Тарифное соглашение в сфере
обязательного медицинского страхования
Республики Калмыкия на 2020 год
от 9 января 2020 года
Элиста
(с
изменениями на 20 октября 2020 года)
(в ред. Дополнительных соглашений ФОМС
Республики Калмыкия от 11.02.2020 N 1, от 19.03.2020
N 2, от 27.03.2020 N 3, от 01.04.2020 N 4, от 12.05.2020 N 5, от
20.05.2020 N 6, от 24.07.2020 N 7, от 31.07.2020 N 8, от 17.08.2020 N
9, от 14.09.2020 N 10, от 20.10.2020 N 11)
Мы, нижеподписавшиеся
представители сторон:
Министр здравоохранения
Республики Калмыкия Кикенов Ю.В.
Директор Территориального фонда
обязательного медицинского страхования
Республики Калмыкия Якшибаев С.К.
Директор Калмыцкого филиала ООО
ВТБ Медицинское страхование Бадмаев Э.Л.
Председатель Калмыцкой
Республиканской организации профсоюзов
работников здравоохранения Республики
Калмыкия Манжикова Е.Н.
Председатель Региональной
Общественной организации (Врачебная
палата) Республики Калмыкия Батырова
З.С.
1. Общие положения
Настоящее Тарифное соглашение
разработано и заключено в соответствии
со статьей 30 Федерального закона от
29.11.2010 N 326-ФЗ "Об обязательном медицинском
страховании в Российской Федерации" и в
целях предоставления гражданам
Республики Калмыкия равных условий в
получении бесплатной медицинской помощи
в рамках Территориальной программы
обязательного медицинского страхования
Республике Калмыкия (далее - ТП ОМС).
1.2. Предмет соглашения.
1.2.1. Предметом Тарифного соглашения
является установление размера и
структуры тарифов на оплату медицинской
помощи и условий оплаты медицинской
помощи в сфере обязательного
медицинского страхования Республики
Калмыкия на 2020 год.
1.2.2. Тариф на оплату медицинской
помощи - стоимость единицы оплаты
медицинской помощи (случая
госпитализации, случая лечения
заболевания в условиях дневного
стационара, посещения, обращения,
лечебно-диагностической услуги),
определяющая уровень возмещения по
статьям расходов медицинских
организаций по выполнению
территориальной программы ОМС.
1.2.3. Тарифы на оплату медицинской
помощи (медицинских услуг),
рассчитываются в соответствии с
федеральными нормативами финансовых
затрат на единицу объема медицинской
помощи, предусмотренными ТП ОМС из
средств ОМС на 2020 год. Тарифы на
медицинские услуги в системе ОМС на 2020
год сформированы с учетом:
- Территориальной программы
государственных гарантий бесплатного
оказания гражданам медицинской помощи в
Республике Калмыкия на 2020 год и на
плановый период 2021 - 2022 годов,
утвержденной постановлением
Правительства Республики Калмыкия от 27
декабря 2019 г. N 405;
- видов высокотехнологичной
медицинской помощи, включенных в базовую
программу обязательного медицинского
страхования постановлением
Правительства Российской Федерации от 7
декабря 2019 г. N 1610 "О Программе
государственных гарантий бесплатного
оказания гражданам медицинской помощи
на 2020 год и на плановый период 2021 и 2022
годов";
- рекомендаций, содержащихся в
письме Министерства здравоохранении РФ
от 24.12.2019 N 11-7/И/2-12330 "О формировании и
экономическом обосновании
территориальной программы
государственных гарантий бесплатного
оказания гражданам медицинской помощи
на 2020 год и на плановый период 2021 и 2022
годов";
- Правил обязательного
медицинского страхования, утвержденных
приказом Министерства здравоохранения
Российской Федерации от 28.02.2019 N 108н;
- Методических рекомендаций по
способам оплаты медицинской помощи за
счет средств обязательного медицинского
страхования, одобрено решением рабочей
группы Министерства здравоохранения
Российской Федерации по подготовке
методических рекомендаций по реализации
способов оплаты медицинской помощи в
рамках программы государственных
гарантий бесплатного оказания гражданам
медицинской помощи (протокол заседания
от 2 декабря 2019 года N 66/11/9), и Инструкции
по группировке случаев, в том числе
правила учета дополнительных
классификационных критериев, и подходам
к оплате медицинской помощи в
амбулаторных условиях по подушевому
нормативу финансирования;
и в соответствии с:
- численностью застрахованных лиц;
- объемами медицинской помощи,
утвержденными Комиссией по разработке
ТП ОМС (далее - Комиссия) (распределенными
по клинико-статистическим группам
заболеваний (КСГ); высокотехнологичной
медицинской помощи по перечню видов; с
учетом врачебных специальностей в
амбулаторно-поликлинических
учреждениях (подразделениях);
- коэффициентами относительной
затратоемкости лечения по группам
заболеваний, поправочными
коэффициентами оплаты, устанавливаемыми
на территориальном уровне;
- показателями доходной части
бюджета ТФОМС РК на 2020 год в соответствии
с Законом Республики Калмыкия "О бюджете
Территориального фонда обязательного
медицинского страхования Республики
Калмыкия на 2020 год и на плановый период
2021 и 2022 годов".
Настоящее соглашение
распространяет свое действие на всех
участников ОМС, участвующих в реализации
ТП ОМС.
2. Способы оплаты медицинской помощи
В соответствии с ТП ОМС применяются
следующие способы оплаты медицинской
помощи:
2.1. При оплате медицинской помощи,
оказанной в амбулаторных условиях:
1) перечень медицинских организаций
(структурных подразделений медицинских
организаций), оказывающих медицинскую
помощь в амбулаторных условиях
(Приложение N 1), включающий следующие
разделы:
1.1) по подушевому нормативу
финансирования на прикрепившихся лиц (за
исключением расходов на проведение
компьютерной томографии,
магнитно-резонансной томографии,
ультразвукового исследования
сердечно-сосудистой системы,
эндоскопических диагностических
исследований, молекулярно-генетических
исследований и гистологических
исследований с целью выявления
онкологических заболеваний, а также
средств на финансовое обеспечение
фельдшерских/фельдшерско-акушерских
пунктов) с учетом показателей
результативности деятельности
медицинской организации (включая
показатели объема медицинской помощи), в
том числе с включением расходов на
медицинскую помощь, оказываемую в иных
медицинских организациях (за единицу
объема медицинской помощи);
1.2) за единицу объема медицинской
помощи - за медицинскую услугу,
посещение, обращение (законченный
случай) (используется при оплате
медицинской помощи, оказанной
застрахованным лицам за пределами
субъекта Российской Федерации, на
территории которого выдан полис
обязательного медицинского страхования,
а также в отдельных медицинских
организациях, не имеющих прикрепившихся
лиц);
1.3) за единицу объема медицинской
помощи - за медицинскую услугу
(используется при оплате отдельных
диагностических (лабораторных)
исследований - компьютерной томографии,
магнитно-резонансной томографии,
ультразвукового исследования
сердечно-сосудистой системы,
эндоскопических диагностических
исследований, гистологических
исследований и молекулярно-генетических
исследований с целью выявления
онкологических заболеваний и подбора
таргетной терапии);
2) перечень видов медицинской
помощи, форм оказания медицинской
помощи, единиц объема медицинской
помощи, финансовое обеспечение которых
осуществляется по подушевому нормативу:
первичная доврачебная
медико-санитарная помощь, первичная
врачебная медико-санитарная помощь и
первичная специализированная
медико-санитарная помощь в экстренной и
плановой формах в посещениях с
профилактической и иными целями и
обращениях по заболеваниям.
Расходы на медицинские
вмешательства и медицинские услуги,
оказываемые пациенту, получающему
медицинскую помощь в установленном
порядке, за исключением
лечебно-диагностических услуг
(исследований), на которые настоящим
Тарифным соглашением установлены
тарифы, включены в размер подушевого
норматива финансирования на
прикрепившихся лиц;
3) Перечень единиц объема
медицинской помощи (медицинская услуга,
посещение, обращение (законченный
случай), мероприятий по диспансеризации
и профилактическим осмотрам отдельных
категорий граждан, оплачиваемых по
отдельным тарифам за оказанную
медицинскую помощь:
а) посещение с профилактическими и
иными целями, обращение в связи с
заболеванием, посещение при оказании
медицинской помощи в неотложной форме,
которая не включается в подушевой
норматив финансирования:
- неотложная медицинская помощь;
- стоматология, стоматология
детская, стоматология терапевтическая,
стоматология общей практики,
стоматология хирургическая, ортодонтия;
б) мероприятия по диспансеризации,
профилактическим медицинским осмотрам
(диспансеризация определенных групп
взрослого населения, диспансеризация
пребывающих в стационарных учреждениях
детей сирот и детей, находящихся в
трудной жизненной ситуации,
диспансеризация детей-сирот и детей,
оставшихся без попечения родителей, в
том числе усыновленных (удочеренных),
принятых под опеку (попечительство), в
приемную или патронатную семью,
профилактические медицинские осмотры
несовершеннолетних, профилактические
медицинские осмотры взрослого
населения);
в) медицинская помощь, оказываемая
медицинскими организациями
(структурными подразделениями
медицинских организаций), не имеющими
прикрепившихся лиц;
г) медицинская помощь, оказываемая
Центрами здоровья;
д) проведение компьютерной
томографии, магнитно-резонансной
томографии, рентгеновских услуг с
применением телемедицинских
технологий;
е) исключен. - Дополнительное
соглашение ФОМС Республики Калмыкия от
11.02.2020 N 1;
ж) услуги диализа;
з) проведение гистологических
исследований с целью выявления
онкологических заболеваний и подбора
таргетной терапии, ультразвукового
исследования сердечно-сосудистой
системы, эндоскопических
диагностических исследований.
Оплата профилактических
медицинских осмотров, в том числе в
рамках диспансеризации, осуществляется
за единицу объема медицинской помощи
(комплексное посещение) в соответствии с
объемом медицинских исследований,
устанавливаемым Министерством
здравоохранения Российской Федерации;
4) перечень показателей
результативности деятельности
медицинских организаций и критерии их
оценки (включая целевые значения), а
также порядок осуществления выплат
медицинским организациям, имеющим
прикрепившихся лиц, за достижение
соответствующих показателей (Приложение
N 2).
Под термином "посещение" следует
понимать прием (осмотр) пациента врачом,
ведущим амбулаторный прием, или средним
медицинским работником, имеющим среднее
медицинское образование, ведущим
самостоятельный амбулаторный прием, по
любому поводу с последующим назначением
лечения, записью данных динамического
наблюдения, назначенного обследования,
постановкой диагноза и соответствующей
записью в амбулаторной карте.
Посещения (два и более) больным в
течение одного дня врача одной
специальности учитываются и
оплачиваются как одно посещение, за
исключением посещений:
- случаев оказания медицинской
помощи по специальности "стоматология",
при условии, что медицинскую помощь
оказывают врачи-стоматологи разной
специализации;
- посещений врачей-педиатров
здравпунктов (медпунктов) дошкольных,
школьных и др. образовательных
учреждений, являющихся структурными
подразделениями МО, при выявлении у
детей заболевания, и участкового
врача-педиатра МО;
- посещений среднего медицинского
персонала, ведущего самостоятельный
прием, в случае посещения пациентом в
один день кабинета доврачебного осмотра
и смотрового кабинета
амбулаторно-поликлинического
учреждения (подразделения).
В БУ РК "Республиканская больница
им. П.П. Жемчуева" консультация, оказанная
сосудистым хирургом, оплачивается по
профилю "хирургия" и в случае обращения
пациента в один день и к сосудистому
хирургу и к общему хирургу, медицинская
организация вправе представить к оплате
оба посещения по профилю "хирургия".
Районные больницы вправе
предъявлять к оплате реестры счетов
оказанной помощи детскому населению по
специальности "хирургия" в амбулаторных
условиях, в условиях стационара и
дневного стационара, за исключением
диспансеризации детей-сирот и детей,
оставшихся без попечения родителей, в
том числе усыновленных (удочеренных),
принятых под опеку (попечительство), в
приемную или патронатную семью. При
проведении профилактических осмотров
несовершеннолетних участвует
врач-хирург, прошедший обучение по
программам дополнительного
профессионального образования в части
особенностей хирургических заболеваний
у детей.
В случае необходимости
консультации других специалистов с
целью уточнения основного диагноза,
посещения данных специалистов
представляются к оплате, как разовые
посещения по поводу заболевания. При
этом даты посещений могут совпадать с
датами обращения по основному
заболеванию.
К посещениям, подлежащим оплате по
тарифу за профилактические посещения,
относятся:
- посещения, в связи с наблюдением
за нормально протекающей беременностью;
- посещения специалистов в центрах
здоровья с целью динамического
наблюдения;
- посещения в связи с диспансерным
наблюдением;
- посещения с целью патронажа;
- посещения медицинских работников,
имеющих среднее медицинское
образование, ведущих самостоятельный
прием;
- осмотры контактных в очаге
инфекционного заболевания;
- женщин, обратившихся за
направлением на медицинский аборт; по
поводу абортов, проводимых в
амбулаторных условиях; по поводу
применения противозачаточных средств;
после абортов, проведенных в стационаре;
- осмотры при решении вопроса о
проведении профилактических прививок;
- посещения при оформлении опеки и
попечительства;
- посещения по поводу обследования
в связи с занятиями спортом;
- другие медицинские осмотры,
осуществляемые в соответствии с
нормативными актами Министерства
здравоохранения Российской Федерации;
- с иными целями (разовые посещения
по поводу заболевания, в том числе с
консультативной целью, посещения,
связанные с диагностическим
обследованием, направлением на
консультацию, госпитализацию в
круглосуточный или дневной стационар,
посещение больного для повторной
выписки рецепта, получением справки,
санаторно-курортной карты и других
медицинских документов).
Обращение в связи с заболеванием
включает: первичное и повторные
посещения, выполненные медицинскими
работниками одной специальности по
одному поводу обращения,
лечебно-диагностические и
реабилитационные мероприятия, в
результате которых наступает
выздоровление, улучшение, направление
пациента в дневной стационар, на
госпитализацию в круглосуточный
стационар.
По стоматологической помощи оплата
осуществляется за 1 посещение с
профилактической целью и за 1 обращение.
УЕТ (условная единица трудозатрат)
учитывается для отражения в отчетных
формах. Медицинские организации
учитывают условные единицы трудоемкости
в соответствии со средним количеством
УЕТ в одной медицинской услуге,
применяемое для обоснования объема и
стоимости посещений при оказании
первичной медико-санитарной
специализированной стоматологической
помощи в амбулаторных условиях
(Приложение N 3).
Посещения специалистов в центрах
здоровья с целью динамического
наблюдения в БУ РК "Республиканский
центр специализированных видов
медицинской помощи N 2 "Сулда"
оплачиваются по тарифу за посещение с
профилактической целью врача-терапевта
и врача-педиатра. В БУ РК
"Республиканский детский медицинский
центр имени Манджиевой Валентины
Джаловны" посещения специалистов в
центрах здоровья с целью динамического
наблюдения финансируются по подушевому
нормативу на обслуживаемое
(прикрепившееся) застрахованное
население.
2.2. При оплате медицинской помощи,
оказанной в стационарных условиях:
1) за законченный случай лечения
заболевания, включенного в
соответствующую группу заболеваний (в
том числе клинико-статистические группы
заболеваний) с учетом перечня
медицинских организаций (структурных
подразделений медицинских организаций),
оказывающих медицинскую помощь в
условиях круглосуточного стационара
(Приложение N 5).
Под понятием "законченный случай
лечения заболевания" следует понимать
случаи лечения пациентов в условиях
круглосуточного стационара,
завершившиеся достижением
установленных критериев объема и
качества лечения и выпиской пациента с
исходом заболевания (ожидаемым
медицинским результатом), на основе
медицинских стандартов.
При формировании реестров счетов
за оказанную медицинскую помощь, следует
учитывать установленные для МО
Комиссией объемы предоставления
медицинской помощи в условиях
круглосуточного стационара по КСГ и
стоимость соответствующей КСГ.
Случай оказания
высокотехнологичной медицинской помощи
(далее - ВМП) предъявляется к оплате по
нормативу финансовых затрат на единицу
объема предоставления ВМП, при
соответствии кода клинического диагноза
согласно МКБ 10, модели пациента, вида
лечения и метода лечения параметрам,
определенным Постановлением
Правительства РФ от 7 декабря 2019 г. N 1610,
независимо от средней длительности
лечения и исхода заболевания;
2) за прерванный случай оказания
медицинской помощи при переводе
пациента в другую медицинскую
организацию, преждевременной выписке
пациента из медицинской организации при
его письменном отказе от дальнейшего
лечения, летальном исходе, а также при
проведении диагностических
исследований, оказании услуг диализа.
К прерванным случаям оказания
медицинской помощи относятся случаи при
переводе пациента в другую медицинскую
организацию, преждевременной выписке
пациента из медицинской организации при
его письменном отказе от дальнейшего
лечения, летальном исходе, а также при
проведении диагностических
исследований.
К прерванным также относятся
случаи, при которых длительность
госпитализации составляет менее 3 дней
включительно, за исключением.
законченных случаев, для которых
длительность 3 дня и менее являются
оптимальными сроками лечения. Группы
круглосуточного стационара, являющиеся
исключениями, оплата которых
осуществляется в полном объеме,
независимо от длительности лечения
приведены в Приложении N 7.
В случае, если пациенту была
выполнена хирургическая операция и (или)
проведена тромболитическая терапия,
являющиеся классификационным критерием
отнесения данного случая лечения к
конкретной КСГ, случай оплачивается в
размере:
- при длительности лечения 3 дня и
менее - в размере 90% от стоимости КСГ;
- при длительности лечения более 3-х
дней - в полном объеме по соответствующей
КСГ.
Если хирургическое лечение и (или)
тромболитическая терапия не
проводились, случай оплачивается в
размере:
- при длительности лечения 3 дня и
менее - в размере 50% от стоимости КСГ;
- при длительности лечения более 3-х
дней - в полном объеме по соответствующей
КСГ.
Если фактическое количество дней
введения в рамках прерванного случая
проведения лекарственной терапии при
злокачественных новообразованиях
соответствует количеству дней введения
в тарифе, предусмотренному в описании
схемы лекарственной терапии, оплата
случаев лечения осуществляется в полном
объеме по соответствующей КСГ. В случае
если фактическое количество дней
введения меньше предусмотренного в
описании схемы лекарственной терапии,
оплата осуществляется при длительности
лечения 3 дня и менее - в размере 50% от
стоимости КСГ; при длительности лечения
более 3-х дней - в полном объеме по
соответствующей КСГ.
Если фактическое количество дней
облучения (фракций) в рамках прерванного
случая проведения лучевой терапии, в том
числе в сочетании с лекарственной
терапией, соответствует количеству дней
облучения в тарифе, предусмотренному в
описании КСГ, оплата случаев лечения
осуществляется в полном объеме по
соответствующей КСГ. В случае, если
фактическое количество дней облучения
меньше предусмотренного, то оплата
осуществляется при длительности лечения
3 дня и менее - в размере 50% от стоимости
КСГ; при длительности лечения более 3-х
дней - в полном объеме по соответствующей
КСГ.
Прерванные случаи проведения
лучевой терапии в сочетании с
лекарственной терапией подлежат оплате
аналогично случаям лечения, когда
хирургическое лечение и (или)
тромболитическая терапия не
проводились.
При переводе пациента из одного
отделения медицинской организации в
другое (в том числе из круглосуточного
стационара в дневной) или из одной
медицинской организации в другую, в
случае если это обусловлено
возникновением нового заболевания или
состояния, входящего в другой класс МКБ 10
и не являющегося следствием
закономерного прогрессирования
основного заболевания, внутрибольничной
инфекции или осложнением основного
заболевания, оба случая лечения
заболевания подлежат оплате по тарифам
соответствующих КСГ.
Если перевод производится в
пределах одной медицинской организации,
а заболевания или состояние относятся к
одному классу МКБ 10, оказанная
медицинская помощь предъявляется к
оплате как один случай оказания
медицинской помощи по тарифу КСГ с
наибольшим размером оплаты.
Если перевод производится в
пределах одной медицинской организации
и сопровождается изменением условий
оказания медицинской помощи (перевод из
стационара в дневной стационар), а
заболевания или состояние относятся к
одному классу МКБ 10, оказанная
медицинская помощь предъявляется к
оплате как один случай оказания
медицинской помощи по тарифу КСГ с
наибольшим размером оплаты.
Оплата случаев обоснованной
сверхдлительной госпитализации
осуществляется с применением
коэффициента сложности лечения пациента
(КСЛП). При этом критерием отнесения
случая к сверхдлительному является
госпитализация на срок свыше 30 дней,
кроме КСГ, которые считаются
сверхдлительными при сроке пребывания
более 45 дней (Приложение N 8).
Правила отнесения случаев к
сверхдлительным не распространяются на
КСГ, объединяющие случаи проведения
лучевой терапии, в том числе в сочетании
с лекарственной терапией (st19.039 - st19.055),
т.е. указанные случаи не могут считаться
сверхдлительными и оплачиваться с
применением соответствующего КСЛП.
(Приложение N 9).
Значение КСЛП определяется в
зависимости от фактического количества
проведенных койко-дней. Стоимость
койко-дня для оплаты случаев
сверхдлинного пребывания определяется с
учетом компенсаций расходов на
медикаменты и расходные материалы в
профильном отделении.
КСЛП - коэффициент сложности
лечения пациента;
Кдл - коэффициент длительности,
учитывающий расходы на медикаменты,
питание, и частично на другие статьи
расходов. Для обычных отделений - 0,25, для
реанимационных отделений - 0,4;
ФКД - фактическое количество
койко-дней;
НКД - нормативное количество
койко-дней (30 дней, за исключением КСГ,
для которых установлен срок 45 дней).
3) Оплата проведенных в рамках одной
госпитализации в полном объеме
нескольких видов противоопухолевого
лечения, относящихся к разным КСГ,
осуществляется с применением
коэффициента сложности лечения пациента
(КСЛП), размер которого составляет 1.46.
(часть 3 введена Дополнительным
соглашением от 17.08.2020 N 9)
Оплата случаев лечения пациента
при наличии у него старческой астении
осуществляется с применением
коэффициента сложности лечения пациента
(КСЛП). Размер коэффициента КСЛП
составляет 1,4. КСЛП применяется при
выполнении следующих условий:
1. Основной диагноз пациента не
включен в перечень диагнозов,
определенных КСГ st38.001 "Соматические
заболевания, осложненные старческой
астенией";
2. Дополнительный диагноз пациента -
старческая астения (R54);
3. Лечение осуществляется на
геронтологической профильной койке.
Расчеты суммарного значения КСЛП
(КСЛПсумм) при наличии нескольких
критериев выполняются по формуле:
КСЛПСУММ = КСЛП1 + (КСЛП2 - 1) + (КСЛПn - 1)
Суммарное значение КСЛП при
наличии нескольких критериев не может
превышать 1,8 за исключением случаев
сверхдлительной госпитализации. В
случае сочетания факта сверхдлительной
госпитализации с другими критериями
рассчитанное суммарное значение КСЛП,
исходя из длительности госпитализации,
прибавляется по аналогичной формуле без
ограничения итогового значения.
Оплата одного пролеченного случая
по двум КСГ: st02.001 "Осложнения, связанные с
беременностью" и st02.003 "Родоразрешение", а
также st02.001 "Осложнения, связанные с
беременностью" и st02.004 "Кесарево сечение"
возможна при дородовой госпитализации
пациентки в отделение патологии
беременности в случае пребывания в
отделении патологии беременности в
течение 6 дней и более с последующим
родоразрешением.
При этом оплата по 2 КСГ возможна в
случае пребывания в отделении патологии
беременности не менее 2 дней при оказании
медицинской помощи по следующим МКБ 10:
O14.1 Тяжелая преэклампсия.
O34.2 Послеоперационный рубец матки,
требующий предоставления медицинской
помощи матери.
O36.3 Признаки внутриутробной
гипоксии плода, требующие
предоставления медицинской помощи
матери.
O36.4 Внутриутробная гибель плода,
требующая предоставления медицинской
помощи матери.
O42.2 Преждевременный разрыв плодных
оболочек, задержка родов, связанная с
проводимой терапией.
Оплата по двум КСГ осуществляется
также в следующих случаях лечения в
одной медицинской организации по
заболеваниям, относящимся к одному
классу МКБ:
- проведение медицинской
реабилитации пациента после завершения
лечения в той же медицинской организации
по поводу заболевания, по которому
осуществлялось лечение;
- случаи оказания медицинской
помощи, связанные с установкой, заменой
порт системы (катетера) для
лекарственной терапии злокачественных
новообразований с последующим
проведением лекарственной терапии или
после хирургического лечения в рамках
одной госпитализации;
- этапное хирургическое лечение при
злокачественных новообразованиях, не
предусматривающее выписку пациента из
стационара (например: удаление первичной
опухоли кишечника с формированием
колостомы (операция 1) и закрытие ранее
сформированной колостомы (операция 2).
При этом если один из двух случаев
лечения является прерванным, его оплата
осуществляется в соответствии с
установленными правилами.
2.3. При оплате медицинской помощи,
оказанной в условиях дневного
стационара:
1) за законченный случай лечения
заболевания, включенного в
соответствующую группу заболеваний (в
том числе КСГ) с учетом перечня
медицинских организаций (структурных
подразделений медицинских организаций),
оказывающих медицинскую помощь в
условиях дневного стационара с
распределением по уровням оказания МП
(Приложение N 10).
Под понятием "законченный случай
лечения заболевания" следует понимать
случаи лечения пациентов в дневных
стационарах всех типов, завершившиеся
достижением установленных критериев
объема и качества лечения и выпиской
пациента с исходом заболевания
(ожидаемым медицинским результатом), на
основе медицинских стандартов.
При формировании реестров счетов
за оказанную медицинскую помощь, следует
учитывать установленные для МО
Комиссией объемы предоставления
медицинской помощи в условиях дневных
стационаров и КСГ, а также стоимость
соответствующей КСГ;
2) за прерванный случай оказания
медицинской помощи при переводе
пациента в другую медицинскую
организацию, преждевременной выписке
пациента из медицинской организации при
его письменном отказе от дальнейшего
лечения, летальном исходе, а также при
проведении диагностических
исследований, оказании услуг диализа.
К прерванным случаям оказания
медицинской помощи относятся случаи при
переводе пациента в другую медицинскую
организацию, преждевременной выписке
пациента из медицинской организации при
его письменном отказе от дальнейшего
лечения, летальном исходе, а также при
проведении диагностических
исследований.
К прерванным также относятся
случаи, при которых длительность
госпитализации составляет менее 3 дней
включительно, кроме случаев, являющихся
исключениями. Группы дневного
стационара, являющиеся исключениями,
оплата которых осуществляется в полном
объеме, независимо от длительности
лечения приведены в Приложении N 7.
В случае если пациенту была
выполнена хирургическая операция и (или)
проведена тромболитическая терапия,
являющиеся классификационным критерием
отнесения данного случая лечения к
конкретной КСГ, случай оплачивается в
размере:
- при длительности лечения 3 дня и
менее - в размере 90% от стоимости КСГ;
- при длительности лечения более 3-х
дней - в полном объеме по соответствующей
КСГ.
Если хирургическое лечение и (или)
тромболитическая терапия не
проводились, случай оплачивается в
размере:
- при длительности лечения 3 дня и
менее - в размере 50% от стоимости КСГ;
- при длительности лечения более 3-х
дней - в полном объеме по соответствующей
КСГ.
Если фактическое количество дней
введения в рамках прерванного случая
проведения лекарственной терапии при
злокачественных новообразованиях
соответствует количеству дней введения
в тарифе, предусмотренному в описании
схемы лекарственной терапии, оплата
случаев лечения осуществляется в полном
объеме по соответствующей КСГ. В случае,
если фактическое количество дней
введения меньше предусмотренного в
описании схемы лекарственной терапии,
оплата осуществляется при длительности
лечения 3 дня и менее - в размере 50% от
стоимости КСГ; при длительности лечения
более 3-х дней - в полном объеме по
соответствующей КСГ.
Если фактическое количество дней
облучения (фракций) в рамках прерванного
случая проведения лучевой терапии, в том
числе в сочетании с лекарственной
терапией, соответствует количеству дней
облучения в тарифе, предусмотренному в
описании КСГ, оплата случаев лечения
осуществляется в полном объеме по
соответствующей КСГ. В случае если
фактическое количество дней облучения
меньше предусмотренного, то оплата
осуществляется при длительности лечения
3 дня и менее - в размере 50% от стоимости
КСГ; при длительности лечения более 3-х
дней - в полном объеме по соответствующей
КСГ.
Прерванные случаи проведения
лучевой терапии в сочетании с
лекарственной терапией подлежат оплате
аналогично случаям лечения, когда
хирургическое лечение и (или)
тромболитическая терапия не
проводились.
Оплата больных, переведенных из
одного отделения дневного стационара в
другое, и в случае перевода из
круглосуточного стационара в дневной
стационар (и наоборот), оплачивается как
один случай по КСГ, имеющей максимальный
коэффициент затратоемкости, за
исключением случаев перевода,
обусловленного возникновением нового
заболевания или состояния, входящего в
другой класс МКБ10 и не являющегося
следствием закономерного
прогрессирования основного заболевания,
внутрибольничной инфекции или
осложнением основного заболевания.
Такие случаи оплачиваются по двум КСГ. За
исключением прерванных случаев, которые
оплачиваются в соответствии с
установленными правилами.
В рамках проведения процедуры ЭКО в
соответствии с порядком использования
вспомогательных репродуктивных
технологий выделяются следующие этапы:
1. Стимуляция суперовуляции;
2. Получение яйцеклетки;
3. Экстракорпоральное
оплодотворение и культивирование
эмбрионов;
4. Внутриматочное введение (перенос)
эмбрионов.
Дополнительно в процессе
проведения процедуры ЭКО возможно
осуществление криоконсервации,
полученных на III этапе, эмбрионов.
В случае проведения в рамках случая
госпитализации всех четырех этапов ЭКО
без осуществления криоконсервации
эмбрионов, а также проведения первых
трех этапов ЭКО с последующей
криоконсервацией эмбрионов без переноса
эмбрионов, оплата случая осуществляется
по КСГ ds02.005 "Экстракорпоральное
оплодотворение" без применения КСЛП.
В случае если базовая программа ЭКО
была завершена по итогам I этапа
(стимуляция суперовуляции), I - II этапов
(получение яйцеклетки), I - III этапов
(экстракорпоральное оплодотворение и
культивирование эмбрионов) без
последующей криоконсервации эмбрионов,
к КСГ ds02.005 применяется КСЛП в размере 0,6.
В случае проведения в рамках одного
случая всех этапов ЭКО с последующей
криоконсервацией эмбрионов, к КСГ
применяется повышающий КСЛП в размере
1,1.
Хранение криоконсервированных
эмбрионов за счет средств обязательного
медицинского страхования не
осуществляется. В случае, если женщина
повторно проходит процедуру ЭКО с
применением ранее криоконсервированных
эмбрионов, случай госпитализации
оплачивается по КСГ ds02.005 с применением
КСЛП в размере 0,19.
3) Оплата проведенных в рамках одной
госпитализации в полном объеме
нескольких видов противоопухолевого
лечения, относящихся к разным КСГ,
осуществляется с применением
коэффициента сложности лечения пациента
(КСЛП), размер которого составляет 1.32.
(часть 3 введена Дополнительным
соглашением от 17.08.2020 N 9)
2.4. При оплате скорой медицинской
помощи.
При оплате скорой медицинской
помощи, оказанной вне медицинской
организации (по месту вызова бригады
скорой, в том числе скорой
специализированной, медицинской помощи,
а также в транспортном средстве при
медицинской эвакуации), - по подушевому
нормативу финансирования в сочетании с
оплатой за вызов скорой медицинской
помощи, в том числе с учетом проведения
тромболизиса.
Базовый (средний) подушевой
норматив финансирования скорой
медицинской помощи, оказываемой вне
медицинской организации включает
расходы на оплату медицинской помощи в
рамках базовой программы обязательного
медицинского страхования, в том числе
скорая (специализированная) медицинская
помощь, оказываемую в экстренной и
неотложной формах в соответствии с
установленной единицей объема
медицинской помощи - вызов, за
исключением:
- расходов на оплату вызовов скорой
медицинской помощи с применением
тромболитической терапии;
- расходов, направляемых на оплату
скорой медицинской помощи вне
медицинской организации, оказываемой
застрахованным лицам за пределами
субъекта Российской Федерации, на
территории которого выдан полис
обязательного медицинского
страхования.
Перечень медицинских организаций
(структурных подразделений медицинских
организаций), оказывающих скорую
медицинскую помощь вне медицинских
организаций, в том числе оплата
медицинской помощи в которых
осуществляется по подушевому нормативу
финансирования скорой медицинской
помощи, оказываемой вне медицинской
организации отражен в Приложении N 11.
3. Размер и структура тарифов на оплату
медицинской помощи
3.1. Структура тарифов на оплату
медицинской помощи.
Структура тарифов на оплату
медицинской помощи установлена в
соответствии с ТП ОМС и в части базовой
программы обязательного медицинского
страхования включает в себя расходы на
заработную плату, начисления на оплату
труда, прочие выплаты, приобретение
лекарственных средств, расходных
материалов, продуктов питания, мягкого
инвентаря, медицинского инструментария,
реактивов и химикатов, прочих
материальных запасов, расходы на оплату
стоимости лабораторных и
инструментальных исследований,
проводимых в других учреждениях (при
отсутствии в медицинской организации
лаборатории и диагностического
оборудования), организации питания (при
отсутствии организованного питания в
медицинской организации), расходы на
оплату услуг связи, транспортных услуг,
коммунальных услуг, работ и услуг по
содержанию имущества, расходы на
арендную плату за пользование
имуществом, оплату программного
обеспечения и прочих услуг, социальное
обеспечение работников медицинских
организаций, установленное
законодательством Российской Федерации,
прочие расходы, расходы на приобретение
основных средств (оборудование,
производственный и хозяйственный
инвентарь) стоимостью до ста тысяч
рублей за единицу.
3.2. В части медицинской помощи,
оказываемой в амбулаторных условиях
установлены:
1) средний размер финансового
обеспечения медицинской помощи,
оказываемой медицинскими организациями,
участвующими в реализации ТП ОМС, в
расчете на одно застрахованное лицо,
определенный на основе нормативов
объемов медицинской помощи и финансовых
затрат на единицу объема медицинской
помощи, установленных территориальной
программой обязательного медицинского
страхования - 4 502,08 рублей.
(часть 1 в ред. Дополнительного
соглашения ФОМС Республики Калмыкия от
31.07.2020 N 8)
2) среднемесячный размер базового
подушевого норматива финансирования в
соответствии с перечнем видов
медицинской помощи, форм оказания
медицинской помощи, единиц объема
медицинской помощи, финансовое
обеспечение которых осуществляется по
подушевому нормативу составляет 182,55
руб.
(часть 2 в ред. Дополнительного
соглашения ФОМС Республики Калмыкия от
31.07.2020 N 8)
Порядок определения размера
дифференцированного подушевого
норматива финансирования оплаты
медицинской помощи, оказанной в
амбулаторных условиях (Приложение N 12);
3) половозрастные коэффициенты
дифференциации подушевого норматива
медицинской помощи оказанной в
амбулаторных условиях, рассчитанные для
соответствующей медицинской
организации (Приложение N 18);
4) коэффициент дифференциации на
прикрепившихся к медицинской
организации лиц, коэффициент уровня
оказания медицинской помощи, и
дифференцированные подушевые нормативы
финансирования медицинской помощи
(Приложение N 19);
5) Тарифы на оплату единиц объема
медицинской помощи, в том числе:
Тарифы на оплату медицинской
помощи оказываемой в амбулаторных
условиях (посещение с профилактической
целью, обращение по заболеванию) по
специальностям для МО не имеющих
прикрепленного населения, в том числе
применяемые при оплате медицинской
помощи, оказанной лицам застрахованным
на территории других субъектов РФ
(Приложение N 13, 14).
Тарифы на проведение I этапа
диспансеризации определенных групп
взрослого населения"; "Тарифы на
проведение скрининга и методов
исследований, направленных на ранее
выявление онкологических заболеваний";
"Тарифы стоимости законченного случая I
этапа диспансеризации пребывающих в
стационарных учреждениях детей сирот и
детей, находящихся в трудной жизненной
ситуации, а также детей-сирот и детей,
оставшихся без попечения родителей, в
том числе усыновленных (удочеренных),
принятых под опеку (попечительство) в
приемную или патронатную семью"
(Приложение N 16).
Оплата проведения первого и
второго этапа диспансеризации
определенных групп взрослого населения
в соответствии приказом Минздрава
России от 13.03.2019 N 124н "Об утверждении
порядка проведения профилактического
медицинского осмотра и диспансеризации
определенных групп взрослого населения"
производится за комплексное посещение
при проведении первого этапа
диспансеризации (Приложение N 16);
посещение при проведении второго этапа
диспансеризации (Приложение N 13).
Профилактический медицинский
осмотр и первый этап диспансеризации
считаются завершенными в случае
выполнения в течение календарного года
не менее 85% от объема профилактического
медицинского осмотра и первого этапа
диспансеризации, установленного для
данного возраста и пола, при этом
обязательным для всех граждан является
проведение анкетирования и прием
(осмотр) врачом по медицинской
профилактике отделения (кабинета)
медицинской профилактики или центра
здоровья или фельдшером, а также
проведение маммографии, исследование
кала на скрытую кровь иммунохимическим
качественным или количественным
методом, осмотр фельдшером (акушеркой)
или врачом акушером-гинекологом, взятие
мазка с шейки матки, цитологическое
исследование мазка с шейки матки,
определение простат-специфического
антигена в крови.
В случае, если число осмотров,
исследований и иных медицинских
мероприятий, выполненных ранее и
учитываемых при диспансеризации,
превышает 15% от объема диспансеризации,
установленного для соответствующего
возраста и пола гражданина, а общий объем
выполненных в рамках диспансеризации и
учтенных осмотров, исследований и иных
медицинских мероприятий составляет 85% и
более от объема диспансеризации, первый
этап диспансеризации является
завершенным, при этом оплате подлежат
только выполненные осмотры.
Размер финансового обеспечения
фельдшерских, фельдшерско-акушерских
пунктов при условии их соответствия
требованиям, установленным Положением
об организации оказания первичной
медико-санитарной помощи взрослому
населению, утвержденным Министерством
здравоохранения Российской Федерации
составляет в среднем на 2020 год:
- фельдшерский,
фельдшерско-акушерский пункт,
обслуживающий до 100 жителей, - 502,05 тыс.
рублей (с понижающим поправочным
коэффициентом 0,5 к размеру финансового
обеспечения фельдшерского,
фельдшерско-акушерского пункта,
обслуживающего от 100 до 900 жителей);
- фельдшерский,
фельдшерско-акушерский пункт,
обслуживающий от 100 до 900 жителей, - 1 004,1
тыс. рублей;
- фельдшерский,
фельдшерско-акушерский пункт,
обслуживающий от 900 до 1500 жителей, - 1 590,7
тыс. рублей.
Абзацы 11 - 12 исключены. -
Дополнительное соглашение ФОМС
Республики Калмыкия от 11.02.2020 N 1.
При формировании реестра счета по
диспансеризации определенных групп
взрослого населения медицинские
организации отражают проведенные приемы
(осмотры, консультации) медицинскими
работниками, исследования, в том числе
скрининги и методы исследования,
направленные на ранее выявление
онкологических заболевании, согласно
полу и возраста при наличии в
медицинской карте амбулаторного
больного результатов исследований,
подтверждающих проведение указанных
скринингов и исследований.
