МИНИСТЕРСТВО ЗДРАВООХРАНЕНИЯ
КРАСНОЯРСКОГО КРАЯ
ПРИКАЗ
от 11 июля 2016 года N 63-н
Об утверждении Методики прогнозирования
поступлений доходов в бюджеты бюджетной
системы Российской Федерации, главным
администратором которых является
министерство здравоохранения
Красноярского края
(с изменениями на 6 июня 2025 года)
(в ред. Приказов министерства здравоохранения Красноярского края от 18.07.2017 N 76-н, от 02.12.2019 N 78-н, от 16.10.2020 N 45-н, от 10.11.2021 N 73-н, от 12.05.2022 N 24-н, от 30.10.2023 N 60-н, от 02.09.2024 N 44-н, от 06.06.2025 N 41-н)
В соответствии с пунктом 4 статьи
160.1 Бюджетного кодекса Российской
Федерации, пунктом "и" статьи 7 Закона
Красноярского края от 18.12.2008 N 7-2617 "О
бюджетном процессе в Красноярском крае",
Постановлением Правительства
Красноярского края от 05.06.2008 N 273-п "Об
утверждении Порядка осуществления
бюджетных полномочий главных
администраторов доходов бюджетов
бюджетной системы Российской Федерации,
являющихся органами государственной
власти Красноярского края и (или)
находящимися в их ведении казенными
учреждениями, органами управления
Территориального фонда обязательного
медицинского страхования Красноярского
края", пунктами 3.9, 3.60, 3.72 Положения о
министерстве здравоохранения
Красноярского края, утвержденного
Постановлением Правительства
Красноярского края от 07.08.2008 N 31-п,
приказываю:
1. Утвердить Методику
прогнозирования поступлений доходов в
бюджеты бюджетной системы Российской
Федерации, главным администратором
которых является министерство
здравоохранения Красноярского края,
согласно приложению.
(п. 1 в ред. Приказа министерства
здравоохранения Красноярского края от
12.05.2022 N 24-н)
2. Утратил силу. - Приказ
министерства здравоохранения
Красноярского края от 30.10.2023 N 60-н.
2. Контроль за исполнением Приказа
возложить на заместителя министра
здравоохранения Красноярского края О.А.
Афанасьеву.
(п. 2 введен Приказом министерства
здравоохранения Красноярского края от
06.06.2025 N 41-н)
3. Опубликовать Приказ на
"Официальном интернет-портале правовой
информации Красноярского края"
(www.zakon.krskstate.ru).
4. Приказ вступает в силу в день,
следующий за днем его официального
опубликования.
Министр
здравоохранения Красноярского края
В.Н.ЯНИН
Приложение
к Приказу
министерства здравоохранения
Красноярского края
от 11 июля 2016 г. N 63-н
МЕТОДИКА ПРОГНОЗИРОВАНИЯ ПОСТУПЛЕНИЙ
ДОХОДОВ В БЮДЖЕТЫ БЮДЖЕТНОЙ СИСТЕМЫ
РОССИЙСКОЙ ФЕДЕРАЦИИ, ГЛАВНЫМ
АДМИНИСТРАТОРОМ КОТОРЫХ ЯВЛЯЕТСЯ
МИНИСТЕРСТВО ЗДРАВООХРАНЕНИЯ
КРАСНОЯРСКОГО КРАЯ
(в
ред. Приказов министерства
здравоохранения Красноярского края от
12.05.2022 N 24-н, от 30.10.2023 N 60-н, от 02.09.2024 N 44-н)
N п/п |
Код главного администратора доходов |
Наименование главного администратора доходов |
КБК |
Наименование КБК доходов |
Наименование метода расчета |
Формула расчета |
Алгоритм расчета |
Описание показателей |
1 |
2 |
3 |
4 |
5 |
6 |
7 |
8 |
9 |
1 |
710 |
Министерство здравоохранения Красноярского края |
11105032 020000120 |
доходы от сдачи в аренду имущества, находящегося в оперативном управлении органов государственной власти субъектов Российской Федерации и созданных ими учреждений (за исключением имущества бюджетных и автономных учреждений субъектов Российской Федерации) |
метод прямого расчета |
|
расчет производится отдельно по каждому администратору доходов, затем показатели суммируются. При оценке поступлений на текущий финансовый год производится корректировка полученной суммы с учетом данных о фактическом поступлении доходов на последнюю отчетную дату (в том числе увеличение на суммы фактически поступивших разовых поступлений либо уменьшение на суммы фактически произведенных возвратов) |
Д - прогнозируемый объем доходов; Аi - размер начислений за месяц, предшествующий месяцу, в котором производится планирование, по i-тому договору аренды; Арасторг - размер начислений в месяц по договорам аренды, которые будут расторгнуты в течение текущего финансового года (срок действия которых истекает в текущем финансовом году, и которые не предполагается продлять либо заключать с другими лицами); Анов - размер начислений в месяц по планируемым к заключению договорам аренды; Кувел - коэффициент, учитывающий прогнозируемое увеличение размера арендной платы в очередном финансовом году (плановом периоде). Учитывается в размере уровня инфляции, предусмотренного проектом федерального закона о федеральном бюджете на очередной финансовый год и плановый период; С - процент собираемости арендных платежей, равный 100%; З - прогнозируемое погашение задолженности по арендным платежам (определяется в процентах от суммы задолженности, прогнозируемой по состоянию на 1 января очередного финансового года) |
2 |
710 |
Министерство здравоохранения Красноярского края |
11105322 020000120 |
плата по соглашениям об установлении сервитута, заключенным органами исполнительной власти субъектов Российской Федерации, государственными или муниципальными предприятиями либо государственными или муниципальными учреждениями в отношении земельных участков, находящихся в собственности субъектов Российской Федерации |
метод прямого расчета |
|
при оценке поступлений на текущий финансовый год производится корректировка полученной суммы с учетом данных о фактическом поступлении доходов на последнюю отчетную дату (в том числе увеличение на суммы фактически поступивших разовых поступлений либо уменьшение на суммы фактически произведенных возвратов) |
Д - прогнозируемый объем доходов; Дi - размер начислений в год по i-тому соглашению об установлении сервитута; Драсторг - размер начислений в год по соглашениям об установлении сервитута, которые будут расторгнуты в течение текущего финансового года; Днов - размер начислений в год по планируемым к заключению соглашениям об установлении сервитута; С - процент собираемости платежей, равный 100%; З - прогнозируемое погашение задолженности по платежам (определяется в процентах от суммы задолженности, прогнозируемой по состоянию на 1 января очередного финансового года) |
3 |
710 |
Министерство здравоохранения Красноярского края |
11109042 020000120 |
прочие поступления от использования имущества, находящегося в собственности субъектов Российской Федерации (за исключением имущества бюджетных и автономных учреждений субъектов Российской Федерации, а также имущества государственных унитарных предприятий субъектов Российской Федерации, в том числе казенных) |
метод усреднения |
|
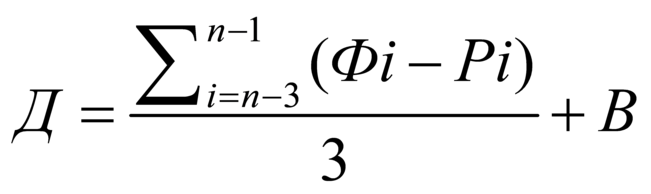
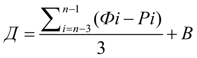
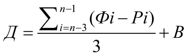
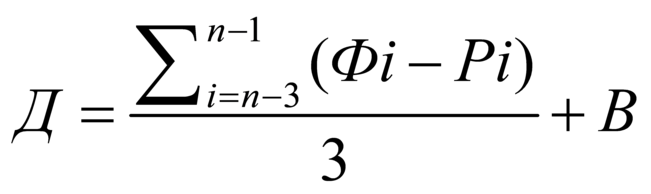
прогнозирование поступлений осуществляется на основании усреднения годовых объемов доходов за 3 года или за весь период поступления данного вида доходов в случае, если он не превышает 3 лет. В случае если на начало n-го финансового года прогнозируется наличие задолженности, при прогнозировании поступлений учитывается ее взыскание (исходя из планируемых мероприятий по взысканию задолженности). При оценке поступлений на текущий финансовый год производится корректировка полученной суммы с учетом данных о фактическом поступлении доходов на последнюю отчетную дату (в том числе увеличение на суммы фактически поступивших разовых поступлений либо уменьшение на суммы фактически произведенных возвратов) |
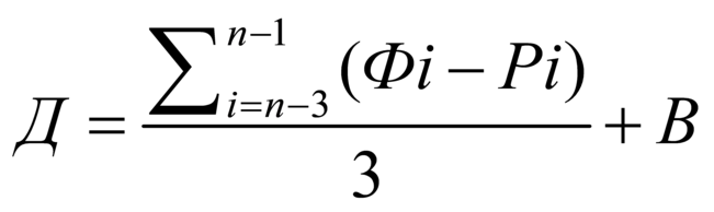
Д - прогнозируемый объем доходов бюджета в n-ном финансовом году; n - год, на который осуществляется прогнозирование поступлений; Фi - фактическое (прогнозируемое) поступление доходов в i-том финансовом году; Рi - фактические (прогнозируемые) разовые поступления в i-том финансовом году; В - прогнозируемое погашение задолженности в n-ном финансовом году (определяется в процентах от суммы задолженности, прогнозируемой по состоянию на 1 января n-го финансового года) |
4 |
710 |
Министерство здравоохранения Красноярского края |
11301072 020000130 |
доходы от оказания информационных услуг государственными органами субъектов Российской Федерации, казенными учреждениями субъектов Российской Федерации |
метод прямого расчета |
|
при оценке поступлений на текущий финансовый год производится корректировка полученной суммы с учетом данных о фактическом поступлении доходов на последнюю отчетную дату (в том числе увеличение на суммы фактически поступивших разовых поступлений либо уменьшение на суммы фактически произведенных возвратов) |
Д - прогнозируемый объем доходов; Vi - прогнозируемый объем запрашиваемой информации i-го вида, определяется на основании усреднения годовых объемов за 3 года; Ri - расходы на изготовление i-го вида копий запрашиваемых документов и (или) материалов в соответствии с размерами, установленными Правилами взимания платы за предоставление информации о деятельности государственных органов и органов местного самоуправления, утвержденными Постановлением Правительства Российской Федерации от 24.10.2011 N 860 |
5 |
710 |
Министерство здравоохранения Красноярского края |
11301992 020000130 |
прочие доходы от оказания платных услуг (работ) получателями средств бюджетов субъектов Российской Федерации |
