мутаций в гене NRAS в биопсийном (операционном) материале |
493,15 |
A27.30.008 |
Молекулярно-генетическое исследование мутаций в гене BRAF в биопсийном (операционном) материале |
2376,46 |
A27.30.016 |
Молекулярно-генетическое исследование мутаций в гене EGFR в биопсийном (операционном) материале |
1768,83 |
B03.019.001 |
Молекулярно-цитогенетическое исследование (FISH-метод) на одну пару хромосом |
7916,59 |
Тестирование на выявление новой коронавирусной инфекции (COVID-19) - базовый норматив финансовых затрат 600,36 руб. | ||
A26.08.027.001 |
Определение РНК коронавируса ТОРС (SARS-cov) в мазках со слизистой оболочки носоглотки методом ПЦР |
507,73 |
A26.08.046.001 |
Определение РНК коронавируса ТОРС (SARS-cov) в мазках со слизистой оболочки ротоглотки методом ПЦР |
507,73 |
A26.09.044.001 |
Определение РНК коронавируса ТОРС (SARS-cov) в мокроте (индуцированной мокроте, фаринго-трахеальных аспиратах) методом ПЦР |
507,73 |
A26.09.060.001 |
Определение РНК коронавируса ТОРС (SARS-cov) в бронхоальвеолярной лаважной жидкости методом ПЦР |
507,73 |
* тариф применять с учетом
коэффициентов дифференциации по
муниципальным образованиям Иркутской
области, указанных в приложении N 6.
Приложение N 8
к Дополнительному соглашению
от 28 февраля 2022 г. N 3
Приложение N 28
к Тарифному соглашению
от 30 декабря 2021 г.
ПЕРЕЧЕНЬ ФЕЛЬДШЕРСКИХ,
ФЕЛЬДШЕРСКО-АКУШЕРСКИХ ПУНКТОВ
|
Наименование МО |
Наименование ФП, ФАП |
Менее 100 жителей <*> |
От 100 до 900 жителей |
От 900 - 1500 жителей |
От 1500 до 2000 жителей |
От 2000 жителей <**> |
Соответствует (+) / не соответствует (-) требованиям |
Базовый норматив финансовых затрат на финансовое обеспечение ФП/ФАП с учетом поправочного коэффициента |
Коэффициент специфики оказания медицинской помощи |
Размер финансового обеспечения с учетом коэффициента специфики оказания медицинской помощи | ||||||||||
1 |
областное государственное бюджетное учреждение здравоохранения "Чунская районная больница" |
ФАП п. Бидога |
|
+ |
|
|
|
- |
1 387 905 |
0,300 |
459 165 | ||||||||||
2 |
областное государственное бюджетное учреждение здравоохранения "Чунская районная больница" |
ФАП п. Таргиз |
|
+ |
|
|
|
- |
1 387 905 |
0,670 |
929 896 | ||||||||||
3 |
областное государственное бюджетное учреждение здравоохранения "Чунская районная больница" |
ФАП д. Кулиш |
|
+ |
|
|
|
- |
1 387 905 |
0,300 |
416 372 | ||||||||||
4 |
областное государственное бюджетное учреждение здравоохранения "Чунская районная больница" |
ФАП д. Паренда |
|
+ |
|
|
|
- |
1 387 905 |
0,300 |
416 372 | ||||||||||
5 |
областное государственное бюджетное учреждение здравоохранения "Чунская районная больница" |
ФАП п. Изыкан |
|
+ |
|
|
|
- |
1 387 905 |
0,670 |
929 896 | ||||||||||
6 |
областное государственное бюджетное учреждение здравоохранения "Чунская районная больница" |
ФАП п. Хоняки |
|
+ |
|
|
|
- |
1 387 905 |
0,670 |
929 896 | ||||||||||
7 |
областное государственное бюджетное учреждение здравоохранения "Чунская районная больница" |
ФАП п. Парчум |
|
+ |
|
|
|
- |
1 387 905 |
0,300 |
416 372 | ||||||||||
8 |
областное государственное бюджетное учреждение здравоохранения "Чунская районная больница" |
ФАП п. Каменск |
|
+ |
|
|
|
- |
1 387 905 |
0,300 |
416 372 | ||||||||||
9 |
областное государственное бюджетное учреждение здравоохранения "Чунская районная больница" |
ФАП п. Пионерский |
|
+ |
|
|
|
- |
1 387 905 |
0,300 |
416 372 | ||||||||||
10 |
областное государственное бюджетное учреждение здравоохранения "Чунская районная больница" |
ФАП д. Новобалтурина |
|
+ |
|
|
|
- |
1 387 905 |
0,670 |
929 896 | ||||||||||
11 |
областное государственное бюджетное учреждение здравоохранения "Чунская районная больница" |
ФАП д. Бунбуй |
|
+ |
|
|
|
- |
1 387 905 |
0,300 |
416 372 | ||||||||||
12 |
областное государственное бюджетное учреждение здравоохранения "Чунская районная больница" |
ФАП п. Веселый |
|
|
+ |
|
|
- |
2 198 676 |
0,300 |
659 603 | ||||||||||
13 |
областное государственное бюджетное учреждение здравоохранения "Чунская районная больница" |
ФАП п. Заводской |
|
+ |
|
|
|
- |
1 387 905 |
0,300 |
416 372 | ||||||||||
14 |
областное государственное бюджетное учреждение здравоохранения "Чунская районная больница" |
ФАП с. Червянка |
|
+ |
|
|
|
- |
1 387 905 |
0,300 |
416 372 | ||||||||||
15 |
областное государственное бюджетное учреждение здравоохранения "Чунская районная больница" |
ФАП д. Мухино |
+ |
|
|
|
|
- |
1 110 324 |
0,300 |
333 097 | ||||||||||
16 |
областное государственное бюджетное учреждение здравоохранения "Чунская районная больница" |
ФАП п. Сосновка |
|
+ |
|
|
|
- |
1 387 905 |
0,300 |
416 372 | ||||||||||
17 |
областное государственное бюджетное учреждение здравоохранения "Чунская районная больница" |
ФАП с. Баянда |
|
+ |
|
|
|
- |
1 387 905 |
0,300 |
459 165 | ||||||||||
18 |
областное государственное бюджетное учреждение здравоохранения "Тайшетская районная больница" |
Разгонский ФАП |
|
+ |
|
|
|
- |
1 387 905 |
0,300 |
416 372 | ||||||||||
19 |
областное государственное бюджетное учреждение здравоохранения "Тайшетская районная больница" |
ФАП с. Заречное |
|
+ |
|
|
|
- |
1 387 905 |
0,670 |
929 896 | ||||||||||
20 |
областное государственное бюджетное учреждение здравоохранения "Тайшетская районная больница" |
Коноваловский ФАП |
+ |
|
|
|
|
- |
1 110 324 |
0,300 |
333 097 | ||||||||||
21 |
областное государственное бюджетное учреждение здравоохранения "Тайшетская районная больница" |
Сафроновский ФАП |
|
+ |
|
|
|
- |
1 387 905 |
0,300 |
416 372 | ||||||||||
22 |
областное государственное бюджетное учреждение здравоохранения "Тайшетская районная больница" |
Облепихинский ФАП |
|
+ |
|
|
|
- |
1 387 905 |
0,300 |
416 372 | ||||||||||
23 |
областное государственное бюджетное учреждение здравоохранения "Тайшетская районная больница" |
Конторский ФАП |
|
+ |
|
|
|
- |
1 387 905 |
0,300 |
416 372 | ||||||||||
24 |
областное государственное бюджетное учреждение здравоохранения "Тайшетская районная больница" |
Бирюсинский ФАП |
|
+ |
|
|
|
- |
1 387 905 |
0,670 |
929 896 | ||||||||||
25 |
областное государственное бюджетное учреждение здравоохранения "Тайшетская районная больница" |
Березовский ФАП |
|
+ |
|
|
|
- |
1 387 905 |
0,300 |
416 372 | ||||||||||
26 |
областное государственное бюджетное учреждение здравоохранения "Тайшетская районная больница" |
Старо-Акульшетский ФАП |
|
|
+ |
|
|
- |
2 198 676 |
0,300 |
659 603 | ||||||||||
27 |
областное государственное бюджетное учреждение здравоохранения "Тайшетская районная больница" |
Ново-Акульшетский ФАП |
|
+ |
|
|
|
- |
1 387 905 |
0,300 |
416 372 | ||||||||||
28 |
областное государственное бюджетное учреждение здравоохранения "Тайшетская районная больница" |
Борисовский ФАП |
|
+ |
|
|
|
- |
1 387 905 |
0,300 |
416 372 | ||||||||||
29 |
областное государственное бюджетное учреждение здравоохранения "Тайшетская районная больница" |
ФАП Станция Акульшет |
|
+ |
|
|
|
- |
1 387 905 |
0,300 |
416 372 | ||||||||||
30 |
областное государственное бюджетное учреждение здравоохранения "Тайшетская районная больница" |
ФАП д. Парижская коммуна |
|
+ |
|
|
|
- |
1 387 905 |
0,300 |
416 372 | ||||||||||
31 |
областное государственное бюджетное учреждение здравоохранения "Тайшетская районная больница" |
Тимирязевский ФАП |
|
+ |
|
|
|
- |
1 387 905 |
0,300 |
416 372 | ||||||||||
32 |
областное государственное бюджетное учреждение здравоохранения "Тайшетская районная больница" |
Пейский ФАП |
|
+ |
|
|
|
- |
1 387 905 |
0,300 |
416 372 | ||||||||||
33 |
областное государственное бюджетное учреждение здравоохранения "Тайшетская районная больница" |
Полинчетский ФАП |
|
+ |
|
|
|
- |
1 387 905 |
0,300 |
416 372 | ||||||||||
34 |
областное государственное бюджетное учреждение здравоохранения "Тайшетская районная больница" |
ФАП с. Половино-Черемхово |
|
+ |
|
|
|
- |
1 387 905 |
0,300 |
416 372 | ||||||||||
35 |
областное государственное бюджетное учреждение здравоохранения "Тайшетская районная больница" |
Шелаевский ФАП |
|
+ |
|
|
|
- |
1 387 905 |
0,300 |
416 372 | ||||||||||
36 |
областное государственное бюджетное учреждение здравоохранения "Тайшетская районная больница" |
Тальский ФАП |
|
+ |
|
|
|
- |
1 387 905 |
0,670 |
929 896 | ||||||||||
37 |
областное государственное бюджетное учреждение здравоохранения "Тайшетская районная больница" |
ФАП д. Тремина |
|
+ |
|
|
|
- |
1 387 905 |
0,670 |
929 896 | ||||||||||
38 |
областное государственное бюджетное учреждение здравоохранения "Тайшетская районная больница" |
ФАП п. Новотремино |
|
+ |
|
|
|
- |
1 387 905 |
0,670 |
929 896 | ||||||||||
39 |
областное государственное бюджетное учреждение здравоохранения "Тайшетская районная больница" |
Джогинский ФАП |
|
+ |
|
|
|
- |
1 387 905 |
0,300 |
416 372 | ||||||||||
40 |
областное государственное бюджетное учреждение здравоохранения "Тайшетская районная больница" |
ФАП с. Нижняя Заимка |
|
+ |
|
|
|
- |
1 387 905 |
0,300 |
416 372 | ||||||||||
41 |
областное государственное бюджетное учреждение здравоохранения "Тайшетская районная больница" |
Черчетский ФАП |
|
+ |
|
|
|
- |
1 387 905 |
0,300 |
416 372 | ||||||||||
42 |
областное государственное бюджетное учреждение здравоохранения "Тайшетская районная больница" |
Бузыкановский ФАП |
|
+ |
|
|
|
- |
1 387 905 |
0,670 |
929 896 | ||||||||||
43 |
областное государственное бюджетное учреждение здравоохранения "Тайшетская районная больница" |
Троицкий ФАП |
|
+ |
|
|
|
- |
1 387 905 |
0,300 |
416 372 | ||||||||||
44 |
областное государственное бюджетное учреждение здравоохранения "Тайшетская районная больница" |
Серебровский ФАП |
|
+ |
|
|
|
- |
1 387 905 |
0,300 |
416 372 | ||||||||||
45 |
областное государственное бюджетное учреждение здравоохранения "Тайшетская районная больница" |
Рождественский ФАП |
|
+ |
|
|
|
- |
1 387 905 |
0,300 |
416 372 | ||||||||||
46 |
областное государственное бюджетное учреждение здравоохранения "Тайшетская районная больница" |
Сергинский ФАП |
|
+ |
|
|
|
- |
1 387 905 |
0,300 |
416 372 | ||||||||||
47 |
областное государственное бюджетное учреждение здравоохранения "Тайшетская районная больница" |
Пуляевский ФАП |
|
+ |
|
|
|
- |
1 387 905 |
0,300 |
416 372 | ||||||||||
48 |
областное государственное бюджетное учреждение здравоохранения "Тайшетская районная больница" |
Тамтачетский ФАП |
|
|
+ |
|
|
- |
2 198 676 |
0,300 |
659 603 | ||||||||||
49 |
областное государственное бюджетное учреждение здравоохранения "Усольская городская больница" |
ФАП с. Мальта |
|
+ |
|
|
|
- |
1 387 905 |
0,300 |
416 372 | ||||||||||
50 |
областное государственное бюджетное учреждение здравоохранения "Усольская городская больница" |
ФАП д. Култук |
|
+ |
|
|
|
- |
1 387 905 |
0,300 |
416 372 | ||||||||||
51 |
областное государственное бюджетное учреждение здравоохранения "Усольская городская больница" |
ФАП д. Кочериково |
|
+ |
|
|
|
- |
1 387 905 |
0,300 |
416 372 | ||||||||||
52 |
областное государственное бюджетное учреждение здравоохранения "Усольская городская больница" |
ФАП п. Большая Черемшанка |
+ |
|
|
|
|
- |
1 110 324 |
0,300 |
333 097 | ||||||||||
53 |
областное государственное бюджетное учреждение здравоохранения "Усольская городская больница" |
ФАП п. Октябрьский |
+ |
|
|
|
|
- |
1 110 324 |
0,300 |
333 097 | ||||||||||
54 |
областное государственное бюджетное учреждение здравоохранения "Усольская городская больница" |
ФАП п. Озерный |
+ |
|
|
|
|
- |
1 110 324 |
0,300 |
333 097 | ||||||||||
55 |
областное государственное бюджетное учреждение здравоохранения "Усольская городская больница" |
ФАП д. Бадай |
|
+ |
|
|
|
- |
1 387 905 |
0,300 |
416 372 | ||||||||||
56 |
областное государственное бюджетное учреждение здравоохранения "Усольская городская больница" |
ФАП д. Ключевая |
|
+ |
|
|
|
- |
1 387 905 |
0,300 |
416 372 | ||||||||||
57 |
областное государственное бюджетное учреждение здравоохранения "Усольская городская больница" |
ФАП п. ж.д. ст. Тельма |
|
+ |
|
|
|
- |
1 387 905 |
0,300 |
416 372 | ||||||||||
58 |
областное государственное бюджетное учреждение здравоохранения "Усольская городская больница" |
ФАП д. Большежилкино |
|
+ |
|
|
|
- |
1 387 905 |
0,300 |
416 372 | ||||||||||
59 |
областное государственное бюджетное учреждение здравоохранения "Усольская городская больница" |
ФАП д. Буреть |
|
+ |
|
|
|
- |
1 387 905 |
0,300 |
416 372 | ||||||||||
60 |
областное государственное бюджетное учреждение здравоохранения "Усольская городская больница" |
ФАП с. Хайта |
|
+ |
|
|
|
- |
1 387 905 |
0,300 |
416 372 | ||||||||||
61 |
областное государственное бюджетное учреждение здравоохранения "Усольская городская больница" |
ФАП с. Биликтуй |
|
+ |
|
|
|
- |
1 387 905 |
0,670 |
929 896 | ||||||||||
62 |
областное государственное бюджетное учреждение здравоохранения "Усольская городская больница" |
ФАП с. Холмушино |
|
+ |
|
|
|
- |
1 387 905 |
0,300 |
416 372 | ||||||||||
63 |
областное государственное бюджетное учреждение здравоохранения "Усольская городская больница" |
ФАП с. Целоты |
|
+ |
|
|
|
- |
1 387 905 |
0,670 |
929 896 | ||||||||||
64 |
областное государственное бюджетное учреждение здравоохранения "Катангская районная больница" |
ФАП с. Непа |
|
+ |
|
|
|
- |
2 465 816 |
0,300 |
739 745 | ||||||||||
65 |
областное государственное бюджетное учреждение здравоохранения "Катангская районная больница" |
ФАП с. Бур |
|
+ |
|
|
|
- |
2 465 816 |
0,300 |
739 745 | ||||||||||
66 |
областное государственное бюджетное учреждение здравоохранения "Катангская районная больница" |
ФАП с. Подволошино |
|
+ |
|
|
|
- |
2 465 816 |
0,300 |
739 745 | ||||||||||
67 |
областное государственное бюджетное учреждение здравоохранения "Катангская районная больница" |
ФП с. Ерема |
+ |
|
|
|
|
- |
1 972 653 |
0,300 |
591 796 | ||||||||||
68 |
областное государственное бюджетное учреждение здравоохранения "Катангская районная больница" |
ФП с. Оськино |
+ |
|
|
|
|
- |
1 972 653 |
0,300 |
591 796 | ||||||||||
69 |
областное государственное бюджетное учреждение здравоохранения "Катангская районная больница" |
ФП с. Наканно |
+ |
|
|
|
|
- |
1 972 653 |
0,300 |
591 796 | ||||||||||
70 |
областное государственное бюджетное учреждение здравоохранения "Катангская районная больница" |
ФП с. Тетея |
+ |
|
|
|
|
- |
1 972 653 |
0,300 |
591 796 | ||||||||||
71 |
областное государственное бюджетное учреждение здравоохранения "Катангская районная больница" |
ФП с. Ика |
+ |
|
|
|
|
- |
1 972 653 |
0,300 |
591 796 | ||||||||||
72 |
областное государственное бюджетное учреждение здравоохранения "Катангская районная больница" |
ФП с. Токма |
+ |
|
|
|
|
- |
1 972 653 |
0,300 |
591 796 | ||||||||||
73 |
областное государственное бюджетное учреждение здравоохранения "Катангская районная больница" |
ФП с. Хамакар |
|
+ |
|
|
|
- |
2 465 816 |
0,300 |
739 745 | ||||||||||
74 |
областное государственное бюджетное учреждение здравоохранения "Районная больница г. Бодайбо" |
ФАП п. Васильевский |
+ |
|
|
|
|
- |
1 782 958 |
0,670 |
1 194 582 | ||||||||||
75 |
областное государственное бюджетное учреждение здравоохранения "Районная больница г. Бодайбо" |
ФАП п. Маракан |
+ |
|
|
|
|
- |
1 782 958 |
0,300 |
534 887 | ||||||||||
76 |
областное государственное бюджетное учреждение здравоохранения "Районная больница п. Мама" |
ФАП п. Витимский |
|
+ |
|
|
|
- |
2 219 996 |
0,300 |
665 999 | ||||||||||
77 |
областное государственное бюджетное учреждение здравоохранения "Районная больница п. Мама" |
ФАП п. Мусковит |
|
+ |
|
|
|
- |
2 219 996 |
0,300 |
665 999 | ||||||||||
78 |
областное государственное бюджетное учреждение здравоохранения "Районная больница п. Мама" |
ФАП п. Луговский |
|
+ |
|
|
|
- |
2 219 996 |
0,670 |
1 487 397 | ||||||||||
79 |
областное государственное бюджетное учреждение здравоохранения "Районная больница п. Мама" |
ФАП п. Колотовка |
|
+ |
|
|
|
- |
2 219 996 |
0,300 |
665 999 | ||||||||||
80 |
областное государственное бюджетное учреждение здравоохранения "Слюдянская районная больница" |
ФАП пос. Новоснежная |
|
+ |
|
|
|
- |
1 387 905 |
0,670 |
929 896 | ||||||||||
81 |
областное государственное бюджетное учреждение здравоохранения "Слюдянская районная больница" |
ФАП пос. Мурино |
|
+ |
|
|
|
- |
1 387 905 |
0,300 |
416 372 | ||||||||||
82 |
областное государственное бюджетное учреждение здравоохранения "Слюдянская районная больница" |
ФАП д. Быстрая |
|
+ |
|
|
|
- |
1 387 905 |
0,300 |
416 372 | ||||||||||
83 |
областное государственное бюджетное учреждение здравоохранения "Слюдянская районная больница" |
ФАП с. Тибельти |
|
+ |
|
|
|
- |
1 387 905 |
0,670 |
929 896 | ||||||||||
84 |
областное государственное бюджетное учреждение здравоохранения "Слюдянская районная больница" |
ФАП пос. Мангутай |
+ |
|
|
|
|
- |
1 110 324 |
0,300 |
333 097 | ||||||||||
85 |
областное государственное бюджетное учреждение здравоохранения "Слюдянская районная больница" |
ФАП р.п. Байкал |
|
+ |
|
|
|
- |
1 387 905 |
0,670 |
929 896 | ||||||||||
86 |
областное государственное бюджетное учреждение здравоохранения "Слюдянская районная больница" |
ФАП п. ж.д. ст. Ангасолка |
|
+ |
|
|
|
- |
1 387 905 |
0,670 |
929 896 | ||||||||||
87 |
областное государственное бюджетное учреждение здравоохранения "Слюдянская районная больница" |
ФАП п. Солзан |
|
+ |
|
|
|
- |
1 387 905 |
0,670 |
929 896 | ||||||||||
88 |
областное государственное бюджетное учреждение здравоохранения "Братская районная больница" |
ФАП с. Александровка |
|
+ |
|
|
|
- |
1 729 443 |
0,670 |
1 158 727 | ||||||||||
89 |
областное государственное бюджетное учреждение здравоохранения "Братская районная больница" |
ФАП д. Бада |
|
+ |
|
|
|
- |
1 729 443 |
0,670 |
1 158 727 | ||||||||||
90 |
областное государственное бюджетное учреждение здравоохранения "Братская районная больница" |
ФАП д. Барчим |
|
+ |
|
|
|
- |
1 729 443 |
0,670 |
1 158 727 | ||||||||||
91 |
областное государственное бюджетное учреждение здравоохранения "Братская районная больница" |
ФАП п. Боровской |
|
+ |
|
|
|
- |
1 729 443 |
0,330 |
570 716 | ||||||||||
92 |
областное государственное бюджетное учреждение здравоохранения "Братская районная больница" |
ФАП п. Бурнинская Вихоря |
|
+ |
|
|
|
- |
1 729 443 |
0,330 |
570 716 | ||||||||||
93 |
областное государственное бюджетное учреждение здравоохранения "Братская районная больница" |
ФАП п. Добчур |
|
+ |
|
|
|
- |
1 729 443 |
0,670 |
1 158 727 | ||||||||||
94 |
областное государственное бюджетное учреждение здравоохранения "Братская районная больница" |
ФАП с. Дубынино |
|
+ |
|
|
|
- |
1 729 443 |
0,670 |
1 158 727 | ||||||||||
95 |
областное государственное бюджетное учреждение здравоохранения "Братская районная больница" |
ФАП с. Зарбь |
|
+ |
|
|
|
- |
1 729 443 |
0,670 |
1 158 727 | ||||||||||
96 |
областное государственное бюджетное учреждение здравоохранения "Братская районная больница" |
ФАП п. Зяба |
|
+ |
|
|
|
- |
1 729 443 |
0,300 |
518 833 | ||||||||||
97 |
областное государственное бюджетное учреждение здравоохранения "Братская районная больница" |
ФАП д. Карай |
+ |
|
|
|
|
- |
1 383 554 |
0,670 |
926 981 | ||||||||||
98 |
областное государственное бюджетное учреждение здравоохранения "Братская районная больница" |
ФАП д. Кардой |
|
+ |
|
|
|
- |
1 729 443 |
0,670 |
1 158 727 | ||||||||||
99 |
областное государственное бюджетное учреждение здравоохранения "Братская районная больница" |
ФАП с. Кобь |
|
+ |
|
|
|
- |
1 729 443 |
0,670 |
1 158 727 | ||||||||||
100 |
областное государственное бюджетное учреждение здравоохранения "Братская районная больница" |
ФАП д. Куватка |
|
+ |
|
|
|
- |
1 729 443 |
0,670 |
1 158 727 | ||||||||||
101 |
областное государственное бюджетное учреждение здравоохранения "Братская районная больница" |
ФАП с. Кузнецовка |
|
|
+ |
|
|
- |
2 739 729 |
0,300 |
821 919 | ||||||||||
102 |
областное государственное бюджетное учреждение здравоохранения "Братская районная больница" |
ФАП д. Кумейка |
|
+ |
|
|
|
- |
1 729 443 |
0,670 |
1 158 727 | ||||||||||
103 |
областное государственное бюджетное учреждение здравоохранения "Братская районная больница" |
ФАП д. Леоново |
|
+ |
|
|
|
- |
1 729 443 |
0,670 |
1 158 727 | ||||||||||
104 |
областное государственное бюджетное учреждение здравоохранения "Братская районная больница" |
ФАП п. Луговой |
+ |
|
|
|
|
- |
1 383 554 |
0,670 |
926 981 | ||||||||||
105 |
областное государственное бюджетное учреждение здравоохранения "Братская районная больница" |
ФАП п. Мамырь |
|
+ |
|
|
|
- |
1 729 443 |
0,670 |
1 158 727 | ||||||||||
106 |
областное государственное бюджетное учреждение здравоохранения "Братская районная больница" |
ФАП п. Новодолоново |
|
+ |
|
|
|
- |
1 729 443 |
0,670 |
1 158 727 | ||||||||||
107 |
областное государственное бюджетное учреждение здравоохранения "Братская районная больница" |
ФАП д. Новое Приречье |
|
+ |
|
|
|
- |
1 729 443 |
0,300 |
518 833 | ||||||||||
108 |
областное государственное бюджетное учреждение здравоохранения "Братская районная больница" |
ФАП п. Октябрьский |
+ |
|
|
|
|
- |
1 383 554 |
0,300 |
415 066 | ||||||||||
109 |
областное государственное бюджетное учреждение здравоохранения "Братская районная больница" |
ФАП п. Прибойный |
|
+ |
|
|
|
- |
1 729 443 |
0,670 |
1 158 727 | ||||||||||
110 |
областное государственное бюджетное учреждение здравоохранения "Братская районная больница" |
ФАП п. Сахарово |
|
+ |
|
|
|
- |
1 729 443 |
0,670 |
1 158 727 | ||||||||||
111 |
областное государственное бюджетное учреждение здравоохранения "Братская районная больница" |
ФАП п. Сосновый |
|
+ |
|
|
|
- |
1 729 443 |
0,300 |
518 833 | ||||||||||
112 |
областное государственное бюджетное учреждение здравоохранения "Братская районная больница" |
ФАП п. Тарма |
|
|
+ |
|
|
- |
2 739 729 |
0,330 |
904 111 | ||||||||||
113 |