Оплата профилактических
медицинских осмотров, в том числе в
рамках диспансеризации, осуществляется
за единицу объема медицинской помощи
(комплексное посещение) по тарифам,
установленным частью 1 Приложения N 17
"Тарифы стоимости законченного случая
профилактического медицинского осмотра
взрослого населения.
При проведении 1-го этапа
диспансеризации определенных групп
взрослого населения, в связи с
централизацией проведения маммографии,
исследований кала на скрытую кровь
иммунохимическим качественным и
количественным методом, цитологическое
исследование мазка с шейки матки на базе
БУ РК "Республиканская больница им. П.П.
Жемчуева" и БУ РК "Городская поликлиника",
страховая медицинская организация
осуществляет взаиморасчеты за
выполненные исследования путем оплаты
стоимости выполненных услуг с учетом
сведений, содержащихся в реестрах счетов
медицинских организаций о выполненных
услугах, а также на основании актов
сверки. Акт сверки составляется между
медицинскими организациями,
осуществляющих проведение
диспансеризации (далее - МО) и БУ РК
"Республиканская больница им. П.П.
Жемчуева", БУ РК "Городская поликлиника".
МО для формирования реестра счета по
диспансеризации определенных групп
взрослого населения за отчетный месяц
отражают результаты исследований
скринингов и составляют Акт сверки в
трех экземплярах (1-МО, 2 - медицинской
организации, проводящей скрининг, 3-й
СМО). Сроки проведения исследований и
выдачи заключения МО не должны превышать
десяти рабочих дней с момента
поступления материала:
- в БУ РК "Республиканская больница
им. П.П. Жемчуева" для исследования кала
на скрытую кровь иммунохимическим
качественным и количественным методом,
цитологического исследования мазка с
шейки матки;
- в БУ РК "Городская поликлиника"
исследования для маммографии.
При проведении 2-го этапа
диспансеризации определенных групп
взрослого населения, в связи с
централизацией проведения колоноскопии,
дуплексного сканирования
брахиоцефальных артерий, спирометрии на
базе БУ РК "Республиканская больница им.
П.П. Жемчуева" и БУ РК "Кетченеровская РБ",
страховая медицинская организация
осуществляет взаиморасчеты за
выполненные исследования путем оплаты
стоимости выполненных услуг с учетом
сведений, содержащихся в реестрах счетов
медицинских организаций о выполненных
услугах, а также на основании актов
сверки. Акт сверки составляется между
медицинскими организациями,
осуществляющих проведение
диспансеризации (далее - МО) и БУ РК
"Республиканская больница им. П.П.
Жемчуева" и БУ РК "Кетченеровская РБ". МО
для формирования реестра счета по
диспансеризации определенных групп
взрослого населения за отчетный месяц
отражают результаты исследований
(колоноскопии, дуплексного сканирования
брахиоцефальных артерий, спирометрии) и
составляют Акт сверки в трех экземплярах
по формату, утвержденному решением
комиссии по разработке Территориальной
программы ОМС от 23.07.2019 N 9, с указанием
номера и даты составления Акта (1 - МО, 2 -
медицинской организации, проводящей
скрининг, 3-й СМО). Сроки проведения
исследований и выдачи заключения МО не
должны превышать десяти рабочих дней с
момента проведения исследований
(колоноскопии, дуплексного сканирования
брахиоцефальных артерий, спирометрии);
7) тарифы на отдельные медицинские
услуги (Приложение N 20).
В связи с тем, что на территории
Республики Калмыкия не оказываются
медицинские услуги с применением
мобильных медицинских комплексов,
тарифы на оказание медицинских услуг с
применением мобильных медицинских
комплексов отсутствуют.
3.3. При оплате медицинской помощи,
оказываемой в стационарных условиях
установлены:
1) средний размер финансового
обеспечения медицинской помощи,
оказываемой медицинскими организациями,
участвующими в реализации ТП ОМС, в
расчете на одно застрахованное лицо,
определенный на основе нормативов
объемов медицинской помощи и финансовых
затрат на единицу объема медицинской
помощи, установленных территориальной
программой обязательного медицинского
страхования - 4 871,22 рублей;
2) перечень групп заболеваний, в том
числе клинико-статистических групп и
коэффициенты относительной
затратоемкости КСГ, для медицинской
помощи, оказанной в условиях
круглосуточного стационара (Приложение N
21);
размер средней стоимости
законченного случая лечения,
включенного в КСГ (базовая ставка) - 28 134,10
рублей.
(в ред. Дополнительного соглашения
от 14.09.2020 N 10)
4) значения коэффициентов:
а) коэффициент дифференциации - 1,049,
является единым для всей территории
Республики Калмыкия;
б) коэффициент сложности лечения
пациента - 1,0;
в) коэффициент уровня оказания
медицинской помощи (приложение N 21):
коэффициент первого уровня
оказания медицинской помощи - для
медицинских организаций и (или)
структурных подразделений медицинских
организаций, оказывающих населению в
пределах муниципального образования
(внутригородского округа) первичную
медико-санитарную помощь и (или)
специализированную (за исключением
высокотехнологичной) медицинскую помощь
и (или) скорую, в том числе скорую
специализированную, медицинскую помощь -
0,95;
коэффициент второго уровня
оказания медицинской помощи - для
медицинских организаций и (или)
структурных подразделений медицинских
организаций, имеющих в своей структуре
отделения и (или) центры, оказывающие
медицинскую помощь (за исключением
высокотехнологичной) населению
нескольких муниципальных образований, а
также для специализированных больниц,
больниц скорой медицинской помощи,
центров, диспансеров, для подуровня 2.1 -
0,957, для подуровня 2.2 - 1,055;
коэффициент третьего уровня
оказания медицинской помощи - для
медицинских организаций и (или)
структурных подразделений медицинских
организаций, оказывающих населению
высокотехнологичную медицинскую помощь
- 1,3;
5) тарифы на оплату законченных
случаев лечения заболеваний в
стационарных условиях на основе групп
заболеваний, в том числе
клинико-статистических групп (КСГ), с
учетом коэффициента уровня оказания
медицинской помощи (Приложение N 21).
3.4 При оплате медицинской помощи,
оказываемой в условиях дневного
стационара установлены:
1) средний размер финансового
обеспечения медицинской помощи,
оказываемой медицинскими организациями,
участвующими в реализации ТП ОМС, в
расчете на одно застрахованное лицо,
определенный на основе нормативов
объемов медицинской помощи и финансовых
затрат на единицу объема медицинской
помощи, установленных территориальной
программой обязательного медицинского
страхования - 1 240,23 рублей;
2) перечень групп заболеваний, в том
числе клинико-статистических групп и
коэффициенты относительной
затратоемкости КСГ, для медицинской
помощи, оказанной в условиях дневного
стационара (Приложение N 23);
3) размер средней стоимости
законченного случая лечения,
включенного в КСГ (базовая ставка) - 14 774,29
рублей;
(часть 3 в ред. Дополнительного
соглашения ФОМС Республики Калмыкия от
24.07.2020 N 7)
4) коэффициент уровня оказания
медицинской помощи - 1.
3.5. При оплате скорой медицинской
помощи, оказываемой вне медицинской
организации установлены:
1) средний размер финансового
обеспечения медицинской помощи,
оказываемой медицинскими организациями,
участвующими в реализации ТП ОМС, в
расчете на одно застрахованное лицо,
определенный на основе нормативов
объемов медицинской помощи и финансовых
затрат на единицу объема медицинской
помощи, установленных территориальной
программой обязательного медицинского
страхования - 882,45 руб.
(часть 1 в ред. Дополнительного
соглашения ФОМС Республики Калмыкия от
20.10.2020 N 11)
2) среднемесячный размер базового
подушевого норматива финансирования
скорой медицинской помощи составляет
122,58 руб.
(часть 2 в ред. Дополнительного
соглашения ФОМС Республики Калмыкия от
20.10.2020 N 11)
порядок определения размера
дифференцированного подушевого
норматива финансирования оплаты скорой
медицинской помощи, оказанной лицам вне
медицинской организации (Приложение N 12);
3) тарифы на оплату 1 вызова скорой
медицинской помощи, в том числе
оказанной лицам, застрахованным на
территории других субъектов РФ
(Приложение N 24);
4) половозрастные коэффициенты
дифференциации подушевого норматива
скорой медицинской помощи, рассчитанные
для соответствующей медицинской
организации (Приложение N 25);
5) средневзвешенный
интегрированный коэффициент
дифференциации подушевого норматива,
определенный для групп медицинских
организаций, оказывающих скорую
медицинскую помощь, оплата которой
осуществляется по подушевому нормативу
финансирования на прикрепившихся лиц и
дифференцированные подушевые нормативы
финансирования медицинской помощи
(Приложение N 26).
3.6. При оказании медицинской помощи
пациентам, получающим услуги диализа,
оплата в амбулаторных условиях
осуществляется за услугу диализа, в
условиях дневного стационара - за услугу
диализа и при необходимости в сочетании
с КСГ, учитывающей основное
(сопутствующее) заболевание, в условиях
круглосуточного стационара - за услугу
диализа только в сочетании с основной
КСГ, являющейся поводом для
госпитализации.
Размер базового тарифа на оплату
гемодиализа (код услуги А18.05.002
"Гемодиализ") - 4086,61 рублей и на оплату
перитонеального диализа (код услуги
А18.30.001 "Перитонеальный диализ") - 3 094,06
рублей, рассчитанные в соответствии с
Методикой расчета тарифов и включающие в
себя расходы, определенные частью 7
статьи 35 Федерального закона N 326-ФЗ. Для
последующего расчета остальных услуг
диализа, оказываемых на территории
субъекта Российской Федерации, к
базовому тарифу применяются
рекомендуемые коэффициенты
относительной затратоемкости и
коэффициент дифференциации (1,049) к
стоимости услуги с учетом доли расходов
на заработную плату в составе тарифа на
оплату медицинской помощи. Тарифы на
оплату услуг диализа представлены в
Приложении N 4.
В Республике Калмыкия выполняются
услуги диализа при сепсисе, септическом
шоке, полиорганной недостаточности,
печеночной недостаточности, острых
отравлениях, остром некротическом
панкреатите, остром рабдомиолизе и
других миоглобинурических синдромах,
парапротеинемических гемобластозах,
жизнеугрожающих обострениях
аутоиммунных заболеваний, на которые
установлены тарифы на следующие услуги
для осуществления дополнительной оплаты
услуг к стоимости КСГ:
А18.05.006.001 Селективная гемосорбция
липополисахаридов;
А18.05.001.004 Плазмофильтрация
каскадная;
3.7 Тарифы на оплату законченных
случаев лечения заболеваний в
стационарных условиях с применением
методов высокотехнологичной
медицинской помощи (Приложение N 22).
4. Размер неоплаты или неполной оплаты
затрат на оказание медицинской помощи, а
также уплаты медицинской организацией
штрафов за неоказание, несвоевременное
оказание либо оказание медицинской
помощи ненадлежащего качества
4.1. Неоплата или неполная оплата
затрат на оказание медицинской помощи по
ОМС по предъявленным к оплате тарифам,
санкции к медицинской организации за
нарушения, выявленные в ходе контроля
объемов, сроков, качества и условий
предоставления медицинской помощи по
ОМС применяются страховой организацией
и фондом согласно приказам
Минздравсоцразвития России от 28.02.2019 N 108н
"Об утверждении Правил обязательного
медицинского страхования" и
Федерального фонда ОМС от 28.02.2019 N 36 "Об
утверждении Порядка организации и
проведения контроля объемов, сроков,
качества и условий предоставления
медицинской помощи по обязательному
медицинскому страхованию".
4.2. За неоказание, несвоевременное
оказание либо оказание медицинской
помощи ненадлежащего качества
применяются санкции, следствием
неисполнения которых является
возможность неоплаты или неполной
оплаты затрат на оказание медицинской
помощи, а также уплаты медицинской
организацией штрафа, согласно
Приложению N 27 к настоящему соглашению.
5. Заключительные положения
5.1. Настоящее Соглашение вступает в
действие с момента его подписания и
распространяет свое действие на
правоотношения, возникшие с 1 января 2020
года по 31 декабря 2020 года.
5.2. Настоящее Соглашение может быть
изменено или дополнено. Изменения и
дополнения оформляются в письменной
форме и являются неотъемлемой частью
настоящего Соглашения.
5.3. Индексация тарифов
осуществляется при увеличении
показателей доходной части бюджета
ТФОМС Республики Калмыкия путем
применения повышающего коэффициента к
утвержденным тарифам.
5.4. В случае невыполнения МО объемов
медицинской помощи, определенных
планами-заданиями, выплата заработной
платы и финансирование других статей,
включенных в территориальные нормативы
финансовых затрат, на невыполненный
объем не являются обязательством
системы ОМС.
5.5. Приложения к настоящему
соглашению являются его неотъемлемой
частью.
Приложение N 1
к Тарифному соглашению на 2020 год
ПЕРЕЧЕНЬ МЕДИЦИНСКИХ ОРГАНИЗАЦИЙ
(СТРУКТУРНЫХ ПОДРАЗДЕЛЕНИЙ МЕДИЦИНСКИХ
ОРГАНИЗАЦИЙ), ОКАЗЫВАЮЩИХ МЕДИЦИНСКУЮ
ПОМОЩЬ В АМБУЛАТОРНЫХ УСЛОВИЯХ
1.1 ПЕРЕЧЕНЬ МЕДИЦИНСКИХ ОРГАНИЗАЦИЙ,
ОКАЗЫВАЮЩИХ МЕДИЦИНСКУЮ ПОМОЩЬ В
АМБУЛАТОРНЫХ УСЛОВИЯХ, И ИМЕЮЩИХ
ПРИКРЕПИВШИХСЯ ЛИЦ, ОПЛАТА МЕДИЦИНСКОЙ
ПОМОЩИ В КОТОРЫХ ОСУЩЕСТВЛЯЕТСЯ ПО
ПОДУШЕВОМУ НОРМАТИВУ ФИНАНСИРОВАНИЯ НА
ПРИКРЕПИВШИХСЯ ЛИЦ С УЧЕТОМ ПОКАЗАТЕЛЕЙ
РЕЗУЛЬТАТИВНОСТИ МЕДИЦИНСКОЙ
ОРГАНИЗАЦИИ
N п/п |
Наименование медицинской организации |
1 уровень |
2 уровень |
3 уровень |
1 |
БУ РК "Республиканский детский медицинский центр" |
|
+ |
|
2 |
БУ РК "Городовиковская РБ" |
+ |
|
|
3 |
БУ РК "Ики-Бурульская РБ" |
+ |
|
|
4 |
БУ РК "Кетченеровская РБ" |
+ |
|
|
5 |
БУ РК "Лаганская РБ" |
+ |
|
|
6 |
БУ РК "Малодербетовская РБ" |
+ |
|
|
7 |
БУ РК "Октябрьская РБ" |
+ |
|
|
8 |
БУ РК "Приютненская РБ" |
+ |
|
|
9 |
БУ РК "Сарпинская РБ" |
+ |
|
|
10 |
БУ РК "Черноземельская РБ им. У.Душана" |
+ |
|
|
11 |
БУ РК "Юстинская РБ" |
+ |
|
|
12 |
БУ РК "Яшалтинская РБ" |
+ |
|
|
13 |
БУ РК "Яшкульская РБ" |
+ |
|
|
14 |
БУ РК "Городская поликлиника" |
+ |
|
|
1.2 ПЕРЕЧЕНЬ МЕДИЦИНСКИХ ОРГАНИЗАЦИЙ,
ОКАЗЫВАЮЩИХ МЕДИЦИНСКУЮ ПОМОЩЬ В
АМБУЛАТОРНЫХ УСЛОВИЯХ, И НЕ ИМЕЮЩИХ
ПРИКРЕПИВШИХСЯ ЛИЦ, ОПЛАТА МЕДИЦИНСКОЙ
ПОМОЩИ В КОТОРЫХ ОСУЩЕСТВЛЯЕТСЯ ЗА
ЕДИНИЦУ ОБЪЕМА МЕДИЦИНСКОЙ ПОМОЩИ
N |
Наименование медицинской организации |
1 уровень |
2 уровень |
3 уровень |
1 |
БУ РК "Республиканская больница им. П.П. Жемчуева" |
|
|
+ |
2 |
БУ РК "Республиканский детский медицинский центр" |
|
+ |
|
3 |
БУ РК "Республиканский центр специализированных видов медицинской помощи" |
|
+ |
|
4 |
БУ РК "Республиканский онкологический диспансер им. Э.С. Тимошкаевой" |
|
+ |
|
5 |
АУ РК "Республиканская стоматологическая поликлиника" |
+ |
|
|
6 |
БУ РК "Республиканский центр специализированных видов медицинской помощи N 2 "Сулда" |
|
+ |
|
7 |
БУ РК "Перинатальный центр им. О.А. Шунгаевой" |
|
+ |
|
8 |
БУ РК "Станция скорой медицинской помощи" |
+ |
|
|
9 |
ФКУЗ МСЧ МВД по РК |
+ |
|
|
10 |
Медицинский центр "Здоровье" ФГБОУ ВПО "КалмГУ" |
+ |
|
|
11 |
Элистинский филиал N 1 ООО "Северо-Кавказский нефрологический центр" |
+ |
|
|
12 |
ООО "Калмыцкий нефрологический центр" |
+ |
|
|
13 |
ООО "Стоматологическая клиника "Элисдент" |
+ |
|
|
14 |
ООО "Дентал плюс" |
+ |
|
|
15 |
ООО "Первая детская стоматология" |
+ |
|
|
16 |
ООО "Детский комплекс Надежда" |
+ |
|
|
Приложение 2
к Тарифному соглашению на 2020 год
ПОРЯДОК ОПЛАТЫ МЕДИЦИНСКОЙ ПОМОЩИ,
ОКАЗЫВАЕМОЙ В АМБУЛАТОРНЫХ УСЛОВИЯХ ПО
ПОДУШЕВОМУ НОРМАТИВУ ФИНАНСИРОВАНИЯ НА
ПРИКРЕПИВШИХСЯ ЛИЦ, С УЧЕТОМ ПОКАЗАТЕЛЕЙ
РЕЗУЛЬТАТИВНОСТИ ДЕЯТЕЛЬНОСТИ
МЕДИЦИНСКИХ ОРГАНИЗАЦИЙ (ВКЛЮЧАЯ
ПОКАЗАТЕЛИ ВЫПОЛНЕНИЯ ОБЪЕМОВ
МЕДИЦИНСКОЙ ПОМОЩИ) НА 2020 ГОД
Настоящий Порядок определяет
расчет размера подушевого норматива
финансирования на прикрепившихся лиц и
выплат за выполнение показателей
результативности деятельности
медицинским организациям, имеющим
прикрепившихся лиц и оказывающим
медицинскую помощь в амбулаторных
условиях (далее - МО-фондодержатели) в 2020
году.
Ежемесячно Комиссией по оценке
деятельности медицинских организаций,
финансируемых по подушевому нормативу
на обслуживаемое (прикрепившееся)
застрахованное население ТФОМС
Республики Калмыкия (далее - Комиссия)
осуществляется оценка деятельности
медицинских организаций.
Оценка выполнения каждого
показателя производится в баллах с
учетом отклонений от нормативной оценки.
Целевые показатели результативности
деятельности МО-фондодержателей
представлены в Таблице 1.
Ежеквартальные показатели
выполнения утвержденных объемов
медицинской помощи в амбулаторных
условиях оказываемой в неотложной форме
и в связи с заболеваниями (обращения)
рассчитываются один раз в квартал и
применяются ежемесячно в квартале
следующим за отчетным при определении
показателя результативности
деятельности медицинской организации.
Доля средств, направляемых на
выплаты медицинским организациям, за
достижение целевых значений показателей
результативности деятельности
составляет 20% от расчетного размера
финансового обеспечения распределенных
объемов предоставления медицинской
помощи, оказываемой в амбулаторных
условиях на 2020 год.
Размер подушевого норматива
финансирования МО-фондодержателя на
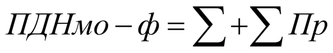
прикрепившихся лиц (ПДНмо-ф)
определяется по формуле:
где:
ФДПнi - фактический
дифференцированный подушевой норматив
финансирования для i-тойгруппы
(подгруппы) медицинских организаций,
рублей.;
Чзпр - численность застрахованных
лиц, прикрепленных к данной медицинской
организации, человек.
Суммарная оценка выполнения
показателей определяется как показатель
деятельности медицинской организации.
Показатель результативности
деятельности медицинской организации
(Пр) рассчитывается как отношение суммы
фактических оценок в баллах по всем
показателям к сумме нормативных
значений по формуле:
,
где:
Пр - показатель результативности и
деятельности медицинской организации;
П1 + П2 +... Пn - фактическое значение
показателей в баллах;
H1 + H2 +... Hn - нормативное значение
показателей в баллах.
Сумма денежных средств за
невыполнение показателей
результативности деятельности i-й
МО-фондодержателя (ПДНмо-н)
распределяется между
МО-фондодержателями, достигших
показателей результативности и
определяется по формуле (ПДНмо-В):
,
где:
- общая сумма денежных средств за
невыполнение показателей
результативности деятельности;
- суммарное количество баллов,
достигших целевых показателей
результативности деятельности;
- сумма баллов i-й
МО-фондодержателя за выполнение целевых
показателей результативности
деятельности.
Оценка выполнения целевых
показателей результативности
деятельности и определение размеров
выплат за выполнение показателей
результативности деятельности в разрезе
МО-фондодержателей осуществляется ТФОМС
Республики Калмыкия, утверждается
протоколом Комиссии и доводится до СМО.
Перечисление выплат за выполнение
целевых показателей результативности
деятельности МО-фондодержателям
осуществляется СМО.
Средства, полученные
МО-фондодержателями за выполнение
целевых показателей результативности
деятельности, могут использоваться на
оплату расходов, включенных в структуру
тарифов на оплату медицинской помощи в
соответствии с Тарифным соглашением в
сфере ОМС Республики Калмыкия на 2020 год.
Таблица N 1
ПОКАЗАТЕЛИ РЕЗУЛЬТАТИВНОСТИ
ДЕЯТЕЛЬНОСТИ МЕДИЦИНСКИХ ОРГАНИЗАЦИЙ
(ВКЛЮЧАЯ ПОКАЗАТЕЛИ ОБЪЕМА МЕДИЦИНСКОЙ
ПОМОЩИ) И КРИТЕРИИ ИХ ОЦЕНКИ
N п/п |
Наименование показателей |
Значение показателя (норматив) |
Оценка в баллах | ||
|
|
|
Нормативное значение показателя в баллах |
При невыполнении показателя |
При достижении показателя |
1 |
2 |
3 |
4 |
5 |
6 |
1 |
Ежемесячные | ||||
2 |
Индикатор кратности амбулаторных посещений на одно обращение в связи с заболеваниями |
не менее 2,7 |
13 |
при кратности от 2 - 2,2 (-1 балл) при кратности от 2,3 - 2,4 (-0,5 балла) |
при кратности от 2,5 - 2,6 (0 балл) при кратности 2,7 и > (+1 балл) |
3 |
Количество обоснованных жалоб по данным ТФОМС и СМО |
0 |
13 |
-1 балл (за одну и более обоснованную жалобу) |
+1 балл (при отсутствии жалоб) |
4 |
Показатель качества работы МО по результатам МЭЭ и ЭКМП, проведенных СМО и ТФОМС (в процентах) |
не более 0,3 |
14 |
от 1 и > процента (- 2 балла) от 0,6 - 0,9 процента (- 1 балла) от 0,4 - 0,5 процента (- 0,5 балла) |
при нормативе 0,3 процента (+1 балл) менее 0,3 процента (+2 балла) |
5 |
Показатель полноты охвата профилактическими мероприятиями (1) прикрепившегося населения (рассчитывается в полных процентах) <*> |
не менее 100 |
15 |
минус 0,5 балла за каждые 10% невыполнения |
плюс 2 балла при достижении показателя |
6 |
Ежеквартальные | ||||
7 |
Показатель выполнения утвержденного Комиссией по разработке ТП ОМС Республики Калмыкия объема медицинской помощи в амбулаторных условиях оказываемой в неотложной форме |
не менее 100 |
20 |
минус 0,5 балла за каждые 10% невыполнения |
плюс 1 балл (при выполнении показателя) |
8 |
Показатель выполнения утвержденного Комиссией по разработке ТП ОМС в Республике Калмыкия объема медицинской помощи в амбулаторных условиях оказываемой в связи с заболеваниями (обращений) |
не менее 100 |
25 |
минус 0,5 балла за каждые 10% невыполнения |
плюс 1 балл (при выполнении показателя) |
Примечание:
* Расчет производится с начала даты
проведения диспансеризации (в
соответствии с утвержденными
планами-графиками проведения
профилактических мероприятий в МО).
Таблица N 2
ПОРЯДОК ОСУЩЕСТВЛЕНИЯ ВЫПЛАТ
МЕДИЦИНСКИМ ОРГАНИЗАЦИЯМ, ИМЕЮЩИМ
ПРИКРЕПЛЕННЫХ ЛИЦ, ЗА ДОСТИЖЕНИЕ
СООТВЕТСТВУЮЩИХ ПОКАЗАТЕЛЕЙ
N п/п |
Наименование показателей |
Методика вычисления |
1 |
Индикатор кратности амбулаторных посещений на одно обращение в связи с заболеваниями (на 1 законченный случай) - показатель динамического наблюдения обращений |
Общее количество посещений, приходящихся на все О.з. за отчетный период
Количество О.з. за отчетный период, где О.з. - количество обращений в связи с заболеваниями |
2 |
Количество обоснованных жалоб по данным ТФОМС и СМО |
Количество обоснованных жалоб за отчетный период |
3 |
Показатель качества работы МО по результатам МЭЭ и ЭКМП, проведенных СМО и ТФОМС (в процентах) |
Сумма, не подлежащая оплате по результатам МЭЭ и ЭКМП, за отчетный период х 100% Сумма выставленных счетов за отчетный период |
4 |
Показатель полноты охвата профилактическими мероприятиями (1) прикрепившегося населения (рассчитывается в полных процентах) <*> |
Количество лиц, прошедших профилактическими мероприятиями (по категориям) за отчетный период х 100% Количество лиц, подлежащих осмотру в рамках профилактических мероприятий прикрепившегося населения в отчетном периоде, в соответствии с утвержденным планом-графиком |
5 |
Показатель выполнения утвержденного Комиссией по разработке ТП ОМС Республики Калмыкия объема медицинской помощи в амбулаторных условиях оказываемой в неотложной форме |
Фактическое исполнение утвержденного объема медицинской помощи за отчетный период х 100% Утвержденный объем медицинской помощи на отчетный период (поквартальная разбивка) |
6 |
Показатель выполнения утвержденного Комиссией по разработке ТП ОМС в Республике Калмыкия объема медицинской помощи в амбулаторных условиях оказываемой в связи с заболеваниями (обращений) |
Фактическое исполнение утвержденного объема медицинской помощи за отчетный период х 100% Утвержденный объем медицинской помощи на отчетный период (поквартальная разбивка) |
Примечание:
* Расчет производится с начала даты
проведения диспансеризации (в
соответствии с утвержденными
планами-графиками проведения
профилактических мероприятий в МО).
(1) профилактические мероприятия
включают: диспансеризацию определенных
групп взрослого населения,
профилактические медицинские осмотры
взрослого населения, диспансеризацию
детей-сирот и детей, оставшихся без
попечения родителей, в том числе
усыновленных (удочеренных), принятых под
опеку (попечительство), в приемную или
патронатную семью, профилактические
медицинские осмотры
несовершеннолетних.
Приложение N 3
к Соглашению на 2020 год
СРЕДНЕЕ КОЛИЧЕСТВО УЕТ В ОДНОЙ
МЕДИЦИНСКОЙ УСЛУГЕ, ПРИМЕНЯЕМОЕ ДЛЯ
ОБОСНОВАНИЯ ОБЪЕМА И СТОИМОСТИ
ПОСЕЩЕНИЙ ПРИ ОКАЗАНИИ ПЕРВИЧНОЙ
МЕДИКО-САНИТАРНОЙ СПЕЦИАЛИЗИРОВАННОЙ
СТОМАТОЛОГИЧЕСКОЙ ПОМОЩИ В АМБУЛАТОРНЫХ
УСЛОВИЯХ
Код услуги |
Наименование услуги |
Число УЕТ | |
|
|
взрослый прием |
детский прием |
А12.07.001 |
Витальное окрашивание твердых тканей зуба |
0,35 |
0,35 |
А12.07.003 |
Определение индексов гигиены полости рта |
0,61 |
0,61 |
А12.07.004 |
Определение пародонтальных индексов |
0,76 |
0,76 |
В01.003.004.002 |
Проводниковая анестезия |
0,96 |
0,96 |
В01.003.004.004 |
Аппликационная анестезия |
0,31 |
0,31 |
В01.003.004.005 |
Инфильтрационная анестезия |
0,5 |
0,5 |
А06.30.002 |
Описание и интерпретация рентгенографических изображений |
0,93 |
0,93 |
А06.07.010 |
Радиовизиография челюстно-лицевой области |
0,75 |
0,75 |
А06.07.003 |
Прицельная внутриротовая контактная рентгенография |
0,75 |
0,75 |
А11.07.026 |
Взятие образца биологического материала из очагов поражения органов рта |
1,12 |
1,12 |
А11.01.019 |
Получение соскоба с эрозивно-язвенных элементов кожи и слизистых оболочек |
1,12 |
1,12 |
А11.07.011 |
Инъекционное введение лекарственных препаратов в челюстно-лицевую область |
1,1 |
1,1 |
А25.07.001 |
Назначение лекарственных препаратов при заболеваниях полости рта и зубов |
0,25 |
0,25 |
А05.07.001 |
Электроодонтометрия зуба |
0,42 |
0,42 |
В01.064.003 |
Прием (осмотр, консультация) врача-стоматолога детского первичный |
|
1,95 |
В01.064.004 |
Прием (осмотр, консультация) врача-стоматолога детского повторный |
|
1,37 |
В04.064.001 |
Диспансерный прием (осмотр, консультация) врача-стоматолога детского |
|
1,19 |
В01.065.007 |
Прием (осмотр, консультация) врача-стоматолога первичный |
1,68 |
1,95 |
В01.065.008 |
Прием (осмотр, консультация) врача-стоматолога повторный |
1,18 |
1,37 |
В04.065.005 |
Диспансерный прием (осмотр, консультация) врача-стоматолога |
1,25 |
1,19 |
В01.065.001 |
Прием (осмотр, консультация) врача-стоматолога-терапевта первичный |
1,68 |
|
В01.065.002 |
Прием (осмотр, консультация) врача-стоматолога-терапевта повторный |
1,18 |
|
В04.065.001 |
Диспансерный прием (осмотр, консультация) врача-стоматолога-терапевта |
1,25 |
|
В01.065.003 |
Прием (осмотр, консультация) зубного врача первичный |
1,68 |
1,95 |
В01.065.004 |
Прием (осмотр, консультация) зубного врача повторный |
1,18 |
1,37 |
В04.065.003 |
Диспансерный прием (осмотр, консультация) зубного врача |
1,25 |
1,19 |
В01.065.005 |
Прием (осмотр, консультация) гигиениста стоматологического первичный |
1,5 |
1,5 |
В01.065.006 |
Прием (осмотр, консультация) гигиениста стоматологического повторный |
0,9 |
0,9 |
А03.07.001 |
Люминесцентная стоматоскопия |
0,63 |
0,63 |
А11.07.010 |
Введение лекарственных препаратов в пародонтальный карман |
0,99 |
0,99 |
А11.07.022 |
Аппликация лекарственного препарата на слизистую оболочку полости рта |
0,45 |
0,45 |
А16.07.051 |
Профессиональная гигиена полости рта и зубов <1> |
2 |
2 |
А16.07.082 |
Сошлифовывание твердых тканей зуба |
0,25 |
0,25 |
А11.07.023 |
Применение метода серебрения зуба |
0,88 |
0,88 |
А15.07.003 |
Наложение лечебной повязки при заболеваниях слизистой оболочки полости рта и пародонта в области одной челюсти |
2 |
2 |
А16.07.002.001 |
Восстановление зуба пломбой I, II, III, V, VI класс по Блэку с использованием стоматологических цементов <2> |
1,53 |
1,53 |
А16.07.002.002 |
Восстановление зуба пломбой I, II, III, V, VI класс по Блэку с использование материалов химического отверждения <2> |
1,95 |
1,95 |
А16.07.002.003 |
Восстановление зуба пломбой с нарушением контактного пункта II, III класс по Блэку с использованием стоматологических цементов <2> |
1,85 |
1,85 |
А16.07.002.004 |
Восстановление зуба пломбой с нарушением контактного пункта II, III класс по Блэку с использованием материалов химического отверждения <2> |
2,5 |
2,5 |
А16.07.002.005 |
Восстановление зуба пломбой IV класс по Блэку с использованием стеклоиномерных цементов <2> |
2,45 |
2,45 |
А16.07.002.006 |
Восстановление зуба пломбой IV класс по Блэку с использованием материалов химического отверждения <2> |
3,25 |
3,25 |
А16.07.002.007 |
Восстановление зуба пломбой из амальгамы I, V класс по Блэку <2> |
1,95 |
1,95 |
А16.07.002.008 |
Восстановление зуба пломбой из амальгамы II класс по Блэку <2> |
2,33 |
2,33 |
А16.07.002.010 |
Восстановление зуба пломбой I, V, VI класс по Блэку с использованием материалов из фотополимеров <2> |
3,35 |
3,35 |
А16.07.002.011 |
Восстановление зуба пломбой с нарушением контактного пункта II, III класс по Блэку с использованием материалов из фотополимеров <2> |
3,75 |
3,75 |
А16.07.002.012 |
Восстановление зуба пломбой IV класс по Блэку с использованием материалов из фотополимеров <2> |
4 |
4 |
А16.07.002.009 |
Наложение временной пломбы |
1,25 |
1,25 |
А16.07.091 |
Снятие временной пломбы |
0,25 |
0,25 |
А16.07.092 |
Трепанация зуба, искусственной коронки |
0,48 |
0,48 |
А16.07.008.001 |
Пломбирование корневого канала зуба пастой |
1,16 |
1,16 |
А16.07.008.002 |
Пломбирование корневого канала зуба гуттаперчивыми штифтами |
1,7 |
1,7 |
А11.07.027 |
Наложение девитализирующей пасты |
0,03 |
0,03 |
А16.07.009 |
Пульпотомия (ампутация коронковой пульпы) |
0,21 |
0,21 |
А16.07.010 |
Экстирпация пульпы |
0,46 |
0,46 |
А16.07.019 |
Временное шинирование при заболеваниях пародонта <3> |
1,98 |
1,98 |
А16.07.020.001 |
Удаление наддесневых и поддесневых зубных отложений в области зуба ручным методом <4> |
0,32 |
0,32 |
А16.07.025.001 |
Избирательное полирование зуба |
0,2 |
0,2 |
А22.07.002 |
Ультразвуковое удаление наддесневых и поддесневых зубных отложений в области зуба <4> |
0,2 |
0,2 |
А16.07.030.001 |
Инструментальная и медикаментозная обработка хорошо проходимого корневого канала |
0,92 |
0,92 |
А16.07.030.002 |
Инструментальная и медикаментозная обработка плохо проходимого корневого канала |
