АДМИНИСТРАЦИЯ КОСТРОМСКОЙ ОБЛАСТИ
ПОСТАНОВЛЕНИЕ
от 25 сентября 2021 года N 425-а
О внесении изменений в постановление
администрации Костромской области от
12.04.2021 N 169-а
В целях уточнения целей и условий
предоставления субсидий на иные цели
бюджетным учреждениям Костромской
области, в отношении которых департамент
здравоохранения Костромской области
осуществляет функции и полномочия
учредителя, администрация Костромской
области постановляет:
1. Внести в порядок определения
объема и условий предоставления из
областного бюджета субсидий на иные цели
бюджетным учреждениям Костромской
области, в отношении которых департамент
здравоохранения Костромской области
осуществляет функции и полномочия
учредителя (приложение), утвержденный
постановлением администрации
Костромской области от 12 апреля 2021 года N
169-а "Об утверждении порядка определения
объема и условий предоставления из
областного бюджета субсидий на иные цели
бюджетным учреждениям Костромской
области, в отношении которых департамент
здравоохранения Костромской области
осуществляет функции и полномочия
учредителя" (в редакции постановления
администрации Костромской области от
12.07.2021 N 296-а), следующие изменения:
1) в пункте 2:
подпункт 2 изложить в следующей
редакции:
"2) исполнения вступивших в законную
силу судебных актов по обязательствам
учреждений в рамках основной
деятельности, не связанной с оказанием
услуг в системе обязательного
медицинского страхования и
осуществлением приносящей доход
деятельности, а также оплаты судебных
издержек, связанных с невыполнением
обязательств учредителей в рамках
соглашений о порядке и условиях
предоставления субсидии на цели, не
связанные с выполнением
государственного задания;";
подпункт 19 дополнить словами
"социально ориентированных
некоммерческих организаций;";
дополнить подпунктами 29-31
следующего содержания:
"29) приобретения мебели и
медицинского оборудования при вводе в
эксплуатацию центров амбулаторной
онкологической помощи окружных больниц;
30) осуществления расходов,
связанных с обеспечением выплат
ежемесячного денежного вознаграждения
за классное руководство (кураторство)
педагогическим работникам
государственных образовательных
организаций Костромской области,
реализующих образовательные программы
среднего профессионального образования,
в том числе программы профессионального
обучения для лиц с ограниченными
возможностями здоровья;
31) осуществления расходов,
связанных с обеспечением в 2021 году
выплат стимулирующего характера за
дополнительную нагрузку медицинским
работникам, участвующим в проведении
вакцинации взрослого населения с 27
августа по 31 декабря 2021 года
включительно против новой
коронавирусной инфекции, и расходов,
связанных с оплатой отпусков и выплатой
компенсации за неиспользованные отпуска
медицинским работникам, которым
предоставлялись указанные
стимулирующие выплаты, за счет средств
областного бюджета, в том числе иного
межбюджетного трансферта из
федерального бюджета областному бюджету
на указанные цели.";
2) в пункте 4:
подпункт 3 изложить в следующей
редакции:
"3) копии исполнения вступивших в
законную силу судебных актов по
обязательствам учреждений в рамках
основной деятельности, не связанной с
оказанием услуг в системе обязательного
медицинского страхования и
осуществлением приносящей доход
деятельности, а также решения судебных
органов (судебного акта) о необходимости
возмещения судебных издержек
учреждения, связанных с невыполнением
обязательств учредителей в рамках
соглашений с учреждением, в случае
предоставления субсидии на цели,
указанные в подпункте 2 пункта 2
настоящего Порядка;";
в подпункте 5 слова "в подпункте 4
пункта 2 настоящего Порядка" заменить
словами "в подпунктах 4, 29 пункта 2
настоящего Порядка";
в подпункте 9 слова "в подпунктах 9-10
пункта 2 настоящего Порядка" заменить
словами "в подпунктах 9, 10, 30 пункта 2
настоящего Порядка";
дополнить подпунктом 21 следующего
содержания:
"21) расчета расходов, связанных с
обеспечением в 2021 году выплат
стимулирующего характера за
дополнительную нагрузку медицинским
работникам, участвующим в проведении
вакцинации взрослого населения с 27
августа по 31 декабря 2021 года
включительно против новой
коронавирусной инфекции, и расходов,
связанных с оплатой отпусков и выплатой
компенсации за неиспользованные отпуска
медицинским работникам, которым
предоставлялись указанные
стимулирующие выплаты, за счет средств
