Дополнительное соглашение к Тарифному
соглашению в сфере обязательного
медицинского страхования на территории
Республики Северная Осетия-Алания от 30
декабря 2021 года
от 17 февраля 2022 года
г. Владикавказ
Правительство Республики Северная
Осетия-Алания в лице Заместителя
Председателя Правительства Республики
Северная Осетия-Алания Тугановой Ларисы
Александровны, Министра здравоохранения
Республики Северная Осетия-Алания
Тебиева Сослана Аркадьевича,
Территориальный фонд обязательного
медицинского страхования Республики
Северная Осетия-Алания в лице директора
Дзагоева Алана Руслановича, страховые
медицинские организации в лице
заместителя директора филиала общества
с ограниченной ответственностью
"Капитал Медицинское Страхование" в
Республике Северная Осетия-Алания
Гудиевой Зарифы Деулетовны, медицинские
профессиональные некоммерческие
организации и их ассоциации в лице
председателя региональной общественной
организации "Ассоциация медицинских
работников" Республики Северная
Осетия-Алания Астаховой Замиры
Татарбековны, профессиональные союзы
медицинских работников в лице члена
Северо-Осетинской республиканской
организации профсоюза работников
здравоохранения Российской Федерации
Габараева Юрия Исаковича, вместе
именуемые Сторонами, в соответствии со
статьей 30 Федерального закона от 29
ноября 2010 года N 326-ФЗ "Об обязательном
медицинском страховании в Российской
Федерации", Приказом Министерства
здравоохранения Российской Федерации от
29 декабря 2020 года N 1397н "Об утверждении
Требований к структуре и содержанию
тарифного соглашения", Методическими
рекомендациями по способам оплаты
медицинской помощи за счет средств
обязательного медицинского страхования,
утвержденными Министерством
здравоохранения Российской Федерации и
Федеральным фондом обязательного
медицинского страхования 2 февраля 2022
года N 11-7/И/2-1619 и N 00-10-26-2-06/750, а также в
целях устранения нарушений, выявленных
Федеральным фондом обязательного
медицинского страхования по отдельным
положениям Тарифного соглашения от 30
декабря 2021 года (письмо от 01.02.2022 N
00-10-26-2-06/720), во исполнение Решения
комиссии по разработке территориальной
программы обязательного медицинского
страхования Республики Северная
Осетия-Алания от 17 февраля 2022 года
(протокол N 2) заключили настоящее
дополнительное соглашение к Тарифному
соглашению в сфере обязательного
медицинского страхования на территории
Республики Северная Осетия-Алания от 30
декабря 2021 года о нижеследующем:
1. В разделе "Общие положения":
1.1) абзац 13 пункта 1.1 раздела "Общие
положения" изложить в следующей
редакции:
"- информационного письма
Министерства здравоохранения
Российской Федерации от 13 января 2022 N
11-7/И/2-275 "О формировании и экономическом
обосновании территориальной программы
государственных гарантий бесплатного
оказания гражданам медицинской помощи
на 2022 - 2024 годы";
1.2) абзац 14 пункта 1.1 раздела "Общие
положения" изложить в следующей
редакции:
"- Методических рекомендаций по
способам оплаты медицинской помощи за
счет средств обязательного медицинского
страхования, утвержденных Министерством
здравоохранения Российской Федерации и
Федеральным фондом обязательного
медицинского страхования 2 февраля 2022
года N 11-7/И/2-1619 и N 00-10-26-2-06/750 (далее -
Инструкция)".
2. В разделе 2 "Способы оплаты
медицинской помощи, применяемые на
территории Республики Северная
Осетия-Алания":
2.1) дополнить пункт 2.1.1 абзацем
следующего содержания:
"по нормативу финансирования
структурного подразделения медицинской
организации - при оплате медицинской
помощи, оказываемой фельдшерскими и
фельдшерско-акушерскими пунктами, с
учетом критерия соответствия их
требованиям, установленным Приказом
Министерства здравоохранения и
социального развития Российской
Федерации от 15 мая 2012 г. N 543н "Об
утверждении Положения об организации
оказания первичной медико-санитарной
помощи взрослому населению".";
2.2) пункт 2.3.7.2 изложить в следующей
редакции:
"2.3.7.2. Финансирование
территориальных поликлиник по
утвержденному дифференцированному
подушевому нормативу осуществляется
СМО, в соответствии с заключенными с
медицинскими организациями договорами
на оказание и оплату медицинской помощи
по обязательному медицинскому
страхованию, в следующем порядке:
- авансирование медицинской
организации производится в соответствии
с заключенными между СМО и медицинскими
организациями договорами на оказание и
оплату медицинской помощи по
обязательному медицинскому
страхованию;
- окончательный расчет
производится ежемесячно путем оплаты
предъявленного территориальной
поликлиникой счета (с приложением
реестра счета) за оказанные медицинские
услуги отдельно прикрепленному и
неприкрепленному населению к данной
территориальной поликлинике, с учетом
выданных авансов. СМО в свою очередь
осуществляет расчеты за медицинскую
помощь, оказанную прикрепленному
населению, за вычетом средств по
межучрежденческим взаиморасчетам, в
пределах размера финансового
обеспечения по подушевому нормативу.
Счета за медицинские услуги,
оказанные гражданам, не прикрепленным к
данной территориальной поликлинике,
оплачиваются СМО по тарифам,
определенным для медицинской
организации, оказавшей медицинскую
помощь, из финансового обеспечения по
подушевому нормативу тех поликлиник, к
которым данные граждане прикреплены. В
реестре счета за медицинские услуги,
оказанные гражданам, не прикрепленным к
данной территориальной поликлинике,
отражается в том числе информация о
направлениях от врачей других
организаций, а также наименование
территориальной поликлиники, к которой
прикреплен пациент. Оплата счетов за
медицинские услуги, оказанные
неприкрепленному населению,
осуществляется при наличии направления
на оказание плановой и консультативной
медицинской помощи.
При оплате медицинской помощи по
подушевому нормативу финансирования на
прикрепившихся лиц (за исключением
расходов на проведение компьютерной
томографии, магнитно-резонансной
томографии, ультразвукового
исследования сердечно-сосудистой
системы, эндоскопических
диагностических исследований,
молекулярно-генетических исследований и
патолого-анатомических исследований
биопсийного (операционного) материала,
тестирования на выявление новой
коронавирусной инфекции (COVID-19),
углубленной диспансеризации, а также
средств на финансовое обеспечение
фельдшерских, фельдшерско-акушерских
пунктов) с учетом показателей
результативности деятельности
медицинской организации (включая
показатели объема медицинской помощи), в
том числе с включением расходов на
медицинскую помощь, оказываемую в иных
медицинских организациях и оплачиваемую
за единицу объема медицинской помощи в
составе средств, направляемых на
финансовое обеспечение медицинской
организации, имеющей прикрепившихся лиц,
по подушевому нормативу финансирования,
СМО определяется доля средств,
направляемых на выплаты медицинским
организациям в случае достижения ими
значений показателей результативности
деятельности согласно балльной оценке в
размере 5 процентов от базового
подушевого норматива финансирования на
прикрепившихся лиц.
При этом размер финансового
обеспечения медицинской помощи,
оказанной медицинской организацией,
имеющей прикрепившихся лиц, по
подушевому нормативу финансирования
определяется по следующей формуле:
где:
ОСПН - финансовое обеспечение
медицинской помощи, оказанной
медицинской организацией, имеющей
прикрепившихся лиц, по подушевому
нормативу финансирования, рублей;
ОСРД - объем средств, направляемых
медицинским организациям в случае
достижения ими значений показателей
результативности деятельности согласно
балльной оценке (далее - объем средств с
учетом показателей результативности),
рублей;
ФДПН - фактический
дифференцированный подушевой норматив
финансирования амбулаторной
медицинской помощи для i-той медицинской
организации, рублей.
Мониторинг достижения значений
показателей результативности
деятельности по каждой медицинской
организации и ранжирование медицинских
организаций проводится Комиссией,
частота проведения мониторинга - один
раз в квартал.
Осуществление выплат по
результатам оценки достижения
медицинскими организациями,
оказывающими медицинскую помощь в
амбулаторных условиях, значений
показателей результативности
деятельности рекомендуется производить
по итогам каждого полугодия.
Показатели результативности
деятельности, порядок их применения
устанавливаются приложением N 4 (4.1 - 4.2) к
настоящему Тарифному соглашению. При
этом коллективными договорами,
соглашениями, локальными нормативными
актами, заключаемыми в соответствии с
трудовым законодательством и иными
нормативными правовыми актами,
содержащими нормы трудового права и
регулирующими системы оплаты труда в
медицинских организациях, в том числе
системы доплат и надбавок
стимулирующего характера и системы
премирования, необходимо предусмотреть
стимулирующие выплаты медицинским
работникам за достижение показателей
результативности деятельности.
Порядок расчета значений
показателей результативности
деятельности медицинских организаций
представлен в приложении N 5.
Осуществление выплат
стимулирующего характера в полном
объеме медицинской организации,
оказывающей медицинскую помощь в
амбулаторных условиях, по результатам
оценки ее деятельности, следует
производить при условии фактического
выполнения не менее 90 процентов
установленных решением Комиссии объемов
предоставления медицинской помощи с
профилактической и иными целями, а также
по поводу заболеваний (посещений и
обращений соответственно).
С учетом неблагоприятной
эпидемиологической обстановки,
связанной с распространением новой
коронавирусной инфекции (COVID-19), и
особенностей оказания медицинской
помощи в амбулаторных условиях в
соответствующий период финансовое
обеспечение медицинской помощи,
оказанной медицинской организацией,
имеющей прикрепившихся лиц, будет
осуществляться с учетом показателей
результативности деятельности после
отмены действия Указа Главы Республики
Северная Осетия-Алания от 18.03.2020 N 80 "О
введении режима повышенной готовности в
Республике Северная Осетия-Алания" и
Указа Главы Республики Северная
Осетия-Алания от 23.10.2021 N 364 "О мерах по
предупреждению распространения новой
коронавирусной инфекции (2019-nCoV) на
территории Республики Северная
Осетия-Алания";
2.3) пункт 2.3.14 изложить в следующей
редакции:
"2.3.14. Порядок расчета значений
показателей результативности
деятельности медицинских организаций
приведен в приложении N 5.";
2.4) пункт 2.4.6.3 после абзаца 3
дополнить абзацем:
"При отсутствии оснований
применения КСЛП, предусмотренных
приложением N 6, значение параметра КСЛП
при расчете стоимости законченного
случая лечения принимается равным 0.";
2.5) пункт 2.4.7 изложить в следующей
редакции:
"2.4.7. Оплата прерванных случаев
оказания медицинской помощи.
2.4.7.1. В соответствии с Программой
государственных гарантий к прерванным
случаям оказания медицинской помощи
(далее - прерванный случай) относятся:
1. случаи прерывания лечения по
медицинским показаниям;
2. случаи прерывания лечения при
переводе пациента из одного отделения
медицинской организации в другое;
3. случаи изменения условий
оказания медицинской помощи (перевода
пациента из стационарных условий в
условия дневного стационара и наоборот);
4. случаи перевода пациента в другую
медицинскую организацию;
5. случаи прерывания лечения
вследствие преждевременной выписки
пациента из медицинской организации,
обусловленной его письменным отказом от
дальнейшего лечения;
6. случаи лечения, закончившиеся
летальным исходом;
7. случаи оказания медицинской
помощи с проведением лекарственной
терапии при злокачественных
новообразованиях, в ходе которой
медицинская помощь по объективным
причинам оказана пациенту не в полном
объеме по сравнению с выбранной для
оплаты схемой лекарственной терапии, в
том числе в случае прерывания лечения
при возникновении абсолютных
противопоказаний к продолжению лечения,
не купируемых при проведении
симптоматического лечения;
8. законченные случаи лечения (не
являющиеся прерванными по основаниям,
изложенным в подпунктах 1 - 7)
длительностью 3 дня и менее по КСГ, не
включенным в перечень КСГ, для которых
оптимальным сроком лечения является
период менее 3 дней включительно,
установленным в приложении N 7 и в
приложении N 12.
В случае, если перевод пациента из
одного отделения медицинской
организации в другое обусловлен
возникновением (наличием) нового
заболевания или состояния, относящегося
к тому же классу МКБ-10, что и диагноз
основного заболевания, и (или)
являющегося следствием закономерного
прогрессирования основного заболевания,
внутрибольничной инфекции или
осложнением основного заболевания, что
не соответствует критериям оплаты
случая госпитализации/лечения по двум
КСГ, оплата производится в рамках одного
случая лечения по КСГ с наибольшим
размером оплаты, а отнесение такого
случая к прерванным по основанию,
изложенному в подпункте 2 пункта 2.4.7.1
настоящего Тарифного соглашения, не
производится.
При оплате случаев лечения,
подлежащих оплате по двум КСГ по
основаниям, изложенным в подпунктах 2 - 10
пункта 2.4.7.3 настоящего Тарифного
соглашения, случай до перевода не может
считаться прерванным по основаниям,
изложенным в подпунктах 2 - 4 пункта 2.4.7.1
настоящего Тарифного соглашения.
Приложением N 7 и приложением N 12 к
настоящему Тарифному соглашению
определен перечень КСГ, для которых
длительность 3 дня и менее является
оптимальными сроками лечения.
Законченный случай оказания медицинской
помощи (случай, не относящийся к
прерванным случаям по основаниям 1 - 7
пункта 2.4.7.1 настоящего Тарифного
соглашения) по КСГ, перечисленным в
приложении N 7 и приложении N 12, не может
быть отнесен к прерванным случаям по
основанию, изложенному в подпункте 8
пункта 2.4.7.1 настоящего Тарифного
соглашения, и оплачивается в полном
объеме независимо от длительности
лечения.
Доля оплаты случаев оказания
медицинской помощи, являющихся
прерванными по основаниям, изложенным в
подпунктах 1 - 6 и 8 пункта 2.4.7.1 настоящего
Тарифного соглашения, определяется в
зависимости от выполнения
хирургического вмешательства и (или)
проведения тромболитической терапии,
являющихся классификационным критерием
отнесения данного случая лечения к
конкретной КСГ.
В случае, если пациенту было
выполнено хирургическое вмешательство и
(или) была проведена тромболитическая
терапия, случай оплачивается в размере:
- при длительности лечения 3 дня и
менее - 85 процентов от стоимости КСГ;
- при длительности лечения более 3
дней - 90 процентов от стоимости КСГ.
Приложением N 11 к настоящему
Тарифному соглашению определен перечень
КСГ, которые предполагают хирургическое
вмешательство или тромболитическую
терапию. Таким образом, прерванные
случаи по КСГ, не входящим в приложение N
11 к настоящему Тарифному соглашению, не
могут быть оплачены с применением
вышеуказанных диапазонов уменьшения
размеров оплаты прерванных случаев (85
процентов и 90 процентов соответственно).
Если хирургическое вмешательство и
(или) тромболитическая терапия не
проводились, случай оплачивается в
размере:
- при длительности лечения 3 дня и
менее - 40 процентов от стоимости КСГ;
- при длительности лечения более 3
дней - 60 процентов от стоимости КСГ.
Случаи проведения лекарственной
терапии пациентам в возрасте 18 лет и
старше, являющиеся прерванными по
основанию, изложенному в подпункте 7
пункта 2.4.7.1 настоящего Тарифного
соглашения, оплачиваются аналогично
случаям лечения, когда хирургическое
вмешательство и (или) тромболитическая
терапия не проводились.
2.4.7.2. Порядок определения полноты
выполнения схемы лекарственной терапии
при лечении пациентов в возрасте 18 лет и
старше.
Режим введения лекарственных
препаратов в описании схем
лекарственной терапии включает в себя:
наименование лекарственных препаратов,
длительность цикла, количество дней
введения, способ введения (в случае
указания в схеме), скорость введения
(капельно, струйно, в случае указания в
схеме), разовую дозу препарата
(фиксированная величина или разовая доза
в пересчете на массу тела или площадь
поверхности тела пациента).