1,71 |
1,71 |
А16.07.030.003 |
Временное пломбирование лекарственным препаратом корневого канала |
0,5 |
0,5 |
А16.07.039 |
Закрытый кюретаж при заболеваниях пародонта в области зуба <4> |
0,31 |
0,31 |
А16.07.082.001 |
Распломбировка корневого канала ранее леченного пастой |
2 |
2 |
А16.07.082.002 |
Распломбировка одного корневого канала ранее леченного фосфатцементом/резорцин-формальдегидным методом |
3,55 |
3,55 |
В01.067.001 |
Прием (осмотр, консультация) врача-стоматолога-хирурга первичный |
1,4 |
1,4 |
В01.067.002 |
Прием (осмотр, консультация) врача-стоматолога-хирурга повторный |
1,08 |
1,08 |
А11.03.003 |
Внутрикостное введение лекарственных препаратов |
0,82 |
0,82 |
А15.03.007 |
Наложение шины при переломах костей <5> |
6,87 |
6,87 |
А15.03.011 |
Снятие шины с одной челюсти |
1,43 |
1,43 |
А15.04.002 |
Наложение иммобилизационной повязки при вывихах (подвывихах) суставов |
2,55 |
2,55 |
А15.07.001 |
Наложение иммобилизационной повязки при вывихах (подвывихах) зубов |
2,96 |
2,96 |
А11.07.001 |
Биопсия слизистой полости рта |
1,15 |
1,15 |
А11.07.002 |
Биопсия языка |
1,15 |
1,15 |
А11.07.005 |
Биопсия слизистой преддверия полости рта |
1,15 |
1,15 |
А11.07.007 |
Биопсия тканей губы |
1,15 |
1,15 |
А11.07.008 |
Пункция кисты полости рта |
0,91 |
0,91 |
А11.07.009 |
Бужирование протоков слюнных желез |
3,01 |
3,01 |
А11.07.013 |
Пункция слюнной железы |
0,91 |
0,91 |
А11.07.014 |
Пункция тканей полости рта |
0,91 |
0,91 |
А11.07.015 |
Пункция языка |
0,91 |
0,91 |
А11.07.016 |
Биопсия слизистой ротоглотки |
1,15 |
1,15 |
А11.07.018 |
Пункция губы |
0,91 |
0,91 |
А11.07.019 |
Пункция патологического образования слизистой преддверия полости рта |
0,91 |
0,91 |
А11.07.020 |
Биопсия слюнной железы |
1,15 |
1,15 |
А15.01.003 |
Наложение повязки при операции в челюстно-лицевой области |
1,06 |
1,06 |
А15.07.002 |
Наложение повязки при операциях в полости рта |
1,06 |
1,06 |
А16.01.004 |
Хирургическая обработка раны или инфицированной ткани <6> |
1,3 |
1,3 |
А16.01.008 |
Сшивание кожи и подкожной клетчатки <7> |
0,84 |
0,84 |
А16.07.097 |
Наложение шва на слизистую оболочку рта |
0,84 |
0,84 |
А16.01.012 |
Вскрытие и дренирование флегмоны (абсцесса) |
2 |
2 |
А16.01.016 |
Удаление атеромы |
2,33 |
2,33 |
А16.01.030 |
Иссечение грануляции |
2,22 |
2,22 |
А16.04.018 |
Вправление вывиха сустава |
1 |
1 |
А16.07.095.001 |
Остановка луночного кровотечения без наложения швов методом тампонады |
1,25 |
1,25 |
А16.07.095.002 |
Остановка луночного кровотечения без наложения швов с использованием гемостатических материалов |
1 |
1 |
А16.07.001.001 |
Удаление временного зуба |
1,01 |
1,01 |
А16.07.001.002 |
Удаление постоянного зуба |
1,55 |
1,55 |
А16.07.001.003 |
Удаление зуба сложное с разъединением корней |
2,58 |
2,58 |
А16.07.024 |
Операция удаления ретинированного, дистопированного или сверхкомплектного зуба |
3 |
3 |
А16.07.040 |
Лоскутная операция в полости рта <8> |
2,7 |
2,7 |
А16.07.007 |
Резекция верхушки корня |
3,78 |
3,78 |
А16.07.011 |
Вскрытие подслизистого или поднадкостничного очага воспаления в полости рта |
1 |
1 |
А16.07.012 |
Вскрытие и дренирование одонтогенного абсцесса |
0,97 |
0,97 |
А16.07.013 |
Отсроченный кюретаж лунки удаленного зуба |
1,03 |
1,03 |
А16.07.014 |
Вскрытие и дренирование абсцесса полости рта |
2,14 |
2,14 |
А16.07.015 |
Вскрытие и дренирование очага воспаления мягких тканей лица или дна полости рта |
2,41 |
2,41 |
А16.07.016 |
Цистотомия или цистэктомия |
3,89 |
3,89 |
А16.07.017.002 |
Коррекция объема и формы альвеолярного отростка <9> |
1,22 |
1,22 |
А16.07.026 |
Гингивэктомия |
4,3 |
4,3 |
А16.07.089 |
Гингивопластика |
4,3 |
4,3 |
А16.07.038 |
Открытый кюретаж при заболеваниях пародонта в области зуба <4> |
1 |
1 |
А16.07.042 |
Пластика уздечки верхней губы |
2,1 |
2,1 |
А16.07.043 |
Пластика уздечки нижней губы |
2,1 |
2,1 |
А16.07.044 |
Пластика уздечки языка |
1 |
1 |
А16.07.096 |
Пластика перфорации верхнечелюстной пазухи |
4 |
4 |
А16.07.008.003 |
Закрытие перфорации стенки корневого канала зуба |
1,8 |
1,8 |
А16.07.058 |
Лечение перикоронита (промывание, рассечение и/или иссечение капюшона) |
1,04 |
1,04 |
А16.07.059 |
Гемисекция зуба |
2,6 |
2,6 |
А11.07.025 |
Промывание протока слюнной железы |
1,85 |
1,85 |
А16.22.012 |
Удаление камней из протоков слюнных желез |
3 |
3 |
А16.30.064 |
Иссечение свища мягких тканей |
2,25 |
2,25 |
А16.30.069 |
Снятие послеоперационных швов (лигатур) |
0,38 |
0,38 |
В01.054.001 |
Осмотр (консультация) врача-физиотерапевта |
1,5 |
1,5 |
А17.07.001 |
Электрофорез лекарственных препаратов при патологии полости рта и зубов |
1,5 |
1,5 |
А17.07.003 |
Диатермокоагуляция при патологии полости рта и зубов |
0,5 |
0,5 |
А17.07.004 |
Ионофорез при патологии полости рта и зубов |
1,01 |
1,01 |
А17.07.006 |
Депофорез корневого канала зуба |
1,5 |
1,5 |
А17.07.007 |
Дарсонвализация при патологии полости рта |
2 |
2 |
А17.07.008 |
Флюктуоризация при патологии полости рта и зубов |
1,67 |
1,67 |
А17.07.009 |
Воздействие электрическими полями при патологии полости рта и зубов |
1 |
1 |
А17.07.010 |
Воздействие токами надтональной частоты (ультратонотерапия) при патологии полости рта и зубов |
1 |
1 |
А17.07.011 |
Воздействие токами ультравысокой частоты при патологии полости рта и зубов |
1,25 |
1,25 |
А17.07.012 |
Ультравысокочастотная индуктотермия при патологии полости рта и зубов |
1,25 |
1,25 |
А20.07.001 |
Гидроорошение при заболевании полости рта и зубов |
1,5 |
1,5 |
А21.07.001 |
Вакуум-терапия в стоматологии |
0,68 |
0,68 |
А22.07.005 |
Ультрафиолетовое облучение ротоглотки |
1,25 |
1,25 |
А22.07.007 |
Ультрафонофорез лекарственных препаратов на область десен |
1 |
1 |
Ортодонтия | |||
В01.063.001 |
Прием (осмотр, консультация) врача-ортодонта первичный |
|
4,21 |
В01.063.002 |
Прием (осмотр, консультация) врача-ортодонта повторный |
|
1,38 |
В04.063.001 |
Диспансерный прием (осмотр, консультация) врача-ортодонта |
|
1,69 |
А02.07.004 |
Антропометрические исследования |
|
1,1 |
А23.07.002.027 |
Изготовление контрольной модели |
|
2,5 |
А02.07.010.001 |
Снятие оттиска с одной челюсти |
|
1,4 |
А02.07.010 |
Исследование на диагностических моделях челюстей |
|
2 |
А23.07.001.001 |
Коррекция съемного ортодонического аппарата |
|
1,75 |
А23.07.003 |
Припасовка и наложение ортодонтического аппарата |
|
1,8 |
А23.07.001.002 |
Ремонт ортодонического аппарата |
|
1,55 |
А23.07.002.037 |
Починка перелома базиса самотвердеющей пластмассой |
|
1,75 |
А23.07.002.045 |
Изготовление дуги вестибулярной с дополнительными изгибами |
|
3,85 |
А23.07.002.073 |
Изготовление дуги вестибулярной |
|
2,7 |
А23.07.002.051 |
Изготовление кольца ортодонтического |
|
4 |
А23.07.002.055 |
Изготовление коронки ортодонтической |
|
4 |
А23.07.002.058 |
Изготовление пластинки вестибулярной |
|
2,7 |
А23.07.002.059 |
Изготовление пластинки с заслоном для языка (без кламмеров) |
|
2,5 |
А23.07.002.060 |
Изготовление пластинки с окклюзионными накладками |
|
18,0 |
А16.07.053.002 |
Распил ортодонтического аппарата через винт |
|
1 |
Профилактические услуги | |||
В04.064.002 |
Профилактический прием (осмотр, консультация) врача-стоматолога детского |
|
1,57 |
В04.065.006 |
Профилактический прием (осмотр, консультация) врача-стоматолога |
1,3 |
1,57 |
В04.065.002 |
Профилактический прием (осмотр, консультация) врача-стоматолога-терапевта |
1,3 |
|
В04.065.004 |
Профилактический прием (осмотр, консультация) зубного врача |
1,3 |
1,3 |
А11.07.012 |
Глубокое фторирование эмали зуба |
0,3 |
0,3 |
А11.07.024 |
Местное применение реминерализующих препаратов в области зуба <4> |
0,7 |
0,7 |
А13.30.007 |
Обучение гигиене полости рта |
0,87 |
0,87 |
А16.07.057 |
Запечатывание фиссуры зуба герметиком |
1 |
1 |
Примечания:
<1> - одного квадранта
<2> - включая полирование пломбы
<3> - трех зубов
<4> - одного зуба
<5> - на одной челюсти
<6> - без наложения швов
<7> - один шов
<8> - в области двух-трех зубов
<9> - в области одного-двух зубов
Приложение N 4
к Тарифному соглашению на 2020 год
ТАРИФЫ НА ОПЛАТУ УСЛУГ ДИАЛИЗА (В
РЕДАКЦИИ ИЗМЕНЕНИЙ, ВНЕСЕННЫХ
ДОПОЛНИТЕЛЬНЫМ СОГЛАШЕНИЕМ N 1 ОТ 11.02.2020)
(в
ред. Дополнительного соглашения ФОМС
Республики Калмыкия от 11.02.2020 N 1)
N |
Код |
Услуга |
Условия оказания |
единица оплаты |
тариф на оплату услуг диализа, рублей |
1 |
А 18.05.002 |
Гемодиализ |
стационарно, дневной стационар, амбулаторно |
услуга |
4 086,61 |
2 |
А 18.05.002.001 |
Гемодиализ интермиттирующий высокопоточный |
стационарно, дневной стационар, амбулаторно |
услуга |
4 332,99 |
3 |
А 18.05.011 |
Гемодиафильтраиия |
стационарно, дневной стационар, амбулаторно |
услуга |
4 456,79 |
4 |
А 18.05.004.001 |
Ультрафильтрация продленная |
стационарно |
услуга |
10 357,91 |
5 |
А 18.05.002.005 |
Гемодиализ продолжительный |
стационарно |
сутки |
21 530,06 |
6 |
А 18.05.003.002 |
Гемофильтрация крови продолжительная |
стационарно |
сутки |
22 559,22 |
7 |
А 18.05.011.002 |
Гемодмафильтрация продолжительная |
стационарно |
сутки |
23 588,38 |
8 |
А 18.30.001 |
Перитонеальный диализ |
стационарно, дневной стационар, амбулаторно |
день обмена |
3 094,06 |
9 |
А 18.05.006.001 |
Селективная гемосорбция липополисахаридов |
стационарно |
услуга |
344 639,00 |
10 |
А18.05.001.003 |
Плазмодиафильтрация |
стационарно |
услуга |
61 908,63 |
11 |
А 18.05.001.004 |
Плазмофильтрация каскадная |
стационарно |
услуга |
73 835,46 |
Приложение N 5
к Тарифному соглашению на 2020 год
ПЕРЕЧЕНЬ МЕДИЦИНСКИХ ОРГАНИЗАЦИЙ,
ОКАЗЫВАЮЩИХ МЕДИЦИНСКУЮ ПОМОЩЬ В
СТАЦИОНАРНЫХ УСЛОВИЯХ, В РАЗРЕЗЕ УРОВНЕЙ
ОКАЗАНИЯ МЕДИЦИНСКОЙ ПОМОЩИ (В РЕДАКЦИИ
ИЗМЕНЕНИЙ, ВНЕСЕННЫХ ДОПОЛНИТЕЛЬНЫМ
СОГЛАШЕНИЕМ N 2 ОТ 19.03.2020)
(в
ред. Дополнительного соглашения ФОМС
Республики Калмыкия от 19.03.2020 N 2)
N |
Наименование медицинской организации |
1 уровень |
2 уровень |
3 уровень | |
|
|
|
подуровень 2.1 |
подуровень 2.2 |
|
1 |
БУ РК "Республиканская больница им. П.П. Жемчуева" |
|
|
|
+ |
2 |
БУ РК "Республиканский детский медицинский центр" |
|
|
+ |
|
3 |
БУ РК "Республиканский центр специализированных видов медицинской помощи" |
|
+ |
|
|
4 |
БУ РК "Республиканский онкологический диспансер им. Э.С. Тимошкаевой" |
|
|
+ |
|
5 |
БУ РК "Республиканский госпиталь ветеранов войн" |
|
|
+ |
|
6 |
БУ РК "Перинатальный центр им. О.А. Шунгаевой" |
|
|
|
|
7 |
БУ РК "Городовиковская РБ" |
+ |
|
|
|
8 |
БУ РК "Ики-Бурульская РБ" |
+ |
|
|
|
9 |
БУ РК "Кетченеровская РБ" |
+ |
|
|
|
10 |
БУ РК "Лаганская РБ" |
+ |
|
|
|
11 |
БУ РК "Малодербетовская РБ" |
+ |
|
|
|
12 |
БУ РК "Октябрьская РБ" |
+ |
|
|
|
13 |
БУ РК "Приютненская РБ" |
+ |
|
|
|
14 |
БУ РК "Сарпинская РБ" |
+ |
|
|
|
15 |
БУ РК "Черноземельская РБ им. У.Душана" |
+ |
|
|
|
16 |
БУ РК "Юстинская РБ" |
+ |
|
|
|
17 |
БУ РК "Яшалтинская РБ" |
+ |
|
|
|
18 |
БУ РК "Яшкульская РБ" |
+ |
|
|
|
19 |
ФКУЗ МСЧ МВД по РК |
+ |
|
|
|
20 |
ООО "КВТМГ г. Элиста" |
|
|
|
+ |
Приложение N 6
к Тарифному соглашению
ПЕРЕЧЕНЬ ФЕЛЬДШЕРСКИХ И
ФЕЛЬДШЕРСКО-АКУШЕРСКИХ ПУНКТОВ,
ДИФФЕРЕНЦИРОВАННЫХ ПО ЧИСЛЕННОСТИ
ОБСЛУЖИВАЕМОГО НАСЕЛЕНИЯ (В РЕДАКЦИИ
ИЗМЕНЕНИЙ, ВНЕСЕННЫХ ДОПОЛНИТЕЛЬНЫМ
СОГЛАШЕНИЕМ N 8 ОТ 31.07.2020)
(в
ред. Дополнительного соглашения ФОМС
Республики Калмыкия от 31.07.2020 N 8)
N п/п |
Наименование медицинской организации, фельдшерских и фельдшерско-акушерских пунктов |
Количество обслуживаемого населения фельдшерскими и фельдшерско-акушерскими пунктами, человек |
Признак соответствия ФАПа и ФП требования установленным приказом Минздравсоцразвития РФ от 15.05.2012 N 543н (+ да / - нет) |
Размер финансового обеспечения рублей в год |
Ежемесячный размер финансового обеспечения рублей | ||
|
|
до 100 |
от 100 до 900 человек |
от 90 до 1500 человек |
|
|
|
|
БУ РК "Городовиковская РБ", в том числе |
4 |
9 |
0 |
|
11 045 130,80 |
920 427,57 |
|
Фельдшерско-акушерский пункт п. Пушкинский |
1 |
|
|
- |
502 051,40 |
|
|
Фельдшерский пункт п. Бурул |
|
1 |
|
+ |
1 004 102 80 |
|
|
Фельдшерский пункт п. Амур Санан |
|
1 |
|
+ |
1 004 102,80 |
|
|
Фельдшерский пункт п. Шин Бядл |
|
1 |
|
+ |
1 004 102,80 |
|
|
Фельдшерский пункт п. Розенталь |
|
1 |
|
+ |
1 004 102,80 |
|
|
Фельдшерский пункт п. Передовой |
|
1 |
|
+ |
1 004 102,80 |
|
|
Фельдшерский пункт п. Бембешево |
|
1 |
|
+ |
1 004 102,80 |
|
|
Фельдшерский пункт п. Большой Гок |
|
1 |
|
+ |
1 004 102,80 |
|
|
Фельдшерский пункт п. Бага Бурул |
1 |
0 |
|
- |
502 051,40 |
|
|
Фельдшерский пункт п. Балковский |
1 |
0 |
|
- |
502 051,40 |
|
|
Фельдшерский пункт п. Чапаевский |
|
1 |
|
+ |
1 004 102,80 |
|
|
Фельдшерский пункт п. Дружный |
1 |
0 |
|
- |
502 051,40 |
|
|
Фельдшерский пункт п. Веселое |
|
1 |
|
+ |
1 004 102,80 |
|
|
БУ РК "Ики-Бурульская РБ", в том числе |
0 |
10 |
0 |
|
10 041 028,00 |
836 752,33 |
|
Фельдшерский пункт п. Шееринг |
|
1 |
|
+ |
1 004 102,80 |
|
|
Фельдшерский пункт п. Бага-Бурул |
|
1 |
|
+ |
1 004 102,80 |
|
|
Фельдшерский пункт п. Чолун-Хамур |
|
1 |
|
+ |
1 004 102,80 |
|
|
Фельдшерский пункт п. Манцин Кец |
|
1 |
|
+ |
1 004 102,80 |
|
|
Фельдшерский пункт п. Зунда Толга |
|
1 |
|
+ |
1 004 102,80 |
|
|
Фельдшерский пункт п. Маныч |
|
1 |
|
+ |
1 004 102,80 |
|
|
Фельдшерский пункт п. Ут Сала |
|
1 |
|
+ |
1 004 102,80 |
|
|
Фельдшерский пункт п. Южный |
|
1 |
|
+ |
1 004 102,80 |
|
|
Фельдшерский пункт п. Светлый |
|
1 |
|
+ |
1 004 102,80 |
|
|
Фельдшерский пункт п. Шерет |
|
1 |
|
+ |
1 004 102,80 |
|
|
БУ РК "Кетченеровская РБ", в том числе |
0 |
6 |
0 |
|
6 024 616,80 |
502 051,40 |
|
Фельдшерский пункт п. Шин Мер |
|
1 |
|
+ |
1 004 102,80 |
|
|
Фельдшерский пункт п. Г-Бургуста |
|
1 |
|
+ |
1 004 102,80 |
|
|
Фельдшерский пункт п. Эвдик |
|
1 |
|
+ |
1 004 102,80 |
|
|
Фельдшерский пункт п. Тугтун |
|
1 |
|
+ |
1 004 102,80 |
|
|
Фельдшерский пункт п. Годжур |
|
1 |
|
+ |
1 004 102,80 |
|
|
Фельдшерский пункт п. Сарпа |
|
1 |
|
+ |
1 004 102,80 |
|
|
БУ РК "Лаганская РБ", в том числе |
0 |
2 |
1 |
|
3 598 909,20 |
299 909,10 |
|
Фельдшерский пункт п. Буранное |
|
1 |
|
+ |
1 004 102,80 |
|
|
Фельдшерский пункт п. Красинское |
|
|
1 |
+ |
1 590 703,60 |
|
|
Фельдшерский пункт п. Северное |
|
1 |
|
+ |
1 004 102,80 |
|
|
БУ РК "Малодербетовская РБ", в том числе |
1 |
6 |
0 |
|
6 526 668,20 |
543 889,02 |
|
Фельдшерский пункт п. с. Плодовитое |
|
1 |
|
+ |
1 004 102,80 |
|
|
Фельдшерский пункт п. Ханата |
|
1 |
|
+ |
1 004 102,80 |
|
|
Фельдшерский пункт п. Ики Бухус |
|
1 |
|
+ |
1 004 102,80 |
|
|
Фельдшерский пункт п. Зурган |
|
1 |
|
+ |
1 004 102,80 |
|
|
Фельдшерский пункт п. Унгун Терячи |
|
1 |
|
+ |
1 004 102,80 |
|
|
Фельдшерский пункт п. Ики Манлан |
1 |
|
|
- |
502 051,40 |
|
|
Фельдшерский пункт п. Хонч Нур |
|
1 |
|
+ |
1 004 102,80 |
|
|
БУ РК "Октябрьская РБ", в том числе |
0 |
3 |
0 |
|
3 012 308,40 |
251 025,70 |
|
Фельдшерский пункт п. Мирный |
|
1 |
|
+ |
1 004 102,80 |
|
|
Фельдшерский пункт п. Джангар |
|
1 |
|
+ |
1 004 102,80 |
|
|
Фельдшерский пункт п. Хошеут |
|
1 |
|
+ |
1 004 102,80 |
|
|
БУ РК "Приютненская РБ", в том числе |
0 |
5 |
1 |
|
6 611 217,60 |
550 934,80 |
|
Фельдшерский пункт п. Ульдючины |
|
1 |
|
+ |
1 004 102,80 |
|
|
Фельдшерский пункт п. Воробьевка |
|
|
1 |
+ |
1 500 703,60 |
|
|
Фельдшерский пункт п. Нарта |
|
1 |
|
+ |
1 004 102,80 |
|
|
Фельдшерский пункт п. Нарын |
|
1 |
|
+ |
1 004 102,80 |
|
|
Фельдшерский пункт п. Бурата |
|
1 |
|
+ |
1 004 102,80 |
|
|
Фельдшерский пункт п. Октябрьский |
|
1 |
|
+ |
1 004 102,80 |
|
|
"Сарпинская РБ", в том числе |
1 |
6 |
0 |
|
6 526 668,20 |
543 889,02 |
|
Фельдшерско-акушерский пункт п. Догзмакин |
1 |
|
|
- |
502 051,40 |
|
|
Фельдшерско-акушерский пункт новый передвижной |
|
1 |
|
+ |
1 004 102,80 |
|
|
Фельдшерский пункт с. Уманцево |
|
1 |
|
+ |
1 004 102,80 |
|
|
Фельдшерский пункт п. Коробкин |
|
1 |
|
+ |
1 004 102,80 |
|
|
Фельдшерский пункт п. Кировский |
|
1 |
|
+ |
1 004 102,80 |
|
|
Фельдшерский пункт п. Каажихин |
|
1 |
|
+ |
1 004 102,80 |
|
|
Фельдшерский пункт п. Кануково |
|
1 |
|
+ |
1 004 102,80 |
|
|
БУ РК "Черноземельская РБ им. У.Душана", в том числе |
0 |
3 |
1 |
+ |
4 603 012,00 |
383 584,33 |
|
Фельдшерский пункт п. Нарын Худук |
|
1 |
|
+ |
1 004 102,80 |
|
|
Фельдшерский пункт п. Кумской |
|
1 |
|
+ |
1 004 102,80 |
|
|
Фельдшерский пункт п. Прикумский |
|
|
1 |
+ |
1 540 703,60 |
|
|
Фельдшерский пункт п. Сарул |
|
1 |
|
+ |
1 004 102,80 |
|
|
БУ РК "Юстинская РБ", в том числе |
1 |
6 |
0 |
|
6 526 668,20 |
543 889,02 |
|
Фельдшерско-акушерский пункт п. Юста |
|
1 |
|
+ |
1 004 102,80 |
|
|
Фельдшерско-акушерский пункт п. Харба |
|
1 |
|
+ |
1 004 102,80 |
|
|
Фельдшерский пункт п. Белоозерный |
|
1 |
|
+ |
1 004 102,80 |
|
|
Фельдшерский пункт п. Октябрьский |
1 |
|
|
- |
502 051,40 |
|
|
Фельдшерский пункт п. Татал |
|
1 |
|
+ |
1 004 102,80 |
|
|
Фельдшерский пункт п. Чомпот |
|
1 |
|
+ |
1 004 102,80 |
|
|
Фельдшерский пункт п. Барун |
|
1 |
|
+ |
1 004 102,80 |
|
|
БУ РК "Яшалтинская РБ", в том числе |
0 |
8 |
0 |
|
8 032 822,40 |
669 401,87 |
|
Фельдшерско-акушерский пункт с. Манычское |
|
1 |
|
+ |
1 004 102,80 |
|
|
Фельдшерско-акушерский пункт п. Бага-Тугтун |
|
1 |
|
+ |
1 004 102,80 |
|
|
Фельдшерско-акушерский пункт с. Веселое |
|
1 |
|
+ |
1 004 102,80 |
|
|
Фельдшерско-акушерский пункт с. Березовское |
|
1 |
|
+ |
1 004 102,80 |
|
|
Фельдшерско-акушерский пункт с. Октябрьское |
|
1 |
|
+ |
1 004 102,80 |
|
|
Фельдшерский пункт с. Красный Партизан |
|
1 |
|
+ |
1 004 102,80 |
|
|
Фельдшерский пункт с Краснополье |
|
1 |
|
+ |
1 004 102,80 |
|
|
Фельдшерский пункт с Красный Маныч |
|
1 |
|
+ |
1 004 102,80 |
|
|
БУ РК "Яшкульская РБ", в том числе |
0 |
7 |
2 |
|
10 210 126,80 |
850 843,90 |
|
Фельдшерско-акушерский пункт п. Гашун |
|
|
1 |
+ |
1 540 703,60 |
|
|
Фельдшерско-акушерский пункт п. Тавн-Гашун |
|
1 |
|
+ |
1 004 102,80 |
|
|
Фельдшерско-акушерский пункт п. Цаган-Усн |
|
1 |
|
+ |
1 004 102,80 |
|
|
Фельдшерско-акушерский пункт п. Улан-Эрге |
|
|
1 |
+ |
1 540 703,60 |
|
|
Фельдшерский пункт п. Молодежное |
|
1 |
|
+ |
1 004 102,80 |
|
|
Фельдшерский пункт п. Утта |
|
1 |
|
+ |
1 004 102,80 |
|
|
Фельдшерский пункт п. Хар-Толга |
|
1 |
|
+ |
1 004 102,80 |
|
|
Фельдшерский пункт п. Элвг |
|
1 |
|
+ |
1 004 102,80 |
|
|
Фельдшерский пункт п. Эрмели |
|
1 |
|
+ |
1 004 102,80 |
|
|
БУ РК "Городская поликлиника", в том числе |
0 |
12 |
0 |
|
12 049 233,60 |
1 004 102,80 |
|
Фельдшерский пункт п. Салын |
|
1 |
|
+ |
1 004 102,80 |
|
|
Фельдшерский пункт п. Бага Чонос |
|
1 |
|
+ |
1 004 102,80 |
|
|
Фельдшерский пункт п. Ялмта |
|
1 |
|
+ |
1 004 102,80 |
|
|
Фельдшерский пункт п. Найнтахн |
|
1 |
|
+ |
1 004 102,80 |
|
|
Фельдшерский пункт п. Овата |
|
1 |
|
+ |
1 004 102,80 |
|
|
Фельдшерский пункт п. Чагорта |
|
1 |
|
+ |
1 004 102,80 |
|
|
Фельдшерский пункт п. Верхний Яшкуль |
|
1 |
|
+ |
1 004 102,80 |
|
|
Фельдшерский пункт п. Ики Чонос |
|
1 |
|
+ |
1 004 102,80 |
|
|
Фельдшерский пункт п. Целинный |
|
1 |
|
+ |
1 004 102,80 |
|
|
Фельдшерский пункт п. Джурак |
|
1 |
|
+ |
1 004 102,80 |
|
|
Фельдшерский пункт п. Бургуста |
|
1 |
|
+ |
1 004 102,80 |
|
|
Фельдшерский пункт п. Лола |
|
1 |
|
+ |
1 004 102,80 |
|
Итого по РК |
7 |
83 |
5 |
|
44 808 410,20 |
| |
Приложение N 7
к Тарифному соглашению на 2020 год
ПЕРЕЧЕНЬ КСГ КРУГЛОСУТОЧНОГО
СТАЦИОНАРА, ПО КОТОРЫМ ОПЛАТА
МЕДИЦИНСКОЙ ПОМОЩИ, ОСУЩЕСТВЛЯЕТСЯ В
ПОЛНОМ ОБЪЕМЕ ПРИ ДЛИТЕЛЬНОСТИ
ГОСПИТАЛИЗАЦИИ 3 ДНЯ И МЕНЕЕ (В РЕДАКЦИИ
ИЗМЕНЕНИЙ, ВНЕСЕННЫХ ДОПОЛНИТЕЛЬНЫМ
СОГЛАШЕНИЕМ N 2 ОТ 19.03.2020)
(в
ред. Дополнительного соглашения ФОМС
Республики Калмыкия от 19.03.2020 N 2)
N КСГ |
Наименование КСГ |
Круглосуточный стационар | |
S102.001 |
Осложнения, связанные с беременностью |
$Ю2.002 |
Беременность, закончившаяся абортивным исходом |
st02.003 |
Родоразрешение |
st02.004 |
Кесарево сечение |
st02.010 |
Операции на женских половых органах (уровень 1) |
st02.0l 1 |
Операции на женских половых органах (уровень 2) |
st03.002 |
Ангионевротический отек, анафилактический шок |
st05.008 |
Лекарственная терапия при доброкачественных заболеваниях крови и пузырном заносе <*> |
st08.001 |
Лекарственная терапия при злокачественных новообразованиях других локализаций (кроме лимфоидной и кроветворной тканей), дети <*> |
st08.002 |
Лекарственная терапия при остром лейкозе, дети <*> |
st08.003 |
Лекарственная терапия при других злокачественных новообразованиях лимфоидной и кроветворной тканей, дети <*> |
st 12.010 |
Респираторные инфекции верхних дыхательных путей с осложнениями, взрослые |
st 12.011 |
Респираторные инфекции верхних дыхательных путей, дети |
st 14.002 |
Операции на кишечнике и анальной области (уровень 2) |
st 15.008 |
Неврологические заболевания, лечение с применением ботулотоксина (уровень 1) <*> |
st 15.009 |
Неврологические заболевания, лечение с применением ботулотоксина (уровень 2) <*> |
st 16.005 |
Сотрясение головного мозга |
st 19.007 |
Операции при злокачественных новообразованиях почки и мочевыделительной системы (уровень 2) |
st!9.027 |
Лекарственная терапия при злокачественных новообразованиях (кроме лимфоидной и кроветворной тканей), взрослые (уровень 1) <*> |
st 19.028 |
Лекарственная терапия при злокачественных новообразованиях (кроме лимфоидной и кроветворной тканей), взрослые (уровень 2) <*> |
st 19.029 |
Лекарственная терапия при злокачественных новообразованиях (кроме лимфоидной и кроветворной тканей), взрослые (уровень 3) <*> |
st 19.030 |
Лекарственная терапия при злокачественных новообразованиях (кроме лимфоидной и кроветворной тканей), взрослые (уровень 4) <*> |
st 19.031 |
Лекарственная терапия при злокачественных новообразованиях (кроме лимфоидной и кроветворной тканей), взрослые (уровень 5) <*> |
stl 9.032 |
Лекарственная терапия при злокачественных новообразованиях (кроме лимфоидной и кроветворной тканей), взрослые (уровень 6) <*> |
st 19.033 |
Лекарственная терапия при злокачественных новообразованиях (кроме лимфоидной и кроветворной тканей), взрослые (уровень 7) <*> |
stl 9.034 |
Лекарственная терапия при злокачественных новообразованиях (кроме лимфоидной и кроветворной тканей), взрослые (уровень 8) <*> |
stl 9.035 |
Лекарственная терапия при злокачественных новообразованиях (кроме лимфоидной и кроветворной тканей), взрослые (уровень 9) <*> |
stl 9.036 |
Лекарственная терапия при злокачественных новообразованиях (кроме лимфоидной и кроветворной тканей), взрослые (уровень 10) <*> |
stl 9.056 |
Лекарственная терапия при злокачественных новообразованиях (кроме лимфоидной и кроветворной тканей), взрослые (уровень 11) <*> |
stl 9.057 |
Лекарственная терапия при злокачественных новообразованиях (кроме лимфоидной и кроветворной тканей), взрослые (уровень 12) <*> |
stl 9.058 |
Лекарственная терапия при злокачественных новообразованиях (кроме лимфоидной и кроветворной тканей), взрослые (уровень 13) <*> |
stl 9.059 |
Лекарственная терапия при остром лейкозе, взрослые <*> |
stl 9.060 |
Лекарственная терапия при других злокачественных новообразованиях лимфоидной и кроветворной тканей, взрослые <*> |
stl 9.061 |
Лекарственная терапия злокачественных новообразований лимфоидной и кроветворной тканей с применением моноклональных антител, ингибиторов протеинкиназы <*> |
stl 9.038 |
Установка, замена порт системы (катетера) для лекарственной терапии злокачественных новообразований |
st20.005 |
Операции на органе слуха, придаточных пазухах носа и верхних дыхательных путях (уровень 1) |
st20.006 |
Операции на органе слуха, придаточных пазухах носа и верхних дыхательных путях (уровень 2) |
st20.010 |
Замена речевого процессора |
st21.001 |
Операции на органе зрения (уровень 1) |
st21.002 |
Операции на органе зрения (уровень 2) |
st21.003 |
Операции на органе зрения (уровень 3) |
st21.004 |
Операции на органе зрения (уровень 4) |
sl21.005 |
Операции на органе зрения (уровень 5) |
st21.006 |
Операции на органе зрения (уровень 6) |
st25.004 |
Диагностическое обследование сердечно-сосудистой системы |
st27.012 |
Отравления и другие воздействия внешних причин |
st30.006 |
Операции на мужских половых органах, взрослые (уровень 1) |
st130.010 |
Операции на почке и мочевыделительной системе, взрослые (уровень 1) |
st130.011 |
Операции на почке и мочевыделительной системе, взрослые (уровень 2) |
st30.012 |
Операции на почке и мочевыделительной системе, взрослые (уровень 3) |
st30.014 |
Операции на почке и мочевыделительной системе, взрослые (уровень 5) |
st31.017 |
Доброкачественные новообразования, новообразования in situ кожи, жировой ткани и другие болезни кожи |
st32.002 |
Операции на желчном пузыре и желчевыводящих путях (уровень 2) |
st32.012 |
Аппендэктомия, взрослые (уровень 2) |
st32.016 |
Другие операции на органах брюшной полости (уровень 1) |
st34.002 |
Операции на органах полости рта (уровень 1) |
S136.001 |
Комплексное лечение с применением препаратов иммуноглобулина <*> |
st36.003 |
Лечение с применением генно-инженерных биологических препаратов и селективных иммунодепрессантов <*> |
st36.007 |
Установка, замена, заправка помп для лекарственных препаратов |
st36.009 |
Реинфузия аутокрови |
st36.010 |
Баллонная внутриаортальная контрпульсация |
SI36.011 |
Экстракорпоральная мембранная оксигенация |
Дневной стационар | |
ds02.001 |
Осложнения беременности, родов, послеродового периода |
ds02.006 |
Искусственное прерывание беременности (аборт) |
ds02.007 |
Аборт медикаментозный |
ds05.005 |
Лекарственная терапия при доброкачественных заболеваниях крови и пузырном заносе <*> |
ds08.001 |
Лекарственная терапия при злокачественных новообразованиях других локализаций (кроме лимфоидной и кроветворной тканей), дети <*> |
ds08.002 |
Лекарственная терапия при остром лейкозе, дети <*> |
ds08.003 |
Лекарственная терапия при других злокачественных новообразованиях лимфоидной и кроветворной тканей, дети <*> |
ds15.002 |
Неврологические заболевания, лечение с применением ботулотоксина (уровень 1) <*> |
ds15.003 |
Неврологические заболевания, лечение с применением ботулотоксина (уровень 2) <*> |
ds19.018 |
Лекарственная терапия при злокачественных новообразованиях (кроме лимфоидной и кроветворной тканей), взрослые (уровень 1) |
ds19.019 |
Лекарственная терапия при злокачественных новообразованиях (кроме лимфоидной и кроветворной тканей), взрослые (уровень 2) <*> |
ds19.020 |
Лекарственная терапия при злокачественных новообразованиях (кроме лимфоидной и кроветворной тканей), взрослые (уровень 3) <*> |
ds19.021 |
Лекарственная терапия при злокачественных новообразованиях (кроме лимфоидной и кроветворной тканей), взрослые (уровень 4) <*> |
ds19.022 |
Лекарственная терапия при злокачественных новообразованиях (кроме лимфоидной и кроветворной тканей), взрослые (уровень 5) <*> |
ds19.023 |
Лекарственная терапия при злокачественных новообразованиях (кроме лимфоидной и кроветворной тканей), взрослые (уровень 6) <*> |
ds19.024 |
Лекарственная терапия при злокачественных новообразованиях (кроме лимфоидной и кроветворной тканей), взрослые (уровень 7) <*> |
ds19.025 |
Лекарственная терапия при злокачественных новообразованиях (кроме лимфоидной и кроветворной тканей), взрослые (уровень 8) <*> |
ds19.026 |
Лекарственная терапия при злокачественных новообразованиях (кроме лимфоидной и кроветворной тканей), взрослые (уровень 9) <*> |
ds19.027 |
Лекарственная терапия при злокачественных новообразованиях (кроме лимфоидной и кроветворной тканей), взрослые (уровень 10) <*> |
ds19.030 |
Лекарственная терапия при злокачественных новообразованиях (кроме лимфоидной и кроветворной тканей), взрослые (уровень 11) <*> |
ds19.031 |
Лекарственная терапия при злокачественных новообразованиях (кроме лимфоидной и кроветворной тканей), взрослые (уровень 12) <*> |
ds19.032 |
Лекарственная терапия при злокачественных новообразованиях (кроме лимфоидной и кроветворной тканей), взрослые (уровень 13) <*> |
ds1 9.034 |
Лекарственная терапия при остром лейкозе, взрослые <*> |
ds19.035 |
Лекарственная терапия при других злокачественных новообразованиях лимфоидной и кроветворной тканей, взрослые <*> |
ds19.036 |
Лекарственная терапия злокачественных новообразований лимфоидной и кроветворной тканей с применением моноклональных антител, ингибиторов протеинкиназы <*> |
ds19.028 |
Установка, замена порт системы (катетера) для лекарственной терапии злокачественных новообразований |
ds19.029 |
Госпитализация в диагностических целях с постановкой/подтвсрждением диагноза злокачественного новообразования с использованием ПЭТ КТ |
ds19.033 |
Госпитализация в диагностических целях с проведением биопсии и последующим проведением молекулярно-генетического и/или иммуногистохимического исследования |
ds20.002 |
Операции на органе слуха, придаточных пазухах носа и верхних дыхательных путях(уровень 1) |
ds20.003 |
Операции на органе слуха, придаточных пазухах носа и верхних дыхательных путях (уровень 2) |
ds20.006 |
Замена речевого процессора |
ds21.002 |
Операции на органе зрения (уровень 1) |
ds21.003 |
Операции на органе зрения (уровень 2) |
ds21.004 |
Операции на органе зрения (уровень 3) |
ds21.005 |
Операции на органе зрения (уровень 4) |
ds21.006 |
Операции на органе зрения (уровень 5) |
ds25.001 |
Диагностическое обследование сердечно-сосудистой системы |
ds27.001 |
Отравления и другие воздействия внешних причин |
ds34.002 |
Операции на органах полости рта (уровень 1) |
ds36.001 |
Комплексное лечение с применением препаратов иммуноглобулина <*> |
ds36.004 |
Лечение с применением генно-инженерных биологических препаратов и селективных иммунодепрессантов <*> |
* При условии соблюдения режима
введения лекарственных препаратов
согласно инструкциям по применению
лекарственных препаратов для
медицинского применения.