областное государственное бюджетное учреждение здравоохранения "Братская районная больница" |
ФАП п. Турма |
|
|
|
+ |
|
- |
3 076 491 |
0,580 |
1 814 104 | ||||||||||
114 |
областное государственное бюджетное учреждение здравоохранения "Братская районная больница" |
ФАП п. Тынкобь |
+ |
|
|
|
|
- |
1 383 554 |
0,300 |
415 066 | ||||||||||
115 |
областное государственное бюджетное учреждение здравоохранения "Братская районная больница" |
ФАП с. Тэмь |
|
+ |
|
|
|
- |
1 729 443 |
0,670 |
1 158 727 | ||||||||||
116 |
областное государственное бюджетное учреждение здравоохранения "Братская районная больница" |
ФАП д. Худобок |
|
+ |
|
|
|
- |
1 729 443 |
0,300 |
518 833 | ||||||||||
117 |
областное государственное бюджетное учреждение здравоохранения "Братская районная больница" |
ФАП п. Чистяково |
+ |
|
|
|
|
- |
1 383 554 |
0,670 |
926 981 | ||||||||||
118 |
областное государственное бюджетное учреждение здравоохранения "Братская районная больница" |
ФАП п. Южный |
+ |
|
|
|
|
- |
1 383 554 |
0,300 |
415 066 | ||||||||||
119 |
областное государственное бюджетное учреждение здравоохранения "Шелеховская районная больница" |
ФАП с. Введенщина |
|
|
|
|
+ |
- |
2 962 719 |
0,300 |
888 816 | ||||||||||
120 |
областное государственное бюджетное учреждение здравоохранения "Шелеховская районная больница" |
ФАП д. Олха |
|
|
|
+ |
|
- |
2 468 932 |
0,300 |
740 680 | ||||||||||
121 |
областное государственное бюджетное учреждение здравоохранения "Шелеховская районная больница" |
ФАП п. Подкаменная |
|
+ |
|
|
|
- |
1 387 905 |
0,300 |
416 372 | ||||||||||
122 |
областное государственное бюджетное учреждение здравоохранения "Шелеховская районная больница" |
ФАП с. Моты |
|
+ |
|
|
|
- |
1 387 905 |
0,300 |
416 372 | ||||||||||
123 |
областное государственное бюджетное учреждение здравоохранения "Шелеховская районная больница" |
ФП с. Смоленщина |
|
|
|
|
+ |
- |
2 962 719 |
0,300 |
888 816 | ||||||||||
124 |
областное государственное бюджетное учреждение здравоохранения "Зиминская городская больница" |
ФАП пос. Успенский 3-й |
+ |
|
|
|
|
- |
1 110 324 |
0,300 |
333 097 | ||||||||||
125 |
областное государственное бюджетное учреждение здравоохранения "Зиминская городская больница" |
ФАП пос. Осиповский |
+ |
|
|
|
|
- |
1 110 324 |
0,300 |
333 097 | ||||||||||
126 |
областное государственное бюджетное учреждение здравоохранения "Зиминская городская больница" |
ФАП уч. Верхнеокинский |
|
+ |
|
|
|
- |
1 387 905 |
0,300 |
416 372 | ||||||||||
127 |
областное государственное бюджетное учреждение здравоохранения "Зиминская городская больница" |
ФАП с. Новолетники |
|
+ |
|
|
|
- |
1 387 905 |
0,500 |
693 953 | ||||||||||
128 |
областное государственное бюджетное учреждение здравоохранения "Зиминская городская больница" |
ФАП с. Сологубово |
|
+ |
|
|
|
- |
1 387 905 |
0,300 |
416 372 |
||||||||||
129 |
областное государственное бюджетное учреждение здравоохранения "Зиминская городская больница" |
ФАП с. Басалаевка |
|
+ |
|
|
|
- |
1 387 905 |
0,670 |
929 896 |
||||||||||
130 |
областное государственное бюджетное учреждение здравоохранения "Зиминская городская больница" |
ФАП с. Зулумай |
|
+ |
|
|
|
- |
1 387 905 |
0,300 |
416 372 |
||||||||||
131 |
областное государственное бюджетное учреждение здравоохранения "Зиминская городская больница" |
ФАП уч. Урункуй |
+ |
|
|
|
|
- |
1 110 324 |
0,300 |
333 097 |
||||||||||
132 |
областное государственное бюджетное учреждение здравоохранения "Зиминская городская больница" |
ФАП уч. Боровое |
+ |
|
|
|
|
- |
1 110 324 |
0,300 |
333 097 |
||||||||||
133 |
областное государственное бюджетное учреждение здравоохранения "Зиминская городская больница" |
ФАП с. Самара |
|
+ |
|
|
|
- |
1 387 905 |
0,300 |
416 372 |
||||||||||
134 |
областное государственное бюджетное учреждение здравоохранения "Зиминская городская больница" |
ФАП с. Перевоз |
|
+ |
|
|
|
- |
1 387 905 |
0,670 |
887 103 |
||||||||||
135 |
областное государственное бюджетное учреждение здравоохранения "Зиминская городская больница" |
ФАП д. Мордино |
|
+ |
|
|
|
- |
1 387 905 |
0,300 |
416 372 |
||||||||||
136 |
областное государственное бюджетное учреждение здравоохранения "Зиминская городская больница" |
ФАП д. Норы |
|
+ |
|
|
|
- |
1 387 905 |
0,300 |
416 372 |
||||||||||
137 |
областное государственное бюджетное учреждение здравоохранения "Зиминская городская больница" |
ФАП с. Баргадай |
|
+ |
|
|
|
- |
1 387 905 |
0,300 |
416 372 |
||||||||||
138 |
областное государственное бюджетное учреждение здравоохранения "Зиминская городская больница" |
ФАП. с. Харайгун |
|
+ |
|
|
|
- |
1 387 905 |
0,300 |
416 372 |
||||||||||
139 |
областное государственное бюджетное учреждение здравоохранения "Зиминская городская больница" |
ФАП с. Покровка |
|
+ |
|
|
|
- |
1 387 905 |
0,300 |
416 372 |
||||||||||
140 |
областное государственное бюджетное учреждение здравоохранения "Зиминская городская больница" |
ФАП с. Глинки |
|
+ |
|
|
|
- |
1 387 905 |
0,300 |
416 372 |
||||||||||
141 |
областное государственное бюджетное учреждение здравоохранения "Зиминская городская больница" |
ФАП д. Нагишкина |
|
+ |
|
|
|
- |
1 387 905 |
0,300 |
416 372 |
||||||||||
142 |
областное государственное бюджетное учреждение здравоохранения "Зиминская городская больница" |
ФАП с. Филипповск |
|
+ |
|
|
|
- |
1 387 905 |
0,300 |
416 372 |
||||||||||
143 |
областное государственное бюджетное учреждение здравоохранения "Зиминская городская больница" |
ФАП с. Услон |
|
+ |
|
|
|
- |
1 387 905 |
0,300 |
416 372 |
||||||||||
144 |
областное государственное бюджетное учреждение здравоохранения "Зиминская городская больница" |
ФАП с. Ухтуй |
|
+ |
|
|
|
- |
1 387 905 |
0,300 |
416 372 |
||||||||||
145 |
областное государственное бюджетное учреждение здравоохранения "Зиминская городская больница" |
ФАП д. Черемшанка |
|
+ |
|
|
|
- |
1 387 905 |
0,300 |
416 372 |
||||||||||
146 |
областное государственное бюджетное учреждение здравоохранения "Зиминская городская больница" |
ФАП пос. Большеворонежский |
|
+ |
|
|
|
- |
1 387 905 |
0,300 |
416 372 |
||||||||||
147 |
областное государственное бюджетное учреждение здравоохранения "Зиминская городская больница" |
ФАП с. Буря |
|
+ |
|
|
|
- |
1 387 905 |
0,300 |
416 372 |
||||||||||
148 |
областное государственное бюджетное учреждение здравоохранения "Балаганская районная больница" |
ФАП с. Анучинск |
+ |
|
|
|
|
- |
1 110 324 |
0,670 |
743 917 |
||||||||||
149 |
областное государственное бюджетное учреждение здравоохранения "Балаганская районная больница" |
ФАП с. Бирит |
|
+ |
|
|
|
- |
1 387 905 |
0,670 |
929 896 |
||||||||||
150 |
областное государственное бюджетное учреждение здравоохранения "Балаганская районная больница" |
ФАП д. Заславская |
|
+ |
|
|
|
- |
1 387 905 |
0,670 |
929 896 |
||||||||||
151 |
областное государственное бюджетное учреждение здравоохранения "Балаганская районная больница" |
ФАП с. Коновалово |
|
+ |
|
|
|
- |
1 387 905 |
0,670 |
929 896 |
||||||||||
152 |
областное государственное бюджетное учреждение здравоохранения "Балаганская районная больница" |
ФАП с. Кумарейка |
|
|
+ |
|
|
- |
2 198 676 |
0,330 |
725 563 |
||||||||||
153 |
областное государственное бюджетное учреждение здравоохранения "Балаганская районная больница" |
ФАП д. Метляево |
|
+ |
|
|
|
- |
1 387 905 |
0,670 |
929 896 |
||||||||||
154 |
областное государственное бюджетное учреждение здравоохранения "Балаганская районная больница" |
ФАП с. Тарасовск |
|
+ |
|
|
|
- |
1 387 905 |
0,670 |
929 896 |
||||||||||
155 |
областное государственное бюджетное учреждение здравоохранения "Балаганская районная больница" |
ФАП с. Тарнополь |
|
+ |
|
|
|
- |
1 387 905 |
0,670 |
929 896 |
||||||||||
156 |
областное государственное бюджетное учреждение здравоохранения "Балаганская районная больница" |
ФАП с. Ташлыково |
|
+ |
|
|
|
- |
1 387 905 |
0,670 |
929 896 |
||||||||||
157 |
областное государственное бюджетное учреждение здравоохранения "Балаганская районная больница" |
ФАП с. Шарагай |
|
+ |
|
|
|
- |
1 387 905 |
0,670 |
929 896 |
||||||||||
158 |
областное государственное бюджетное учреждение здравоохранения "Заларинская районная больница" |
ФАП с. Бажир |
|
+ |
|
|
|
- |
1 387 905 |
0,300 |
416 372 |
||||||||||
159 |
областное государственное бюджетное учреждение здравоохранения "Заларинская районная больница" |
ФАП д. Красное поле |
|
+ |
|
|
|
- |
1 387 905 |
0,670 |
929 896 |
||||||||||
160 |
областное государственное бюджетное учреждение здравоохранения "Заларинская районная больница" |
ФАП с. Илганское |
|
+ |
|
|
|
- |
1 387 905 |
0,300 |
416 372 |
||||||||||
161 |
областное государственное бюджетное учреждение здравоохранения "Заларинская районная больница" |
ФАП с. Новочеремховское |
|
+ |
|
|
|
- |
1 387 905 |
0,300 |
416 372 |
||||||||||
162 |
областное государственное бюджетное учреждение здравоохранения "Заларинская районная больница" |
ФАП с. Владимир |
|
+ |
|
|
|
- |
1 387 905 |
0,300 |
416 372 |
||||||||||
163 |
областное государственное бюджетное учреждение здравоохранения "Заларинская районная больница" |
ФАП Участок Ремезовский |
|
+ |
|
|
|
- |
1 387 905 |
0,300 |
416 372 |
||||||||||
164 |
областное государственное бюджетное учреждение здравоохранения "Заларинская районная больница" |
ФАП д. Романова |
|
+ |
|
|
|
- |
1 387 905 |
0,670 |
929 896 |
||||||||||
165 |
областное государственное бюджетное учреждение здравоохранения "Заларинская районная больница" |
ФАП с. Холмогой |
|
+ |
|
|
|
- |
1 387 905 |
0,670 |
929 896 |
||||||||||
166 |
областное государственное бюджетное учреждение здравоохранения "Заларинская районная больница" |
ФАП пос. Тыреть 2-я |
|
+ |
|
|
|
- |
1 387 905 |
0,670 |
929 896 |
||||||||||
167 |
областное государственное бюджетное учреждение здравоохранения "Заларинская районная больница" |
ФАП с. Веренка |
|
+ |
|
|
|
- |
1 387 905 |
0,670 |
929 896 |
||||||||||
168 |
областное государственное бюджетное учреждение здравоохранения "Заларинская районная больница" |
ФАП н.п. Участок Мейровка |
|
+ |
|
|
|
- |
1 387 905 |
0,670 |
929 896 |
||||||||||
169 |
областное государственное бюджетное учреждение здравоохранения "Заларинская районная больница" |
ФАП с. Семеновское |
|
+ |
|
|
|
- |
1 387 905 |
0,300 |
416 372 |
||||||||||
170 |
областное государственное бюджетное учреждение здравоохранения "Заларинская районная больница" |
ФАП Участок Благодатный |
|
+ |
|
|
|
- |
1 387 905 |
0,300 |
416 372 |
||||||||||
171 |
областное государственное бюджетное учреждение здравоохранения "Заларинская районная больница" |
ФАП д. Большая Заимка |
|
+ |
|
|
|
- |
1 387 905 |
0,670 |
929 896 |
||||||||||
172 |
областное государственное бюджетное учреждение здравоохранения "Заларинская районная больница" |
ФАП Участок Пихтинский |
|
+ |
|
|
|
- |
1 387 905 |
0,670 |
929 896 |
||||||||||
173 |
областное государственное бюджетное учреждение здравоохранения "Заларинская районная больница" |
ФАП д. Муруй |
|
+ |
|
|
|
- |
1 387 905 |
0,300 |
416 372 |
||||||||||
174 |
областное государственное бюджетное учреждение здравоохранения "Заларинская районная больница" |
ФАП д. Халты |
|
+ |
|
|
|
- |
1 387 905 |
0,300 |
459 165 |
||||||||||
175 |
областное государственное бюджетное учреждение здравоохранения "Заларинская районная больница" |
ФАП д. Сорты |
|
+ |
|
|
|
- |
1 387 905 |
0,670 |
929 896 |
||||||||||
176 |
областное государственное бюджетное учреждение здравоохранения "Заларинская районная больница" |
ФАП заимка Щербакова |
|
+ |
|
|
|
- |
1 387 905 |
0,300 |
416 372 |
||||||||||
177 |
областное государственное бюджетное учреждение здравоохранения "Заларинская районная больница" |
ФАП д. Заблагар |
|
+ |
|
|
|
- |
1 387 905 |
0,300 |
416 372 |
||||||||||
178 |
областное государственное бюджетное учреждение здравоохранения "Заларинская районная больница" |
ФАП д. Дмитриевка |
+ |
|
|
|
|
- |
1 110 324 |
0,670 |
743 917 |
||||||||||
179 |
областное государственное бюджетное учреждение здравоохранения "Заларинская районная больница" |
ФАП д. Романенкина |
|
+ |
|
|
|
- |
1 387 905 |
0,670 |
929 896 |
||||||||||
180 |
областное государственное бюджетное учреждение здравоохранения "Заларинская районная больница" |
ФАП с. Мойган |
|
+ |
|
|
|
- |
1 387 905 |
0,670 |
929 896 |
||||||||||
181 |
областное государственное бюджетное учреждение здравоохранения "Заларинская районная больница" |
ФАП Участок Николаевский |
+ |
|
|
|
|
- |
1 110 324 |
0,300 |
333 097 |
||||||||||
182 |
областное государственное бюджетное учреждение здравоохранения "Заларинская районная больница" |
ФАП д. Черемшанка |
|
+ |
|
|
|
- |
1 387 905 |
0,300 |
416 372 |
||||||||||
183 |
областное государственное бюджетное учреждение здравоохранения "Заларинская районная больница" |
ФАП с. Моисеевка |
|
+ |
|
|
|
- |
1 387 905 |
0,670 |
929 896 |
||||||||||
184 |
областное государственное автономное учреждение здравоохранения "Усть-Илимская городская поликлиника N 1" |
ФАП п. Бадарма |
|
+ |
|
|
|
- |
1 719 654 |
0,670 |
1 152 168 |
||||||||||
185 |
областное государственное автономное учреждение здравоохранения "Усть-Илимская городская поликлиника N 1" |
ФАП п. Бадарминск |
|
+ |
|
|
|
- |
1 719 654 |
0,670 |
1 152 168 |
||||||||||
186 |
областное государственное автономное учреждение здравоохранения "Усть-Илимская городская поликлиника N 1" |
ФАП п. Ершово |
|
+ |
|
|
|
- |
1 719 654 |
0,670 |
1 152 168 |
||||||||||
187 |
областное государственное автономное учреждение здравоохранения "Усть-Илимская городская поликлиника N 1" |
ФАП с. Подъеланка |
|
+ |
|
|
|
- |
1 719 654 |
0,670 |
1 152 168 |
||||||||||
188 |
областное государственное бюджетное учреждение здравоохранения "Нижнеудинская районная больница" |
ФАП п. Камышет |
|
+ |
|
|
|
- |
1 387 905 |
0,300 |
416 372 |
||||||||||
189 |
областное государственное бюджетное учреждение здравоохранения "Нижнеудинская районная больница" |
ФАП с. Абалаково |
+ |
|
|
|
|
- |
1 110 324 |
0,300 |
333 097 |
||||||||||
190 |
областное государственное бюджетное учреждение здравоохранения "Нижнеудинская районная больница" |
ФАП д. Уват |
+ |
|
|
|
|
- |
1 110 324 |
0,300 |
333 097 |
||||||||||
191 |
областное государственное бюджетное учреждение здравоохранения "Нижнеудинская районная больница" |
ФАП д. Швайкина |
|
+ |
|
|
|
- |
1 387 905 |
0,300 |
416 372 |
||||||||||
192 |
областное государственное бюджетное учреждение здравоохранения "Нижнеудинская районная больница" |
ФАП п. Майский |
|
+ |
|
|
|
- |
1 387 905 |
0,300 |
416 372 |
||||||||||
193 |
областное государственное бюджетное учреждение здравоохранения "Нижнеудинская районная больница" |
ФАП д. Рубахина |
|
+ |
|
|
|
- |
1 387 905 |
0,300 |
416 372 |
||||||||||
194 |
областное государственное бюджетное учреждение здравоохранения "Нижнеудинская районная больница" |
ФАП п. Подгорный |
|
+ |
|
|
|
- |
1 387 905 |
0,300 |
416 372 |
||||||||||
195 |
областное государственное бюджетное учреждение здравоохранения "Нижнеудинская районная больница" |
ФАП д. Орик |
|
+ |
|
|
|
- |
1 387 905 |
0,300 |
416 372 |
||||||||||
196 |
областное государственное бюджетное учреждение здравоохранения "Нижнеудинская районная больница" |
ФП с. Верхняя Гутара |
|
+ |
|
|
|
- |
1 387 905 |
0,670 |
929 896 |
||||||||||
197 |
областное государственное бюджетное учреждение здравоохранения "Нижнеудинская районная больница" |
ФП д. Нерха |
|
+ |
|
|
|
- |
1 387 905 |
0,670 |
929 896 |
||||||||||
198 |
областное государственное бюджетное учреждение здравоохранения "Нижнеудинская районная больница" |
ФАП д. Марга |
+ |
|
|
|
|
- |
1 110 324 |
0,300 |
333 097 |
||||||||||
199 |
областное государственное бюджетное учреждение здравоохранения "Нижнеудинская районная больница" |
ФАП п. Вершина |
|
+ |
|
|
|
- |
1 387 905 |
0,300 |
416 372 |
||||||||||
200 |
областное государственное бюджетное учреждение здравоохранения "Нижнеудинская районная больница" |
ФАП с. Даур |
|
+ |
|
|
|
- |
1 387 905 |
0,300 |
416 372 |
||||||||||
201 |
областное государственное бюджетное учреждение здравоохранения "Нижнеудинская районная больница" |
ФАП д. Большеверстовск |
|
+ |
|
|
|
- |
1 387 905 |
0,300 |
416 372 |
||||||||||
202 |
областное государственное бюджетное учреждение здравоохранения "Нижнеудинская районная больница" |
ФАП с. Иргей |
|
+ |
|
|
|
- |
1 387 905 |
0,300 |
416 372 |
||||||||||
203 |
областное государственное бюджетное учреждение здравоохранения "Нижнеудинская районная больница" |
ФАП д. Талый Ключ |
+ |
|
|
|
|
- |
1 110 324 |
0,300 |
333 097 |
||||||||||
204 |
областное государственное бюджетное учреждение здравоохранения "Нижнеудинская районная больница" |
ФАП жд. ст. Хингуй |
|
+ |
|
|
|
- |
1 387 905 |
0,300 |
416 372 |
||||||||||
205 |
областное государственное бюджетное учреждение здравоохранения "Нижнеудинская районная больница" |
ФАП д. Верхний Хингуй |
+ |
|
|
|
|
- |
1 110 324 |
0,300 |
333 097 |
||||||||||
206 |
областное государственное бюджетное учреждение здравоохранения "Нижнеудинская районная больница" |
ФАП д. Кадуй |
+ |
|
|
|
|
- |
1 110 324 |
0,300 |
333 097 |
||||||||||
207 |
областное государственное бюджетное учреждение здравоохранения "Нижнеудинская районная больница" |
ФАП с. Чехово |
|
+ |
|
|
|
- |
1 387 905 |
0,300 |
416 372 |
||||||||||
208 |
областное государственное бюджетное учреждение здравоохранения "Нижнеудинская районная больница" |
ФАП п. Кирей-Муксут |
+ |
|
|
|
|
- |
1 110 324 |
0,300 |
333 097 |
||||||||||
209 |
областное государственное бюджетное учреждение здравоохранения "Нижнеудинская районная больница" |
ФАП д. Кушун |
+ |
|
|
|
|
- |
1 110 324 |
0,300 |
333 097 |
||||||||||
210 |
областное государственное бюджетное учреждение здравоохранения "Нижнеудинская районная больница" |
ФАП д. Чалоты |
+ |
|
|
|
|
- |
1 110 324 |
0,300 |
333 097 |
||||||||||
211 |
областное государственное бюджетное учреждение здравоохранения "Нижнеудинская районная больница" |
ФАП д. Тони |
+ |
|
|
|
|
- |
1 110 324 |
0,300 |
333 097 |
||||||||||
212 |
областное государственное бюджетное учреждение здравоохранения "Нижнеудинская районная больница" |
ФАП с. Солонцы |
|
+ |
|
|
|
- |
1 387 905 |
0,300 |
416 372 |
||||||||||
213 |
областное государственное бюджетное учреждение здравоохранения "Нижнеудинская районная больница" |
ФАП п. Черемшанка |
+ |
|
|
|
|
- |
1 110 324 |
0,300 |
333 097 |
||||||||||
214 |
областное государственное бюджетное учреждение здравоохранения "Нижнеудинская районная больница" |
ФАП с. Боровинок |
+ |
|
|
|
|
- |
1 110 324 |
0,300 |
333 097 |
||||||||||
215 |
областное государственное бюджетное учреждение здравоохранения "Нижнеудинская районная больница" |
ФАП д. Заречье |
|
+ |
|
|
|
- |
1 387 905 |
0,300 |
416 372 |
||||||||||
216 |
областное государственное бюджетное учреждение здравоохранения "Нижнеудинская районная больница" |
ФАП с. Широково |
|
+ |
|
|
|
- |
1 387 905 |
0,300 |
416 372 |
||||||||||
217 |
областное государственное бюджетное учреждение здравоохранения "Нижнеудинская районная больница" |
ФАП д. Зенцова |
|
+ |
|
|
|
- |
1 387 905 |
0,300 |
416 372 |
||||||||||
218 |
областное государственное бюджетное учреждение здравоохранения "Нижнеудинская районная больница" |
ФАП д. Шум |
|
+ |
|
|
|
- |
1 387 905 |
0,300 |
416 372 |
||||||||||
219 |
областное государственное бюджетное учреждение здравоохранения "Нижнеудинская районная больница" |
ФАП д. Ук-Бадарановка |
+ |
|
|
|
|
- |
1 110 324 |
0,300 |
333 097 |
||||||||||
220 |
областное государственное бюджетное учреждение здравоохранения "Нижнеудинская районная больница" |
ФАП д. Шипицина |
|
+ |
|
|
|
- |
1 387 905 |
0,300 |
416 372 |
||||||||||
221 |
областное государственное бюджетное учреждение здравоохранения "Нижнеудинская районная больница" |
ФАП п. Лесной |
+ |
|
|
|
|
- |
1 110 324 |
0,300 |
333 097 |
||||||||||
222 |
областное государственное бюджетное учреждение здравоохранения "Нижнеудинская районная больница" |
ФАП п. Усть-Кадуй |
+ |
|
|
|
|
- |
1 110 324 |
0,300 |
333 097 |
||||||||||
223 |
областное государственное бюджетное учреждение здравоохранения "Нижнеудинская районная больница" |
ФАП уч. Октябрьский |
|
+ |
|
|
|
- |
1 387 905 |
0,300 |
416 372 |
||||||||||
224 |
областное государственное бюджетное учреждение здравоохранения "Нижнеудинская районная больница" |
ФАП д. Укар |
|
+ |
|
|
|
- |
1 387 905 |
0,670 |
929 896 |
||||||||||
225 |
областное государственное бюджетное учреждение здравоохранения "Нижнеудинская районная больница" |
ФАП уч. Загорье |
+ |
|
|
|
|
- |
1 110 324 |
0,300 |
333 097 |
||||||||||
226 |
областное государственное бюджетное учреждение здравоохранения "Нижнеудинская районная больница" |
ФАП п. Первомайский |
|
+ |
|
|
|
- |
1 387 905 |
0,300 |
416 372 |
||||||||||
227 |
областное государственное бюджетное учреждение здравоохранения "Нижнеудинская районная больница" |
ФАП уч. Таежный |
+ |
|
|
|
|
- |
1 110 324 |
0,300 |
333 097 |
||||||||||
228 |
областное государственное бюджетное учреждение здравоохранения "Нижнеудинская районная больница" |
ФАП п. Замзор |
|
|
+ |
|
|
- |
2 198 676 |
0,300 |
659 603 |
||||||||||
229 |
областное государственное бюджетное учреждение здравоохранения "Нижнеудинская районная больница" |
ФАП с. Катарма |
+ |
|
|
|
|
- |
1 110 324 |
0,300 |
333 097 |
||||||||||
230 |
областное государственное бюджетное учреждение здравоохранения "Нижнеудинская районная больница" |
ФАП п. Новокиевск |
+ |
|
|
|
|
- |
1 110 324 |
0,300 |
333 097 |
||||||||||
231 |
областное государственное бюджетное учреждение здравоохранения "Нижнеудинская районная больница" |
ФАП участок Новогродинск |
+ |
|
|
|
|
- |
1 110 324 |
0,300 |
333 097 |
||||||||||
232 |
областное государственное бюджетное учреждение здравоохранения "Нижнеудинская районная больница" |
ФАП с. Старый Алзамай |
|
+ |
|
|
|
- |
1 387 905 |
0,300 |
416 372 |
||||||||||
233 |