Если наименование лекарственных
препаратов, способ введения (в случае
указания в схеме) или скорость введения
(в случае указания в схеме) не
соответствуют описанию ни одной схемы
лекарственной терапии, представленной в
"Группировщиках", являющихся
приложениями 8 и 9 к Инструкции, для
оплаты однозначно выбирается схема
лекарственной терапии sh9003 "Прочие схемы
лекарственной терапии", а случай
считается законченным и оплачивается в
полном объеме, если он не является
прерванным по основаниям, изложенным в
подпунктах 1 - 6 пункта 2.4.7.1 настоящего
Тарифного соглашения.
Схема лекарственной терапии
считается выполненной полностью и
оплачивается в полном объеме (при
отсутствии оснований считать случай
прерванным по иным основаниям, чем
предусмотренные пунктом 2.4.7.1 настоящего
Тарифного соглашения) в следующих
случаях:
1. При проведении лечения в полном
соответствии с одной из схем
лекарственной терапии, указанных в
"Группировщике";
2. При снижении дозы
химиотерапевтических препаратов и/или
увеличении интервала между введениями
по сравнению с указанными в столбце
"Наименование и описание схемы" в
"Группировщиках" при соблюдении
следующих условий, отраженных в
первичной медицинской документации
(общее количество дней введения должно
точно соответствовать количеству дней
введения, предусмотренному в описании
схемы лекарственной терапии):
- снижение дозы произведено в
соответствии с инструкцией к
химиотерапевтическому препарату в связи
усилением токсических реакций или с
тяжестью состояния пациента;
- увеличение интервала между
введениями произведено в связи с
медицинскими противопоказаниями к
введению препаратов в день, указанный в
описании схемы.
Случаи, в ходе которых
лекарственная терапия проведена в
полном объеме, предусмотренном
соответствующей схемой лекарственной
терапии, оплачиваются по
соответствующей КСГ в полном объеме
независимо от наличия иных оснований
считать случай лечения прерванным.
Все остальные случаи (в том числе
случаи проведения лекарственной
терапии, при которых снижение дозы
химиотерапевтических препаратов и/или
увеличение интервала между введениями
произведено по другим причинам) являются
прерванными и оплачиваются в
соответствии с правилами оплаты
прерванных случаев лечения.
Учитывая, что проведение лучевой
терапии предусмотрено начиная с одной
фракции, оплата случаев лечения
осуществляется путем отнесения случая к
соответствующей КСГ исходя из
фактически проведенного количества дней
облучения (фракций).
2.4.7.3. Оплата случая лечения по двум
и более КСГ.
Медицинская помощь, оказываемая
пациентам одновременно по двум и более
КСГ, осуществляется в следующих случаях:
1. Перевод пациента из одного
отделения медицинской организации в
другое в рамках круглосуточного или
дневного стационаров (в том числе в
случае перевода из круглосуточного
стационара в дневной стационар и
наоборот), если это обусловлено
возникновением (наличием) нового
заболевания или состояния, входящего в
другой класс МКБ-10 и не являющегося
следствием закономерного
прогрессирования основного заболевания,
внутрибольничной инфекции или
осложнением основного заболевания, а
также при переводе пациента из одной
медицинской организации в другую; оба
случая лечения заболевания подлежат
оплате в рамках соответствующих КСГ, при
этом случай лечения до осуществления
перевода относится к прерванным по
установленным пунктом 2.4.7.1 настоящего
Тарифного соглашения основаниям;
2. Проведение медицинской
реабилитации пациента после завершения
лечения в той же медицинской организации
по поводу заболевания, по которому
осуществлялось лечение;
3. Оказание медицинской помощи,
связанной с установкой, заменой
порт-системы (катетера) для
лекарственной терапии злокачественных
новообразований с последующим
проведением лекарственной терапии или
после хирургического лечения в рамках
одной госпитализации;
4. Этапное хирургическое лечение
при злокачественных новообразованиях,
не предусматривающее выписку пациента
из стационара (например: удаление
первичной опухоли кишечника с
формированием колостомы (операция 1) и
закрытие ранее сформированной колостомы
(операция 2);
5. Проведение реинфузии аутокрови,
баллонной внутриаортальной
контрпульсации или экстракорпоральной
мембранной оксигенации на фоне лечения
основного заболевания;
6. Дородовая госпитализация
пациентки в отделение патологии
беременности в случае пребывания в
отделении патологии беременности в
течение 6 дней и более с последующим
родоразрешением.
Также осуществляется оплата по
двум КСГ в случае дородовой
госпитализации пациентки в отделение
патологии беременности и пребывания в
нем в течение 2 дней и более с последующим
родоразрешением при оказании
медицинской помощи по следующим МКБ-10:
- O14.1 Тяжелая преэклампсия;
- O34.2 Послеоперационный рубец матки,
требующий предоставления медицинской
помощи матери;
- O36.3 Признаки внутриутробной
гипоксии плода, требующие
предоставления медицинской помощи
матери;
- O36.4 Внутриутробная гибель плода,
требующая предоставления медицинской
помощи матери;
- O42.2 Преждевременный разрыв
плодных оболочек, задержка родов,
связанная с проводимой терапией.
7. Наличие у пациента тяжелой
сопутствующей патологии, требующей в
ходе оказания медицинской помощи в
период госпитализации имплантации в
организм пациента медицинского изделия;
8. Проведение первой иммунизации
против респираторно-синцитиальной
вирусной инфекции в период
госпитализации по поводу лечения
нарушений, возникающих в перинатальном
периоде, являющихся показанием к
иммунизации;
9. Проведение антимикробной терапии
инфекций, вызванных полирезистентными
микроорганизмами;
10. Проведение диализа.
Выставление случая только по КСГ
st36.013 - st36.015 "Проведение антимикробной
терапии инфекций, вызванных
полирезистентными микроорганизмами
(уровень 1 - 3)" без основной КСГ не
допускается.";
2.6) абзац 1 пункта 2.4.13 изложить в
следующей редакции:
"При оказании медицинской помощи
пациентам, получающим услуги в условиях
дневного стационара, оплата
осуществляется по КСГ для оплаты услуг
диализа и при необходимости в сочетании
с КСГ, учитывающей основное
(сопутствующее) заболевание, или со
случаем оказания высокотехнологичной
медицинской помощи; получающим услуги
диализа в стационарных условиях - по КСГ
для оплаты услуг диализа только в
сочетании с основной КСГ, являющейся
поводом для госпитализации, или со
случаем оказания высокотехнологичной
медицинской помощи.";
2.7) в пункте 2.5.1 слова ", за
исключением услуг диализа, включающих
различные методы" исключить;
2.8) пункт 2.5.3 изложить в следующей
редакции:
"2.5.3. КСЛП в условиях дневного
стационара не применяется.";
2.9) абзац 2 пункта 2.5.8 изложить в
следующей редакции:
"При оказании медицинской помощи
пациентам, получающим услуги диализа,
оплата в условиях дневного стационара
осуществляется по КСГ для оплаты услуг
диализа и при необходимости в сочетании
с КСГ, учитывающей основное
(сопутствующее) заболевание.";
2.10) пункт 2.6.3 изложить в следующей
редакции:
"2.6.3. По тарифу вызова оплачивается
скорая медицинская помощь, оказанная вне
медицинской организации с применением
тромболитической терапии. Все случаи
оказания скорой медицинской помощи,
оказанной вне медицинской организации с
применением тромболитической терапии,
подлежат медико-экономической
экспертизе.";
2.11) в абзаце 3 пункта 2.8 слова "для
медицинских организаций, не имеющих
прикрепленное население, а также"
исключить.
3. В разделе 3 "Тарифы на оплату
медицинской помощи":
3.1) в пункте 3.3:
подпункт 3.3.5 дополнить абзацем
следующего содержания:
"- расходов на оплату медицинской
реабилитации в амбулаторных условиях,
включая реабилитацию пациентов после
перенесенной новой коронавирусной
инфекции (COVID-19).";
абзацы 3, 4, 5 пункта 3.3.4 изложить в
следующей редакции:
"коэффициента специфики оказания
медицинской помощи медицинской
организацией к базовому подушевому
нормативу финансирования на
прикрепившихся лиц, учитывающего
уровень и структуру заболеваемости
обслуживаемого населения,
половозрастной состав обслуживаемого
населения, в том числе оказание
медицинской помощи в амбулаторных
условиях лицам в возрасте 65 лет и старше,
плотность расселения обслуживаемого
населения, транспортную доступность,
климатические и географические
особенности территории обслуживания
населения (КСзаб);
коэффициента специфики оказания
медицинской помощи медицинской
организацией к базовому подушевому
нормативу финансирования на
прикрепившихся лиц, учитывающего
наличие подразделений, расположенных в
сельской местности, отдаленных
территориях, поселках городского типа и
малых городах с численностью населения
до 50 тысяч человек и расходов на их
содержание и оплату труда персонала
(КДот);
коэффициента специфики оказания
медицинской помощи медицинской
организацией к базовому подушевому
нормативу финансирования на
прикрепившихся лиц, учитывающего
проведение медицинской организацией
профилактического медицинского осмотра
и диспансеризации застрахованных лиц
(КСпроф);";
абзацы 14, 15, 16 пункта 3.3.4 изложить в
следующей редакции:
"Коэффициенты специфики оказания
медицинской помощи медицинской
организацией к базовому подушевому
нормативу финансирования на
прикрепившихся лиц, учитывающего
уровень и структуру заболеваемости
обслуживаемого населения,
половозрастной состав обслуживаемого
населения, в том числе оказание
медицинской помощи в амбулаторных
условиях лицам в возрасте 65 лет и старше,
плотность расселения обслуживаемого
населения, транспортную доступность,
климатические и географические
особенности территории обслуживания
населения, приведены в приложении N 18 (18.1 -
18.2).
Коэффициенты специфики оказания
медицинской помощи медицинской
организацией к базовому подушевому
нормативу финансирования на
прикрепившихся лиц, учитывающего
наличие подразделений, расположенных в
сельской местности, отдаленных
территориях, поселках городского типа и
малых городах с численностью населения
до 50 тысяч человек, и расходов на их
содержание и оплату труда персонала
(КДот) приведены в приложении N 3.
Коэффициенты специфики оказания
медицинской помощи медицинской
организацией к базовому подушевому
нормативу финансирования на
прикрепившихся лиц, учитывающего
проведение медицинской организацией
профилактического медицинского осмотра
и диспансеризации застрахованных лиц,
приведены в приложении N 19.";
подпункт 3.3.6.9 изложить в следующей
редакции:
"3.3.6.9. Базовые стоимости КСГ для
оплаты услуг диализа (базовый тариф),
коэффициенты относительной
затратоемкости к базовым стоимостям КСГ
для оплаты услуг диализа, стоимость
услуг и стоимость КСГ для оплаты услуг
диализа приведены в приложении N 29 (29.1 -
29.2).
Тарифным соглашением
устанавливаются базовые стоимости КСГ
(базовый тариф) для оплаты услуг диализа,
представляющие из себя тарифы на оплату
гемодиализа (код услуги A18.05.002
"Гемодиализ") и перитонеального диализа
(код услуги A18.30.001 "Перитонеальный
диализ"). Для последующего расчета
стоимости КСГ для оплаты остальных услуг
диализа к базовому тарифу применяются
коэффициенты относительной
затратоемкости, представленные в
приложении N 29 (29.1 - 29.2).";
дополнить подпунктом 3.3.8
следующего содержания:
"3.3.8. Оплата медицинской
реабилитации в амбулаторных условиях,
включая реабилитацию пациентов после
перенесенной новой коронавирусной
инфекции (COVID-19), осуществляется вне
подушевого норматива финансирования на
прикрепившихся лиц к медицинской
организации, исходя из установленных
Территориальной программой ОМС
нормативов объема и финансовых затрат на
единицу объема для медицинской
реабилитации.
При этом комплексное посещение как
законченный случай медицинской
реабилитации в амбулаторных условиях
включает в среднем 10 - 12 посещений.
Оплате за комплексное посещение
подлежит законченный случай медицинской
реабилитации в амбулаторных условиях.
Комплексное посещение включает набор
необходимых консультаций специалистов,
а также проведение методов реабилитации,
определенных программами
реабилитации.";
3.2) пункт 3.5.3 изложить в следующей
редакции:
"3.5.3. При оказании медицинской
помощи пациентам, получающим услуги
диализа, оплата в условиях дневного
стационара осуществляется по КСГ для
оплаты услуг диализа и при необходимости
в сочетании с КСГ, учитывающей основное
(сопутствующее) заболевание.
Стоимость КСГ для оплаты услуг
диализа определяется путем применения к
базовым стоимостям КСГ (базовому тарифу)
для оплаты услуг диализа (код услуги
A18.05.002 "Гемодиализ") и перитонеального
диализа (код услуги A18.30.001
"Перитонеальный диализ"), установленным
настоящим Тарифным соглашением,
соответствующих коэффициентов
относительной затратоемкости.
Базовые стоимости КСГ для оплаты
услуг диализа (базовые тарифы),
коэффициенты относительной
затратоемкости к базовым стоимостям КСГ
для оплаты услуг диализа, стоимость
услуг и стоимость КСГ для оплаты услуг
диализа приведены в приложении N 29 (29.1 -
29.2).";
3.3) пункт 3.6.6 изложить в следующей
редакции:
"3.6.6. Базовый подушевой норматив
включает расходы на оплату медицинской
помощи в рамках базовой программы
обязательного медицинского страхования,
оказываемой гражданам в экстренной или
неотложной форме вне медицинской
организации (по месту вызова бригады
скорой, в том числе скорой
специализированной медицинской, помощи,
а также в транспортном средстве при
медицинской эвакуации), за исключением:
- расходов на оплату вызовов скорой
медицинской помощи с применением
тромболитической терапии;
- расходов, направляемых на оплату
скорой медицинской помощи вне
медицинской организации, оказываемой
застрахованным лицам за пределами
Республики Северная Осетия-Алания.".
4. В перечне приложений к Тарифному
соглашению:
а) строку
"
5 |
Порядок оценки показателей деятельности и определения размера стимулирующих выплат медицинских организаций, имеющих прикрепившихся лиц, по результатам оказания первичной медико-санитарной помощи |
"
изложить в следующей редакции:
"
5 |
Порядок расчета значений показателей результативности деятельности медицинских организаций |
";
б) строку
"
11 |
Перечень КСГ, к которым в условиях дневного стационара не применяется коэффициент специфики (понижающий и повышающий) |
"
изложить в следующей редакции:
"
11 |
Перечень КСГ, которые предполагают хирургическое вмешательство или тромболитическую терапию |
".
5. Приложение N 2 "Перечень
фельдшерских/фельдшерско-акушерских
пунктов, участвующих в реализации
Территориальной программы ОМС,
дифференцированных по численности
обслуживаемого населения, базовые
нормативы финансовых затрат и
соответствующие размеры их финансового
обеспечения" изложить в редакции
приложения N 1 к настоящему
дополнительному соглашению.
6. Приложение N 4 (4.1 - 4.2) "Перечень
показателей результативности
деятельности медицинских организаций,
применяемых при осуществлении выплат
медицинским организациям, имеющим
прикрепившихся лиц" изложить в редакции
приложения N 2 к настоящему
дополнительному соглашению.
7. Приложение N 5 "Порядок расчета
значений показателей результативности
деятельности медицинских организаций"
изложить в редакции приложения N 3 к
настоящему дополнительному соглашению.
8. Приложение N 11 "Перечень КСГ,
которые предполагают хирургическое
вмешательство или тромболитическую
терапию" изложить в редакции приложения N
4 к настоящему дополнительному
соглашению.
9. Приложение N 22 (22.2) "Тарифы на
оплату амбулаторно-поликлинической
медицинской помощи по обязательному
медицинскому страхованию для
медицинских организаций при оказании
медицинской помощи по поводу
заболевания" дополнить строкой:
"
|
Обращение по заболеванию при оказании медицинской помощи по профилю "Медицинская реабилитация" (комплексное посещение) | ||
|
Медицинская реабилитация |
18 788,7 |
18 788,7 |
".
10. Приложение N 29 "Базовые тарифы на
оплату диализа, коэффициенты
относительной затратоемкости к базовым
тарифам на оплату диализа и стоимость
услуг диализа" изложить в редакции
приложения N 5 к настоящему
дополнительному соглашению.