Приложение N 8
К Тарифному соглашению на 2020 год
ПЕРЕЧЕНЬ КСГ, КОТОРЫЕ СЧИТАЮТСЯ
СВЕРХДЛИТЕЛЬНЫМИ ПРИ СРОКЕ ПРЕБЫВАНИЯ
БОЛЕЕ 45 ДНЕЙ
N КСГ |
Наименование КСГ |
st10.001 |
Детская хирургия (уровень 1) |
st10.002 |
Детская хирургия (уровень 2) |
st17.002 |
Крайне малая масса тела при рождении, крайняя незрелость |
st17.003 |
Лечение новорожденных с тяжелой патологией с применением аппаратных методов поддержки или замещения витальных функций |
st29.007 |
Тяжелая множественная и сочетанная травма (политравма) |
st32.006 |
Операции на печени и поджелудочной железе (уровень 2) |
st32.007 |
Панкреатит, хирургическое лечение |
st33.007 |
Ожоги (уровень 5) |
Приложение N 9
к Тарифному соглашению на 2020 год
ПЕРЕЧЕНЬ КСГ ПО СТАЦИОНАРУ, КОТОРЫЕ НЕ
МОГУТ СЧИТАТЬСЯ СВЕРХДЛИТЕЛЬНЫМИ И
ОПЛАЧИВАТЬСЯ С ПРИМЕНЕНИЕМ
СООТВЕТСТВУЮЩЕГО КСЛП
N |
КСГ |
Наименование КСГ |
1 |
st19.039 |
Лучевая терапия (уровень 1) |
2 |
st19.040 |
Лучевая терапия (уровень 2) |
3 |
st19.041 |
Лучевая терапия (уровень 3) |
4 |
st19.042 |
Лучевая терапия (уровень 4) |
5 |
st19.043 |
Лучевая терапия (уровень 5) |
6 |
st19.044 |
Лучевая терапия (уровень 6) |
7 |
st19.045 |
Лучевая терапия (уровень 7) |
8 |
st19.046 |
Лучевая терапия (уровень 8) |
9 |
st19.047 |
Лучевая терапия (уровень 9) |
10 |
st19.048 |
Лучевая терапия (уровень 10) |
11 |
st19.049 |
Лучевая терапия в сочетании с лекарственной терапией (уровень 1) |
12 |
st19.050 |
Лучевая терапия в сочетании с лекарственной терапией (уровень 2) |
13 |
st19.051 |
Лучевая терапия в сочетании с лекарственной терапией (уровень 3) |
14 |
st19.052 |
Лучевая терапия в сочетании с лекарственной терапией (уровень 4) |
15 |
st19.053 |
Лучевая терапия в сочетании с лекарственной терапией (уровень 5) |
16 |
st19.054 |
Лучевая терапия в сочетании с лекарственной терапией (уровень 6) |
17 |
st19.055 |
Лучевая терапия в сочетании с лекарственной терапией (уровень 7) |
Приложение N 10
к Тарифному соглашению на 2020 год
ПЕРЕЧЕНЬ МЕДИЦИНСКИХ ОРГАНИЗАЦИЙ,
ОКАЗЫВАЮЩИХ МЕДИЦИНСКУЮ ПОМОЩЬ В
УСЛОВИЯХ ДНЕВНОГО СТАЦИОНАРА, В РАЗРЕЗЕ
УРОВНЕЙ ОКАЗАНИЯ МЕДИЦИНСКОЙ ПОМОЩИ (В
РЕДАКЦИИ ИЗМЕНЕНИЙ, ВНЕСЕННЫХ
ДОПОЛНИТЕЛЬНЫМ СОГЛАШЕНИЕМ N 1 ОТ 11.02.2020)
(в
ред. Дополнительного соглашения ФОМС
Республики Калмыкия от 11.02.2020 N 1)
N |
Наименование медицинской организации |
1 уровень |
2 уровень |
3 уровень |
1 |
БУ РК "Республиканская больница им. П.П. Жемчуева" |
|
|
+ |
2 |
БУ РК "Республиканский детский медицинский центр" |
|
+ |
|
3 |
БУ РК "Республиканский центр специализированных видов медицинской помощи" |
|
+ |
|
4 |
БУ РК "Республиканский онкологический диспансер им. Э.С. Тимошкаевой" |
|
+ |
|
5 |
БУ РК "Республиканский госпиталь ветеранов войн" |
|
4- |
|
6 |
БУ РК "Перинатальный центр им. О.А. Шангаевой" |
|
4- |
|
7 |
БУ РК "Городовиковская РБ" |
+ |
|
|
8 |
БУ РК "Ики-Бурульская РБ" |
|
|
|
9 |
БУ РК "Кетченеровская РБ" |
+ |
|
|
10 |
БУ РК "Лаганская РБ" |
+ |
|
|
11 |
БУ РК "Малодербетовская РБ" |
+ |
|
|
12 |
БУ РК "Октябрьская РБ" |
+ |
|
|
13 |
БУ РК "Приютненская РБ" |
+ |
|
|
14 |
БУ РК "Сарпинская РБ" |
+ |
|
|
15 |
БУ РК "Черноземельская РБ им. У.Душана" |
+ |
|
|
16 |
БУ РК "Юстинская РБ" |
+ |
|
|
17 |
БУ РК "Яшалтинская РБ" |
+ |
|
|
18 |
БУ РК "Яшкульская РБ" |
+ |
|
|
19 |
БУ РК "Городская поликлиника" |
+ |
|
|
20 |
Элистинский филиал N 1 ООО "Северо-Кавказский |
+ |
|
|
21 |
ООО "Калмыцкий нефрологический центр" |
+ |
|
|
22 |
ООО "Клиника высоких технологий микрохирургии глаза г. Элиста" |
|
|
++ |
23 |
ООО "Геном-Волга" |
+ |
|
|
24 |
ООО "Эко-центр" |
+ |
|
|
25 |
ООО "Волгоградский медицинский центр эндохирургии и литотрипсии" |
+ |
|
|
26 |
ООО "ХАВЕН" |
+ |
|
|
27 |
ООО "Республиканский центр флебологии и проктологии проф. С.И. Ларина" |
+ |
|
|
Приложение N 11
к Тарифному соглашению на 2020 год
ПЕРЕЧЕНЬ МЕДИЦИНСКИХ ОРГАНИЗАЦИЙ
(СТРУКТУРНЫХ ПОДРАЗДЕЛЕНИЙ МЕДИЦИНСКИХ
ОРГАНИЗАЦИЙ), ОПЛАТА МЕДИЦИНСКОЙ ПОМОЩИ
В КОТОРЫХ ОСУЩЕСТВЛЯЕТСЯ ПО ПОДУШЕВОМУ
НОРМАТИВУ ФИНАНСИРОВАНИЯ СКОРОЙ
МЕДИЦИНСКОЙ ПОМОЩИ
N |
Наименование медицинской организации |
1 уровень |
2 уровень |
3 уровень |
1 |
БУ РК "Городовиковская РБ" |
+ |
|
|
2 |
БУ РК "Ики-Бурульская РБ" |
+ |
|
|
3 |
БУ РК "Кетченеровская РБ" |
+ |
|
|
4 |
БУ РК "Лаганская РБ" |
+ |
|
|
5 |
БУ РК "Малодербетовская РБ" |
+ |
|
|
6 |
БУ РК "Октябрьская РБ" |
+ |
|
|
7 |
БУ РК "Приютненская РБ" |
+ |
|
|
8 |
БУ РК "Сарпинская РБ" |
+ |
|
|
9 |
БУ РК "Черноземельская РБ им. У.Душана" |
+ |
|
|
10 |
БУ РК "Юстинская РБ" |
+ |
|
|
11 |
БУ РК "Яшалтинская РБ" |
+ |
|
|
12 |
БУ РК "Яшкульская РБ" |
+ |
|
|
13 |
БУ РК "Станция скорой медицинской помощи" |
+ |
|
|
Приложение N 12
к Соглашению на 2020 год
ПОРЯДОК ОПРЕДЕЛЕНИЯ ДИФФЕРЕНЦИРОВАННЫХ
ПОДУШЕВЫХ НОРМАТИВОВ НА ТЕРРИТОРИИ
РЕСПУБЛИКИ КАЛМЫКИЯ НА 2020 ГОД
1. Порядок определения размера
дифференцированного подушевого
норматива финансирования оплаты
медицинской помощи, оказанной в
амбулаторных условиях
Дифференцированные подушевые
нормативы финансирования страховых
медицинских организаций предназначены
для определения размера финансовых
средств для финансирования страховых
медицинских организаций, в расчете на
одно застрахованное лицо, с учетом
различия в затратах на оказание
медицинской помощи отдельным группам
застрахованных лиц в зависимости от
пола, возраста.
Расчет объемов финансирования
страховых медицинских организаций по
дифференцированным подушевым
нормативам осуществляется
Территориальным фондом обязательного
медицинского страхования Республики
Калмыкия ежемесячно и утверждается
директором ТФ ОМС Республики Калмыкия.
Расчет подушевого норматива
финансирования осуществляется исходя
из:
- численности застрахованных лиц
состоянию на 1 число месяца, за который
страховыми медицинскими организациями
будет осуществляться оплата медицинской
помощи распределенных на следующие
половозрастные группы (далее -
половозрастные группы):
до года мужчины/женщины;
один год - четыре года
мужчины/женщины;
пять - семнадцать лет
мужчины/женщины;
восемнадцать - шестьдесят четыре
года мужчины/женщины;
шестьдесят пять лет и старше
мужчины/женщины;
- объема финансовых средств,
предусмотренных на формирование
подушевого норматива финансирования
(для расчета базового (среднего)
подушевого норматива финансирования)
В соответствии с подпунктом 2
пункта 5.3 Требований к структуре и
содержанию тарифного соглашения,
установленных приказом Федерального
фонда обязательного медицинского
страхования от 21 ноября 2018 года N 247 (далее
- Требования), на основе нормативов
объемов медицинской помощи и финансовых
затрат на единицу объема медицинской
помощи, установленных территориальной
программой обязательного медицинского
страхования, определяется средний
размер финансового обеспечения
медицинской помощи, оказанной в
амбулаторных условиях медицинскими
организациями, участвующими в
реализации территориальной программы
обязательного медицинского страхования
Республики Калмыкия, в расчете на одно
застрахованное лицо по следующей
формуле:
,
где:
|
- |
средний размер финансового обеспечения медицинской помощи, оказанной в амбулаторных условиях медицинскими организациями, участвующими в реализации территориальной программы обязательного медицинского страхования Республики Калмыкия, в расчете на одно застрахованное лицо, рублей; |
НоПРОФ |
- |
средний норматив объема медицинской помощи, оказанной в амбулаторных условиях с профилактическими и иными целями (включая посещения центров здоровья, посещения в связи с диспансеризацией, посещения среднего медицинского персонала), установленный территориальной программой государственных гарантий бесплатного оказания гражданам медицинской помощи в части базовой программы обязательного медицинского страхования, посещений; |
НоОЗ |
- |
средний норматив объема медицинской помощи, оказанной в амбулаторных условиях в связи с заболеваниями, установленный территориальной программой государственных гарантий бесплатного оказания гражданам медицинской помощи в части базовой программы обязательного медицинского страхования, обращений; |
НоНЕОТЛ |
- |
средний норматив объема медицинской помощи, оказанной в амбулаторных условиях в неотложной форме, установленный территориальной программой государственных гарантий бесплатного оказания гражданам медицинской помощи в части базовой программы обязательного медицинского страхования, посещений; |
НфзПРОФ |
- |
средний норматив финансовых затрат на единицу объема медицинской помощи, оказанной в амбулаторных условиях с профилактическими и иными целями (включая посещения центров здоровья, посещения в связи с диспансеризацией, посещения среднего медицинского персонала), установленный территориальной программой государственных гарантий бесплатного оказания гражданам медицинской помощи в части базовой программы обязательного медицинского страхования, рублей; |
НфзОЗ |
- |
средний норматив финансовых затрат на единицу объема медицинской помощи, оказанной в амбулаторных условиях в связи с заболеваниями, установленный территориальной программой государственных гарантий бесплатного оказания гражданам медицинской помощи в части базовой программы обязательного медицинского страхования, рублей; |
НфзНЕОТЛ |
- |
средний норматив финансовых затрат на единицу объема медицинской помощи, оказываемой в амбулаторных условиях в неотложной форме, установленный территориальной программой государственных гарантий бесплатного оказания гражданам медицинской помощи в части базовой программы обязательного медицинского страхования, рублей; |
ОсМТР |
- |
размер средств, направляемых на оплату медицинской помощи, оказываемой в амбулаторных условиях за единицу объема медицинской помощи застрахованным лицам за пределами Республики Калмыкия, на территории которой выдан полис обязательного медицинского страхования, рублей; |
Чз |
- |
численность застрахованного населения Республики Калмыкия, по состоянию на 1 декабря 2019 г. человек |
Подушевой норматив финансирования
медицинской помощи в амбулаторных
условиях за исключением медицинской
помощи, финансируемой в соответствии с
установленными Программой нормативами,
оказываемой медицинскими организациями,
участвующими в реализации
территориальной программы
обязательного медицинского страхования
данного субъекта Российской Федерации, в
расчете на одно застрахованное лицо
определяется по следующей формуле:
, где:
ПНА |
подушевой норматив финансирования медицинской помощи в амбулаторных условиях за исключением медицинской помощи, финансируемой в соответствии с установленными нормативами, рублей; |
ОСФАП |
размер средств, направляемых на финансовое обеспечение фельдшерских, фельдшерско-акушерских пунктов в соответствии с установленными территориальной программой государственных гарантий бесплатного оказания гражданам медицинской помощи размерами финансового обеспечения фельдшерских, фельдшерско-акушерских пунктов, рублей; |
ОСИССЛЕД |
размер средств, направляемых на оплату проведения отдельных диагностических (лабораторных) исследований (компьютерной томографии, магнитно-резонансной томографии, ультразвукового исследования сердечно-сосудистой системы, эндоскопических диагностических исследований, гистологических исследований и молекулярно-генетических исследований с целью выявления онкологических заболеваний и подбора таргетной терапии) в соответствии с нормативами, установленными территориальной программой государственных гарантий бесплатного оказания гражданам медицинской помощи в части базовой программы обязательного медицинского страхования, рублей; |
ОСПО |
размер средств, направляемых на оплату проведения профилактических медицинских осмотров в соответствии с нормативами, установленными территориальной программой государственных гарантий бесплатного оказания гражданам медицинской помощи в части базовой программы обязательного медицинского страхования, рублей; |
ОСДИСП |
размер средств, направляемых на оплату проведения диспансеризации, включающей профилактический медицинский осмотр и дополнительные методы обследований, в соответствии с нормативами, установленными территориальной программой государственных гарантий бесплатного оказания гражданам медицинской помощи в части базовой программы обязательного медицинского страхования, рублей; |
ОСНЕОТЛ |
размер средств, направляемых на оплату посещений в неотложной форме в соответствии с нормативами, установленными территориальной программой государственных гарантий бесплатного оказания гражданам медицинской помощи в части базовой программы обязательного медицинского страхования, рублей |
Исходя из подушевого норматива
финансирования медицинской помощи в
амбулаторных условиях за исключением
медицинской помощи, финансируемой в
соответствии с установленными
Программой нормативами (ПНА),
оказываемой медицинскими организациями,
участвующими в реализации
территориальной программы
обязательного медицинского страхования
данного субъекта Российской Федерации, в
расчете на одно застрахованное лицо
определяется базовый (средний) подушевой
норматив финансирования медицинской
помощи по следующей формуле:
, где:
ПНБАЗ |
базовый (средний) подушевой норматив финансирования, рублей; |
ОСЕО |
размер средств, направляемых на оплату медицинской помощи, оказываемой в амбулаторных условиях за единицу объема медицинской помощи застрахованным в данном субъекте Российской Федерации лицам (за исключением медицинской помощи, финансируемой в соответствии с установленными Программой нормативами), рублей |
В Базовый подушевой норматив
финансирования на прикрепившихся лиц
(далее - подушевой норматив) не
включаются:
- расходы медицинских организаций
на оказание медицинской помощи в
амбулаторных условиях, не имеющих
прикрепившихся лиц, оплата медицинской
помощи в которых осуществляется за
единицу объема медицинской помощи;
- расходы на финансовое обеспечение
мероприятий по проведению всех видов
диспансеризации и профилактических
осмотров отдельных категорий граждан,
порядки проведения которых установлены
нормативно-правовыми актами;
- расходы на оплату диализа в
амбулаторных условиях;
- расходы на оплату
стоматологической медицинской помощи,
оказанной в амбулаторных условиях;
- расходы на медицинскую помощь,
оказываемую в неотложной форме;
- расходы на оплату проведения
отдельных диагностических исследований
(компьютерной томографии,
магнитно-резонансной томографии,
ультразвукового исследования
сердечно-сосудистой системы,
эндоскопических диагностических
исследований, гистологических
исследований и молекулярно-генетических
исследований с целью выявления
онкологических заболеваний и подбора
таргетной терапии);
- расходы на финансовое обеспечение
фельдшерских, фельдшерско-акушерских
пунктов.
На основе базового (среднего)
подушевого норматива финансирования
медицинской помощи, оказываемой в
амбулаторных условиях, рассчитывается
дифференцированные подушевые нормативы
для медицинских организаций по
следующей формуле:
, где:
|
дифференцированный подушевой норматив для i-той медицинской организации, рублей; |
|
коэффициент уровня (подуровня) оказания медицинской помощи, к которому относится i-тая медицинская организация; |
|
половозрастной коэффициент дифференциации, определенный для i-той медицинской организаций; |
|
коэффициент дифференциации на прикрепившихся к медицинской организации лиц с учетом наличия подразделений, расположенных в сельской местности, отдаленных территориях, поселках городского типа и малых городах с численностью населения до 50 тысяч человек и расходов на их содержание и оплату труда персонала, определенный для i-той медицинской организаций (при наличии) |
В целях приведения в соответствие
объема средств, рассчитанного по
дифференцированным подушевым
нормативам, к общему объему средств на
финансирование медицинских организаций
рассчитывается поправочный коэффициент
(ПК) по формуле:
Фактический дифференцированный
подушевой норматив для медицинской
организации, имеющей прикрепленное
население, рассчитывается по формуле:
, где:
|
фактический дифференцированный подушевой норматив финансирования i-той медицинской организации, рублей |
2. Порядок определения размера
дифференцированного подушевого
норматива финансирования для оплаты
скорой медицинской помощи, оказанной
лицам вне медицинской организации
Расчет объемов финансирования
страховых медицинских организаций по
дифференцированным подушевым
нормативам осуществляется
Территориальным фондом обязательного
медицинского страхования Республики
Калмыкия ежемесячно и утверждается
директором ТФ ОМС Республики Калмыкия.
Расчет подушевого норматива
финансирования осуществляется исходя
из:
- на 1 число месяца, за который
страховыми медицинскими организациями
будет осуществляться оплата медицинской
помощи распределенных на следующие
половозрастные группы (далее -
половозрастные группы):
до года мужчины/женщины;
один год - четыре года
мужчины/женщины;
пять - семнадцать лет
мужчины/женщины;
восемнадцать - шестьдесят четыре
года мужчины/женщины;
шестьдесят пять лет и старше
мужчины/женщины;
- объема финансовых средств,
предусмотренных на формирование
подушевого норматива финансирования
(для расчета базового (среднего)
подушевого норматива финансирования)
На основе нормативов объемов
медицинской помощи и финансовых затрат
на единицу объема медицинской помощи,
установленных территориальной
программой обязательного медицинского
страхования, определяется средний
размер финансового обеспечения скорой
медицинской помощи, оказываемой вне
медицинской организации, медицинскими
организациями, участвующими в
реализации территориальной программы
обязательного медицинского страхования
Республики Калмыкия, в расчете на одно
застрахованное лицо по следующей
формуле:
, где:
|
- |
средний размер финансового обеспечения скорой медицинской помощи, оказываемой вне медицинской организации, медицинскими организациями, участвующими в реализации территориальной программы обязательного медицинского страхования Республики Калмыкия, в расчете на одно застрахованное лицо, рублей; |
НоСМП |
- |
средний норматив объема скорой медицинской помощи вне медицинской организации, установленный территориальной программой государственных гарантий бесплатного оказания гражданам медицинской помощи в части базовой программы обязательного медицинского страхования, вызовов; |
НфзСМП |
- |
средний норматив финансовых затрат на единицу объема скорой медицинской помощи вне медицинской организации, установленный территориальной программой государственных гарантий бесплатного оказания гражданам медицинской помощи в части базовой программы обязательного медицинского страхования, рублей; |
ОСМТР |
- |
размер средств, направляемых на оплату скорой медицинской помощи вне медицинской организации, оказываемой застрахованным лицам за пределами Республики Калмыкия, на территории которой выдан полис обязательного медицинского страхования за вызов, рублей; |
Чз |
- |
численность застрахованного населения Республики Калмыкия на 1 декабря 2019 года, человек |
При этом базовый (средний)
подушевой норматив финансирования
скорой медицинской помощи, оказываемой
вне медицинской организации,
рассчитывается исходя из среднего
размера финансового обеспечения скорой
медицинской помощи, оказываемой вне
медицинской организации, медицинскими
организациями, участвующими в
реализации территориальной программы
обязательного медицинского страхования
Республики Калмыкия, в расчете на одно
застрахованное лицо по следующей
формуле:
, где:
ПнБАЗ |
- |
базовый (средний) подушевой норматив финансирования скорой медицинской помощи вне медицинской организации, рублей; |
ОСВ |
- |
размер средств, направляемых на оплату скорой медицинской помощи вне медицинской организации застрахованным в Республике Калмыкия лицам за вызов, рублей |
На основе базового (среднего)
подушевого норматива финансирования
скорой медицинской помощи, оказываемой
вне медицинской организации, с учетом
объективных критериев дифференциации
стоимости оказания медицинской помощи в
Республике Калмыкия рассчитывается
дифференцированный подушевой норматив
финансирования скорой медицинской
помощи для однородных групп (подгрупп)
медицинских организаций по следующей
формуле:
ДПнi = ПнБАЗ х СКДiИНТ, где:
ДПнi |
- |
дифференцированный подушевой норматив финансирования скорой медицинской помощи для i-тойгруппы (подгруппы) медицинских организаций, рублей; |
СКДiИНТ |
- |
средневзвешенный интегрированный коэффициент дифференциации подушевого норматива финансирования скорой медицинской помощи, определенный для i-той группы (подгруппы) медицинских организаций. |
При этом объединение медицинских
организаций в однородные группы
(подгруппы) осуществляется исходя из
значений коэффициента дифференциации
подушевого норматива. Интегрированный
коэффициент дифференциации подушевого
норматива финансирования скорой
медицинской помощи определяется по
каждой медицинской организации по
следующей формуле:
КДИНТ = КДПВС х КДСИ, где:
КДИНТ |
- |
интегрированный коэффициент дифференциации подушевого норматива, определенный для медицинской организации; |
КДПВС |
- |
половозрастной коэффициент дифференциации подушевого норматива, рассчитанный для соответствующей медицинской организации; |
КДСИ |
- |
коэффициент дифференциации по уровню расходов на содержание медицинских организаций (при наличии); |
При осуществлении дифференциации
подушевого норматива следует учитывать,
что основным фактором дифференциации
является половозрастной состав
прикрепившегося населения, в
соответствии с которым определяются
половозрастные коэффициенты
потребления медицинской помощи.
Для каждой половозрастной группы
(подгруппы) рассчитываются единые
значения коэффициента дифференциации
рассчитанные на основе данных о
фактической стоимости оказанных
медицинских услуг в Республике Калмыкия,
включаемых в состав базового (среднего)
подушевого норматива финансирования.
В целях приведения в соответствие
объема средств, рассчитанного по
дифференцированным подушевым
нормативам финансирования скорой
медицинской помощи вне медицинской
организации, к общему объему средств на
финансирование медицинских организаций
рассчитывается поправочный коэффициент
(ПК) по формуле:
, где:
|
- |
численность застрахованных лиц, прикрепленных к i-той группе (подгруппе) медицинских организаций, человек. |
Фактический дифференцированный
подушевой норматив финансирования
скорой медицинской помощи вне
медицинской организации для группы
(подгруппы) медицинских организаций ()
рассчитывается по формуле:
, где:
ФДПнi |
- |
фактический дифференцированный подушевой норматив финансирования скорой медицинской помощи для i-той группы (подгруппы) медицинских организаций, рублей. |
Размер финансового обеспечения
медицинской организации, оказывающей
скорую медицинскую помощь вне
медицинской организации, определяется
исходя из значения дифференцированного
подушевого норматива, численности
обслуживаемого населения, а также
объемов медицинской помощи, оплата
которых осуществляется за вызов по
следующей формуле:
ФОСМП = ФДПнi х ЧзПР + ОСв, где:
ФОСМП |
- |
размер финансового обеспечения медицинской организации, оказывающей скорую медицинскую помощь вне медицинской организации, рублей; |
ЧзПР |
- |
численность застрахованных лиц, обслуживаемых данной медицинской организацией, человек. |
Расчетным периодом для определения
половозрастных коэффициентов
дифференциации составляет 11 месяцев,
предшествующие утверждению тарифного
соглашения в системе ОМС Республики
Калмыкия.
Приложение N 13
к Тарифному соглашению на 2020 год
ТАРИФЫ НА ОПЛАТУ ЗА ПОСЕЩЕНИЕ С
ПРОФИЛАКТИЧЕСКОЙ И ИНЫМИ ЦЕЛЯМИ,
ПРИМЕНЯЕМЫЕ В ТОМ ЧИСЛЕ ДЛЯ ОПЛАТЫ
СТОИМОСТИ МЕДИЦИНСКОЙ ПОМОЩИ, ОКАЗАННОЙ
МЕДИЦИНСКИМИ ОРГАНИЗАЦИЯМИ,
ОСУЩЕСТВЛЯЮЩИМИ ДЕЯТЕЛЬНОСТЬ В СФЕРЕ
ОМС РЕСПУБЛИКИ КАЛМЫКИЯ, ЛИЦАМ,
ЗАСТРАХОВАННЫМ НА ТЕРРИТОРИИ ДРУГИХ
СУБЪЕКТОВ РОССИЙСКОЙ ФЕДЕРАЦИИ (В
РЕДАКЦИИ ИЗМЕНЕНИЙ, ВНЕСЕННЫХ
ДОПОЛНИТЕЛЬНЫМ СОГЛАШЕНИЕМ N 7 ОТ 24.07.2020)
(в
ред. Дополнительного соглашения ФОМС
Республики Калмыкия от 24.07.2020 N 7)
Посещения с профилактической целью |
Стоимость на 1 квартал, руб. |
Стоимость на 2 квартал, руб. |
Стоимость на 3 квартал, руб. |
Стоимость на 4 квартал, руб. | ||||
|
взрослые |
дети |
взрослые |
дети |
взрослые |
дети |
взрослые |
дети |
кардиология |
220,78 |
220,78 |
284,06 |
284,06 |
263,70 |
263,70 |
263,70 |
263,70 |
ревматология |
220,78 |
220,78 |
284,06 |
284,06 |
263,70 |
263,70 |
263,70 |
263,70 |
гастроэнтерология |
193,89 |
193,89 |
249,47 |
249,47 |
231,59 |
231,59 |
231,59 |
231,59 |
пульмонология |
193,89 |
193,89 |
249,47 |
249,47 |
231,59 |
231,59 |
231,59 |
231,59 |
эндокринология (в т.ч. диабетолог) |
398,89 |
398,89 |
513,22 |
513,22 |
476,44 |
476,44 |
476,44 |
476,44 |
нефрология |
220,78 |
220,78 |
284,06 |
284,06 |
263,70 |
263,70 |
263,70 |
263,70 |
гематология |
367,34 |
367,34 |
472,63 |
472,63 |
438,76 |
438,76 |
438,76 |
438,76 |
гериатрия |
367,34 |
367,34 |
472,63 |
472,63 |
438,76 |
438,76 |
438,76 |
438,76 |
аллергология |
367,34 |
367,34 |
472,63 |
472,63 |
438,76 |
438,76 |
438,76 |
438,76 |
педиатрия |
292,40 |
292,40 |
376,21 |
376,21 |
349,25 |
349,25 |
349,25 |
349,25 |
терапия |
193,89 |
193,89 |
249,47 |
249,47 |
231,59 |
231,59 |
231,59 |
231,59 |
инфекционные болезни |
291,09 |
291,09 |
374,52 |
374,52 |
347,68 |
347,68 |
347,68 |
347,68 |
травматология-ортопедия |
206,56 |
206,56 |
265,77 |
265,77 |
246,72 |
246,72 |
246,72 |
246,72 |
урология |
167,15 |
167,15 |
215,06 |
215,06 |
199,65 |
199,65 |
199,65 |
199,65 |
нейрохирургия |
206,56 |
206,56 |
265,77 |
265,77 |
246,72 |
246,72 |
246,72 |
246,72 |
проктология |
206,56 |
206,56 |
265,77 |
265,77 |
246,72 |
246,72 |
246,72 |
246,72 |
хирургия |
206,56 |
206,56 |
265,77 |
265,77 |
246,72 |
246,72 |
246,72 |
246,72 |
стоматология (1 посещение) |
291,09 |
291,09 |
374,52 |
374,52 |
347,68 |
347,68 |
347,68 |
347,68 |
онкология |
206,56 |
206,56 |
265,77 |
265,77 |
246,72 |
246,72 |
246,72 |
246,72 |
акушерство и гинекология |
270,67 |
270,67 |
348,25 |
348,25 |
323,29 |
323,29 |
323,29 |
323,29 |
оториноларингология (в т.ч. сурдология) |
160,98 |
160,98 |
207,12 |
207,12 |
192,28 |
192,28 |
192,28 |
192,28 |
офтальмология |
138,00 |
138,00 |
177,55 |
177,55 |
164,83 |
164,83 |
164,83 |
164,83 |
неврология |
230,02 |
230,02 |
295,95 |
295,95 |
274,74 |
274,74 |
274,74 |
274,74 |
дерматология |
166,56 |
166,56 |
214,30 |
214,30 |
198,94 |
198,94 |
198,94 |
198.94 |
сосудистая хирургия |
206,56 |
206,56 |
265,77 |
265,77 |
246,72 |
246,72 |
246,72 |
246,72 |
ВОП, фельдшер, средний медперсонал |
193,89 |
292,40 |
249,47 |
376,21 |
231,59 |
349,25 |
231,59 |
349,25 |
посещение для динамического наблюдения в Центре здоровья |
193,89 |
292,40 |
249,47 |
376,21 |
231,59 |
349,25 |
231,59 |
349,25 |
Приложение N 14
к Тарифному соглашению на 2020 год
ТАРИФЫ НА ОПЛАТУ ЗА ОБРАЩЕНИЕ
(ЗАКОНЧЕННЫЙ СЛУЧАЙ), ПРИМЕНЯЕМЫЕ В ТОМ
ЧИСЛЕ ДЛЯ ОПЛАТЫ СТОИМОСТИ МЕДИЦИНСКОЙ
ПОМОЩИ, ОКАЗАННОЙ МЕДИЦИНСКИМИ
ОРГАНИЗАЦИЯМИ, ОСУЩЕСТВЛЯЮЩИМИ
ДЕЯТЕЛЬНОСТЬ В СФЕРЕ ОМС РЕСПУБЛИКИ
КАЛМЫКИЯ, ЛИЦАМ, ЗАСТРАХОВАННЫМ НА
ТЕРРИТОРИИ ДРУГИХ СУБЪЕКТОВ РОССИЙСКОЙ
ФЕДЕРАЦИИ (В РЕДАКЦИИ ИЗМЕНЕНИЙ,
ВНЕСЕННЫХ ДОПОЛНИТЕЛЬНЫМ СОГЛАШЕНИЕМ N 7
ОТ 24.07.2020)
(в
ред. Дополнительного соглашения ФОМС
Республики Калмыкия от 24.07.2020 N 7)
обращения по заболеваниям |
Стоимость на 1 квартал, руб. |
Стоимость на 2 квартал, руб. |
Стоимость на 3 квартал, руб. |
Стоимость на 4 квартал, руб. | ||||
|
взрослые |
дети |
взрослые |
дети |
взрослые |
дети |
взрослые |
дети |
кардиология |
582,25 |
582,25 |
773.25 |
773,25 |
686,39 |
686,39 |
686,39 |
686,39 |
ревматология |
582,25 |
582,25 |
773,25 |
773,25 |
686,39 |
686,39 |
686,39 |
686,39 |
гастроэнтерология |
453,49 |
453,49 |
602,25 |
602,25 |
534,60 |
534,60 |
534,60 |
534,60 |
пульмонология |
453,49 |
453,49 |
602,25 |
602,25 |
534,60 |
534,60 |
534,60 |
534,60 |
эндокринология (в т.ч. диабетолог) |
850,99 |
850,99 |
1130,14 |
1130,14 |
1003,19 |
1003,19 |
1003,19 |
1003,19 |
нефрология |
582,25 |
582,25 |
773,25 |
773,25 |
686,39 |
686,39 |
686,39 |
686,39 |
гематология |
811,80 |
811,80 |
1078,09 |
1078,09 |
956,99 |
956,99 |
956,99 |
956,99 |
гериатрия |
811,80 |
811,80 |
1078,09 |
1078,09 |
956,99 |
956,99 |
956,99 |
956,99 |
аллергология |
811,80 |
811,80 |
1078,09 |
1078,09 |
956,99 |
956,99 |
956,99 |
956,99 |
педиатрия |
699,83 |
699,83 |
929,39 |
929,39 |
824,99 |
824,99 |
824,99 |
824,99 |
терапия |
453,49 |
453,49 |
602,25 |
602,25 |
534,60 |
534,60 |
534,60 |
534,60 |
инфекционные болезни |
587,85 |
587,85 |
780,68 |
780,68 |
692,99 |
692,99 |
692,99 |
692,99 |
травматология-ортопедия |
526,27 |
526,27 |
698,90 |
698,90 |
620,39 |
620,39 |
620,39 |
620,39 |
урология |
369,51 |
369,51 |
490,72 |
490,72 |
435,60 |
435,60 |
435,60 |
435,60 |
нейрохирургия |
526,27 |
526,27 |
698,90 |
698,90 |
620,39 |
620,39 |
620,39 |
620,39 |
проктология |
526,27 |
526,27 |
698,90 |
698,90 |
620,39 |
620,39 |
620,39 |
620,39 |
хирургия |
526,27 |
526,27 |
698,90 |
698,90 |
620,39 |
620,39 |
620,39 |
620,39 |
стоматология |
671,83 |
839,79 |
892,21 |
1115,27 |
791,99 |
989,99 |
791,99 |
989,99 |
онкология |
526,27 |
526,27 |
698,90 |
698,90 |
620,39 |
620,39 |
620,39 |
620,39 |
акушерство и гинекология |
867,78 |
867,78 |
1152,44 |
1152,44 |
1022,98 |
1022,98 |
1022,98 |
1022,98 |
оториноларингология |
559,86 |
559,86 |
743,51 |
743,51 |
659,99 |
659,99 |
659,99 |
659,99 |
офтальмология |
442,29 |
442,29 |
587,37 |
587,37 |
521,39 |
521,39 |
521,39 |
521,39 |
неврология |
571,06 |
571,06 |
758,38 |
758,38 |
673,19 |
673,19 |
673,19 |
673,19 |
дерматология |
593,45 |
593,45 |
788,12 |
788,12 |
699,59 |
699,59 |
699,59 |
699,59 |
сосудистая хирургия |
526,27 |
526,27 |
698,90 |
698,90 |
620,39 |
620,39 |
620,39 |
620,39 |
ВОП, фельдшер, средний медперсонал |
453,49 |
699,83 |
602,25 |
929,39 |
534,60 |
824,99 |
534,60 |
824,99 |
Приложение N 15
к Тарифному соглашению на 2020 год
(в редакции изменений, внесенных
Дополнительным соглашением
N 1 от 11.02.2020)
(в ред. Дополнительного соглашения ФОМС
Республики Калмыкия от 11.02.2020 N 1)
15.1. ТАРИФЫ НА ОПЛАТУ ПОСЕЩЕНИЯ ЦЕНТРОВ
ЗДОРОВЬЯ ДЛЯ ПРОВЕДЕНИЯ ПЕРВИЧНОГО
КОМПЛЕКСНОГО ОБСЛЕДОВАНИЯ*
посещения |
тариф, в рублях | |
|
взрослые |
дети |
Посещение Центра здоровья для проведения первичного комплексного обследования |
968,67 |
642,27 |
15.2. ТАРИФЫ НА ОПЛАТУ НЕОТЛОЖНОЙ
МЕДИЦИНСКОЙ ПОМОЩИ НАСЕЛЕНИЮ*
посещения |
тариф, в рублях | |
|
взрослые |
дети |
Посещение в неотложной форме |
661,89 |
661,89 |
15.3. ТАРИФЫ ДЛЯ ЦЕНТРА АМБУЛАТОРНОЙ
ОНКОЛОГИЧЕСКОЙ ПОМОЩИ (ЦАОП) В
АМБУЛАТОРНЫХ УСЛОВИЯХ*
(введен Дополнительным
соглашением ФОМС РК от 11.02.2020 N 1)
обращения |
тариф, в рублях | |
|
взрослые |
дети |
Обращение с целью диагностики ЗНО в ЦАОП |
4146,00 |
0,00 |
* - применяются для оплаты
медицинской помощи, оказанной лицам
застрахованным на территории др.
субъектов РФ.
