ДОПОЛНИТЕЛЬНОЕ СОГЛАШЕНИЕ К ТАРИФНОМУ
СОГЛАШЕНИЮ В СИСТЕМЕ ОБЯЗАТЕЛЬНОГО
МЕДИЦИНСКОГО СТРАХОВАНИЯ ГОРОДА
СЕВАСТОПОЛЯ
от 28 апреля 2025 года N 4
г. Севастополь
Департамент здравоохранения
города Севастополя, в лице директора
Департамента - члена Правительства
Севастополя Денисова В.С., первого
заместителя директора Департамента
здравоохранения города Севастополя
Островской А.В., Территориальный фонд
обязательного медицинского страхования
города Севастополя, в лице директора
Гроздовой Т.Ю., первого заместителя
директора Игнатовой И.А., страховые
медицинские организации города
Севастополя, в лице директора
Севастопольского филиала ООО "Страховая
медицинская компания "Крыммедстрах"
Галянской Л.С. и директора
Севастопольского филиала "Крымской
страховой медицинской компании" ООО
"Арсенал медицинское страхование"
Колтуновой Е.А., первичная организация
профессионального союза работников
здравоохранения государственного
бюджетного учреждения здравоохранения
Севастополя "Городская больница N 1 им.
Н.И. Пирогова", в лице члена Смоляковой
С.И., Региональная общественная
организация "Ассоциация врачей
Севастополя", в лице члена Коситченкова
А.А., члена Наркевича А.И., включенные в
состав Комиссии по разработке
территориальной программы
обязательного медицинского страхования
города Севастополя, в соответствии со
статьей 30 Федерального закона от 29.11.2010 N
326-ФЗ "Об обязательном медицинском
страховании в Российской Федерации",
именуемые в дальнейшем Стороны,
заключили настоящее дополнительное
соглашение к тарифному соглашению в
системе обязательного медицинского
страхования города Севастополя от 23.12.2024
(далее - дополнительное соглашение,
Тарифное соглашение) о нижеследующем:
1. Подпункт 2 пункта 3.2 Раздела 3
Тарифного соглашения изложить в новой
редакции:
"2) размер базового (среднего)
подушевого норматива финансирования на
прикрепившихся лиц (ПНБАЗ) согласно
перечню расходов, исключающего влияние
стоимости медицинской помощи,
оплачиваемой за единицу объема ее
оказания, стоимости медицинской помощи,
оказываемой в фельдшерских
здравпунктах, фельдшерских акушерских
пунктах, стоимости проведения
профилактического медицинского осмотра
и диспансеризации, в том числе
углубленной и диспансеризации для
оценки репродуктивного здоровья женщин
и мужчин, а также стоимости
диспансерного наблюдения отдельных
категорий граждан из числа взрослого
населения, включая диспансерное
наблюдение работающих граждан и (или)
обучающихся в образовательных
организациях, при оплате медицинской
помощи в амбулаторных условиях
составляет 2185,61 рубля в соответствии с
Приложением N 10 к Тарифному соглашению;".
2. Приложение N 2 Тарифного
соглашения изложить в новой редакции в
соответствии с Приложением N 1 к
настоящему Дополнительному соглашению.
3. Приложение N 10 Тарифного
соглашения изложить в новой редакции в
соответствии Приложением N 2 к настоящему
Дополнительному соглашению.
4. Настоящее Дополнительное
соглашение вступает в силу с момента его
подписания и распространяет свое
действие на правоотношения, возникшие с
01.04.2025.
5. Настоящее дополнительное
соглашение к тарифному соглашению
составлено и подписано в десяти
экземплярах.
6. Все приложения являются
неотъемлемой частью настоящего
дополнительного соглашения.
7. Настоящее дополнительное
соглашение подлежит обязательному
размещению на официальном сайте
Департамента здравоохранения города
Севастополя и Территориального фонда
обязательного медицинского страхования
города Севастополя в сети "Интернет" в
четырнадцатидневный срок со дня его
принятия.
8. Настоящее дополнительное
соглашение подлежит обязательной
отправке Председателем Комиссии по
разработке территориальной программы
обязательного медицинского страхования
города Севастополя в пятидневный срок
после дня его заключения в Федеральный
фонд обязательного медицинского
страхования для подготовки заключения о
соответствии базовой программе
обязательного медицинского
страхования.