областное государственное бюджетное учреждение здравоохранения "Нижнеудинская районная больница" |
ФАП п. Вознесенский |
|
+ |
|
|
|
- |
1 387 905 |
0,670 |
929 896 |
||||||||||
234 |
областное государственное бюджетное учреждение здравоохранения "Нижнеудинская районная больница" |
ФАП д. Мара |
|
+ |
|
|
|
- |
1 387 905 |
0,300 |
416 372 |
||||||||||
235 |
областное государственное бюджетное учреждение здравоохранения "Нижнеудинская районная больница" |
ФАП уч. Куряты |
|
+ |
|
|
|
- |
1 387 905 |
0,300 |
416 372 |
||||||||||
236 |
областное государственное бюджетное учреждение здравоохранения "Нижнеудинская районная больница" |
ФАП д. Каксат |
+ |
|
|
|
|
- |
1 110 324 |
0,300 |
333 097 |
||||||||||
237 |
областное государственное бюджетное учреждение здравоохранения "Нижнеудинская районная больница" |
ФАП д. Новое Село |
|
+ |
|
|
|
- |
1 387 905 |
0,300 |
416 372 |
||||||||||
238 |
областное государственное бюджетное учреждение здравоохранения "Нижнеудинская районная больница" |
ФАП с. Каменка |
|
+ |
|
|
|
- |
1 387 905 |
0,300 |
416 372 |
||||||||||
239 |
областное государственное бюджетное учреждение здравоохранения "Нижнеудинская районная больница" |
ФАП п. Буракова |
+ |
|
|
|
|
- |
1 110 324 |
0,300 |
333 097 |
||||||||||
240 |
областное государственное бюджетное учреждение здравоохранения "Нижнеудинская районная больница" |
ФАП д. Ут |
+ |
|
|
|
|
- |
1 110 324 |
0,300 |
333 097 |
||||||||||
241 |
областное государственное бюджетное учреждение здравоохранения "Нижнеудинская районная больница" |
ФАП д. Бородинск |
+ |
|
|
|
|
- |
1 110 324 |
0,300 |
333 097 |
||||||||||
242 |
областное государственное бюджетное учреждение здравоохранения "Нижнеудинская районная больница" |
ФАП д. Кургатей |
+ |
|
|
|
|
- |
1 110 324 |
0,300 |
333 097 |
||||||||||
243 |
областное государственное бюджетное учреждение здравоохранения "Нижнеудинская районная больница" |
ФАП п. Водопадный |
|
+ |
|
|
|
- |
1 387 905 |
0,300 |
416 372 |
||||||||||
244 |
областное государственное бюджетное учреждение здравоохранения "Иркутская районная больница" |
ФАП д. Карлук |
|
|
|
|
+ |
- |
2 962 719 |
0,300 |
888 816 |
||||||||||
245 |
областное государственное бюджетное учреждение здравоохранения "Иркутская районная больница" |
ФАП п. Горячий Ключ |
|
+ |
|
|
|
- |
1 387 905 |
0,670 |
929 896 |
||||||||||
246 |
областное государственное бюджетное учреждение здравоохранения "Иркутская районная больница" |
ФАП с. Пивовариха |
|
|
|
|
+ |
- |
2 962 719 |
0,300 |
888 816 |
||||||||||
247 |
областное государственное бюджетное учреждение здравоохранения "Иркутская районная больница" |
ФАП пос. Плишкино |
|
|
|
|
+ |
- |
2 962 719 |
0,300 |
888 816 |
||||||||||
248 |
областное государственное бюджетное учреждение здравоохранения "Иркутская районная больница" |
ФАП с. Еловка |
|
+ |
|
|
|
- |
1 387 905 |
0,300 |
416 372 |
||||||||||
249 |
областное государственное бюджетное учреждение здравоохранения "Иркутская районная больница" |
ФАП д. Быкова |
|
+ |
|
|
|
- |
1 387 905 |
0,300 |
416 372 |
||||||||||
|
областное государственное бюджетное учреждение здравоохранения "Иркутская районная больница" |
ФАП с. Горохово |
ФАП исключен из Перечня |
1 387 905 |
0,300 |
34 698 |
|||||||||||||||
250 |
областное государственное бюджетное учреждение здравоохранения "Иркутская районная больница" |
ФАП д. Баруй |
|
+ |
|
|
|
- |
1 387 905 |
0,300 |
416 372 |
||||||||||
251 |
областное государственное бюджетное учреждение здравоохранения "Иркутская районная больница" |
ФАП д. Верхний Кет |
+ |
|
|
|
|
- |
1 110 324 |
0,300 |
333 097 |
||||||||||
252 |
областное государственное бюджетное учреждение здравоохранения "Иркутская районная больница" |
ФАП пос. Бухун |
+ |
|
|
|
|
- |
1 110 324 |
0,300 |
333 097 |
||||||||||
253 |
областное государственное бюджетное учреждение здравоохранения "Иркутская районная больница" |
ФАП д. Сайгуты |
|
+ |
|
|
|
- |
1 387 905 |
0,300 |
416 372 |
||||||||||
254 |
областное государственное бюджетное учреждение здравоохранения "Иркутская районная больница" |
ФАП д. Зорино-Быково |
|
+ |
|
|
|
- |
1 387 905 |
0,300 |
416 372 |
||||||||||
255 |
областное государственное бюджетное учреждение здравоохранения "Иркутская районная больница" |
ФАП пос. Усть-Балей |
|
+ |
|
|
|
- |
1 387 905 |
0,300 |
416 372 |
||||||||||
256 |
областное государственное бюджетное учреждение здравоохранения "Иркутская районная больница" |
ФАП д. Рязановщина |
|
+ |
|
|
|
- |
1 387 905 |
0,300 |
416 372 |
||||||||||
257 |
областное государственное бюджетное учреждение здравоохранения "Иркутская районная больница" |
ФАП д. Коты |
|
+ |
|
|
|
- |
1 387 905 |
0,300 |
416 372 |
||||||||||
258 |
областное государственное бюджетное учреждение здравоохранения "Иркутская районная больница" |
ФАП д. Максимовщина |
|
+ |
|
|
|
- |
1 387 905 |
0,300 |
416 372 |
||||||||||
259 |
областное государственное бюджетное учреждение здравоохранения "Иркутская районная больница" |
ФАП д. Галки |
|
+ |
|
|
|
- |
1 387 905 |
0,300 |
416 372 |
||||||||||
260 |
областное государственное бюджетное учреждение здравоохранения "Иркутская районная больница" |
ФАП д. Жердовка |
|
+ |
|
|
|
- |
1 387 905 |
0,300 |
416 372 |
||||||||||
261 |
областное государственное бюджетное учреждение здравоохранения "Иркутская районная больница" |
ФАП д. Ревякина |
|
+ |
|
|
|
- |
1 387 905 |
0,300 |
416 372 |
||||||||||
262 |
областное государственное бюджетное учреждение здравоохранения "Иркутская районная больница" |
ФАП д. Кыцигировка |
|
+ |
|
|
|
- |
1 387 905 |
0,300 |
416 372 |
||||||||||
263 |
областное государственное бюджетное учреждение здравоохранения "Иркутская районная больница" |
ФАП д. Егоровщина |
|
+ |
|
|
|
- |
1 387 905 |
0,300 |
416 372 |
||||||||||
264 |
областное государственное бюджетное учреждение здравоохранения "Иркутская районная больница" |
ФАП д. Бургаз |
|
+ |
|
|
|
- |
1 387 905 |
0,300 |
416 372 |
||||||||||
265 |
областное государственное бюджетное учреждение здравоохранения "Иркутская районная больница" |
ФАП с. Большое Голоустное |
|
+ |
|
|
|
- |
1 387 905 |
0,300 |
416 372 |
||||||||||
266 |
областное государственное бюджетное учреждение здравоохранения "Иркутская районная больница" |
ФАП пос. Большие Коты |
+ |
|
|
|
|
- |
1 110 324 |
0,300 |
333 097 |
||||||||||
267 |
областное государственное бюджетное учреждение здравоохранения "Иркутская районная больница" |
ФАП р.п. Листвянка |
|
|
|
+ |
|
- |
2 468 932 |
0,300 |
740 680 |
||||||||||
268 |
областное государственное бюджетное учреждение здравоохранения "Иркутская районная больница" |
ФАП с. Бурдугуз |
|
+ |
|
|
|
- |
1 387 905 |
0,300 |
416 372 |
||||||||||
269 |
областное государственное бюджетное учреждение здравоохранения "Иркутская районная больница" |
ФАП с. Талька |
|
+ |
|
|
|
- |
1 387 905 |
0,300 |
416 372 |
||||||||||
270 |
областное государственное бюджетное учреждение здравоохранения "Иркутская районная больница" |
ФАП пос. Горный |
|
+ |
|
|
|
- |
1 387 905 |
0,300 |
416 372 |
||||||||||
271 |
областное государственное бюджетное учреждение здравоохранения "Иркутская районная больница" |
ФАП д. Позднякова |
|
+ |
|
|
|
- |
1 387 905 |
0,300 |
416 372 |
||||||||||
272 |
областное государственное бюджетное учреждение здравоохранения "Иркутская районная больница" |
ФАП д. Куда |
|
|
|
|
+ |
- |
2 962 719 |
0,300 |
888 816 |
||||||||||
273 |
областное государственное бюджетное учреждение здравоохранения "Иркутская районная больница" |
ФАП д. Усть-Куда |
|
|
|
|
+ |
- |
2 962 719 |
0,580 |
1 718 377 |
||||||||||
274 |
областное государственное бюджетное учреждение здравоохранения "Иркутская районная больница" |
ФАП д. Ширяева |
|
|
+ |
|
|
- |
2 198 676 |
0,300 |
659 603 |
||||||||||
275 |
областное государственное бюджетное учреждение здравоохранения "Иркутская районная больница" |
ФАП д. Тихонова Падь |
|
+ |
|
|
|
- |
1 387 905 |
0,300 |
416 372 |
||||||||||
276 |
областное государственное бюджетное учреждение здравоохранения "Иркутская районная больница" |
ФАП д. Столбова |
|
|
+ |
|
|
- |
2 198 676 |
0,300 |
659 603 |
||||||||||
277 |
областное государственное бюджетное учреждение здравоохранения "Иркутская районная больница" |
ФАП д. Московщина |
|
|
+ |
|
|
- |
2 198 676 |
0,300 |
659 603 |
||||||||||
278 |
областное государственное бюджетное учреждение здравоохранения "Иркутская районная больница" |
ФАП д. Лыловщина |
|
+ |
|
|
|
- |
1 387 905 |
0,300 |
416 372 |
||||||||||
279 |
областное государственное бюджетное учреждение здравоохранения "Иркутская районная больница" |
ФАП д. Грановщина |
|
|
|
|
+ |
- |
2 962 719 |
0,300 |
888 816 |
||||||||||
280 |
областное государственное бюджетное учреждение здравоохранения "Иркутская районная больница" |
ФАП д. Горяшина |
|
+ |
|
|
|
- |
1 387 905 |
0,670 |
929 896 |
||||||||||
281 |
областное государственное бюджетное учреждение здравоохранения "Иркутская районная больница" |
ФАП п. Падь Мельничная |
|
|
|
|
+ |
- |
2 962 719 |
0,300 |
888 816 |
||||||||||
282 |
областное государственное бюджетное учреждение здравоохранения "Иркутская районная больница" |
ФАП д. Бурдаковка |
|
+ |
|
|
|
- |
1 387 905 |
0,670 |
929 896 |
||||||||||
283 |
областное государственное бюджетное учреждение здравоохранения "Иркутская районная больница" |
ФАП д. Новолисиха |
|
|
+ |
|
|
- |
2 198 676 |
0,300 |
659 603 |
||||||||||
284 |
областное государственное бюджетное учреждение здравоохранения "Иркутская районная больница" |
ФАП п. Патроны |
|
+ |
|
|
|
- |
1 387 905 |
0,300 |
416 372 |
||||||||||
285 |
областное государственное бюджетное учреждение здравоохранения "Иркутская районная больница" |
ФАП д. Турская |
|
+ |
|
|
|
- |
1 387 905 |
0,300 |
416 372 |
||||||||||
286 |
областное государственное бюджетное учреждение здравоохранения "Иркутская районная больница" |
ФАП д. Худякова |
|
+ |
|
|
|
- |
1 387 905 |
0,670 |
929 896 |
||||||||||
287 |
областное государственное бюджетное учреждение здравоохранения "Иркутская районная больница" |
ФАП с. Хомутово |
|
|
|
|
+ |
- |
2 962 719 |
0,580 |
1 718 377 |
||||||||||
288 |
областное государственное автономное учреждение здравоохранения "Ангарская городская больница N 1" |
ФАП с. Одинск |
|
|
+ |
|
|
- |
2 198 676 |
0,300 |
659 603 |
||||||||||
289 |
областное государственное автономное учреждение здравоохранения "Ангарская городская больница N 1" |
ФАП п. Ново-Одинск |
|
+ |
|
|
|
- |
1 387 905 |
0,300 |
416 372 |
||||||||||
290 |
областное государственное автономное учреждение здравоохранения "Ангарская городская больница N 1" |
ФАП з. Ивановка |
|
+ |
|
|
|
- |
1 387 905 |
0,300 |
416 372 |
||||||||||
291 |
областное государственное автономное учреждение здравоохранения "Ангарская городская больница N 1" |
ФАП с. Савватеевка |
|
|
+ |
|
|
- |
2 198 676 |
0,300 |
659 603 |
||||||||||
292 |
областное государственное автономное учреждение здравоохранения "Ангарская городская больница N 1" |
ФАП д. Зуй |
|
+ |
|
|
|
- |
1 387 905 |
0,670 |
929 896 |
||||||||||
293 |
областное государственное бюджетное учреждение здравоохранения "Областная больница N 2" |
ФАП с. Булуса |
|
+ |
|
|
|
- |
1 387 905 |
0,670 |
929 896 |
||||||||||
294 |
областное государственное бюджетное учреждение здравоохранения "Областная больница N 2" |
ФАП д. Верхняя Идыга |
|
+ |
|
|
|
- |
1 387 905 |
0,670 |
929 896 |
||||||||||
295 |
областное государственное бюджетное учреждение здравоохранения "Областная больница N 2" |
ФАП д. Зады |
|
+ |
|
|
|
- |
1 387 905 |
0,300 |
416 372 |
||||||||||
296 |
областное государственное бюджетное учреждение здравоохранения "Областная больница N 2" |
ФАП с. Капсал |
|
+ |
|
|
|
- |
1 387 905 |
0,670 |
929 896 |
||||||||||
297 |
областное государственное бюджетное учреждение здравоохранения "Областная больница N 2" |
ФАП д. Кударейка |
|
+ |
|
|
|
- |
1 387 905 |
0,670 |
929 896 |
||||||||||
298 |
областное государственное бюджетное учреждение здравоохранения "Областная больница N 2" |
ФАП д. Кукунуты |
|
+ |
|
|
|
- |
1 387 905 |
0,300 |
416 372 |
||||||||||
299 |
областное государственное бюджетное учреждение здравоохранения "Областная больница N 2" |
ФАП с. Кулункун |
|
+ |
|
|
|
- |
1 387 905 |
0,670 |
929 896 |
||||||||||
300 |
областное государственное бюджетное учреждение здравоохранения "Областная больница N 2" |
ФАП с. Харазаргай |
|
+ |
|
|
|
- |
1 387 905 |
0,670 |
929 896 |
||||||||||
301 |
областное государственное бюджетное учреждение здравоохранения "Областная больница N 2" |
ФАП д. Нижняя Идыга |
|
+ |
|
|
|
- |
1 387 905 |
0,670 |
929 896 |
||||||||||
302 |
областное государственное бюджетное учреждение здравоохранения "Областная больница N 2" |
ФАП с. Ахины |
|
+ |
|
|
|
- |
1 387 905 |
0,300 |
416 372 |
||||||||||
303 |
областное государственное бюджетное учреждение здравоохранения "Областная больница N 2" |
ФАП д. Байтог |
|
+ |
|
|
|
- |
1 387 905 |
0,670 |
929 896 |
||||||||||
304 |
областное государственное бюджетное учреждение здравоохранения "Областная больница N 2" |
ФАП с. Бозой |
|
+ |
|
|
|
- |
1 387 905 |
0,670 |
929 896 |
||||||||||
305 |
областное государственное бюджетное учреждение здравоохранения "Областная больница N 2" |
ФАП д. Хабаровск |
|
+ |
|
|
|
- |
1 387 905 |
0,300 |
416 372 |
||||||||||
306 |
областное государственное бюджетное учреждение здравоохранения "Областная больница N 2" |
ФАП с. Новониколаевск |
|
+ |
|
|
|
- |
1 387 905 |
0,670 |
929 896 |
||||||||||
307 |
областное государственное бюджетное учреждение здравоохранения "Областная больница N 2" |
ФАП с. Алужино |
|
+ |
|
|
|
- |
1 387 905 |
0,670 |
929 896 |
||||||||||
308 |
областное государственное бюджетное учреждение здравоохранения "Областная больница N 2" |
ФАП д. Камой |
|
+ |
|
|
|
- |
1 387 905 |
0,330 |
458 009 |
||||||||||
309 |
областное государственное бюджетное учреждение здравоохранения "Областная больница N 2" |
ФАП д. Большая Кура |
|
+ |
|
|
|
- |
1 387 905 |
0,670 |
929 896 |
||||||||||
310 |
областное государственное бюджетное учреждение здравоохранения "Областная больница N 2" |
ФАП д. Шохтой |
|
+ |
|
|
|
- |
1 387 905 |
0,300 |
416 372 |
||||||||||
311 |
областное государственное бюджетное учреждение здравоохранения "Областная больница N 2" |
ФАП с. Корсук |
|
+ |
|
|
|
- |
1 387 905 |
0,300 |
416 372 |
||||||||||
312 |
областное государственное бюджетное учреждение здравоохранения "Областная больница N 2" |
ФАП д. Баянгазуй |
|
+ |
|
|
|
- |
1 387 905 |
0,670 |
929 896 |
||||||||||
313 |
областное государственное бюджетное учреждение здравоохранения "Областная больница N 2" |
ФАП д. Муромцовка |
|
+ |
|
|
|
- |
1 387 905 |
0,670 |
929 896 |
||||||||||
314 |
областное государственное бюджетное учреждение здравоохранения "Областная больница N 2" |
ФАП д. Отонхой |
|
+ |
|
|
|
- |
1 387 905 |
0,670 |
929 896 |
||||||||||
315 |
областное государственное бюджетное учреждение здравоохранения "Баяндаевская районная больница" |
ФАП д. Люры |
|
+ |
|
|
|
- |
1 387 905 |
0,300 |
416 372 |
||||||||||
316 |
областное государственное бюджетное учреждение здравоохранения "Баяндаевская районная больница" |
ФАП с. Тургеневка |
|
+ |
|
|
|
- |
1 387 905 |
0,300 |
416 372 |
||||||||||
317 |
областное государственное бюджетное учреждение здравоохранения "Баяндаевская районная больница" |
ФАП д. Шаманка |
|
+ |
|
|
|
- |
1 387 905 |
0,670 |
929 896 |
||||||||||
318 |
областное государственное бюджетное учреждение здравоохранения "Баяндаевская районная больница" |
ФАП д. Бохолдой |
+ |
|
|
|
|
- |
1 110 324 |
0,300 |
333 097 |
||||||||||
319 |
областное государственное бюджетное учреждение здравоохранения "Баяндаевская районная больница" |
ФАП с. Нагалык |
|
+ |
|
|
|
- |
1 387 905 |
0,300 |
416 372 |
||||||||||
320 |
областное государственное бюджетное учреждение здравоохранения "Баяндаевская районная больница" |
ФАП д. Нуху-Нур |
+ |
|
|
|
|
- |
1 110 324 |
0,670 |
743 917 |
||||||||||
321 |
областное государственное бюджетное учреждение здравоохранения "Баяндаевская районная больница" |
ФАП д. Еленинск |
+ |
|
|
|
|
- |
1 110 324 |
0,300 |
333 097 |
||||||||||
322 |
областное государственное бюджетное учреждение здравоохранения "Баяндаевская районная больница" |
ФАП д. Бадагуй |
|
+ |
|
|
|
- |
1 387 905 |
0,300 |
416 372 |
||||||||||
323 |
областное государственное бюджетное учреждение здравоохранения "Баяндаевская районная больница" |
ФАП д. Идыгей |
|
+ |
|
|
|
- |
1 387 905 |
0,300 |
416 372 |
||||||||||
324 |
областное государственное бюджетное учреждение здравоохранения "Баяндаевская районная больница" |
ФАП с. Наумовка |
|
+ |
|
|
|
- |
1 387 905 |
0,300 |
416 372 |
||||||||||
325 |
областное государственное бюджетное учреждение здравоохранения "Баяндаевская районная больница" |
ФАП с. Хатар-Хадай |
|
+ |
|
|
|
- |
1 387 905 |
0,300 |
416 372 |
||||||||||
326 |
областное государственное бюджетное учреждение здравоохранения "Баяндаевская районная больница" |
ФАП с. Харагун |
+ |
|
|
|
|
- |
1 110 324 |
0,300 |
333 097 |
||||||||||
327 |
областное государственное бюджетное учреждение здравоохранения "Баяндаевская районная больница" |
ФАП д. Лидинская |
+ |
|
|
|
|
- |
1 110 324 |
0,300 |
333 097 |
||||||||||
328 |
областное государственное бюджетное учреждение здравоохранения "Баяндаевская районная больница" |
ФАП д. Кокорино |
|
+ |
|
|
|
- |
1 387 905 |
0,300 |
416 372 |
||||||||||
329 |
областное государственное бюджетное учреждение здравоохранения "Баяндаевская районная больница" |
ФАП д. Хандагай |
|
+ |
|
|
|
- |
1 387 905 |
0,300 |
416 372 |
||||||||||
330 |
областное государственное бюджетное учреждение здравоохранения "Баяндаевская районная больница" |
ФАП д. Шутхалун |
|
+ |
|
|
|
- |
1 387 905 |
0,300 |
416 372 |
||||||||||
331 |
областное государственное бюджетное учреждение здравоохранения "Баяндаевская районная больница" |
ФАП д. Кайзеран |
|
+ |
|
|
|
- |
1 387 905 |
0,300 |
416 372 |
||||||||||
332 |
областное государственное бюджетное учреждение здравоохранения "Баяндаевская районная больница" |
ФАП д. Улан |
|
+ |
|
|
|
- |
1 387 905 |
0,300 |
416 372 |
||||||||||
333 |
областное государственное бюджетное учреждение здравоохранения "Баяндаевская районная больница" |
ФАП д. Старый Хогот |
+ |
|
|
|
|
- |
1 110 324 |
0,300 |
333 097 |
||||||||||
334 |
областное государственное бюджетное учреждение здравоохранения "Баяндаевская районная больница" |
ФАП д. Тухум |
+ |
|
|
|
|
- |
1 110 324 |
0,300 |
333 097 |
||||||||||
335 |
областное государственное бюджетное учреждение здравоохранения "Баяндаевская районная больница" |
ФАП д. Нагатай |
+ |
|
|
|
|
- |
1 110 324 |
0,300 |
333 097 |
||||||||||
336 |
областное государственное бюджетное учреждение здравоохранения "Боханская районная больница" |
ФАП с. Тараса |
|
|
+ |
|
|
- |
2 198 676 |
0,300 |
659 603 |
||||||||||
337 |
областное государственное бюджетное учреждение здравоохранения "Боханская районная больница" |
ФАП д. Кулаково |
|
+ |
|
|
|
- |
1 387 905 |
0,300 |
416 372 |
||||||||||
338 |
областное государственное бюджетное учреждение здравоохранения "Боханская районная больница" |
ФАП д. Ново-Алендарь |
|
+ |
|
|
|
- |
1 387 905 |
0,300 |
416 372 |
||||||||||
339 |
областное государственное бюджетное учреждение здравоохранения "Боханская районная больница" |
ФАП с. Новая Ида |
|
|
+ |
|
|
- |
2 198 676 |
0,300 |
659 603 |
||||||||||
340 |
областное государственное бюджетное учреждение здравоохранения "Боханская районная больница" |
ФАП д. Хандагай |
|
+ |
|
|
|
- |
1 387 905 |
0,300 |
416 372 |
||||||||||
341 |
областное государственное бюджетное учреждение здравоохранения "Боханская районная больница" |
ФАП д. Булык |
|
+ |
|
|
|
- |
1 387 905 |
0,300 |
416 372 |
||||||||||
342 |
областное государственное бюджетное учреждение здравоохранения "Боханская районная больница" |
ФАП с. Хохорск |
|
|
+ |
|
|
- |
2 198 676 |
0,300 |
659 603 |
||||||||||
343 |
областное государственное бюджетное учреждение здравоохранения "Боханская районная больница" |
ФАП д. Харатирген |
|
+ |
|
|
|
- |
1 387 905 |
0,300 |
416 372 |
||||||||||
344 |
областное государственное бюджетное учреждение здравоохранения "Боханская районная больница" |
ФАП д. Русиновка |
|
+ |
|
|
|
- |
1 387 905 |
0,300 |
416 372 |
||||||||||
345 |
областное государственное бюджетное учреждение здравоохранения "Боханская районная больница" |
ФАП д. Ново-Воскресенка |
|
+ |
|
|
|
- |
1 387 905 |
0,300 |
416 372 |
||||||||||
346 |
областное государственное бюджетное учреждение здравоохранения "Боханская районная больница" |
ФАП д. Воробьевка |
|
+ |
|
|
|
- |
1 387 905 |
0,300 |
416 372 |
||||||||||
347 |
областное государственное бюджетное учреждение здравоохранения "Боханская районная больница" |
ФАП д. Грехневка |
|
+ |
|
|
|
- |
1 387 905 |
0,300 |
416 372 |
||||||||||
348 |
областное государственное бюджетное учреждение здравоохранения "Боханская районная больница" |
ФАП д. Быргазово |
|
+ |
|
|
|
- |
1 387 905 |
0,300 |
416 372 |
||||||||||
349 |
областное государственное бюджетное учреждение здравоохранения "Боханская районная больница" |
ФАП д. Укыр |
|
+ |
|
|
|
- |
1 387 905 |
0,670 |
929 896 |
||||||||||
350 |
областное государственное бюджетное учреждение здравоохранения "Боханская районная больница" |
ФАП д. Маньково |
|
+ |
|
|
|
- |
1 387 905 |
0,300 |
416 372 |
||||||||||
351 |
областное государственное бюджетное учреждение здравоохранения "Боханская районная больница" |
ФАП д. Петрограновка |
|
+ |
|
|
|
- |
1 387 905 |
0,300 |
416 372 |
||||||||||
352 |
областное государственное бюджетное учреждение здравоохранения "Боханская районная больница" |
ФАП с. Дундай |
|
+ |
|
|
|
- |
1 387 905 |
0,670 |
929 896 |
||||||||||
353 |
областное государственное бюджетное учреждение здравоохранения "Боханская районная больница" |
ФАП д. Вершина |
|
+ |
|
|
|
- |
1 387 905 |
0,300 |
416 372 |
||||||||||
354 |