Приложение N 16
к Тарифному соглашению на 2020 год
(в редакции изменений, внесенных
Дополнительным соглашением
N 2 от 19.03.2020)
16.1. ТАРИФЫ ПРИ ПРОВЕДЕНИИ I ЭТАПА
ДИСПАНСЕРИЗАЦИИ ОПРЕДЕЛЕННЫХ ГРУПП
ВЗРОСЛОГО НАСЕЛЕНИЯ
(в ред. Дополнительного соглашения ФОМС Республики Калмыкия от 19.03.2020 N 2)
(в рублях)
Наименование медицинской услуги |
возраст (лет) | ||||||||||||||||||||
|
18, 24, 30 |
21, 27, 33 |
36 |
39 |
40, 44, 46, 52, 56, 58, 62 |
41, 43, 47, 49, 53, 59, 61 |
42, 48, 54 |
45 |
50 |
51, 57, 63 |
55 |
60 |
64 |
65, 71 |
66, 70, 72 |
67, 69, 73, 75 |
68, 74 |
76, 78, 82, 84, 88, 90, 94, 96 |
77, 83, 89, 95 |
79, 81, 85, 87, 91, 93, 97, 99 |
80, 86, 92, 98 |
Опрос (анкетирование) |
51,45 |
51,45 |
51,45 |
51,45 |
51,45 |
51,45 |
51,45 |
51,45 |
51,45 |
51,45 |
51,45 |
51,45 |
51,45 |
51,45 |
51,45 |
51,45 |
51,45 |
51,45 |
51,45 |
51,45 |
51,45 |
Расчет на основании антропометрии (измерение роста, массы тела, окружности талии) индекса массы тела |
26,53 |
26,53 |
26,53 |
26,53 |
26,53 |
26,53 |
26,53 |
26,53 |
26,53 |
26,53 |
26,53 |
26,53 |
26,53 |
26,53 |
26,53 |
26,53 |
26,53 |
26,53 |
26,53 |
26,53 |
26,53 |
Измерение артериального давления на периферических артериях |
15,92 |
15,92 |
15,92 |
15,92 |
15,92 |
15,92 |
15,92 |
15,92 |
15,92 |
15,92 |
15,92 |
15,92 |
15,92 |
15,92 |
15,92 |
15,92 |
15,92 |
15,92 |
15,92 |
15,92 |
15,92 |
Исследование уровня холестерина крови |
91,46 |
91,46 |
91,46 |
91,46 |
91,46 |
91,46 |
91,46 |
91,46 |
91,46 |
91,46 |
91,46 |
91,46 |
91,46 |
91,46 |
91,46 |
91,46 |
91,46 |
91,46 |
91,46 |
91,46 |
91,46 |
Исследование уровня глюкозы в крови натощак |
107,60 |
107,60 |
107,60 |
107,60 |
107,60 |
107,60 |
107,60 |
107,60 |
107,60 |
107,60 |
107,60 |
107,60 |
107,60 |
107,60 |
107,60 |
107,60 |
107,60 |
107,60 |
107,60 |
107,60 |
107,60 |
Определение относительного сердечно-сосудистого риска |
41,81 |
41,81 |
41,81 |
41,81 |
- |
- |
- |
- |
- |
- |
- |
- |
- |
- |
- |
- |
- |
- |
- |
- |
- |
Определение абсолютного сердечно-сосудистого риска |
- |
- |
- |
- |
41,81 |
41,81 |
41,81 |
41,81 |
41,81 |
41,81 |
41,81 |
41,81 |
41,81 |
- |
- |
- |
- |
- |
- |
- |
- |
Флюорография легких |
289,43 |
- |
- |
- |
289,43 |
- |
289,43 |
- |
289,43 |
- |
- |
289,43 |
289,43 |
- |
289,43 |
- |
289,43 |
289,43 |
- |
- |
289,43 |
Электрокардиография в покое |
- |
- |
265,77 |
265,77 |
265,77 |
265,77 |
265,77 |
265,77 |
265,77 |
265,77 |
265,77 |
265,77 |
265,77 |
265,77 |
265,77 |
265,77 |
265,77 |
265,77 |
265,77 |
265,77 |
265,77 |
Измерение внутриглазного давления |
- |
- |
- |
- |
242,10 |
242,10 |
242,10 |
242,10 |
242,10 |
242,10 |
242,10 |
242,10 |
242,10 |
242,10 |
242,10 |
242,10 |
242,10 |
242,10 |
242,10 |
242,10 |
242,10 |
Общий (клинический) анализ крови |
- |
- |
- |
- |
258,24 |
258,24 |
258,24 |
258,24 |
258,24 |
258,24 |
258,24 |
258,24 |
258,24 |
258,24 |
258,24 |
258,24 |
258,24 |
258,24 |
258,24 |
258,24 |
258,24 |
Краткое индивидуальное профилактическое консультирование |
160,06 |
160,06 |
160,06 |
160,06 |
- |
- |
160,06 |
160,06 |
- |
160,06 |
- |
160,06 |
- |
160,06 |
- |
- |
160,06 |
- |
160,06 |
- |
160,06 |
Прием (осмотр) врачом-терапевтом по результатам первого этапа диспансеризации, в том числе осмотр на выявление визуальных и иных локализаций онкологических заболеваний, включающий осмотр кожных покровов, слизистых губ и ротовой полости, пальпация щитовидной железы, лимфатических узлов, с целью установления диагноза, определения группы здоровья, группы диспансерного наблюдения, определения медицинских показаний для осмотров (консультаций) и обследований в рамках второго этапа диспансеризации |
320,14 |
320,14 |
320,14 |
320,14 |
320,14 |
320,14 |
320,14 |
320,14 |
320,14 |
320,14 |
320,14 |
320,14 |
320,14 |
320,14 |
320,14 |
320,14 |
320,14 |
320,14 |
320,14 |
320,14 |
320,14 |
Исследование кала на скрытую кровь иммунохимическим методом |
- |
- |
- |
- |
570,00 |
- |
570,00 |
- |
570,00 |
- |
- |
570,00 |
570,00 |
570,00 |
570,00 |
570,00 |
570,00 |
- |
- |
- |
- |
Эзофагогастродуоденоскопия |
- |
- |
- |
- |
- |
- |
- |
425,00 |
- |
- |
- |
- |
- |
- |
- |
- |
- |
- |
- |
- |
- |
Определение простат-специфического антигена (ПСА) в крови |
- |
- |
- |
- |
- |
- |
- |
350,00 |
350,00 |
- |
350,00 |
350,00 |
350,00 |
- |
- |
- |
- |
- |
- |
- |
- |
Маммография |
- |
- |
- |
- |
451,00 |
- |
451,00 |
- |
451,00 |
- |
- |
451,00 |
451,00 |
- |
451,00 |
- |
451,00 |
- |
- |
- |
- |
Взятие с использованием щетки цитологической цервикальной мазка (соскоба) с поверхности шейки матки (наружного маточного зева) и цервикального канала на цитологическое исследование (далее - мазок с шейки матки), цитологическое исследование мазка с шейки матки |
750,00 |
750,00 |
750,00 |
750,00 |
- |
- |
750,00 |
750,00 |
- |
750,00 |
- |
750,00 |
- |
- |
- |
- |
- |
- |
- |
- |
- |
Осмотр фельдшером (акушеркой) или врачом акушером-гинекологом |
320,14 |
320,14 |
320,14 |
320,14 |
320,14 |
320,14 |
320,14 |
320,14 |
320,14 |
320,14 |
320,14 |
320,14 |
320,14 |
320,14 |
320,14 |
320,14 |
320,14 |
320,14 |
320,14 |
320,14 |
320,14 |
Стоимость законченного случая: <*> |
|
|
|
|
|
|
|
|
|
|
|
|
|
|
|
|
|
|
|
|
|
для женщин |
2 174,54 |
1 885,11 |
2 440,31 |
2 150,88 |
3 051,59 |
1 741,16 |
3 961,65 |
3 076,22 |
3 051,59 |
2 651,22 |
1 741,16 |
3 961,65 |
3 051,59 |
2 429,41 |
3 009,78 |
2 269,35 |
3 169,84 |
1 988,78 |
1 859,41 |
1 699,35 |
2 148,84 |
для мужчин |
1 104,40 |
814,97 |
1 370,17 |
1 080,74 |
2 280,45 |
1 421,02 |
2 440,51 |
2 356,08 |
2 630,45 |
1 581,08 |
1 771,02 |
2 790,51 |
2 630,45 |
2 109,27 |
2 238,64 |
1 949,21 |
2 398,70 |
1 668,64 |
1 539,27 |
1 379,21 |
1 828,70 |
16.2. ТАРИФ СТОИМОСТИ ЗАКОНЧЕННОГО СЛУЧАЯ I
ЭТАПА ДИСПАНСЕРИЗАЦИИ ПРЕБЫВАЮЩИХ В
СТАЦИОНАРНЫХ УЧРЕЖДЕНИЯХ ДЕТЕЙ СИРОТ И
ДЕТЕЙ, НАХОДЯЩИХСЯ В ТРУДНОЙ ЖИЗНЕННОЙ
СИТУАЦИИ, А ТАКЖЕ ДЕТЕЙ-СИРОТ И ДЕТЕЙ,
ОСТАВШИХСЯ БЕЗ ПОПЕЧЕНИЯ РОДИТЕЛЕЙ, В
ТОМ ЧИСЛЕ УСЫНОВЛЕННЫХ (УДОЧЕРЕННЫХ),
ПРИНЯТЫХ ПОД ОПЕКУ (ПОПЕЧИТЕЛЬСТВО), В
ПРИЕМНУЮ ИЛИ ПАТРОНАТНУЮ СЕМЬЮ
Диспансеризация детей-сирот | |
Приказ Министерства здравоохранения Российской Федерации от 15 февраля 2013 г. N 72н "О проведении диспансеризации пребывающих в стационарных учреждениях детей-сирот и детей, находящихся в трудной жизненной ситуации" | |
возрастные группы, лет |
стоимость 1 случая, руб. <*> |
0 - 17 лет |
4 046,67 |
* В случае проведения
профилактических осмотров в выходные
дни к тарифам применяется повышающий
коэффициент в размере 1,05.
В случае оказания медицинской
помощи мобильными медицинскими
бригадами к тарифам применяется
повышающий коэффициент в размере 1,05.
Приложение N 17
к Тарифному соглашению на 2020 год
(в редакции изменений, внесенных
Дополнительным соглашением
N 2 от 19.03.2020)
17.1. ТАРИФЫ СТОИМОСТИ ЗАКОНЧЕННОГО СЛУЧАЯ
ПРОФИЛАКТИЧЕСКОГО МЕДИЦИНСКОГО ОСМОТРА
ОПРЕДЕЛЕННЫХ ГРУПП ВЗРОСЛОГО НАСЕЛЕНИЯ
(В РЕДАКЦИИ ИЗМЕНЕНИЙ, ВНЕСЕННЫХ
ДОПОЛНИТЕЛЬНЫМ СОГЛАШЕНИЕМ N 1 ОТ 11.02.2020)
(в
ред. Дополнительного соглашения ФОМС
Республики Калмыкия от 19.03.2020 N 2)
N п/п |
Наименование медицинской услуги |
возраст (лет) | |||||||
|
|
18, 20, 22, 24, 26, 28, 30, 32, 34 |
19, 21, 23, 25, 27, 29, 31, 33 |
35, 37, 39 |
36, 38 |
40, 42, 44, 46, 48, 50, 52, 54, 56, 58, 60, 62, 64 |
41,43, 45, 47, 49, 51, 53, 55, 57, 59, 61, 63 |
65, 67, 69, 71, 73, 75, 77, 79, 81, 83, 85, 87, 89, 91, 93, 95, 97, 99 |
66, 68, 70, 72, 74, 76, 78, 80, 82, 84, 86, 88, 90, 92, 94, 96, 98 |
1 |
Опрос (анкетирование) |
76,48 |
76,48 |
76,48 |
76,48 |
76,48 |
76,48 |
76,48 |
76,48 |
2 |
Расчет на основании антропометрии (измерение роста, массы тела, окружности талии) индекса массы тела |
39,44 |
59,44 |
39,44 |
59,44 |
39,44 |
39,44 |
39,44 |
39,44 |
3 |
Измерение артериального давления на периферических артериях |
25,66 |
25,66 |
25,66 |
25,66 |
23,66 |
23,66 |
23,66 |
23,66 |
4 |
Исследование уровня холестерина крови |
363,28 |
363,28 |
363,28 |
363,28 |
363,28 |
363,28 |
363,28 |
363,28 |
5 |
Исследование уровня глюкозы в крови натощак |
184,03 |
184,03 |
184,03 |
184,03 |
184,03 |
184,03 |
184,03 |
184,03 |
6 |
Определение относительного сердечно-сосудистого риска |
62,14 |
62,14 |
62,14 |
|
|
|
|
|
7 |
Определение абсолютного сердечно-сосудистого риска |
|
|
|
62,14 |
62,14 |
62,14 |
|
|
8 |
Флюорография легких |
430,20 |
|
|
430,20 |
430,20 |
|
|
430,20 |
9 |
Электрокардиография в покое |
|
|
498,89 |
498,89 |
498,89 |
498,89 |
498,89 |
498,89 |
10 |
Измерение внутриглазного давления |
|
|
|
|
39,44 |
39,44 |
39,44 |
39,44 |
11 |
Прием (осмотр) по результатам профилактического медицинского осмотра, в том числе осмотр на выявление визуальных и иных локализаций онкологических заболеваний, включающий осмотр кожных покровов, слизистых губ и ротовой полости, пальпацию щитовидной железы, лимфатических узлов, фельдшером фельдшерского здравпункта или фельдшерско-акушерского пункта, врачом-терапевтом или врачом по медицинской профилактике отделения (кабинета) медицинской профилактики или центра здоровья |
475,85 |
475,85 |
475,85 |
475,85 |
475,85 |
475,85 |
475,85 |
475,85 |
12 |
Осмотр фельдшером (акушеркой) или врачом акушером-гинекологом |
475,85 |
475,85 |
475,85 |
475,85 |
|
|
|
|
|
Стоимость законченного случая <*>: |
|
|
|
|
|
|
|
|
|
для мужчин |
1 655,08 |
1 224,88 |
1 723,77 |
2 153,97 |
2 193,41 |
1 763,21 |
1 701,07 |
2 131,27 |
|
для женщин |
2 130,93 |
1 700,73 |
2 199,62 |
2 629,82 |
2 193,41 |
1 763,21 |
1 701,07 |
2 131,27 |
17.2. ТАРИФЫ ЗАКОНЧЕННОГО СЛУЧАЯ
ПРОФИЛАКТИЧЕСКОГО МЕДИЦИНСКОГО ОСМОТРА
НЕСОВЕРШЕННОЛЕТНИХ
группа возраст (лет) |
стоимость 1 случая, руб. <*> | ||
|
мальчики |
девочки | |
1 |
новорожденный |
2 134,67 |
2 134,67 |
2 |
1 месяц |
5 053,38 |
5 053,38 |
3 |
2 месяца |
1 321,17 |
1 321,17 |
4 |
3 месяца |
1 031,78 |
1 031,78 |
5 |
4 месяца |
511,64 |
511,64 |
6 |
5 месяцев |
511,64 |
511,64 |
7 |
6 месяцев |
511,64 |
511,64 |
8 |
7 месяцев |
511,64 |
511,64 |
9 |
8 месяцев |
511,64 |
511,64 |
10 |
9 месяцев |
511,64 |
511,64 |
11 |
10 месяцев |
511,64 |
511,64 |
12 |
11 месяцев |
511,64 |
511,64 |
13 |
12 месяцев |
3 141,48 |
3 141,48 |
14 |
1 год 3 месяца |
511,64 |
511,64 |
15 |
1 год 6 месяцев |
511,64 |
511,64 |
16 |
2 года |
1 020,98 |
1 020,98 |
17 |
3 года |
3 251,34 |
3 432,46 |
18 |
4 года |
1 020,98 |
1 020,98 |
19 |
5 лет |
1 020,98 |
1 020,98 |
20 |
6 лет |
6 504,93 |
6 686,05 |
21 |
7 лет |
2 597,43 |
2 597,43 |
22 |
8 лет |
1 020,98 |
1 020,98 |
23 |
9 лет |
1 020,98 |
1 020,98 |
24 |
10 лет |
3 375,15 |
3 375,15 |
25 |
11 лет |
1 020,98 |
1 020,98 |
26 |
12 лет |
1 020,98 |
1 020,98 |
27 |
13 лет |
1 262,44 |
1 262,44 |
28 |
14 лет |
1 313,45 |
1 494,57 |
29 |
15 лет |
5 689,57 |
5 870,69 |
30 |
16 лет |
4 310,74 |
4 491,86 |
31 |
17 лет |
4 641,25 |
4 822,37 |
* В случае проведения
профилактических осмотров в выходные
дни к тарифам применяется повышающий
коэффициент в размере 1,05.
В случае оказания медицинской
помощи мобильными медицинскими
бригадами к тарифам применяется
повышающий коэффициент в размере 1,05.
Приложение N 18
к Тарифному соглашению на 2020 год
ПОЛОВОЗРАСТНЫЕ КОЭФФИЦИЕНТЫ
ДИФФЕРЕНЦИАЦИИ ПОДУШЕВОГО НОРМАТИВА
МЕДИЦИНСКОЙ ПОМОЩИ, ОКАЗЫВАЕМОЙ В
АМБУЛАТОРНЫХ УСЛОВИЯХ
N п/п |
Муниципальные образования |
единые значения половозрастного коэффициента дифференциации |
половозрастной коэффициент диффер. подушевого норматива - КДпв | |||||||||
|
|
0 - 1 |
от 1 - 4 |
от 5 - 17 |
18 - 59 |
18 - 54 |
от 60 и старше |
от 55 и старше |
| |||
|
|
муж |
жен |
муж |
жен |
муж |
жен |
муж |
жен |
муж |
жен |
|
1 |
БУ РК "РДМЦ" |
3,00 |
2,85 |
2,21 |
2,19 |
1,67 |
1,62 |
0,53 |
0,84 |
1,60 |
1,60 |
1,82 |
2 |
БУ РК "Городская поликлиника" |
3,00 |
2,85 |
2,21 |
2,19 |
1,67 |
1,62 |
0,53 |
0,84 |
1,60 |
1,60 |
0,86 |
3 |
БУ РК "Городовиковская ЦРБ" |
3,00 |
2,85 |
2,21 |
2,19 |
1,67 |
1,62 |
0,53 |
0,84 |
1,60 |
1,60 |
1,05 |
4 |
БУ РК "Ики-Бурульская ЦРБ" |
3,00 |
2,85 |
2,21 |
2,19 |
1,67 |
1,62 |
0,53 |
0,84 |
1,60 |
1,60 |
1,05 |
5 |
БУ РК "Кетченеровская ЦРБ" |
3,00 |
2,85 |
2,21 |
2,19 |
1,67 |
1,62 |
0,53 |
0,84 |
1,60 |
1,60 |
1,03 |
6 |
БУ РК "Лаганская ЦРБ" |
3,00 |
2,85 |
2,21 |
2,19 |
1,67 |
1,62 |
0,53 |
0,84 |
1,60 |
1,60 |
1,05 |
7 |
БУ РК "Малодербетовская ЦРБ" |
3,00 |
2,85 |
2,21 |
2,19 |
1,67 |
1,62 |
0,53 |
0,84 |
1,60 |
1,60 |
1,07 |
8 |
БУ РК "Октябрьская ЦРБ" |
3,00 |
2,85 |
2,21 |
2,19 |
1,67 |
1,62 |
0,53 |
0,84 |
1,60 |
1,60 |
1,04 |
9 |
БУ РК "Приютненская ЦРБ" |
3,00 |
2,85 |
2,21 |
2,19 |
1,67 |
1,62 |
0,53 |
0,84 |
1,60 |
1,60 |
1,06 |
10 |
БУ РК "Сарпинская ЦРБ" |
3,00 |
2,85 |
2,21 |
2,19 |
1,67 |
1,62 |
0,53 |
0,84 |
1,60 |
1,60 |
1,04 |
12 |
БУ РК "Черноземельская ЦРБ имени У.Душана" |
3,00 |
2,85 |
2,21 |
2,19 |
1,67 |
1,62 |
0,53 |
0,84 |
1,60 |
1,60 |
1,06 |
13 |
БУ РК "Юстинская ЦРБ" |
3,00 |
2,85 |
2,21 |
2,19 |
1,67 |
1,62 |
0,53 |
0,84 |
1,60 |
1,60 |
1,04 |
14 |
БУ РК "Яшалтинская ЦРБ" |
3,00 |
2,85 |
2,21 |
2,19 |
1,67 |
1,62 |
0,53 |
0,84 |
1,60 |
1,60 |
1,06 |
15 |
БУ РК "Яшкульская ЦРБ" |
3,00 |
2,85 |
2,21 |
2,19 |
1,67 |
1,62 |
0,53 |
0,84 |
1,60 |
1,60 |
1,05 |
16 |
Итого по РК |
3,00 |
2,85 |
2,21 |
2,19 |
1,67 |
1,62 |
0,53 |
0,84 |
1,60 |
1,60 |
1,08 |
Приложение N 19
к Тарифному соглашению на 2020 год
19.1 КОЭФФИЦИЕНТЫ ДИФФЕРЕНЦИАЦИИ И
ДИФФЕРЕНЦИРОВАННЫЕ ПОДУШЕВЫЕ НОРМАТИВЫ
ФИНАНСИРОВАНИЯ МЕДИЦИНСКОЙ ПОМОЩИ,
ОКАЗАННОЙ В АМБУЛАТОРНЫХ УСЛОВИЯХ НА 3 - 4
КВАРТАЛ 2020 Г. (В РЕДАКЦИИ ИЗМЕНЕНИЙ,
ВНЕСЕННЫХ ДОПОЛНИТЕЛЬНЫМ СОГЛАШЕНИЕМ N 8
ОТ 31.07.2020)
(в
ред. Дополнительных соглашений ФОМС
Республики Калмыкия от 27.03.2020 N 3, от 31.07.2020
N 8)
Медицинские организации |
3 - 4 квартал 2020 года |
| |||||
|
Базовый (средний) подушевой норматив финансирования Пнбаз |
Половозрастной коэффициент дифференциации |
Коэффициент дифференциации на прикрепившихся к медицинской организации лиц |
Коэффициент уровня медицинской организации |
Поправочный коэффициент |
Фактический дифференцированный подушевой норматив. руб. |
Среднемесячный дифференцированный подушевой норматив, руб. |
БУ РК "РДМЦ" |
1095,29 |
1,82 |
1,016810917 |
1 |
1,15189568 |
1759,66 |
293,28 |
БУ РК "Городская поликлиника" |
1095,29 |
0,86 |
1,017358607 |
1 |
1,15189568 |
831,93 |
138,66 |
БУ РК "Городовиковская ЦРБ" |
1095,29 |
1,05 |
1,113 |
1 |
1,15189568 |
1111,22 |
185,20 |
БУ РК "Ики-Бурульская ЦРБ" |
1095,29 |
1,05 |
1,113 |
1 |
1,15189568 |
1111,22 |
185,20 |
БУ РК "Кетченеровская ЦРБ" |
1095,29 |
1,03 |
1,113 |
1 |
1,15189568 |
1090,05 |
181,68 |
БУ РК "Лаганская ЦРБ" |
1095,29 |
1,05 |
1,113 |
1 |
1,15189568 |
1111,22 |
185,20 |
БУ РК "Малодербетовская ЦРБ" |
1095,29 |
1,07 |
1,113 |
1 |
1,15189568 |
1132,39 |
188,73 |
БУ РК "Октябрьская ЦРБ" |
1095,29 |
1,04 |
1,113 |
1 |
1,15189568 |
1100,64 |
183,44 |
БУ РК "Приютненская ЦРБ" |
1095,29 |
1,06 |
1,113 |
1 |
1,15189568 |
1121,80 |
186,97 |
БУ РК "Сарпинская ЦРБ" |
1095,29 |
1,04 |
1,113 |
1 |
1,15189568 |
1100,64 |
183,44 |
БУ РК "Черноземельская ЦРБ имени У.Душана" |
1095,29 |
1,06 |
1,113 |
1 |
1,15189568 |
1 121,80 |
186,97 |
БУ РК "Юстинская ЦРБ" |
1095,29 |
1,04 |
1,113 |
1 |
1,15189568 |
1100,64 |
183,44 |
БУ РК "Яшалтинская ЦРБ" |
1095,29 |
1,06 |
1,113 |
1 |
1,15189568 |
1121,80 |
186,97 |
БУ РК "Яшкульская ЦРБ" |
1095,29 |
1,05 |
1,113 |
1 |
1,15189568 |
1111,22 |
185,20 |
19.2 Коэффициенты дифференциации и
дифференцированные подушевые нормативы
финансирования медицинской помощи,
оказанной в амбулаторных условиях на 3 - 4
квартал 2020 г.
(введен Дополнительным
соглашением ФОМС РК от 27.03.2020 N 3)
Медицинские организации |
3 - 4 квартал 2020 года | ||||||
|
Базовый (средний) подушевой норматив финансирования Пнбаз |
Половозрастной коэффициент дифференциации |
Коэффициент дифференциации на прикрепившихся к медицинской организации лиц |
Коэффициент уровня медицинской организации |
Поправочный коэффициент |
Фактический дифференцированный подушевой норматив, руб. |
Среднемесячный дифференцированный подушевой норматив, руб. |
БУ РК "РДМЦ" |
620,51 |
1,82 |
1,016810917 |
1 |
1,15189171 |
996,89 |
166,15 |
БУ РК "Городская поликлиника" |
620,51 |
0,86 |
1,017358607 |
1 |
1,14189171 |
471,31 |
78,55 |
БУ РК "Городовиковская ЦРБ" |
620,51 |
1,05 |
1,113 |
1 |
1,15189171 |
629,54 |
104,92 |
БУ РК "Ики-Бурульская ЦРБ" |
620,51 |
1,05 |
1,113 |
1 |
1,15189171 |
629,54 |
104,92 |
БУ РК "Кетченеровская ЦРБ" |
620,51 |
1,03 |
1,113 |
1 |
1,15189171 |
617,55 |
102,93 |
БУ РК "Лаганская ЦРБ" |
620,51 |
1,05 |
1,113 |
1 |
1,15189171 |
629,54 |
104,92 |
БУ РК "Малодербетовская ЦРБ" |
620,51 |
1,07 |
1,113 |
1 |
1,15189171 |
641,53 |
106,92 |
БУ РК "Октябрьская ЦРБ" |
620,51 |
1,04 |
1,113 |
1 |
1,15189171 |
623,55 |
103,93 |
БУ РК "Приютненская ЦРБ" |
620,51 |
1,06 |
1,113 |
1 |
1,15189171 |
635,53 |
105,92 |
БУ РК "Сарпинская ЦРБ" |
620,51 |
1,04 |
1,113 |
1 |
1,15189171 |
623,55 |
103,93 |
БУ РК "Черноземельская ЦРБ имени У.Душана" |
620,51 |
1,06 |
1,113 |
1 |
1,15189171 |
635,53 |
105,92 |
БУ РК "Юстинская ЦРБ" |
620,51 |
1,04 |
1,113 |
1 |
1,15189171 |
623,55 |
103,93 |
БУ РК "Яшалтинская ЦРБ" |
620,51 |
1,06 |
1,113 |
1 |
1,15189171 |
635,53 |
105,92 |
БУ РК "Яшкульская ЦРБ" |
620,51 |
1,05 |
1113 |
1 |
1,14189171 |
629,54 |
104,92 |
Приложение N 20
к Тарифному соглашению на 2020 год
(в ред. Дополнительного соглашения
ФОМС Республики Калмыкия от 24.07.2020 N 7)
20.1. ТАРИФЫ НА УСЛУГИ КОМПЬЮТЕРНОЙ
ТОМОГРАФИИ, ОКАЗАННЫЕ В АМБУЛАТОРНЫХ
УСЛОВИЯХ (В РЕДАКЦИИ ИЗМЕНЕНИЙ,
ВНЕСЕННЫХ ДОПОЛНИТЕЛЬНЫМ СОГЛАШЕНИЕМ N 7
ОТ 24.07.2020)
N |
Код услуги |
Наименование услуги (КТ - компьютерная томография) |
Тариф, в руб. |
1 |
А06.01.001 |
Компьютерная томография мягких тканей |
2 127,62 |
2 |
А06.23.004 |
Компьютерная томография головного мозга |
2 236,30 |
3 |
А06.03.002 |
Компьютерная томография лицевого отдела черепа |
2 127,62 |
4 |
А06.03.062 |
Компьютерная томография кости |
2 047,16 |
5 |
А06.08.007 |
Компьютерная томография придаточных пазух носа, гортани |
2 091,05 |
6 |
А06.08.007.001 |
Спиральная компьютерная томография гортани |
2 127,62 |
7 |
А06.09.005 |
Компьютерная томография органов грудной полости |
2 127,62 |
8 |
А06.30.005 |
Компьютерная томография органов брюшной полости |
1 888,32 |
9 |
А06.30.007 |
Компьютерная томография забрюшинного пространства |
2 367,97 |
10 |
А06.21.003 |
Компьютерная томография органов таза у мужчин |
2 126,58 |
11 |
А06.20.002 |
Компьютерная томография органов малого таза у женщин |
2 091,05 |
12 |
А06.03.058 |
Компьютерная томография позвоночника (один отдел) |
2 011,63 |
13 |
А06.03.069 |
Компьютерная томография костей таза |
2 047,16 |
14 |
А06.03.058.001 |
КТ позвоночника с мультипланарной и трехмерной реконструкцией |
2 416,04 |
15 |
А06.04.017 |
Компьютерная томография сустава |
2 236,30 |
16 |
А06.07.013 |
Компьютерная томография челюстно-лицевой области |
2 236,30 |
17 |
А06.11.004 |
Компьютерная томография средостения |
2 127,62 |
18 |
А06.03.021.001 |
Компьютерная томография верхней конечности |
2 127,62 |
19 |
А06.03.036.001 |
Компьютерная томография нижней конечности |
2 127,62 |
20 |
А06.25.003 |
Компьютерная томография височной кости |
2 091,05 |
21 |
А06.04.017 |
Компьютерная томография сустава |
2 236,30 |
22 |
А06.04.020 |
Компьютерная томография височно-нижнечелюстных суставов |
2 127,62 |
23 |
А06.26.006 |
Компьютерная томография глазницы |
2 091,05 |
24 |
А06.23.004.006 |
Компьютерная томография головного мозга с внутривенным контрастированием |
6 980,57 |
25 |
А06.23.004.007 |
Компьютерная томография сосудов головного мозга с внутривенным болюсным контрастированием |
6 980,57 |
26 |
А06.28.009 |
Компьютерная томография почек и надпочечников |
2 091,05 |
27 |
А06.30.005.001 |
Компьютерная томография органов брюшной полости и забрюшинного пространства |
2 367,97 |
28 |
А06.08.007.002 |
Компьютерная томография гортани с внутривенным болюсным контрастированием |
6 871,89 |
29 |
А06.08.007.003 |
Спиральная компьютерная томография придаточных пазух носа |
2 091,05 |
30 |
А06.08.007.004 |
Компьютерная томография придаточных пазух носа с внутривенным болюсным контрастированием |
6 980,57 |
31 |
А06.08.009 |
Компьютерная томография верхних дыхательных путей и шеи |
2 047,16 |
32 |
А06.08.009.001 |
Спиральная компьютерная томография шеи |
2 047,16 |
33 |
А06.08.009.002 |
Компьютерная томография шеи с внутривенным болюсным контрастированием |
6 791,42 |
34 |
А06.09.005.003 |
КТ грудной клетки с внутривенным болюсным контрастированием, мультипланарной и трехмерной реконструкцией |
6 871,89 |
35 |
А06.09.008.001 |
Спиральная компьютерная томография легких |
2 127,62 |
36 |
А06.09.011 |
Компьютерная томография бронхов |
2 127,62 |
37 |
А06.17.007 |
Компьютерная томография тонкой кишки с контрастированием |
2 126,58 |
38 |
А06.30.005.003 |
Компьютерная томография органов брюшной полости с внутривенным болюсным контрастированием |
6 632,58 |
39 |
А06.30.007.002 |
Компьютерная томография забрюшинного пространства с внутривенным болюсным контрастированием |
7 112,24 |
40 |
А06.20.002.001 |
Спиральная компьютерная томография органов малого таза у женщин |
2 091,05 |
41 |
А06.20.002.004 |
Компьютерная томография органов малого таза у женщин с внутривенным болюсным контрастированием, мультипланарной и трехмерной реконструкцией |
6 835,31 |
42 |
А06.21.003.001 |
Спиральная компьютерная томография органов таза у мужчин |
2 126,58 |
43 |
А06.21.003.002 |
Спиральная компьютерная томография органов таза у мужчин с внутривенным болюсным контрастированием |
6 870,84 |
44 |
А06.03.021.002 |
Компьютерная томография верхней конечности с внутривенным болюсным контрастированием |
6 871,89 |
45 |
А06.03.036.002 |
Компьютерная томография нижней конечности с внутривенным болюсным контрастированием |
6 871,89 |
46 |
А06.28.009.001 |
Компьютерная томография почек и верхних мочевыводящих путей с внутривенным болюсным контрастированием |
6 835,31 |
47 |
А06.28.009.002 |
Спиральная компьютерная томография почек и надпочечников |
2 091,05 |
48 |
А06.30.005.002 |
Компьютерная томография органов брюшной полости и забрюшинного пространства с внутривенным болюсным контрастированием |
6 632,58 |
Средний размер стоимости КТ-исследований |
3713,46 | ||
20.2. ТАРИФЫ НА УСЛУГИ
МАГНИТНО-РЕЗОНАНСНОЙ ТОМОГРАФИИ,
ОКАЗАННЫЕ В АМБУЛАТОРНЫХ УСЛОВИЯХ
N |
Код услуги |
Наименование услуги (МРТ - магнитно-резонансная томография) |
Тариф, в руб. |
1 |
А05.23.009 |
МРТ головного мозга |
3 114,88 |
2 |
А05.23.009.001 |
МРТ головного мозга с контрастированием |
7 697,45 |
3 |
А05.22.022 |
МРТ гипофиза |
3 114,88 |
4 |
А05.22.002.001 |
МРТ гипофиза с контрастированием |
7 697,45 |
5 |
А05.23.009.011 |
Магнитно-резонансная перфузия спинного мозга с контрастированием (один отдел) |
3 219,68 |
6 |
А05.23.009.012 |
МРТ перфузия спинного мозга (один отдел) |
7 802,25 |
7 |
А05.30.010.001 |
Магнитно-резонансная томография мягких тканей головы с внутривенным контрастированием |
9 191,88 |
8 |
А05.26.008 |
МРТ глазницы |
2 937,94 |
9 |
А05.26.008.001 |
МРТ глазниц с контрастированием |
7 697,45 |
10 |
А05.03.003 |
МРТ основания черепа |
3 114,88 |
11 |
А05.03.003.001 |
Магнитно-резонансная томография основания черепа с ангиографией |
6 406,69 |
12 |
А05.03.004 |
Магнитно-резонансная томография лицевого отдела черепа |
3 1 14,88 |
13 |
А05.003.004.001. |
Магнитно-резонансная томография лицевого отдела черепа с внутривенным контрастированием |
7 697,45 |
14 |
А05.08.001. |
МРТ околоносовых пазух |
3 114,88 |
15 |
А05.08.002. |
МРТ гортаноглотки |
2 937,94 |
16 |
А05.08.003 |
МРТ преддверно-улиткового органа |
3 114,88 |
17 |
А05.08.004 |
МРТ носоротоглотки |
2 937,94 |
18 |
А05.30.008 |
МРТ шеи |
2 937,94 |
19 |
А05.30.008.001 |
МРТ шеи с внутривенным контрастированием |
7 520,51 |
20 |
А05.04.001 |
МРТ суставов (один сустав) |
4 214,38 |
21 |
А05.30.005. |
МРТ органов брюшной полости |
3 975,38 |
22 |
А05.30.005.001 |
МРТ органов брюшной полости с внутривенным контрастированием |
8 557,96 |
23 |
А05.30.007 |
МРТ забрюшинного пространства |
3 467,48 |
24 |
А05.30.007.001 |
МРТ забрюшинного пространства с внутривенным контрастированием |
8 050,05 |
25 |
А05.30.004 |
МРТ малого таза |
4 167,60 |
26 |
А05.30.004.001 |
МРТ малого таза с внутривенным контрастированием |
8 750,17 |
27 |
А05.03.001 |
Магнитно-резонансная томография костной ткани (одна область) |
3 975,38 |
28 |
А05.02.002 |
МРТ мышечной системы |
4 609,30 |
29 |
А05.03.002. |
МРТ позвоночника (одна область) |
3 219,68 |
30 |
А05.03.002.001 |
МРТ позвоночника с внутривенным контрастированием (одна область) |
7 802,25 |
31 |
А05.14.002 |
Магнитно-резонансная холангиография |
3 975,38 |
32 |
А05.30.011 |
Магнитно-резонансная томография верхней конечности |
3 975,38 |
33 |
А05.30.012 |
Магнитно-резонансная томография нижней конечности |
3 975,38 |
34 |
А05.23.009.010 |
МРТ спинного мозга (один отдел) |
2 937,94 |
Средний размер стоимости МРТ-исследований |
4193,81 | ||
20.3. ТАРИФЫ НА УСЛУГИ
ЭЛЕКТРОКАРДИОГРАФИЧЕСКИХ ИССЛЕДОВАНИЙ
С ПРИМЕНЕНИЕМ ТЕЛЕМЕДИЦИНСКИХ
ТЕХНОЛОГИЙ
N |
Код услуги |
Наименование услуги |
Тариф, в руб. |
1 |
А05.10.004.001 |
Расшифровка. Описание и интерпретация данных электрокардиографических исследований с применением телемедицинских технологий |
182,52 |
2 |
А05.10.004.002 |
Дистанционная консультация в режиме реального времени |
231.74 |
3 |
А05.10.004.003 |
Дистанционная консультация в режиме отсроченно времени |
160.93 |
4 |
А05.10.004.004 |
Дистанционный консилиум (с участием 2 - 3 специалистов) |
875,69 |
20.4. ТАРИФЫ ИССЛЕДОВАНИЙ ПРИ ПРОВЕДЕНИИ
ВТОРОГО ЭТАПА ДИСПАНСЕРИЗАЦИИ
ОПРЕДЕЛЕННЫХ ГРУПП ВЗРОСЛОГО
НАСЕЛЕНИЯ
N |
Код услуги |
Наименование услуги |
Тариф, в руб. |
1 |
А06.09.007 |
Рентгенография легких |
167,00 |
2 |
А03.16.001 |
Эзофагогастродуоденоскопия |
425,00 |
3 |
А03.19.002 |
Ректороманоскопия |
467,00 |
4 |
А03.18.001 |
Колоноскопия без внутривенной анестезии |
3 985,32 |
5 |
А03.18.001.007 |
Колоноскопия с внутривенной анестезией |
4 800,00 |
6 |
А04.12.005.003 |
Дуплексное сканирование брахиоцефальных артерий |
969,00 |
7 |
А12.09.001.003 |
Спирометрия |
693,00 |
20.5. ТАРИФЫ НА ЭНДОСКОПИЧЕСКИЕ
ДИАГНОСТИЧЕСКИЕ ИССЛЕДОВАНИЯ
N |
Код услуги |
Наименование услуги |
Тариф, в руб. |
1 |
А03.18.001 |
Колоноскопия без внутривенной анестезии |
3 985,32 |
2 |
А03.18.001.007 |
Колоноскопия с внутривенной анестезией |
4 800,00 |
3 |
А03.16.001 |
Эзофагогастродуоденоскопия |
425.00 |
4 |
А03.09.003 |
Трахеобронхоскопия |
1 194,75 |
Средний размер стоимости эндоскопических диагностических исследований |
962,92 | ||
20.6. ТАРИФЫ НА УЛЬТРАЗВУКОВЫЕ
ИССЛЕДОВАНИЯ СЕРДЕЧНО-СОСУДИСТОЙ
СИСТЕМЫ
N |
Код услуги |
Наименование услуги |
Тариф, в руб. |
1 |
А04.10.002 |
Эхокардиография |
702,78 |
2 |
А04.12.005.003 |
Дуплексное сканирование брахиоцефальных артерий с цветным допплеровским картированием кровотока |
969,00 |
3 |
А04.12.002.002 |
Ультразвуковая допплерография вен нижних конечностей |
993,44 |
4 |
А04.12.006.002 |
Дуплексное сканирование вен нижних конечностей |
993,44 |
5 |
А 04.12.006.001 |
Дуплексное сканирование артерий нижних конечностей |
993,44 |
Средний размер стоимости Ультразвуковых исследований сердечно-сосудистой системы |
700,32 | ||
20.7. ТАРИФЫ НА ГИСТОЛОГИЧЕСКИЕ И
МОЛЕКУЛЯРНО-ГЕНЕТИЧЕСКИЕ ИССЛЕДОВАНИЯ
N |
Код услуги |
Наименование услуги |
Тариф, в руб. |
1 |
А08.30.046.001 |
Патолого-анатомическое исследование биопсийного (операционного) материала первой категории сложности |
440 |
2 |
А08.30.046.002 |
Патолого-анатомическое исследование биопсийного (операционного) материала второй категории сложности |
500 |
3 |
А08.30.046.003 |
Патолого-анатомическое исследование биопсийного (операционного) материала третьей категории сложности |
550 |
4 |
А08.30.046.004 |
Патолого-анатомическое исследование биопсийного (операционного) материала четвертой категории сложности |
660 |
5 |
А08.30.046.005 |
Патолого-анатомическое исследование биопсийного (операционного) материала пятой категории сложности |
732.00 |
Средний размер стоимости гистологических исследований |
635,04 | ||
6 |
В03.027.001 |
Территориальный норматив финансовых затрат на проведение одного молекулярно-генетического исследования с целью выявления онкологических заболеваний согласно постановлению Правительства Республики Калмыкия N 405 от 27.12.2019 |
15 735,00 |
Средний размер стоимости молекулярно-генетических исследований |
15 735,00 | ||
20.8. ТАРИФЫ НА ОПЛАТУ ТЕСТИРОВАНИЯ ГРУПП
РИСКА НА ВЫЯВЛЕНИЕ НОВОЙ КОРОНАВИРУСНОЙ
ИНФЕКЦИИ (COVID-19), ПРОВОДИМОГО В
АМБУЛАТОРНЫХ УСЛОВИЯХ, ДЕЙСТВУЮЩИЕ С
01.04.2020
N |
Код услуги |
Наименование услуги |
Тариф, в руб. |
1 |
А26.08.027.001 |
Определение РНК коронавируса TOPC (SARC-cov) в мазках со слизистой оболочки носоглотки методом ПЦР |
735,85 |
Приложение N 21
к Тарифному соглашению на 2020 год
ПЕРЕЧЕНЬ ГРУПП ЗАБОЛЕВАНИЙ, В ТОМ ЧИСЛЕ
КЛИНИКО-СТАТИСТИЧЕСКИХ ГРУПП
ЗАБОЛЕВАНИЙ С УКАЗАНИЕМ ТАРИФОВ ПО
УРОВНЯМ (ПОДУРОВНЯМ), ИСПОЛЬЗУЕМЫХ В
УСЛОВИЯХ КРУГЛОСУТОЧНОГО СТАЦИОНАРА С
УКАЗАНИЕМ КОЭФФИЦИЕНТОВ ОТНОСИТЕЛЬНОЙ
ЗАТРАТОЕМКОСТИ КСГ (В РЕДАКЦИИ
ИЗМЕНЕНИЙ, ВНЕСЕННЫХ ДОПОЛНИТЕЛЬНЫМ
СОГЛАШЕНИЕМ N 10 ОТ 14.09.2020)
(в ред. Дополнительного соглашения от 14.09.2020 N 10)
Размер средней стоимости
законченного случая лечения,
включенного в КСГ (базовая ставка) - 28 134,10
руб.