11. Приложение N 20 "Фактические
дифференцированные подушевые нормативы
финансирования медицинской помощи,
оказываемой в амбулаторных условиях, в
разрезе медицинских организаций"
изложить в редакции приложения N 6 к
настоящему дополнительному соглашению.
12. В приложении N 33 "Перечень КСГ
заболеваний с коэффициентами
относительной затратоемкости по КСГ, к
которой отнесен конкретный случай
госпитализации в стационарных условиях,
коэффициенты специфики и средние сроки
лечения" строки
"
360 |
st36.020 |
Оказание услуг диализа (только для федеральных медицинских организаций) (уровень 1) |
0,26 |
|
|
361 |
st36.021 |
Оказание услуг диализа (только для федеральных медицинских организаций) (уровень 2) |
0,76 |
|
|
362 |
st36.022 |
Оказание услуг диализа (только для федеральных медицинских организаций) (уровень 3) |
1,38 |
|
|
363 |
st36.023 |
Оказание услуг диализа (только для федеральных медицинских организаций) (уровень 4) |
2,91 |
|
|
"
исключить.
13. Приложение N 35 "Нормативы
финансовых затрат на единицу объема
предоставления высокотехнологичной
медицинской помощи и доли заработной
платы в структуре затрат на оказание
высокотехнологичной медицинской помощи"
изложить в редакции приложения N 7 к
настоящему дополнительному соглашению.
14. В приложении N 38 "Перечень КСГ
заболеваний с коэффициентами
относительной затратоемкости по КСГ, к
которой отнесен конкретный случай
лечения в условиях дневного стационара,
коэффициенты специфики и средние сроки
лечения":
а) строку
"
9 |
ds02.010 |
Экстракорпоральное оплодотворение (уровень 3) |
8,96 |
1,3956735 |
|
"
изложить в следующей редакции:
"
9 |
ds02.010 |
Экстракорпоральное оплодотворение (уровень 3) |
8,96 |
1,1115059 |
|
";
б) строку
"
159 |
ds36.011 |
Оказание услуг диализа (только для федеральных медицинских организаций) |
0,45 |
|
|
"
исключить.
5. Приложение N 40 "Базовый подушевой
норматив финансирования скорой
медицинской помощи, оказываемой вне
медицинской организации" изложить в
редакции приложения N 8 к настоящему
дополнительному соглашению.
6. Приложение N 42
"Дифференцированные подушевые нормативы
финансирования скорой медицинской
помощи" изложить в редакции приложения N 9
к настоящему дополнительному
соглашению.
7. Приложение N 48 "Тарифы на
проведение углубленной диспансеризации"
изложить в редакции приложения N 10 к
настоящему дополнительному соглашению.
8. Настоящее дополнительное
соглашение распространяет свое действие
на правоотношения, возникшие с 26 января
2022 года.
Заместитель Председателя
Правительства
Республики Северная Осетия-Алания
Л.А.ТУГАНОВА
Министр здравоохранения
Республики Северная Осетия-Алания
С.А.ТЕБИЕВ
Директор Территориального фонда
обязательного медицинского
страхования
Республики Северная Осетия-Алания
А.Р.ДЗАГОЕВ
Председатель региональной
общественной организации
"Ассоциация медицинских работников
Республики Северная Осетия-Алания
З.Т.АСТАХОВА
Заместитель директора филиала
общества
с ограниченной ответственностью
"Капитал Медицинское Страхование"
в Республике Северная Осетия-Алания
З.Д.ГУДИЕВА
Член Северо-Осетинской
республиканской организации профсоюза
работников здравоохранения
Российской Федерации
Ю.И.ГАБАРАЕВ
Приложение N 1
к Дополнительному соглашению
от 17 февраля 2022 года
"Приложение N 2 (2.1)
к Тарифному соглашению в сфере
обязательного медицинского
страхования на территории
Республики Северная Осетия-Алания
от 30 декабря 2021 года
ПЕРЕЧЕНЬ
ФЕЛЬДШЕРСКИХ/ФЕЛЬДШЕРСКО-АКУШЕРСКИХ
ПУНКТОВ, УЧАСТВУЮЩИХ В РЕАЛИЗАЦИИ
ТЕРРИТОРИАЛЬНОЙ ПРОГРАММЫ ОМС,
ДИФФЕРЕНЦИРОВАННЫХ ПО ЧИСЛЕННОСТИ
ОБСЛУЖИВАЕМОГО НАСЕЛЕНИЯ, БАЗОВЫЕ
НОРМАТИВЫ ФИНАНСОВЫХ ЗАТРАТ И
СООТВЕТСТВУЮЩИЕ РАЗМЕРЫ ИХ ФИНАНСОВОГО
ОБЕСПЕЧЕНИЯ
1. Перечень
фельдшерских/фельдшерско-акушерских
пунктов, участвующих в реализации
Территориальной программы ОМС,
дифференцированных по численности
обслуживаемого населения с
соответствующим размером финансового
обеспечения
Код МО |
Наименование медицинской организации |
Наименование фельдшерских/фельдшерско-акушерских пунктов |
Численность прикрепленного населения |
Соответствие (несоответствие) требованиям, установленным положением об организации оказания первичной медико-санитарной помощи взрослому населению |
Коэффициент специфики |
Годовой размер финансового обеспечения ФП/ФАП, руб. |
Месячный размер финансового обеспечения ФП/ФАП, руб. |
150 007 |
ГБУЗ "Алагирская ЦРБ" МЗ РСО-Алания |
с. Хаталдон |
1 203 |
Несоответствие |
0,50 |
877 919,45 |
73 159,95 |
|
|
с. В. Бирагзанг |
749 |
Несоответствие |
0,67 |
742 605,42 |
61 883,79 |
|
|
с. Цаликово |
376 |
Несоответствие |
0,67 |
742 605,42 |
61 883,79 |
|
|
с. Рамоново |
841 |
Несоответствие |
0,67 |
742 605,42 |
61 883,79 |
|
|
с. Красный Ход |
126 |
Несоответствие |
0,67 |
742 605,42 |
61 883,79 |
|
|
п. Бурон |
517 |
Несоответствие |
0,67 |
742 605,42 |
61 883,79 |
|
|
с. Зинцар |
81 |
<*> |
1,00 |
424 654,07 |
35 387,84 |
|
|
с. Унал |
131 |
Несоответствие |
0,67 |
742 605,42 |
61 883,79 |
|
|
с. Зарамаг |
110 |
Несоответствие |
0,67 |
742 605,42 |
61 883,79 |
|
|
с. Нар |
33 |
<*> |
0,00 |
0,00 |
0,00 |
ИТОГО: |
10 |
4 167 |
X |
X |
6 500 811,46 |
541 734,29 | |
150 009 |
ГБУЗ "Ардонская ЦРБ" МЗ РСО-Алания |
с. Красногор |
1 703 |
Несоответствие |
0,29 |
571 782,30 |
47 648,53 |
|
|
с. Рассвет |
455 |
Несоответствие |
0,67 |
742 605,42 |
61 883,79 |
|
|
с. Фиагдон |
761 |
Несоответствие |
0,67 |
742 605,42 |
61 883,79 |
ИТОГО: |
3 |
2 919 |
X |
X |
2 056 993,14 |
171 416,10 | |
150 010 |
ГБУЗ "Ирафская ЦРБ" МЗ РСО-Алания |
с. Толдзгун |
490 |
Несоответствие |
0,67 |
742 605,42 |
61 883,79 |
|
|
с. Новый-Урух |
463 |
Несоответствие |
0,67 |
742 605,42 |
61 883,79 |
|
|
с. Ахсарисар |
333 |
Несоответствие |
0,67 |
742 605,42 |
61 883,79 |
|
|
с. Советское |
364 |
Несоответствие |
0,67 |
742 605,42 |
61 883,79 |
|
|
с. Махческ |
161 |
Несоответствие |
0,00 |
0,00 |
0,00 |
|
|
с. Дзинага |
133 |
Несоответствие |
0,33 |
365 760,88 |
30 480,07 |
|
|
с. Стур-Дигора |
280 |
Несоответствие |
0,67 |
742 605,42 |
61 883,79 |
|
|
с. Дзагепбарз |
123 |
Несоответствие |
0,17 |
188 422,27 |
15 701,86 |
ИТОГО: |
8 |
2 347 |
X |
X |
4 267 210,25 |
355 600,85 | |
150 012 |
ГБУЗ "Кировская ЦРБ" МЗ РСО-Алания |
с. Комсомольское |
1 346 |
Несоответствие |
0,83 |
1 457 346,29 |
121 445,52 |
|
|
с. Иран |
547 |
Несоответствие |
1,00 |
1 108 366,30 |
92 363,86 |
ИТОГО: |
2 |
1 893 |
X |
X |
2 565 712,59 |
213 809,38 | |
150 014 |
ГБУЗ "Правобережная ЦРКБ" МЗ РСО-Алания |
с. Батако |
1 071 |
Несоответствие |
1,00 |
1 755 838,90 |
146 319,91 |
|
|
с. Раздзог |
504 |
Несоответствие |
1,00 |
1 108 366,30 |
92 363,86 |
ИТОГО: |
2 |
1 575 |
X |
X |
2 864 205,20 |
238 683,77 | |
150 016 |
ГБУЗ "Пригородная ЦРБ" МЗ РСО-Алания |
с. В. Саниба |
1 938 |
Несоответствие |
0,29 |
571 782,30 |
47 648,53 |
|
|
с. Н. Саниба |
1 768 |
Несоответствие |
0,36 |
709 798,72 |
59 149,89 |
|
|
с. Комгарон |
1 569 |
Несоответствие |
0,36 |
709 798,72 |
59 149,89 |
|
|
с. Донгарон |
1 154 |
Несоответствие |
0,42 |
737 452,34 |
61 454,36 |
|
|
с. Алханчурт |
1 735 |
Несоответствие |
0,29 |
571 782,30 |
47 648,53 |
|
|
с. Кармадон |
161 |
Несоответствие |
0,67 |
742 605,42 |
61 883,79 |
|
|
с. Джимара |
137 |
Несоответствие |
0,67 |
742 605,42 |
61 883,79 |
|
|
с. Старая Саниба |
205 |
Несоответствие |
0,33 |
365 760,88 |
30 480,07 |
|
|
с. Даргавс |
274 |
Несоответствие |
0,67 |
742 605,42 |
61 883,79 |
ИТОГО: |
9 |
8 941 |
X |
X |
5 894 191,52 |
491 182,63 | |
150 019 |
ГБУЗ "Дигорская ЦРБ" МЗ РСО-Алания |
с. Мостиздах |
760 |
Несоответствие |
1,00 |
1 108 366,30 |
92 363,86 |
ИТОГО: |
1 |
760 |
X |
X |
1 108 366,30 |
92 363,86 | |
150 036 |
ГБУЗ "Поликлиника N 4" МЗ РСО-Алания |
с. Чми |
337 |
Несоответствие |
0,67 |
742 605,42 |
61 883,79 |
|
|
с. Эзми |
145 |
Несоответствие |
0,00 |
0,00 |
0,00 |
|
|
с. Ларс |
158 |
Несоответствие |
0,67 |
742 605,42 |
61 883,79 |
|
|
п. Редант-2 |
887 |
Несоответствие |
0,67 |
742 605,42 |
61 883,79 |
ИТОГО: |
4 |
1 527 |
X |
X |
2 227 816,26 |
185 651,36 | |
150 112 |
ГБУЗ "Моздокская ЦРБ" МЗ РСО-Алания |
с. Раздольное |
986 |
Несоответствие |
0,33 |
579 426,84 |
48 285,57 |
|
|
с. Сухотское |
813 |
Несоответствие |
0,67 |
742 605,42 |
61 883,79 |
|
|
с. Малгобек |
391 |
Несоответствие |
0,67 |
742 605,42 |
61 883,79 |
|
|
с. Хурикау |
583 |
Несоответствие |
0,67 |
742 605,42 |
61 883,79 |
|
|
с. Кусово |
73 |
X |
1,00 |
424 654,07 |
35 387,84 |
|
|
с. Ново-Осетиновская |
593 |
Несоответствие |
0,67 |
742 605,42 |
61 883,79 |
|
|
ст-ца Черноярская |
676 |
Несоответствие |
0,67 |
742 605,42 |
61 883,79 |
|
|
ст-ция Черноярская |
672 |
Несоответствие |
0,67 |
742 605,42 |
61 883,79 |
|
|
п. Тельмана |
283 |
Несоответствие |
0,67 |
742 605,42 |
61 883,79 |
|
|
п. Елбаево |
509 |
Несоответствие |
0,67 |
742 605,42 |
61 883,79 |
|
|
с. Предгорное |
1 142 |
Несоответствие |
0,50 |
877 919,45 |
73 159,95 |
|
|
ст. Павлодольская |
1 996 |
Несоответствие |
0,57 |
1 123 847,97 |
93 654,00 |
|
|
п. Калининский |
2 264 |
<*> |
0,32949868 |
729 515,35 |
60 792,95 |
|
|
с. Киевское |
1 386 |
Несоответствие |
0,67 |
1 176 412,06 |
98 034,34 |
|
|
с. Веселое |
881 |
Несоответствие |
0,67 |
742 605,42 |
61 883,79 |
|
|
с. Ново-Георгиевское |
729 |
Несоответствие |
0,67 |
742 605,42 |
61 883,79 |
|
|
п. Комарово |
633 |
Несоответствие |
0,67 |
742 605,42 |
61 883,79 |
|
|
п. Садовый |
479 |
Несоответствие |
0,67 |
742 605,42 |
61 883,79 |
|
|
п. Л. Кондратенко |
62 |
<*> |
1,00 |
424 654,07 |
35 387,84 |
|
|
с. Октябрьское |
104 |
Несоответствие |
0,67 |
742 605,42 |
61 883,79 |
|
|
п. Советский |
311 |
Несоответствие |
1,00 |
1 108 366,30 |
92 363,86 |
ИТОГО: |
21 |
15 566 |
X |
X |
16 098 666,57 |
1 341 555,55 | |
ВСЕГО |
60 |
39 695 |
X |
X |
43 583 973,29 |
3 631 997,79 | |
* - Приказом Министерства
здравоохранения и социального развития
Российской Федерации от 15 мая 2012 г. N 543н
"Об утверждении Положения об организации
оказания первичной медико-санитарной
помощи взрослому населению" требования
не установлены.
Приложение N 2 (2.2)
к Тарифному соглашению в сфере
обязательного медицинского
страхования на территории
Республики Северная Осетия-Алания
от 30 декабря 2021 года
2. Базовый норматив финансовых затрат на
финансовое обеспечение структурных
подразделений медицинских организаций -
фельдшерских, фельдшерско-акушерских
пунктов
Наименование показателя |
Численность обслуживаемого населения | ||||
|
До 100 жителей <1> |
От 100 до 900 жителей |
От 900 до 1500 жителей |
От 1500 до 2000 жителей |
Свыше 2000 жителей <2> |
Базовый норматив финансовых затрат на финансовое обеспечение структурных подразделений медицинских организаций - фельдшерских, фельдшерско-акушерских пунктов, руб. |
424 654,07 |
1 108 366,3 |
1 755 838,9 |
1 971 663,1 |
2 214 016,0 |
".
<1> - с учетом коэффициента уровня
медицинской организации, применяемого к
базовому нормативу финансовых затрат на
финансовое обеспечение структурных
подразделений медицинской организации,
принимающего значение 0,38313513.
<2> - с учетом коэффициента уровня
медицинской организации, применяемого к
базовому нормативу финансовых затрат на
финансовое обеспечение структурных
подразделений медицинской организации
1,122918008.".