областное государственное бюджетное учреждение здравоохранения "Боханская районная больница" |
ФАП д. Харагун |
|
+ |
|
|
|
- |
1 387 905 |
0,300 |
416 372 |
||||||||||
355 |
областное государственное бюджетное учреждение здравоохранения "Боханская районная больница" |
ФАП д. Чилим |
+ |
|
|
|
|
- |
1 110 324 |
0,300 |
333 097 |
||||||||||
356 |
областное государственное бюджетное учреждение здравоохранения "Боханская районная больница" |
ФАП д. Логаново |
|
+ |
|
|
|
- |
1 387 905 |
0,300 |
416 372 |
||||||||||
357 |
областное государственное бюджетное учреждение здравоохранения "Боханская районная больница" |
ФАП д. Крюково |
|
+ |
|
|
|
- |
1 387 905 |
0,300 |
416 372 |
||||||||||
358 |
областное государственное бюджетное учреждение здравоохранения "Боханская районная больница" |
ФАП д. Мутиново |
|
+ |
|
|
|
- |
1 387 905 |
0,300 |
416 372 |
||||||||||
359 |
областное государственное бюджетное учреждение здравоохранения "Боханская районная больница" |
ФАП д. Морозово |
|
+ |
|
|
|
- |
1 387 905 |
0,300 |
416 372 |
||||||||||
360 |
областное государственное бюджетное учреждение здравоохранения "Боханская районная больница" |
ФАП д. Красная Буреть |
|
+ |
|
|
|
- |
1 387 905 |
0,300 |
416 372 |
||||||||||
361 |
областное государственное бюджетное учреждение здравоохранения "Боханская районная больница" |
ФАП з. Гречехан |
|
+ |
|
|
|
- |
1 387 905 |
0,500 |
693 953 |
||||||||||
362 |
областное государственное бюджетное учреждение здравоохранения "Жигаловская районная больница" |
Рудовский ФАП |
|
+ |
|
|
|
- |
1 387 905 |
0,300 |
416 372 |
||||||||||
363 |
областное государственное бюджетное учреждение здравоохранения "Жигаловская районная больница" |
Лукиновский ФАП |
+ |
|
|
|
|
- |
1 110 324 |
0,300 |
333 097 |
||||||||||
364 |
областное государственное бюджетное учреждение здравоохранения "Жигаловская районная больница" |
Усть-Илгинский ФАП |
+ |
|
|
|
|
- |
1 110 324 |
0,670 |
743 917 |
||||||||||
365 |
областное государственное бюджетное учреждение здравоохранения "Жигаловская районная больница" |
Нижне-Слободский ФАП |
|
+ |
|
|
|
- |
1 387 905 |
0,670 |
929 896 |
||||||||||
366 |
областное государственное бюджетное учреждение здравоохранения "Жигаловская районная больница" |
Коношановский ФАП |
+ |
|
|
|
|
- |
1 110 324 |
0,300 |
333 097 |
||||||||||
367 |
областное государственное бюджетное учреждение здравоохранения "Жигаловская районная больница" |
Дальне-Закорский ФАП |
|
+ |
|
|
|
- |
1 387 905 |
0,670 |
929 896 |
||||||||||
368 |
областное государственное бюджетное учреждение здравоохранения "Жигаловская районная больница" |
Тутурский ФАП |
|
+ |
|
|
|
- |
1 387 905 |
0,300 |
416 372 |
||||||||||
369 |
областное государственное бюджетное учреждение здравоохранения "Жигаловская районная больница" |
Тимошинский ФАП |
|
+ |
|
|
|
- |
1 387 905 |
0,300 |
416 372 |
||||||||||
370 |
областное государственное бюджетное учреждение здравоохранения "Жигаловская районная больница" |
Каченский ФАП |
+ |
|
|
|
|
- |
1 110 324 |
0,670 |
743 917 |
||||||||||
371 |
областное государственное бюджетное учреждение здравоохранения "Жигаловская районная больница" |
Байдоновский ФАП |
+ |
|
|
|
|
- |
1 110 324 |
0,300 |
333 097 |
||||||||||
372 |
областное государственное бюджетное учреждение здравоохранения "Жигаловская районная больница" |
Чиканский ФАП |
|
+ |
|
|
|
- |
1 387 905 |
0,300 |
416 372 |
||||||||||
373 |
областное государственное бюджетное учреждение здравоохранения "Жигаловская районная больница" |
Воробьевский ФАП |
|
+ |
|
|
|
- |
1 387 905 |
0,670 |
929 896 |
||||||||||
374 |
областное государственное бюджетное учреждение здравоохранения "Жигаловская районная больница" |
Пономаревский ФАП |
|
+ |
|
|
|
- |
1 387 905 |
0,670 |
929 896 |
||||||||||
375 |
областное государственное бюджетное учреждение здравоохранения "Жигаловская районная больница" |
Петровский ФАП |
|
+ |
|
|
|
- |
1 387 905 |
0,300 |
416 372 |
||||||||||
376 |
областное государственное бюджетное учреждение здравоохранения "Качугская районная больница" |
ФАП д. Аргун |
|
+ |
|
|
|
- |
1 387 905 |
0,300 |
416 372 |
||||||||||
377 |
областное государственное бюджетное учреждение здравоохранения "Качугская районная больница" |
ФАП с. Хальск |
+ |
|
|
|
|
- |
1 110 324 |
0,300 |
333 097 |
||||||||||
378 |
областное государственное бюджетное учреждение здравоохранения "Качугская районная больница" |
ФАП д. Ацикяк |
+ |
|
|
|
|
- |
1 110 324 |
0,300 |
333 097 |
||||||||||
379 |
областное государственное бюджетное учреждение здравоохранения "Качугская районная больница" |
ФАП с. Никилей |
|
+ |
|
|
|
- |
1 387 905 |
0,300 |
416 372 |
||||||||||
380 |
областное государственное бюджетное учреждение здравоохранения "Качугская районная больница" |
ФАП д. Большой Косогол |
|
+ |
|
|
|
- |
1 387 905 |
0,300 |
416 372 |
||||||||||
381 |
областное государственное бюджетное учреждение здравоохранения "Качугская районная больница" |
ФАП д. Литвинова |
|
+ |
|
|
|
- |
1 387 905 |
0,300 |
416 372 |
||||||||||
382 |
областное государственное бюджетное учреждение здравоохранения "Качугская районная больница" |
ФАП д. Большие Голы |
|
+ |
|
|
|
- |
1 387 905 |
0,300 |
416 372 |
||||||||||
383 |
областное государственное бюджетное учреждение здравоохранения "Качугская районная больница" |
ФАП д. Магдан |
+ |
|
|
|
|
- |
1 110 324 |
0,300 |
333 097 |
||||||||||
384 |
областное государственное бюджетное учреждение здравоохранения "Качугская районная больница" |
ФАП д. Челпанова |
+ |
|
|
|
|
- |
1 110 324 |
0,300 |
333 097 |
||||||||||
385 |
областное государственное бюджетное учреждение здравоохранения "Качугская районная больница" |
ФАП д. Малые Голы |
|
+ |
|
|
|
- |
1 387 905 |
0,300 |
416 372 |
||||||||||
386 |
областное государственное бюджетное учреждение здравоохранения "Качугская районная больница" |
ФАП д. Шеина |
|
+ |
|
|
|
- |
1 387 905 |
0,300 |
416 372 |
||||||||||
387 |
областное государственное бюджетное учреждение здравоохранения "Качугская районная больница" |
ФАП д. Тимирязева |
|
+ |
|
|
|
- |
1 387 905 |
0,300 |
416 372 |
||||||||||
388 |
областное государственное бюджетное учреждение здравоохранения "Качугская районная больница" |
ФАП д. Копылова |
|
+ |
|
|
|
- |
1 387 905 |
0,300 |
416 372 |
||||||||||
389 |
областное государственное бюджетное учреждение здравоохранения "Качугская районная больница" |
ФАП с. Белоусово |
|
+ |
|
|
|
- |
1 387 905 |
0,300 |
416 372 |
||||||||||
390 |
областное государственное бюджетное учреждение здравоохранения "Качугская районная больница" |
ФАП с. Карлук |
|
+ |
|
|
|
- |
1 387 905 |
0,300 |
416 372 |
||||||||||
391 |
областное государственное бюджетное учреждение здравоохранения "Качугская районная больница" |
ФАП д. Большая Тарель |
|
+ |
|
|
|
- |
1 387 905 |
0,300 |
416 372 |
||||||||||
392 |
областное государственное бюджетное учреждение здравоохранения "Качугская районная больница" |
ФАП с. Бутаково |
|
+ |
|
|
|
- |
1 387 905 |
0,300 |
416 372 |
||||||||||
393 |
областное государственное бюджетное учреждение здравоохранения "Качугская районная больница" |
ФАП д. Полоскова |
|
+ |
|
|
|
- |
1 387 905 |
0,300 |
416 372 |
||||||||||
394 |
областное государственное бюджетное учреждение здравоохранения "Качугская районная больница" |
ФАП с. Мыс |
+ |
|
|
|
|
- |
1 110 324 |
0,300 |
333 097 |
||||||||||
395 |
областное государственное бюджетное учреждение здравоохранения "Качугская районная больница" |
ФАП д. Корсукова |
|
+ |
|
|
|
- |
1 387 905 |
0,300 |
416 372 |
||||||||||
396 |
областное государственное бюджетное учреждение здравоохранения "Качугская районная больница" |
ФАП с. Заречное |
|
+ |
|
|
|
- |
1 387 905 |
0,300 |
416 372 |
||||||||||
397 |
областное государственное бюджетное учреждение здравоохранения "Качугская районная больница" |
ФАП д. Исеть |
|
+ |
|
|
|
- |
1 387 905 |
0,300 |
416 372 |
||||||||||
398 |
областное государственное бюджетное учреждение здравоохранения "Качугская районная больница" |
ФАП с. Залог |
|
+ |
|
|
|
- |
1 387 905 |
0,300 |
416 372 |
||||||||||
399 |
областное государственное бюджетное учреждение здравоохранения "Ольхонская районная больница" |
Бугульдейский ФАП |
|
|
+ |
|
|
- |
2 198 676 |
0,300 |
659 603 |
||||||||||
400 |
областное государственное бюджетное учреждение здравоохранения "Ольхонская районная больница" |
Онгуренский ФАП |
|
+ |
|
|
|
- |
1 387 905 |
0,300 |
416 372 |
||||||||||
401 |
областное государственное бюджетное учреждение здравоохранения "Ольхонская районная больница" |
Куретский ФАП |
|
+ |
|
|
|
- |
1 387 905 |
0,300 |
416 372 |
||||||||||
402 |
областное государственное бюджетное учреждение здравоохранения "Ольхонская районная больница" |
Нарин-Кунтинский ФАП |
+ |
|
|
|
|
- |
1 110 324 |
0,300 |
333 097 |
||||||||||
403 |
областное государственное бюджетное учреждение здравоохранения "Ольхонская районная больница" |
Шара-Тоготский ФАП |
|
+ |
|
|
|
- |
1 387 905 |
0,300 |
416 372 |
||||||||||
404 |
областное государственное бюджетное учреждение здравоохранения "Ольхонская районная больница" |
Алагуйский ФАП |
|
+ |
|
|
|
- |
1 387 905 |
0,300 |
416 372 |
||||||||||
405 |
областное государственное бюджетное учреждение здравоохранения "Ольхонская районная больница" |
Сахюртинский ФАП |
|
+ |
|
|
|
- |
1 387 905 |
0,300 |
416 372 |
||||||||||
406 |
областное государственное бюджетное учреждение здравоохранения "Ольхонская районная больница" |
Тонтинский ФАП |
|
+ |
|
|
|
- |
1 387 905 |
0,300 |
416 372 |
||||||||||
407 |
областное государственное бюджетное учреждение здравоохранения "Ольхонская районная больница" |
Тырганский ФАП |
|
+ |
|
|
|
- |
1 387 905 |
0,300 |
416 372 |
||||||||||
408 |
областное государственное бюджетное учреждение здравоохранения "Осинская районная больница" |
ФАП с. Унгин |
|
|
+ |
|
|
- |
2 198 676 |
0,300 |
659 603 |
||||||||||
409 |
областное государственное бюджетное учреждение здравоохранения "Осинская районная больница" |
ФАП с. Майск |
|
|
+ |
|
|
- |
2 198 676 |
0,300 |
659 603 |
||||||||||
410 |
областное государственное бюджетное учреждение здравоохранения "Осинская районная больница" |
ФАП с. Хокта |
|
+ |
|
|
|
- |
1 387 905 |
0,300 |
416 372 |
||||||||||
411 |
областное государственное бюджетное учреждение здравоохранения "Осинская районная больница" |
ФАП д. Грязнушка |
|
+ |
|
|
|
- |
1 387 905 |
0,300 |
416 372 |
||||||||||
412 |
областное государственное бюджетное учреждение здравоохранения "Осинская районная больница" |
ФАП с. Онгой |
|
+ |
|
|
|
- |
1 387 905 |
0,300 |
416 372 |
||||||||||
413 |
областное государственное бюджетное учреждение здравоохранения "Осинская районная больница" |
ФАП с. Жданово |
|
+ |
|
|
|
- |
1 387 905 |
0,300 |
416 372 |
||||||||||
414 |
областное государственное бюджетное учреждение здравоохранения "Осинская районная больница" |
ФАП с. Каха |
|
+ |
|
|
|
- |
1 387 905 |
0,300 |
416 372 |
||||||||||
415 |
областное государственное бюджетное учреждение здравоохранения "Осинская районная больница" |
ФАП с. Усть-Алтан |
|
+ |
|
|
|
- |
1 387 905 |
0,300 |
416 372 |
||||||||||
416 |
областное государственное бюджетное учреждение здравоохранения "Осинская районная больница" |
ФАП с. Обуса |
|
+ |
|
|
|
- |
1 387 905 |
0,300 |
416 372 |
||||||||||
417 |
областное государственное бюджетное учреждение здравоохранения "Осинская районная больница" |
ФАП с. Горхон |
|
+ |
|
|
|
- |
1 387 905 |
0,300 |
416 372 |
||||||||||
418 |
областное государственное бюджетное учреждение здравоохранения "Осинская районная больница" |
ФАП с. Ирхидей |
|
+ |
|
|
|
- |
1 387 905 |
0,300 |
416 372 |
||||||||||
419 |
областное государственное бюджетное учреждение здравоохранения "Осинская районная больница" |
ФАП с. Русские Янгуты |
|
+ |
|
|
|
- |
1 387 905 |
0,300 |
416 372 |
||||||||||
420 |
областное государственное бюджетное учреждение здравоохранения "Осинская районная больница" |
ФАП д. Борохал |
|
+ |
|
|
|
- |
1 387 905 |
0,300 |
416 372 |
||||||||||
421 |
областное государственное бюджетное учреждение здравоохранения "Осинская районная больница" |
ФАП с. Кутанка |
|
+ |
|
|
|
- |
1 387 905 |
0,300 |
416 372 |
||||||||||
422 |
областное государственное бюджетное учреждение здравоохранения "Осинская районная больница" |
ФАП д. Онгосор |
|
+ |
|
|
|
- |
1 387 905 |
0,300 |
416 372 |
||||||||||
423 |
областное государственное бюджетное учреждение здравоохранения "Осинская районная больница" |
ФАП с. Рассвет |
|
+ |
|
|
|
- |
1 387 905 |
0,300 |
416 372 |
||||||||||
424 |
областное государственное бюджетное учреждение здравоохранения "Осинская районная больница" |
ФАП д. Прохоровка |
|
+ |
|
|
|
- |
1 387 905 |
0,300 |
416 372 |
||||||||||
425 |
областное государственное бюджетное учреждение здравоохранения "Осинская районная больница" |
ФАП д. Шотой |
|
+ |
|
|
|
- |
1 387 905 |
0,300 |
416 372 |
||||||||||
426 |
областное государственное бюджетное учреждение здравоохранения "Осинская районная больница" |
ФАП д. Тагай |
|
+ |
|
|
|
- |
1 387 905 |
0,300 |
416 372 |
||||||||||
427 |
областное государственное бюджетное учреждение здравоохранения "Усть-Удинская районная больница" |
Аносовский ФАП |
|
+ |
|
|
|
- |
1 387 905 |
0,670 |
929 896 |
||||||||||
428 |
областное государственное бюджетное учреждение здравоохранения "Усть-Удинская районная больница" |
Аталанский ФАП |
|
+ |
|
|
|
- |
1 387 905 |
0,300 |
416 372 |
||||||||||
429 |
областное государственное бюджетное учреждение здравоохранения "Усть-Удинская районная больница" |
Балаганкинский ФАП |
|
+ |
|
|
|
- |
1 387 905 |
0,670 |
929 896 |
||||||||||
430 |
областное государственное бюджетное учреждение здравоохранения "Усть-Удинская районная больница" |
Барановский ФАП |
+ |
|
|
|
|
- |
1 110 324 |
0,300 |
333 097 |
||||||||||
431 |
областное государственное бюджетное учреждение здравоохранения "Усть-Удинская районная больница" |
Среднемуйский ФАП |
|
|
+ |
|
|
- |
2 198 676 |
0,660 |
1 451 126 |
||||||||||
432 |
областное государственное бюджетное учреждение здравоохранения "Усть-Удинская районная больница" |
Малышовский ФАП |
|
+ |
|
|
|
- |
1 387 905 |
0,670 |
929 896 |
||||||||||
433 |
областное государственное бюджетное учреждение здравоохранения "Усть-Удинская районная больница" |
Игжейский ФАП |
|
+ |
|
|
|
- |
1 387 905 |
0,300 |
416 372 |
||||||||||
434 |
областное государственное бюджетное учреждение здравоохранения "Усть-Удинская районная больница" |
Светлолобовский ФАП |
|
+ |
|
|
|
- |
1 387 905 |
0,670 |
929 896 |
||||||||||
435 |
областное государственное бюджетное учреждение здравоохранения "Усть-Удинская районная больница" |
Подволоченский ФАП |
|
+ |
|
|
|
- |
1 387 905 |
0,670 |
929 896 |
||||||||||
436 |
областное государственное бюджетное учреждение здравоохранения "Усть-Удинская районная больница" |
Долгановский ФАП |
+ |
|
|
|
|
- |
1 110 324 |
0,300 |
333 097 |
||||||||||
437 |
областное государственное бюджетное учреждение здравоохранения "Усть-Удинская районная больница" |
Податовский ФАП |
|
+ |
|
|
|
- |
1 387 905 |
0,670 |
929 896 |
||||||||||
438 |
областное государственное бюджетное учреждение здравоохранения "Усть-Удинская районная больница" |
Юголокский ФАП |
|
+ |
|
|
|
- |
1 387 905 |
0,300 |
416 372 |
||||||||||
439 |
областное государственное бюджетное учреждение здравоохранения "Усть-Удинская районная больница" |
Михайловщинский ФАП |
|
+ |
|
|
|
- |
1 387 905 |
0,300 |
416 372 |
||||||||||
440 |
областное государственное бюджетное учреждение здравоохранения "Усть-Удинская районная больница" |
Чичковский ФАП |
|
+ |
|
|
|
- |
1 387 905 |
0,670 |
929 896 |
||||||||||
441 |
областное государственное бюджетное учреждение здравоохранения "Усть-Удинская районная больница" |
Лобагайский ФАП |
|
+ |
|
|
|
- |
1 387 905 |
0,300 |
416 372 |
||||||||||
442 |
областное государственное бюджетное учреждение здравоохранения "Усть-Удинская районная больница" |
Кижинский ФАП |
|
+ |
|
|
|
- |
1 387 905 |
0,670 |
929 896 |
||||||||||
443 |
областное государственное бюджетное учреждение здравоохранения "Усть-Удинская районная больница" |
Усть-Малойский ФАП |
|
+ |
|
|
|
- |
1 387 905 |
0,300 |
416 372 |
||||||||||
444 |
областное государственное бюджетное учреждение здравоохранения "Усть-Удинская районная больница" |
Халютский ФАП |
|
+ |
|
|
|
- |
1 387 905 |
0,670 |
929 896 |
||||||||||
445 |
областное государственное бюджетное учреждение здравоохранения "Усть-Удинская районная больница" |
Ключинский ФАП |
+ |
|
|
|
|
- |
1 110 324 |
0,300 |
333 097 |
||||||||||
446 |
областное государственное бюджетное учреждение здравоохранения "Куйтунская районная больница" |
ФАП с. Алкин |
|
+ |
|
|
|
- |
1 387 905 |
0,300 |
416 372 |
||||||||||
447 |
областное государственное бюджетное учреждение здравоохранения "Куйтунская районная больница" |
ФАП д. Апраксино |
+ |
|
|
|
|
- |
1 110 324 |
0,300 |
333 097 |
||||||||||
448 |
областное государственное бюджетное учреждение здравоохранения "Куйтунская районная больница" |
ФАП д. Александро-Невская Станица |
|
+ |
|
|
|
- |
1 387 905 |
0,300 |
416 372 |
||||||||||
449 |
областное государственное бюджетное учреждение здравоохранения "Куйтунская районная больница" |
ФАП с. Амур |
|
+ |
|
|
|
- |
1 387 905 |
0,300 |
416 372 |
||||||||||
450 |
областное государственное бюджетное учреждение здравоохранения "Куйтунская районная больница" |
ФАП пос. Ахтинский |
+ |
|
|
|
|
- |
1 110 324 |
0,300 |
333 097 |
||||||||||
451 |
областное государственное бюджетное учреждение здравоохранения "Куйтунская районная больница" |
ФАП с. Андрюшино |
|
+ |
|
|
|
- |
1 387 905 |
0,300 |
416 372 |
||||||||||
452 |
областное государственное бюджетное учреждение здравоохранения "Куйтунская районная больница" |
ФАП пос. Березовский |
|
+ |
|
|
|
- |
1 387 905 |
0,300 |
416 372 |
||||||||||
453 |
областное государственное бюджетное учреждение здравоохранения "Куйтунская районная больница" |
ФАП с. Бурук |
|
+ |
|
|
|
- |
1 387 905 |
0,300 |
416 372 |
||||||||||
454 |
областное государственное бюджетное учреждение здравоохранения "Куйтунская районная больница" |
ФАП с. Броды |
+ |
|
|
|
|
- |
1 110 324 |
0,300 |
333 097 |
||||||||||
455 |
областное государственное бюджетное учреждение здравоохранения "Куйтунская районная больница" |
ФАП пос. Бузулук |
+ |
|
|
|
|
- |
1 110 324 |
0,300 |
333 097 |
||||||||||
456 |
областное государственное бюджетное учреждение здравоохранения "Куйтунская районная больница" |
ФАП с. Большой Кашелак |
|
+ |
|
|
|
- |
1 387 905 |
0,300 |
416 372 |
||||||||||
457 |
областное государственное бюджетное учреждение здравоохранения "Куйтунская районная больница" |
ФАП с. Или |
|
+ |
|
|
|
- |
1 387 905 |
0,300 |
416 372 |
||||||||||
458 |
областное государственное бюджетное учреждение здравоохранения "Куйтунская районная больница" |
ФАП пос. Еланский |
|
+ |
|
|
|
- |
1 387 905 |
0,300 |
416 372 |
||||||||||
459 |
областное государственное бюджетное учреждение здравоохранения "Куйтунская районная больница" |
ФАП с. Каразей |
|
|
+ |
|
|
- |
2 198 676 |
0,300 |
659 603 |
||||||||||
460 |
областное государственное бюджетное учреждение здравоохранения "Куйтунская районная больница" |
ФАП с. Каранцай |
|
+ |
|
|
|
- |
1 387 905 |
0,300 |
416 372 |
||||||||||
461 |
областное государственное бюджетное учреждение здравоохранения "Куйтунская районная больница" |
ФАП ст. Кимильтей |
|
+ |
|
|
|
- |
1 387 905 |
0,300 |
416 372 |
||||||||||
462 |
областное государственное бюджетное учреждение здравоохранения "Куйтунская районная больница" |
ФАП с. Красный Яр |
|
+ |
|
|
|
- |
1 387 905 |
0,300 |
416 372 |
||||||||||
463 |
областное государственное бюджетное учреждение здравоохранения "Куйтунская районная больница" |
ФАП с. Ключи |
|
+ |
|
|
|
- |
1 387 905 |
0,300 |
416 372 |
||||||||||
464 |
областное государственное бюджетное учреждение здравоохранения "Куйтунская районная больница" |
ФАП пос. Ленинский |
|
+ |
|
|
|
- |
1 387 905 |
0,300 |
416 372 |
||||||||||
465 |
областное государственное бюджетное учреждение здравоохранения "Куйтунская районная больница" |
ФАП пос. Лермонтовский |
|
+ |
|
|
|
- |
1 387 905 |
0,300 |
416 372 |
||||||||||
466 |
областное государственное бюджетное учреждение здравоохранения "Куйтунская районная больница" |
ФАП с. Листвянка |
|
+ |
|
|
|
- |
1 387 905 |
0,300 |
416 372 |
||||||||||
467 |
областное государственное бюджетное учреждение здравоохранения "Куйтунская районная больница" |
ФАП пос. Майский |
|
+ |
|
|
|
- |
1 387 905 |
0,300 |
416 372 |
||||||||||
468 |
областное государственное бюджетное учреждение здравоохранения "Куйтунская районная больница" |
ФАП с. Малая Кочерма |
+ |
|
|
|
|
- |
1 110 324 |
0,300 |
333 097 |
||||||||||
469 |
областное государственное бюджетное учреждение здравоохранения "Куйтунская районная больница" |
ФАП с. Мингатуй |
|
+ |
|
|
|
- |
1 387 905 |
0,300 |
416 372 |
||||||||||
470 |
областное государственное бюджетное учреждение здравоохранения "Куйтунская районная больница" |
ФАП п. ж.д. ст. Мингатуй |
|
+ |
|
|
|
- |
1 387 905 |
0,300 |
416 372 |
||||||||||
471 |
областное государственное бюджетное учреждение здравоохранения "Куйтунская районная больница" |
ФАП д. Новая Када |
|
+ |
|
|
|
- |
1 387 905 |
0,300 |
416 372 |
||||||||||
472 |
областное государственное бюджетное учреждение здравоохранения "Куйтунская районная больница" |
ФАП пос. Наратай |
|
+ |
|
|
|
- |
1 387 905 |
0,300 |
416 372 |
||||||||||
473 |
областное государственное бюджетное учреждение здравоохранения "Куйтунская районная больница" |
ФАП пос. Новая Тельба |
|
+ |
|
|
|
- |
1 387 905 |
0,300 |
416 372 |
||||||||||
474 |
областное государственное бюджетное учреждение здравоохранения "Куйтунская районная больница" |
ФАП пос. Окинский |
+ |
|
|
|
|
- |
1 110 324 |
0,300 |
333 097 |
||||||||||
475 |
областное государственное бюджетное учреждение здравоохранения "Куйтунская районная больница" |
ФАП пос. Панагино |