N |
КСГ |
Наименование КСГ |
Коэффициент затратоемкости |
уровень 1 (Кур - 0,95) |
уровень 2 |
уровень 3 (Кур - 1,3) | |
|
|
|
|
|
подуровень 2,1 |
подуровень 2,2 |
|
|
|
|
|
|
Кподур - 0,957 |
Кподур - 1,055 |
|
1 |
st01.001 |
Беременность без патологии, дородовая госпитализация в отделение сестринского ухода |
0,5 |
14 067,05 |
14 067,05 |
14 067,05 |
14 067,05 |
2 |
st02.001 |
Осложнения, связанные с беременностью |
0,93 |
24 856,48 |
25 039,63 |
27 603,77 |
34 014,13 |
3 |
st02.002 |
Беременность, закончившаяся абортивным исходом |
0,28 |
7 877,55 |
7 877,55 |
7 877,55 |
7 877,55 |
4 |
st02.003 |
Родоразрешеиие |
0,98 |
26 192,85 |
26 385,85 |
29 087,85 |
35 842,84 |
5 |
st02.004 |
Кесарево сечение |
1,01 |
26 994,67 |
27 193,58 |
29 978,29 |
36 940,07 |
6 |
st02.005 |
Осложнения послеродового периода |
0,74 |
19 778,27 |
19 924,01 |
21 964,29 |
27 065,00 |
7 |
st02.006 |
Послеродовой сепсис |
3,21 |
90 310,46 |
90 310,46 |
90 310,46 |
90 310,46 |
8 |
st02.007 |
Воспалительные болезни женских половых органов |
0,71 |
18 976,45 |
19 116,28 |
21 073,85 |
25 967,77 |
9 |
st02.008 |
Доброкачественные новообразования, новообразования in situ, неопределенного и неизвестного характера женских половых органов |
0,89 |
23 787,38 |
23 962,66 |
26 416,51 |
32 551,15 |
10 |
st02.009 |
Другие болезни, врожденные аномалии, повреждения женских половых органов |
0,46 |
12 294,60 |
12 385,19 |
13 653,48 |
16 824,19 |
11 |
st02.010 |
Операции на женских половых органах (уровень 11) |
0,39 |
10 423,68 |
10 500,49 |
11 575,78 |
14 263,99 |
12 |
st02.011 |
Операции на женских половых органах (уровень 2) |
0,58 |
15 501,89 |
15616,11 |
17 215,26 |
21 213,11 |
13 |
st02.012 |
Операции на женских половых органах (уровень 3) |
1,17 |
32 916,90 |
32 916,90 |
32 916,90 |
32 916,90 |
14 |
st02.013 |
Операции на женских половых органах (уровень 41 |
2,2 |
58 800,27 |
59 233,53 |
65 299,25 |
80 463,53 |
15 |
st03.001 |
Нарушения с вовлечением иммунного механизма |
4,52 |
120 807,83 |
121 697,99 |
134 160,27 |
165 315,97 |
16 |
st03.002 |
Ангионевротический отек, анафилактический шок |
0,27 |
7 596,21 |
7 596,21 |
7 596,21 |
7 596,21 |
17 |
st04.001 |
Язва желудка и двенадцатиперстной кишки |
0,89 |
25 039,35 |
25 039,35 |
25 039,35 |
25 039,35 |
18 |
st04.002 |
Воспалительные заболевания кишечника |
2,01 |
53 722,06 |
54 117,91 |
59 659,77 |
73 514,40 |
19 |
st04.003 |
Болезни печени, невирусные (уровень 1) |
0,86 |
22 985,56 |
23 154,93 |
25 526,07 |
31 453,92 |
20 |
st04.004 |
Болезни печени, невирусные (уровень 2) |
1,21 |
32 340,15 |
32 578,44 |
35 914,59 |
44 254,94 |
21 |
st04.005 |
Болезни поджелудочной железы |
0,87 |
23 252,83 |
23 424,17 |
25 822,88 |
31 819,67 |
22 |
st04.006 |
Панкреатит с синдромом органной дисфункции |
4,19 |
111 987,79 |
112 812,96 |
124 365,38 |
153 246,44 |
23 |
st05.001 |
Анемии (уровень 1) |
0,94 |
25 123,75 |
25 308,87 |
27 900,59 |
34 379,87 |
24 |
st05.002 |
Анемии (уровень 2) |
5,32 |
142 189,74 |
143 237,46 |
157 905,45 |
194 575,44 |
25 |
st05.003 |
Нарушения свертываемости крови |
4,5 |
120 273,28 |
121 159,50 |
133 566,64 |
164 584,49 |
26 |
st05.004 |
Другие болезни крови и кроветворных органов (уровень 1) |
1,09 |
29 132,86 |
29 347,52 |
32 352,81 |
39 866,02 |
27 |
st05.005 |
Другие болезни крови и кроветворных органов (уровень 2) |
4,51 |
120 540,55 |
121 428,74 |
133 863,45 |
164 950,23 |
28 |
st05.008 |
Лекарственная терапия при доброкачественных заболеваниях крови и пузырном заносе |
2,05 |
54 791,16 |
55 194,88 |
60 847,02 |
74 977,38 |
29 |
st06.001 |
Редкие и тяжелые дерматозы |
1,72 |
45 971,12 |
46 309,85 |
51 052,14 |
62 907,85 |
30 |
st06.002 |
Средне тяжелые дерматозы |
0,74 |
19 778,27 |
19 924,01 |
21 964,29 |
27 065,00 |
31 |
st06.003 |
Легкие дерматозы |
0,36 |
10 128,28 |
10 128,28 |
10 128,28 |
10 128,28 |
32 |
st07.001 |
Врожденные аномалии сердечно-сосудистой системы, дети |
1,84 |
49 178,41 |
49 540,77 |
54 613,91 |
67 296,77 |
33 |
st08.001 |
Лекарственная терапия при злокачественных новообразованиях других локализаций (кроме лимфоидной и кроветворной тканей). дети |
4,37 |
116 798,72 |
1 17 659,34 |
129 708,05 |
159 829,82 |
34 |
st08.002 |
Лекарственная терапия при остром лейкозе, дети |
7,82 |
209 008,23 |
210 548,29 |
232 109,14 |
286 011,26 |
35 |
st08.003 |
Лекарственная терапия при других злокачественных новообразованиях лимфоидной и кроветворной тканей, дети |
5,68 |
151 811,60 |
152 930,22 |
168 590,78 |
207 742,19 |
36 |
st09.001 |
Операции на мужских половых органах, дети (уровень 11) |
0,97 |
25 925,57 |
26 116,60 |
28 791,03 |
35 477,10 |
37 |
st09.002 |
Операции на мужских половых органах, дети (уровень 2) |
1,11 |
29 667,41 |
29 886,01 |
32 946,44 |
40 597,51 |
38 |
st09.003 |
Операции на мужских половых органах, дети (уровень 3) |
1,97 |
55 424,18 |
55 424,18 |
55 424,18 |
55 424,18 |
39 |
st09.004 |
Операции на мужских половых органах, дети (уровень 4) |
2,78 |
78 212,80 |
78 212,80 |
78 212,80 |
78 212,80 |
40 |
st09.005 |
Операции на почке и мочевыделительной системе, дети (уровень 1) |
1,15 |
30 736,50 |
30 962,98 |
34 133,70 |
42 060,48 |
41 |
st09.006 |
Операции на почке и мочевыделительной системе, дети (уровень 2) |
1,22 |
32 607,42 |
32 847,69 |
36 211,40 |
44 620,68 |
42 |
st09.007 |
Операции на почке и мочевыделительной системе, дети (уровень 3) |
1,78 |
47 574,76 |
47 925,31 |
52 833,03 |
65 102,31 |
43 |
st09.008 |
Операции на почке и мочевыделительной системе, дети (уровень 4) |
2,23 |
62 739,04 |
62 739,04 |
62 739,04 |
62 739,04 |
44 |
st09.009 |
Операции на почке и мочевыделительной системе, дети (уровень 5) |
2,36 |
66 396,48 |
66 396,48 |
66 396,48 |
66 396,48 |
45 |
st09.010 |
Операции на почке и мочевыделительной системе, дети (уровень 61 |
4,28 |
120413,95 |
120 413,95 |
120413,95 |
120 413,95 |
46 |
st10.001 |
Детская хирургия (уровень 1) |
2,95 |
78 845,82 |
79 426,78 |
87 560,35 |
107 894,27 |
47 |
st10.002 |
Детская хирургия (уровень 2) |
5,33 |
142 457,02 |
143 506,70 |
158 202,26 |
194 941,18 |
48 |
st10.003 |
Аппендэктомия, дети (уровень 1) |
0,77 |
21 663,26 |
21 663,26 |
21 663,26 |
21 663,26 |
49 |
st10.004 |
Аппендэктомия, дети (уровень 2) |
0,97 |
25 925,57 |
26 116,60 |
28 791,03 |
35 477,10 |
50 |
st10.005 |
Операции по поводу грыж, дети (уровень 1) |
0,88 |
24 758,01 |
24 758,01 |
24 758,01 |
24 758,01 |
51 |
st10.006 |
Операции по поводу грыж, дети (уровень 2) |
1,05 |
28 063,76 |
28 270,55 |
31 165,55 |
38 403,05 |
52 |
st10.007 |
Операции по поводу грыж, дети (уровень 3) |
1,25 |
33 409,24 |
33 655,42 |
37 101,84 |
45 717,91 |
53 |
st11.001 |
Сахарный диабет, дети |
1,51 |
40 358,37 |
40 655,74 |
44 819,03 |
55 227,24 |
54 |
st11.002 |
Заболевания гипофиза, дети |
2,26 |
60 403,91 |
60 848,99 |
67 080,13 |
82 657,99 |
55 |
st11.003 |
Другие болезни эндокринной системы, дети (уровень 11 |
1,38 |
36 883,81 |
37 155,58 |
40 960,44 |
50 472,58 |
56 |
st11.004 |
Другие болезни эндокринной системы, дети (уровень 2) |
2,82 |
75 371,25 |
75 926,62 |
83 701,76 |
103 139,61 |
57 |
st12.001 |
Кишечные инфекции, взрослые |
0,58 |
15 501,89 |
15616,11 |
17 215,26 |
21 213,11 |
58 |
st12.002 |
Кишечные инфекции, дети |
0,62 |
16 570,98 |
16 693,09 |
18 402,51 |
22 676,08 |
59 |
st12.003 |
Вирусный гепатит острый |
1,4 |
37 418,35 |
37 694,07 |
41 554,07 |
51 204,06 |
60 |
st12.004 |
Вирусный гепатит хронический |
1,27 |
33 943,79 |
34 193,90 |
37 695,47 |
46 449,40 |
61 |
st12.005 |
Сепсис, взрослые |
3,12 |
83 389,47 |
84 003,92 |
92 606,20 |
114 111,91 |
62 |
st12.006 |
Сепсис, дети |
4,51 |
120 540,55 |
121 428,74 |
133 863,45 |
164 950,23 |
63 |
st12.007 |
Сепсис с синдромом органной дисфункции |
7,2 |
192 437,24 |
193 855,20 |
213 706,62 |
263 335,18 |
64 |
st12.008 |
Другие инфекционные и паразитарные болезни, взрослые |
1,18 |
31 538,33 |
31 770,71 |
35 024,14 |
43 157,71 |
65 |
st12.009 |
Другие инфекционные и паразитарные болезни, дети |
0,98 |
26 192,85 |
26 385,85 |
29 087,85 |
35 842,84 |
66 |
st12.010 |
Респираторные инфекции верхних дыхательных путей с осложнениями, взрослые |
0,35 |
9 354,59 |
9 423,52 |
10 388,52 |
12 801,02 |
67 |
st12.011 |
Респираторные инфекции верхних дыхательных путей, дети |
0,5 |
13 363,70 |
13 462,17 |
14 840,74 |
18 287,17 |
68 |
st12.012 |
Грипп, вирус гриппа идентифицирован |
1 |
26 727,40 |
26 924,33 |
29 681,48 |
36 574,33 |
69.1 |
st12.013.1 |
Грипп и пневмония с синдромом органной дисфункции (тяжелое течение COVID-19) |
6 |
160 364,37 |
161 546,00 |
178 088,85 |
219 445,98 |
69.2 |
st12.013.2 |
Грипп и пневмония с синдромом органной дисфункции (среднетяжелое течение COVID-19) |
5 |
133 636,98 |
134 621,67 |
148 407,38 |
182 871,65 |
69.3 |
st12.013.3 |
Грипп и пневмония с синдромом органной дисфункции |
4,4 |
117 600,54 |
118 467,07 |
130 598,49 |
160 927,05 |
70 |
st12.014 |
Клещевой энцефалит |
2,3 |
61 473,01 |
61 925,97 |
68 267,39 |
84 120,96 |
71 |
st13.001 |
Нестабильная стенокардия, инфаркт миокарда, легочная эмболия (уровень 1) |
1,42 |
37 952,90 |
38 232,55 |
42 147,70 |
51 935,55 |
72 |
st13.002 |
Нестабильная стенокардия, инфаркт миокарда, легочная эмболия (уровень 2) |
2,81 |
75 103,98 |
75 657,38 |
83 404,95 |
102 773,87 |
73 |
st13.003 |
Инфаркт миокарда, легочная эмболия, лечение с применением тромболитической терапии |
3,48 |
93 011,33 |
93 696,68 |
103 291,53 |
127 278,67 |
74 |
st13.004 |
Нарушения ритма и проводимости (уровень 1) |
1,12 |
29 934,68 |
30 155,25 |
33 243,25 |
40 963,25 |
75 |
st13.005 |
Нарушения ритма и проводимости (уровень 2) |
2,01 |
53 722,06 |
54 117,91 |
59 659,77 |
73 514,40 |
76 |
st13.006 |
Эндокардит, миокардит, перикардит, кардиомиопатии (уровень 1) |
1,42 |
37 952,90 |
38 232,55 |
42 147,70 |
51 935,55 |
77 |
st13.007 |
Эндокардит, миокардит, перикардит, кардиомиопатии (уровень 2) |
2,38 |
63 611,20 |
64 079,91 |
70 641,91 |
87 046,91 |
78 |
st14.001 |
Операции на кишечнике и анальной области (уровень 1) |
0,84 |
23 632,64 |
23 632,64 |
23 632,64 |
23 632,64 |
79 |
st14.002 |
Операции на кишечнике и анальной области (уровень 2) |
1,74 |
46 505,67 |
46 848,34 |
51 645,77 |
63 639,33 |
80 |
st14.003 |
Операции на кишечнике и анальной области (уровень 3) |
2,49 |
66 551,21 |
67 041,59 |
73 906,87 |
91 070,08 |
81 |
st15.001 |
Воспалительные заболевания ЦНС, взрослые |
0,98 |
26 192,85 |
26 385,85 |
29 087,85 |
35 842,84 |
82 |
st15.002 |
Воспалительные заболевания ЦНС, дети |
1,55 |
41 427,46 |
41 732,72 |
46 006,29 |
56 690,21 |
82 |
st15.003 |
Дегенеративные болезни нервной системы |
0,84 |
22 451,01 |
22 616,44 |
24 932,44 |
30 722,44 |
84 |
st15.004 |
Демиелинизируюшие болезни нервной системы |
1,33 |
35 547,44 |
35 809,36 |
39 476,36 |
48 643,86 |
85 |
st15.005 |
Эпилепсия, судороги (уровень 1) |
0,96 |
27 008,74 |
27 008,74 |
27 008,74 |
27 008,74 |
86 |
st15.018 |
Эпилепсия, судороги (уровень 2) |
2,3 |
61 473,01 |
61 925,97 |
68 267,39 |
84 120,96 |
87 |
st15.019 |
Эпилепсия (уровень 3) |
3,16 |
84 458,57 |
85 080,89 |
93 793,46 |
115 574,88 |
88 |
st15.020 |
Эпилепсия (уровень 4) |
4,84 |
129 360,59 |
130 313,78 |
143 658,34 |
177 019,76 |
89 |
st15.007 |
Расстройства периферической нервной системы |
1,02 |
27 261,94 |
27 462,82 |
30 275,11 |
37 305,82 |
90 |
st15.008 |
Неврологические заболевания, лечение с применением ботулотоксина (уровень 1) |
1,61 |
45 295,90 |
45 295,90 |
45 295,90 |
45 295,90 |
91 |
st15.009 |
Неврологические заболевания. лечение с применением ботулотоксина (уровень 2) |
2,05 |
57 674,91 |
57 674,91 |
57 674,91 |
57 674,91 |
92 |
st15.010 |
Другие нарушения нервной системы (уровень 1) |
0,74 |
19 778,27 |
19 924,01 |
21 964,29 |
27 065,00 |
93 |
st15.011 |
Другие нарушения нервной системы (уровень 2) |
0,99 |
26 460,12 |
26 655,09 |
29 384,66 |
36 208,59 |
94 |
st15.012 |
Транзиторные ишемические приступы, сосудистые мозговые синдромы |
1,15 |
30 736,50 |
30 962,98 |
34 133,70 |
42 060,48 |
95 |
st15.013 |
Кровоизлияние в мозг |
2,82 |
75 371,25 |
75 926,62 |
83 701,76 |
103 139,61 |
96 |
st15.014 |
Инфаркт мозга (уровень 1) |
2,52 |
67 353,04 |
67 849,32 |
74 797,32 |
92 167,31 |
97 |
st15.015 |
Инфаркт мозга (уровень 2) |
3,12 |
83 389,47 |
84 003,92 |
92 606,20 |
114 111,91 |
98 |
st15.016 |
Инфаркт мозга (уровень 3) |
4,51 |
120 540,55 |
121 428,74 |
133 863,45 |
164 950,23 |
99 |
st15.017 |
Другие цереброваскулярные болезни |
0,82 |
21 916,46 |
22 077,95 |
24 338,81 |
29 990,95 |
100 |
st16.001 |
Паралитические синдромы, травма спинного мозга (уровень 1) |
0,98 |
26 192,85 |
26 385,85 |
29 087,85 |
35 842,84 |
101 |
st16.002 |
Паралитические синдромы, травма спинного мозга (уровень 2) |
1,49 |
39 823,82 |
40 117,26 |
44 225,40 |
54 495,75 |
102 |
st16.003 |
Дорсопатии, спондилопатии, остеопатии |
0,68 |
19 131,19 |
19 131,19 |
19 131,19 |
19 131,19 |
103 |
st16.004 |
Травмы позвоночника |
1,01 |
26 994,67 |
27 193,58 |
29 978,29 |
36 940,07 |
104 |
st16.005 |
Сотрясение головного мозга |
0,4 |
11 253,64 |
11 253,64 |
11 253,64 |
11 253,64 |
105 |
st16.006 |
Переломы черепа, внутричерепная травма |
1,54 |
41 160,19 |
41 463,47 |
45 709,47 |
56 324,47 |
106 |
st16.007 |
Операции на центральной нервной системе и головном мозге (уровень 11 |
4,13 |
110 384,14 |
111 197,50 |
122 584,49 |
151 051,98 |
107 |
st16.008 |
Операции на центральной нервной системе и головном мозге (уровень 2) |
5,82 |
155 553,44 |
156 699,62 |
172 746,19 |
212 862,60 |
108 |
st16.009 |
Операции на периферической нервной системе (уровень 1) |
1,41 |
37 685,63 |
37 963,31 |
41 850,88 |
51 569,81 |
109 |
st16.010 |
Операции на периферической нервной системе (уровень 2) |
2,19 |
61 613,68 |
61 613,68 |
61 613,68 |
61 613,68 |
110 |
st16.011 |
Операции на периферической нервной системе (уровень 3) |
2,42 |
68 084,52 |
68 084,52 |
68 084,52 |
68 084,52 |
111 |
st16.012 |
Доброкачественные новообразования нервной системы |
1,02 |
27 261,94 |
27 462,82 |
30 275,11 |
37 305,82 |
112 |
st17.001 |
Малая масса тела при рождении, недоношенность |
4,21 |
112 522,33 |
113 351,44 |
124 959,01 |
153 977,93 |
113 |
st17.002 |
Крайне малая масса тела при рождении, крайняя не зрелость |
16,02 |
428 172,87 |
431 327,83 |
475 497,24 |
585 920,77 |
114 |
st17.003 |
Лечение новорожденных с тяжелой патологией с применением аппаратных методов поддержки или замещения витальных функций |
7,4 |
197 782,72 |
199 240,07 |
219 642,92 |
270 650,04 |
115 |
st17.004 |
Геморрагические и гемолитические нарушения у новорожденных |
1,92 |
51 316,60 |
51 694,72 |
56 988,43 |
70 222,71 |
116 |
st17.005 |
Другие нарушения, возникшие в перинатальном периоде (уровень 1) |
1,39 |
37 151,08 |
37 424,82 |
41 257,25 |
50 838,32 |
117 |
st17.006 |
Другие нарушения, возникшие в перинатальном периоде (уровень 2) |
1,89 |
50 514,78 |
50 886,99 |
56 097,99 |
69 125,48 |
118 |
st17.007 |
Другие нарушения, возникшие в перинатальном периоде (уровень 3) |
2,56 |
68 422,13 |
68 926,29 |
75 984,58 |
93 630,28 |
119 |
st18.001 |
Почечная недостаточность |
1,66 |
44 367,48 |
44 694,39 |
49 271,25 |
60 713,39 |
120 |
st18.002 |
Формирование, имплантация, реконструкция, удаление, смена доступа для диализа |
1,82 |
48 643,86 |
49 002,29 |
54 020,29 |
66 565,28 |
121 |
st18.003 |
Гломерулярные болезни |
1,71 |
45 703,85 |
46 040,61 |
50 755,32 |
62 542,10 |
122 |
st19.001 |
Операции на женских половых органах при злокачественных новообразованиях (уровень 1) |
2,41 |
64 413,02 |
64 887,64 |
71 532,36 |
88 144,14 |
123 |
st19.002 |
Операции на женских половых органах при злокачественных новообразованиях (уровень 2) |
4,02 |
107 444,13 |
108 235,82 |
119 319,53 |
147 028,81 |
124 |
st19.003 |
Операции на женских половых органах при злокачественных новообразованиях (уровень 3) |
4,89 |
130 696,96 |
131 659,99 |
145 142,42 |
178 848,47 |
125 |
st19.004 |
Операции на кишечнике и анальной области при злокачественных новообразованиях (уровень 1) |
3,05 |
81 518,55 |
82 119,22 |
90 528,50 |
111 551,71 |
126 |
st19.005 |
Операции на кишечнике и анальной области при злокачественных новообразованиях (уровень 2) |
5,31 |
141 922,47 |
142 968,21 |
157 608,63 |
194 209,69 |
127 |
st19.006 |
Операции при злокачественных новообразованиях почки и мочевыделительной системы (уровень 1) |
1,66 |
44 367,48 |
44 694,39 |
49 271,25 |
60 713,39 |
128 |
st19.007 |
Операции при злокачественных новообразованиях почки и мочевыделительной системы (уровень 2) |
2,77 |
74 034,88 |
74 580,40 |
82 217,69 |
101 310,89 |
129 |
st19.008 |
Операции при злокачественных новообразованиях почки и мочевыделительной системы (уровень 3) |
4,32 |
115 462,35 |
116 313,12 |
128 223,97 |
158 001,11 |
130 |
st19.009 |
Операции при злокачественных новообразованиях кожи (уровень 1) |
1,29 |
34 478,34 |
34 732,39 |
38 289,10 |
47 180,89 |
131 |
st19.010 |
Операции при злокачественных новообразованиях кожи (уровень 21 |
1,55 |
41 427,46 |
41 732,72 |
46 006,29 |
56 690,21 |
132 |
st19.011 |
Операции при злокачественных новообразованиях кожи (уровень 3) |
1,71 |
45 703,85 |
46 040,61 |
50 755,32 |
62 542,10 |
133 |
st19.012 |
Операции при злокачественном новообразовании щитовидной железы (уровень 1) |
2,29 |
61 205,73 |
61 656,72 |
67 970,58 |
83 755,22 |
134 |
st19.013 |
Операции при злокачественном новообразовании щитовидной железы (уровень 2) |
2,49 |
66 551,21 |
67 041,59 |
73 906,87 |
91 070,08 |
135 |
st19.014 |
Мастэктомия, другие операции при злокачественном новообразовании молочной железы (уровень 1) |
2,79 |
74 569,43 |
75 1 18,89 |
82 811,32 |
102 042,38 |
136 |
st19.015 |
Мастэктомия, другие операции при злокачественном новообразовании молочной железы (уровень 2) |
3,95 |
105 573,21 |
106 351,12 |
117 241,83 |
144 468,60 |
137 |
st19.016 |
Операции при злокачественном новообразовании желчного пузыря, желчных протоков (уровень 1) |
2,38 |
63 611,20 |
64 079,91 |
70 641,91 |
87 046,91 |
138 |
st19.017 |
Операции при злокачественном новообразовании желчного пузыря, желчных протоков (уровень 2) |
2,63 |
70 293,05 |
70 811,00 |
78 062,28 |
96 190,49 |
139 |
st19.018 |
Операции при злокачественном новообразовании пищевода, желудка (уровень 1) |
2,17 |
57 998,45 |
58 425,80 |
64 408,80 |
79 366,30 |
140 |
st19.019 |
Операции при злокачественном новообразовании пищевода, желудка (уровень 2) |
3,43 |
91 674,96 |
92 350,46 |
101 807,46 |
125 449,95 |
141 |
st19.020 |
Операции при злокачественном новообразовании пищевода, желудка (уровень 3) |
4,27 |
114 125,98 |
114 966,90 |
126 739,90 |
156 172,39 |
142 |
st19.021 |
Другие операции при злокачественном новообразовании брюшной полости |
3,66 |
97 822,27 |
98 543,06 |
108 634,20 |
133 862,05 |
143 |
st19.022 |
Операции на органе слуха, придаточных пазухах носа и верхних дыхательных путях при злокачественных новообразованиях |
2,81 |
75 103,98 |
75 657,38 |
83 404,95 |
102 773,87 |
144 |
st19.023 |
Операции на нижних дыхательных путях и легочной ткани при злокачественных новообразованиях (уровень 1) |
3,42 |
91 407,69 |
92 081,22 |
101 510,65 |
125 084,21 |
145 |
st19.024 |
Операции на нижних дыхательных путях и легочной ткани при злокачественных новообразованиях (уровень 2) |
5,31 |
141 922,47 |
142 968,21 |
157 608,63 |
194 209,69 |
146 |
st19.025 |
Операции при злокачественных новообразованиях мужских половых органов (уровень 1) |
2,86 |
76 440,35 |
77 003,59 |
84 889,02 |
104 602,58 |
147 |
st19.026 |
Операции при злокачественных новообразованиях мужских половых органов (уровень 2) |
4,31 |
115 195,07 |
116 043,88 |
127 927,16 |
157 635,36 |
148 |
st19.027 |
Лекарственная терапия при злокачественных новообразованиях (кроме лимфоидной и кроветворной тканей), взрослые (уровень 1) |
0,61 |
16 303,71 |
16 423,84 |
18 105,70 |
22 310,34 |
149 |
st19.028 |
Лекарственная терапия при злокачественных новообразованиях (кроме лимфоидной и кроветворной тканей), взрослые (уровень 2) |
1,54 |
41 160,19 |
41 463,47 |
45 709,47 |
56 324,47 |
150 |
st19.029 |
Лекарственная терапия при злокачественных новообразованиях (кроме лимфоидной и кроветворной тканей), взрослые (уровень 3) |
2,42 |
64 680,30 |
65 156,89 |
71 829,17 |
88 509,88 |
151 |
st19.030 |
Лекарственная терапия при злокачественных новообразованиях (кроме лимфоидной и кроветворной тканей), взрослые (уровень 4) |
3,26 |
87 131,31 |
87 773,33 |
96 761,61 |
1 19 232,32 |
152 |
st19.031 |
Лекарственная терапия при злокачественных новообразованиях (кроме лимфоидной и кроветворной тканей), взрослые (уровень 5) |
4,06 |
108 513,22 |
109312,79 |
120 506,79 |
148 491,78 |
153 |
st19.032 |
Лекарственная терапия при злокачественных новообразованиях (кроме лимфоидной и кроветворной тканей), взрослые (уровень 6) |
4,9 |
130 964,24 |
131 929,24 |
145 439,23 |
179 214,22 |
154 |
st19.033 |
Лекарственная терапия при злокачественных новообразованиях (кроме лимфоидной и кроветворной тканей), взрослые (уровень 7) |
5,87 |
156 889,81 |
158 045,84 |
174 230,26 |
214 691,32 |
155 |
st19.034 |
Лекарственная терапия при злокачественных новообразованиях (кроме лимфоидной и кроветворной тканей), взрослые (уровень 8) |
7,87 |
210 344,60 |
211 894,51 |
233 593,21 |
287 839,98 |
156 |
st19.035 |
Лекарственная терапия при злокачественных новообразованиях (кроме лимфоидной и кроветворной тканей), взрослые (уровень 9) |
8,91 |
238 141,09 |
239 895,81 |
264 461,95 |
325 877,28 |
157 |
st19.036 |
Лекарственная терапия при злокачественных новообразованиях (кроме лимфоидной и кроветворной тканей), взрослые (уровень 10) |
10,71 |
286 250,40 |
288 359,61 |
317 888,60 |
391 711,07 |
158 |
st19.056 |
Лекарственная терапия при злокачественных новообразованиях (кроме лимфоидной и кроветворной тканей), взрослые (уровень 11) |
12,3 |
328 746,96 |
331 169,30 |
365 082,15 |
449 864,26 |
159 |
st19.057 |
Лекарственная терапия при злокачественных новообразованиях (кроме лимфоидной и кроветворной тканей), взрослые (уровень 12) |
15,04 |
401 980,02 |
404 941,98 |
446 409,39 |
550 077,92 |
160 |
st19.058 |
Лекарственная терапия при злокачественных новообразованиях (кроме лимфоидной и кроветворной тканей), взрослые (уровень 13) |
29,52 |
788 992,70 |
794 806,33 |
876 197,16 |
1 079 674,22 |
161 |
st19.037 |
Фебрильная нейтропения, агранулоцитоз вследствие проведения лекарственной терапии злокачественных новообразований (кроме лимфоидной и кроветворной тканей) |
2,93 |
78 311,27 |
78 888,30 |
86 966,72 |
107 162,79 |
162 |
st19.038 |
Установка, замена порт системы (катетера) для лекарственной терапии злокачественных новообразований (кроме лимфоидной и кроветворной тканей) |
1,24 |
33 141,97 |
33 386,17 |
36 805,03 |
45 352,17 |
163 |
st19.039 |
Лучевая терапия (уровень 1) |
0,73 |
19 511,00 |
19 654,76 |
21 667,48 |
26 699,26 |
164 |
st19.040 |
Лучевая терапия (уровень 21 |
0,99 |
26 460,12 |
26 655,09 |
29 384,66 |
36 208,59 |
165 |
st19.041 |
Лучевая терапия (уровень 3) |
2,51 |
67 085,76 |
67 580,08 |
74 500,50 |
91 801,57 |
166 |
st19.042 |
Лучевая терапия (уровень 4) |
3,05 |
81 518,55 |
82 119,22 |
90 528,50 |
111 551,71 |
167 |
st19.043 |
Лучевая терапия (уровень 5) |
3,21 |
85 794,94 |
86 427,11 |
95 277,54 |
117 403,60 |
168 |
st19.044 |
Лучевая терапия (уровень 6) |
4,71 |
125 886,03 |
126 813,61 |
139 799,75 |
172 265,09 |
169 |
st19.045 |
Лучевая терапия (уровень 7) |
5,22 |
139 517,00 |
140 545,02 |
154 937,30 |
190 918,00 |
170 |
st19.046 |
Лучевая терапия (уровень 8) |
8,11 |
216 759,17 |
218 356,35 |
240 716,77 |
296 617,82 |
171 |
st19.047 |
Лучевая терапия (уровень 9) |
11,56 |
308 968,69 |
311 245,30 |
343 117,86 |
422 799,25 |
172 |
st19.048 |
Лучевая терапия (уровень 10) |
14,55 |
388 883,60 |
391 749,06 |
431 865,47 |
532 156,50 |
173 |
st19.049 |
Лучевая терапия в сочетании с лекарственной терапией (уровень 1) |
3,09 |
82 587,65 |
83 196,19 |
91 715,76 |
113 014,68 |
174 |
st19.050 |
Лучевая терапия в сочетании с лекарственной терапией (уровень 2) |
6,32 |
168 917,14 |
170 161,79 |
187 586,93 |
231 149,77 |
175 |
st19.051 |
Лучевая терапия в сочетании с лекарственной терапией (уровень 3) |
7,37 |
196 980,90 |
198 432,34 |
218 752,47 |
269 552,81 |
176 |
st19.052 |
Лучевая терапия в сочетании с лекарственной терапией (уровень 4) |
9,92 |
265 135,76 |
267 089,39 |
294 440,24 |
362 817,35 |
177 |
st19.053 |
Лучевая терапия в сочетании с лекарственной терапией (уровень 5) |
10,86 |
290 259,51 |
292 398,26 |
322 340,82 |
397 197,22 |
178 |
st19.054 |
Лучевая терапия в сочетании с лекарственной терапией (уровень 6) |
15,9 |
424 965,58 |
428 096,91 |
471 935,46 |
581 531,85 |
179 |
st19.055 |
Лучевая терапия в сочетании с лекарственной терапией (уровень 7) |
22,52 |
601 900,94 |
606 335,99 |
668 426,83 |
823 653,91 |
180 |
st19.059 |
Лекарственная терапия при остром лейкозе, взрослые |
4,27 |
114 125,98 |
114 966,90 |
126 739,90 |
156 172,39 |
181 |
st19.060 |
Лекарственная терапия при других злокачественных новообразованиях лимфоидной и кроветворной тканей, взрослые |
3,46 |
92 476,79 |
93 158,19 |
102 697,91 |
126 547,18 |
182 |
st19.061 |
Лекарственная терапия злокачественных новообразований лимфоидной и кроветворной тканей с применением моноклональных антител, ингибиторов протеинкиназы |
7,92 |
211 680,97 |
213 240,72 |
235 077,29 |
289 668,69 |
183 |
st20.001 |
Доброкачественные новообразования in situ уха, горла носа, полости рта |
0,66 |
17 640,08 |
17 770,06 |
19 589,77 |
24 139,06 |
184 |
st20.002 |
Средний отит, мастоидит, нарушения вестибулярной функции |
0,47 |
12 561,88 |
12 654,44 |
13 950,29 |
17 189,94 |
185 |
st20.003 |
Другие болезни уха |
0,61 |
16 303,71 |
16 423,84 |
18 105,70 |
22 310,34 |