Приложение N 2
к Дополнительному соглашению
от 17 февраля 2022 года
"Приложение N 4 (4.1)
к Тарифному соглашению в сфере
обязательного медицинского
страхования на территории
Республики Северная Осетия-Алания
от 30 декабря 2021 года
ПЕРЕЧЕНЬ ПОКАЗАТЕЛЕЙ РЕЗУЛЬТАТИВНОСТИ
ДЕЯТЕЛЬНОСТИ МЕДИЦИНСКИХ ОРГАНИЗАЦИЙ,
ПРИМЕНЯЕМЫХ ПРИ ОСУЩЕСТВЛЕНИИ ВЫПЛАТ
МЕДИЦИНСКИМ ОРГАНИЗАЦИЯМ, ИМЕЮЩИМ
ПРИКРЕПИВШИХСЯ ЛИЦ
N |
Наименование показателя |
Предположительный результат |
Индикаторы выполнения показателя <**> |
Макс. балл |
Блок 1. Взрослое население (в возрасте 18 лет и старше) |
25 | |||
Оценка эффективности профилактических мероприятий | ||||
1 |
Доля врачебных посещений с профилактической целью за период, от общего числа посещений за период (включая посещения на дому) |
Прирост показателя за период по отношению к показателю за предыдущий период |
Прирост < 5% - 0 баллов; Прирост >= 5% - 0,5 балла; Прирост >= 10% - 1 балл |
1 |
2 |
Доля взрослых пациентов с болезнями системы кровообращения, выявленными впервые при профилактических медицинских осмотрах и диспансеризации за период, от общего числа взрослых пациентов с болезнями системы кровообращения с впервые в жизни установленным диагнозом за период |
Прирост показателя за период по отношению к показателю за предыдущий период |
Прирост < 5% - 0 баллов; Прирост >= 5% - 1 балл; Прирост >= 10% - 2 балла |
2 |
3 |
Доля взрослых пациентов с установленным диагнозом злокачественное новообразование, выявленным впервые при профилактических медицинских осмотрах и диспансеризации за период, от общего числа взрослых пациентов с впервые в жизни установленным диагнозом злокачественное новообразование за период |
Прирост показателя за период по отношению к показателю за предыдущий период |
Прирост < 5% - 0 баллов; Прирост >= 5% - 0,5 балла; Прирост >= 10% - 1 балл |
1 |
4 |
Доля взрослых пациентов с установленным диагнозом хроническая обструктивная болезнь легких, выявленным впервые при профилактических медицинских осмотрах и диспансеризации за период, от общего числа взрослых пациентов с впервые в жизни установленным диагнозом хроническая обструктивная легочная болезнь за период |
Прирост показателя за период по отношению к показателю за предыдущий период |
Прирост < 5% - 0 баллов; Прирост >= 5% - 0,5 балла; Прирост >= 10% - 1 балл |
1 |
5 |
Доля взрослых пациентов с установленным диагнозом сахарный диабет, выявленным впервые при профилактических медицинских осмотрах и диспансеризации за период, от общего числа взрослых пациентов с впервые в жизни установленным диагнозом сахарный диабет за период |
Прирост показателя за период по отношению к показателю за предыдущий период |
Прирост < 5% - 0 баллов; Прирост >= 5% - 0,5 балла; Прирост >= 10% - 1 балл |
1 |
6 |
Выполнение плана вакцинации взрослых граждан по эпидемиологическим показаниям за период (коронавирусная инфекция COVID-19) |
Достижение планового показателя |
100% плана или более |
2 |
Оценка эффективности диспансерного наблюдения | ||||
7 |
Доля взрослых пациентов с болезнями системы кровообращения <*>, имеющих высокий риск преждевременной смерти, состоящих под диспансерным наблюдением, от общего числа взрослых пациентов с болезнями системы кровообращения <*>, имеющих высокий риск преждевременной смерти, за период |
Прирост показателя за период по отношению к показателю за предыдущий период |
Прирост < 5% - 0 баллов; Прирост >= 5% - 1 балл; Прирост >= 10% - 2 балла |
2 |
8 |
Число взрослых пациентов с болезнями системы кровообращения <*>, имеющих высокий риск преждевременной смерти, которым за период оказана медицинская помощь в неотложной форме и (или) скорая медицинская помощь, от общего числа взрослых пациентов с болезнями системы кровообращения <*>, имеющих высокий риск преждевременной смерти, за период |
Уменьшение показателя за период по отношению к показателю в предыдущем периоде |
Уменьшение < 5% - 0 баллов; Уменьшение >= 5% - 0,5 балла; Уменьшение >= 10% - 1 балл |
1 |
9 |
Доля взрослых пациентов с болезнями системы кровообращения, в отношении которых установлено диспансерное наблюдение за период, от общего числа взрослых пациентов с впервые в жизни установленным диагнозом болезни системы кровообращения за период |
Достижение планового показателя |
100% плана или более |
1 |
10 |
Доля взрослых пациентов с установленным диагнозом хроническая обструктивная болезнь легких, в отношении которых установлено диспансерное наблюдение за период, от общего числа взрослых пациентов с впервые в жизни установленным диагнозом хроническая обструктивная болезнь легких за период |
Достижение планового показателя |
100% плана или более |
1 |
11 |
Доля взрослых пациентов с установленным диагнозом сахарный диабет, в отношении которых установлено диспансерное наблюдение за период, от общего числа взрослых пациентов с впервые в жизни установленным диагнозом сахарный диабет за период |
Достижение планового показателя |
100% плана или более |
2 |
12 |
Доля взрослых пациентов, госпитализированных за период по экстренным показаниям в связи с обострением (декомпенсацией) состояний, по поводу которых пациент находится под диспансерным наблюдением, от общего числа взрослых пациентов, находящихся под диспансерным наблюдением за период |
Уменьшение показателя за период по отношению к показателю в предыдущем периоде |
Уменьшение < 5% - 0 баллов; Уменьшение >= 5% - 0,5 балла; Уменьшение >= 10% - 1 балл |
1 |
13 |
Доля взрослых пациентов, повторно госпитализированных за период по причине заболеваний сердечно-сосудистой системы или их осложнений в течение года с момента предыдущей госпитализации, от общего числа взрослых пациентов, госпитализированных за период по причине заболеваний сердечно-сосудистой системы или их осложнений |
Уменьшение показателя за период по отношению к показателю в предыдущем периоде |
Уменьшение < 5% - 0 баллов; Уменьшение >= 5% - 1 балл; Уменьшение >= 10% - 2 балла |
2 |
14 |
Доля взрослых пациентов, находящихся под диспансерным наблюдением по поводу сахарного диабета, у которых впервые зарегистрированы осложнения за период (диабетическая ретинопатия, диабетическая стопа), от общего числа взрослых пациентов, находящихся под диспансерным наблюдением по поводу сахарного диабета за период |
Уменьшение показателя за период по отношению к показателю в предыдущем периоде |
Уменьшение < 5% - 0 баллов; Уменьшение >= 5% - 0,5 балла; Уменьшение >= 10% - 1 балл |
1 |
Оценка смертности | ||||
15 |
Смертность прикрепленного населения в возрасте от 30 до 69 лет за период |
Уменьшение показателя за период по отношению к показателю в предыдущем периоде (среднее значение коэффициента смертности за 2019, 2020, 2021 годы) |
Увеличение показателя смертности или уменьшение < 2% - 0 баллов; Уменьшение от 2 до 5% - 1 балл; Уменьшение от 5 до 10% - 2 балла; Уменьшение >= 10% - 3 балла |
3 |
16 |
Число умерших за период, находящихся под диспансерным наблюдением, от общего числа взрослых пациентов, находящихся под диспансерным наблюдением |
Уменьшение показателя за период по отношению к показателю в предыдущем периоде |
Уменьшение < 5% - 0 баллов; Уменьшение >= 5% - 1,5 балла; Уменьшение >= 10% - 3 балла |
3 |
Блок 2. Детское население (от 0 до 17 лет включительно) |
10 | |||
Оценка эффективности профилактических мероприятий | ||||
17 |
Охват вакцинацией детей в рамках Национального календаря прививок |
Достижение планового показателя |
100% плана или более |
1 |
18 |
Доля детей, в отношении которых установлено диспансерное наблюдение по поводу болезней костно-мышечной системы и соединительной ткани за период, от общего числа детей с впервые в жизни установленными диагнозами болезней костно-мышечной системы и соединительной ткани за период |
Достижение планового показателя |
100% от числа подлежащих диспансерному наблюдению |
1 |
19 |
Доля детей, в отношении которых установлено диспансерное наблюдение по поводу болезней глаза и его придаточного аппарата за период, от общего числа детей с впервые в жизни установленными диагнозами болезней глаза и его придаточного аппарата за период |
Достижение планового показателя |
100% от числа подлежащих диспансерному наблюдению |
1 |
20 |
Доля детей, в отношении которых установлено диспансерное наблюдение по поводу болезней органов пищеварения за период, от общего числа детей с впервые в жизни установленными диагнозами болезней органов пищеварения за период |
Достижение планового показателя |
100% от числа подлежащих диспансерному наблюдению |
1 |
21 |
Доля детей, в отношении которых установлено диспансерное наблюдение по поводу болезней системы кровообращения за период от общего числа детей с впервые в жизни установленными диагнозами болезней системы кровообращения за период |
Достижение планового показателя |
100% от числа подлежащих диспансерному наблюдению |
2 |
22 |
Доля детей, в отношении которых установлено диспансерное наблюдение по поводу болезней эндокринной системы, расстройства питания и нарушения обмена веществ за период, от общего числа детей с впервые в жизни установленными диагнозами болезней эндокринной системы, расстройства питания и нарушения обмена веществ за период |
Достижение планового показателя |
100% от числа подлежащих диспансерному наблюдению |
1 |
Оценка смертности | ||||
23 |
Смертность детей в возрасте 0 - 17 лет за период |
Уменьшение показателя за период по отношению к показателю в предыдущем периоде |
Увеличение показателя смертности или уменьшение < 2% - 0 баллов; Уменьшение от 2 до 5% - 1 балл; Уменьшение от 5 до 10% - 2 балла; Уменьшение >= 10% - 3 балла |
3 |
Блок 3. Оказание акушерско-гинекологической помощи |
6 | |||
Оценка эффективности профилактических мероприятий | ||||
24 |
Доля женщин, отказавшихся от искусственного прерывания беременности, от числа женщин, прошедших доабортное консультирование за период |
Прирост показателя за период по отношению к показателю за предыдущий период |
Прирост < 5% - 0 баллов; Прирост >= 5% - 0,5 балла; Прирост >= 10% - 1 балл |
1 |
25 |
Доля беременных женщин, вакцинированных от коронавирусной инфекции (COVID-19), за период, от числа женщин, состоящих на учете по беременности и родам на начало периода |
Достижение планового показателя |
100% плана или более |
1 |
26 |
Доля женщин с установленным диагнозом злокачественное новообразование шейки матки, выявленным впервые при диспансеризации, от общего числа женщин с установленным диагнозом злокачественное новообразование шейки матки за период |
Прирост показателя за период по отношению к показателю за предыдущий период |
Прирост < 5% - 0 баллов; Прирост >= 5% - 0,5 балла; Прирост >= 10% - 1 балл |
1 |
27 |
Доля женщин с установленным диагнозом злокачественное новообразование молочной железы, выявленным впервые при диспансеризации, от общего числа женщин с установленным диагнозом злокачественное новообразование молочной железы за период |
Прирост показателя за период по отношению к показателю за предыдущий период |
Прирост < 5% - 0 баллов; Прирост >= 5% - 0,5 балла; Прирост >= 10% - 1 балл |
1 |
28 |
Доля беременных женщин, прошедших скрининг в части оценки антенатального развития плода за период, от общего числа женщин, состоявших на учете по поводу беременности и родов за период |
Достижение планового показателя |
100% плана или более |
2 |
* по набору кодов Международной
статистической классификацией болезней
и проблем, связанных со здоровьем,
десятого пересмотра (МКБ-10).
** выполненным считается показатель
со значением 0,5 и более баллов.
К группам диагнозов,
обусловливающих высокий риск смерти,
относится любое сочетание сопутствующих
заболеваний и осложнений с основным
диагнозом, указанных в таблице:
Основной диагноз |
Сопутствующие заболевания |
Осложнение заболевания |
Ишемические болезни сердца (I20 - I25) |
Сахарный диабет (E10 - E11) |
Сердечная недостаточность (I50.0 - I50.9) Фибрилляция и трепетание предсердий (I48) Другие нарушения сердечного ритма (I49) Предсердно-желудочковая (атриовентрикулярная) блокада и блокада левой ножки пучка Гиса (I44) Другие нарушения проводимости (I45) Легочно-сердечная недостаточность неуточненная (I27.9) Гипостатическая пневмония неуточненная (J18.2) Хроническая болезнь почек неуточненная (N18.9) Уремия (N19) Гангрена (R02) Другие поражения легкого (J98.4) Эмфизема (легкого) (J43.9) |
Болезни, характеризующиеся повышенным кровяным давлением (I10 - I13) |
Хроническая обструктивная легочная болезнь (J44.0 - J44.9) |
|
Цереброваскулярные болезни (I60 - I69) |
Хроническая болезнь почек (N18.1 - N18.9) |
|
Приложение N 4 (4.2)
к Тарифному соглашению в сфере
обязательного медицинского
страхования на территории
Республики Северная Осетия-Алания
от 30 декабря 2021 года
ПОРЯДОК ОЦЕНКИ ПОКАЗАТЕЛЕЙ
РЕЗУЛЬТАТИВНОСТИ ДЕЯТЕЛЬНОСТИ И
ОПРЕДЕЛЕНИЯ РАЗМЕРА ВЫПЛАТ ПО
РЕЗУЛЬТАТАМ ОЦЕНКИ ДОСТИЖЕНИЯ ЗНАЧЕНИЙ
ПОКАЗАТЕЛЕЙ РЕЗУЛЬТАТИВНОСТИ
ДЕЯТЕЛЬНОСТИ
Каждый показатель, включенный в
блок (приложение N 4 (4.1), оценивается в
баллах, которые суммируются. Методикой
предусмотрена максимально возможная
сумма баллов по каждому блоку, которая
составляет:
- 25 баллов для показателей блока 1;
- 10 баллов для показателей блока 2;
- 6 баллов для показателей блока 3.
В зависимости от результатов
деятельности медицинской организации по
каждому показателю определяется балл в
диапазоне от 0 до 3 баллов.
В случае, когда группа показателей
результативности одного из блоков
неприменима для конкретной медицинской
организации и (или) отчетного периода,
суммарный максимальный балл и итоговый
коэффициент для соответствующей
медицинской организации могут
рассчитываться без учета этой группы
показателей.
С учетом фактического выполнения
показателей медицинское организации
распределяются на три группы: I -
выполнившие до 50 процентов показателей,
II - от 50 до 70 процентов показателей, III -
свыше 70 процентов показателей.
Оценка достижения значений
показателей результативности
деятельности медицинских организаций
оформляется решением Комиссии, которое
доводится до сведения медицинских
организаций не позднее 25 числа месяца,
следующего за отчетным периодом.
Объем средств, направляемый в
медицинские организации по итогам
оценки достижения значений показателей
результативности деятельности,
складывается из двух частей:
1 часть - распределение 70 процентов
от объема средств с учетом показателей
результативности за соответствующий
период.
Указанные средства распределяются
среди медицинских организаций II и III
групп с учетом численности
прикрепленного населения.
где:
- объем средств, используемый при
распределении 70 процентов от объема
средств на стимулирование медицинских
организаций за j-й период, в расчете на 1
прикрепленное лицо, рублей;
- совокупный объем средств на
стимулирование медицинских организаций
за j-й период, рублей;
- численность прикрепленного
населения в j-м периоде ко всем
медицинским организациям II и III групп.
В качестве численности
прикрепленного населения к конкретной
медицинской организации используется
средняя численность за период.
Объем средств, направляемый в i-ю
медицинскую организацию II и III групп за
j-тый период при распределении 70
процентов от объема средств с учетом
показателей результативности (
), рассчитывается следующим
образом:
где:
- численность прикрепленного
населения в j-м периоде к i-той
медицинской организации II и III групп.
2 часть - распределение 30 процентов
от объема средств с учетом показателей
результативности за соответствующей
период.
Указанные средства распределяются
среди медицинских организаций III группы
с учетом абсолютного количества
набранных соответствующими
медицинскими организациями баллов.
где:
- объем средств, используемый при
распределении 30 процентов от объема
средств на стимулирование медицинских
организаций за j-й период, в расчете на 1
балл, рублей;
- совокупный объем средств на
стимулирование медицинских организаций
за j-й период, рублей;
- количество баллов, набранных в j-м
периоде всеми медицинскими
организациями III группы.