|
+ |
|
|
|
- |
1 387 905 |
0,300 |
416 372 |
||||||||||
476 |
областное государственное бюджетное учреждение здравоохранения "Куйтунская районная больница" |
ФАП пос. Садовый |
|
+ |
|
|
|
- |
1 387 905 |
0,300 |
416 372 |
||||||||||
477 |
областное государственное бюджетное учреждение здравоохранения "Куйтунская районная больница" |
ФАП д. 3-я Станица |
|
+ |
|
|
|
- |
1 387 905 |
0,670 |
929 896 |
||||||||||
478 |
областное государственное бюджетное учреждение здравоохранения "Куйтунская районная больница" |
ФАП пос. Сосновский |
|
+ |
|
|
|
- |
1 387 905 |
0,300 |
416 372 |
||||||||||
479 |
областное государственное бюджетное учреждение здравоохранения "Куйтунская районная больница" |
ФАП с. Сулкет |
|
+ |
|
|
|
- |
1 387 905 |
0,300 |
416 372 |
||||||||||
480 |
областное государственное бюджетное учреждение здравоохранения "Куйтунская районная больница" |
ФАП с. Тихорут |
|
+ |
|
|
|
- |
1 387 905 |
0,300 |
416 372 |
||||||||||
481 |
областное государственное бюджетное учреждение здравоохранения "Куйтунская районная больница" |
ФАП д. Тобино |
+ |
|
|
|
|
- |
1 110 324 |
0,300 |
333 097 |
||||||||||
482 |
областное государственное бюджетное учреждение здравоохранения "Куйтунская районная больница" |
ФАП с. Тулюшка |
|
+ |
|
|
|
- |
1 387 905 |
0,300 |
416 372 |
||||||||||
483 |
областное государственное бюджетное учреждение здравоохранения "Куйтунская районная больница" |
ФАП п. ж/д ст. Тулюшка |
|
|
+ |
|
|
- |
2 198 676 |
0,300 |
659 603 |
||||||||||
484 |
областное государственное бюджетное учреждение здравоохранения "Куйтунская районная больница" |
ФАП с. Усть-Када |
|
+ |
|
|
|
- |
1 387 905 |
0,300 |
416 372 |
||||||||||
485 |
областное государственное бюджетное учреждение здравоохранения "Куйтунская районная больница" |
ФАП д. Харчев |
+ |
|
|
|
|
- |
1 110 324 |
0,300 |
333 097 |
||||||||||
486 |
областное государственное бюджетное учреждение здравоохранения "Куйтунская районная больница" |
ФАП с. Хаихта |
|
+ |
|
|
|
- |
1 387 905 |
0,300 |
416 372 |
||||||||||
487 |
областное государственное бюджетное учреждение здравоохранения "Куйтунская районная больница" |
ФАП с. Харик |
|
+ |
|
|
|
- |
1 387 905 |
0,670 |
929 896 |
||||||||||
488 |
областное государственное бюджетное учреждение здравоохранения "Куйтунская районная больница" |
ФАП д. Широкие Кочки |
+ |
|
|
|
|
- |
1 110 324 |
0,300 |
333 097 |
||||||||||
489 |
областное государственное бюджетное учреждение здравоохранения "Куйтунская районная больница" |
ФАП с. Чеботариха |
|
+ |
|
|
|
- |
1 387 905 |
0,300 |
416 372 |
||||||||||
490 |
областное государственное бюджетное учреждение здравоохранения "Тулунская городская больница" |
ФАП с. Перфилово |
|
+ |
|
|
|
- |
1 387 905 |
0,670 |
929 896 |
||||||||||
491 |
областное государственное бюджетное учреждение здравоохранения "Тулунская городская больница" |
ФАП д. Петровск |
|
+ |
|
|
|
- |
1 387 905 |
0,670 |
929 896 |
||||||||||
492 |
областное государственное бюджетное учреждение здравоохранения "Тулунская городская больница" |
ФАП д. Нижний Манут |
|
+ |
|
|
|
- |
1 387 905 |
0,670 |
929 896 |
||||||||||
493 |
областное государственное бюджетное учреждение здравоохранения "Тулунская городская больница" |
ФАП с. Мугун |
|
+ |
|
|
|
- |
1 387 905 |
0,670 |
929 896 |
||||||||||
494 |
областное государственное бюджетное учреждение здравоохранения "Тулунская городская больница" |
ФАП с. Бадар |
|
+ |
|
|
|
- |
1 387 905 |
0,670 |
929 896 |
||||||||||
495 |
областное государственное бюджетное учреждение здравоохранения "Тулунская городская больница" |
ФАП д. Евдокимова |
|
+ |
|
|
|
- |
1 387 905 |
0,670 |
929 896 |
||||||||||
496 |
областное государственное бюджетное учреждение здравоохранения "Тулунская городская больница" |
ФАП д. Красный Октябрь |
|
+ |
|
|
|
- |
1 387 905 |
0,330 |
458 009 |
||||||||||
497 |
областное государственное бюджетное учреждение здравоохранения "Тулунская городская больница" |
ФАП д. Красная Дубрава |
+ |
|
|
|
|
- |
1 110 324 |
0,670 |
743 917 |
||||||||||
498 |
областное государственное бюджетное учреждение здравоохранения "Тулунская городская больница" |
ФАП 1 отделение ГСС |
|
+ |
|
|
|
- |
1 387 905 |
0,670 |
929 896 |
||||||||||
499 |
областное государственное бюджетное учреждение здравоохранения "Тулунская городская больница" |
ФАП д. Заусаева |
|
+ |
|
|
|
- |
1 387 905 |
0,670 |
929 896 |
||||||||||
500 |
областное государственное бюджетное учреждение здравоохранения "Тулунская городская больница" |
ФАП п. Утай |
|
+ |
|
|
|
- |
1 387 905 |
0,670 |
929 896 |
||||||||||
501 |
областное государственное бюджетное учреждение здравоохранения "Тулунская городская больница" |
ФАП 4 отделение ГСС |
|
+ |
|
|
|
- |
1 387 905 |
0,670 |
929 896 |
||||||||||
502 |
областное государственное бюджетное учреждение здравоохранения "Тулунская городская больница" |
ФАП п. Сибиряк |
|
+ |
|
|
|
- |
1 387 905 |
0,670 |
929 896 |
||||||||||
503 |
областное государственное бюджетное учреждение здравоохранения "Тулунская городская больница" |
ФАП с. Умыган |
|
+ |
|
|
|
- |
1 387 905 |
0,670 |
929 896 |
||||||||||
504 |
областное государственное бюджетное учреждение здравоохранения "Тулунская городская больница" |
ФАП п. Центральные Мастерские |
|
+ |
|
|
|
- |
1 387 905 |
0,670 |
929 896 |
||||||||||
505 |
областное государственное бюджетное учреждение здравоохранения "Тулунская городская больница" |
ФАП п. Ишидей |
|
+ |
|
|
|
- |
1 387 905 |
0,670 |
929 896 |
||||||||||
506 |
областное государственное бюджетное учреждение здравоохранения "Тулунская городская больница" |
ФАП с. Едогон |
|
+ |
|
|
|
- |
1 387 905 |
0,670 |
929 896 |
||||||||||
507 |
областное государственное бюджетное учреждение здравоохранения "Тулунская городская больница" |
ФАП д. Изегол |
|
+ |
|
|
|
- |
1 387 905 |
0,670 |
929 896 |
||||||||||
508 |
областное государственное бюджетное учреждение здравоохранения "Тулунская городская больница" |
ФАП д. Владимировка |
|
+ |
|
|
|
- |
1 387 905 |
0,670 |
929 896 |
||||||||||
509 |
областное государственное бюджетное учреждение здравоохранения "Тулунская городская больница" |
ФАП д. Нижний Бурбук |
|
+ |
|
|
|
- |
1 387 905 |
0,670 |
929 896 |
||||||||||
510 |
областное государственное бюджетное учреждение здравоохранения "Тулунская городская больница" |
ФАП п. Целинные Земли |
|
+ |
|
|
|
- |
1 387 905 |
0,670 |
929 896 |
||||||||||
511 |
областное государственное бюджетное учреждение здравоохранения "Тулунская городская больница" |
ФАП с. Никитаево |
|
+ |
|
|
|
- |
1 387 905 |
0,670 |
929 896 |
||||||||||
512 |
областное государственное бюджетное учреждение здравоохранения "Тулунская городская больница" |
ФАП д. Андреевка |
+ |
|
|
|
|
- |
1 110 324 |
0,670 |
743 917 |
||||||||||
513 |
областное государственное бюджетное учреждение здравоохранения "Тулунская городская больница" |
ФАП с. Усть-Кульск |
|
+ |
|
|
|
- |
1 387 905 |
0,670 |
929 896 |
||||||||||
514 |
областное государственное бюджетное учреждение здравоохранения "Тулунская городская больница" |
ФАП п. Ангуйский |
+ |
|
|
|
|
- |
1 110 324 |
0,670 |
743 917 |
||||||||||
515 |
областное государственное бюджетное учреждение здравоохранения "Тулунская городская больница" |
ФАП д. Афанасьева |
|
+ |
|
|
|
- |
1 387 905 |
0,670 |
929 896 |
||||||||||
516 |
областное государственное бюджетное учреждение здравоохранения "Тулунская городская больница" |
ФАП д. Трактовая |
|
+ |
|
|
|
- |
1 387 905 |
0,670 |
929 896 |
||||||||||
517 |
областное государственное бюджетное учреждение здравоохранения "Тулунская городская больница" |
ФАП д. Уталай |
|
+ |
|
|
|
- |
1 387 905 |
0,670 |
929 896 |
||||||||||
518 |
областное государственное бюджетное учреждение здравоохранения "Тулунская городская больница" |
ФАП с. Азей |
|
+ |
|
|
|
- |
1 387 905 |
0,670 |
929 896 |
||||||||||
519 |
областное государственное бюджетное учреждение здравоохранения "Тулунская городская больница" |
ФАП д. Азей |
+ |
|
|
|
|
- |
1 110 324 |
0,300 |
333 097 |
||||||||||
520 |
областное государственное бюджетное учреждение здравоохранения "Тулунская городская больница" |
ФАП с. Гадалей |
|
|
+ |
|
|
- |
2 198 676 |
0,500 |
1 099 338 |
||||||||||
521 |
областное государственное бюджетное учреждение здравоохранения "Тулунская городская больница" |
ФАП с. Уйгат |
|
+ |
|
|
|
- |
1 387 905 |
0,670 |
929 896 |
||||||||||
522 |
областное государственное бюджетное учреждение здравоохранения "Тулунская городская больница" |
ФАП д. Новотроицк |
|
+ |
|
|
|
- |
1 387 905 |
0,670 |
929 896 |
||||||||||
523 |
областное государственное бюджетное учреждение здравоохранения "Тулунская городская больница" |
ФАП д. Северный Кадуй |
|
+ |
|
|
|
- |
1 387 905 |
0,670 |
929 896 |
||||||||||
524 |
областное государственное бюджетное учреждение здравоохранения "Тулунская городская больница" |
ФАП д. Килим |
|
+ |
|
|
|
- |
1 387 905 |
0,300 |
416 372 |
||||||||||
525 |
областное государственное бюджетное учреждение здравоохранения "Тулунская городская больница" |
ФАП д. Булюшкина |
|
+ |
|
|
|
- |
1 387 905 |
0,670 |
929 896 |
||||||||||
526 |
областное государственное бюджетное учреждение здравоохранения "Тулунская городская больница" |
ФАП д. Трактово-Курзан |
|
+ |
|
|
|
- |
1 387 905 |
0,300 |
416 372 |
||||||||||
527 |
областное государственное бюджетное учреждение здравоохранения "Тулунская городская больница" |
ФАП с. Бурхун |
|
+ |
|
|
|
- |
1 387 905 |
0,670 |
929 896 |
||||||||||
528 |
областное государственное бюджетное учреждение здравоохранения "Тулунская городская больница" |
ФАП д. Одон |
|
+ |
|
|
|
- |
1 387 905 |
0,330 |
458 009 |
||||||||||
529 |
областное государственное бюджетное учреждение здравоохранения "Тулунская городская больница" |
ФАП п. Аршан |
|
+ |
|
|
|
- |
1 387 905 |
0,670 |
929 896 |
||||||||||
530 |
областное государственное бюджетное учреждение здравоохранения "Железногорская районная больница" |
ФАП пос. Селезневский |
+ |
|
|
|
|
- |
1 417 491 |
0,300 |
425 247 |
||||||||||
531 |
областное государственное бюджетное учреждение здравоохранения "Железногорская районная больница" |
ФАП пос. Суворовский |
|
+ |
|
|
|
- |
1 771 863 |
0,300 |
531 559 |
||||||||||
532 |
областное государственное бюджетное учреждение здравоохранения "Железногорская районная больница" |
ФАП р.п. Шестаково |
|
+ |
|
|
|
- |
1 771 863 |
0,300 |
531 559 |
||||||||||
533 |
областное государственное бюджетное учреждение здравоохранения "Железногорская районная больница" |
ФАП пос. Коршуновский |
|
+ |
|
|
|
- |
1 771 863 |
0,300 |
531 559 |
||||||||||
534 |
областное государственное бюджетное учреждение здравоохранения "Железногорская районная больница" |
ФАП пос. Чистополянский |
|
+ |
|
|
|
- |
1 771 863 |
0,300 |
531 559 |
||||||||||
535 |
областное государственное бюджетное учреждение здравоохранения "Железногорская районная больница" |
ФАП пос. Каймоновский |
|
+ |
|
|
|
- |
1 771 863 |
0,670 |
1 132 516 |
||||||||||
536 |
областное государственное бюджетное учреждение здравоохранения "Железногорская районная больница" |
ФАП п. Янгель |
|
|
+ |
|
|
- |
2 806 930 |
0,300 |
842 079 |
||||||||||
537 |
областное государственное бюджетное учреждение здравоохранения "Железногорская районная больница" |
ФАП р.п. Радищев |
|
+ |
|
|
|
- |
1 771 863 |
0,300 |
531 559 |
||||||||||
538 |
областное государственное бюджетное учреждение здравоохранения "Железногорская районная больница" |
ФАП пос. Новоилимск |
|
+ |
|
|
|
- |
1 771 863 |
0,300 |
531 559 |
||||||||||
539 |
областное государственное бюджетное учреждение здравоохранения "Железногорская районная больница" |
ФАП пос. Брусничный |
|
+ |
|
|
|
- |
1 771 863 |
0,670 |
1 132 516 |
||||||||||
540 |
областное государственное бюджетное учреждение здравоохранения "Железногорская районная больница" |
ФАП пос. Игирма |
|
+ |
|
|
|
- |
1 771 863 |
0,670 |
1 132 516 |
||||||||||
541 |
областное государственное бюджетное учреждение здравоохранения "Железногорская районная больница" |
ФАП пос. Дальний |
|
+ |
|
|
|
- |
1 771 863 |
0,300 |
531 559 |
||||||||||
542 |
областное государственное бюджетное учреждение здравоохранения "Железногорская районная больница" |
ФАП пос. Заморский |
|
+ |
|
|
|
- |
1 771 863 |
0,670 |
1 132 516 |
||||||||||
543 |
областное государственное бюджетное учреждение здравоохранения "Железногорская районная больница" |
ФАП пос. Соцгородок |
|
+ |
|
|
|
- |
1 771 863 |
0,670 |
1 132 516 |
||||||||||
544 |
областное государственное бюджетное учреждение здравоохранения "Казачинско-Ленская районная больница" |
ФАП п. Небель |
|
+ |
|
|
|
- |
1 730 531 |
0,300 |
519 159 |
||||||||||
545 |
областное государственное бюджетное учреждение здравоохранения "Казачинско-Ленская районная больница" |
ФАП с. Карам |
|
+ |
|
|
|
- |
1 730 531 |
0,300 |
519 159 |
||||||||||
546 |
областное государственное бюджетное учреждение здравоохранения "Казачинско-Ленская районная больница" |
ФАП д. Юхта |
|
+ |
|
|
|
- |
1 730 531 |
0,300 |
519 159 |
||||||||||
547 |
областное государственное бюджетное учреждение здравоохранения "Казачинско-Ленская районная больница" |
ФАП п. Окунайский |
|
+ |
|
|
|
- |
1 730 531 |
0,300 |
519 159 |
||||||||||
548 |
областное государственное бюджетное учреждение здравоохранения "Казачинско-Ленская районная больница" |
ФАП с. Новоселово |
+ |
|
|
|
|
- |
1 384 425 |
0,300 |
415 328 |
||||||||||
549 |
областное государственное бюджетное учреждение здравоохранения "Казачинско-Ленская районная больница" |
ФАП д. Ключи |
|
|
+ |
|
|
- |
2 741 452 |
0,300 |
822 436 |
||||||||||
550 |
областное государственное бюджетное учреждение здравоохранения "Казачинско-Ленская районная больница" |
ФАП с. Ермаки |
+ |
|
|
|
|
- |
1 384 425 |
0,300 |
415 328 |
||||||||||
551 |
областное государственное бюджетное учреждение здравоохранения "Киренская районная больница" |
ФАП п. Визирный |
+ |
|
|
|
|
- |
1 680 279 |
0,300 |
504 084 |
||||||||||
552 |
областное государственное бюджетное учреждение здравоохранения "Киренская районная больница" |
ФАП с. Коршуново |
|
+ |
|
|
|
- |
2 100 349 |
0,670 |
1 407 234 |
||||||||||
553 |
областное государственное бюджетное учреждение здравоохранения "Киренская районная больница" |
ФАП с. Петропавловское |
|
+ |
|
|
|
- |
2 100 349 |
0,670 |
1 407 234 |
||||||||||
554 |
областное государственное бюджетное учреждение здравоохранения "Киренская районная больница" |
ФАП п. Юбилейный |
|
+ |
|
|
|
- |
2 100 349 |
0,670 |
1 407 234 |
||||||||||
555 |
областное государственное бюджетное учреждение здравоохранения "Киренская районная больница" |
ФАП с. Чечуйск |
|
+ |
|
|
|
- |
2 100 349 |
0,300 |
630 105 |
||||||||||
556 |
областное государственное бюджетное учреждение здравоохранения "Киренская районная больница" |
ФАП с. Банщиково |
+ |
|
|
|
|
- |
1 680 279 |
0,300 |
504 084 |
||||||||||
557 |
областное государственное бюджетное учреждение здравоохранения "Киренская районная больница" |
ФАП д. Никулина |
|
+ |
|
|
|
- |
2 100 349 |
0,670 |
1 407 234 |
||||||||||
558 |
областное государственное бюджетное учреждение здравоохранения "Киренская районная больница" |
ФАП с. Алымовка |
|
+ |
|
|
|
- |
2 100 349 |
0,670 |
1 407 234 |
||||||||||
559 |
областное государственное бюджетное учреждение здравоохранения "Киренская районная больница" |
ФАП д. Салтыкова |
+ |
|
|
|
|
- |
1 680 279 |
0,300 |
504 084 |
||||||||||
560 |
областное государственное бюджетное учреждение здравоохранения "Киренская районная больница" |
ФАП п. Воронежский |
|
+ |
|
|
|
- |
2 100 349 |
0,670 |
1 407 234 |
||||||||||
561 |
областное государственное бюджетное учреждение здравоохранения "Киренская районная больница" |
ФАП с. Змеиново |
+ |
|
|
|
|
- |
1 680 279 |
0,300 |
504 084 |
||||||||||
562 |
областное государственное бюджетное учреждение здравоохранения "Киренская районная больница" |
ФАП с. Макарово |
|
+ |
|
|
|
- |
2 100 349 |
0,670 |
1 407 234 |
||||||||||
563 |
областное государственное бюджетное учреждение здравоохранения "Киренская районная больница" |
ФАП д. Сидорова |
|
+ |
|
|
|
- |
2 100 349 |
0,670 |
1 407 234 |
||||||||||
564 |
областное государственное бюджетное учреждение здравоохранения "Киренская районная больница" |
ФАП с. Кривошапкино |
|
+ |
|
|
|
- |
2 100 349 |
0,670 |
1 407 234 |
||||||||||
565 |
областное государственное бюджетное учреждение здравоохранения "Киренская районная больница" |
ФАП п. Пашня |
+ |
|
|
|
|
- |
1 680 279 |
0,670 |
1 125 787 |
||||||||||
566 |
областное государственное бюджетное учреждение здравоохранения "Киренская районная больница" |
ФАП с. Кривая Лука |
|
+ |
|
|
|
- |
2 100 349 |
0,670 |
1 407 234 |
||||||||||
567 |
областное государственное бюджетное учреждение здравоохранения "Киренская районная больница" |
ФАП с. Красноярово |
+ |
|
|
|
|
- |
1 680 279 |
0,670 |
1 125 787 |
||||||||||
568 |
областное государственное бюджетное учреждение здравоохранения "Киренская районная больница" |
ФАП п. Небель |
|
+ |
|
|
|
- |
2 100 349 |
0,670 |
1 407 234 |
||||||||||
569 |
областное государственное бюджетное учреждение здравоохранения "Усть-Кутская районная больница" |
Каймоновский ФАП |
+ |
|
|
|
|
- |
1 387 905 |
0,670 |
929 896 |
||||||||||
570 |
областное государственное бюджетное учреждение здравоохранения "Усть-Кутская районная больница" |
Таюрский ФАП |
+ |
|
|
|
|
- |
1 387 905 |
0,300 |
416 372 |
||||||||||
571 |
областное государственное бюджетное учреждение здравоохранения "Усть-Кутская районная больница" |
Турукский ФАП |
+ |
|
|
|
|
- |
1 387 905 |
0,300 |
416 372 |
||||||||||
572 |
областное государственное бюджетное учреждение здравоохранения "Усть-Кутская районная больница" |
Марковский ФАП |
+ |
|
|
|
|
- |
1 387 905 |
0,670 |
929 896 |
||||||||||
573 |
областное государственное бюджетное учреждение здравоохранения "Усть-Кутская районная больница" |
Максимовский ФАП |
+ |
|
|
|
|
- |
1 387 905 |
0,300 |
416 372 |
||||||||||
574 |
областное государственное бюджетное учреждение здравоохранения "Усть-Кутская районная больница" |
Орлингский ФАП |
+ |
|
|
|
|
- |
1 387 905 |
0,670 |
929 896 |
||||||||||
575 |
областное государственное бюджетное учреждение здравоохранения "Усть-Кутская районная больница" |
Омолоевский ФАП |
+ |
|
|
|
|
- |
1 387 905 |
0,300 |
416 372 |
||||||||||
576 |
областное государственное бюджетное учреждение здравоохранения "Усть-Кутская районная больница" |
Казаринский ФАП |
|
+ |
|
|
|
- |
1 734 882 |
0,670 |
1 162 371 |
||||||||||
577 |
областное государственное бюджетное учреждение здравоохранения "Усть-Кутская районная больница" |
Боярский ФАП |
+ |
|
|
|
|
- |
1 387 905 |
0,300 |
416 372 |
||||||||||
578 |
областное государственное бюджетное учреждение здравоохранения "Усть-Кутская районная больница" |
Заярновский ФАП |
|
+ |
|
|
|
- |
1 734 882 |
0,670 |
1 162 371 |
||||||||||
579 |
областное государственное бюджетное учреждение здравоохранения "Черемховская городская больница N 1" |
ФАП с. Новостройка |
|
+ |
|
|
|
- |
1 387 905 |
0,670 |
929 896 |
||||||||||
580 |
областное государственное бюджетное учреждение здравоохранения "Черемховская городская больница N 1" |
ФАП с. Онот |
|
+ |
|
|
|
- |
1 387 905 |
0,300 |
416 372 |
||||||||||
581 |
областное государственное бюджетное учреждение здравоохранения "Черемховская городская больница N 1" |
ФАП с. Тальники |
|
+ |
|
|
|
- |
1 387 905 |
0,300 |
416 372 |
||||||||||
582 |
областное государственное бюджетное учреждение здравоохранения "Черемховская городская больница N 1" |
ФАП с. Тунгуска |
|
+ |
|
|
|
- |
1 387 905 |
0,670 |
929 896 |
||||||||||
583 |
областное государственное бюджетное учреждение здравоохранения "Черемховская городская больница N 1" |
ФАП д. Жалгай |
|
+ |
|
|
|
- |
1 387 905 |
0,300 |
416 372 |
||||||||||
584 |
областное государственное бюджетное учреждение здравоохранения "Черемховская городская больница N 1" |
ФАП с. Саянское |
|
+ |
|
|
|
- |
1 387 905 |
0,300 |
416 372 |
||||||||||
585 |
областное государственное бюджетное учреждение здравоохранения "Черемховская городская больница N 1" |
ФАП с. Нижняя Иреть |
|
+ |
|
|
|
- |
1 387 905 |
0,670 |
929 896 |
||||||||||
586 |
областное государственное бюджетное учреждение здравоохранения "Черемховская городская больница N 1" |
ФАП д. Бажей |
|
+ |
|
|
|
- |
1 387 905 |
0,670 |
929 896 |
||||||||||
587 |
областное государственное бюджетное учреждение здравоохранения "Черемховская городская больница N 1" |
ФАП д. Верхняя Иреть |
|
+ |
|
|
|
- |
1 387 905 |
0,300 |
416 372 |
||||||||||
588 |
областное государственное бюджетное учреждение здравоохранения "Черемховская городская больница N 1" |
ФАП с. Узкий Луг |
|
+ |
|
|
|
- |
1 387 905 |
0,300 |
416 372 |
||||||||||
589 |
областное государственное бюджетное учреждение здравоохранения "Черемховская городская больница N 1" |
ФАП д. Худорожкино |
|
+ |
|
|
|
- |
1 387 905 |
0,300 |
416 372 |
||||||||||
590 |
областное государственное бюджетное учреждение здравоохранения "Черемховская городская больница N 1" |
ФАП с. Зерновое |
|
+ |
|
|
|
- |
1 387 905 |
0,670 |
929 896 |
||||||||||
591 |
областное государственное бюджетное учреждение здравоохранения "Черемховская городская больница N 1" |
ФАП д. Бархатова |
|
+ |
|
|
|
- |
1 387 905 |
0,300 |
416 372 |
||||||||||
592 |
областное государственное бюджетное учреждение здравоохранения "Черемховская городская больница N 1" |
ФАП д. Кирзавод |
|
+ |
|
|
|
- |
1 387 905 |
0,300 |
416 372 |
||||||||||
593 |
областное государственное бюджетное учреждение здравоохранения "Черемховская городская больница N 1" |
ФАП д. Поздеева |
|
+ |
|
|
|
- |
1 387 905 |
0,300 |
416 372 |
||||||||||
594 |
областное государственное бюджетное учреждение здравоохранения "Черемховская городская больница N 1" |
ФАП д. Белобородова |
|
+ |
|
|
|
- |
1 387 905 |
0,300 |
416 372 |
||||||||||
595 |