186 |
st20.004 |
Другие болезни и врожденные аномалии верхних дыхательных путей, симптомы и признаки относящиеся к органам дыхания, нарушения речи |
0,71 |
18 97644 |
19 116,28 |
21 073,85 |
25 967,77 |
187 |
st20.005 |
Операции на органе слуха, придаточных пазухах носа и верхних дыхательных путях (уровень 1) |
0,84 |
22 451,01 |
22 616,44 |
24 932,44 |
30 722,44 |
188 |
st20.006 |
Операции на органе слуха, придаточных пазухах носа и верхних дыхательных путях (уровень 2) |
0,91 |
24 321,93 |
24 501,14 |
27010,14 |
33 282,64 |
189 |
st20.007 |
Операции на органе слуха, придаточных пазухах носа и верхних дыхательных путях (уровень 3) |
1,1 |
29 400,13 |
29616,77 |
32 649,62 |
40 231,76 |
190 |
st20.008 |
Операции на органе слуха, придаточных пазухах носа и верхних дыхательных путях (уровень 4) |
1,35 |
37 981,04 |
37 981,04 |
37 981,04 |
37 981,04 |
191 |
st20.009 |
Операции на органе слуха, придаточных пазухах носа и верхних дыхательных путях (уровень 5) |
1,96 |
55 142,84 |
55 142,84 |
55 142,84 |
55 142,84 |
192 |
st20.010 |
Замена речевого процессора |
25 |
703 352,50 |
703 352,50 |
703 352,50 |
703 352,50 |
193 |
st21.001 |
Операции на органе зрения (уровень 1) |
0,49 |
13 096,42 |
13 192,92 |
14 543,92 |
17 921,42 |
194 |
st21.002 |
Операции на органе зрения (уровень 2) |
0,79 |
21 114,64 |
21 270,22 |
23 448,37 |
28 893,72 |
195 |
st21.003 |
Операции на органе зрения (уровень 3) |
1,07 |
28 598,31 |
28 809,04 |
31 759,18 |
39 134,53 |
196 |
st21.004 |
Операции на органе зрения (уровень 4) |
1,19 |
33 479,58 |
33 479,58 |
33 479,58 |
33 479,58 |
197 |
st21.005 |
Операции на органе зрения (уровень 5) |
2,11 |
59 362,95 |
59 362,95 |
59 362,95 |
59 362,95 |
198 |
st21.006 |
Операции на органе зрения (уровень 6) |
2,33 |
65 552,45 |
65 552,45 |
65 552,45 |
65 552,45 |
199 |
st21.007 |
Болезни глаза |
0,51 |
13 630,97 |
13 731,41 |
15 137,55 |
18 652,91 |
200 |
st21.008 |
Травмы глаза |
0,66 |
17 640,08 |
17 770,06 |
19 589,77 |
24 139,06 |
201 |
st22.001 |
Нарушения всасывания, дети |
1,11 |
29 667,41 |
29 886,01 |
32 946,44 |
40 597,51 |
202 |
st22.002 |
Друг нс болезни органов пищеварения, дети |
0,39 |
10 423,68 |
10 500,49 |
11 575,78 |
14 263,99 |
203 |
st22.003 |
Воспалительные артропатии, спондилопатии, дети |
1,85 |
49 445,68 |
49 810,02 |
54 910,73 |
67 662,51 |
204 |
st22.004 |
Врожденные аномалии головного и спинного мозга, дети |
2,12 |
56 662,08 |
57 079,59 |
62 924,73 |
77 537,58 |
205 |
st23.001 |
Другие болезни органов дыхания |
0,85 |
22 718,29 |
22 885,68 |
25 229,25 |
31 088,18 |
206 |
st23.002 |
Интерстициальные болезни легких, врожденные аномалии развития легких, бронхо-легочная дисплазия, дети |
2,48 |
66 283,94 |
66 772,35 |
73 610,06 |
90 704,34 |
207 |
st23.003 |
Доброкачественные новообразования, новообразования in situ органов дыхания, других и неуточненных органов грудной клетки |
0,91 |
24 321,93 |
24 501,14 |
27 010,14 |
33 282,64 |
208.1 |
st23.004.1 |
Пневмония, плеврит, другие болезни плевры (COVID-19) |
3 |
80 182,19 |
80 773,00 |
89 044,43 |
109 722,99 |
208.2 |
st23.004.2 |
Пневмония, плеврит, другие болезни плевры |
1,07 |
28 598,31 |
28 809,04 |
31 759,18 |
39 134,53 |
209 |
st23.005 |
Астма, взрослые |
1,11 |
29 667,41 |
29 886,01 |
32 946,44 |
40 597,51 |
210 |
st23.006 |
Астма, дети |
1,25 |
33 409,24 |
33 655,42 |
37 101,84 |
45 717,91 |
211 |
st24.001 |
Системные поражения соединительной ткани |
1,78 |
47 574,76 |
47 925,31 |
52 833,03 |
65 102,31 |
212 |
st24.002 |
Артропатии и спондилопатии |
1,67 |
44 634,75 |
44 963,64 |
49 568,06 |
61 079,13 |
213 |
st24.003 |
Ревматические болезни сердца (уровень 1) |
0,87 |
23 252,83 |
23 424,17 |
25 822,88 |
31 819,67 |
214 |
st24.004 |
Ревматические болезни сердца (уровень 2) |
1,57 |
41 962,01 |
42 271,20 |
46 599,92 |
57 421,70 |
215 |
st25.001 |
Флебит и тромбофлебит, варикозное расширение вен нижних конечностей |
0,85 |
22 718,29 |
22 885,68 |
25 229,25 |
31 088,18 |
216 |
st25.002 |
Другие болезни, врожденные аномалии вен |
1,32 |
35 280,16 |
35 540,12 |
39 179,55 |
48 278,12 |
217 |
st25.003 |
Болезни артерий, артериол и капилляров |
1,05 |
28 063,76 |
28 270,55 |
31 165,55 |
38 403,05 |
218 |
st25.004 |
Диагностическое обследование сердечно-сосудистой системы |
1,01 |
26 994,67 |
27 193,58 |
29 978,29 |
36 940,07 |
219 |
st25.005 |
Операции на сердце и коронарных сосудах (уровень 11 |
2,11 |
56 394,80 |
56 810,34 |
62 627,91 |
77 171,84 |
220 |
st25.006 |
Операции на сердце и коронарных сосудах (уровень 2) |
3,97 |
106 107,76 |
106 889,60 |
117 835,46 |
145 200,09 |
221 |
st25.007 |
Операции на сердце и коронарных сосудах (уровень 3) |
4,31 |
115 195,07 |
116 043,88 |
127 927,16 |
157 635,36 |
222 |
st25.008 |
Операции на сосудах (уровень 1) |
1,2 |
32 072,87 |
32 309,20 |
35 617,77 |
43 889,20 |
223 |
st25.009 |
Операции на сосудах (уровень 2) |
2,37 |
63 343,93 |
63 810,67 |
70 345,10 |
86 681,16 |
224 |
st25.010 |
Операции на сосудах (уровень 3) |
4,13 |
110 384,14 |
111 197,50 |
122 584,49 |
151 051,98 |
225 |
st25.011 |
Операции на сосудах (уровень 4) |
6,08 |
162 502,56 |
163 699,95 |
180 463,37 |
222 371,93 |
226 |
st25.012 |
Операции на сосудах (уровень 5) |
7,12 |
190 299,05 |
191 701,26 |
211 332,11 |
260 409,23 |
227 |
st26.001 |
Болезни полости рта, слюнных желез и челюстей, врожденные аномалии лица и шеи. дети |
0,79 |
21 114,64 |
21 270,22 |
23 448,37 |
28 893,72 |
228 |
st27.001 |
Болезни пищевода, гастрит, дуоденит другие болезни желудка и двенадцатиперстной кишки |
0,74 |
20 819,23 |
20 819,23 |
20 819,23 |
20 819,23 |
229 |
st27.002 |
Новообразования доброкачественные, in situ. неопределенного и неуточненного характера органов пищеварения |
0,69 |
18 441,90 |
18 577,79 |
20 480,22 |
25 236,29 |
230 |
st27.003 |
Болезни желчного пузыря |
0,72 |
20 256,55 |
20 256,55 |
20 256,55 |
20 256,55 |
231 |
st27.004 |
Другие болезни органов пищеварения, взрослые |
0,59 |
15 769,16 |
15 885,36 |
17 512,07 |
21 578,85 |
232 |
st27.005 |
Гипертоническая болезнь в стадии обострения |
0,7 |
19 693,87 |
19 693,87 |
19 693,87 |
19 693,87 |
233 |
st27.006 |
Стенокардия (кроме нестабильной), хроническая ишемическая болезнь сердца (уровень 1) |
0,78 |
21 944,60 |
21 944,60 |
21 944,60 |
21 944,60 |
234 |
st27.007 |
Стенокардия (кроме нестабильной), хроническая ишемическая болезнь сердца (уровень 2) |
1,7 |
45 436,57 |
45 771,37 |
50 458,51 |
62 176,36 |
235 |
st27.008 |
Другие болезни сердца (уровень 1) |
0,78 |
20 847,37 |
21 000,98 |
23 151,55 |
28 527,98 |
236 |
st27.009 |
Другие болезни сердца (уровень 2) |
1,54 |
41 160,19 |
41 463,47 |
45 709,47 |
56 324,47 |
237 |
st27.010 |
Бронхит необструктивный, симптомы и признаки, относящиеся к органам дыхания |
0,75 |
21 100,58 |
21 100,58 |
21 100,58 |
21 100,58 |
238 |
st27.011 |
ХОБЛ, эмфизема, бронхоэктатическая болезнь |
0,89 |
23 787,38 |
23 962,66 |
26 416,51 |
32 551,15 |
239 |
st27.012 |
Отравления и другие воздействия внешних причин |
0,53 |
14 165,52 |
14 269,90 |
15 731,18 |
19 384,39 |
240 |
st27.013 |
Отравления и другие воздействия внешних причин с синдромом органной дисфункции |
4,07 |
108 780,50 |
109 582,04 |
120 803,61 |
148 857,52 |
241 |
st27.014 |
Госпитализация в диагностических целях с постановкой подтверждением диагноза злокачественного новообразования |
1 |
26 727,40 |
26 924,33 |
29 681,48 |
36 574,33 |
242 |
st28.001 |
Гнойные состояния нижних дыхательных путей |
2,05 |
54 791,16 |
55 194,88 |
60 847,02 |
74 977,38 |
243 |
st28.002 |
Операции на нижних дыхательных путях и легочной ткани, органах средостения (уровень 1) |
1,54 |
41 160,19 |
41 463,47 |
45 709,47 |
56 324,47 |
244 |
st28.003 |
Операции на нижних дыхательных путях и легочной ткани, органах средостения (уровень 2) |
1,92 |
51 316,60 |
51 694,72 |
56 988,43 |
70 222,71 |
245 |
st28.004 |
Операции на нижних дыхательных путях и легочной ткани, органах средостения (уровень 31 |
2,56 |
72 023,30 |
72 023,30 |
72 023,30 |
72 023,30 |
246 |
st28.005 |
Операции на нижних дыхательных путях и легочной ткани, органах средостения (уровень 4) |
4,12 |
115 912,49 |
115 912,49 |
115 912,49 |
115 912,49 |
247 |
st29.001 |
Приобретенные и врожденные костно-мышечные деформации |
0,99 |
26 460,12 |
26 655,09 |
29 384,66 |
36 208,59 |
248 |
st29.002 |
Переломы шейки бедра и костей таза |
1,52 |
42 763,83 |
42 763,83 |
42 763,83 |
42 763,83 |
249 |
st29.003 |
Переломы бедренной кости, другие травмы области бедра и тазобедренного сустава |
0,69 |
19 412,53 |
19 412,53 |
19 412,53 |
19 412,53 |
250 |
st29.004 |
Переломы, вывихи, растяжения области грудной клетки, верхней конечности и стопы |
0,56 |
15 755,10 |
15 755,10 |
15 755,10 |
15 755,10 |
251 |
st29.005 |
Переломы, вывихи, растяжения области колена и голени |
0,74 |
20 819,23 |
20 819,23 |
20 819,23 |
20 819,23 |
252 |
st29.006 |
Множественные переломы, травматические ампутации, размозжения и последствия травм |
1,44 |
38 487,45 |
38 771,04 |
42 741,32 |
52 667,04 |
253 |
st29.007 |
Тяжелая множественная и сочетанная травма (политравма) |
7,07 |
188 962,68 |
190 355,04 |
209 848,03 |
258 580,51 |
254 |
st29.008 |
Эндопротезирование суставов |
4,46 |
119 204,18 |
120 082,53 |
132 379,38 |
163 121,51 |
255 |
st29.009 |
Операции на костно-мышечной системе и суставах (уровень 1) |
0,79 |
21 114,64 |
21 270,22 |
23 448,37 |
28 893,72 |
256 |
st29.010 |
Операции на костно-мышечной системе и суставах (уровень 2) |
0,93 |
24 856,48 |
25 039,63 |
27 603,77 |
34014,13 |
257 |
st29.011 |
Операции на костно-мышечной системе и суставах (уровень 3) |
1,37 |
36 616,53 |
36 886,34 |
40 663,62 |
50 106,83 |
258 |
st29.012 |
Операции на костно-мышечной системе и суставах (уровень 4) |
2,42 |
68 084,52 |
68 084,52 |
68 084,52 |
68 084,52 |
259 |
st29.013 |
Операции на костно-мышечной системе и суставах (уровень 5) |
3,15 |
88 622,42 |
88 622,42 |
88 622,42 |
88 622,42 |
260 |
st30.001 |
Тубулоинтерстициальные болезни почек, другие болезни мочевой системы |
0,86 |
22 985,56 |
23 154,93 |
25 526,07 |
31 453,92 |
261 |
st30.002 |
Камни мочевой системы, симптомы, относящиеся к мочевой системе |
0,49 |
13 096,42 |
13 192,92 |
14 543,92 |
17 921,42 |
262 |
st30.003 |
Доброкачественные новообразования, новообразования in situ, неопределенного и неизвестного характера мочевых органов и мужских половых органов |
0,64 |
17 105,53 |
17 231,57 |
18 996,14 |
23 407,57 |
263 |
st30.004 |
Болезни предстательной железы |
0,73 |
20 537,89 |
20 537,89 |
20 537,89 |
20 537,89 |
264 |
st30.005 |
Другие болезни, врожденные аномалии, повреждения мочевой системы и мужских половых органов |
0,67 |
17 907,35 |
18 039,30 |
19 886,59 |
24 504,80 |
265 |
st30.006 |
Операции на мужских половых органах, взрослые (уровень 1) |
1,2 |
32 072,87 |
32 309,20 |
35 617,77 |
43 889,20 |
266 |
st30.007 |
Операции на мужских половых органах, взрослые (уровень 2) |
1,42 |
37 952,90 |
38 232,55 |
42 147,70 |
51 935,55 |
267 |
st30.008 |
Операции на мужских половых органах, взрослые (уровень 3) |
2,31 |
64 989,77 |
64 989,77 |
64 989,77 |
64 989,77 |
268 |
st30.009 |
Операции на мужских половых органах, взрослые (уровень 4) |
3,12 |
87 778,39 |
87 778,39 |
87 778,39 |
87 778,39 |
269 |
st30.010 |
Операции на почке и мочевыделительной системе, взрослые (уровень 1) |
1,08 |
28 865,59 |
29 078,28 |
32 055,99 |
39 500,28 |
270 |
st30.011 |
Операции на почке и мочевыделительной системе, взрослые (уровень 2) |
1,12 |
29 934,68 |
30 155,25 |
33 243,25 |
40 963,25 |
271 |
st30.012 |
Операции на почке и мочевыделительной системе, взрослые (уровень 3) |
1,62 |
43 298,38 |
43 617,42 |
48 083,99 |
59 250,41 |
272 |
st30.013 |
Операции на почке и мочевыделительной системе, взрослые (уровень 4) |
1,95 |
52 118,42 |
52 502,45 |
57 878,88 |
71 319,94 |
273 |
st30.014 |
Операции на почке и мочевыделительной системе, взрослые (уровень 5) |
2,14 |
57 196,63 |
57 618,07 |
63 518,36 |
78 269,07 |
274 |
st30.015 |
Операции на почке и мочевыделительной системе, взрослые (уровень 6) |
4,13 |
116 193,83 |
116 193,83 |
116 193,83 |
116 193,83 |
275 |
st31.001 |
Болезни лимфатических сосудов и лимфатических узлов |
0,61 |
16 303,71 |
16 423,84 |
18 105,70 |
22 310,34 |
276 |
st31.002 |
Операции на коже, подкожной клетчатке, придатках кожи (уровень 1) |
0,55 |
15 473,76 |
15 473,76 |
15 473,76 |
15 473,76 |
277 |
st31.003 |
Операции на коже, подкожной клетчатке, придатках кожи (уровень 2) |
0,71 |
18 976,45 |
19 116,28 |
21 073,85 |
25 967,77 |
278 |
st31.004 |
Операции на коже, подкожной клетчатке, придатках кожи (уровень 3) |
1,38 |
36 883,81 |
37 155,58 |
40 960,44 |
50 472,58 |
270 |
st31.005 |
Операции на коже, подкожной клетчатке, придатках кожи (уровень 4) |
2,41 |
64 413,02 |
64 887,64 |
71 532,36 |
88 144,14 |
280 |
st31.006 |
Операции на органах кроветворения и иммунной системы (уровень 1) |
1,43 |
38 220,17 |
38 501,80 |
42 444,51 |
52 301,29 |
281 |
st31.007 |
Операции на органах кроветворения и иммунной системы (уровень 2) |
1,83 |
48 911,13 |
49 271,53 |
54 317,10 |
66 931,02 |
282 |
st31.008 |
Операции на органах кроветворения и иммунной системы (уровень 3) |
2,16 |
57 731,17 |
58 156,56 |
64 111,99 |
79 000,55 |
283 |
st31.009 |
Операции на эндокринных железах кроме гипофиза (уровень 1) |
1,81 |
50 922,72 |
50 922,72 |
50 922,72 |
50 922,72 |
284 |
st31.010 |
Операции на эндокринных железах кроме гипофиза (уровень 2) |
2,67 |
75 118,05 |
75 118,05 |
75 118,05 |
75 118,05 |
285 |
st31.011 |
Болезни молочной железы, новообразования молочной железы доброкачественные, in situ, неопределенного и неизвестного характера |
0,73 |
19 511,00 |
19 654,76 |
21 667,48 |
26 699,26 |
286 |
st31.012 |
Артрозы, другие поражения суставов, болезни мягких тканей |
0,76 |
21 381,92 |
21 381,92 |
21 381,92 |
21 381,92 |
287 |
st31.013 |
Остеомиелит (уровень 1) |
2,42 |
64 680,30 |
65 156,89 |
71 829,17 |
88 509,88 |
288 |
st31.014 |
Остеомиелит (уровень 2) |
3,51 |
93 813,16 |
94 504,41 |
104 181,98 |
128 375,90 |
280 |
st31.015 |
Остеомиелит (уровень 3) |
4,02 |
107 444,13 |
108 235,82 |
119 319,53 |
147 028,81 |
290 |
st31.016 |
Доброкачественные новообразования костно-мышечной системы и соединительной ткани |
0,84 |
22 451,01 |
22 616,44 |
24 932,44 |
30 722,44 |
291 |
st31.017 |
Доброкачественные новообразования, новообразования in situ кожи, жировой ткани и другие болезни кожи |
0,5 |
13 363,70 |
13 462,17 |
14 840,74 |
18 287,17 |
292 |
st31.018 |
Открытые раны, поверхностные, другие и неуточненные травмы |
0,37 |
10 409,62 |
10 409,62 |
10 409,62 |
10 409,62 |
293 |
st31.019 |
Операции на молочной железе (кроме злокачественных новообразований) |
1,19 |
31 805,60 |
32 039,96 |
35 320,96 |
43 523,45 |
294 |
st32.001 |
Операции на желчном пузыре и желчевыводящих путях (уровень 1) |
1,15 |
30 736,50 |
30 962,98 |
34 133,70 |
42 060,48 |
295 |
st32.002 |
Операции на желчном пузыре и желчевыводящих путях (уровень 2) |
1,43 |
38 220,17 |
38 501,80 |
42 444,51 |
52 301,29 |
296 |
st32.003 |
Операции на желчном пузыре и желчевыводящих путях (уровень 3) |
3 |
80 182,19 |
80 773,00 |
89 044,43 |
109 722,99 |
297 |
st32.004 |
Операции на желчном пузыре и желчевыводящих путях (уровень 4) |
4,3 |
120 976,63 |
120 976,63 |
120 976,63 |
120 976,63 |
208 |
st32.005 |
Операции на печени и поджелудочной железе (уровень 1) |
2,42 |
64 680,30 |
65 156,89 |
71 829,17 |
88 509,88 |
299 |
st32.006 |
Операции на печени и поджелудочной железе (уровень 2) |
2,69 |
71 896,69 |
72 426,46 |
79 843,17 |
98 384,95 |
300 |
st32.007 |
Панкреатит, хирургическое лечение |
4,12 |
110 116,87 |
110 928,25 |
122 287,68 |
150 686,24 |
301 |
st32.008 |
Операции на пищеводе, желудке, двенадцатиперстной кишке (уровень 1) |
1,16 |
31 003,78 |
31 232,23 |
34 430,51 |
42 426,22 |
302 |
st32.009 |
Операции на пищеводе, желудке, двенадцатиперстной кишке (уровень 2) |
1,95 |
52 118,42 |
52 502,45 |
57 878,88 |
71 319,94 |
303 |
st32.010 |
Операции на пищеводе, желудке, двенадцатиперстной кишке (уровень 3) |
2,46 |
69 209,89 |
69 209,89 |
69 209,89 |
69 209,89 |
304 |
st32.011 |
Аппендэктомия, взрослые (уровень 1) |
0,73 |
20 537,89 |
20 537,89 |
20 537,89 |
20 537,89 |
305 |
st32.012 |
Аппендэктомия, взрослые (уровень 2) |
0,91 |
25 602,03 |
25 602,03 |
25 602,03 |
25 602,03 |
306 |
st32.013 |
Операции по поводу грыж, взрослые (уровень 1) |
0,86 |
24 195,33 |
24 195,33 |
24 195,33 |
24 195,33 |
307 |
st32.014 |
Операции по поводу грыж, взрослые (уровень 2) |
1,24 |
34 886,28 |
34 886,28 |
34 886,28 |
34 886,28 |
308 |
st32.015 |
Операции по поводу грыж, взрослые (уровень 3) |
1,78 |
50 078,70 |
50 078,70 |
50 078,70 |
50 078,70 |
309 |
st32.016 |
Другие операции на органах брюшной полости (уровень 1) |
1,13 |
30 201,96 |
30 424,50 |
33 540,07 |
41 328,99 |
310 |
st32.017 |
Другие операции на органах брюшной полости (уровень 2) |
1,19 |
31 805,60 |
32 039,96 |
35 320,96 |
43 523,45 |
311 |
st32.018 |
Другие операции на органах брюшной полости (уровень 3) |
2,13 |
56 929,35 |
57 348,83 |
63 221,54 |
77 903,32 |
312 |
st33.001 |
Отморожения (уровень 1) |
1,17 |
31 271,05 |
31 501,47 |
34 727,33 |
42 791,97 |
313 |
st33.002 |
Отморожения (уровень 2) |
2,91 |
77 776,72 |
78 349,81 |
86 373,09 |
106 431,30 |
314 |
st33.003 |
Ожоги (уровень 1) |
1,21 |
32 340,15 |
32 578,44 |
35 914,59 |
44 254,94 |
315 |
st33.004 |
Ожоги (уровень 2) |
2,03 |
54 256,61 |
54 656,40 |
60 253,40 |
74 245,89 |
316 |
st33.005 |
Ожоги (уровень 3) |
3,54 |
94 614,98 |
95 312,14 |
105 072,42 |
129 473,13 |
317 |
st33.006 |
Ожоги (уровень 4) |
5,2 |
138 982,45 |
140 006,54 |
154 343,67 |
190 186,52 |
318 |
st33.007 |
Ожоги (уровень 5) |
11,11 |
296 941,36 |
299 129,35 |
329 761,19 |
406 340,81 |
319 |
st33.008 |
Ожоги (уровень 4.5) с синдромом органной дисфункции |
14,07 |
376 054,45 |
378 825,38 |
417 618,36 |
514 600,82 |
320 |
st34.001 |
Болезни полости рта. слюнных желез и челюстей, врожденные аномалии лица и шеи, взрослые |
0,89 |
23 787,38 |
23 962,66 |
26 416,51 |
32 551,15 |
321 |
st34.002 |
Операции на органах полости рта (уровень 1) |
0,74 |
19 778,27 |
19 924,01 |
21 964,29 |
27 065,00 |
322 |
st34.003 |
Операции на органах полости рта (уровень 2) |
1,27 |
33 943,79 |
34 193,90 |
37 695,47 |
46 449,40 |
323 |
st34.004 |
Операции на органах полости рта (уровень 3) |
1,63 |
43 565,65 |
43 886,66 |
48 380,81 |
59 616,16 |
324 |
st34.005 |
Операции на органах полости рта (уровень 4) |
1,9 |
50 782,05 |
51 156,23 |
56 394,80 |
69 491,23 |
325 |
st35.001 |
Сахарный диабет, взрослые (уровень 1) |
1,02 |
27 261,94 |
27 462,82 |
30 275,11 |
37 305,82 |
326 |
st35.002 |
Сахарный диабет, взрослые (уровень 2) |
1,49 |
39 823,82 |
40 117,26 |
44 225,40 |
54 495,75 |
327 |
st35.003 |
Заболевания гипофиза, взрослые |
2,14 |
57 196,63 |
57 618,07 |
63 518,36 |
78 269,07 |
328 |
st35.004 |
Другие болезни эндокринной системы, взрослые (уровень 1) |
1,25 |
33 409,24 |
33 655,42 |
37 101,84 |
45 717,91 |
329 |
st35.005 |
Другие болезни эндокринной системы, взрослые (уровень 2) |
2,76 |
73 767,61 |
74 311,16 |
81 920,87 |
100 945,15 |
330 |
st35.006 |
Новообразования эндокринных желез доброкачественные, in situ, неопределенного и неизвестного характера |
0,76 |
20 312,82 |
20 462,49 |
22 557,92 |
27 796,49 |
331 |
st35.007 |
Расстройства питания |
1,06 |
28 331,04 |
28 539,79 |
31 462,36 |
38 768,79 |
332 |
st35.008 |
Другие нарушения обмена веществ |
1,16 |
31 003,78 |
31 232,23 |
34 430,51 |
42 426,22 |
333 |
st35.009 |
Кистозный фиброз |
3,32 |
88 734,95 |
89 388,79 |
98 542,50 |
121 426,78 |
334 |
st36.001 |
Комплексное лечение с применением препаратов иммуноглобулина |
4,32 |
121 539,31 |
121 539,31 |
121 539,31 |
121 539,31 |
335 |
st36.002 |
Редкие генетические заболевания |
3,5 |
93 545,88 |
94 235,17 |
103 885,16 |
128 010,16 |
336 |
st36.003 |
Лечение с применением генно-инженерных биологических препаратов и селективных иммунодепрессантов |
5,35 |
150 517,44 |
150 517,44 |
150 517,44 |
150 517,44 |
337 |
st36.004 |
Факторы, влияющие на состояние здоровья населения и обращения в учреждения здравоохранения |
0,32 |
8 552,77 |
8615,79 |
9 498,07 |
1 1 703,79 |
338 |
st36.005 |
Госпитализация в диагностических целях с постановкой диагноза туберкулеза. ВИЧ-инфекции, психического заболевания |
0,46 |
12 294,60 |
12 385,19 |
13 653,48 |
16 824,19 |
339 |
st36.006 |
Отторжение, отмирание трансплантата органов и тканей |
8,4 |
224 510,12 |
226 164,40 |
249 324,39 |
307 224,37 |
340 |
st36.007 |
Установка, замена, заправка помп для лекарственных препаратов |
2,32 |
65 271,11 |
65 271,11 |
65 271,11 |
65 271,11 |
341 |
st36.008 |
Интенсивная терапия пациентов с нейрогенными нарушениями жизненно важных функций, нуждающихся в их длительном искусственном замещении |
18,15 |
485 102,22 |
488 676,66 |
538 718,78 |
663 824,09 |
342 |
st36.009 |
Реинфузия аутокрови |
2,05 |
57 674,91 |
57 674,91 |
57 674,91 |
57 674,91 |
343 |
st36.010 |
Баллонная внутриаортальная контрпульсация |
7,81 |
219 727,32 |
219 727,32 |
219 727,32 |
219 727,32 |
344 |
st36.011 |
Экстракорпоральная мембранная оксигенация |
15,57 |
438 047,94 |
438 047,94 |
438 047,94 |
438 047,94 |
345 |
st36.012 |
Злокачественное новообразование без специального противоопухолевого лечения |
0,5 |
13 363,70 |
13 462,17 |
14 840,74 |
18 287,17 |
346 |
st37.001 |
Медицинская реабилитация пациентов с заболеваниями центральной нервной системы (3 балла по ШРМ) |
1,31 |
35 012,89 |
35 270,88 |
38 882,73 |
47 912,37 |
347 |
st37.002 |
Медицинская реабилитация пациентов с заболеваниями центральной нервной системы (4 балла по ШРМ) |
1,82 |
48 643,86 |
49 002,29 |
54 020,29 |
66 565,28 |
348 |
st37.003 |
Медицинская реабилитация пациентов с заболеваниями центральной нервной системы (5 баллов по ШРМ) |
3,12 |
83 389,47 |
84 003,92 |
92 606,20 |
114 111,91 |
349 |
st37.004 |
Медицинская реабилитация пациентов с заболеваниями центральной нервной системы (6 баллов по ШРМ) |
8,6 |
241 953,26 |
241 953,26 |
241 953,26 |
241 953,26 |
350 |
st37.005 |
Медицинская реабилитация пациентов с заболеваниями опорно-двигательного аппарата и периферической нервной системы (3 балла по ШРМ) |
1,24 |
33 141,97 |
33 386,17 |
36 805,03 |
45 352,17 |
351 |
st37.006 |
Медицинская реабилитация пациентов с заболеваниями опорно-двигательного аппарата и периферической нервной системы (4 балла по ШРМ) |
1,67 |
44 634,75 |
44 963,64 |
49 568,06 |
61 079,13 |
352 |
st37.007 |
Медицинская реабилитация пациентов с заболеваниями опорно-двигательного аппарата и периферической нервной системы (5 баллов по ШРМ) |
3,03 |
80 984,01 |
81 580,73 |
89 934,87 |
110 820,22 |
353 |
st37.008 |
Медицинская кардиореабилитация (3 балла по ШРМ) |
1,02 |
27 261,94 |
27 462,82 |
30 275,11 |
37 305,82 |
354 |
st37.009 |
Медицинская кардиореабилитация (4 балла по ШРМ) |
1,38 |
36 883,81 |
37 155,58 |
40 960,44 |
50 472,58 |
355 |
st37.010 |
Медицинская кардиореабилитация (5 баллов по ШРМ) |
1 |
53 454,79 |
53 848,67 |
59 362,95 |
73 148,66 |
356 |
st37.011 |
Медицинская реабилитация при других соматических заболеваниях (3 балла по ШРМ) |
0,59 |
15 769,16 |
15 885,36 |
17 512,07 |
21 578,85 |
357 |
st37.012 |
Медицинская реабилитация при других соматических заболеваниях (4 балла по ШРМ) |
0,84 |
22 451,01 |
22 616,44 |
24 932,44 |
30 722,44 |
358 |
st37.013 |
Медицинская реабилитация при других соматических заболеваниях (5 баллов по ШРМ) |
1,17 |
31 271,05 |
31 501,47 |
34 727,33 |
42 791,97 |
359 |
st37.014 |
Медицинская реабилитация детей перенесших заболевания перинатального периода |
1,5 |
40 091,09 |
40 386,50 |
44 522,21 |
54 861,50 |
360 |
st37.015 |
Медицинская реабилитация детей с нарушениями слуха без замены речевого процессора системы кохлеарной имплантации |
1,8 |
48109,31 |
48463,8 |
53426,66 |
65833,79 |
361 |
st37.016 |
Медицинская реабилитация детей с онкологическими, гематологическими и иммунологическими заболеваниями в тяжелых формах продолжительного течения |
4,81 |
128558,77 |
129506,05 |
142767,9 |
175922,53 |
362 |
st37.017 |
Медицинская реабилитация детей с поражениями центральной нервной системы |
2,75 |
73500,34 |
74041,92 |
81624,06 |
100579,41 |
363 |
st37.018 |
Медицинская реабилитация детей, после хирургической коррекции врожденных пороков развития органов и систем |
2,35 |
62809,38 |
63272,18 |
69751,47 |
85949,68 |
364 |
st38.001 |
Соматические заболевания, осложненные старческой астенией |
1,5 |
40091,09 |
40386,5 |
44522,21 |
54861,5 |
Приложение N 22
к Тарифному соглашению на 2020 год
ТАРИФЫ НА ОПЛАТУ ЗАКОНЧЕННЫХ СЛУЧАЕВ
ЛЕЧЕНИЯ ЗАБОЛЕВАНИЙ С ПРИМЕНЕНИЕМ
МЕТОДОВ ВЫСОКОТЕХНОЛОГИЧНОЙ
МЕДИЦИНСКОЙ ПОМОЩИ
Группа ВМП |
Профиль |
тариф |
5 |
Гастроэнтерология |
135 498,65 |
12 |
Нейрохирургия |
165 301,73 |
12 |
|
165 301,73 |
14 |
|
161 671,62 |
16 |
|
296 884,98 |
17 |
|
402 623,83 |
28 |
Офтальмология |
72 530,76 |
33 |
Ревматология |
134 080,43 |
34 |
Сердечно-сосудистая хирургия |
174 619,09 |
35 |
|
240 100,87 |
36 |
|
305 583,65 |
37 |
|
156 021,39 |
38 |
|
214 530,29 |
39 |
|
273 038,19 |
40 |
|
255 865,56 |
43 |
|
238 263,74 |
48 |
Травматология и ортопедия |
209 253,79 |
50 |
|
148 896,06 |
Приложение N 23
к Тарифному соглашению на 2020 год
ПЕРЕЧЕНЬ ГРУПП ЗАБОЛЕВАНИЙ, В ТОМ ЧИСЛЕ
КЛИНИКО-СТАТИСТИЧЕСКИХ ГРУПП
ЗАБОЛЕВАНИЙ С УКАЗАНИЕМ ТАРИФОВ,
ИСПОЛЬЗУЕМЫХ В УСЛОВИЯХ ДНЕВНОГО
СТАЦИОНАРА С УКАЗАНИЕМ КОЭФФИЦИЕНТОВ
ОТНОСИТЕЛЬНОЙ ЗАТРАТОЕМКОСТИ КСГ (В
РЕДАКЦИИ ИЗМЕНЕНИЙ, ВНЕСЕННЫХ
ДОПОЛНИТЕЛЬНЫМ СОГЛАШЕНИЕМ N 7 ОТ 24.07.2020)
Размер средней стоимости
законченного случая лечения,
включенного в КСГ (базовая ставка) - 14 774,29
руб.