метод прямого расчета |
|
при оценке поступлений на текущий финансовый год производится корректировка полученной суммы с учетом данных о фактическом поступлении доходов на последнюю отчетную дату (в том числе увеличение на суммы фактически поступивших разовых поступлений либо уменьшение на суммы фактически произведенных возвратов). Прогнозирование поступлений на плановый период осуществляется аналогично прогнозированию доходов на очередной финансовый год с применением - индекса цен по показателю "медицинские услуги" в составе сводного индекса потребительских цен и других показателей на плановый период, при этом в качестве базовых показателей принимаются показатели года, предшествующего планируемому |
Д - прогнозируемый объем доходов; Сi - стоимость i-й услуги (товара), определенная в соответствии с Порядком определения платы (цен, тарифов) на услуги (работы), предоставляемые гражданам и юридическим лицам краевым государственным бюджетным или казенным учреждением, подведомственным министерству здравоохранения Красноярского края, утвержденным Главным администратором доходов; Кi - прогнозируемое количество оказываемых услуг, основывается на статистических данных не менее чем за 3 года или за весь период оказания услуги, если этот период не превышает 3 лет; Иn - индекс цен по показателю "медицинские услуги" в составе сводного индекса потребительских цен, в соответствии с прогнозом социально экономического развития Красноярского края на очередной финансовый год и плановый период. Применяется в случае, если в очередном финансовом году планируется изменение цен на оказываемые услуги; Зi - сумма прогнозируемого погашения задолженности за оказанную i-ю услугу (определяется в процентах от суммы задолженности, прогнозируемой по состоянию на 1 января очередного финансового года) |
6 |
710 |
Министерство здравоохранения Красноярского края |
11302040 010000130 |
доходы, поступающие в порядке возмещения бюджету субъекта Российской Федерации расходов, направленных на покрытие процессуальных издержек |
метод усреднения |
|
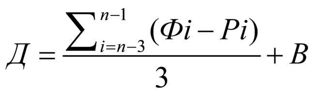
прогнозирование поступлений осуществляется на основании усреднения годовых объемов доходов за 3 года или за весь период поступления данного вида доходов в случае, если он не превышает 3 лет. В случае если на начало n-го финансового года прогнозируется наличие задолженности, при прогнозировании поступлений учитывается ее взыскание (исходя из планируемых мероприятий по взысканию задолженности). При оценке поступлений на текущий финансовый год производится корректировка полученной суммы с учетом данных о фактическом поступлении доходов на последнюю отчетную дату (в том числе увеличение на суммы фактически поступивших разовых поступлений либо уменьшение на суммы фактически произведенных возвратов) |
Д - прогнозируемый объем доходов бюджета в n-ном финансовом году; n - год, на который осуществляется прогнозирование поступлений; Фi - фактическое (прогнозируемое) поступление доходов в i-том финансовом году; Рi - фактические (прогнозируемые) разовые поступления в i-том финансовом году; В - прогнозируемое погашение задолженности в n-ном финансовом году (определяется в процентах от суммы задолженности, прогнозируемой по состоянию на 1 января n-го финансового года) |
7 |
710 |
Министерство здравоохранения Красноярского края |
11302062 020000130 |
доходы, поступающие в порядке возмещения расходов, понесенных в связи с эксплуатацией имущества субъектов Российской Федерации |
метод прямого расчета |
|
при оценке поступлений на текущий финансовый год производится корректировка полученной суммы с учетом данных о фактическом поступлении доходов на последнюю отчетную дату (в том числе увеличение на суммы фактически поступивших разовых поступлений либо уменьшение на суммы фактически произведенных возвратов). Прогнозирование поступлений на плановый период осуществляется аналогично прогнозированию доходов на очередной финансовый год с применением индексов-дефляторов и других показателей на плановый период, при этом в качестве базовых показателей принимаются показатели года, предшествующего планируемому |
Д - прогнозируемый объем доходов; Кi - размер годовых начислений по i-му договору (контракту) на возмещение расходов по оплате коммунальных услуг в текущем финансовом году; Красторг - размер годовых начислений по договорам (контрактам) на возмещение расходов по оплате коммунальных услуг, которые будут расторгнуты в течение текущего финансового года; Кнов - размер годовых начислений по планируемым к заключению договорам (контрактам) на возмещение расходов по оплате коммунальных услуг; Ик - индекс-дефлятор цен по отрасли "Обеспечение электрической энергией, газом и паром, кондиционирование воздуха" в соответствии с прогнозом социально-экономического развития Красноярского края на очередной финансовый год и плановый период, %; С - процент собираемости платежей; З - погашение задолженности (определяется в процентах от суммы задолженности, прогнозируемой по состоянию на 1 января очередного финансового года) |
8 |
710 |
Министерство здравоохранения Красноярского края |
11302992 020000130 |
прочие доходы от компенсации затрат бюджетов субъектов Российской Федерации |
метод прямого расчета |
|
прогнозирование поступлений в части возврата дебиторской задолженности прошлых лет осуществляется исходя из прогнозируемого по состоянию на 1 января года, на который осуществляется прогнозирование, объема дебиторской задолженности, подлежащей возврату в краевой бюджет в соответствующем финансовом году с учетом установленных сроков возврата такой задолженности, а также ожидаемых результатов работы по взысканию дебиторской задолженности. При оценке поступлений на текущий финансовый год производится корректировка полученной суммы с учетом данных о фактическом поступлении доходов на последнюю отчетную дату (в том числе увеличение на суммы фактически поступивших разовых поступлений либо уменьшение на суммы фактически произведенных возвратов) |
|
9 |
710 |
Министерство здравоохранения Красноярского края |
11402022 020000440 |
доходы от реализации имущества, находящегося в оперативном управлении учреждений, находящихся в ведении органов государственной власти субъектов Российской Федерации (за исключением имущества бюджетных и автономных учреждений субъектов Российской Федерации), в части реализации материальных запасов по указанному имуществу |
метод усреднения |
|
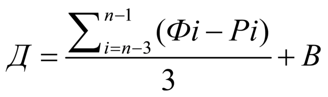
прогнозирование поступлений осуществляется на основании усреднения годовых объемов доходов за 3 года или за весь период поступления данного вида доходов в случае, если он не превышает 3 лет. В случае если на начало n-го финансового года прогнозируется наличие задолженности, при прогнозировании поступлений учитывается ее взыскание (исходя из планируемых мероприятий по взысканию задолженности). При оценке поступлений на текущий финансовый год производится корректировка полученной суммы с учетом данных о фактическом поступлении доходов на последнюю отчетную дату (в том числе увеличение на суммы фактически поступивших разовых поступлений либо уменьшение на суммы фактически произведенных возвратов) |
Д - прогнозируемый объем доходов бюджета в n-ном финансовом году; n - год, на который осуществляется прогнозирование поступлений; Фi - фактическое (прогнозируемое) поступление доходов в i-том финансовом году; Рi - фактические (прогнозируемые) разовые поступления в i-том финансовом году; В - прогнозируемое погашение задолженности в n-ном финансовом году (определяется в процентах от суммы задолженности, прогнозируемой по состоянию на 1 января n-го финансового года) |
10 |
710 |
Министерство здравоохранения Красноярского края |
11402023 020000440 |
доходы от реализации иного имущества, находящегося в собственности субъектов Российской Федерации (за исключением имущества бюджетных и автономных учреждений субъектов Российской Федерации, а также имущества государственных унитарных предприятий субъектов Российской Федерации, в том числе казенных), в части реализации материальных запасов по указанному имуществу |
метод усреднения |
|
прогнозирование поступлений осуществляется на основании усреднения годовых объемов доходов за 3 года или за весь период поступления данного вида доходов в случае, если он не превышает 3 лет. В случае если на начало n-го финансового года прогнозируется наличие задолженности, при прогнозировании поступлений учитывается ее взыскание (исходя из планируемых мероприятий по взысканию задолженности). При оценке поступлений на текущий финансовый год производится корректировка полученной суммы с учетом данных о фактическом поступлении доходов на последнюю отчетную дату (в том числе увеличение на суммы фактически поступивших разовых поступлений либо уменьшение на суммы фактически произведенных возвратов) |