областное государственное бюджетное учреждение здравоохранения "Черемховская городская больница N 1" |
ФАП д. Старый Кутугун |
|
+ |
|
|
|
- |
1 387 905 |
0,300 |
416 372 |
||||||||||
596 |
областное государственное бюджетное учреждение здравоохранения "Черемховская городская больница N 1" |
ФАП заимка Чемодариха |
|
+ |
|
|
|
- |
1 387 905 |
0,300 |
416 372 |
||||||||||
597 |
областное государственное бюджетное учреждение здравоохранения "Черемховская городская больница N 1" |
ФАП с. Новогромово |
|
+ |
|
|
|
- |
1 387 905 |
0,670 |
929 896 |
||||||||||
598 |
областное государственное бюджетное учреждение здравоохранения "Черемховская городская больница N 1" |
ФАП д. Малиновка |
|
+ |
|
|
|
- |
1 387 905 |
0,300 |
416 372 |
||||||||||
599 |
областное государственное бюджетное учреждение здравоохранения "Черемховская городская больница N 1" |
ФАП д. Шаманаева |
|
+ |
|
|
|
- |
1 387 905 |
0,670 |
929 896 |
||||||||||
600 |
областное государственное бюджетное учреждение здравоохранения "Черемховская городская больница N 1" |
ФАП с. Каменно-Ангарск |
|
+ |
|
|
|
- |
1 387 905 |
0,670 |
929 896 |
||||||||||
601 |
областное государственное бюджетное учреждение здравоохранения "Черемховская городская больница N 1" |
ФАП д. Балухарь |
|
+ |
|
|
|
- |
1 387 905 |
0,300 |
416 372 |
||||||||||
602 |
областное государственное бюджетное учреждение здравоохранения "Черемховская городская больница N 1" |
ФАП д. Ключи |
|
+ |
|
|
|
- |
1 387 905 |
0,300 |
416 372 |
||||||||||
603 |
областное государственное бюджетное учреждение здравоохранения "Черемховская городская больница N 1" |
ФАП с. Верхний Булай |
|
+ |
|
|
|
- |
1 387 905 |
0,300 |
416 372 |
||||||||||
604 |
областное государственное бюджетное учреждение здравоохранения "Черемховская городская больница N 1" |
ФАП д. Козлова |
|
+ |
|
|
|
- |
1 387 905 |
0,300 |
416 372 |
||||||||||
605 |
областное государственное бюджетное учреждение здравоохранения "Черемховская городская больница N 1" |
ФАП д. Белькова |
|
+ |
|
|
|
- |
1 387 905 |
0,300 |
416 372 |
||||||||||
606 |
областное государственное бюджетное учреждение здравоохранения "Черемховская городская больница N 1" |
ФАП д. Паршевникова |
|
+ |
|
|
|
- |
1 387 905 |
0,300 |
416 372 |
||||||||||
607 |
областное государственное бюджетное учреждение здравоохранения "Черемховская городская больница N 1" |
ФАП д. Средний Булай |
|
+ |
|
|
|
- |
1 387 905 |
0,300 |
416 372 |
||||||||||
608 |
областное государственное бюджетное учреждение здравоохранения "Черемховская городская больница N 1" |
ФАП д. Топка |
+ |
|
|
|
|
- |
1 110 324 |
0,300 |
333 097 |
||||||||||
609 |
областное государственное бюджетное учреждение здравоохранения "Черемховская городская больница N 1" |
ФАП д. Русская Аларь |
|
+ |
|
|
|
- |
1 387 905 |
0,300 |
416 372 |
||||||||||
610 |
областное государственное бюджетное учреждение здравоохранения "Черемховская городская больница N 1" |
ФАП д. Сутупова |
+ |
|
|
|
|
- |
1 110 324 |
0,300 |
333 097 |
||||||||||
611 |
областное государственное бюджетное учреждение здравоохранения "Черемховская городская больница N 1" |
ФАП д. Герасимова |
|
+ |
|
|
|
- |
1 387 905 |
0,300 |
416 372 |
||||||||||
612 |
областное государственное бюджетное учреждение здравоохранения "Черемховская городская больница N 1" |
ФАП д. Жмурова |
|
+ |
|
|
|
- |
1 387 905 |
0,300 |
416 372 |
||||||||||
613 |
областное государственное бюджетное учреждение здравоохранения "Черемховская городская больница N 1" |
ФАП д. Хандагай |
|
+ |
|
|
|
- |
1 387 905 |
0,670 |
929 896 |
||||||||||
614 |
областное государственное бюджетное учреждение здравоохранения "Черемховская городская больница N 1" |
ФАП д. Нены |
|
+ |
|
|
|
- |
1 387 905 |
0,670 |
929 896 |
||||||||||
615 |
областное государственное бюджетное учреждение здравоохранения "Аларская районная больница" |
ФАП с. Могоенок |
|
+ |
|
|
|
- |
1 387 905 |
0,300 |
416 372 |
||||||||||
616 |
областное государственное бюджетное учреждение здравоохранения "Аларская районная больница" |
ФАП д. Маниловская |
|
+ |
|
|
|
- |
1 387 905 |
0,300 |
416 372 |
||||||||||
617 |
областное государственное бюджетное учреждение здравоохранения "Аларская районная больница" |
ФАП с. Александровск |
|
+ |
|
|
|
- |
1 387 905 |
0,300 |
416 372 |
||||||||||
618 |
областное государственное бюджетное учреждение здравоохранения "Аларская районная больница" |
ФАП д. Киркей |
|
+ |
|
|
|
- |
1 387 905 |
0,300 |
416 372 |
||||||||||
619 |
областное государственное бюджетное учреждение здравоохранения "Аларская районная больница" |
ФАП д. Заречное |
|
+ |
|
|
|
- |
1 387 905 |
0,300 |
416 372 |
||||||||||
620 |
областное государственное бюджетное учреждение здравоохранения "Аларская районная больница" |
ФАП д. Апхайта |
|
+ |
|
|
|
- |
1 387 905 |
0,670 |
887 103 |
||||||||||
621 |
областное государственное бюджетное учреждение здравоохранения "Аларская районная больница" |
ФАП п. Ангарский |
|
+ |
|
|
|
- |
1 387 905 |
0,300 |
416 372 |
||||||||||
622 |
областное государственное бюджетное учреждение здравоохранения "Аларская районная больница" |
ФАП с. Зоны |
|
+ |
|
|
|
- |
1 387 905 |
0,670 |
887 103 |
||||||||||
623 |
областное государственное бюджетное учреждение здравоохранения "Аларская районная больница" |
ФАП д. Бурятская |
|
+ |
|
|
|
- |
1 387 905 |
0,300 |
416 372 |
||||||||||
624 |
областное государственное бюджетное учреждение здравоохранения "Аларская районная больница" |
ФАП с. Табарсук |
|
+ |
|
|
|
- |
1 387 905 |
0,300 |
416 372 |
||||||||||
625 |
областное государственное бюджетное учреждение здравоохранения "Аларская районная больница" |
ФАП д. Угольная |
|
+ |
|
|
|
- |
1 387 905 |
0,300 |
416 372 |
||||||||||
626 |
областное государственное бюджетное учреждение здравоохранения "Аларская районная больница" |
ФАП д. Егоровская |
|
+ |
|
|
|
- |
1 387 905 |
0,300 |
416 372 |
||||||||||
627 |
областное государственное бюджетное учреждение здравоохранения "Аларская районная больница" |
ФАП д. Хуруй |
+ |
|
|
|
|
- |
1 110 324 |
0,300 |
340 037 |
||||||||||
628 |
областное государственное бюджетное учреждение здравоохранения "Аларская районная больница" |
ФАП д. Маломолева |
|
+ |
|
|
|
- |
1 387 905 |
0,300 |
416 372 |
||||||||||
629 |
областное государственное бюджетное учреждение здравоохранения "Аларская районная больница" |
ФАП д. Зангей |
|
+ |
|
|
|
- |
1 387 905 |
0,300 |
416 372 |
||||||||||
630 |
областное государственное бюджетное учреждение здравоохранения "Аларская районная больница" |
ФАП с. Тыргетуй |
|
+ |
|
|
|
- |
1 387 905 |
0,300 |
416 372 |
||||||||||
631 |
областное государственное бюджетное учреждение здравоохранения "Аларская районная больница" |
ФАП д. Ныгда |
|
+ |
|
|
|
- |
1 387 905 |
0,300 |
416 372 |
||||||||||
632 |
областное государственное бюджетное учреждение здравоохранения "Аларская районная больница" |
ФАП д. Буркова |
|
+ |
|
|
|
- |
1 387 905 |
0,300 |
416 372 |
||||||||||
633 |
областное государственное бюджетное учреждение здравоохранения "Аларская районная больница" |
ФАП д. Отрадная |
|
+ |
|
|
|
- |
1 387 905 |
0,300 |
416 372 |
||||||||||
634 |
областное государственное бюджетное учреждение здравоохранения "Аларская районная больница" |
ФАП с. Аляты |
|
+ |
|
|
|
- |
1 387 905 |
0,300 |
416 372 |
||||||||||
635 |
областное государственное бюджетное учреждение здравоохранения "Аларская районная больница" |
ФАП с. Куйта |
|
+ |
|
|
|
- |
1 387 905 |
0,300 |
416 372 |
||||||||||
636 |
областное государственное бюджетное учреждение здравоохранения "Аларская районная больница" |
ФАП д. Идеал |
|
+ |
|
|
|
- |
1 387 905 |
0,300 |
416 372 |
||||||||||
637 |
областное государственное бюджетное учреждение здравоохранения "Аларская районная больница" |
ФАП д. Кукунур |
|
+ |
|
|
|
- |
1 387 905 |
0,300 |
416 372 |
||||||||||
638 |
областное государственное бюджетное учреждение здравоохранения "Аларская районная больница" |
ФАП д. Алзобей |
|
+ |
|
|
|
- |
1 387 905 |
0,300 |
416 372 |
||||||||||
639 |
областное государственное бюджетное учреждение здравоохранения "Аларская районная больница" |
ФАП д. Высотская |
+ |
|
|
|
|
- |
1 110 324 |
0,300 |
333 097 |
||||||||||
640 |
областное государственное бюджетное учреждение здравоохранения "Аларская районная больница" |
ФАП д. Кирюшина |
|
+ |
|
|
|
- |
1 387 905 |
0,300 |
416 372 |
||||||||||
641 |
областное государственное бюджетное учреждение здравоохранения "Аларская районная больница" |
ФАП с. Бахтай |
|
+ |
|
|
|
- |
1 387 905 |
0,330 |
454 539 |
||||||||||
642 |
областное государственное бюджетное учреждение здравоохранения "Аларская районная больница" |
ФАП д. Шаховская |
|
+ |
|
|
|
- |
1 387 905 |
0,300 |
416 372 |
||||||||||
643 |
областное государственное бюджетное учреждение здравоохранения "Аларская районная больница" |
ФАП п. Быково |
|
+ |
|
|
|
- |
1 387 905 |
0,300 |
416 372 |
||||||||||
644 |
областное государственное бюджетное учреждение здравоохранения "Аларская районная больница" |
ФАП д. Куркат |
|
+ |
|
|
|
- |
1 387 905 |
0,670 |
929 896 |
||||||||||
645 |
областное государственное бюджетное учреждение здравоохранения "Аларская районная больница" |
ФАП д. Малолучинск |
|
+ |
|
|
|
- |
1 387 905 |
0,670 |
929 896 |
||||||||||
646 |
областное государственное бюджетное учреждение здравоохранения "Нукутская районная больница" |
ФАП с. Алтарик |
|
+ |
|
|
|
- |
1 387 905 |
0,300 |
416 372 |
||||||||||
647 |
областное государственное бюджетное учреждение здравоохранения "Нукутская районная больница" |
ФАП д. Васильевское |
+ |
|
|
|
|
- |
1 110 324 |
0,300 |
333 097 |
||||||||||
648 |
областное государственное бюджетное учреждение здравоохранения "Нукутская районная больница" |
ФАП д. Большебаяновская |
|
+ |
|
|
|
- |
1 387 905 |
0,300 |
416 372 |
||||||||||
649 |
областное государственное бюджетное учреждение здравоохранения "Нукутская районная больница" |
ФАП с. Нукуты |
|
+ |
|
|
|
- |
1 387 905 |
0,300 |
416 372 |
||||||||||
650 |
областное государственное бюджетное учреждение здравоохранения "Нукутская районная больница" |
ФАП д. Ворот-Онгой |
|
+ |
|
|
|
- |
1 387 905 |
0,300 |
416 372 |
||||||||||
651 |
областное государственное бюджетное учреждение здравоохранения "Нукутская районная больница" |
ФАП д. Макарьевск |
+ |
|
|
|
|
- |
1 110 324 |
0,300 |
333 097 |
||||||||||
652 |
областное государственное бюджетное учреждение здравоохранения "Нукутская районная больница" |
ФАП с. Тангуты |
|
+ |
|
|
|
- |
1 387 905 |
0,300 |
416 372 |
||||||||||
653 |
областное государственное бюджетное учреждение здравоохранения "Нукутская районная больница" |
ФАП д. Зунгар |
|
+ |
|
|
|
- |
1 387 905 |
0,300 |
416 372 |
||||||||||
654 |
областное государственное бюджетное учреждение здравоохранения "Нукутская районная больница" |
ФАП д. Куйта |
|
+ |
|
|
|
- |
1 387 905 |
0,300 |
416 372 |
||||||||||
655 |
областное государственное бюджетное учреждение здравоохранения "Нукутская районная больница" |
ФАП д. Ей |
|
+ |
|
|
|
- |
1 387 905 |
0,300 |
416 372 |
||||||||||
656 |
областное государственное бюджетное учреждение здравоохранения "Нукутская районная больница" |
ФАП д. Мельхитуй |
|
+ |
|
|
|
- |
1 387 905 |
0,300 |
416 372 |
||||||||||
657 |
областное государственное бюджетное учреждение здравоохранения "Нукутская районная больница" |
ФАП д. Мельхитуй |
|
+ |
|
|
|
- |
1 387 905 |
0,300 |
416 372 |
||||||||||
658 |
областное государственное бюджетное учреждение здравоохранения "Нукутская районная больница" |
ФАП с. Новоленино |
|
|
+ |
|
|
- |
2 198 676 |
0,300 |
659 603 |
||||||||||
659 |
областное государственное бюджетное учреждение здравоохранения "Нукутская районная больница" |
ФАП с. Целинный |
|
+ |
|
|
|
- |
1 387 905 |
0,300 |
416 372 |
||||||||||
660 |
областное государственное бюджетное учреждение здравоохранения "Нукутская районная больница" |
ФАП д. Степное |
+ |
|
|
|
|
- |
1 110 324 |
0,300 |
333 097 |
||||||||||
661 |
областное государственное бюджетное учреждение здравоохранения "Нукутская районная больница" |
ФАП д. Дружный |
+ |
|
|
|
|
- |
1 110 324 |
0,300 |
333 097 |
||||||||||
662 |
областное государственное бюджетное учреждение здравоохранения "Нукутская районная больница" |
ФАП д. Заходы |
|
+ |
|
|
|
- |
1 387 905 |
0,300 |
416 372 |
||||||||||
663 |
областное государственное бюджетное учреждение здравоохранения "Нукутская районная больница" |
ФАП с. Закулей |
|
+ |
|
|
|
- |
1 387 905 |
0,300 |
416 372 |
||||||||||
664 |
областное государственное бюджетное учреждение здравоохранения "Нукутская районная больница" |
ФАП д. Новоселово |
+ |
|
|
|
|
- |
1 110 324 |
0,300 |
333 097 |
||||||||||
665 |
областное государственное бюджетное учреждение здравоохранения "Нукутская районная больница" |
ФАП с. Хареты |
|
+ |
|
|
|
- |
1 387 905 |
0,300 |
416 372 |
||||||||||
666 |
областное государственное бюджетное учреждение здравоохранения "Нукутская районная больница" |
ФАП д. Шалоты |
|
+ |
|
|
|
- |
1 387 905 |
0,330 |
458 009 |
||||||||||
667 |
областное государственное автономное учреждение здравоохранения "Иркутская городская клиническая больница N 8" |
ФАП д. Малая Еланка |
|
+ |
|
|
|
- |
1 387 905 |
0,670 |
929 896 |
||||||||||
668 |
областное государственное бюджетное учреждение здравоохранения "Усть-Илимская городская поликлиника N 2" |
ФАП р.п. Железнодорожный |
|
|
|
+ |
|
- |
3 059 077 |
0,290 |
887 132 |
||||||||||
* Понижающий поправочный
коэффициент для расчета размера
финансового обеспечения - 0,8 к значению
следующей группы. Размер финансового
обеспечения ФПов, ФАПов, обслуживающих
менее 100 жителей, - 870,16 тыс. руб.
** Повышающий поправочный
коэффициент для расчета размера
финансового обеспечения - 1,2 к значению
предыдущей группы. Размер финансового
обеспечения ФПов, ФАПов, обслуживающих
более 2000 жителей, - 2321,88 тыс. руб.
Приложение N 9
к Дополнительному соглашению
от 28 февраля 2022 г. N 3
Приложение N 29
к Тарифному соглашению
от 30 декабря 2021 г.
ПЕРЕЧЕНЬ МЕДИЦИНСКИХ ОРГАНИЗАЦИЙ,
ОКАЗЫВАЮЩИХ МЕДИЦИНСКУЮ ПОМОЩЬ В
АМБУЛАТОРНЫХ, СТАЦИОНАРНЫХ УСЛОВИЯХ, В
УСЛОВИЯХ ДНЕВНОГО СТАЦИОНАРА, ИМЕЮЩИХ
ПРИКРЕПИВШИХСЯ ЛИЦ, ОПЛАТА МЕДИЦИНСКОЙ
ПОМОЩИ В КОТОРЫХ ОСУЩЕСТВЛЯЕТСЯ ПО
ПОДУШЕВОМУ НОРМАТИВУ ФИНАНСИРОВАНИЯ НА
ПРИКРЕПИВШИХСЯ К ДАННОЙ МЕДИЦИНСКОЙ
ОРГАНИЗАЦИИ ЛИЦ (ВКЛЮЧАЯ ОПЛАТУ
МЕДИЦИНСКОЙ ПОМОЩИ ПО ВСЕМ ВИДАМ И
УСЛОВИЯМ ПРЕДОСТАВЛЯЕМОЙ УКАЗАННОЙ
МЕДИЦИНСКОЙ ОРГАНИЗАЦИЕЙ МЕДИЦИНСКОЙ
ПОМОЩИ), С УЧЕТОМ ПОКАЗАТЕЛЕЙ
РЕЗУЛЬТАТИВНОСТИ ДЕЯТЕЛЬНОСТИ
МЕДИЦИНСКОЙ ОРГАНИЗАЦИИ (ВКЛЮЧАЯ
ПОКАЗАТЕЛИ ОБЪЕМА МЕДИЦИНСКОЙ ПОМОЩИ)
N п/п |
|
Наименование медицинской организации |
Уровень |
КУмо |
КСпроф |
КСзаб |
1 |
380136 |
областное государственное автономное учреждение здравоохранения "Ангарская городская больница N 1" |
7 |
0,90 |
1,0247 |
0,7504 |
2 |
380137 |
областное государственное автономное учреждение здравоохранения "Ангарская городская детская больница N 1" |
4 |
0,93 |
1,1412 |
0,9695 |
3 |
380121 |
областное государственное автономное учреждение здравоохранения "Братская городская больница N 5" |
5 |
0,92 |
1,0185 |
1,1722 |
4 |
380005 |
областное государственное бюджетное учреждение здравоохранения "Иркутская городская клиническая больница N 1" |
1 |
0,96 |
1,0123 |
1,4436 |
5 |
380021 |
областное государственное автономное учреждение здравоохранения "МЕДСАНЧАСТЬ ИАПО" |
2 |
0,95 |
1,0514 |
1,3255 |
6 |
380149 |
областное государственное бюджетное учреждение здравоохранения "Нижнеудинская районная больница" |
6 |
0,91 |
1,0292 |
1,2279 |
7 |
380164 |
областное государственное бюджетное учреждение здравоохранения "Тайшетская районная больница" |
3 |
0,94 |
1,0585 |
1,0843 |
8 |
380165 |
областное государственное бюджетное учреждение здравоохранения "Тулунская городская больница" |
7 |
0,90 |
1,0563 |
1,0659 |
9 |
380099 |
областное государственное бюджетное учреждение здравоохранения "Слюдянская районная больница" |
4 |
0,93 |
1,0896 |
0,7489 |
10 |
380087 |
областное государственное автономное учреждение здравоохранения "Ангарская городская больница скорой медицинской помощи" |
1 |
0,96 |
1,0275 |
1,6008 |
11 |
380122 |
областное государственное бюджетное учреждение здравоохранения "Братская детская городская больница" |
3 |
0,94 |
1,1081 |
1,1360 |
12 |
380120 |
областное государственное автономное учреждение здравоохранения "Братская городская больница N 3" |
3 |
0,94 |
1,0682 |
0,8373 |
13 |
380185 |
областное государственное бюджетное учреждение здравоохранения "Чунская районная больница" |
3 |
0,94 |
1,0638 |
0,8675 |
14 |
380003 |
областное государственное бюджетное учреждение здравоохранения "Иркутская городская больница N 6" |
6 |
0,91 |
1,0532 |
0,6987 |
15 |
380013 |
областное государственное автономное учреждение здравоохранения "Иркутская городская клиническая больница N 9" |
2 |
0,95 |
1,0810 |
0,8117 |
16 |
380006 |
областное государственное автономное учреждение здравоохранения "Иркутская городская клиническая больница N 10" |
3 |
0,94 |
1,0513 |
1,0329 |
17 |
380183 |
областное государственное бюджетное учреждение здравоохранения "Усть-Удинская районная больница" |
4 |
0,93 |
1,0850 |
0,6575 |
18 |
380148 |
областное государственное бюджетное учреждение здравоохранения "Районная больница п. Мама" |
9 |
0,87 |
1,0449 |
1,4729 |
19 |
380154 |
областное государственное бюджетное учреждение здравоохранения "Саянская городская больница" |
2 |
0,95 |
1,0683 |
1,2211 |
20 |
380133 |
областное государственное бюджетное учреждение здравоохранения "Зиминская городская больница" |
4 |
0,93 |
1,0728 |
0,9404 |
21 |
380144 |
областное государственное бюджетное учреждение здравоохранения "Казачинско-Ленская районная больница" |
6 |
0,91 |
1,0383 |
0,9522 |
22 |
380146 |
областное государственное бюджетное учреждение здравоохранения "Киренская районная больница" |
5 |
0,92 |
1,0482 |
0,9652 |
23 |
380177 |
областное государственное бюджетное учреждение здравоохранения "Усольская городская больница" |
4 |
0,93 |
1,0489 |
0,9502 |
24 |
380247 |
областное государственное бюджетное учреждение здравоохранения "Боханская районная больница" |
7 |
0,90 |
1,0689 |
1,1562 |
25 |
380248 |
областное государственное бюджетное учреждение здравоохранения "Нукутская районная больница" |
4 |
0,93 |
1,0374 |
0,8346 |
26 |
380245 |
областное государственное бюджетное учреждение здравоохранения "Аларская районная больница" |
3 |
0,94 |
1,0470 |
1,1769 |
27 |
380251 |
областное государственное бюджетное учреждение здравоохранения "Областная больница N 2" |
4 |
0,93 |
1,0284 |
1,0483 |
28 |
380162 |
областное государственное бюджетное учреждение здравоохранения "Больница г. Свирска" |
2 |
0,95 |
1,0751 |
0,7858 |
29 |
380188 |
областное государственное бюджетное учреждение здравоохранения "Шелеховская районная больница" |
2 |
0,95 |
1,0429 |
0,9225 |
30 |
380118 |
областное государственное автономное учреждение здравоохранения "Братская городская больница N 1" |
2 |
0,95 |
1,0388 |
0,7901 |
31 |
380119 |
областное государственное бюджетное учреждение здравоохранения "Братская городская больница N 2" |
1 |
0,96 |
1,0660 |
0,7519 |
32 |
380117 |
областное государственное бюджетное учреждение здравоохранения "Братская районная больница" |
4 |
0,93 |
1,0582 |
1,0635 |
33 |
380009 |
областное государственное бюджетное учреждение здравоохранения "Иркутская городская клиническая больница N 3" |
2 |
0,95 |
1,0230 |
1,6424 |
34 |
380029 |
областное государственное автономное учреждение здравоохранения "Иркутская городская клиническая больница N 8" |
3 |
0,94 |
1,0974 |
0,5938 |
35 |
380098 |
областное государственное бюджетное учреждение здравоохранения "Иркутская районная больница" |
4 |
0,93 |
1,0360 |
0,6047 |
36 |
380095 |
областное государственное бюджетное учреждение здравоохранения "Катангская районная больница" |
9 |
0,87 |
1,0274 |
1,4402 |
37 |
380115 |
областное государственное бюджетное учреждение здравоохранения "Районная больница г. Бодайбо" |
6 |
0,91 |
1,0397 |
0,6276 |
38 |
380036 |
государственное бюджетное учреждение здравоохранения "Областной гериатрический центр" |
4 |
0,93 |
1,0608 |
1,3881 |
39 |
380132 |
областное государственное бюджетное учреждение здравоохранения "Заларинская районная больница" |
4 |
0,93 |
1,1176 |
0,6017 |
40 |
380114 |
областное государственное бюджетное учреждение здравоохранения "Балаганская районная больница" |
4 |
0,93 |
1,0225 |
0,9501 |
41 |
380147 |
областное государственное бюджетное учреждение здравоохранения "Куйтунская районная больница" |
3 |
0,94 |
1,0305 |
1,0966 |
42 |
380182 |
областное государственное бюджетное учреждение здравоохранения "Усть-Кутская районная больница" |
8 |
0,89 |
1,0291 |
1,1251 |
43 |
380129 |
областное государственное бюджетное учреждение здравоохранения "Железногорская районная больница" |
2 |
0,95 |
1,0174 |
1,2037 |
44 |
380249 |
областное государственное бюджетное учреждение здравоохранения "Осинская районная больница" |
3 |
0,94 |
1,0642 |
1,0906 |
45 |
380097 |
областное государственное бюджетное учреждение здравоохранения "Жигаловская районная больница" |
4 |
0,93 |
1,0761 |
1,0363 |
46 |
380096 |
областное государственное бюджетное учреждение здравоохранения "Качугская районная больница" |
3 |
0,94 |
1,0663 |
0,8920 |
47 |
380246 |
областное государственное бюджетное учреждение здравоохранения "Баяндаевская районная больница" |
6 |
0,91 |
1,0537 |
1,2397 |
48 |
380100 |
областное государственное бюджетное учреждение здравоохранения "Ольхонская районная больница" |
8 |
0,89 |
1,0414 |
1,3431 |
49 |
380157 |
областное государственное бюджетное учреждение здравоохранения "Черемховская городская больница N 1" |
3 |
0,94 |
1,0455 |
1,4017 |
50 |
380240 |
Медицинская автономная некоммерческая организация "Лечебно-диагностический центр" |
1 |
0,95 |
1,1537 |
0,3819 |
Приложение N 10
к Дополнительному соглашению
от 28 февраля 2022 г. N 3
Приложение N 30
к Тарифному соглашению
от 30 декабря 2021 г.