N |
КСГ |
Наименование КСГ |
Коэффициент затратоемкости |
Тариф |
1 |
ds02.001 |
Осложнения беременности, родов, послеродового периода |
0,85 |
12 262,66 |
2 |
ds02.002 |
Болезни женских половых органов |
0,66 |
9 751,03 |
3 |
ds02.003 |
Операции на женских половых органах (уровень 1) |
0,71 |
10 489,75 |
4 |
ds02.004 |
Операции на женских половых органах (уровень 2) |
1,06 |
15 660,75 |
5 |
ds02.005 |
Экстракорпоральное оплодотворение |
9,79 |
144 640,30 |
6 |
ds02.006 |
Искусственное прерывание беременности (аборт) |
0,35 |
4 875,52 |
7 |
ds02.007 |
Аборт медикаментозный <*> |
1,04 |
15 365,26 |
8 |
ds03.001 |
Нарушения с вовлечением иммунного механизма |
0,98 |
14 478,80 |
9 |
ds04.001 |
Болезни органов пищеварения взрослые |
0,89 |
13 149,12 |
10 |
ds05.001 |
Болезни крови (уровень 1) |
0,91 |
13 444,60 |
11 |
ds05.002 |
Болезни крови (уровень 2) |
2,41 |
35 606,04 |
12 |
ds05.005 |
Лекарственная терапия при доброкачественных заболеваниях крови и пузырном заносе |
3,73 |
55 108,10 |
13 |
ds06.001 |
Дерматозы |
1,54 |
22 752,41 |
14 |
ds07.001 |
Болезни системы кровообращения, дети |
0,98 |
14 478,80 |
15 |
ds08.001 |
Лекарственная терапия при злокачественных новообразованиях других локализаций (кроме лимфоидной и кроветворной тканей), дети |
7,95 |
117 455,61 |
16 |
ds08.002 |
Лекарственная терапия при остром лейкозе, дети |
14,23 |
210 238,15 |
17 |
ds08.003 |
Лекарственная терапия при других злокачественных новообразованиях лимфоидной и кроветворной тканей, дети |
10,34 |
152 766,16 |
18 |
ds09.001 |
Операции на мужских половых органах, дети |
1,38 |
20 388,52 |
19 |
ds09.002 |
Операции на почке и мочевыделительной системе дети |
2,09 |
30 878,27 |
20 |
ds10.001 |
Операции по поводу грыж, дети |
1,6 |
23 638,86 |
21 |
ds11.001 |
Сахарный диабет, дети |
1,49 |
22 013,69 |
22 |
ds11.002 |
Другие болезни эндокринной системы дети |
1,36 |
20 093,03 |
23 |
ds12.001 |
Вирусный гепатит В хронический, лекарственная терапия |
2,75 |
40 629,30 |
24 |
ds12.010 |
Лечение хронического вирусного гепатита С с применением пегилированных интерферонов |
4,9 |
72 394,02 |
25 |
ds12.011 |
Лечение хронического вирусного гепатита С с применением лекарственных препаратов прямого противовирусного действия (прочие противовирусные средства) |
22,2 |
327 989,24 |
26 |
ds12.005 |
Другие вирусные гепатиты |
0,97 |
14 331,06 |
27 |
ds12.006 |
Инфекционные и паразитарные болезни, взрослые |
1,16 |
17 138,18 |
28 |
ds12.007 |
Инфекционные и паразитарные болезни, дети |
0,97 |
14 331,06 |
29.1 |
ds12.008.1 |
Респираторные инфекции верхних дыхательных путей (острая респираторная вирусная инфекция легкого течения - COVID-19), взрослые |
1,05 |
15 513,00 |
29.2 |
ds12.008.2 |
Респираторные инфекции верхних дыхательных путей взрослые |
0,52 |
7 682,63 |
30.1 |
ds12.009.1 |
Респираторные инфекции верхних дыхательных путей (острая респираторная вирусная инфекция легкого течения - COVID-19), дети |
1,14 |
16 842,69 |
30.2 |
ds12.009.2 |
Респираторные инфекции верхних дыхательных путей, дети |
0,65 |
9 603,29 |
31 |
ds13.001 |
Болезни системы кровообращения взрослые |
0,8 |
11 819,43 |
32 |
ds13.002 |
Болезни системы кровообращения с применением инвазивных методов |
3,39 |
50 084,84 |
33 |
ds13.003 |
Лечение наследственных атерогеиных нарушений липидного обмена с применением методов афереза (липидная фильтрация, афинная и иммуносорбция липопротеидов) в случае отсутствия эффективности базисной терапии |
5,07 |
74 905,65 |
34 |
ds14.001 |
Операции на кишечнике и анальной области (уровень 1) |
1,53 |
22 604,66 |
35 |
ds14.002 |
Операции на кишечнике и анальной области (уровень 2) |
3,17 |
46 834,50 |
36 |
ds15.001 |
Болезни нервной системы хромосомные аномалии |
0,98 |
14 478,80 |
37 |
ds15.002 |
Неврологические заболевания лечение с применением ботулотокенна (уровень 1) |
1,75 |
25 855,01 |
38 |
ds15.003 |
Неврологические заболевания, лечение с применением ботулотокенна (уровень 2) |
2,89 |
42 697,70 |
39 |
ds16.001 |
Болезни и травмы позвоночника, спинного мозга последствия внутричерепной травмы, сотрясение головного мозга |
0,94 |
13 887,83 |
40 |
ds16.002 |
Операции на периферической нервной системе |
2,57 |
37 969,93 |
41 |
ds17.001 |
Нарушения, возникшие в перинатальном периоде |
1,79 |
26 445,98 |
42 |
ds18.001 |
Гломерулярные болезни, почечная недостаточность (без диализа) |
1,6 |
23 638,86 |
43 |
ds18.002 |
Лекарственная терапия у пациентов, получающих диализ |
3,25 |
48 016,44 |
44 |
ds18.003 |
Формирование имплантация, удаление, смена доступа для диализа |
3,18 |
46 982,24 |
45 |
ds18.004 |
Другие болезни почек |
0,8 |
11 819,43 |
46 |
ds19.001 |
Лучевая терапия (уровень 1) |
1,08 |
15 956,23 |
47 |
ds19.002 |
Лучевая терапия (уровень 2) |
1,56 |
23 047,89 |
48 |
ds19.003 |
Лучевая терапия (уровень 3) |
2,72 |
40 186,07 |
49 |
ds19.004 |
Лучевая терапия (уровень 4) |
3,14 |
46 391,27 |
50 |
ds19.005 |
Лучевая терапия (уровень 5) |
4,2 |
62 052,02 |
51 |
ds19.006 |
Лучевая терапия (уровень 6) |
5,37 |
79 337,94 |
52 |
ds19.007 |
Лучевая терапия (уровень 7) |
6,28 |
92 782,54 |
53 |
ds19.008 |
Лучевая терапия (уровень 8) |
10,97 |
162 073,96 |
54 |
ds19.009 |
Лучевая терапия (уровень 9) |
15,38 |
227 228,58 |
55 |
ds19.010 |
Лучевая терапия (уровень 10) |
26,65 |
393 734,83 |
56 |
ds19.011 |
Лучевая терапия в сочетании с лекарственной терапией (уровень 1) |
4,4 |
65 006,88 |
57 |
ds19.012 |
Лучевая терапия в сочетании с лекарственной терапией (уровень 2) |
8,21 |
121 296,92 |
58 |
ds19.013 |
Лучевая терапия в сочетании с лекарственной терапией (уровень 3) |
14,4 |
212 749,78 |
59 |
ds19.014 |
Лучевая терапия в сочетании с лекарственной терапией (уровень 4) |
26,14 |
386 199,94 |
60 |
ds19.015 |
Лучевая терапия в сочетании с лекарственной терапией (уровень 5) |
36,44 |
538 375,13 |
61 |
ds19.016 |
Операции при злокачественных новообразованиях кожи (уровень 1) |
2,35 |
34 719,58 |
62 |
ds19.017 |
Операции при злокачественных новообразованиях кожи (уровень 2) |
2,48 |
36 640,24 |
63 |
ds19.018 |
Лекарственная терапия при злокачественных новообразованиях (кроме лимфоидной и кроветворной тканей), взрослые (уровень 1) |
1,18 |
17 433,66 |
64 |
ds19.019 |
Лекарственная терапия при злокачественных новообразованиях (кроме лимфоидной и кроветворной тканей) взрослые (уровень 2) |
3,34 |
49 346,13 |
65 |
ds19.020 |
Лекарственная терапия при злокачественных новообразованиях (кроме лимфоидной и кроветворной тканей), взрослые (уровень 3) |
5,45 |
80 519,88 |
66 |
ds19.021 |
Лекарственная терапия при злокачественных новообразованиях (кроме лимфоидной и кроветворной тканей), взрослые (уровень 4) |
7,33 |
108 295,55 |
67 |
ds19.022 |
Лекарственная терапия при злокачественных новообразованиях (кроме лимфоидной и кроветворной тканей), взрослые (уровень 5) |
9,12 |
134 741,52 |
68 |
ds19.023 |
Лекарственная терапия при злокачественных новообразованиях (кроме лимфоидной и кроветворной тканей), взрослые (уровень 9) |
10,77 |
159 119,10 |
69 |
ds19.024 |
Лекарственная терапия при злокачественных новообразованиях (кроме лимфоидной и кроветворной тканей), взрослые (уровень 7) |
13,06 |
162 652,23 |
70 |
ds19.025 |
Лекарственная терапия при злокачественных новообразованиях (кроме лимфоидной в кроветворной тканей), взрослые (уровень 8) |
15,87 |
234 467,98 |
71 |
ds19.026 |
Лекарственная терапия при злокачественных новообразованиях (кроме лимфоидной и кроветворной тканей), взрослые (уровень 9) |
18,85 |
278 495,37 |
72 |
ds19.027 |
Лекарственная терапия при злокачественных новообразованиях (кроме лимфоидной и кроветворной тканей), взрослые (уровень 10) |
21,4 |
316 169,81 |
73 |
ds19.030 |
Лекарственная терапия при злокачественных новообразованиях (кроме лимфоидной и кроветворной тканей), взрослые (уровень 11) |
22,71 |
335 524,13 |
74 |
ds19.031 |
Лекарственная терапия при злокачественных новообразованиях (кроме лимфоидной и кроветворной тканей), взрослые (уровень 12) |
27,09 |
400 235,52 |
75 |
ds19.032 |
Лекарственная терапия при злокачественных новообразованиях (кроме лимфоидной и кроветворной тканей), взрослые (уровень 13) |
48,92 |
722 758,27 |
76 |
ds19.028 |
Установка, замена порт системы (катетера) для лекарственной терапии злокачественных новообразований (кроме лимфоидной и кроветворной тканей) |
2,17 |
32 060,21 |
77 |
ds19.029 |
Госпитализация в диагностических целях с постановкой подтверждением диагноза злокачественного новообразования с использованием ПЭТ КТ |
2,55 |
37 674,44 |
78 |
ds19.033 |
Госпитализация в диагностических целях с проведением биопсии и последующим проведением молекулярно-генетического и или иммуногистохимического исследования |
2,44 |
36 049,27 |
79 |
ds19.034 |
Лекарственная терапия при остром лейкозе, взрослые |
7,77 |
114 796,23 |
80 |
ds19.035 |
Лекарственная терапия при других злокачественных новообразованиях лимфоидной и кроветворной тканей, взрослые |
6,3 |
93 078,03 |
81 |
ds19.036 |
Лекарственная терапия злокачественных новообразований лимфоидной и кроветворной тканей с применением моноклональных антител, ингибиторов протеинкиназы |
14,41 |
212 897,52 |
82 |
ds20.001 |
Болезни уха, горла, носа |
0,74 |
10 932,97 |
83 |
ds20.002 |
Операции на органе слуха, придаточных пазухах носа и верхних дыхательных путях (уровень 1) |
1,12 |
16 547,20 |
84 |
ds20.003 |
Операции на органе слуха, придаточных пазухах носа и верхних дыхательных путях (уровень 2) |
1,66 |
24 525,32 |
85 |
ds20.004 |
Операции на органе слуха придаточных пазухах носа и верхних дыхательных путях (уровень 3) |
2 |
29 548,58 |
86 |
ds20.005 |
Операции на органе слуха, придаточных пазухах носа и верхних дыхательных путях (уровень 4) |
2,46 |
36 344,75 |
87 |
ds20.006 |
Замена речевого процессора |
45,5 |
672 230,20 |
88 |
ds21.001 |
Болезни и травмы глаза |
0,39 |
5 761,97 |
89 |
ds21.002 |
Операции на органе зрения (уровень 1) |
0,96 |
14 183,32 |
90 |
ds21.003 |
Операции на органе зрения (уровень 2) |
1,44 |
21 274,98 |
91 |
ds21.004 |
Операции на органе зрения (уровень 3) |
1,95 |
28 809,87 |
92 |
ds21.005 |
Операции на органе зрения (уровень 4) |
2,17 |
32 060,21 |
93 |
ds21.006 |
Операции на органе зрения (уровень 5) |
3,84 |
56 733,27 |
94 |
ds22.001 |
Системные поражения соединительной ткани, артропатии спондилопатии, дети |
2,31 |
34 128,61 |
95 |
ds22.002 |
Болезни органов пищеварения дети |
0,89 |
13 149,12 |
96 |
ds23.001 |
Болезни органов дыхания |
0,9 |
13 296,86 |
97 |
ds24.001 |
Системные поражения соединительной ткани, артропатии спондилопатии взрослые |
1,46 |
21 570,46 |
98 |
ds25.001 |
Диагностическое обследование сердечно-сосудистой системы |
1,84 |
27 184,69 |
99 |
ds25.002 |
Операции на сосудах (уровень 1) |
2,18 |
32 207,95 |
100 |
ds25.003 |
Операции на сосудах (уровень 2) |
4,31 |
63 677,19 |
101 |
ds26.001 |
Болезни полости рта, слюнных желез и челюстей, врожденные аномалии лица и шеи. дети |
0,98 |
14 478,80 |
102 |
ds27.001 |
Отравления и другие воздействия внешних причин |
0,74 |
10 932,97 |
103 |
ds28.001 |
Операции на нижних дыхательных путях и легочной ткани органах средостения |
1,32 |
19 502,06 |
104 |
ds29.001 |
Операции на костно-мышечной системе и суставах (уровень 1) |
1,44 |
21 274,98 |
105 |
ds29.002 |
Операции на костно-мышечной системе и суставах (уровень 2) |
1,69 |
24 968,55 |
106 |
ds29.003 |
Операции на костно-мышечной системе и суставах (уровень 3) |
2,49 |
36 787,98 |
107 |
ds29.004 |
Заболевания опорно-двигательного аппарата травмы болезни мягких тканей |
1,05 |
15 513,00 |
108 |
ds30.001 |
Болезни, врожденные аномалии, повреждения мочевой системы и мужских половых органов |
0,8 |
11 819,43 |
109 |
ds30.002 |
Операции на мужских половых органах, взрослые (уровень 1) |
2,18 |
32 207,95 |
110 |
ds30.003 |
Операции на мужских половых органах, взрослые (уровень 2) |
2,58 |
38 117,67 |
111 |
ds30.004 |
Операции на почке и мочевыделительной системе, взрослые (уровень 1) |
1,97 |
29 105,35 |
112 |
ds30.005 |
Операции на почке и мочевыделительной системе, взрослые (уровень 2) |
2,04 |
30 139,55 |
113 |
ds30.006 |
Операции на почке и мочевыделительной системе, взрослые (уровень 3) |
2,95 |
43 584,16 |
114 |
ds31.001 |
Болезни, новообразования молочной железы |
0,84 |
13 149,12 |
115 |
ds31.002 |
Операции на коже, подкожной клетчатке, придатках кожи (уровень 1) |
0,75 |
11 080,72 |
116 |
ds31.003 |
Операции на коже подкожной клетчатке, придатках кожи (уровень 2) |
1 |
14 774,29 |
117 |
ds31.004 |
Операции на коже, подкожной клетчатке, придатках кожи (уровень 3) |
4,34 |
64 120,42 |
118 |
ds31.005 |
Операции на органах кроветворения и иммунной системы |
1,29 |
19 058,83 |
119 |
ds31.006 |
Операции на молочной железе |
2,6 |
38 413,15 |
120 |
ds32.001 |
Операции на пищеводе, желудке, двенадцатиперстной кишке (уровень 1) |
2,11 |
31 173,75 |
121 |
ds32.002 |
Операции на пищеводе, желудке, двенадцатиперстной кишке (уровень 2) |
3,55 |
52 448,73 |
122 |
ds32.003 |
Операции по поводу грыж, взрослые (уровень 1) |
1,57 |
23 195,64 |
123 |
ds32.004 |
Операции по поводу грыж, взрослые (уровень 2) |
2,26 |
33 389,90 |
124 |
ds32.005 |
Операции по поводу грыж взрослые (уровень 3) |
3,24 |
47 868,70 |
125 |
ds32.006 |
Операции на желчном пузыре и желчевыводящих путях |
1,7 |
25 116,29 |
126 |
ds32.007 |
Другие операции на органах брюшной полости (уровень 1) |
2,06 |
30 435,04 |
127 |
ds32.008 |
Друг не операции на органах брюшной полости (уровень 2) |
2,17 |
32 060,21 |
128 |
ds33.001 |
Ожоги и отморожения |
1,1 |
16 251,72 |
129 |
ds34.001 |
Болезни полости рта, слюнных желез и челюстей, врожденные аномалии лица и шеи, взрослые |
0,88 |
13 001,38 |
130 |
ds34.002 |
Операции на органах полости рта (уровень 1) |
0,92 |
13 592,35 |
131 |
ds34.003 |
Операции на органах полости рта (уровень 2) |
1,56 |
23 047,89 |
132 |
ds35.001 |
Сахарный диабет, взрослые |
1,08 |
15 956,23 |
133 |
ds35.002 |
Другие болезни эндокринной системы, новообразования эндокринных желез доброкачественные, in situ, неопределенного и неизвестного характера расстройства питания, другие нарушения обмена веществ |
1,41 |
20 831,75 |
134 |
ds35.003 |
Кистозный фиброз |
2,58 |
38 117,67 |
135 |
ds35.004 |
Лечение кистозного фиброза с применением ингаляционной антибактериальной терапии |
12,27 |
181 280,54 |
136 |
ds36.001 |
Комплексное лечение с применением препаратов иммуноглобулина |
7,86 |
116 125,92 |
137 |
ds36.002 |
Факторы, влияющие на состояние здоровья населения и обращения в учреждения здравоохранения |
0,56 |
8 273,60 |
138 |
ds36.003 |
Госпитализация в дневной стационар в диагностических целях с постановкой диагноза туберкулеза, ВИЧ-инфекции, психического заболевания |
0,46 |
6 796,17 |
139 |
ds36.004 |
Лечение с применением генно-инженерных биологических препаратов и селективных иммунодепрессантов |
0,74 |
143 901,58 |
140 |
ds36.005 |
Отторжение, отмирание трансплантата органов и тканей |
7,4 |
109 329,75 |
141 |
ds36.006 |
Злокачественное новообразование без специального противоопухолевого лечения |
0,4 |
5 909,72 |
142 |
ds37.001 |
Медицинская реабилитация пациентов с заболеваниями центральной нервной системы (2 балла по ШРМ) |
1,61 |
23 786,61 |
143 |
ds37.002 |
Медицинская реабилитация пациентов с заболеваниями центральной нервной системы (3 балла по ШРМ) |
1,94 |
28 662,12 |
144 |
ds37.003 |
Медицинская реабилитация пациентов с заболеваниями опорно-двигательного аппарата и периферической нервной системы (2 балла по ШРМ) |
1,52 |
22 456,92 |
145 |
ds37.004 |
Медицинская реабилитация пациентов с заболеваниями опорно-двигательного аппарата и периферической нервной системы (3 балла по ШМР) |
1,82 |
26 889,21 |
146 |
ds37.005 |
Медицинская кардиореабилитация (2 балла по ШРМ) |
1,39 |
20 536,26 |
147 |
ds37.006 |
Медицинская кардиореабилитация (3 балла по ШМР) |
1,67 |
24 673,06 |
148 |
ds37.007 |
Медицинская реабилитация при других соматических заболеваниях (2 балла по ШРМ) |
0,85 |
12 558,15 |
149 |
ds37.008 |
Медицинская реабилитация при других соматических заболеваниях (3 балла по ШРМ) |
1,09 |
16 103,98 |
150 |
ds37.009 |
Медицинская реабилитация детей, перенесших заболевания перинатального периода |
1,5 |
22 161,44 |
151 |
ds37.010 |
Медицинская реабилитация детей с нарушениями слуха без замены речевого процессора системы кохлеарной имплантации |
1,8 |
26593,72 |
152 |
ds37.011 |
Медицинская реабилитация детей с поражениями центральной нервной системы |
2,75 |
40629,3 |
153 |
ds37.012 |
Медицинская реабилитация детей после хирургической коррекции врожденных пороков развития органов и систем |
2,35 |
34719,58 |
Приложение N 24
к Тарифному соглашению на 2020 год
ТАРИФЫ НА ОПЛАТУ СКОРОЙ МЕДИЦИНСКОЙ
ПОМОЩИ* (В РЕДАКЦИИ ИЗМЕНЕНИЙ, ВНЕСЕННЫХ
ДОПОЛНИТЕЛЬНЫМ СОГЛАШЕНИЕМ N 11 ОТ 20.10.2020)
(в
ред. Дополнительного соглашения ФОМС
Республики Калмыкия от 20.10.2020 N 11)
посещения |
стоимость 1 вызова, в рублях | |
|
на приеме |
на дому |
врач, фельдшер скорой помощи |
4 648.67 |
4 648.67 |
врач, фельдшер скорой помощи (с учетом проведения тромболизиса) |
82 642,00 |
82 642.00 |
* - применяются для оплаты
медицинской помощи, оказанной лицам
застрахованным на территории др.
субъектов РФ.
Приложение N 25
к Тарифному соглашению на 2020 год
ПОЛОВОЗРАСТНОЙ КОЭФФИЦИЕНТ
ДИФФЕРЕНЦИАЦИИ ПОДУШЕВОГО НОРМАТИВА
ФИНАНСИРОВАНИЯ СКОРОЙ МЕДИЦИНСКОЙ
ПОМОЩИ
N п/п |
Наименование МО |
единые значения половозрастного коэффициента дифференциации |
половозрастной коэффициент диффер. подушевого норматива - КДпв | ||||||||||||||
|
|
0 - 1 |
от 1 - 4 |
от 5 - 17 |
18 - 64 |
от 65 и старше |
| ||||||||||
|
|
муж |
жен |
муж |
жен |
муж |
жен |
муж |
жен |
муж |
жен |
|
|||||
1 |
БУ РК "Городовиковская РБ" |
2,61 |
2,24 |
1,95 |
1,73 |
0,68 |
0,59 |
0,56 |
0,94 |
1,75 |
2,60 |
1,01 |
|||||
2 |
БУ РК "Ики-Бурульская РБ" |
2,61 |
2,24 |
1,95 |
1,73 |
0,68 |
0,59 |
0,56 |
0,94 |
1,75 |
2,60 |
0,96 |
|||||
3 |
БУ РК "Кетченеровская РБ" |
2,61 |
2,24 |
1,95 |
1,73 |
0,68 |
0,59 |
0,56 |
0,94 |
1,75 |
2,60 |
0,94 |
|||||
4 |
БУ РК "Лаганская РБ" |
2,61 |
2,24 |
1,95 |
1,73 |
0,68 |
0,59 |
0,56 |
0,94 |
1,75 |
2,60 |
0,99 |
|||||
5 |
БУ РК "Малодербетовская РБ" |
2,61 |
2,24 |
1,95 |
1,73 |
0,68 |
0,59 |
0,56 |
0,94 |
1,75 |
2,60 |
1,03 |
|||||
6 |
БУ РК "Октябрьская РБ" |
2,61 |
2,24 |
1,95 |
1,73 |
0,68 |
0,59 |
0,56 |
0,94 |
1,75 |
2,60 |
0,95 |
|||||
7 |
БУ РК "Приютненская РБ" |
2,61 |
2,24 |
1,95 |
1,73 |
0,68 |
0,59 |
0,56 |
0,94 |
1,75 |
2,60 |
1,01 |
|||||
8 |
БУ РК "Сарпинская РБ" |
2,61 |
2,24 |
1,95 |
1,73 |
0,68 |
0,59 |
0,56 |
0,94 |
1,75 |
2,60 |
1,04 |
|||||
10 |
БУ РК "Черноземельская РБ имени У.Душана" |
2,61 |
2,24 |
1,95 |
1,73 |
0,68 |
0,59 |
0,56 |
0,94 |
1,75 |
2,60 |
0,95 |
|||||
11 |
БУ РК "Юстинская РБ" |
2,61 |
2,24 |
1,95 |
1,73 |
0,68 |
0,59 |
0,56 |
0,94 |
1,75 |
2,60 |
0,97 |
|||||
12 |
БУ РК "Яшалтинская РБ" |
2,61 |
2,24 |
1,95 |
1,73 |
0,68 |
0,59 |
0,56 |
0,94 |
1,75 |
2,60 |
1,00 |
|||||
13 |
БУ РК "Яшкульская РБ" |
2,61 |
2,24 |
1,95 |
1,73 |
0,68 |
0,59 |
0,56 |
0,94 |
1,75 |
2,60 |
0,94 |
|||||
14 |
БУ РК "Станция скорой помощи" |
2,61 |
2,24 |
1,95 |
1,73 |
0,68 |
0,59 |
0,56 |
0,94 |
1,75 |
2,60 |
1,02 |
|||||
|
Итого по РК |
2,61 |
2,24 |
1,95 |
1,73 |
0,68 |
0,59 |
0,56 |
0,94 |
1,75 |
2,60 |
1,00 |
|||||
Приложение N 26
к Тарифному соглашению на 2020 год
КОЭФФИЦИЕНТЫ ДИФФЕРЕНЦИАЦИИ И
ДИФФЕРЕНЦИРОВАННЫЕ ПОДУШЕВЫЕ НОРМАТИВЫ
ФИНАНСИРОВАНИЯ СКОРОЙ МЕДИЦИНСКОЙ
ПОМОЩИ (В РЕДАКЦИИ ИЗМЕНЕНИЙ, ВНЕСЕННЫХ
ДОПОЛНИТЕЛЬНЫМ СОГЛАШЕНИЕМ N 11 ОТ 20.10.2020)
(в
ред. Дополнительного соглашения ФОМС
Республики Калмыкия от 20.10.2020 N 11)
Медицинские организации |
4 кв. 2020 года | |||
|
Средневзвешенный интегрированный коэффициент дифференциации подушевого норматива |
Поправочный коэффициент |
Дифференцированный подушевой норматив, руб. |
Среднемесячный дифференцированный подушевой норматив, руб. |
1 группа |
0,7996 |
1,12351022 |
261,72 |
87,24 |
БУ РК Городовиковская ЦРБ" |
|
|
|
|
БУ РК "Лаганская ЦРБ" |
|
|
|
|
2 группа |
0,8982 |
1,12351022 |
293,99 |
98,00 |
БУ РК "Черноземельская ЦРБ имени У. Душана" |
|
|
|
|
БУ РК "Яшалтинская ЦРБ" |
|
|
|
|
БУ РК "Яшкульская ЦРБ" |
|
|
|
|
3 группа |
0,998 |
1,12351022 |
326,65 |
108,88 |
БУ РК "Кетченеровская ЦРБ" |
|
|
|
|
БУ РК "Октябрьская ЦРБ" |
|
|
|
|
БУ РК "Приютненская ЦРБ" |
|
|
|
|
4 группа |
1,0248 |
1,12351022 |
335,42 |
111,81 |
БУ РК "Ики-Бурульская ЦРБ" |
|
|
|
|
БУ РК "Малодербетовская ЦРБ" |
|
|
|
|
БУ РК "Юстинская ЦРБ" |
|
|
|
|
5 группа |
1,3196 |
1,12351022 |
431,91 |
143,97 |
БУ РК "Сарпинская ЦРБ" |
|
|
|
|
БУ РК "Станция скорой медицинской помощи" |
|
|
|
|
Базовый подушевой норматив финансирования |
1,0000 |
1,12351022 |
367,73 |
122,58 |
Приложение N 27
к Тарифному соглашению на 2020 год
ПЕРЕЧЕНЬ ОСНОВАНИЙ ДЛЯ ОТКАЗА В ОПЛАТЕ
МЕДИЦИНСКОЙ ПОМОЩИ (УМЕНЬШЕНИЯ ОПЛАТЫ
МЕДИЦИНСКОЙ ПОМОЩИ)
N п/п |
Перечень оснований |
Последствия неисполнения обязательств | |
|
|
Размер коэффициента неполной оплаты медицинской помощи (Кно) <*> |
Коэффициент размера штрафа (Кшт) <**> |
1. Нарушения, ограничивающие доступность медицинской помощи для застрахованных лиц | |||
1.1. |
Нарушение прав застрахованных лиц на получение медицинской помощи в медицинской организации, в том числе: | ||
1.1.1. |
на выбор медицинской организации из медицинских организаций, участвующих в реализации территориальной программы обязательного медицинского страхования |
|
0,3 |
1.1.2. |
на выбор врача путем подачи заявления лично или через своего представителя на имя руководителя медицинской организации |
|
0,3 |
1.1.3. |
нарушение условий оказания медицинской помощи, в том числе сроков ожидания медицинской помощи, предоставляемой в плановом порядке, времени до приезда бригад скорой медицинской помощи при оказании скорой медицинской помощи в экстренной форме, несвоевременное включение в группу диспансерного наблюдения лиц, которым по результатам проведения профилактических мероприятий или оказания иной медицинской помощи впервые установлены диагнозы, при которых предусмотрено диспансерное наблюдение в соответствии с порядком проведения диспансерного наблюдения |
|
0,3 |
1.1.4. |
Невключение в группу диспансерного наблюдения лиц, которым по результатам проведения профилактических мероприятий или оказания иной медицинской помощи впервые установлены диагнозы, при которых предусмотрено диспансерное наблюдение в соответствии с порядком проведения диспансерного наблюдения |
- |
- |
1.2. Необоснованный отказ застрахованным лицам в оказании медицинской помощи в соответствии с территориальной программой ОМС, в том числе: | |||
1.2.1. |
не повлекший за собой ухудшение состояния здоровья, не создавший риска прогрессирования имеющегося заболевания, не создавший риска возникновения нового заболевания |
|
1,0 |
1.2.2. |
повлекший за собой ухудшение состояния здоровья, либо создавший риск прогрессирования имеющегося заболевания, либо создавший риск возникновения нового заболевания |
|
1,0 |
1.3. Необоснованный отказ застрахованным лицам в бесплатном оказании медицинской помощи при наступлении страхового случая за пределами территории субъекта Российской Федерации, в котором выдан полис обязательного медицинского страхования, в объеме, установленном базовой программой обязательного медицинского страхования, в том числе: | |||
1.3.1. |
не повлекший за собой ухудшение состояния здоровья, не создавший риска прогрессирования имеющегося заболевания, не создавший риска возникновения нового заболевания |
|
1,0 |
1.3.2. |
повлекший за собой ухудшение состояния здоровья, в том числе приведший к инвалидизации, либо создавший риск прогрессирования имеющегося заболевания, либо создавший риск возникновения нового заболевания (за исключением случаев отказа застрахованного лица, оформленного в установленном порядке). |
|
1,0 |
1.4. |
Взимание платы с застрахованных лиц за оказанную медицинскую помощь, предусмотренную территориальной программой обязательного медицинского страхования |
1,0 |
1,0 |
1.5. |
Приобретение пациентом или лицом, действовавшим в интересах пациента, в период оказания медицинской помощи по назначению врача лекарственных препаратов для медицинского применения, включенных в перечень жизненно необходимых и важнейших лекарственных препаратов, и (или) медицинских изделий, включенных в перечень медицинских изделий, имплантируемых в организм человека, на основе клинических рекомендаций, с учетом стандартов медицинской помощи |
0,5 |
0,5 |
2. Отсутствие информированности застрахованного населения | |||
2.1. |
Отсутствие официального сайта медицинской организации в сети Интернет. |
|
1,0 |
2.2. |
Отсутствие на официальном сайте медицинской организации в сети Интернет следующей информации <***>: | ||
2.2.1. |
о режиме работы медицинской организации |
|
0,3 |
2.2.2. |
об условиях оказания медицинской помощи, установленных территориальной программой государственных гарантий бесплатного оказания гражданам медицинской помощи (далее - территориальная программа), в том числе о сроках ожидания медицинской помощи |
|
0,3 |
2.2.3 |
о видах оказываемой медицинской помощи |
|
0,3 |
2.2.4 |
о критериях доступности и качества медицинской помощи |
|
0,3 |
2.2.5 |
о перечне жизненно необходимых и важнейших лекарственных препаратов |
|
0,3 |
2.2.6 |
о перечне лекарственных препаратов, отпускаемых населению в соответствии с перечнем групп населения и категорий заболеваний, при амбулаторном лечении которых лекарственные средства и изделия медицинского назначения отпускаются по рецептам врачей бесплатно, а также в соответствии с перечнем групп населения, при амбулаторном лечении которых лекарственные средства отпускаются по рецептам врачей с пятидесятипроцентной скидкой |
|
0,3 |
2.3. |
Отсутствие информационных стендов в медицинских организациях |
|
1,0 |
2.4. Отсутствие на информационных стендах в медицинских организациях следующей информации: | |||
2.4.1 |
о режиме работы медицинской организации |
|
0,3 |
2.4.2 |
об условиях оказания медицинской помощи, установленных территориальной программой государственных гарантий бесплатного оказания гражданам медицинской помощи, в том числе о сроках ожидания медицинской помощи |
|
0,3 |
2.4.3 |
о видах оказываемой медицинской помощи |
|
0,3 |
2.4.4 |
о критериях доступности и качества медицинской помощи |
|
0,3 |
2.4.5 |
о перечне жизненно необходимых и важнейших лекарственных препаратов |
|
0,3 |
2.4.6 |
о перечне лекарственных препаратов, отпускаемых населению в соответствии с перечнем групп населения и категорий заболеваний, при амбулаторном лечении которых лекарственные средства и изделия медицинского назначения отпускаются по рецептам врачей бесплатно, а также в соответствии с перечнем групп населения, при амбулаторном лечении которых лекарственные средства отпускаются по рецептам врачей с пятидесятипроцентной скидкой |
|
0,3 |
3. Нарушения при оказании медицинской помощи | |||
3.1. |
случаи нарушения врачебной этики и деонтологии медицинскими работниками (устанавливаются по обращениям застрахованных лиц) |
0,1 |
1,0 |
3.2. Невыполнение, несвоевременное или ненадлежащее выполнение необходимых пациенту диагностических и (или) лечебных мероприятий, оперативных вмешательств в соответствии с порядками оказания медицинской помощи, на основе клинических рекомендаций и с учетом стандартов медицинской помощи, в том числе рекомендаций по применению методов профилактики, диагностики, лечения и реабилитации, данных медицинскими работниками национальных медицинских исследовательских центров в ходе консультаций/консилиумов с применением телемедицинских технологий: | |||
3.2.1. |
не повлиявшее на состояние здоровья застрахованного лица |
0,1 |
|
3.2.2. |
приведшее к удлинению сроков лечения сверх установленных (за исключением случаев отказа застрахованного лица от медицинского вмешательства, в установленных законодательством Российской Федерации случаях) |
0,3 |
|
3.2.3. |
приведшее к ухудшению состояния здоровья застрахованного лица, либо создавшее риск прогрессирования имеющегося заболевания, либо создавшее риск возникновения нового заболевания (за исключением случаев отказа застрахованного лица от медицинского вмешательства, в установленных законодательством Российской Федерации случаях) |
0,4 |
|
3.2.4. |
приведшее к инвалидизации (за исключением случаев отказа застрахованного лица от медицинского вмешательства, в установленных законодательством Российской Федерации случаях) |
0,9 |
1,0 |
3.2.5. |
приведших к летальному исходу (за исключением случаев отказа застрахованного лица от медицинского вмешательства, в установленных законодательством Российской Федерации случаях) |
1,0 |
1,0 |
3.2.6. |
Рекомендаций медицинских работников национальных медицинских исследовательских центров по применению методов профилактики, диагностики, лечения и реабилитации, данных при проведении указанными центрами консультаций/консилиумов с применением консультаций с применением телемедицинских технологий, при необоснованном невыполнении данных рекомендаций |
- |
- |
3.3. |
Выполнение непоказанных, неоправданных с клинической точки зрения, не регламентированных порядками оказания медицинской помощи, клиническими рекомендациями, стандартами медицинской помощи мероприятий: | ||
3.3.1. |
приведшее к ухудшению состояния здоровья застрахованного лица, либо создавшее риск прогрессирования имеющегося заболевания, либо создавшее риск возникновения нового заболевания (за исключением случаев отказа застрахованного лица от медицинского вмешательства, в установленных законодательством Российской Федерации случаях) |
|
|
3.4. |
Преждевременное с клинической точки зрения прекращение оказания медицинской помощи (за исключением случаев отказа застрахованного лица от медицинского вмешательства, в установленных законодательством Российской Федерации случаях) |
0,5 |
|
3.5. |
Нарушения при оказании медицинской помощи (в частности, преждевременная выписка из медицинской организации), вследствие которых, при отсутствии положительной динамики в состоянии здоровья, потребовалось повторное обоснованное обращение застрахованного лица за медицинской помощью по поводу того же заболевания в течение тридцати дней со дня окончания оказания медицинской помощи амбулаторно, стационарно (повторная госпитализация); повторный вызов скорой медицинской помощи в течение двадцати четырех часов от момента предшествующего вызова |
0,3 |
|
3.6. |
Нарушение по вине медицинской организации преемственности в оказании медицинской помощи (в том числе несвоевременный перевод пациента в медицинскую организацию более высокого уровня), приведшее к удлинению сроков оказания медицинской помощи и (или) ухудшению состояния здоровья застрахованного лица |
0,8 |
1,0 |
3.7. |
Госпитализация застрахованного лица без медицинских показаний (необоснованная госпитализация), медицинская помощь которому могла быть предоставлена в установленном объеме в амбулаторно, в дневном стационаре |
0,7 |
0,3 |
3.8. |
Госпитализация застрахованного лица, медицинская помощь которому должна быть оказана в стационаре другого профиля (непрофильная госпитализация), кроме случаев госпитализации по неотложным показаниям |
0,6 |
|
3.9. |
Повторное посещение врача одной и той же специальности в один день при оказании медицинской помощи амбулаторно, за исключением повторного посещения для определения показаний к госпитализации, операции, консультациям в других медицинских организациях |
|
|
3.10. |
Необоснованное назначение лекарственных препаратов; одновременное назначение аналогичных лекарственных препаратов, связанное с риском для здоровья пациента и/или приводящее к удорожанию оказания медицинской помощи |
0,3 |
|
3.11. |
Невыполнение по вине медицинской организации обязательного патологоанатомического вскрытия в соответствии с действующим законодательством |
|
|
3.12. |
Наличие расхождений клинического и патологоанатомического диагнозов 2 - 3 категории вследствие нарушений при оказании медицинской помощи, установленных по результатам экспертизы качества медицинской помощи |
0,9 |
1,0 |
4. Дефекты оформления первичной медицинской документации в медицинской организации | |||
4.1. |
Непредставление медицинской документации, подтверждающей факт оказания застрахованному лицу медицинской помощи в медицинской организации без объективных причин |
1,0 |
1,0 |
4.2. |
Отсутствие в медицинской документации результатов обследований, осмотров, консультаций специалистов, дневниковых записей, позволяющих оценить динамику состояния здоровья застрахованного лица, объем, характер, условия предоставления медицинской помощи и провести оценку качества оказанной медицинской помощи |
0,1 |
|
4.3. |
Отсутствие в документации: информированного добровольного согласия застрахованного лица на медицинское вмешательство или отказа застрахованного лица от медицинского вмешательства, в установленных законодательством Российской Федерации случаях |
0,1 |
|
4.4. |
Наличие признаков искажения сведений, представленных в медицинской документации (дописки, исправления, "вклейки", полное переоформление с искажением сведений о проведенных диагностических и лечебных мероприятий, клинической картине заболевания) |
0,5 |
|
4.5. |
Дата оказания медицинской помощи, зарегистрированная в первичной медицинской документации и реестре счетов, не соответствует табелю учета рабочего времени врача (оказание медицинской помощи в период отпуска, учебы, командировок, выходных дней и т.п.) |
1,0 |
|
4.6. |
Несоответствие данных медицинской документации данным реестра счетов, в том числе: | ||
4.6.1. |
Некорректное применение тарифа, требующее его замены по результатам экспертизы |
оплата медицинской помощи производится с учетом разницы тарифа, предъявленного к оплате, и тарифа, который следует применить |
0,3 |
4.6.2. |
Включение в счет на оплату медицинской помощи при отсутствии в медицинской документации сведений, подтверждающих факт оказания медицинской помощи застрахованному лицу |
1,0 |
1,0 |
5. Нарушения в оформлении и предъявлении на оплату счетов и реестров счетов | |||
5.1. |
Нарушения, связанные с оформлением и предъявлением на оплату счетов и реестров счетов, в том числе: | ||
5.1.1 |
наличие ошибок и/или недостоверной информации в реквизитах счета |
1,0 |
|
5.1.2 |
сумма счета не соответствует итоговой сумме предоставленной медицинской помощи по реестру счетов; |
1,0 |
|
5.1.3 |
наличие незаполненных полей реестра счетов, обязательных к заполнению |
1,0 |
|
5.1.4 |
некорректное заполнение полей реестра счетов |
1,0 |
|
5.1.5 |
заявленная сумма по позиции реестра счетов не корректна (содержит арифметическую ошибку) |
1,0 |
|
5.1.6 |
дата оказания медицинской помощи в реестре счетов не соответствует отчетному периоду/периоду оплаты |
1,0 |
|
5.2. |
Нарушения, связанные с определением принадлежности застрахованного лица к страховой медицинской организации, в том числе: | ||
5.2.1 |
включение в реестр счетов случаев оказания медицинской помощи лицу, застрахованному другой страховой медицинской организацией |
1,0 |
|
5.2.2 |
введение в реестр счетов недостоверных персональных данных застрахованного лица, приводящее к невозможности его полной идентификации (ошибки в серии и номере полиса ОМС, адресе и т.д.) |
1,0 |
|
5.2.3 |
включение в реестр счетов случаев оказания медицинской помощи застрахованному лицу, получившему полис ОМС на территории другого субъекта РФ |
1,0 |
|
5.2.4 |
наличие в реестре счета неактуальных данных о застрахованных лицах |
1,0 |
|
5.2.5 |
включение в реестры счетов случаев оказания медицинской помощи, предоставленной категориям граждан, не подлежащим страхованию по ОМС на территории РФ |
1,0 |
|
5.3. Нарушения, связанные с включением в реестр медицинской помощи, не входящей в территориальную программу ОМС: | |||
5.3.1 |
Включение в реестр счетов видов медицинской помощи, не входящих в Территориальную программу ОМС |
1,0 |
|
5.3.2 |
Предъявление к оплате случаев оказания медицинской помощи сверх распределенного объема предоставления медицинской помощи, установленного решением комиссии по разработке территориальной программы |
1,0 |
|
5.3.3 |
Включение в реестр счетов случаев оказания медицинской помощи, подлежащих оплате из других источников финансирования (тяжелые несчастные случаи на производстве, оплачиваемые Фондом социального страхования) |
1,0 |
|
5.4. Нарушения, связанные с необоснованным применением тарифа на медицинскую помощь, в том числе: | |||
5.4.1 |
Включение в реестр счетов случаев оказания медицинской помощи по тарифам на оплату медицинской помощи, отсутствующим в тарифном соглашении |
1,0 |
|
5.4.2 |
Включение в реестр счетов случаев оказания медицинской помощи по тарифам на оплату медицинской помощи, не соответствующим утвержденным в тарифном соглашении |
1,0 |
|
5.5. Нарушения, связанные с включением в реестр счетов нелицензированных видов медицинской деятельности, в том числе: | |||
5.5.1 |
Включение в реестр счетов случаев оказания медицинской помощи по видам медицинской деятельности, отсутствующим в действующей лицензии медицинской организации |
1,0 |
|
5.5.2 |
Предоставление реестров счетов в случае прекращения в установленном порядке действия лицензии медицинской организации |
1,0 |
|
5.5.3 |
Предоставление на оплату реестров счетов, в случае нарушения лицензионных условий и требований при оказании медицинской помощи: данные лицензии не соответствуют фактическим адресам осуществления медицинской организацией лицензируемого вида деятельности и др. (по факту выявления, а также на основании информации лицензирующих органов) |
1,0 |
|
5.6. |
Включение в реестр счетов случаев оказания медицинской помощи специалистом, не имеющим сертификата или свидетельства об аккредитации по профилю оказания медицинской помощи |
1,0 |
|
5.7. |
Нарушения, связанные с повторным или необоснованным включением в реестр счетов медицинской помощи, в том числе: | ||
5.7.1 |
Позиция реестра счетов оплачена ранее (повторное выставление счета на оплату случаев оказания медицинской помощи, которые были оплачены ранее) |
1,0 |
|
5.7.2 |
Дублирование случаев оказания медицинской помощи в одном реестре |
1,0 |
|
5.7.3 |
Стоимость отдельной услуги, включенной в счет, учтена в тарифе на оплату медицинской помощи другой услуги, также предъявленной к оплате медицинской организацией |
1,0 |
|
5.7.4 |
Стоимость медицинской услуги включена в норматив финансового обеспечения оплаты медицинской помощи, оказанной амбулаторно, на прикрепленное население, застрахованное в системе ОМС |
1,0 |
|
5.7.5 |
Включения в реестр счетов медицинской помощи: - амбулаторных посещений в период пребывания застрахованного лица в условиях стационара, дневного стационара (кроме дня поступления и выписки из стационара, дневного стационара, а также консультаций в других медицинских организациях); - дней лечения застрахованного лица в условиях дневного стационара в период пребывания пациента в условиях стационара (кроме дня поступления и выписки из стационара, а также консультаций в других медицинских организациях) |
1,0 |
|
5.7.6 |
Включение в реестр счетов нескольких случаев, при которых медицинская помощь застрахованному лицу оказана стационарно в один период оплаты с пересечением или совпадением сроков лечения |
1,0 |
|
5.8. |
Отсутствие в реестре счетов сведений о страховом случае с летальным исходом |
1,0 |
|
Общий размер санкций (С),
применяемых к медицинским организациям,
рассчитывается по формуле:
С = Н + Сшт, где:
Н - размер неоплаты или неполной
оплаты затрат медицинской организации
на оказание медицинской помощи;
Сшт - размер штрафа, применяемого к
медицинской организации за неоказание,
несвоевременное оказание либо оказание
медицинской помощи ненадлежащего
качества.
* - Размер неоплаты или неполной
оплаты затрат медицинской организации
на оказание медицинской помощи (Н)
рассчитывается по формуле:
Н = РТ x Кно, где:
РТ - размер тарифа на оплату
медицинской помощи, действующий на дату
оказания медицинской помощи;
Кно - коэффициент для определения
размера неполной оплаты медицинской
помощи.
** - Размер штрафа, применяемого к
медицинской организации за неоказание,
несвоевременное оказание либо оказание
медицинской помощи ненадлежащего
качества (Сшт), рассчитывается по
формуле:
Сшт = РП x Кшт,
1) при оказании медицинской помощи в
амбулаторных условиях:
Сшт = РПА базовый x Кшт,
где:
РПА базовый - подушевой норматив
финансирования медицинской помощи,
оказанной в амбулаторных условиях,
установленный Тарифным соглашением на
дату проведения контроля объемов,
сроков, качества и условий
предоставления медицинской помощи в
соответствии с порядком организации и
проведения контроля;
Кшт - коэффициент для определения
размера штрафа;
2) при оказании скорой медицинской
помощи вне медицинской организации:
Сшт = РПСМП базовый x Кшт, где:
РПСМП базовый - подушевой норматив
финансирования скорой медицинской
помощи, оказанной вне медицинской
организации, установленный Тарифным
соглашением на дату проведения контроля
объемов, сроков, качества и условий
предоставления медицинской помощи в
соответствии с порядком организации и
проведения контроля;
Кшт - коэффициент для определения
размера штрафа;
3) при оказании медицинской помощи в
условиях стационара и в условиях
дневного стационара:
Сшт = РПСТ х Кшт, где:
РПСТ - подушевой норматив
финансирования, установленный в
соответствии с территориальной
программой на дату проведения контроля
объемов, сроков, качества и условий
предоставления медицинской помощи в
соответствии с порядком организации и
проведения контроля;
Кшт - коэффициент для определения
размера штрафа.
*** - санкция применяется СМО и ТФОМС
РК при проведении проверки медицинской
организации по обеспечению
информированности застрахованных лиц по
утвержденному графику не чаще 1 раза в
полугодие, а также внеплановых повторных
проверок медицинских организаций при не
устранении выявленных нарушений.