Д - прогнозируемый объем доходов бюджета в n-ном финансовом году; n - год, на который осуществляется прогнозирование поступлений; Фi - фактическое (прогнозируемое) поступление доходов в i-том финансовом году; Рi - фактические (прогнозируемые) разовые поступления в i-том финансовом году; В - прогнозируемое погашение задолженности в n-ном финансовом году (определяется в процентах от суммы задолженности, прогнозируемой по состоянию на 1 января n-го финансового года) |
11 |
710 |
Министерство здравоохранения Красноярского края |
11402028 020000410 |
доходы от реализации недвижимого имущества бюджетных, автономных учреждений, находящегося в собственности субъекта Российской Федерации, в части реализации основных средств |
метод прямого расчета |
|
прогнозирование поступлений осуществляется исходя из стоимости основных средств, предполагаемых к реализации в году, на который осуществляется планирование. При оценке поступлений на текущий финансовый год производится корректировка полученной суммы с учетом данных о фактическом поступлении доходов на последнюю отчетную дату (в том числе увеличение на суммы фактически поступивших разовых поступлений либо уменьшение на суммы фактически произведенных возвратов) |
Д - прогнозируемый объем доходов; Дi - сумма от реализации i-го основного средства, определенная как рыночная стоимость аналогичного имущества, а при невозможности определения стоимости аналогичного имущества - на основании данных, предоставленных лицом, осуществляющим оценочную деятельность в соответствии с законодательством Российской Федерации |
12 |
710 |
Министерство здравоохранения Красноярского края |
11406042 020000430 |
доходы от продажи земельных участков, находящихся в собственности субъектов Российской Федерации, находящихся в пользовании бюджетных и автономных учреждений |
метод прямого расчета |
|
прогнозирование поступлений осуществляется исходя из стоимости земельных участков, предполагаемых к реализации в году, на который осуществляется планирование. При оценке поступлений на текущий финансовый год производится корректировка полученной суммы с учетом данных о фактическом поступлении доходов на последнюю отчетную дату (в том числе увеличение на суммы фактически поступивших разовых поступлений либо уменьшение на суммы фактически произведенных возвратов) |
Д - прогнозируемый объем доходов; Дi - сумма от продажи i-го земельного участка, определенная как рыночная стоимость аналогичного земельного участка, а при невозможности определения указанной стоимости - на основании данных, предоставленных лицом, осуществляющим оценочную деятельность в соответствии с законодательством Российской Федерации |
13 |
710 |
Министерство здравоохранения Красноярского края |
11607010 020000140 |
штрафы, неустойки, пени, уплаченные в случае просрочки исполнения поставщиком (подрядчиком, исполнителем) обязательств, предусмотренных государственным контрактом, заключенным государственным органом субъекта Российской Федерации, казенным учреждением субъекта Российской Федерации |
метод усреднения |
|
прогнозирование поступлений осуществляется на основании усреднения годовых объемов доходов за 3 года или за весь период поступления данного вида доходов в случае, если он не превышает 3 лет. В случае если на начало n-го финансового года прогнозируется наличие задолженности, при прогнозировании поступлений учитывается ее взыскание (исходя из планируемых мероприятий по взысканию задолженности). При оценке поступлений на текущий финансовый год производится корректировка полученной суммы с учетом данных о фактическом поступлении доходов на последнюю отчетную дату (в том числе увеличение на суммы фактически поступивших разовых поступлений либо уменьшение на суммы фактически произведенных возвратов) |
Д - прогнозируемый объем доходов бюджета в n-ном финансовом году; n - год, на который осуществляется прогнозирование поступлений; Фi - фактическое (прогнозируемое) поступление доходов в i-том финансовом году; Рi - фактические (прогнозируемые) разовые поступления в i-том финансовом году; В - прогнозируемое погашение задолженности в n-ном финансовом году (определяется в процентах от суммы задолженности, прогнозируемой по состоянию на 1 января n-го финансового года) |
14 |
710 |
Министерство здравоохранения Красноярского края |
11607090 020000140 |
иные штрафы, неустойки, пени, уплаченные в соответствии с законом или договором в случае неисполнения или ненадлежащего исполнения обязательств перед государственным органом субъекта Российской Федерации, казенным учреждением субъекта Российской Федерации |
метод усреднения |
|
прогнозирование поступлений осуществляется на основании усреднения годовых объемов доходов за 3 года или за весь период поступления данного вида доходов в случае, если он не превышает 3 лет. В случае если на начало n-го финансового года прогнозируется наличие задолженности, при прогнозировании поступлений учитывается ее взыскание (исходя из планируемых мероприятий по взысканию задолженности). При оценке поступлений на текущий финансовый год производится корректировка полученной суммы с учетом данных о фактическом поступлении доходов на последнюю отчетную дату (в том числе увеличение на суммы фактически поступивших разовых поступлений либо уменьшение на суммы фактически произведенных возвратов) |
Д - прогнозируемый объем доходов бюджета в n-ном финансовом году; n - год, на который осуществляется прогнозирование поступлений; Фi - фактическое (прогнозируемое) поступление доходов в i-том финансовом году; Рi - фактические (прогнозируемые) разовые поступления в i-том финансовом году; В - прогнозируемое погашение задолженности в n-ном финансовом году (определяется в процентах от суммы задолженности, прогнозируемой по состоянию на 1 января n-го финансового года) |
15 |
710 |
Министерство здравоохранения Красноярского края |
11609030 020000140 |
денежные средства, изымаемые в собственность субъекта Российской Федерации в соответствии с решениями судов (за исключением обвинительных приговоров судов) |
метод усреднения |
|
прогнозирование поступлений осуществляется на основании усреднения годовых объемов доходов за 3 года или за весь период поступления данного вида доходов в случае, если он не превышает 3 лет. В случае если на начало n-го финансового года прогнозируется наличие задолженности, при прогнозировании поступлений учитывается ее взыскание (исходя из планируемых мероприятий по взысканию задолженности). При оценке поступлений на текущий финансовый год производится корректировка полученной суммы с учетом данных о фактическом поступлении доходов на последнюю отчетную дату (в том числе увеличение на суммы фактически поступивших разовых поступлений либо уменьшение на суммы фактически произведенных возвратов) |
Д - прогнозируемый объем доходов бюджета в n-ном финансовом году; n - год, на который осуществляется прогнозирование поступлений; Фi - фактическое (прогнозируемое) поступление доходов в i-том финансовом году; Рi - фактические (прогнозируемые) разовые поступления в i-том финансовом году; В - прогнозируемое погашение задолженности в n-ном финансовом году (определяется в процентах от суммы задолженности, прогнозируемой по состоянию на 1 января n-го финансового года) |
16 |
710 |
Министерство здравоохранения Красноярского края |
11610021 020000140 |
возмещение ущерба при возникновении страховых случаев, когда выгодоприобретателями выступают получатели средств бюджета субъекта Российской Федерации |
метод усреднения |
|
прогнозирование поступлений осуществляется на основании усреднения годовых объемов доходов за 3 года или за весь период поступления данного вида доходов в случае, если он не превышает 3 лет. В случае если на начало n-го финансового года прогнозируется наличие задолженности, при прогнозировании поступлений учитывается ее взыскание (исходя из планируемых мероприятий по взысканию задолженности). При оценке поступлений на текущий финансовый год производится корректировка полученной суммы с учетом данных о фактическом поступлении доходов на последнюю отчетную дату (в том числе увеличение на суммы фактически поступивших разовых поступлений либо уменьшение на суммы фактически произведенных возвратов) |
Д - прогнозируемый объем доходов бюджета в n-ном финансовом году; n - год, на который осуществляется прогнозирование поступлений; Фi - фактическое (прогнозируемое) поступление доходов в i-том финансовом году; Рi - фактические (прогнозируемые) разовые поступления в i-том финансовом году; В - прогнозируемое погашение задолженности в n-ном финансовом году (определяется в процентах от суммы задолженности, прогнозируемой по состоянию на 1 января n-го финансового года) |
17 |
710 |
Министерство здравоохранения Красноярского края |
11610022 020000140 |
прочее возмещение ущерба, причиненного имуществу, находящемуся в собственности субъекта Российской Федерации (за исключением имущества, закрепленного за бюджетными (автономными) учреждениями, унитарными предприятиями субъекта Российской Федерации) |
метод усреднения |
|