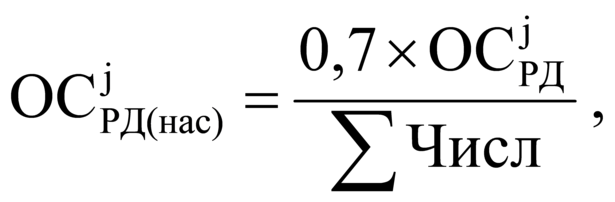
Объем средств, направляемый в i-ю
медицинскую организацию III группы за
j-тый период, при распределении 30
процентов от объема средств на
стимулирование медицинских организаций
(
), рассчитывается следующим
образом:
где:
- количество баллов, набранных в j-м
периоде i-той медицинской организацией III
группы.
Общий объем средств, направляемых
на оплату медицинской помощи с учетом
показателей результативности
деятельности в медицинскую организацию
III группы за j-тый период, определяется
путем суммирования 1 и 2 частей, а для
медицинских организаций I группы за j-тый
период - равняется нулю.
В условиях распространения новой
коронавирусной инфекции (COVID-19) методика
расчета показателя может быть
скорректирована на предмет исключения
из расчета периода, когда деятельность
медицинской организации (в части
соответствующего направления
деятельности) была приостановлена
приказом руководителя медицинской
организации за расчетный период путем
перерасчета к значению за период.".
Приложение N 3
к Дополнительному соглашению
от 17 февраля 2022 года
"Приложение N 5
к Тарифному соглашению в сфере
обязательного медицинского
страхования на территории
Республики Северная Осетия-Алания
от 30 декабря 2021 года
ПОРЯДОК РАСЧЕТА ЗНАЧЕНИЙ ПОКАЗАТЕЛЕЙ
РЕЗУЛЬТАТИВНОСТИ ДЕЯТЕЛЬНОСТИ
МЕДИЦИНСКИХ ОРГАНИЗАЦИЙ
N |
Наименование показателя |
Формула расчета <**> |
Единицы измерения |
Источник |
Взрослое население (в возрасте 18 лет и старше) | ||||
Оценка эффективности профилактических мероприятий | ||||
1. |
Доля врачебных посещений с профилактической целью за период от общего числа посещений за период (включая посещения на дому) |
где: Dprof - доля врачебных посещений с профилактической целью за период от общего числа посещений за период (включая посещения на дому), выраженное в процентах; Pprof - число врачебных посещений с профилактической целью за период; Pvs - посещений за период (включая посещения на дому); Оz - общее число обращений за отчетный период; k - коэффициент перевода обращений в посещения |
Процент |
Источником информации являются реестры оказанной медицинской помощи застрахованным лицам за исключением посещений стоматологического профиля. Отбор информации для расчета показателей осуществляется по полям реестра: - дата окончания лечения; - цель посещения |
2. |
Доля взрослых пациентов с болезнями системы кровообращения, выявленными впервые при профилактических медицинских осмотрах и диспансеризации за период, от общего числа взрослых пациентов с болезнями системы кровообращения с впервые в жизни установленным диагнозом за период |
где: Dбск - доля взрослых пациентов с болезнями системы кровообращения, выявленными впервые при профилактических медицинских осмотрах и диспансеризации за период, от общего числа взрослых пациентов с болезнями системы кровообращения с впервые в жизни установленным диагнозом за период; BSKдисп - число взрослых пациентов с болезнями системы кровообращения, выявленными впервые при профилактических медицинских осмотрах и диспансеризации за период; BSKвп - общее число взрослых пациентов с болезнями системы кровообращения с впервые в жизни установленным диагнозом за период |
Процент |
Источником информации являются реестры оказанной медицинской помощи застрахованным лицам. Отбор информации для расчета показателей осуществляется по полям реестра: - дата окончания лечения; - диагноз основной; - впервые выявлено (основной); - характер заболевания - цель посещения; - дата рождения |
3. |
Доля взрослых пациентов с установленным диагнозом злокачественное новообразование, выявленным впервые при профилактических медицинских осмотрах и диспансеризации за период, от общего числа взрослых пациентов с впервые в жизни установленным диагнозом злокачественное новообразование за период |
где: Dзно - доля взрослых пациентов с установленным диагнозом злокачественное новообразование, выявленным впервые при профилактических медицинских осмотрах и диспансеризации за период, от общего числа взрослых пациентов с впервые в жизни установленным диагнозом злокачественное новообразование за период; ZNOдисп - число взрослых пациентов с установленным диагнозом злокачественное новообразование, выявленным впервые при профилактических медицинских осмотрах и диспансеризации за период; ZNOвп - общее число взрослых пациентов с впервые в жизни установленным диагнозом злокачественное новообразование за период |
Процент |
Расчет показателя осуществляется путем отбора информации по полям реестра формата Д3 "Файл со сведениями об оказанной медицинской помощи при диспансеризации", предусматривает поле реестра "признак подозрения на злокачественное новообразование". Движение пациента отслеживается по формату реестра Д4 "Файл со сведениями при осуществлении персонифицированного учета оказанной медицинской помощи при подозрении на злокачественное новообразование или установленном диагнозе злокачественного новообразования": - диагноз основной, - характер основного заболевания |
4. |
Доля взрослых пациентов с установленным диагнозом хроническая обструктивная болезнь легких, выявленным впервые при профилактических медицинских осмотрах и диспансеризации за период, от общего числа взрослых пациентов с впервые в жизни установленным диагнозом хроническая обструктивная легочная болезнь за период |
где: Dхобл - доля взрослых пациентов с установленным диагнозом хроническая обструктивная болезнь легких, выявленным впервые при профилактических медицинских осмотрах и диспансеризации за период, от общего числа взрослых пациентов с впервые в жизни установленным диагнозом хроническая обструктивная легочная болезнь за период; Hдисп - число взрослых пациентов с установленным диагнозом хроническая обструктивная болезнь легких, выявленным впервые при профилактических медицинских осмотрах и диспансеризации за период; Hвп - общее число взрослых пациентов с впервые в жизни установленным диагнозом хроническая обструктивная легочная болезнь за период |
Процент |
Источником информации являются реестры оказанной медицинской помощи застрахованным лицам. Отбор информации для расчета показателей осуществляется по полям реестра: - дата окончания лечения; - диагноз основной; - впервые выявлено (основной); - характер заболевания; - цель посещения; - дата рождения |
5. |
Доля взрослых пациентов с установленным диагнозом сахарный диабет, выявленным впервые при профилактических медицинских осмотрах и диспансеризации за период, от общего числа взрослых пациентов с впервые в жизни установленным диагнозом сахарный диабет за период |
где: Dсд - доля взрослых пациентов с установленным диагнозом сахарный диабет, выявленным впервые при профилактических медицинских осмотрах и диспансеризации за период, от общего числа взрослых пациентов с впервые в жизни установленным диагнозом сахарный диабет за период; SDдисп - число взрослых пациентов с установленным диагнозом сахарный диабет, выявленным впервые при профилактических медицинских осмотрах и диспансеризации за период; SDвп - общее число взрослых пациентов с впервые в жизни установленным диагнозом сахарный диабет за период |
Процент |
Источником информации являются реестры оказанной медицинской помощи застрахованным лицам. Отбор информации для расчета показателей осуществляется по полям реестра: - дата окончания лечения; - диагноз основной; - впервые выявлено (основной); - характер заболевания; - цель посещения; - дата рождения |
6. |
Выполнение плана вакцинации взрослых граждан по эпидемиологическим показаниям за период (коронавирусная инфекция COVID-19) |
где: Vvэпид - процент выполнения плана вакцинации взрослых граждан по эпидемиологическим показаниям за период (коронавирусная инфекция COVID-19); Fvэпид - фактическое число взрослых граждан, вакцинированных от коронавирусной инфекции COVID-19 в отчетном периоде; Pvэпид - число граждан, подлежащих вакцинации по эпидемиологическим показаниям за период (коронавирусная инфекция COVID-19) |
Процент |
Источником информации являются сведения органов государственной власти субъектов Российской Федерации в сфере охраны здоровья, соотносимые с данными федерального регистра вакцинированных |
Оценка эффективности диспансерного наблюдения | ||||
7. |
Доля взрослых пациентов с болезнями системы кровообращения <*>, имеющих высокий риск преждевременной смерти, состоящих под диспансерным наблюдением, от общего числа взрослых пациентов с болезнями системы кровообращения <*>, имеющих высокий риск преждевременной смерти, за период |
где: DNриск - доля взрослых пациентов с болезнями системы кровообращения <*>, имеющих высокий риск преждевременной смерти, состоящих под диспансерным наблюдением, от общего числа взрослых пациентов с болезнями системы кровообращения <*>, имеющих высокий риск преждевременной смерти, за период; Rдн - число взрослых пациентов с болезнями системы кровообращения <*>, имеющих высокий риск преждевременной смерти, состоящих под диспансерным наблюдением; Rвп - общее числа взрослых пациентов с болезнями системы кровообращения <*>, имеющих высокий риск преждевременной смерти, обратившихся за медицинской помощью за период |
На 100 пациентов |
Расчет показателя осуществляется путем отбора информации по полям реестра в формате Д1 "Файл со сведениями об оказанной медицинской помощи за период, кроме ВМП, диспансеризации, профилактических медицинских осмотров, медицинской помощи при подозрении на ЗНО": - дата окончания лечения; - результат обращения; - диагноз основной; - диагноз сопутствующего заболевания; - диагноз осложнения заболевания; - диспансерное наблюдение |
8. |
Число взрослых пациентов с болезнями системы кровообращения <*>, имеющих высокий риск преждевременной смерти, которым за период оказана медицинская помощь в неотложной форме и (или) скорая медицинская помощь, от общего числа взрослых пациентов с болезнями системы кровообращения <*>, имеющих высокий риск преждевременной смерти, за период |
где: Sриск - число взрослых пациентов с болезнями системы кровообращения <*>, имеющих высокий риск преждевременной смерти, которым за период оказана медицинская помощь в неотложной форме и (или) скорая медицинская помощь, от общего числа взрослых пациентов с болезнями системы кровообращения <*>, имеющих высокий риск преждевременной смерти, за период; Vриск - число взрослых пациентов с болезнями системы кровообращения <*>, имеющих высокий риск преждевременной смерти, которым за период оказана медицинская помощь в неотложной форме и (или) скорая медицинская помощь по поводу болезней системы кровообращения <*>, приводящих к высокому риску преждевременной смертности; Dриск - общее число взрослых пациентов с болезнями системы кровообращения <*>, имеющих высокий риск преждевременной смерти, обратившихся за медицинской помощью за период |
На 100 пациентов |
Расчет показателя осуществляется путем отбора информации по полям реестра в формате Д1 "Файл со сведениями об оказанной медицинской помощи, кроме ВМП, диспансеризации, профилактических медицинских осмотров, медицинской помощи при подозрении на ЗНО": - дата окончания лечения; - результат обращения; - диагноз основной; - диагноз сопутствующего заболевания; - диагноз осложнения заболевания; - диспансерное наблюдение; - условия оказания медицинской помощи; - форма оказания медицинской помощи |
9. |
Доля взрослых пациентов с болезнями системы кровообращения, в отношении которых установлено диспансерное наблюдение за период, от общего числа взрослых пациентов с впервые в жизни установленным диагнозом болезни системы кровообращения за период |
где: DNбск - доля взрослых пациентов с болезнями системы кровообращения, в отношении которых установлено диспансерное наблюдение за период, от общего числа взрослых пациентов с впервые в жизни установленным диагнозом болезни системы кровообращения за период; BSKдн - число взрослых пациентов с болезнями системы кровообращения, в отношении которых установлено диспансерное наблюдение за период; BSKвп - общее число взрослых пациентов с впервые в жизни установленным диагнозом болезни системы кровообращения за период |
Процент |
Источником информации являются реестры оказанной медицинской помощи застрахованным лицам. Отбор информации для расчета показателей осуществляется по полям реестра: - дата постановки на диспансерный учет; - диагноз основной; - возраст пациента; - характер заболевания; - впервые выявлено (основной); - дата рождения. Источником информации является информационный ресурс территориального фонда в части сведений о лицах, состоящих под диспансерным наблюдением (гл. 15 Приказа 108н МЗ РФ) |
10. |
Доля взрослых пациентов с установленным диагнозом хроническая обструктивная болезнь легких, в отношении которых установлено диспансерное наблюдение за период, от общего числа взрослых пациентов с впервые в жизни установленным диагнозом хроническая обструктивная болезнь легких за период |
где: DNхобл - доля взрослых пациентов с установленным диагнозом хроническая обструктивная болезнь легких, в отношении которых установлено диспансерное наблюдение за период, от общего числа взрослых пациентов с впервые в жизни установленным диагнозом хроническая обструктивная болезнь легких за период; Hдн - число взрослых пациентов с установленным диагнозом хроническая обструктивная болезнь легких, в отношении которых установлено диспансерное наблюдение за период; Hвп - общее число взрослых пациентов с впервые в жизни установленным диагнозом хроническая обструктивная болезнь легких за период |
Процент |
Источником информации являются реестры оказанной медицинской помощи застрахованным лицам. Отбор информации для расчета показателей осуществляется по полям реестра: - дата постановки на диспансерный учет; - диагноз основной; - возраст пациента; - характер заболевания; - впервые выявлено (основной); - дата рождения. Источником информации является информационный ресурс территориального фонда в части сведений о лицах, состоящих под диспансерным наблюдением (гл. 15 Приказа 108н МЗ РФ) |
11. |
Доля взрослых пациентов с установленным диагнозом сахарный диабет, в отношении которых установлено диспансерное наблюдение за период, от общего числа взрослых пациентов с впервые в жизни установленным диагнозом сахарный диабет за период |
где: DNсд - доля взрослых пациентов с установленным диагнозом сахарный диабет, в отношении которых установлено диспансерное наблюдение за период, от общего числа взрослых пациентов с впервые в жизни установленным диагнозом сахарный диабет за период; SDдн - число взрослых пациентов с установленным диагнозом сахарный диабет, в отношении которых установлено диспансерное наблюдение за период; SDвп - общее число взрослых пациентов с впервые в жизни установленным диагнозом сахарный диабет за период |
Процент |
Источником информации являются реестры оказанной медицинской помощи застрахованным лицам. Отбор информации для расчета показателей осуществляется по полям реестра: - дата постановки на диспансерный учет; - диагноз основной; - возраст пациента; - характер заболевания; - впервые выявлено (основной); - дата рождения. Источником информации является информационный ресурс территориального фонда в части сведений о лицах, состоящих под диспансерным наблюдением (гл. 15 Приказа 108н МЗ РФ) |
12. |
Доля взрослых пациентов, госпитализированных за период по экстренным показаниям в связи с обострением (декомпенсацией) состояний, по поводу которых пациент находится под диспансерным наблюдением, от общего числа взрослых пациентов, находящихся под диспансерным наблюдением за период |
где: Hвсего - доля взрослых пациентов, госпитализированных за период по экстренным показаниям в связи с обострением (декомпенсацией) состояний, по поводу которых пациент находится под диспансерным наблюдением, от общего числа взрослых пациентов, находящихся под диспансерным наблюдением за период; Oвсего - число взрослых пациентов, госпитализированных за период по экстренным показаниям в связи с обострением (декомпенсацией) состояний, по поводу которых пациент находится под диспансерным наблюдением; Dnвсего - общее число взрослых пациентов, находящихся под диспансерным наблюдением за период |
Процент |
Источником информации является информационный ресурс территориального фонда в части сведений о лицах, состоящих под диспансерным наблюдением (гл. 15 Приказа 108н МЗ РФ) Источником информации являются реестры (стационар) оказанной медицинской помощи застрахованным лицам. Отбор информации для расчета показателей осуществляется по полям реестра: - дата окончания лечения; - диагноз основной; - диагноз сопутствующий; - диагноз осложнений; - характер заболевания; - форма оказания медицинской помощи |