областного бюджета, в том числе иного
межбюджетного трансферта из
федерального бюджета областному бюджету
на указанные цели, указанные в подпункте
31 пункта 2 настоящего Порядка.";
3) в пункте 8:
абзац третий подпункта 2 изложить в
следующей редакции:
"где Ri - сумма исполнения
обязательств, судебных издержек,
указанная в i-м решении судебного органа,
в рублях, с точностью до двух знаков
после запятой;";
подпункт 4 изложить в следующей
редакции:
"4) в случае предоставления субсидии
на цели, указанные в подпунктах 4, 7, 8, 29
пункта 2 настоящего Порядка, размер
субсидии (Si, в рублях, с точностью до двух
знаков после запятой) определяется по
формуле:
где Pi - количество планируемого к
приобретению i-го вида имущества
(основного средства, медицинского
оборудования, мебели);
Qi - цена планируемого к
приобретению i-го вида имущества
(основного средства, медицинского
оборудования, мебели), определяемая в
соответствии со статьей 22 Федерального
закона от 5 апреля 2013 года N 44-ФЗ "О
контрактной системе в сфере закупок
товаров, работ, услуг для обеспечения
государственных и муниципальных нужд" и
иными нормативными правовыми актами
Правительства Российской Федерации,
администрации Костромской области;";
в подпункте 6 слова "в соответствии
с подпунктами 9 и 10 пункта 2 настоящего
Порядка" заменить словами "в
соответствии с подпунктами 9, 10, 30 пункта 2
настоящего Порядка";
дополнить подпунктом 9 следующего
содержания:
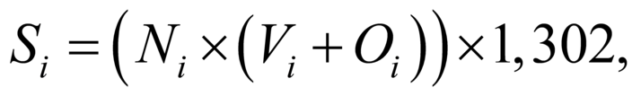
"9) в случае предоставления субсидии
на цели, указанные в подпункте 31 пункта 2
настоящего Порядка, размер субсидий на
иные цели i-й медицинской организации (Si)
определяется по формуле:
где Ni - количество населения,
планируемого к вакцинации в i-й
медицинской организации с 27 августа по 31
декабря 2021 года включительно, человек;
Vi - совокупный размер материального
стимулирования медицинских работников
за одного вакцинированного в i-й
медицинской организации, равный 200
рублям;
Oi - сумма средств, необходимых на
оплату ежегодного отпуска и выплату
компенсации за неиспользованные отпуска
в части суммы средств, предусмотренных
на материальное стимулирование i-й
медицинской организации медицинских
работников за одного вакцинированного;
1,302 - коэффициент, отражающий размер
начислений на выплаты по оплате труда.
Сумма средств, необходимых на
оплату ежегодного отпуска и выплату
компенсации за неиспользованные отпуска
в части суммы средств, предусмотренных
на материальное стимулирование
медицинских работников за одного
вакцинированного (Oi) в i-й медицинской
организации, рассчитывается по формуле:
где 12 - количество месяцев, которое
используется для расчета среднего
дневного заработка для оплаты отпусков и
выплаты компенсации за неиспользованные
отпуска медицинским работникам в
соответствии с Постановлением
Правительства Российской Федерации от 24
декабря 2007 года N 922 "Об особенностях
порядка исчисления средней заработной
платы";
29,3 - среднемесячное число
календарных дней, которое используется
для расчета среднего дневного заработка
для оплаты отпусков и выплаты
компенсации за неиспользованные отпуска
в соответствии с Постановлением
Правительства Российской Федерации от 24
декабря 2007 года N 922 "Об особенностях
порядка исчисления средней заработной
платы";
ki - среднее количество календарных
дней отпуска медицинских работников в i-й
медицинской организации с учетом
ежегодного дополнительного
оплачиваемого отпуска за работу с
вредными и (или) опасными условиями труда
и ежегодного дополнительного
оплачиваемого отпуска за работу в
местностях с особыми климатическими
условиями";
4) пункт 11 дополнить подпунктом 18
следующего содержания:
"18) для субсидии, предусмотренной
подпунктом 29 пункта 2 настоящего Порядка,
- количество приобретенной мебели и
медицинского оборудования в центры
амбулаторной онкологической помощи
окружных больниц.".
2. Настоящее постановление вступает
в силу со дня его официального
опубликования.
Губернатор
Костромской области
С.СИТНИКОВ
- О внесении изменений в постановление администрации Костромской области от 12.04.2021 N 169-а
- Об утверждении порядка определения объема и условий предоставления из областного бюджета субсидий на иные цели бюджетным учреждениям Костромской области, в отношении которых департамент здравоохранения Костромской области осуществляет функции и полномочия учредителя (с изменениями на 23 июня 2025 года)