прогнозирование поступлений осуществляется на основании усреднения годовых объемов доходов за 3 года или за весь период поступления данного вида доходов в случае, если он не превышает 3 лет. В случае если на начало n-го финансового года прогнозируется наличие задолженности, при прогнозировании поступлений учитывается ее взыскание (исходя из планируемых мероприятий по взысканию задолженности). При оценке поступлений на текущий финансовый год производится корректировка полученной суммы с учетом данных о фактическом поступлении доходов на последнюю отчетную дату (в том числе увеличение на суммы фактически поступивших разовых поступлений либо уменьшение на суммы фактически произведенных возвратов) |
Д - прогнозируемый объем доходов бюджета в n-ном финансовом году; n - год, на который осуществляется прогнозирование поступлений; Фi - фактическое (прогнозируемое) поступление доходов в i-том финансовом году; Рi - фактические (прогнозируемые) разовые поступления в i-том финансовом году; В - прогнозируемое погашение задолженности в n-ном финансовом году (определяется в процентах от суммы задолженности, прогнозируемой по состоянию на 1 января n-го финансового года) |
18 |
710 |
Министерство здравоохранения Красноярского края |
11610056 020000140 |
платежи в целях возмещения убытков, причиненных уклонением от заключения с государственным органом субъекта Российской Федерации (казенным учреждением субъекта Российской Федерации) государственного контракта, а также иные денежные средства, подлежащие зачислению в бюджет субъекта Российской Федерации за нарушение законодательства Российской Федерации о контрактной системе в сфере закупок товаров, работ, услуг для обеспечения государственных и муниципальных нужд (за исключением государственного контракта, финансируемого за счет средств дорожного фонда субъекта Российской Федерации) |
метод усреднения |
|
прогнозирование поступлений осуществляется на основании усреднения годовых объемов доходов за 3 года или за весь период поступления данного вида доходов в случае, если он не превышает 3 лет. В случае если на начало n-го финансового года прогнозируется наличие задолженности, при прогнозировании поступлений учитывается ее взыскание (исходя из планируемых мероприятий по взысканию задолженности). При оценке поступлений на текущий финансовый год производится корректировка полученной суммы с учетом данных о фактическом поступлении доходов на последнюю отчетную дату (в том числе увеличение на суммы фактически поступивших разовых поступлений либо уменьшение на суммы фактически произведенных возвратов) |
Д - прогнозируемый объем доходов бюджета в n-ном финансовом году; n - год, на который осуществляется прогнозирование поступлений; Фi - фактическое (прогнозируемое) поступление доходов в i-том финансовом году; Рi - фактические (прогнозируемые) разовые поступления в i-том финансовом году; В - прогнозируемое погашение задолженности в n-ном финансовом году (определяется в процентах от суммы задолженности, прогнозируемой по состоянию на 1 января n-го финансового года) |
19 |
710 |
Министерство здравоохранения Красноярского края |
11610076 020000140 |
платежи в целях возмещения ущерба при расторжении государственного контракта, заключенного с государственным органом субъекта Российской Федерации (казенным учреждением субъекта Российской Федерации), в связи с односторонним отказом исполнителя (подрядчика) от его исполнения (за исключением государственного контракта, финансируемого за счет средств дорожного фонда субъекта Российской Федерации) |
метод усреднения |
|
прогнозирование поступлений осуществляется на основании усреднения годовых объемов доходов за 3 года или за весь период поступления данного вида доходов в случае, если он не превышает 3 лет. В случае если на начало n-го финансового года прогнозируется наличие задолженности, при прогнозировании поступлений учитывается ее взыскание (исходя из планируемых мероприятий по взысканию задолженности). При оценке поступлений на текущий финансовый год производится корректировка полученной суммы с учетом данных о фактическом поступлении доходов на последнюю отчетную дату (в том числе увеличение на суммы фактически поступивших разовых поступлений либо уменьшение на суммы фактически произведенных возвратов) |
Д - прогнозируемый объем доходов бюджета в n-ном финансовом году; n - год, на который осуществляется прогнозирование поступлений; Фi - фактическое (прогнозируемое) поступление доходов в i-том финансовом году; Рi - фактические (прогнозируемые) разовые поступления в i-том финансовом году; В - прогнозируемое погашение задолженности в n-ном финансовом году (определяется в процентах от суммы задолженности, прогнозируемой по состоянию на 1 января n-го финансового года) |
20 |
710 |
Министерство здравоохранения Красноярского края |
11610123 010000140 |
Доходы от денежных взысканий (штрафов), поступающие в счет погашения задолженности, образовавшейся до 1 января 2020 года, подлежащие зачислению в бюджет муниципального образования по нормативам, действовавшим в 2019 году |
метод прямого расчета |
Д = V х R, |
Прогнозируемая сумма задолженности на начало n-го финансового года определяется исходя из задолженности на последнюю отчетную дату текущего года и прогнозируемого ее погашения в годы, предшествующие n - финансовому году. Прогнозируемый процент погашения задолженности в n-ном финансовом году принимается равным 30%. При оценке поступлений на текущий финансовый год производится корректировка полученной суммы с учетом данных о фактическом поступлении доходов на последнюю отчетную дату (в том числе увеличение на суммы фактически поступивших разовых поступлений либо уменьшение на суммы фактически произведенных возвратов) |
Д - прогнозируемый объем доходов в n-ном финансовом году; n - год, на который осуществляется прогнозирование поступлений; V - прогнозируемая сумма задолженности по состоянию на начало n-ного финансового года; R - прогнозируемый процент погашения задолженности в n-ном финансовом году |
21 |
710 |
Министерство здравоохранения Красноярского края |
11701020 020000180 |
невыясненные поступления, зачисляемые в бюджеты субъектов Российской Федерации |
метод прямого расчета |
|
по данному коду бюджетной классификации Российской Федерации отражаются поступления по расчетным документам, некорректно оформленным плательщиками, которые подлежат уточнению на другие коды бюджетной классификации. Поступления по данному коду прогнозируются на нулевом уровне |
|
22 |
710 |
Министерство здравоохранения Красноярского края |
11705020 020000180 |
прочие неналоговые доходы бюджетов субъектов Российской Федерации |
метод прогнозирования с учетом фактического поступления |
|
прогнозирование поступлений на очередной финансовый год и плановый период не осуществляется. Оценка поступлений на текущий финансовый год осуществляется исходя из фактического поступления указанных доходов на 31 августа текущего финансового года и планируемых поступлений до 31 декабря текущего финансового года (при наличии данной информации) |
|
23 |
710 |
Министерство здравоохранения Красноярского края |
11716000 020000180 |
прочие неналоговые доходы бюджетов субъектов Российской Федерации в части невыясненных поступлений, по которым не осуществлен возврат (уточнение) не позднее трех лет со дня их зачисления на единый счет бюджета субъекта Российской Федерации |
метод прогнозирования с учетом фактического поступления |
|
прогнозирование поступлений на очередной финансовый год и плановый период не осуществляется. Оценка поступлений на текущий финансовый год осуществляется исходя из фактического поступления указанных доходов на 31 августа текущего финансового года и планируемых поступлений до 31 декабря текущего финансового года (при наличии данной информации) |
|
24 |
710 |
Министерство здравоохранения Красноярского края |
20102010 020000150 |
предоставление нерезидентами грантов для получателей средств бюджетов субъектов Российской Федерации |
метод прогнозирования с учетом фактического поступления |
|
прогнозирование поступлений на очередной финансовый год и плановый период не осуществляется. Оценка поступлений на текущий финансовый год осуществляется исходя из фактического поступления указанных доходов по состоянию на 31 августа текущего финансового года (включительно), планируемых поступлений в сентябре - декабре текущего финансового года (при наличии данной информации) |
|
25 |
710 |
Министерство здравоохранения Красноярского края |
20102020 020000150 |
поступления от денежных пожертвований, предоставляемых нерезидентами получателям средств бюджетов субъектов Российской Федерации |
метод прогнозирования с учетом фактического поступления |
|
прогнозирование поступлений на очередной финансовый год и плановый период не осуществляется. Оценка поступлений на текущий финансовый год осуществляется исходя из фактического поступления указанных доходов по состоянию на 31 августа текущего финансового года (включительно), планируемых поступлений в сентябре - декабре текущего финансового года (при наличии данной информации) |
|
26 |
710 |
Министерство здравоохранения Красноярского края |
20102099 020000150 |
прочие безвозмездные поступления от нерезидентов в бюджеты субъектов Российской Федерации |
метод прогнозирования с учетом фактического поступления |
|