13. |
Доля взрослых пациентов, повторно госпитализированных за период по причине заболеваний сердечно-сосудистой системы или их осложнений в течение года с момента предыдущей госпитализации, от общего числа взрослых пациентов, госпитализированных за период по причине заболеваний сердечно-сосудистой системы или их осложнений |
где: Pбск - доля взрослых пациентов, повторно госпитализированных за период по причине заболеваний сердечно-сосудистой системы или их осложнений в течение года с момента предыдущей госпитализации, от общего числа взрослых пациентов, госпитализированных за период по причине заболеваний сердечно-сосудистой системы или их осложнений; PHбск - число взрослых пациентов, повторно госпитализированных за период по причине заболеваний сердечно-сосудистой системы или их осложнений в течение года с момента предыдущей госпитализации; Hбск - общее число взрослых пациентов, госпитализированных за период по причине заболеваний сердечно-сосудистой системы или их осложнений |
Процент |
Источником информации являются реестры (стационар) оказанной медицинской помощи застрахованным лицам. Отбор информации для расчета показателей осуществляется по полям реестра: - дата начала лечения; - диагноз основной; - диагноз сопутствующий; - диагноз осложнений; - характер заболевания; - форма оказания медицинской помощи |
14. |
Доля взрослых пациентов, находящихся под диспансерным наблюдением по поводу сахарного диабета, у которых впервые зарегистрированы осложнения за период (диабетическая ретинопатия, диабетическая стопа), от общего числа взрослых пациентов, находящихся под диспансерным наблюдением по поводу сахарного диабета за период |
где: SD - доля взрослых пациентов, находящихся под диспансерным наблюдением по поводу сахарного диабета, у которых впервые зарегистрированы осложнения за период (диабетическая ретинопатия, диабетическая стопа), от общего числа взрослых пациентов, находящихся под диспансерным наблюдением по поводу сахарного диабета за период; Osl - число взрослых пациентов, находящихся под диспансерным наблюдением по поводу сахарного диабета, у которых впервые зарегистрированы осложнения за период (диабетическая ретинопатия, диабетическая стопа); SD - общее число взрослых пациентов, находящихся под диспансерным наблюдением по поводу сахарного диабета за период |
Процент |
Источником информации является информационный ресурс территориального фонда в части сведений о лицах, состоящих под диспансерным наблюдением (гл. 15 Приказа 108н МЗ РФ). Источником информации являются реестры оказанной медицинской помощи застрахованным лицам. Отбор информации для расчета показателей осуществляется по полям реестра: - дата окончания лечения; - диагноз основной; - диагноз сопутствующий; - впервые выявлено (основной); - характер заболевания; - цель посещения |
Оценка смертности | ||||
15. |
Смертность прикрепленного населения в возрасте от 30 до 69 лет за период <***> |
где: Dth 30 - 69 - смертность прикрепленного населения в возрасте от 30 до 69; D 30 - 69 - число умерших в возрасте от 30 до 69 лет из числа прикрепленного населения за период; Nas 30 - 69 - численность прикрепленного населения в возрасте от 30 до 69 лет за период |
На 1000 прикрепленного населения |
Источником информации является региональный сегмент единого регистра застрахованных лиц (поля: дата рождения; дата смерти, прикрепление к медицинской организации) |
16. |
Число умерших за период, находящихся под диспансерным наблюдением, от общего числа взрослых пациентов, находящихся под диспансерным наблюдением |
где: L - число умерших за период, находящихся под диспансерным наблюдением, от общего числа взрослых пациентов, находящихся под диспансерным наблюдением; D - число умерших за период, находящихся под диспансерным наблюдением; DN - общее число взрослых пациентов, находящихся под диспансерным наблюдением за период |
На 100 пациентов |
Источником информации является региональный сегмент единого регистра застрахованных лиц (поля: Ф.И.О., дата рождения; дата смерти, прикрепление к медицинской организации, номер полиса), информационный ресурс территориального фонда в части сведений о лицах, состоящих под диспансерным наблюдением (гл. 15 Приказа 108н МЗ РФ) |
Детское население (от 0 до 17 лет включительно) | ||||
Оценка эффективности профилактических мероприятий | ||||
17. |
Охват вакцинацией детей в рамках Национального календаря прививок |
где: Vdнац - процент охвата вакцинацией детей в рамках Национального календаря прививок в отчетном периоде; Fdнац - фактическое число вакцинированных детей в рамках Национального календаря прививок в отчетном периоде; Pdнац - число детей соответствующего возраста (согласно Национальному календарю прививок) на начало отчетного периода |
Процент |
Источником информации являются данные органов государственной власти субъектов Российской Федерации в сфере охраны здоровья, предоставляемые на бумажных носителях |
18. |
Доля детей, в отношении которых установлено диспансерное наблюдение по поводу болезней костно-мышечной системы и соединительной ткани за период, от общего числа детей с впервые в жизни установленными диагнозами болезней костно-мышечной системы и соединительной ткани за период |
где: Ddkms - доля детей, в отношении которых установлено диспансерное наблюдение по поводу болезней костно-мышечной системы и соединительной ткани за период, от общего числа детей с впервые в жизни установленными диагнозами болезней костно-мышечной системы и соединительной ткани за период; Cdkms - число детей, в отношении которых установлено диспансерное наблюдение по поводу болезней костно-мышечной системы и соединительной ткани за период; Cpkms - общее число детей с впервые в жизни установленными диагнозами болезней костно-мышечной системы и соединительной ткани за период |
Процент |
Источником информации являются реестры оказанной медицинской помощи застрахованным лицам. Отбор информации для расчета показателей осуществляется по полям реестра: - дата рождения; - дата окончания лечения; - диагноз основной; - впервые выявлено (основной); - характер заболевания; - цель посещения |
19. |
Доля детей, в отношении которых установлено диспансерное наблюдение по поводу болезней глаза и его придаточного аппарата за период, от общего числа детей с впервые в жизни установленными диагнозами болезней глаза и его придаточного аппарата за период |
где: Ddgl - доля детей, в отношении которых установлено диспансерное наблюдение по поводу болезней глаза и его придаточного аппарата за период, от общего числа детей с впервые в жизни установленными диагнозами болезней глаза и его придаточного аппарата за период; Cdgl - число детей, в отношении которых установлено диспансерное наблюдение по поводу болезней глаза и его придаточного аппарата за период; Cpgl - общее число детей с впервые в жизни установленными диагнозами болезней глаза и его придаточного аппарата за период |
Процент |
Источником информации являются реестры оказанной медицинской помощи застрахованным лицам. Отбор информации для расчета показателей осуществляется по полям реестра: - дата рождения; - дата окончания лечения; - диагноз основной; - впервые выявлено (основной); - характер заболевания; - цель посещения |
20. |
Доля детей, в отношении которых установлено диспансерное наблюдение по поводу болезней органов пищеварения за период, от общего числа детей с впервые в жизни установленными диагнозами болезней органов пищеварения за период |
где: Dbop - доля детей, в отношении которых установлено диспансерное наблюдение по поводу болезней органов пищеварения за период, от общего числа детей с впервые в жизни установленными диагнозами болезней органов пищеварения за период; Cdbop - число детей, в отношении которых установлено диспансерное наблюдение по поводу болезней органов пищеварения за период; Cpbop - общее число детей с впервые в жизни установленными диагнозами болезней органов пищеварения за период |
Процент |
Источником информации являются реестры оказанной медицинской помощи застрахованным лицам. Отбор информации для расчета показателей осуществляется по полям реестра: - дата рождения; - дата окончания лечения; - диагноз основной; - впервые выявлено (основной); - характер заболевания; - цель посещения |
21. |
Доля детей, в отношении которых установлено диспансерное наблюдение по поводу болезней системы кровообращения за период от общего числа детей с впервые в жизни установленными диагнозами болезней системы кровообращения за период |
где: Ddbsk - доля детей, в отношении которых установлено диспансерное наблюдение по поводу болезней системы кровообращения за период, от общего числа детей с впервые в жизни установленными диагнозами болезней системы кровообращения за период; Cdbsk - число детей, в отношении которых установлено диспансерное наблюдение по поводу болезней системы кровообращения за период; Cpbsk - общее число детей с впервые в жизни установленными диагнозами болезней системы кровообращения за период |
Процент |
Источником информации являются реестры оказанной медицинской помощи застрахованным лицам. Отбор информации для расчета показателей осуществляется по полям реестра: - дата рождения; - дата окончания лечения; - диагноз основной; - впервые выявлено (основной); - характер заболевания; - цель посещения |
22. |
Доля детей, в отношении которых установлено диспансерное наблюдение по поводу болезней эндокринной системы, расстройства питания и нарушения обмена веществ за период, от общего числа детей с впервые в жизни установленными диагнозами болезней эндокринной системы, расстройства питания и нарушения обмена веществ за период |
где: Ddbes - доля детей, в отношении которых установлено диспансерное наблюдение по поводу болезней эндокринной системы, расстройства питания и нарушения обмена веществ за период, от общего числа детей с впервые в жизни установленными диагнозами болезней эндокринной системы, расстройства питания и нарушения обмена веществ за период; Cdbes - число детей, в отношении которых установлено диспансерное наблюдение по поводу болезней эндокринной системы, расстройства питания и нарушения обмена веществ за период; Cpbes - общее число детей с впервые в жизни установленными диагнозами болезней эндокринной системы, расстройства питания и нарушения обмена веществ за период |
Процент |
Источником информации являются реестры оказанной медицинской помощи застрахованным лицам. Отбор информации для расчета показателей осуществляется по полям реестра: - дата рождения; - дата окончания лечения; - диагноз основной; - впервые выявлено (основной); - характер заболевания; - цель посещения |
Оценка смертности | ||||
23. |
Смертность детей в возрасте 0 - 17 лет за период |
где: Dth 0 - 17 - смертность детей в возрасте 0 - 17 лет за период в медицинских организациях, имеющих прикрепленное население; D 0 - 17 - число умерших детей в возрасте 0 - 17 лет включительно среди прикрепленного населения за период; Nas 0 - 17 - численность прикрепленного населения детей в возрасте 0 - 17 лет включительно за период |
На 100 тыс. прикрепленного детского населения |
Источником информации является региональный сегмент единого регистра застрахованных лиц (поля: дата рождения; дата смерти, прикрепление к медицинской организации) |
Оказание акушерско-гинекологической помощи | ||||
Оценка эффективности профилактических мероприятий | ||||
24. |
Доля женщин, отказавшихся от искусственного прерывания беременности, от числа женщин, прошедших доабортное консультирование за период |
где: W - доля женщин, отказавшихся от искусственного прерывания беременности, от числа женщин, прошедших доабортное консультирование за период; Kотк - число женщин, отказавшихся от искусственного прерывания беременности; K - общее число женщин, прошедших доабортное консультирование за период |
Процент |
Источником информации являются данные органов государственной власти субъектов Российской Федерации в сфере охраны здоровья, предоставляемые на бумажных носителях |
25. |
Доля беременных женщин, вакцинированных от коронавирусной инфекции COVID-19 за период, от числа женщин, состоящих на учете по беременности и родам на начало периода |
где: Vbcovid - доля беременных женщин, вакцинированных от коронавирусной инфекции COVID-19 за период, от числа женщин, состоящих на учете по беременности и родам на начало периода; Fbcovid - фактическое число беременных женщин, вакцинированных от коронавирусной инфекции COVID-19 за период; Pbcovid - число женщин, состоящих на учете по беременности и родам на начало периода |
Процент |
Источником информации являются данные органов государственной власти субъектов Российской Федерации в сфере охраны здоровья, предоставляемые на бумажных носителях (Pbcovid), и данные федерального регистра вакцинированных (Fbcovid) |
26. |
Доля женщин с установленным диагнозом злокачественное новообразование шейки матки, выявленным впервые при диспансеризации, от общего числа женщин с установленным диагнозом злокачественное новообразование шейки матки за период |
где: Zшм - доля женщин с установленным диагнозом злокачественное новообразование шейки матки, выявленным впервые при диспансеризации, от общего числа женщин с установленным диагнозом злокачественное новообразование шейки матки за период; Aшм - число женщин с установленным диагнозом злокачественное новообразование шейки матки, выявленным впервые при диспансеризации; Vшм - общее число женщин с установленным диагнозом злокачественное новообразование шейки матки за период |
Процент |
Расчет показателя производится путем отбора информации по полям реестра формата Д3 "Файл со сведениями об оказанной медицинской помощи при диспансеризации", предусматривает поле реестра: - признак подозрения на злокачественное новообразование. В дальнейшем движение пациента возможно отследить по формату Д4. Файл со сведениями при осуществлении персонифицированного учета оказанной медицинской помощи при подозрении на злокачественное новообразование или установленном диагнозе злокачественного новообразования; - диагноз основной, - характер основного заболевания |
27. |
Доля женщин с установленным диагнозом злокачественное новообразование молочной железы, выявленным впервые при диспансеризации, от общего числа женщин с установленным диагнозом злокачественное новообразование молочной железы за период |
где: Zмж - доля женщин с установленным диагнозом злокачественное новообразование молочной железы, выявленным впервые при диспансеризации, от общего числа женщин с установленным диагнозом злокачественное новообразование молочной железы за период; Aмж - число женщин с установленным диагнозом злокачественное новообразование молочной железы, выявленным впервые при диспансеризации; Vмж - общее число женщин с установленным диагнозом злокачественное новообразование молочной железы за период |
Процент |
Расчет осуществляется путем отбора информации по полям реестра формата Д3 "Файл со сведениями об оказанной медицинской помощи при диспансеризации", предусматривает поле реестра: - признак подозрения на злокачественное новообразование. В дальнейшем движение пациента возможно отследить по формату Д4. Файл со сведениями при осуществлении персонифицированного учета оказанной медицинской помощи при подозрении на злокачественное новообразование или установленном диагнозе злокачественного новообразования - диагноз основной, - характер основного заболевания |
28. |
Доля беременных женщин, прошедших скрининг в части оценки антенатального развития плода за период, от общего числа женщин, состоявших на учете по поводу беременности и родов за период |
где: В - доля беременных женщин, прошедших скрининг в части оценки антенатального развития плода за период, от общего числа женщин, состоявших на учете по поводу беременности и родов за период; S - число беременных женщин, прошедших скрининг в части оценки антенатального развития плода при сроке беременности 11 - 14 недель (УЗИ и определение материнских сывороточных маркеров) и 19 - 21 неделя (УЗИ), с родоразрешением за период; U - общее число женщин, состоявших на учете по поводу беременности и родов за период, с родоразрешением за период |
Процент |
Источником информации являются данные органов государственной власти субъектов Российской Федерации в сфере охраны здоровья, предоставляемые на бумажных носителях |
".