ПОКАЗАТЕЛИ РЕЗУЛЬТАТИВНОСТИ
ДЕЯТЕЛЬНОСТИ МЕДИЦИНСКИХ ОРГАНИЗАЦИЙ,
ОКАЗЫВАЮЩИХ МЕДИЦИНСКУЮ ПОМОЩЬ, ОПЛАТА
КОТОРОЙ ПРОИЗВОДИТСЯ ПО ПОДУШЕВОМУ
НОРМАТИВУ ФИНАНСИРОВАНИЯ НА
ПРИКРЕПИВШИХСЯ К МЕДИЦИНСКОЙ
ОРГАНИЗАЦИИ ЛИЦ
ПЕРЕЧЕНЬ ПОКАЗАТЕЛЕЙ РЕЗУЛЬТАТИВНОСТИ ДЕЯТЕЛЬНОСТИ И КРИТЕРИИ ИХ ОЦЕНКИ ДЛЯ МЕДИЦИНСКИХ ОРГАНИЗАЦИЙ, ОКАЗЫВАЮЩИХ МЕДИЦИНСКУЮ ПОМОЩЬ В АМБУЛАТОРНЫХ УСЛОВИЯХ. ОЦЕНКА ПОКАЗАТЕЛЕЙ РЕЗУЛЬТАТИВНОСТИ (БАЛЛЫ) | ||||
|
Наименование показателя |
Предположительный результат |
Индикаторы выполнения показателя |
Макс. балл |
Блок 1. Взрослое население (в возрасте 18 лет и старше) |
25 | |||
Оценка эффективности профилактических мероприятий | ||||
1 |
Доля врачебных посещений с профилактической целью за период от общего числа посещений за период (включая посещения на дому) |
Прирост показателя за период по отношению к показателю за предыдущий период |
Прирост < 5% - 0 баллов; Прирост >= 5% - 0,5 балла; Прирост >= 10% - 1 балл |
1 |
2 |
Доля взрослых пациентов с болезнями системы кровообращения, выявленными впервые при профилактических медицинских осмотрах и диспансеризации за период, от общего числа взрослых пациентов с болезнями системы кровообращения с впервые в жизни установленным диагнозом за период |
Прирост показателя за период по отношению к показателю за предыдущий период |
Прирост < 5% - 0 баллов; Прирост >= 5% - 1 балл; Прирост >= 10% - 2 балла |
2 |
3 |
Доля взрослых пациентов с установленным диагнозом злокачественное новообразование, выявленным впервые при профилактических медицинских осмотрах и диспансеризации за период, от общего числа взрослых пациентов с впервые в жизни установленным диагнозом злокачественное новообразование за период |
Прирост показателя за период по отношению к показателю за предыдущий период |
Прирост < 5% - 0 баллов; Прирост >= 5% - 0,5 балла; Прирост >= 10% - 1 балл |
1 |
4 |
Доля взрослых пациентов с установленным диагнозом хроническая обструктивная болезнь легких, выявленным впервые при профилактических медицинских осмотрах и диспансеризации за период, от общего числа взрослых пациентов с впервые в жизни установленным диагнозом хроническая обструктивная легочная болезнь за период |
Прирост показателя за период по отношению к показателю за предыдущий период |
Прирост < 5% - 0 баллов; Прирост >= 5% - 0,5 балла; Прирост >= 10% - 1 балл |
1 |
5 |
Доля взрослых пациентов с установленным диагнозом сахарный диабет, выявленным впервые при профилактических медицинских осмотрах и диспансеризации за период, от общего числа взрослых пациентов с впервые в жизни установленным диагнозом сахарный диабет за период |
Прирост показателя за период по отношению к показателю за предыдущий период |
Прирост < 5% - 0 баллов; Прирост >= 5% - 0,5 балла; Прирост >= 10% - 1 балл |
1 |
6 |
Выполнение плана вакцинации взрослых граждан по эпидемиологическим показаниям за период (коронавирусная инфекция COVID-19) |
Достижение планового показателя |
100% плана или более |
2 |
Оценка эффективности диспансерного наблюдения | ||||
7 |
Доля взрослых пациентов с болезнями системы кровообращения <*>, имеющих высокий риск преждевременной смерти, состоящих под диспансерным наблюдением, от общего числа взрослых пациентов с болезнями системы кровообращения <*>, имеющих высокий риск преждевременной смерти, за период |
Прирост показателя за период по отношению к показателю за предыдущий период |
Прирост < 5% - 0 баллов; Прирост >= 5% - 1 балл; Прирост >= 10% - 2 балла |
2 |
8 |
Число взрослых пациентов с болезнями системы кровообращения <*>, имеющих высокий риск преждевременной смерти, которым за период оказана медицинская помощь в неотложной форме и (или) скорая медицинская помощь, от общего числа взрослых пациентов с болезнями системы кровообращения <*>, имеющих высокий риск преждевременной смерти, за период |
Уменьшение показателя за период по отношению к показателю в предыдущем периоде |
Уменьшение < 5% - 0 баллов; Уменьшение >= 5% - 0,5 балла; Уменьшение >= 10% - 1 балл |
1 |
9 |
Доля взрослых пациентов с болезнями системы кровообращения, в отношении которых установлено диспансерное наблюдение за период, от общего числа взрослых пациентов с впервые в жизни установленным диагнозом болезни системы кровообращения за период |
Достижение планового показателя |
100% плана или более |
1 |
10 |
Доля взрослых пациентов с установленным диагнозом хроническая обструктивная болезнь легких, в отношении которых установлено диспансерное наблюдение за период, от общего числа взрослых пациентов с впервые в жизни установленным диагнозом хроническая обструктивная болезнь легких за период |
Достижение планового показателя |
100% плана или более |
1 |
11 |
Доля взрослых пациентов с установленным диагнозом сахарный диабет, в отношении которых установлено диспансерное наблюдение за период, от общего числа взрослых пациентов с впервые в жизни установленным диагнозом сахарный диабет за период |
Достижение планового показателя |
100% плана или более |
2 |
12 |
Доля взрослых пациентов, госпитализированных за период по экстренным показаниям в связи с обострением (декомпенсацией) состояний, по поводу которых пациент находится под диспансерным наблюдением, от общего числа взрослых пациентов, находящихся под диспансерным наблюдением за период |
Уменьшение показателя за период по отношению к показателю в предыдущем периоде |
Уменьшение < 5% - 0 баллов; Уменьшение >= 5% - 0,5 балла; Уменьшение >= 10% - 1 балл |
1 |
13 |
Доля взрослых пациентов, повторно госпитализированных за период по причине заболеваний сердечно-сосудистой системы или их осложнений в течение года с момента предыдущей госпитализации, от общего числа взрослых пациентов, госпитализированных за период по причине заболеваний сердечно-сосудистой системы или их осложнений |
Уменьшение показателя за период по отношению к показателю в предыдущем периоде |
Уменьшение < 5% - 0 баллов; Уменьшение >= 5% - 1 балл; Уменьшение >= 10% - 2 балла |
2 |
14 |
Доля взрослых пациентов, находящихся под диспансерным наблюдением по поводу сахарного диабета, у которых впервые зарегистрированы осложнения за период (диабетическая ретинопатия, диабетическая стопа), от общего числа взрослых пациентов, находящихся под диспансерным наблюдением по поводу сахарного диабета за период |
Уменьшение показателя за период по отношению к показателю в предыдущем периоде |
Уменьшение < 5% - 0 баллов; Уменьшение >= 5% - 0,5 балла; Уменьшение >= 10% - 1 балл |
1 |
Оценка смертности | ||||
15 |
Смертность прикрепленного населения в возрасте от 30 до 69 лет за период |
Уменьшение показателя за период по отношению к показателю в предыдущем периоде (среднее значение коэффициента смертности за 2019, 2020, 2021 годы) |
Увеличение показателя смертности или уменьшение < 2% - 0 баллов; Уменьшение от 2 до 5% - 1 балл; Уменьшение от 5 до 10% - 2 балла; Уменьшение >= 10% - 3 балла |
3 |
16 |
Число умерших за период, находящихся под диспансерным наблюдением, от общего числа взрослых пациентов, находящихся под диспансерным наблюдением |
Уменьшение показателя за период по отношению к показателю в предыдущем периоде |
Уменьшение < 5% - 0 баллов; Уменьшение >= 5% - 1,5 балла; Уменьшение >= 10% - 3 балла |
3 |
Блок 2. Детское население (от 0 до 17 лет включительно) |
10 | |||
Оценка эффективности профилактических мероприятий | ||||
17 |
Охват вакцинацией детей в рамках Национального календаря прививок |
Достижение планового показателя |
100% плана или более |
1 |
18 |
Доля детей, в отношении которых установлено диспансерное наблюдение по поводу болезней костно-мышечной системы и соединительной ткани за период, от общего числа детей с впервые в жизни установленными диагнозами болезней костно-мышечной системы и соединительной ткани за период |
Достижение планового показателя |
100% от числа подлежащих диспансерному наблюдению |
1 |
19 |
Доля детей, в отношении которых установлено диспансерное наблюдение по поводу болезней глаза и его придаточного аппарата за период, от общего числа детей с впервые в жизни установленными диагнозами болезней глаза и его придаточного аппарата за период |
Достижение планового показателя |
100% от числа подлежащих диспансерному наблюдению |
1 |
20 |
Доля детей, в отношении которых установлено диспансерное наблюдение по поводу болезней органов пищеварения за период, от общего числа детей с впервые в жизни установленными диагнозами болезней органов пищеварения за период |
Достижение планового показателя |
100% от числа подлежащих диспансерному наблюдению |
1 |
21 |
Доля детей, в отношении которых установлено диспансерное наблюдение по поводу болезней системы кровообращения за период, от общего числа детей с впервые в жизни установленными диагнозами болезней системы кровообращения за период |
Достижение планового показателя |
100% от числа подлежащих диспансерному наблюдению |
2 |
22 |
Доля детей, в отношении которых установлено диспансерное наблюдение по поводу болезней эндокринной системы, расстройства питания и нарушения обмена веществ за период, от общего числа детей с впервые в жизни установленными диагнозами болезней эндокринной системы, расстройства питания и нарушения обмена веществ за период |
Достижение планового показателя |
100% от числа подлежащих диспансерному наблюдению |
1 |
Оценка смертности | ||||
23 |
Смертность детей в возрасте 0 - 17 лет за период |
Уменьшение показателя за период по отношению к показателю в предыдущем периоде |
Увеличение показателя смертности или уменьшение < 2% - 0 баллов; Уменьшение от 2 до 5% - 1 балл; Уменьшение от 5 до 10% - 2 балла; Уменьшение >= 10% - 3 балла |
3 |
Блок 3. Оказание акушерско-гинекологической помощи |
6 | |||
Оценка эффективности профилактических мероприятий | ||||
24 |
Доля женщин, отказавшихся от искусственного прерывания беременности, от числа женщин, прошедших доабортное консультирование за период |
Прирост показателя за период по отношению к показателю за предыдущий период |
Прирост < 5% - 0 баллов; Прирост >= 5% - 0,5 балла; Прирост >= 10% - 1 балл |
1 |
25 |
Доля беременных женщин, вакцинированных от коронавирусной инфекции (COVID-19), за период, от числа женщин, состоящих на учете по беременности и родам на начало периода |
Достижение планового показателя |
100% плана или более |
1 |
26 |
Доля женщин с установленным диагнозом злокачественное новообразование шейки матки, выявленным впервые при диспансеризации, от общего числа женщин с установленным диагнозом злокачественное новообразование шейки матки за период |
Прирост показателя за период по отношению к показателю за предыдущий период |
Прирост < 5% - 0 баллов; Прирост >= 5% - 0,5 балла; Прирост >= 10% - 1 балл |
1 |
27 |
Доля женщин с установленным диагнозом злокачественное новообразование молочной железы, выявленным впервые при диспансеризации, от общего числа женщин с установленным диагнозом злокачественное новообразование молочной железы за период |
Прирост показателя за период по отношению к показателю за предыдущий период |
Прирост < 5% - 0 баллов; Прирост >= 5% - 0,5 балла; Прирост >= 10% - 1 балл |
1 |
28 |
Доля беременных женщин, прошедших скрининг в части оценки антенатального развития плода за период, от общего числа женщин, состоявших на учете по поводу беременности и родов за период |
Достижение планового показателя |
100% плана или более |
2 |
* По набору кодов Международной
статистической классификации болезней и
проблем, связанных со здоровьем,
десятого пересмотра (МКБ-10).
К группам диагнозов,
обусловливающих высокий риск смерти,
относится любое сочетание сопутствующих
заболеваний и осложнений с основным
диагнозом, указанных в таблице:
Основной диагноз |
Сопутствующие заболевания |
Осложнение заболевания |
Ишемические болезни сердца (I20 - I25) |
Сахарный диабет (E10 - E11) |
Сердечная недостаточность (I50.0 - I50.9) |
Болезни, характеризующиеся повышенным кровяным давлением (I10 - I13) |
Хроническая обструктивная легочная болезнь (J44.0 - J44.9) |
Фибрилляция и трепетание предсердий (I48) |
|
|
Другие нарушения сердечного ритма (I49) |
Цереброваскулярные болезни (I60 - I69) |
Хроническая болезнь почек (N18.1 - N18.9) |
Предсердно-желудочковая (атриовентрикулярная) блокада и блокада левой ножки пучка Гиса (I44) |
|
|
Другие нарушения проводимости (I45) |
|
|
Легочно-сердечная недостаточность неуточненная (I27.9) |
|
|
Гипостатическая пневмония неуточненная (J18.2) |
|
|
Хроническая болезнь почек неуточненная (N18.9) |
|
|
Уремия (N19) |
|
|
Гангрена (R02) |
|
|
Другие поражения легкого (J98.4) |
|
|
Эмфизема (легкого) (J43.9) |
ПОРЯДОК РАСЧЕТА ЗНАЧЕНИЙ ПОКАЗАТЕЛЕЙ
РЕЗУЛЬТАТИВНОСТИ ДЕЯТЕЛЬНОСТИ
МЕДИЦИНСКИХ ОРГАНИЗАЦИЙ
N |
Наименование показателя |
Формула расчета <**> |
Единицы измерения |
Источник |
Взрослое население (в возрасте 18 лет и старше) | ||||
Оценка эффективности профилактических мероприятий | ||||
1. |
Доля врачебных посещений с профилактической целью за период от общего числа посещений за период (включая посещения на дому) |
где: Dprof - доля врачебных посещений с профилактической целью за период от общего числа посещений за период (включая посещения на дому), выраженная в процентах; Pprof - число врачебных посещений с профилактической целью за период; Pvs - посещений за период (включая посещения на дому); Oz - общее число обращений за отчетный период; k - коэффициент перевода обращений в посещения |
Процент |
Источником информации являются реестр оказанной медицинской помощи застрахованным лицам, за исключением посещений стоматологического профиля. Отбор информации для расчета показателей осуществляется по полям реестра: - дата окончания лечения; - цель посещения |
2. |
Доля взрослых пациентов с болезнями системы кровообращения, выявленными впервые при профилактических медицинских осмотрах и диспансеризации за период, от общего числа взрослых пациентов с болезнями системы кровообращения с впервые в жизни установленным диагнозом за период |
где: Dбск - доля взрослых пациентов с болезнями системы кровообращения, выявленными впервые при профилактических медицинских осмотрах и диспансеризации за период, от общего числа взрослых пациентов с болезнями системы кровообращения с впервые в жизни установленным диагнозом за период; BSKдисп - число взрослых пациентов с болезнями системы кровообращения, выявленными впервые при профилактических медицинских осмотрах и диспансеризации за период; BSKвп - общее число взрослых пациентов с болезнями системы кровообращения с впервые в жизни установленным диагнозом за период |
Процент |
Источником информации являются реестры оказанной медицинской помощи застрахованным лицам. Отбор информации для расчета показателей осуществляется по полям реестра: - дата окончания лечения; - диагноз основной; - впервые выявлено (основной); - характер заболевания; - цель посещения; - дата рождения |
3. |
Доля взрослых пациентов с установленным диагнозом злокачественное новообразование, выявленным впервые при профилактических медицинских осмотрах и диспансеризации за период, от общего числа взрослых пациентов с впервые в жизни установленным диагнозом злокачественное новообразование за период |
где: Dзно - доля взрослых пациентов с установленным диагнозом злокачественное новообразование, выявленным впервые при профилактических медицинских осмотрах и диспансеризации за период, от общего числа взрослых пациентов с впервые в жизни установленным диагнозом злокачественное новообразование за период; ZNOдисп - число взрослых пациентов с установленным диагнозом злокачественное новообразование, выявленным впервые при профилактических медицинских осмотрах и диспансеризации за период; ZNOвп - общее число взрослых пациентов с впервые в жизни установленным диагнозом злокачественное новообразование за период |
Процент |
Расчет показателя осуществляется путем отбора информации по полям реестра формата Д3 "Файл со сведениями об оказанной медицинской помощи при диспансеризации", предусматривает поле реестра "Признак подозрения на злокачественное новообразование". Движение пациента отслеживается по формату реестра Д4 "Файл со сведениями при осуществлении персонифицированного учета оказанной медицинской помощи при подозрении на злокачественное новообразование или установленном диагнозе злокачественного новообразования": - диагноз основной; - характер основного заболевания |
4. |
Доля взрослых пациентов с установленным диагнозом хроническая обструктивная болезнь легких, выявленным впервые при профилактических медицинских осмотрах и диспансеризации за период, от общего числа взрослых пациентов с впервые в жизни установленным диагнозом хроническая обструктивная легочная болезнь за период |
где: Dхобл - доля взрослых пациентов с установленным диагнозом хроническая обструктивная болезнь легких, выявленным впервые при профилактических медицинских осмотрах и диспансеризации за период, от общего числа взрослых пациентов с впервые в жизни установленным диагнозом хроническая обструктивная легочная болезнь за период; Hдисп - число взрослых пациентов с установленным диагнозом хроническая обструктивная болезнь легких, выявленным впервые при профилактических медицинских осмотрах и диспансеризации за период; Hвп - общее число взрослых пациентов с впервые в жизни установленным диагнозом хроническая обструктивная легочная болезнь за период |
Процент |
Источником информации являются реестры оказанной медицинской помощи застрахованным лицам. Отбор информации для расчета показателей осуществляется по полям реестра: - дата окончания лечения; - диагноз основной; - впервые выявлено (основной); - характер заболевания; - цель посещения; - дата рождения |
5. |
Доля взрослых пациентов с установленным диагнозом сахарный диабет, выявленным впервые при профилактических медицинских осмотрах и диспансеризации за период, от общего числа взрослых пациентов с впервые в жизни установленным диагнозом сахарный диабет за период |
где: Dсд - доля взрослых пациентов с установленным диагнозом сахарный диабет, выявленным впервые при профилактических медицинских осмотрах и диспансеризации за период, от общего числа взрослых пациентов с впервые в жизни установленным диагнозом сахарный диабет за период; SDдисп - число взрослых пациентов с установленным диагнозом сахарный диабет, выявленным впервые при профилактических медицинских осмотрах и диспансеризации за период; SDвп - общее число взрослых пациентов с впервые в жизни установленным диагнозом сахарный диабет за период |
Процент |
Источником информации являются реестры оказанной медицинской помощи застрахованным лицам. Отбор информации для расчета показателей осуществляется по полям реестра: - дата окончания лечения; - диагноз основной; - впервые выявлено (основной); - характер заболевания; - цель посещения; - дата рождения |
6. |
Выполнение плана вакцинации взрослых граждан по эпидемиологическим показаниям за период (коронавирусная инфекция COVID-19) |
где: Vvэпид - процент выполнения плана вакцинации взрослых граждан по эпидемиологическим показаниям за период (коронавирусная инфекция COVID-19); Fvэпид - фактическое число взрослых граждан, вакцинированных от коронавирусной инфекции COVID-19 в отчетном периоде; Pvэпид - число граждан, подлежащих вакцинации по эпидемиологическим показаниям за период (коронавирусная инфекция COVID-19) |
Процент |
Источником информации являются сведения органов государственной власти субъектов Российской Федерации в сфере охраны здоровья, соотносимые с данными федерального регистра вакцинированных |
Оценка эффективности диспансерного наблюдения | ||||
7. |
Доля взрослых пациентов с болезнями системы кровообращения <*>, имеющих высокий риск преждевременной смерти, состоящих под диспансерным наблюдением, от общего числа взрослых пациентов с болезнями системы кровообращения <*>, имеющих высокий риск преждевременной смерти, за период |
где: DNриск - доля взрослых пациентов с болезнями системы кровообращения <*>, имеющих высокий риск преждевременной смерти, состоящих под диспансерным наблюдением, от общего числа взрослых пациентов с болезнями системы кровообращения <*>, имеющих высокий риск преждевременной смерти, за период; Rдн - число взрослых пациентов с болезнями системы кровообращения <*>, имеющих высокий риск преждевременной смерти, состоящих под диспансерным наблюдением; Rвп - общее числа взрослых пациентов с болезнями системы кровообращения <*>, имеющих высокий риск преждевременной смерти, обратившихся за медицинской помощью за период |
На 100 пациентов |
Расчет показателя осуществляется путем отбора информации по полям реестра в формате Д1 "Файл со сведениями об оказанной медицинской помощи за период, кроме ВМП, диспансеризации, профилактических медицинских осмотров, медицинской помощи при подозрении на ЗНО": - дата окончания лечения; - результат обращения; - диагноз основной; - диагноз сопутствующего заболевания; - диагноз осложнения заболевания; - диспансерное наблюдение |
8. |
Число взрослых пациентов с болезнями системы кровообращения <*>, имеющих высокий риск преждевременной смерти, которым за период оказана медицинская помощь в неотложной форме и (или) скорая медицинская помощь, от общего числа взрослых пациентов с болезнями системы кровообращения <*>, имеющих высокий риск преждевременной смерти, за период |
где: Sриск - число взрослых пациентов с болезнями системы кровообращения <*>, имеющих высокий риск преждевременной смерти, которым за период оказана медицинская помощь в неотложной форме и (или) скорая медицинская помощь, от общего числа взрослых пациентов с болезнями системы кровообращения <*>, имеющих высокий риск преждевременной смерти, за период; Vриск - число взрослых пациентов с болезнями системы кровообращения <*>, имеющих высокий риск преждевременной смерти, которым за период оказана медицинская помощь в неотложной форме и (или) скорая медицинская помощь по поводу болезней системы кровообращения <*>, приводящих к высокому риску преждевременной смертности; Dриск - общее число взрослых пациентов с болезнями системы кровообращения <*>, имеющих высокий риск преждевременной смерти, обратившихся за медицинской помощью за период |
На 100 пациентов |
Расчет показателя осуществляется путем отбора информации по полям реестра в формате Д1 "Файл со сведениями об оказанной медицинской помощи, кроме ВМП, диспансеризации, профилактических медицинских осмотров, медицинской помощи при подозрении на ЗНО": - дата окончания лечения; - результат обращения; - диагноз основной; - диагноз сопутствующего заболевания; - диагноз осложнения заболевания; - диспансерное наблюдение; - условия оказания медицинской помощи; - форма оказания медицинской помощи |
9. |
Доля взрослых пациентов с болезнями системы кровообращения, в отношении которых установлено диспансерное наблюдение за период, от общего числа взрослых пациентов с впервые в жизни установленным диагнозом болезни системы кровообращения за период |
где: DNбск - доля взрослых пациентов с болезнями системы кровообращения, в отношении которых установлено диспансерное наблюдение за период, от общего числа взрослых пациентов с впервые в жизни установленным диагнозом болезни системы кровообращения за период; BSKдн - число взрослых пациентов с болезнями системы кровообращения, в отношении которых установлено диспансерное наблюдение за период; BSKвп - общее число взрослых пациентов с впервые в жизни установленным диагнозом болезни системы кровообращения за период |
Процент |
Источником информации являются реестры оказанной медицинской помощи застрахованным лицам. Отбор информации для расчета показателей осуществляется по полям реестра: - дата постановки на диспансерный учет; - диагноз основной; - возраст пациента; - характер заболевания; - впервые выявлено (основной); - дата рождения. Источником информации является информационный ресурс территориального фонда в части сведений о лицах, состоящих под диспансерным наблюдением (гл. 15 Приказ 108н МЗ РФ) |
10. |
Доля взрослых пациентов с установленным диагнозом хроническая обструктивная болезнь легких, в отношении которых установлено диспансерное наблюдение за период, от общего числа взрослых пациентов с впервые в жизни установленным диагнозом хроническая обструктивная болезнь легких за период |
где: DNхобл - доля взрослых пациентов с установленным диагнозом хроническая обструктивная болезнь легких, в отношении которых установлено диспансерное наблюдение за период, от общего числа взрослых пациентов с впервые в жизни установленным диагнозом хроническая обструктивная болезнь легких за период; Hдн - число взрослых пациентов с установленным диагнозом хроническая обструктивная болезнь легких, в отношении которых установлено диспансерное наблюдение за период; Hвп - общее число взрослых пациентов с впервые в жизни установленным диагнозом хроническая обструктивная болезнь легких за период |
Процент |
Источником информации являются реестры оказанной медицинской помощи застрахованным лицам. Отбор информации для расчета показателей осуществляется по полям реестра: - дата постановки на диспансерный учет; - диагноз основной; - возраст пациента; - характер заболевания; - впервые выявлено (основной); - дата рождения. Источником информации является информационный ресурс территориального фонда в части сведений о лицах, состоящих под диспансерным наблюдением (гл. 15 Приказ 108н МЗ РФ) |
11. |
Доля взрослых пациентов с установленным диагнозом сахарный диабет, в отношении которых установлено диспансерное наблюдение за период, от общего числа взрослых пациентов с впервые в жизни установленным диагнозом сахарный диабет за период |
где: DNсд - доля взрослых пациентов с установленным диагнозом сахарный диабет, в отношении которых установлено диспансерное наблюдение за период, от общего числа взрослых пациентов с впервые в жизни установленным диагнозом сахарный диабет за период; SDдн - число взрослых пациентов с установленным диагнозом сахарный диабет, в отношении которых установлено диспансерное наблюдение за период; SDвп - общее число взрослых пациентов с впервые в жизни установленным диагнозом сахарный диабет за период |
Процент |
Источником информации являются реестры оказанной медицинской помощи застрахованным лицам. Отбор информации для расчета показателей осуществляется по полям реестра: - дата постановки на диспансерный учет; - диагноз основной; - возраст пациента; - характер заболевания; - впервые выявлено (основной); - дата рождения. Источником информации является информационный ресурс территориального фонда в части сведений о лицах, состоящих под диспансерным наблюдением (гл. 15 Приказ 108н МЗ РФ) |
12. |
Доля взрослых пациентов, госпитализированных за период по экстренным показаниям в связи с обострением (декомпенсацией) состояний, по поводу которых пациент находится под диспансерным наблюдением, от общего числа взрослых пациентов, находящихся под диспансерным наблюдением за период |
где: Hвсего - доля взрослых пациентов, госпитализированных за период по экстренным показаниям в связи с обострением (декомпенсацией) состояний, по поводу которых пациент находится под диспансерным наблюдением, от общего числа взрослых пациентов, находящихся под диспансерным наблюдением за период; Oвсего - число взрослых пациентов, госпитализированных за период по экстренным показаниям в связи с обострением (декомпенсацией) состояний, по поводу которых пациент находится под диспансерным наблюдением; Dnвсего - общее число взрослых пациентов, находящихся под диспансерным наблюдением за период |
Процент |
Источником информации является информационный ресурс территориального фонда в части сведений о лицах, состоящих под диспансерным наблюдением (гл. 15 Приказ 108н МЗ РФ). Источником информации являются реестры (стационар) оказанной медицинской помощи застрахованным лицам. Отбор информации для расчета показателей осуществляется по полям реестра: - дата окончания лечения; - диагноз основной; - диагноз сопутствующий; - диагноз осложнений - характер заболевания; - форма оказания медицинской помощи |
13. |
Доля взрослых пациентов, повторно госпитализированных за период по причине заболеваний сердечно-сосудистой системы или их осложнений в течение года с момента предыдущей госпитализации, от общего числа взрослых пациентов, госпитализированных за период по причине заболеваний сердечно-сосудистой системы или их осложнений |
где: Pбск - доля взрослых пациентов, повторно госпитализированных за период по причине заболеваний сердечно-сосудистой системы или их осложнений в течение года с момента предыдущей госпитализации, от общего числа взрослых пациентов, госпитализированных за период по причине заболеваний сердечно-сосудистой системы или их осложнений; PHбск - число взрослых пациентов, повторно госпитализированных за период по причине заболеваний сердечно-сосудистой системы или их осложнений в течение года с момента предыдущей госпитализации; Hбск - общее число взрослых пациентов, госпитализированных за период по причине заболеваний сердечно-сосудистой системы или их осложнений |
Процент |
Источником информации являются реестры (стационар) оказанной медицинской помощи застрахованным лицам. Отбор информации для расчета показателей осуществляется по полям реестра: - дата начала лечения; - диагноз основной; - диагноз сопутствующий; - диагноз осложнений - характер заболевания; - форма оказания медицинской помощи |
14. |
Доля взрослых пациентов, находящихся под диспансерным наблюдением по поводу сахарного диабета, у которых впервые зарегистрированы осложнения за период (диабетическая ретинопатия, диабетическая стопа), от общего числа взрослых пациентов, находящихся под диспансерным наблюдением по поводу сахарного диабета за период |
где: SD - доля взрослых пациентов, находящихся под диспансерным наблюдением по поводу сахарного диабета, у которых впервые зарегистрированы осложнения за период (диабетическая ретинопатия, диабетическая стопа), от общего числа взрослых пациентов, находящихся под диспансерным наблюдением по поводу сахарного диабета за период; Osl - число взрослых пациентов, находящихся под диспансерным наблюдением по поводу сахарного диабета, у которых впервые зарегистрированы осложнения за период (диабетическая ретинопатия, диабетическая стопа); SD - общее число взрослых пациентов, находящихся под диспансерным наблюдением по поводу сахарного диабета за период |
Процент |
Источником информации является информационный ресурс территориального фонда в части сведений о лицах, состоящих под диспансерным наблюдением (гл. 15 Приказ 108н МЗ РФ). Источником информации являются реестры оказанной медицинской помощи застрахованным лицам. Отбор информации для расчета показателей осуществляется по полям реестра: - дата окончания лечения; - диагноз основной; - диагноз сопутствующий - впервые выявлено (основной); - характер заболевания; - цель посещения |
Оценка смертности | ||||
15. |
Смертность прикрепленного населения в возрасте от 30 до 69 лет за период <***> |