прогнозирование поступлений на очередной финансовый год и плановый период не осуществляется. Оценка поступлений на текущий финансовый год осуществляется исходя из фактического поступления указанных доходов по состоянию на 31 августа текущего финансового года (включительно), планируемых поступлений в сентябре - декабре текущего финансового года (при наличии данной информации) |
|
27 |
710 |
Министерство здравоохранения Красноярского края |
20200000 000000000 (в части кодов видов (подвидов) в соответствии с приложением N 1 к Методике |
безвозмездные поступления от других бюджетов бюджетной системы Российской Федерации |
метод прямого расчета |
|
прогнозирование поступлений на текущий финансовый год, очередной финансовый год и плановый период осуществляется на основании объема расходов бюджета, из которого предоставляются межбюджетные трансферты, в случае, если такой объем расходов определен. В иных случаях - на основании нормативных правовых актов Российской Федерации, Красноярского края, соглашений о предоставлении средств |
|
28 |
710 |
Министерство здравоохранения Красноярского края |
20302010 020000150 |
Предоставление государственными (муниципальными) организациями грантов для получателей средств бюджетов субъектов Российской Федерации |
метод прогнозирования с учетом фактического поступления |
|
прогнозирование поступлений на очередной финансовый год и плановый период не осуществляется. Оценка поступлений на текущий финансовый год осуществляется исходя из фактического поступления указанных доходов по состоянию на 31 августа текущего финансового года (включительно), планируемых поступлений в сентябре - декабре текущего финансового года (при наличии данной информации) |
|
29 |
710 |
Министерство здравоохранения Красноярского края |
20302020 020000150 |
Поступления от денежных пожертвований, предоставляемых государственными (муниципальными) организациями получателям средств бюджетов субъектов Российской Федерации |
метод прогнозирования с учетом фактического поступления |
|
прогнозирование поступлений на очередной финансовый год и плановый период не осуществляется. Оценка поступлений на текущий финансовый год осуществляется исходя из фактического поступления указанных доходов по состоянию на 31 августа текущего финансового года (включительно), планируемых поступлений в сентябре - декабре текущего финансового года (при наличии данной информации) |
|
30 |
710 |
Министерство здравоохранения Красноярского края |
20302099 020000150 |
Прочие безвозмездные поступления от государственных (муниципальных) организаций в бюджеты субъектов Российской Федерации |
метод прямого расчета |
|
прогнозирование поступлений на текущий финансовый год, очередной финансовый год и плановый период осуществляется исходя из сумм, предусмотренных договорами, соглашениями о предоставлении средств, а также иной информации о планируемых поступлениях |
|
31 |
710 |
Министерство здравоохранения Красноярского края |
20402010 020000150 |
Предоставление негосударственными организациями грантов для получателей средств бюджетов субъектов Российской Федерации |
метод прогнозирования с учетом фактического поступления |
|
прогнозирование поступлений на очередной финансовый год и плановый период не осуществляется. Оценка поступлений на текущий финансовый год осуществляется исходя из фактического поступления указанных доходов по состоянию на 31 августа текущего финансового года (включительно), планируемых поступлений в сентябре - декабре текущего финансового года (при наличии данной информации) |
|
32 |
710 |
Министерство здравоохранения Красноярского края |
20402020 020000150 |
Поступления от денежных пожертвований, предоставляемых негосударственными организациями получателям средств бюджетов субъектов Российской Федерации |
метод прогнозирования с учетом фактического поступления |
|
прогнозирование поступлений на очередной финансовый год и плановый период не осуществляется. Оценка поступлений на текущий финансовый год осуществляется исходя из фактического поступления указанных доходов по состоянию на 31 августа текущего финансового года (включительно), планируемых поступлений в сентябре - декабре текущего финансового года (при наличии данной информации) |
|
33 |
710 |
Министерство здравоохранения Красноярского края |
20402099 020000150 |
Прочие безвозмездные поступления от негосударственных организаций в бюджеты субъектов Российской Федерации |
метод прогнозирования с учетом фактического поступления |
|
прогнозирование поступлений на очередной финансовый год и плановый период не осуществляется. Оценка поступлений на текущий финансовый год осуществляется исходя из фактического поступления указанных доходов по состоянию на 31 августа текущего финансового года (включительно), планируемых поступлений в сентябре - декабре текущего финансового года (при наличии данной информации) |
|
34 |
710 |
Министерство здравоохранения Красноярского края |
20702020 020000150 |
Поступления от денежных пожертвований, предоставляемых физическими лицами получателям средств бюджетов субъектов Российской Федерации |
метод прогнозирования с учетом фактического поступления |
|
прогнозирование поступлений на очередной финансовый год и плановый период не осуществляется. Оценка поступлений на текущий финансовый год осуществляется исходя из фактического поступления указанных доходов по состоянию на 31 августа текущего финансового года (включительно), планируемых поступлений в сентябре - декабре текущего финансового года (при наличии данной информации) |
|
35 |
710 |
Министерство здравоохранения Красноярского края |
21800000 020000150 (в части кодов видов (подвидов) в соответствии с приложением N 2 к Методике) |
Доходы бюджетов субъектов Российской Федерации бюджетами бюджетной системы Российской Федерации остатков субсидий, субвенций и иных межбюджетных трансфертов, имеющих целевое назначение, прошлых лет, а также от возврата организациями остатков субсидий прошлых лет |
метод прогнозирования с учетом фактического поступления |
|
прогнозирование поступлений на очередной финансовый год и плановый период не осуществляется. Оценка поступлений на текущий финансовый год осуществляется исходя из фактического поступления указанных доходов по состоянию на 31 августа текущего финансового года (включительно), планируемых поступлений в сентябре - декабре текущего финансового года, (при наличии данной информации) |
|
36 |
710 |
Министерство здравоохранения Красноярского края |
21860010020000150 |
Доходы бюджетов субъектов Российской Федерации от возврата прочих остатков субсидий, субвенций и иных межбюджетных трансфертов, имеющих целевое назначение, прошлых лет из бюджетов муниципальных образований |
метод прогнозирования с учетом фактического поступления |
|
прогнозирование поступлений на очередной финансовый год и плановый период не осуществляется. Оценка поступлений на текущий финансовый год осуществляется исходя из фактического поступления указанных доходов по состоянию на 31 августа текущего финансового года (включительно), планируемых поступлений в сентябре - декабре текущего финансового года, а также сумм планируемых возвратов средств, потребность в которых подтверждена, в бюджеты муниципальных образований Красноярского края (при наличии данной информации) |
|
37 |
710 |
Министерство здравоохранения Красноярского края |
21900000020000150 (в части кодов видов (подвидов) в соответствии с приложением N 3 к Методике) |
Возврат остатков субсидий, субвенций и иных межбюджетных трансфертов, имеющих целевое назначение, прошлых лет из бюджетов субъектов Российской Федерации |
метод прогнозирования с учетом фактического поступления |
|
прогнозирование поступлений на очередной финансовый год и плановый период не осуществляется. Оценка поступлений на текущий финансовый год осуществляется исходя из фактически произведенных возвратов указанных средств из краевого бюджета в текущем финансовом году |
|
Заместитель
министра здравоохранения
Красноярского края
А.Е.МОСКВИНА
Приложение N 1
к Методике
прогнозирования поступлений
доходов в бюджеты
бюджетной системы
Российской Федерации,
главным администратором
которых является министерство
здравоохранения Красноярского края
ДОХОДЫ В ВИДЕ БЕЗВОЗМЕЗДНЫХ ПОСТУПЛЕНИЙ
ОТ ДРУГИХ БЮДЖЕТОВ БЮДЖЕТНОЙ СИСТЕМЫ
РОССИЙСКОЙ ФЕДЕРАЦИИ
(в
ред. Приказов министерства
здравоохранения Красноярского края от
30.10.2023 N 60-н, от 02.09.2024 N 44-н)
N п/п |
Код главного администратора доходов |
Код бюджетной классификации доходов |
Наименование кода бюджетной классификации доходов |
1 |
2 |
3 |
4 |
1 |
710 |
20225114020000150 |
Субсидии бюджетам субъектов Российской Федерации на реализацию региональных проектов "Создание единого цифрового контура в здравоохранении на основе единой государственной информационной системы в сфере здравоохранения (ЕГИСЗ)" |
1.1 |
710 |
20225106020000150 |
Субсидии бюджетам субъектов Российской Федерации в целях софинансирования расходных обязательств субъектов Российской Федерации, возникающих при реализации мероприятий по обеспечению детей с сахарным диабетом 1 типа в возрасте от 2-х до 4-х лет системами непрерывного мониторинга глюкозы |