Приложение N 4
к Дополнительному соглашению
от 17 февраля 2022 года
"Приложение N 11
к Тарифному соглашению в сфере
обязательного медицинского
страхования на территории
Республики Северная Осетия-Алания
от 30 декабря 2021 года
ПЕРЕЧЕНЬ КСГ, КОТОРЫЕ ПРЕДПОЛАГАЮТ
ХИРУРГИЧЕСКОЕ ВМЕШАТЕЛЬСТВО ИЛИ
ТРОМБОЛИТИЧЕСКУЮ ТЕРАПИЮ
N КСГ |
Наименование КСГ |
В стационарных условиях | |
st02.003 |
Родоразрешение |
st02.004 |
Кесарево сечение |
st02.010 |
Операции на женских половых органах (уровень 1) |
st02.011 |
Операции на женских половых органах (уровень 2) |
st02.012 |
Операции на женских половых органах (уровень 3) |
st02.013 |
Операции на женских половых органах (уровень 4) |
st09.001 |
Операции на мужских половых органах, дети (уровень 1) |
st09.002 |
Операции на мужских половых органах, дети (уровень 2) |
st09.003 |
Операции на мужских половых органах, дети (уровень 3) |
st09.004 |
Операции на мужских половых органах, дети (уровень 4) |
st09.005 |
Операции на почке и мочевыделительной системе, дети (уровень 1) |
st09.006 |
Операции на почке и мочевыделительной системе, дети (уровень 2) |
st09.007 |
Операции на почке и мочевыделительной системе, дети (уровень 3) |
st09.008 |
Операции на почке и мочевыделительной системе, дети (уровень 4) |
st09.009 |
Операции на почке и мочевыделительной системе, дети (уровень 5) |
st09.010 |
Операции на почке и мочевыделительной системе, дети (уровень 6) |
st10.001 |
Детская хирургия (уровень 1) |
st10.002 |
Детская хирургия (уровень 2) |
st10.003 |
Аппендэктомия, дети (уровень 1) |
st10.004 |
Аппендэктомия, дети (уровень 2) |
st10.005 |
Операции по поводу грыж, дети (уровень 1) |
st10.006 |
Операции по поводу грыж, дети (уровень 2) |
st10.007 |
Операции по поводу грыж, дети (уровень 3) |
st13.002 |
Нестабильная стенокардия, инфаркт миокарда, легочная эмболия (уровень 2) |
st13.005 |
Нарушения ритма и проводимости (уровень 2) |
st13.007 |
Эндокардит, миокардит, перикардит, кардиомиопатии (уровень 2) |
st13.008 |
Инфаркт миокарда, легочная эмболия, лечение с применением тромболитической терапии (уровень 1) |
st13.009 |
Инфаркт миокарда, легочная эмболия, лечение с применением тромболитической терапии (уровень 2) |
st13.010 |
Инфаркт миокарда, легочная эмболия, лечение с применением тромболитической терапии (уровень 3) |
st14.001 |
Операции на кишечнике и анальной области (уровень 1) |
st14.002 |
Операции на кишечнике и анальной области (уровень 2) |
st14.003 |
Операции на кишечнике и анальной области (уровень 3) |
st15.015 |
Инфаркт мозга (уровень 2) |
st15.016 |
Инфаркт мозга (уровень 3) |
st16.007 |
Операции на центральной нервной системе и головном мозге (уровень 1) |
st16.008 |
Операции на центральной нервной системе и головном мозге (уровень 2) |
st16.009 |
Операции на периферической нервной системе (уровень 1) |
st16.010 |
Операции на периферической нервной системе (уровень 2) |
st16.011 |
Операции на периферической нервной системе (уровень 3) |
st18.002 |
Формирование, имплантация, реконструкция, удаление, смена доступа для диализа |
st19.001 |
Операции на женских половых органах при злокачественных новообразованиях (уровень 1) |
st19.002 |
Операции на женских половых органах при злокачественных новообразованиях (уровень 2) |
st19.003 |
Операции на женских половых органах при злокачественных новообразованиях (уровень 3) |
st19.004 |
Операции на кишечнике и анальной области при злокачественных новообразованиях (уровень 1) |
st19.005 |
Операции на кишечнике и анальной области при злокачественных новообразованиях (уровень 2) |
st19.006 |
Операции при злокачественных новообразованиях почки и мочевыделительной системы (уровень 1) |
st19.007 |
Операции при злокачественных новообразованиях почки и мочевыделительной системы (уровень 2) |
st19.008 |
Операции при злокачественных новообразованиях почки и мочевыделительной системы (уровень 3) |
st19.009 |
Операции при злокачественных новообразованиях кожи (уровень 1) |
st19.010 |
Операции при злокачественных новообразованиях кожи (уровень 2) |
st19.011 |
Операции при злокачественных новообразованиях кожи (уровень 3) |
st19.012 |
Операции при злокачественном новообразовании щитовидной железы (уровень 1) |
st19.013 |
Операции при злокачественном новообразовании щитовидной железы (уровень 2) |
st19.014 |
Мастэктомия, другие операции при злокачественном новообразовании молочной железы (уровень 1) |
st19.015 |
Мастэктомия, другие операции при злокачественном новообразовании молочной железы (уровень 2) |
st19.016 |
Операции при злокачественном новообразовании желчного пузыря, желчных протоков (уровень 1) |
st19.017 |
Операции при злокачественном новообразовании желчного пузыря, желчных протоков (уровень 2) |
st19.018 |
Операции при злокачественном новообразовании пищевода, желудка (уровень 1) |
st19.019 |
Операции при злокачественном новообразовании пищевода, желудка (уровень 2) |
st19.020 |
Операции при злокачественном новообразовании пищевода, желудка (уровень 3) |
st19.021 |
Другие операции при злокачественном новообразовании брюшной полости |
st19.022 |
Операции на органе слуха, придаточных пазухах носа и верхних дыхательных путях при злокачественных новообразованиях |
st19.023 |
Операции на нижних дыхательных путях и легочной ткани при злокачественных новообразованиях (уровень 1) |
st19.024 |
Операции на нижних дыхательных путях и легочной ткани при злокачественных новообразованиях (уровень 2) |
st19.025 |
Операции при злокачественных новообразованиях мужских половых органов (уровень 1) |
st19.026 |
Операции при злокачественных новообразованиях мужских половых органов (уровень 2) |
st19.038 |
Установка, замена порт-системы (катетера) для лекарственной терапии злокачественных новообразований |
st19.104 |
Эвисцерация малого таза при лучевых повреждениях |
st20.005 |
Операции на органе слуха, придаточных пазухах носа и верхних дыхательных путях (уровень 1) |
st20.006 |
Операции на органе слуха, придаточных пазухах носа и верхних дыхательных путях (уровень 2) |
st20.007 |
Операции на органе слуха, придаточных пазухах носа и верхних дыхательных путях (уровень 3) |
st20.008 |
Операции на органе слуха, придаточных пазухах носа и верхних дыхательных путях (уровень 4) |
st20.009 |
Операции на органе слуха, придаточных пазухах носа и верхних дыхательных путях (уровень 5) |
st20.010 |
Замена речевого процессора |
st21.001 |
Операции на органе зрения (уровень 1) |
st21.002 |
Операции на органе зрения (уровень 2) |
st21.003 |
Операции на органе зрения (уровень 3) |
st21.004 |
Операции на органе зрения (уровень 4) |
st21.005 |
Операции на органе зрения (уровень 5) |
st21.006 |
Операции на органе зрения (уровень 6) |
st24.004 |
Ревматические болезни сердца (уровень 2) |
st25.004 |
Диагностическое обследование сердечно-сосудистой системы |
st25.005 |
Операции на сердце и коронарных сосудах (уровень 1) |
st25.006 |
Операции на сердце и коронарных сосудах (уровень 2) |
st25.007 |
Операции на сердце и коронарных сосудах (уровень 3) |
st25.008 |
Операции на сосудах (уровень 1) |
st25.009 |
Операции на сосудах (уровень 2) |
st25.010 |
Операции на сосудах (уровень 3) |
st25.011 |
Операции на сосудах (уровень 4) |
st25.012 |
Операции на сосудах (уровень 5) |
st27.007 |
Стенокардия (кроме нестабильной), хроническая ишемическая болезнь сердца (уровень 2) |
st27.009 |
Другие болезни сердца (уровень 2) |
st28.002 |
Операции на нижних дыхательных путях и легочной ткани, органах средостения (уровень 1) |
st28.003 |
Операции на нижних дыхательных путях и легочной ткани, органах средостения (уровень 2) |
st28.004 |
Операции на нижних дыхательных путях и легочной ткани, органах средостения (уровень 3) |
st28.005 |
Операции на нижних дыхательных путях и легочной ткани, органах средостения (уровень 4) |
st29.007 |
Тяжелая множественная и сочетанная травма (политравма) |
st29.008 |
Эндопротезирование суставов |
st29.009 |
Операции на костно-мышечной системе и суставах (уровень 1) |
st29.010 |
Операции на костно-мышечной системе и суставах (уровень 2) |
st29.011 |
Операции на костно-мышечной системе и суставах (уровень 3) |
st29.012 |
Операции на костно-мышечной системе и суставах (уровень 4) |
st29.013 |
Операции на костно-мышечной системе и суставах (уровень 5) |
st30.006 |
Операции на мужских половых органах, взрослые (уровень 1) |
st30.007 |
Операции на мужских половых органах, взрослые (уровень 2) |
st30.008 |
Операции на мужских половых органах, взрослые (уровень 3) |
st30.009 |
Операции на мужских половых органах, взрослые (уровень 4) |
st30.010 |
Операции на почке и мочевыделительной системе, взрослые (уровень 1) |
st30.011 |
Операции на почке и мочевыделительной системе, взрослые (уровень 2) |
st30.012 |
Операции на почке и мочевыделительной системе, взрослые (уровень 3) |
st30.013 |
Операции на почке и мочевыделительной системе, взрослые (уровень 4) |
st30.014 |
Операции на почке и мочевыделительной системе, взрослые (уровень 5) |
st30.015 |
Операции на почке и мочевыделительной системе, взрослые (уровень 6) |
st31.002 |
Операции на коже, подкожной клетчатке, придатках кожи (уровень 1) |
st31.003 |
Операции на коже, подкожной клетчатке, придатках кожи (уровень 2) |
st31.004 |
Операции на коже, подкожной клетчатке, придатках кожи (уровень 3) |
st31.005 |
Операции на коже, подкожной клетчатке, придатках кожи (уровень 4) |
st31.006 |
Операции на органах кроветворения и иммунной системы (уровень 1) |
st31.007 |
Операции на органах кроветворения и иммунной системы (уровень 2) |
st31.008 |
Операции на органах кроветворения и иммунной системы (уровень 3) |
st31.009 |
Операции на эндокринных железах кроме гипофиза (уровень 1) |
st31.010 |
Операции на эндокринных железах кроме гипофиза (уровень 2) |
st31.015 |
Остеомиелит (уровень 3) |
st31.019 |
Операции на молочной железе (кроме злокачественных новообразований) |
st32.001 |
Операции на желчном пузыре и желчевыводящих путях (уровень 1) |
st32.002 |
Операции на желчном пузыре и желчевыводящих путях (уровень 2) |
st32.003 |
Операции на желчном пузыре и желчевыводящих путях (уровень 3) |
st32.004 |
Операции на желчном пузыре и желчевыводящих путях (уровень 4) |
st32.005 |
Операции на печени и поджелудочной железе (уровень 1) |
st32.006 |
Операции на печени и поджелудочной железе (уровень 2) |
st32.007 |
Панкреатит, хирургическое лечение |
st32.008 |
Операции на пищеводе, желудке, двенадцатиперстной кишке (уровень 1) |
st32.009 |
Операции на пищеводе, желудке, двенадцатиперстной кишке (уровень 2) |
st32.010 |
Операции на пищеводе, желудке, двенадцатиперстной кишке (уровень 3) |
st32.011 |
Аппендэктомия, взрослые (уровень 1) |
st32.012 |
Аппендэктомия, взрослые (уровень 2) |
st32.013 |
Операции по поводу грыж, взрослые (уровень 1) |
st32.014 |
Операции по поводу грыж, взрослые (уровень 2) |
st32.015 |
Операции по поводу грыж, взрослые (уровень 3) |
st32.019 |
Операции по поводу грыж, взрослые (уровень 4) |
st32.016 |
Другие операции на органах брюшной полости (уровень 1) |
st32.017 |
Другие операции на органах брюшной полости (уровень 2) |
st32.018 |
Другие операции на органах брюшной полости (уровень 3) |
st34.002 |
Операции на органах полости рта (уровень 1) |
st34.003 |
Операции на органах полости рта (уровень 2) |
st34.004 |
Операции на органах полости рта (уровень 3) |
st34.005 |
Операции на органах полости рта (уровень 4) |
st36.009 |
Реинфузия аутокрови |
st36.010 |
Баллонная внутриаортальная контрпульсация |
st36.011 |
Экстракорпоральная мембранная оксигенация |
В условиях дневного стационара | |
ds02.006 |
Искусственное прерывание беременности (аборт) |
ds02.003 |
Операции на женских половых органах (уровень 1) |
ds02.004 |
Операции на женских половых органах (уровень 2) |
ds09.001 |
Операции на мужских половых органах, дети |
ds09.002 |
Операции на почке и мочевыделительной системе, дети |
ds10.001 |
Операции по поводу грыж, дети |
ds13.002 |
Болезни системы кровообращения с применением инвазивных методов |
ds14.001 |
Операции на кишечнике и анальной области (уровень 1) |
ds14.002 |
Операции на кишечнике и анальной области (уровень 2) |
ds16.002 |
Операции на периферической нервной системе |
ds18.003 |
Формирование, имплантация, удаление, смена доступа для диализа |
ds19.016 |
Операции при злокачественных новообразованиях кожи (уровень 1) |
ds19.017 |
Операции при злокачественных новообразованиях кожи (уровень 2) |
ds19.028 |
Установка, замена порт-системы (катетера) для лекарственной терапии злокачественных новообразований |
ds20.002 |
Операции на органе слуха, придаточных пазухах носа и верхних дыхательных путях (уровень 1) |
ds20.003 |
Операции на органе слуха, придаточных пазухах носа и верхних дыхательных путях (уровень 2) |
ds20.004 |
Операции на органе слуха, придаточных пазухах носа и верхних дыхательных путях (уровень 3) |
ds20.005 |
Операции на органе слуха, придаточных пазухах носа и верхних дыхательных путях (уровень 4) |
ds20.006 |
Замена речевого процессора |
ds21.002 |
Операции на органе зрения (уровень 1) |
ds21.003 |
Операции на органе зрения (уровень 2) |
ds21.004 |
Операции на органе зрения (уровень 3) |
ds21.005 |
Операции на органе зрения (уровень 4) |
ds21.006 |
Операции на органе зрения (уровень 5) |
ds25.001 |
Диагностическое обследование сердечно-сосудистой системы |
ds25.002 |
Операции на сосудах (уровень 1) |
ds25.003 |
Операции на сосудах (уровень 2) |
ds28.001 |
Операции на нижних дыхательных путях и легочной ткани, органах средостения |
ds29.001 |
Операции на костно-мышечной системе и суставах (уровень 1) |
ds29.002 |
Операции на костно-мышечной системе и суставах (уровень 2) |
ds29.003 |
Операции на костно-мышечной системе и суставах (уровень 3) |
ds30.002 |
Операции на мужских половых органах, взрослые (уровень 1) |
ds30.003 |
Операции на мужских половых органах, взрослые (уровень 2) |
ds30.004 |
Операции на почке и мочевыделительной системе, взрослые (уровень 1) |
ds30.005 |
Операции на почке и мочевыделительной системе, взрослые (уровень 2) |
ds30.006 |
Операции на почке и мочевыделительной системе, взрослые (уровень 3) |
ds31.002 |
Операции на коже, подкожной клетчатке, придатках кожи (уровень 1) |
ds31.003 |
Операции на коже, подкожной клетчатке, придатках кожи (уровень 2) |
ds31.004 |
Операции на коже, подкожной клетчатке, придатках кожи (уровень 3) |
ds31.005 |
Операции на органах кроветворения и иммунной системы |
ds31.006 |
Операции на молочной железе |
ds32.001 |
Операции на пищеводе, желудке, двенадцатиперстной кишке (уровень 1) |
ds32.002 |
Операции на пищеводе, желудке, двенадцатиперстной кишке (уровень 2) |
ds32.003 |
Операции по поводу грыж, взрослые (уровень 1) |
ds32.004 |
Операции по поводу грыж, взрослые (уровень 2) |
ds32.005 |
Операции по поводу грыж, взрослые (уровень 3) |
ds32.006 |
Операции на желчном пузыре и желчевыводящих путях |
ds32.007 |
Другие операции на органах брюшной полости (уровень 1) |
ds32.008 |
Другие операции на органах брюшной полости (уровень 2) |
ds34.002 |
Операции на органах полости рта (уровень 1) |
ds34.003 |
Операции на органах полости рта (уровень 2) |
".