где: Dth30-69 - смертность прикрепленного населения в возрасте от 30 до 69 лет; D30-69 - число умерших в возрасте от 30 до 69 лет из числа прикрепленного населения за период; Nas30-69 - численность прикрепленного населения в возрасте от 30 до 69 лет за период |
На 1000 прикрепленного населения |
Источником информации является региональный сегмент единого регистра застрахованных лиц (поля: дата рождения; дата смерти, прикрепление к медицинской организации) |
16. |
Число умерших за период, находящихся под диспансерным наблюдением, от общего числа взрослых пациентов, находящихся под диспансерным наблюдением |
где: L - число умерших за период, находящихся под диспансерным наблюдением, от общего числа взрослых пациентов, находящихся под диспансерным наблюдением D - число умерших за период, находящихся под диспансерным наблюдением; DN - общее число взрослых пациентов, находящихся под диспансерным наблюдением за период |
На 100 пациентов |
Источником информации является региональный сегмент единого регистра застрахованных лиц (поля: Ф.И.О., дата рождения; дата смерти, прикрепление к медицинской организации, номер полиса), информационный ресурс территориального фонда в части сведений о лицах, состоящих под диспансерным наблюдением (гл. 15 Приказ 108н МЗ РФ) |
Детское население (от 0 до 17 лет включительно) | ||||
Оценка эффективности профилактических мероприятий | ||||
17. |
Охват вакцинацией детей в рамках Национального календаря прививок |
где: Vdнац - процент охвата вакцинацией детей в рамках Национального календаря прививок в отчетном периоде; Fdнац - фактическое число вакцинированных детей в рамках Национального календаря прививок в отчетном периоде; Pdнац - число детей соответствующего возраста (согласно Национальному календарю прививок) на начало отчетного периода |
Процент |
Источником информации являются данные органов государственной власти субъектов Российской Федерации в сфере охраны здоровья, предоставляемые на бумажных носителях |
18. |
Доля детей, в отношении которых установлено диспансерное наблюдение по поводу болезней костно-мышечной системы и соединительной ткани за период, от общего числа детей с впервые в жизни установленными диагнозами болезней костно-мышечной системы и соединительной ткани за период |
где: Ddkms - доля детей, в отношении которых установлено диспансерное наблюдение по поводу болезней костно-мышечной системы и соединительной ткани за период, от общего числа детей с впервые в жизни установленными диагнозами болезней костно-мышечной системы и соединительной ткани за период; Cdkms - число детей, в отношении которых установлено диспансерное наблюдение по поводу болезней костно-мышечной системы и соединительной ткани за период; Cpkms - общее число детей с впервые в жизни установленными диагнозами болезней костно-мышечной системы и соединительной ткани за период |
Процент |
Источником информации являются реестры оказанной медицинской помощи застрахованным лицам. Отбор информации для расчета показателей осуществляется по полям реестра: - дата рождения; - дата окончания лечения; - диагноз основной; - впервые выявлено (основной); - характер заболевания; - цель посещения |
19. |
Доля детей, в отношении которых установлено диспансерное наблюдение по поводу болезней глаза и его придаточного аппарата за период, от общего числа детей с впервые в жизни установленными диагнозами болезней глаза и его придаточного аппарата за период |
где: Ddgl - доля детей, в отношении которых установлено диспансерное наблюдение по поводу болезней глаза и его придаточного аппарата за период, от общего числа детей с впервые в жизни установленными диагнозами болезней глаза и его придаточного аппарата за период; Cdgl - число детей, в отношении которых установлено диспансерное наблюдение по поводу болезней глаза и его придаточного аппарата за период; Cpgl - общее число детей с впервые в жизни установленными диагнозами болезней глаза и его придаточного аппарата за период |
Процент |
Источником информации являются реестры оказанной медицинской помощи застрахованным лицам. Отбор информации для расчета показателей осуществляется по полям реестра: - дата рождения; - дата окончания лечения; - диагноз основной; - впервые выявлено (основной); - характер заболевания; - цель посещения |
20. |
Доля детей, в отношении которых установлено диспансерное наблюдение по поводу болезней органов пищеварения за период, от общего числа детей с впервые в жизни установленными диагнозами болезней органов пищеварения за период |
где: Dbop - доля детей, в отношении которых установлено диспансерное наблюдение по поводу болезней органов пищеварения за период, от общего числа детей с впервые в жизни установленными диагнозами болезней органов пищеварения за период; Cdbop - число детей, в отношении которых установлено диспансерное наблюдение по поводу болезней органов пищеварения за период; Cpbop - общее число детей с впервые в жизни установленными диагнозами болезней органов пищеварения за период |
Процент |
Источником информации являются реестры оказанной медицинской помощи застрахованным лицам. Отбор информации для расчета показателей осуществляется по полям реестра: - дата рождения; - дата окончания лечения; - диагноз основной; - впервые выявлено (основной); - характер заболевания; - цель посещения |
21. |
Доля детей, в отношении которых установлено диспансерное наблюдение по поводу болезней системы кровообращения за период, от общего числа детей с впервые в жизни установленными диагнозами болезней системы кровообращения за период |
где: Ddbsk - доля детей, в отношении которых установлено диспансерное наблюдение по поводу болезней системы кровообращения за период, от общего числа детей с впервые в жизни установленными диагнозами болезней системы кровообращения за период; Cdbsk - число детей, в отношении которых установлено диспансерное наблюдение по поводу болезней системы кровообращения за период Cpbsk - общее число детей с впервые в жизни установленными диагнозами болезней системы кровообращения за период |
Процент |
Источником информации являются реестры оказанной медицинской помощи застрахованным лицам. Отбор информации для расчета показателей осуществляется по полям реестра: - дата рождения; - дата окончания лечения; - диагноз основной; - впервые выявлено (основной); - характер заболевания; - цель посещения |
22. |
Доля детей, в отношении которых установлено диспансерное наблюдение по поводу болезней эндокринной системы, расстройства питания и нарушения обмена веществ за период, от общего числа детей с впервые в жизни установленными диагнозами болезней эндокринной системы, расстройства питания и нарушения обмена веществ за период |
где: Ddbes - доля детей, в отношении которых установлено диспансерное наблюдение по поводу болезней эндокринной системы, расстройства питания и нарушения обмена веществ за период, от общего числа детей с впервые в жизни установленными диагнозами болезней эндокринной системы, расстройства питания и нарушения обмена веществ за период; Cdbes - число детей, в отношении которых установлено диспансерное наблюдение по поводу болезней эндокринной системы, расстройства питания и нарушения обмена веществ за период; Cpbes - общее число детей с впервые в жизни установленными диагнозами болезней эндокринной системы, расстройства питания и нарушения обмена веществ за период |
Процент |
Источником информации являются реестры оказанной медицинской помощи застрахованным лицам. Отбор информации для расчета показателей осуществляется по полям реестра: - дата рождения; - дата окончания лечения; - диагноз основной; - впервые выявлено (основной); - характер заболевания; - цель посещения |
Оценка смертности | ||||
23. |
Смертность детей в возрасте 0 - 17 лет за период |
где: Dth0-17 - смертность детей в возрасте 0 - 17 лет за период в медицинских организациях, имеющих прикрепленное население; D0-17 - число умерших детей в возрасте 0 - 17 лет включительно среди прикрепленного населения за период; Nas0-17 - численность прикрепленного населения детей в возрасте 0 - 17 лет включительно за период |
На 100 тыс. прикрепленного детского населения |
Источником информации является региональный сегмент единого регистра застрахованных лиц (поля: дата рождения; дата смерти, прикрепление к медицинской организации). |
Оказание акушерско-гинекологической помощи | ||||
Оценка эффективности профилактических мероприятий | ||||
24. |
Доля женщин, отказавшихся от искусственного прерывания беременности, от числа женщин, прошедших доабортное консультирование за период |
где: W - доля женщин, отказавшихся от искусственного прерывания беременности, от числа женщин, прошедших доабортное консультирование за период; Kотк - число женщин, отказавшихся от искусственного прерывания беременности; K - общее число женщин, прошедших доабортное консультирование за период |
Процент |
Источником информации являются данные органов государственной власти субъектов Российской Федерации в сфере охраны здоровья, предоставляемые на бумажных носителях |
25. |
Доля беременных женщин, вакцинированных от коронавирусной инфекции COVID-19, за период, от числа женщин, состоящих на учете по беременности и родам на начало периода |
где: Vbcovid - доля беременных женщин, вакцинированных от коронавирусной инфекции COVID-19, за период, от числа женщин, состоящих на учете по беременности и родам на начало периода; Fbcovid - фактическое число беременных женщин, вакцинированных от коронавирусной инфекции COVID-19, за период; Pbcovid - число женщин, состоящих на учете по беременности и родам на начало периода |
Процент |
Источником информации являются данные органов государственной власти субъектов Российской Федерации в сфере охраны здоровья, предоставляемые на бумажных носителях (Pbcovid), и данные федерального регистра вакцинированных (Fbcovid) |
26. |
Доля женщин с установленным диагнозом злокачественное новообразование шейки матки, выявленным впервые при диспансеризации, от общего числа женщин с установленным диагнозом злокачественное новообразование шейки матки за период |
где: Zшм - доля женщин с установленным диагнозом злокачественное новообразование шейки матки, выявленным впервые при диспансеризации, от общего числа женщин с установленным диагнозом злокачественное новообразование шейки матки за период; Aшм - число женщин с установленным диагнозом злокачественное новообразование шейки матки, выявленным впервые при диспансеризации; Vшм - общее число женщин с установленным диагнозом злокачественное новообразование шейки матки за период |
Процент |
Расчет показателя производится путем отбора информации по полям реестра формата Д3 "Файл со сведениями об оказанной медицинской помощи при диспансеризации", предусматривает поле реестра: - признак подозрения на злокачественное новообразование. В дальнейшем движение пациента возможно отследить по формату Д4 "Файл со сведениями при осуществлении персонифицированного учета оказанной медицинской помощи при подозрении на злокачественное новообразование или установленном диагнозе злокачественного новообразования": - диагноз основной; - характер основного заболевания |
27. |
Доля женщин с установленным диагнозом злокачественное новообразование молочной железы, выявленным впервые при диспансеризации, от общего числа женщин с установленным диагнозом злокачественное новообразование молочной железы за период |
где: Zмж - доля женщин с установленным диагнозом злокачественное новообразование молочной железы, выявленным впервые при диспансеризации, от общего числа женщин с установленным диагнозом злокачественное новообразование молочной железы за период; Aмж - число женщин с установленным диагнозом злокачественное новообразование молочной железы, выявленным впервые при диспансеризации; Vмж - общее число женщин с установленным диагнозом злокачественное новообразование молочной железы за период |
Процент |
Расчет осуществляется путем отбора информации по полям реестра формата Д3 "Файл со сведениями об оказанной медицинской помощи при диспансеризации", предусматривает поле реестра: - признак подозрения на злокачественное новообразование. В дальнейшем движение пациента возможно отследить по формату Д4 "Файл со сведениями при осуществлении персонифицированного учета оказанной медицинской помощи при подозрении на злокачественное новообразование или установленном диагнозе злокачественного новообразования": - диагноз основной; - характер основного заболевания |
28. |
Доля беременных женщин, прошедших скрининг в части оценки антенатального развития плода за период, от общего числа женщин, состоявших на учете по поводу беременности и родов за период |
где: B - доля беременных женщин, прошедших скрининг в части оценки антенатального развития плода за период, от общего числа женщин, состоявших на учете по поводу беременности и родов за период; S - число беременных женщин, прошедших скрининг в части оценки антенатального развития плода при сроке беременности 11 - 14 недель (УЗИ и определение материнских сывороточных маркеров) и 19 - 21 неделя (УЗИ), с родоразрешением за период; U - общее число женщин, состоявших на учете по поводу беременности и родов за период, с родоразрешением за период |
Процент |
Источником информации являются данные органов государственной власти субъектов Российской Федерации в сфере охраны здоровья, предоставляемые на бумажных носителях |
* По набору кодов Международной
статистической классификации болезней и
проблем, связанных со здоровьем,
десятого пересмотра (МКБ-10).
** В условиях распространения новой
коронавирусной инфекции (COVID-19) методика
расчета показателя может быть
скорректирована на предмет исключения
из расчета периода, когда деятельность
медицинской организации (в части
соответствующего направления
деятельности) была приостановлена
приказом руководителя медицинской
организации за отчетный и предыдущий год
соответственно путем пересчета к
годовому значению.
*** Оценивается изменение
показателя за период по отношению к
показателю в предыдущем периоде (среднее
значение коэффициента смертности за 2019,
2020, 2021 годы).
МЕТОДИКА ПРИМЕНЕНИЯ ПОКАЗАТЕЛЕЙ
РЕЗУЛЬТАТИВНОСТИ ДЕЯТЕЛЬНОСТИ
МЕДИЦИНСКОЙ ОРГАНИЗАЦИИ
При оплате медицинской помощи по
подушевому нормативу финансирования на
прикрепившихся лиц (за исключением
расходов на проведение компьютерной
томографии, магнитно-резонансной
томографии, ультразвукового
исследования сердечно-сосудистой
системы, эндоскопических
диагностических исследований,
молекулярно-генетических исследований и
патологоанатомических исследований
биопсийного (операционного) материала,
тестирования на выявление новой
коронавирусной инфекции (COVID-19),
углубленной диспансеризации, а также
средств на финансовое обеспечение
фельдшерских, фельдшерско-акушерских
пунктов) с учетом показателей
результативности деятельности
медицинской организации (включая
показатели объема медицинской помощи), в
том числе с включением расходов на
медицинскую помощь, оказываемую в иных
медицинских организациях и оплачиваемую
за единицу объема медицинской помощи в
составе средств, направляемых на
финансовое обеспечение медицинской
организации, имеющей прикрепившихся лиц,
по подушевому нормативу финансирования,
определяется доля средств, направляемых
на выплаты медицинским организациям в
случае достижения ими значений
показателей результативности
деятельности согласно балльной оценке в
размере 5 процентов от базового
подушевого норматива финансирования на
прикрепившихся лиц.
При этом размер финансового
обеспечения медицинской помощи,
оказанной медицинской организацией,
имеющей прикрепившихся лиц, по
подушевому нормативу финансирования
определяется по следующей формуле:
![]()
ОСПН |
финансовое обеспечение медицинской помощи, оказанной медицинской организацией, имеющей прикрепившихся лиц, по подушевому нормативу финансирования, рублей; |
ОСРД |
объем средств, направляемых медицинским организациям в случае достижения ими значений показателей результативности деятельности согласно балльной оценке (далее - объем средств с учетом показателей результативности), рублей; |
|
фактический дифференцированный подушевой норматив финансирования амбулаторной медицинской помощи для i-й медицинской организации, рублей; |
ЧЗi |
численность прикрепленного населения для i-й медицинской организации, человек. |
Мониторинг достижения значений
показателей результативности
деятельности по каждой медицинской
организации и ранжирование медицинских
организаций Иркутской области
проводится Комиссией один раз в квартал.
Осуществление выплат по
результатам оценки достижения
медицинскими организациями,
оказывающими медицинскую помощь в
амбулаторных условиях, значений
показателей результативности
деятельности производится по итогам
каждого полугодия.
Показатели результативности
деятельности медицинских организаций
(далее - показатели результативности
деятельности) (раздел 2) разделены на
блоки, отражающие результативность
оказания медицинской помощи разным
категориям населения (взрослому
населению, детскому населению,
акушерско-гинекологической помощи) в
амбулаторных условиях.
Каждый показатель, включенный в
блок, оценивается в баллах, которые
суммируются.
Максимально возможная сумма баллов
по каждому блоку, которая составляет:
- 25 баллов для показателей блока 1;
- 10 баллов для показателей блока 2;
- 6 баллов для показателей блока 3.
В зависимости от результатов
деятельности медицинской организации по
каждому показателю определяется балл в
диапазоне от 0 до 3 баллов.
С учетом фактического выполнения
показателей медицинские организации
распределяются на три группы: I -
выполнившие до 50 процентов показателей,
II - от 50 до 70 процентов показателей, III -
свыше 70 процентов показателей.
Объем средств для направления в
медицинские организации по итогам
оценки достижения значений показателей
результативности деятельности
складывается из двух частей:
1 часть - распределение 70 процентов
от объема средств с учетом показателей
результативности за соответствующий
период.
Указанные средства распределяются
среди медицинских организаций II и III
групп с учетом численности
прикрепленного населения:

где: |
|
|
объем средств, используемый при распределении 70 процентов от объема средств на стимулирование медицинских организаций за j-й период, в расчете на 1 прикрепленное лицо, рублей; |
|
совокупный объем средств на стимулирование медицинских организаций за j-й период, рублей; |
|
численность прикрепленного населения в j-м периоде ко всем медицинским организациям II и III групп. |
В качестве численности
прикрепленного населения к конкретной
медицинской организации рекомендуется
использовать среднюю численность за
период. Например, при осуществлении
выплат по итогам достижения показателей
результативности ежегодно среднюю
численность рекомендуется рассчитывать
по формуле:

где: |
|
Чмес |
среднегодовая численность прикрепленного населения к i-й медицинской организации в j-м году, человек; |
Чмес1 |
численность прикрепленного населения к i-й медицинской организации по состоянию на 1 число первого месяца j-го года, человек; |
Чмес2 |
численность прикрепленного населения к i-й медицинской организации по состоянию на 1 число второго месяца года, следующего за j-тм, человек; |
Чмес11 |
численность прикрепленного населения к i-й медицинской организации по состоянию на 1 число одиннадцатого месяца j-го года, человек; |
Чмес12 |
численность прикрепленного населения к i-й медицинской организации по состоянию на 1 число двенадцатого месяца j-го года, человек. |
Объем средств, направляемый в i-ю
медицинскую организацию II и III групп за
j-й период при распределении 70 процентов
от объема средств с учетом показателей
результативности (
), рассчитывается следующим
образом:
![]()
где: |
|
|
численность прикрепленного населения в j-м периоде к i-й медицинской организации II и III групп. |
2 часть - распределение 30 процентов
от объема средств с учетом показателей
результативности за соответствующий
период.
Указанные средства распределяются
среди медицинских организаций III группы
с учетом абсолютного количества
набранных соответствующими
медицинскими организациями баллов.

где: |
|
|
объем средств, используемый при распределении 30 процентов от объема средств на стимулирование медицинских организаций за j-й период, в расчете на 1 балл, рублей; |
|
совокупный объем средств на стимулирование медицинских организаций за j-й период, рублей; |
|
количество баллов, набранных в j-м периоде всеми медицинскими организациями III группы. |
Объем средств, направляемый в i-ю
медицинскую организацию III группы за j-й
период, при распределении 30 процентов от
объема средств на стимулирование
медицинских организаций (
), рассчитывается следующим
образом:
![]()
где: |
|
|
количество баллов, набранных в j-м периоде i-й медицинской организацией III группы. |
Общий объем средств, направляемых
на оплату медицинской помощи с учетом
показателей результативности
деятельности в медицинскую организацию
III группы за j-й период определяется путем
суммирования 1 и 2 частей, а для
медицинских организаций I группы за j-й
период - равняется нулю.
Осуществление выплат
стимулирующего характера в полном
объеме медицинской организации,
оказывающей медицинскую помощь в
амбулаторных условиях, по результатам
оценки ее деятельности, производится при
условии фактического выполнения не
менее 90 процентов установленных
решением Комиссии объемов
предоставления медицинской помощи с
профилактической и иными целями, а также
по поводу заболеваний (посещений и
обращений соответственно).
При условии выполнения медицинской
организацией менее 90 процентов
указанного объема медицинской помощи
применяются понижающие коэффициенты к
размеру стимулирующих выплат в
зависимости от процента выполнения
объемов медицинской помощи:
менее 50% - 0,95;
от 50% до 70% - 0,97;
от 70% до 90 - 0,98.
В условиях распространения новой
коронавирусной инфекции (COVID-19) методика
расчета показателя может быть
скорректирована на предмет исключения
из расчета периода, когда деятельность
медицинской организации (в части
соответствующего направления
деятельности) была приостановлена
приказом руководителя медицинской
организации за расчетный период путем
перерасчета к значению за период.
С учетом неблагоприятной
эпидемиологической обстановки,
связанной с распространением новой
коронавирусной инфекции (COVID-19), и
особенностей оказания медицинской
помощи в амбулаторных условиях
финансовое обеспечение медицинской
помощи, оказанной медицинской
организацией, имеющей прикрепившихся
лиц, будет осуществляться с учетом
показателей результативности
деятельности с 01.08.2022.
До этого момента долю средств,
направляемых на выплаты медицинским
организациям за достижение показателей
результативности деятельности (Рез)
считать равной нулю: (Рез = 0).
Приложение N 11
к Дополнительному соглашению
от 28 февраля 2022 г. N 3
Приложение N 31
к Тарифному соглашению
от 30 декабря 2021 г.
ДИФФЕРЕНЦИРОВАННЫЕ ПОДУШЕВЫЕ НОРМАТИВЫ
ФИНАНСИРОВАНИЯ МЕДИЦИНСКОЙ ПОМОЩИ ПО
ВСЕМ ВИДАМ И УСЛОВИЯМ ПРЕДОСТАВЛЯЕМОЙ
МЕДИЦИНСКОЙ ПОМОЩИ
N п/п |
|
Наименование медицинской организации |
ДПН |
1 |
380 136 |
областное государственное автономное учреждение здравоохранения "Ангарская городская больница N 1" |
609,20 |
2 |
380 137 |
областное государственное автономное учреждение здравоохранения "Ангарская городская детская больница N 1" |
813,31 |
3 |
380 121 |
областное государственное автономное учреждение здравоохранения "Братская городская больница N 5" |
1 203,02 |
4 |
380 005 |
областное государственное бюджетное учреждение здравоохранения "Иркутская городская клиническая больница N 1" |
1 250,10 |
5 |
380 021 |
областное государственное автономное учреждение здравоохранения "МЕДСАНЧАСТЬ ИАПО" |
1 135,87 |
6 |
380 149 |
областное государственное бюджетное учреждение здравоохранения "Нижнеудинская районная больница" |
1 007,93 |
7 |
380 164 |
областное государственное бюджетное учреждение здравоохранения "Тайшетская районная больница" |
919,40 |
8 |
380 165 |
областное государственное бюджетное учреждение здравоохранения "Тулунская городская больница" |
865,34 |
9 |
380 099 |
областное государственное бюджетное учреждение здравоохранения "Слюдянская районная больница" |
659,66 |
10 |
380 087 |
областное государственное автономное учреждение здравоохранения "Ангарская городская больница скорой медицинской помощи" |
1 386,23 |
11 |
380 122 |
областное государственное бюджетное учреждение здравоохранения "Братская детская городская больница" |
1 191,21 |
12 |
380 120 |
областное государственное автономное учреждение здравоохранения "Братская городская больница N 3" |
878,00 |
13 |
380 185 |
областное государственное бюджетное учреждение здравоохранения "Чунская районная больница" |
772,35 |
14 |
380 003 |
областное государственное бюджетное учреждение здравоохранения "Иркутская городская больница N 6" |
573,53 |
15 |
380 013 |
областное государственное автономное учреждение здравоохранения "Иркутская городская клиническая больница N 9" |
695,58 |
16 |
380 006 |
областное государственное автономное учреждение здравоохранения "Иркутская городская клиническая больница N 10" |
875,82 |
17 |
380 183 |
областное государственное бюджетное учреждение здравоохранения "Усть-Удинская районная больница" |
615,01 |
18 |
380 148 |
областное государственное бюджетное учреждение здравоохранения "Районная больница п. Мама" |
2 061,52 |
19 |
380 154 |
областное государственное бюджетное учреждение здравоохранения "Саянская городская больница" |
1 098,73 |
20 |
380 133 |
областное государственное бюджетное учреждение здравоохранения "Зиминская городская больница" |
828,35 |
21 |
380 144 |
областное государственное бюджетное учреждение здравоохранения "Казачинско-Ленская районная больница" |
1 086,65 |
22 |
380 146 |
областное государственное бюджетное учреждение здравоохранения "Киренская районная больница" |
1 351,57 |
23 |
380 177 |
областное государственное бюджетное учреждение здравоохранения "Усольская городская больница" |
797,12 |
24 |
380 247 |
областное государственное бюджетное учреждение здравоохранения "Боханская районная больница" |
985,58 |
25 |
380 248 |
областное государственное бюджетное учреждение здравоохранения "Нукутская районная больница" |
780,66 |
26 |
380 245 |
областное государственное бюджетное учреждение здравоохранения "Аларская районная больница" |
1 112,68 |
27 |
380 251 |
областное государственное бюджетное учреждение здравоохранения "Областная больница N 2" |
923,39 |
28 |
380 162 |
областное государственное бюджетное учреждение здравоохранения "Больница г. Свирска" |
750,82 |
29 |
380 188 |
областное государственное бюджетное учреждение здравоохранения "Шелеховская районная больница" |
790,53 |
30 |
380 118 |
областное государственное автономное учреждение здравоохранения "Братская городская больница N 1" |
837,32 |
31 |
380 119 |
областное государственное бюджетное учреждение здравоохранения "Братская городская больница N 2" |
805,22 |
32 |
380 117 |
областное государственное бюджетное учреждение здравоохранения "Братская районная больница" |
1 167,30 |
33 |
380 009 |
областное государственное бюджетное учреждение здравоохранения "Иркутская городская клиническая больница N 3" |
1 407,44 |
34 |
380 029 |
областное государственное автономное учреждение здравоохранения "Иркутская городская клиническая больница N 8" |
503,49 |
35 |
380 098 |
областное государственное бюджетное учреждение здравоохранения "Иркутская районная больница" |
507,28 |
36 |
380 095 |
областное государственное бюджетное учреждение здравоохранения "Катангская районная больница" |
2 238,95 |
37 |
380 115 |
областное государственное бюджетное учреждение здравоохранения "Районная больница г. Бодайбо" |
922,40 |
38 |
380 036 |
государственное бюджетное учреждение здравоохранения "Областной гериатрический центр" |
1 164,48 |
39 |
380 132 |
областное государственное бюджетное учреждение здравоохранения "Заларинская районная больница" |
530,00 |
40 |
380 114 |
областное государственное бюджетное учреждение здравоохранения "Балаганская районная больница" |
888,70 |
41 |
380 147 |
областное государственное бюджетное учреждение здравоохранения "Куйтунская районная больница" |
976,32 |
42 |
380 182 |
областное государственное бюджетное учреждение здравоохранения "Усть-Кутская районная больница" |
1 185,52 |
43 |
380 129 |
областное государственное бюджетное учреждение здравоохранения "Железногорская районная больница" |
1 382,70 |
44 |
380 249 |
областное государственное бюджетное учреждение здравоохранения "Осинская районная больница" |
1 031,09 |
45 |
380 097 |
областное государственное бюджетное учреждение здравоохранения "Жигаловская районная больница" |
969,33 |
46 |
380 096 |
областное государственное бюджетное учреждение здравоохранения "Качугская районная больница" |
843,32 |
47 |
380 246 |
областное государственное бюджетное учреждение здравоохранения "Баяндаевская районная больница" |
1 134,64 |
48 |
380 100 |
областное государственное бюджетное учреждение здравоохранения "Ольхонская районная больница" |
1 202,27 |
49 |
380 157 |
областное государственное бюджетное учреждение здравоохранения "Черемховская городская больница N 1" |
1 188,53 |
50 |
380240 |
Медицинская автономная некоммерческая организация "Лечебно-диагностический центр" |
327,27 |
- Дополнительное соглашение N 5 к Тарифному соглашению на оплату медицинской помощи по обязательному медицинскому страхованию на территории Иркутской области от 30.12.2021
- Дополнительное соглашение N 8 к Тарифному соглашению на оплату медицинской помощи по обязательному медицинскому страхованию на территории Иркутской области от 30.12.2021
- Дополнительное соглашение N 9 к Тарифному соглашению на оплату медицинской помощи по обязательному медицинскому страхованию на территории Иркутской области от 30.12.2021
- Дополнительное соглашение N 10 к Тарифному соглашению на оплату медицинской помощи по обязательному медицинскому страхованию на территории Иркутской области от 30.12.2021
- Дополнительное соглашение N 11 к Тарифному соглашению на оплату медицинской помощи по обязательному медицинскому страхованию на территории Иркутской области от 30.12.2021
- Дополнительное соглашение N 12 к Тарифному соглашению на оплату медицинской помощи по обязательному медицинскому страхованию на территории Иркутской области от 30.12.2021
- Дополнительное соглашение N 14 к Тарифному соглашению на оплату медицинской помощи по обязательному медицинскому страхованию на территории Иркутской области от 30.12.2021
- Дополнительное соглашение N 15 к Тарифному соглашению на оплату медицинской помощи по обязательному медицинскому страхованию на территории Иркутской области от 30.12.2021
- Дополнительное соглашение N 16 к Тарифному соглашению на оплату медицинской помощи по обязательному медицинскому страхованию на территории Иркутской области от 30.12.2021