(п. 1.1 введен Приказом министерства здравоохранения Красноярского края от 02.09.2024 N 44-н) | |||
1.2 |
710 |
20225107020000150 |
Субсидии бюджетам субъектов Российской Федерации в целях софинансирования расходных обязательств субъектов Российской Федерации, возникающих при реализации мероприятий по обеспечению детей с сахарным диабетом 1 типа в возрасте от 4-х до 17-ти лет системами непрерывного мониторинга глюкозы |
(п. 1.2 введен Приказом министерства здравоохранения Красноярского края от 02.09.2024 N 44-н) | |||
2 |
710 |
20225138020000150 |
Субсидии бюджетам субъектов Российской Федерации на единовременные компенсационные выплаты медицинским работникам (врачам, фельдшерам, а также акушеркам и медицинским сестрам фельдшерских здравпунктов и фельдшерско-акушерских пунктов, врачебных амбулаторий, центров (отделений) общей врачебной практики (семейной медицины), прибывшим (переехавшим) на работу в сельские населенные пункты, либо рабочие поселки, либо поселки городского типа, либо города с населением до 50 тысяч человек |
(п. 2 в ред. Приказа министерства здравоохранения Красноярского края от 02.09.2024 N 44-н) | |||
3 |
710 |
20225190020000150 |
Субсидии бюджетам субъектов Российской Федерации на переоснащение медицинских организаций, оказывающих медицинскую помощь больным с онкологическими заболеваниями |
4 |
710 |
20225192020000150 |
Субсидии бюджетам субъектов Российской Федерации на оснащение оборудованием региональных сосудистых центров и первичных сосудистых отделений |
5 |
710 |
20225201020000150 |
Субсидии бюджетам субъектов Российской Федерации на развитие паллиативной медицинской помощи |
6 |
710 |
20225202020000150 |
Субсидии бюджетам субъектов Российской Федерации на реализацию мероприятий по предупреждению и борьбе с социально значимыми инфекционными заболеваниями |
7 |
710 |
20225365020000150 |
Субсидии бюджетам субъектов Российской Федерации на реализацию региональных проектов модернизации первичного звена здравоохранения |
7.1 |
710 |
20225385020000150 |
Субсидии бюджетам субъектов Российской Федерации в целях софинансирования расходных обязательств субъектов Российской Федерации, возникающих при реализации мероприятий по проведению массового обследования новорожденных на врожденные и (или) наследственные заболевания (расширенный неонатальный скрининг) |
(п. 7.1 введен Приказом министерства здравоохранения Красноярского края от 30.10.2023 N 60-н) | |||
8 |
710 |
20225402020000150 |
Субсидии бюджетам субъектов Российской Федерации в целях софинансирования расходов, возникающих при оказании гражданам Российской Федерации высокотехнологичной медицинской помощи, не включенной в базовую программу обязательного медицинского страхования |
(в ред. Приказа министерства здравоохранения Красноярского края от 30.10.2023 N 60-н) | |||
9 |
710 |
20225554020000150 |
Субсидии бюджетам субъектов Российской Федерации на обеспечение закупки авиационных работ в целях оказания медицинской помощи |
10 |
710 |
20225586020000150 |
Субсидии бюджетам субъектов Российской Федерации на обеспечение профилактики развития сердечно-сосудистых заболеваний и сердечно-сосудистых осложнений у пациентов высокого риска, находящихся на диспансерном наблюдении |
10.1 |
710 |
20225752020000150 |
Субсидии бюджетам субъектов Российской Федерации на оснащение (дооснащение и (или) переоснащение) медицинскими изделиями медицинских организаций, имеющих в своей структуре подразделения, оказывающие медицинскую помощь по медицинской реабилитации |
(п. 10.1 введен Приказом министерства здравоохранения Красноярского края от 30.10.2023 N 60-н) | |||
10.2 |
710 |
20227111020000150 |
Субсидии бюджетам субъектов Российской Федерации на софинансирование капитальных вложений в объекты государственной собственности субъектов Российской Федерации |
(п. 10.2 в ред. Приказа министерства здравоохранения Красноярского края от 02.09.2024 N 44-н) | |||
10.3 |
710 |
20229001020000150 |
Субсидии бюджетам субъектов Российской Федерации за счет средств резервного фонда Правительства Российской Федерации |
(п. 10.3 введен Приказом министерства здравоохранения Красноярского края от 02.09.2024 N 44-н) | |||
11 |
710 |
20229999020000150 |
Прочие субсидии бюджетам субъектов Российской Федерации |
12 |
710 |
20235460020000150 |
Субвенции бюджетам субъектов Российской Федерации на оказание отдельным категориям граждан социальной услуги по обеспечению лекарственными препаратами для медицинского применения по рецептам на лекарственные препараты, медицинскими изделиями по рецептам на медицинские изделия, а также специализированными продуктами лечебного питания для детей-инвалидов |
13 |
Исключен. - Приказ министерства здравоохранения Красноярского края от 30.10.2023 N 60-н | ||
| |||
14 |
710 |
20245161020000150 |
Межбюджетные трансферты, передаваемые бюджетам субъектов Российской Федерации на реализацию отдельных полномочий в области лекарственного обеспечения |
15 - 17 |
Исключены. - Приказ министерства здравоохранения Красноярского края от 02.09.2024 N 44-н | ||
| |||
18 |
710 |
20245216020000150 |
Межбюджетные трансферты, передаваемые бюджетам субъектов Российской Федерации на реализацию организационных мероприятий, связанных с обеспечением лиц лекарственными препаратами, предназначенными для лечения больных гемофилией, муковисцидозом, гипофизарным нанизмом, болезнью Гоше, злокачественными новообразованиями лимфоидной, кроветворной и родственных им тканей, рассеянным склерозом, гемолитико-уремическим синдромом, юношеским артритом с системным началом, мукополисахаридозом I, II и VI типов, апластической анемией неуточненной, наследственным дефицитом факторов II (фибриногена), VII (лабильного), X (Стюарта-Прауэра), а также после трансплантации органов и (или) тканей |
(в ред. Приказа министерства здравоохранения Красноярского края от 02.09.2024 N 44-н) | |||
19 |
710 |
20245249020000150 |
Межбюджетные трансферты, передаваемые бюджетам субъектов Российской Федерации в целях софинансирования расходных обязательств субъектов Российской Федерации, связанных с закупкой медицинских изделий по заготовке, хранению и обеспечению безопасности донорской крови и ее компонентов, компьютерного и сетевого оборудования с лицензионным программным обеспечением для реализации мероприятий по развитию службы крови |
20 |
710 |
20245422020000150 |
Межбюджетные трансферты, передаваемые бюджетам субъектов Российской Федерации на компенсацию расходов, связанных с оказанием медицинскими организациями, подведомственными органам исполнительной власти субъектов Российской Федерации, органам местного самоуправления, гражданам Российской Федерации, гражданам Украины, гражданам Донецкой Народной Республики, гражданам Луганской Народной Республики и лицам без гражданства медицинской помощи, а также затрат по проведению указанным лицам профилактических прививок, включенных в календарь профилактических прививок по эпидемическим показаниям, и затрат по проведению обязательного медицинского освидетельствования указанных лиц |
(п. 20 в ред. Приказа министерства здравоохранения Красноярского края от 02.09.2024 N 44-н) | |||
21 |
710 |
20245468020000150 |
Межбюджетные трансферты, передаваемые бюджетам субъектов Российской Федерации на проведение вакцинации против пневмококковой инфекции граждан старше трудоспособного возраста из групп риска, проживающих в организациях социального обслуживания |
22 |
710 |
20245476020000150 |
Межбюджетные трансферты, передаваемые бюджетам субъектов Российской Федерации на осуществление медицинской деятельности, связанной с донорством органов человека в целях трансплантации (пересадки) |
23 |
710 |
20249001020000150 |
Межбюджетные трансферты, передаваемые бюджетам субъектов Российской Федерации, за счет средств резервного фонда Правительства Российской Федерации |
24 |
710 |
20249999020000150 |
Прочие межбюджетные трансферты, передаваемые бюджетам субъектов Российской Федерации |
25 |
710 |
20290011020000150 |
Прочие безвозмездные поступления в бюджеты субъектов Российской Федерации от федерального бюджета |
Приложение N 2
к Методике
прогнозирования поступлений
доходов в бюджеты
бюджетной системы
Российской Федерации,
главным администратором
которых является министерство
здравоохранения Красноярского края
ДОХОДЫ БЮДЖЕТОВ СУБЪЕКТОВ РОССИЙСКОЙ
ФЕДЕРАЦИИ ОТ ВОЗВРАТА БЮДЖЕТАМИ
БЮДЖЕТНОЙ СИСТЕМЫ РОССИЙСКОЙ ФЕДЕРАЦИИ
ОСТАТКОВ СУБСИДИЙ, СУБВЕНЦИЙ И ИНЫХ
МЕЖБЮДЖЕТНЫХ ТРАНСФЕРТОВ, ИМЕЮЩИХ
ЦЕЛЕВОЕ НАЗНАЧЕНИЕ, ПРОШЛЫХ ЛЕТ, А ТАКЖЕ
ОТ ВОЗВРАТА ОРГАНИЗАЦИЯМИ ОСТАТКОВ
СУБСИДИЙ ПРОШЛЫХ ЛЕТ
N п/п |
Код главного администратора доходов |
Код бюджетной классификации доходов |
Наименование кода бюджетной классификации доходов |
1 |
2 |
3 |
4 |
1 |
710 |
21802010020000150 |
Доходы бюджетов субъектов Российской Федерации от возврата бюджетными учреждениями остатков субсидий прошлых лет |
2 |
710 |
21802020020000150 |
Доходы бюджетов субъектов Российской Федерации от возврата автономными учреждениями остатков субсидий прошлых лет |
3 |
710 |
21802030020000150 |