Приложение N 5
к Дополнительному соглашению
от 17 февраля 2022 года
"Приложение N 29 (29.1)
к Тарифному соглашению в сфере
обязательного медицинского
страхования на территории
Республики Северная Осетия-Алания
от 30 декабря 2021 года
БАЗОВЫЕ ТАРИФЫ НА ОПЛАТУ УСЛУГ ДИАЛИЗА
Код |
Наименование услуги (КСГ) |
Условия оказания |
Стоимость (руб.) |
A18.05.002 |
Гемодиализ |
стационарно, дневной стационар, амбулаторно |
4 473,30 |
A18.30.001 |
Перитонеальный диализ |
стационарно, дневной стационар, амбулаторно |
3 328,62 |
Приложение N 29 (29.2)
к Тарифному соглашению в сфере
обязательного медицинского
страхования на территории
Республики Северная Осетия-Алания
от 30 декабря 2021 года
КОЭФФИЦИЕНТЫ ОТНОСИТЕЛЬНОЙ
ЗАТРАТОЕМКОСТИ К БАЗОВЫМ ТАРИФАМ НА
ОПЛАТУ ДИАЛИЗА И СТОИМОСТЬ УСЛУГ
ДИАЛИЗА
N |
Код |
Наименование услуги (КСГ) |
Условия оказания |
Единица оплаты |
Коэффициент относительной затратоемкости |
Стоимость единицы (руб.) |
1 |
A18.05.002; A18.05.002.002 |
Гемодиализ; Гемодиализ интермиттирующий низкопоточный |
стационарно, дневной стационар, амбулаторно |
амбулаторно - услуга; стационарно, дневной стационар - по КСГ |
1,00 |
4 473,30 |
2 |
A18.05.002.001 |
Гемодиализ интермиттирующий высокопоточный |
стационарно, дневной стационар, амбулаторно |
амбулаторно - услуга; стационарно, дневной стационар - по КСГ |
1,05 |
4 696,97 |
3 |
A18.05.011 |
Гемодиафильтрация |
стационарно, дневной стационар, амбулаторно |
амбулаторно - услуга; стационарно, дневной стационар - по КСГ |
1,08 |
4 831,16 |
4 |
A18.05.004 |
Ультрафильтрация крови |
стационарно |
по КСГ |
0,92 |
4 115,44 |
5 |
A18.05.002.003 |
Гемодиализ интермиттирующий продленный |
стационарно |
по КСГ |
2,76 |
12 346,31 |
6 |
A18.05.003 |
Гемофильтрация крови |
стационарно |
по КСГ |
2,88 |
12 883,10 |
7 |
A18.05.004.001 |
Ультрафильтрация продленная |
стационарно |
по КСГ |
2,51 |
11 227,98 |
8 |
A18.05.011.001 |
Гемодиафильтрация продленная |
стационарно |
по КСГ |
3,01 |
13 464,63 |
9 |
A18.05.002.005 |
Гемодиализ продолжительный |
стационарно |
по КСГ (сутки) |
5,23 |
23 395,36 |
10 |
A18.05.003.002 |
Гемофильтрация крови продолжительная |
стационарно |
по КСГ (сутки) |
5,48 |
24 513,68 |
11 |
A18.05.011.002 |
Гемодиафильтрация продолжительная |
стационарно |
по КСГ (сутки) |
5,73 |
25 632,01 |
12 |
A18.30.001 |
Перитонеальный диализ |
стационарно, дневной стационар, амбулаторно |
амбулаторно - услуга; стационарно, дневной стационар - по КСГ (день обмена) |
1,00 |
3 328,62 |
13 |
A18.30.001.001 |
Перитонеальный диализ проточный |
стационарно |
по КСГ (день обмена) |
4,92 |
16 376,81 |
14 |
A18.30.001.002 |
Перитонеальный диализ с использованием автоматизированных технологий |
стационарно, дневной стационар, амбулаторно |
амбулаторно - услуга; стационарно, дневной стационар - по КСГ (день обмена) |
1,24 |
4 127,49 |
15 |
A18.30.001.003 |
Перитонеальный диализ при нарушении ультрафильтрации |
стационарно, дневной стационар, амбулаторно |
амбулаторно - услуга; стационарно, дневной стационар - по КСГ (день обмена) |
1,09 |
3 628,20 |
".
Приложение N 6
к Дополнительному соглашению
от 17 февраля 2022 года
"Приложение N 20
к Тарифному соглашению в сфере
обязательного медицинского
страхования на территории
Республики Северная Осетия-Алания
от 30 декабря 2021 года
ФАКТИЧЕСКИЕ ДИФФЕРЕНЦИРОВАННЫЕ
ПОДУШЕВЫЕ НОРМАТИВЫ ФИНАНСИРОВАНИЯ
МЕДИЦИНСКОЙ ПОМОЩИ, ОКАЗЫВАЕМОЙ В
АМБУЛАТОРНЫХ УСЛОВИЯХ, В РАЗРЕЗЕ
МЕДИЦИНСКИХ ОРГАНИЗАЦИЙ*
* Поправочный коэффициент,
используемый при расчете фактических
дифференцированных подушевых
нормативов - 0,96346867754".
Код МО |
Наименование медицинской организации |
Фактический дифференцированный подушевой норматив финансирования из расчета в месяц (руб.) |
150 007 |
ГБУЗ "Алагирская центральная районная больница" МЗ РСО-А |
376,92 |
150 009 |
ГБУЗ "Ардонская центральная районная больница" МЗ РСО-А |
368,21 |
150 010 |
ГБУЗ "Ирафская центральная районная больница" МЗ РСО-А |
385,44 |
150 012 |
ГБУЗ "Кировская центральная районная больница" МЗ РСО-А |
368,78 |
150 013 |
ЧУЗ "Клиническая больница "РЖД-Медицина" г. Владикавказ |
213,42 |
150 014 |
ГБУЗ "Правобережная центральная районная клиническая больница" МЗ РСО-А |
361,23 |
150 016 |
ГБУЗ "Пригородная центральная районная больница" МЗ РСО-А |
316,46 |
150 019 |
ГБУЗ "Дигорская центральная районная больница" МЗ РСО-А |
396,44 |
150 020 |
ГБУЗ "Республиканский центр пульмонологической помощи" МЗ РСО-А |
245,78 |
150 035 |
ГБУЗ "Поликлиника N 1" МЗ РСО-А |
244,44 |
150 036 |
ГБУЗ "Поликлиника N 4" МЗ РСО-А |
241,73 |
150 041 |
ГБУЗ "Поликлиника N 7" МЗ РСО-А |
294,80 |
150 042 |
ГБУЗ "Детская поликлиника N 1" МЗ РСО-А |
420,71 |
150 043 |
ГБУЗ "Детская поликлиника N 2" МЗ РСО-А |
432,20 |
150 044 |
ГБУЗ "Детская поликлиника N 3" МЗ РСО-А |
418,69 |
150 045 |
ГБУЗ "Детская поликлиника N 4" МЗ РСО-А |
418,74 |
150 048 |
ФКУЗ "МСЧ МВД России по Республике Северная Осетия-Алания" |
211,04 |
150 112 |
ГБУЗ "Моздокская центральная районная больница" МЗ РСО-А |
327,97 |
Приложение N 7
к Дополнительному соглашению
от 17 февраля 2022 года
"Приложение N 35
к Тарифному соглашению в сфере
обязательного медицинского
страхования на территории
Республики Северная Осетия-Алания
от 30 декабря 2021 года
НОРМАТИВЫ ФИНАНСОВЫХ ЗАТРАТ НА ЕДИНИЦУ
ОБЪЕМА ПРЕДОСТАВЛЕНИЯ
ВЫСОКОТЕХНОЛОГИЧНОЙ МЕДИЦИНСКОЙ ПОМОЩИ
И ДОЛИ ЗАРАБОТНОЙ ПЛАТЫ В СТРУКТУРЕ
ЗАТРАТ НА ОКАЗАНИЕ ВЫСОКОТЕХНОЛОГИЧНОЙ
МЕДИЦИНСКОЙ ПОМОЩИ
N группы ВМП |
Наименование профиля ВМП |
Норматив финансовых затрат <*> (рублей) |
Доля заработной платы в структуре затрат на оказание ВМП |
1 |
Абдоминальная хирургия |
183 220,00 |
20% |
2 |
Абдоминальная хирургия |
197 430,00 |
26% |
3 |
Акушерство и гинекология |
140 950,00 |
33% |
4 |
Акушерство и гинекология |
213 926,00 |
39% |
5 |
Гастроэнтерология |
147 167,00 |
22% |
6 |
Гематология |
165 043,00 |
30% |
7 |
Гематология |
486 857,00 |
7% |
8 |
Детская хирургия в период новорожденности |
288 325,00 |
50% |
9 |
Дерматовенерология |
111 682,00 |
33% |
10 |
Комбустиология |
588 006,00 |
48% |
11 |
Комбустиология |
1 727 408,00 |
28% |
12 |
Нейрохирургия |
178 584,00 |
25% |
13 |
Нейрохирургия |
273 382,00 |
20% |
14 |
Нейрохирургия |
175 049,00 |
17% |
15 |
Нейрохирургия |
251 526,00 |
17% |
16 |
Нейрохирургия |
323 292,00 |
37% |
17 |
Нейрохирургия |
435 911,00 |
28% |
18 |
Неонатология |
274 915,00 |
21% |
19 |
Неонатология |
557 944,00 |
30% |
20 |
Онкология |
129 674,00 |
31% |
21 |
Онкология |
109 760,00 |
54% |
22 |
Онкология |
148 979,00 |
36% |
23 |
Онкология |
79 133,00 |
37% |
24 |
Онкология |
179 200,00 |
35% |
25 |
Онкология |
238 628,00 |
34% |
26 |
Оториноларингология |
125 148,00 |
26% |
27 |
Оториноларингология |
74 361,00 |
20% |
28 |
Оториноларингология |
141 913,00 |
44% |
29 |
Офтальмология |
66 827,00 |
35% |
30 |
Офтальмология |
97 128,00 |
34% |
31 |
Педиатрия |
91 597,00 |
38% |
32 |
Педиатрия |
189 953,00 |
22% |
33 |
Педиатрия |
108 829,00 |
33% |
34 |
Педиатрия |
188 421,00 |
21% |
35 |
Ревматология |
145 824,00 |
35% |
36 |
Сердечно-сосудистая хирургия |
174 486,00 |
56% |
37 |
Сердечно-сосудистая хирургия |
202 459,00 |
49% |
38 |
Сердечно-сосудистая хирургия |
230 306,00 |
43% |
39 |
Сердечно-сосудистая хирургия |
129 807,00 |
54% |
40 |
Сердечно-сосудистая хирургия |
157 820,00 |
45% |
41 |
Сердечно-сосудистая хирургия |
197 915,00 |
34% |
42 |
Сердечно-сосудистая хирургия |
168 713,00 |
47% |
43 |
Сердечно-сосудистая хирургия |
332 100,00 |
24% |
44 |
Сердечно-сосудистая хирургия |
153 406,00 |
17% |
45 |
Сердечно-сосудистая хирургия |
286 357,00 |
15% |
46 |
Сердечно-сосудистая хирургия |
226 969,00 |
37% |
47 |
Сердечно-сосудистая хирургия |
728 621,00 |
16% |
48 |
Сердечно-сосудистая хирургия |
391 235,00 |
52% |
49 |
Торакальная хирургия |
158 228,00 |
18% |
50 |
Торакальная хирургия |
275 902,00 |
15% |
51 |
Травматология и ортопедия |
147 997,00 |
24% |
52 |
Травматология и ортопедия |
301 262,00 |
32% |
53 |
Травматология и ортопедия |
155 588,00 |
30% |
54 |
Травматология и ортопедия |
231 623,00 |
44% |
55 |
Травматология и ортопедия |
375 694,00 |
9% |
56 |
Урология |
104 412,00 |
28% |
57 |
Урология |
153 768,00 |
32% |
58 |
Челюстно-лицевая хирургия |
136 055,00 |
31% |
59 |
Эндокринология |
205 270,00 |
17% |
60 |
Эндокринология |
112 967,00 |
32% |
* Нормативы финансовых затрат на
единицу объема предоставления
медицинской помощи включают в себя
расходы на заработную плату, начисления
на оплату труда, прочие выплаты,
приобретение лекарственных средств,
расходных материалов, продуктов питания,
мягкого инвентаря, медицинского
инструментария, реактивов и химикатов,
прочих материальных запасов, расходы на
оплату стоимости лабораторных и
инструментальных исследований,
проводимых в других учреждениях (при
отсутствии в медицинской организации
лаборатории и диагностического
оборудования), организации питания (при
отсутствии организованного питания в
медицинской организации), расходы на
оплату услуг связи, транспортных услуг,
коммунальных услуг, работ и услуг по
содержанию имущества, расходы на
арендную плату за пользование
имуществом, оплату программного
обеспечения и прочих услуг, социальное
обеспечение работников медицинских
организаций, установленное
законодательством Российской Федерации,
прочие расходы, расходы на приобретение
основных средств.".
Приложение N 8
к Дополнительному соглашению
от 17 февраля 2022 года
"Приложение N 40
к Тарифному соглашению в сфере
обязательного медицинского
страхования на территории
Республики Северная Осетия-Алания
от 30 декабря 2021 года
БАЗОВЫЙ ПОДУШЕВОЙ НОРМАТИВ
ФИНАНСИРОВАНИЯ СКОРОЙ МЕДИЦИНСКОЙ
ПОМОЩИ, ОКАЗЫВАЕМОЙ ВНЕ МЕДИЦИНСКОЙ
ОРГАНИЗАЦИИ
Наименование показателя |
Стоимость из расчета в месяц (рублей) |
Стоимость из расчета в год (рублей) |
Базовый подушевой норматив финансирования скорой медицинской помощи |
67,39 |
741,27 |
".
Приложение N 9
к Дополнительному соглашению
от 17 февраля 2022 года
"Приложение N 42
к Тарифному соглашению в сфере
обязательного медицинского
страхования на территории
Республики Северная Осетия-Алания
от 30 декабря 2021 года
ДИФФЕРЕНЦИРОВАННЫЕ ПОДУШЕВЫЕ НОРМАТИВЫ
ФИНАНСИРОВАНИЯ СКОРОЙ МЕДИЦИНСКОЙ
ПОМОЩИ
Код МО |
Наименование медицинской организации |
Дифференцированный подушевой норматив финансирования из расчета в месяц (рублей) |
150 003 |
ГБУЗ "Республиканская клиническая больница скорой медицинской помощи" МЗ РСО-А |
67,39 |
".
Приложение N 10
к Дополнительному соглашению
от 17 февраля 2022 года
"Приложение N 48
к Тарифному соглашению в сфере
обязательного медицинского
страхования на территории
Республики Северная Осетия-Алания
от 30 декабря 2021 года
ТАРИФЫ НА ПРОВЕДЕНИЕ УГЛУБЛЕННОЙ
ДИСПАНСЕРИЗАЦИИ
1. Тарифы на оплату комплексного
посещения при проведении I этапа
углубленной диспансеризации
Вид тарифа |
Коды услуг |
Исследования и медицинские вмешательства |
Стоимость исследования |
Стоимость комплексного посещения |
Комплексное посещение |
A12.09.005 |
измерение насыщения крови кислородом (сатурация) в покое |
25,98 |
786,05 |
|
A12.09.001 |
проведение спирометрии или спирографии |
134,20 |
|
|
B03.016.003 |
общий (клинический) анализ крови развернутый |
96,40 |
|
|
B03.016.004 |
биохимический анализ крови (включая исследование уровня холестерина, уровня липопротеинов низкой плотности, C-реактивного белка, определение активности аланинаминотрансферазы в крови, определение активности аспартатаминотрансферазы в крови, определение активности лактатдегидрогеназы в крови, исследование уровня креатинина в крови) |
529,47 |
|
2. Тарифы на оплату исследований и
медицинских вмешательств при проведении
I этапа углубленной диспансеризации
Вид тарифа |
Коды услуг |
Исследования и медицинские вмешательства |
Стоимость исследования |
за единицу объема оказания медицинской помощи |
A23.30.023 |
проведение теста с 6-минутной ходьбой |
64,91 |
за единицу объема оказания медицинской помощи в |
A09.05.051.001 |
определение концентрации Д-димера в крови |
453,66 |
3. Тарифы на оплату исследований и
медицинских вмешательств при проведении
II этапа углубленной диспансеризации
Вид тарифа |
Коды услуг |
Исследования и медицинские вмешательства |
Стоимость исследования |
за единицу объема оказания медицинской помощи в |
A04.10.002 |
проведение эхокардиографии |
1 480,40 |
за единицу объема оказания медицинской помощи в |
A06.09.005 |
проведение компьютерной томографии легких |
1 153,10 |
за единицу объема оказания медицинской помощи в |
A04.12.006.002 |
проведение дуплексного сканирования вен нижних конечностей |
1 233,60 |
".