Доходы бюджетов субъектов Российской Федерации от возврата иными организациями остатков субсидий прошлых лет |
4 |
710 |
21855622020000150 |
Доходы бюджетов субъектов Российской Федерации от возврата остатков межбюджетных трансфертов на финансовое обеспечение проведения углубленной диспансеризации застрахованных по обязательному медицинскому страхованию лиц, перенесших новую коронавирусную инфекцию (COVID-19), в рамках реализации территориальной программы обязательного медицинского страхования из бюджетов территориальных фондов обязательного медицинского страхования |
5 |
710 |
21855841020000150 |
Доходы бюджетов субъектов Российской Федерации от возврата остатков иных межбюджетных трансфертов на дополнительное финансовое обеспечение медицинских организаций в условиях чрезвычайной ситуации и (или) при возникновении угрозы распространения заболеваний, представляющих опасность для окружающих, в рамках реализации территориальных программ обязательного медицинского страхования за счет средств резервного фонда Правительства Российской Федерации из бюджетов территориальных фондов обязательного медицинского страхования |
6 |
710 |
21855849020000150 |
Доходы бюджетов субъектов Российской Федерации от возврата остатков иных межбюджетных трансфертов в целях финансового обеспечения расходных обязательств субъектов Российской Федерации и г. Байконура по предоставлению межбюджетных трансфертов бюджету соответствующего территориального фонда обязательного медицинского страхования на дополнительное финансовое обеспечение оказания медицинской помощи лицам, застрахованным по обязательному медицинскому страхованию, в том числе с заболеванием и (или) подозрением на заболевание новой коронавирусной инфекцией (COVID-19), в рамках реализации территориальных программ обязательного медицинского страхования за счет средств резервного фонда Правительства Российской Федерации из бюджетов территориальных фондов обязательного медицинского страхования |
7 |
710 |
21871030020000150 |
Доходы бюджетов субъектов Российской Федерации от возврата прочих остатков субсидий, субвенций и иных межбюджетных трансфертов, имеющих целевое назначение, прошлых лет из бюджетов государственных внебюджетных фондов |
Приложение N 3
к Методике
прогнозирования поступлений
доходов в бюджеты
бюджетной системы
Российской Федерации,
главным администратором
которых является министерство
здравоохранения Красноярского края
ДОХОДЫ В ВИДЕ ВОЗВРАТА ОСТАТКОВ
СУБСИДИЙ, СУБВЕНЦИЙ И ИНЫХ МЕЖБЮДЖЕТНЫХ
ТРАНСФЕРТОВ, ИМЕЮЩИХ ЦЕЛЕВОЕ НАЗНАЧЕНИЕ,
ПРОШЛЫХ ЛЕТ ИЗ БЮДЖЕТОВ СУБЪЕКТОВ
РОССИЙСКОЙ ФЕДЕРАЦИИ
(в
ред. Приказов министерства
здравоохранения Красноярского края от
30.10.2023 N 60-н, от 02.09.2024 N 44-н)
N п/п |
Код главного администратора доходов |
Код бюджетной классификации доходов |
Наименование кода бюджетной классификации доходов |
1 |
2 |
3 |
4 |
1 |
710 |
21925114020000150 |
Возврат остатков субсидий на реализацию региональных проектов "Создание единого цифрового контура в здравоохранении на основе единой государственной информационной системы здравоохранения (ЕГИСЗ)" из бюджетов субъектов Российской Федерации |
2 |
710 |
21925138020000150 |
Возврат остатков субсидий на единовременные компенсационные выплаты медицинским работникам (врачам, фельдшерам, а также акушеркам и медицинским сестрам фельдшерских и фельдшерско-акушерских пунктов), прибывшим (переехавшим) на работу в сельские населенные пункты, либо рабочие поселки, либо поселки городского типа, либо города с населением до 50 тысяч человек, из бюджетов субъектов Российской Федерации |
3 |
710 |
21925170020000150 |
Возврат остатков субсидий на развитие материально-технической базы детских поликлиник и детских поликлинических отделений медицинских организаций, оказывающих первичную медико-санитарную помощь, из бюджетов субъектов Российской Федерации |
4 |
710 |
21925201020000150 |
Возврат остатков субсидий в целях развития паллиативной медицинской помощи из бюджетов субъектов Российской Федерации |
5 |
710 |
21925202020000150 |
Возврат остатков субсидий на реализацию мероприятий по предупреждению и борьбе с социально значимыми инфекционными заболеваниями из бюджетов субъектов Российской Федерации |
6 |
710 |
21925365020000150 |
Возврат остатков субсидий на софинансирование расходных обязательств субъектов Российской Федерации, возникающих при реализации региональных проектов модернизации первичного звена здравоохранения, из бюджетов субъектов Российской Федерации |
(в ред. Приказа министерства здравоохранения Красноярского края от 02.09.2024 N 44-н) | |||
6.1 |
710 |
21925385020000150 |
Возврат остатков субсидий в целях софинансирования расходных обязательств субъектов Российской Федерации, возникающих при реализации мероприятий по проведению массового обследования новорожденных на врожденные и (или) наследственные заболевания (расширенный неонатальный скрининг), из бюджетов субъектов Российской Федерации |
(п. 6.1 введен Приказом министерства здравоохранения Красноярского края от 02.09.2024 N 44-н) | |||
7 |
710 |
21925402020000150 |
Возврат остатков субсидий в целях софинансирования расходов, возникающих при оказании гражданам Российской Федерации высокотехнологичной медицинской помощи, не включенной в базовую программу обязательного медицинского страхования, из бюджетов субъектов Российской Федерации |
(п. 7 в ред. Приказа министерства здравоохранения Красноярского края от 02.09.2024 N 44-н) | |||
8 |
710 |
21925423020000150 |
Возврат остатков субсидий на софинансирование расходных обязательств субъектов Российской Федерации, возникающих при модернизации лабораторий медицинских организаций субъектов Российской Федерации, осуществляющих диагностику инфекционных болезней, из бюджетов субъектов Российской Федерации |
9 |
710 |
21925554020000150 |
Возврат остатков субсидий на обеспечение закупки авиационных работ в целях оказания медицинской помощи |
10 |
710 |
21925586020000150 |
Возврат остатков субсидий на обеспечение профилактики развития сердечно-сосудистых заболеваний и сердечно-сосудистых осложнений у пациентов высокого риска, находящихся на диспансерном наблюдении, из бюджетов субъектов Российской Федерации |
10.1 |
710 |
21925752020000150 |
Возврат остатков субсидий на оснащение (дооснащение и (или) переоснащение) медицинскими изделиями медицинских организаций, имеющих в своей структуре подразделения, оказывающие медицинскую помощь по медицинской реабилитации, из бюджетов субъектов Российской Федерации |
(п. 10.1 введен Приказом министерства здравоохранения Красноярского края от 30.10.2023 N 60-н) | |||
10.2 |
710 |
21927246020000150 |
Возврат остатков субсидий на софинансирование капитальных вложений в объекты государственной (муниципальной) собственности в рамках нового строительства или реконструкции детских больниц (корпусов) из бюджетов субъектов Российской Федерации |
(п. 10.2 введен Приказом министерства здравоохранения Красноярского края от 02.09.2024 N 44-н) | |||
11 |
710 |
21935460020000150 |
Возврат остатков субвенций на оказание отдельным категориям граждан социальной услуги по обеспечению лекарственными препаратами для медицинского применения по рецептам на лекарственные препараты, медицинскими изделиями по рецептам на медицинские изделия, а также специализированными продуктами лечебного питания для детей-инвалидов из бюджетов субъектов Российской Федерации |
11.1 |
710 |
21945122020000150 |
Возврат остатков иных межбюджетных трансфертов в целях софинансирования в полном объеме расходных обязательств субъектов Российской Федерации, возникающих при реализации мероприятий по дооснащению (переоснащению) медицинских организаций, оказывающих медицинскую помощь сельским жителям и жителям отдаленных территорий (центральные районные больницы, районные больницы, участковые больницы), оборудованием для выявления сахарного диабета и контроля за состоянием пациента с ранее выявленным сахарным диабетом, из бюджетов субъектов Российской Федерации |
(п. 11.1 введен Приказом министерства здравоохранения Красноярского края от 02.09.2024 N 44-н) | |||
11.2 |
710 |
21945123020000150 |
Возврат остатков иных межбюджетных трансфертов в целях софинансирования в полном объеме расходных обязательств субъектов Российской Федерации, возникающих при реализации мероприятий по созданию (развитию) и оснащению (дооснащению) региональных эндокринологических центров и школ для пациентов с сахарным диабетом, из бюджетов субъектов Российской Федерации |
(п. 11.2 введен Приказом министерства здравоохранения Красноярского края от 02.09.2024 N 44-н) | |||
12 |
710 |
21945136020000150 |
Возврат остатков межбюджетных трансфертов прошлых лет на осуществление единовременных выплат медицинским работникам из бюджетов субъектов Российской Федерации |
13 |
710 |
21945161020000150 |
Возврат остатков иных межбюджетных трансфертов на реализацию отдельных полномочий в области лекарственного обеспечения из бюджетов субъектов Российской Федерации |
14 |
710 |
21945190020000150 |
Возврат остатков иных межбюджетных трансфертов на переоснащение медицинских организаций, оказывающих медицинскую помощь больным с онкологическими заболеваниями, из бюджетов субъектов Российской Федерации |
15 |
710 |
21945191020000150 |
Возврат остатков иных межбюджетных трансфертов на оснащение медицинских организаций передвижными медицинскими комплексами для оказания медицинской помощи жителям населенных пунктов с численностью населения до 100 человек из бюджетов субъектов Российской Федерации |
16 |
710 |
21945192020000150 |
Возврат остатков иных межбюджетных трансфертов на оснащение оборудованием региональных сосудистых центров и первичных сосудистых отделений из бюджетов субъектов Российской Федерации |
17 |
710 |
21945196020000150 |
Возврат остатков иных межбюджетных трансфертов на создание и замену фельдшерских, фельдшерско-акушерских пунктов и врачебных амбулаторий для населенных пунктов с численностью населения от 100 до 2000 человек из бюджетов субъектов Российской Федерации |
18 |
710 |
21945197020000150 |
Возврат остатков иных межбюджетных трансфертов на реализацию отдельных полномочий в области лекарственного обеспечения населения закрытых административно-территориальных образований, обслуживаемых федеральными государственными бюджетными учреждениями здравоохранения, находящимися в ведении Федерального медико-биологического агентства, из бюджетов субъектов Российской Федерации |
19 |
710 |
21945216020000150 |
Возврат остатков иных межбюджетных трансфертов на финансовое обеспечение расходов на организационные мероприятия, связанные с обеспечением лиц лекарственными препаратами, предназначенными для лечения больных гемофилией, муковисцидозом, гипофизарным нанизмом, болезнью Гоше, злокачественными новообразованиями лимфоидной, кроветворной и родственных им тканей, рассеянным склерозом, гемолитико-уремическим синдромом, юношеским артритом с системным началом, мукополисахаридозом I, II и VI типов, апластической анемией неуточненной, наследственным дефицитом факторов II (фибриногена), VII (лабильного), X (Стюарта-Прауэра), а также после трансплантации органов и (или) тканей, из бюджетов субъектов Российской Федерации |
20 |
710 |
21945249020000150 |
Возврат остатков иных межбюджетных трансфертов в целях софинансирования расходных обязательств субъектов Российской Федерации, связанных с закупкой медицинских изделий по заготовке, хранению и обеспечению безопасности донорской крови и ее компонентов, компьютерного и сетевого оборудования с лицензионным программным обеспечением для реализации мероприятий по развитию службы крови, из бюджетов субъектов Российской Федерации |
21 |
710 |
21945422020000150 |
Возврат остатков иных межбюджетных трансфертов на компенсацию расходов, связанных с оказанием медицинскими организациями, подведомственными органам исполнительной власти субъектов Российской Федерации, органам местного самоуправления, гражданам Российской Федерации, гражданам Украины, гражданам Донецкой Народной Республики, гражданам Луганской Народной Республики и лицам без гражданства медицинской помощи, а также затрат по проведению указанным лицам профилактических прививок, включенных в календарь профилактических прививок по эпидемическим показаниям, и затрат по проведению обязательного медицинского освидетельствования указанных лиц из бюджетов субъектов Российской Федерации |
(п. 21 в ред. Приказа министерства здравоохранения Красноярского края от 02.09.2024 N 44-н) | |||
22 |
710 |
21945468020000150 |
Возврат остатков иных межбюджетных трансфертов на проведение вакцинации против пневмококковой инфекции граждан старше трудоспособного возраста из групп риска, проживающих в организациях социального обслуживания, из бюджетов субъектов Российской Федерации |
23 |
710 |
21945476020000150 |
Возврат остатков иных межбюджетных трансфертов на осуществление медицинской деятельности, связанной с донорством органов человека в целях трансплантации (пересадки), из бюджетов субъектов Российской Федерации |
23.1 |
710 |
21945608020000150 |
Возврат остатков иных межбюджетных трансфертов на приобретение медицинских изделий для оснащения медицинских организаций за счет средств резервного фонда Правительства Российской Федерации из бюджетов субъектов Российской Федерации |
(п. 23.1 введен Приказом министерства здравоохранения Красноярского края от 30.10.2023 N 60-н) | |||
24 |
Исключен. - Приказ министерства здравоохранения Красноярского края от 02.09.2024 N 44-н | ||
| |||
25 |
710 |
21945663020000150 |
Возврат остатков иных межбюджетных трансфертов на финансовое обеспечение мероприятий по приобретению концентраторов кислорода производительностью более 1000 литров в минуту каждый (при наличии основной и резервной линий концентратора производительностью не менее 500 литров в минуту каждая) с учетом стоимости доставки и пусконаладочных работ за счет средств резервного фонда Правительства Российской Федерации из бюджетов субъектов Российской Федерации |
25.1 |
710 |
21945672020000150 |
Возврат остатков иных межбюджетных трансфертов в целях софинансирования расходных обязательств субъектов Российской Федерации (за исключением г. Москвы), возникающих при финансовом обеспечении оплаты труда медицинских работников, оказывающих консультативную медицинскую помощь с применением телемедицинских технологий гражданам с подтвержденным диагнозом новой коронавирусной инфекции COVID-19, а также с признаками или подтвержденным диагнозом внебольничной пневмонии, острой респираторной вирусной инфекции, гриппа, получающим медицинскую помощь в амбулаторных условиях (на дому), за счет средств резервного фонда Правительства Российской Федерации из бюджетов субъектов Российской Федерации |
(п. 25.1 введен Приказом министерства здравоохранения Красноярского края от 30.10.2023 N 60-н) | |||
26 - 28 |
Исключены. - Приказ министерства здравоохранения Красноярского края от 02.09.2024 N 44-н | ||
| |||
29 |
710 |
21945843020000150 |
Возврат остатков иных межбюджетных трансфертов на финансовое обеспечение мероприятий по приобретению лекарственных препаратов для лечения пациентов с новой коронавирусной инфекцией (COVID-19), получающих медицинскую помощь в амбулаторных условиях, за счет средств резервного фонда Правительства Российской Федерации из бюджетов субъектов Российской Федерации |
30 |
710 |
21945845020000150 |
Возврат остатков иных межбюджетных трансфертов на финансовое обеспечение мероприятий по оснащению (переоснащению) медицинскими изделиями лабораторий медицинских организаций, осуществляющих этиологическую диагностику новой коронавирусной инфекции (COVID-19) методами амплификации нуклеиновых кислот, за счет средств резервного фонда Правительства Российской Федерации из бюджетов субъектов Российской Федерации |
31 |
Исключен. - Приказ министерства здравоохранения Красноярского края от 02.09.2024 N 44-н | ||
| |||
31.1 |
710 |
21945854020000150 |
Возврат остатков иных межбюджетных трансфертов в целях финансового обеспечения расходных обязательств субъектов Российской Федерации и г. Байконура по предоставлению межбюджетных трансфертов бюджету соответствующего территориального фонда обязательного медицинского страхования на дополнительное финансовое обеспечение оказания первичной медико-санитарной помощи лицам, застрахованным по обязательному медицинскому страхованию, в том числе с заболеванием и (или) подозрением на заболевание новой коронавирусной инфекцией (COVID-19), в рамках реализации территориальных программ обязательного медицинского страхования за счет средств резервного фонда Правительства Российской Федерации из бюджетов субъектов Российской Федерации |
(п. 31.1 введен Приказом министерства здравоохранения Красноярского края от 30.10.2023 N 60-н) | |||
31.2 |
Исключен. - Приказ министерства здравоохранения Красноярского края от 02.09.2024 N 44-н | ||
| |||
32 |
710 |
21990000020000150 |
Возврат прочих остатков субсидий, субвенций и иных межбюджетных трансфертов, имеющих целевое назначение, прошлых лет из бюджетов субъектов Российской Федерации |
- О внесении изменений в Приказ министерства здравоохранения Красноярского края от 11.07.2016 N 63-н "Об утверждении Методики прогнозирования поступлений доходов в бюджет, главным администратором которых является министерство здравоохранения Красноярского края, при планировании доходов бюджета на текущий финансовый год, очередной финансовый год и плановый период"
- О внесении изменений в Приказ министерства здравоохранения Красноярского края от 11.07.2016 N 63-н "Об утверждении Методики прогнозирования поступлений доходов в бюджеты бюджетной системы Российской Федерации, главным администратором которых является министерство здравоохранения Красноярского края"
- О внесении изменений и признании утратившими силу отдельных Приказов министерства здравоохранения Красноярского края (с изменениями на 21 июля 2025 года)
- О внесении изменения в Приказ министерства здравоохранения Красноярского края от 11.07.2016 N 63-н "Об утверждении Методики прогнозирования поступлений доходов в бюджет, главным администратором которых является министерство здравоохранения Красноярского края, при планировании доходов бюджета на текущий финансовый год, очередной финансовый год и плановый период"