Директор Департамента здравоохранения
города Севастополя -
член Правительства Севастополя
В.С.ДЕНИСОВ
Директор Территориального фонда
обязательного медицинского
страхования
города Севастополя
Т.Ю.ГРОЗДОВА
Первый заместитель директора
Департамента здравоохранения
города Севастополя
А.В.ОСТРОВСКАЯ
Первый заместитель директора
Территориального фонда обязательного
медицинского страхования
города Севастополя
И.А.ИГНАТОВА
Директор Севастопольского филиала
"Крымской страховой медицинской
компании"
ООО "Арсенал медицинское страхование"
Е.А.КОЛТУНОВА
Директор Севастопольского филиала
ООО "Страховая медицинская компания
"Крыммедстрах"
Л.С.ГАЛЯНСКАЯ
Член Региональной общественной
организации
"Ассоциация врачей Севастополя"
А.А.КОСИТЧЕНКОВ
Член первичной организации
профессионального союза работников
здравоохранения
государственного бюджетного
учреждения
здравоохранения Севастополя
"Городская больница N 1 им. Н.И. Пирогова"
С.И.СМОЛЯКОВА
Член Региональной общественной
организации
"Ассоциация врачей Севастополя"
А.И.НАРКЕВИЧ
Приложение N 1
к дополнительному соглашению
от 28.04.2025 N 4
к Тарифному соглашению
в системе ОМС города Севастополя
от 23.12.2024
Приложение N 2
к Тарифному соглашению
в системе ОМС города Севастополя
от 23.12.2024
ПОРЯДОК ОПЛАТЫ ПЕРВИЧНОЙ
МЕДИКО-САНИТАРНОЙ ПОМОЩИ ПО ПОДУШЕВОМУ
НОРМАТИВУ ФИНАНСИРОВАНИЯ НА
ПРИКРЕПИВШИХСЯ ЛИЦ (ЗА ИСКЛЮЧЕНИЕМ
РАСХОДОВ НА ПРОВЕДЕНИЕ КОМПЬЮТЕРНОЙ
ТОМОГРАФИИ, МАГНИТНО-РЕЗОНАНСНОЙ
ТОМОГРАФИИ, УЛЬТРАЗВУКОВОГО
ИССЛЕДОВАНИЯ СЕРДЕЧНО-СОСУДИСТОЙ
СИСТЕМЫ, ЭНДОСКОПИЧЕСКИХ
ДИАГНОСТИЧЕСКИХ ИССЛЕДОВАНИЙ,
МОЛЕКУЛЯРНО-ГЕНЕТИЧЕСКИХ ИССЛЕДОВАНИЙ И
ПАТОЛОГО-АНАТОМИЧЕСКИХ ИССЛЕДОВАНИЙ
БИОПСИЙНОГО (ОПЕРАЦИОННОГО) МАТЕРИАЛА С
ЦЕЛЬЮ ДИАГНОСТИКИ ОНКОЛОГИЧЕСКИХ
ЗАБОЛЕВАНИЙ И ПОДБОРА ПРОТИВООПУХОЛЕВОЙ
ЛЕКАРСТВЕННОЙ ТЕРАПИИ (ДАЛЕЕ -
МОЛЕКУЛЯРНО-ГЕНЕТИЧЕСКИЕ ИССЛЕДОВАНИЯ И
ПАТОЛОГО-АНАТОМИЧЕСКИЕ ИССЛЕДОВАНИЯ
БИОПСИЙНОГО (ОПЕРАЦИОННОГО) МАТЕРИАЛА),
ПОЗИТРОННОЙ ЭМИССИОННОЙ ТОМОГРАФИИ И
(ИЛИ) ПОЗИТРОННОЙ ЭМИССИОННОЙ
ТОМОГРАФИИ, СОВМЕЩЕННОЙ С КОМПЬЮТЕРНОЙ
ТОМОГРАФИЕЙ, И ОДНОФОТОННОЙ ЭМИССИОННОЙ
КОМПЬЮТЕРНОЙ ТОМОГРАФИИ И (ИЛИ)
ОДНОФОТОННОЙ ЭМИССИОННОЙ КОМПЬЮТЕРНОЙ
ТОМОГРАФИИ, СОВМЕЩЕННОЙ С КОМПЬЮТЕРНОЙ
ТОМОГРАФИЕЙ (ДАЛЕЕ - ПЭТ/КТ И
ОФЭКТ/ОФЭКТ-КТ), НА ВЕДЕНИЕ ШКОЛ ДЛЯ
БОЛЬНЫХ С ХРОНИЧЕСКИМИ НЕИНФЕКЦИОННЫМИ
ЗАБОЛЕВАНИЯМИ, В ТОМ ЧИСЛЕ САХАРНЫМ
ДИАБЕТОМ, ПРОФИЛАКТИЧЕСКИХ МЕДИЦИНСКИХ
ОСМОТРОВ И ДИСПАНСЕРИЗАЦИИ, В ТОМ ЧИСЛЕ
УГЛУБЛЕННОЙ ДИСПАНСЕРИЗАЦИИ И
ДИСПАНСЕРИЗАЦИИ ДЛЯ ОЦЕНКИ
РЕПРОДУКТИВНОГО ЗДОРОВЬЯ ЖЕНЩИН И
МУЖЧИН, А ТАКЖЕ СРЕДСТВ НА ОПЛАТУ
ДИСПАНСЕРНОГО НАБЛЮДЕНИЯ, ВКЛЮЧАЯ
ДИСПАНСЕРНОЕ НАБЛЮДЕНИЕ РАБОТАЮЩИХ
ГРАЖДАН, В ТОМ ЧИСЛЕ ЦЕНТРАМИ ЗДОРОВЬЯ,
ФИНАНСОВОЕ ОБЕСПЕЧЕНИЕ ФЕЛЬДШЕРСКИХ
ЗДРАВПУНКТОВ, ФЕЛЬДШЕРСКО-АКУШЕРСКИХ
ПУНКТОВ) С УЧЕТОМ ПОКАЗАТЕЛЕЙ
РЕЗУЛЬТАТИВНОСТИ ДЕЯТЕЛЬНОСТИ
МЕДИЦИНСКОЙ ОРГАНИЗАЦИИ (ВКЛЮЧАЯ
ПОКАЗАТЕЛИ ОБЪЕМА МЕДИЦИНСКОЙ ПОМОЩИ),
ПЕРЕЧЕНЬ КОТОРЫХ УСТАНАВЛИВАЕТСЯ
МИНИСТЕРСТВОМ ЗДРАВООХРАНЕНИЯ
РОССИЙСКОЙ ФЕДЕРАЦИИ, В ТОМ ЧИСЛЕ С
ВКЛЮЧЕНИЕМ РАСХОДОВ НА МЕДИЦИНСКУЮ
ПОМОЩЬ, ОКАЗЫВАЕМУЮ В ИНЫХ МЕДИЦИНСКИХ
ОРГАНИЗАЦИЯХ И ОПЛАЧИВАЕМУЮ ЗА ЕДИНИЦУ
ОБЪЕМА МЕДИЦИНСКОЙ ПОМОЩИ
1. Общие положения
1.1. Порядок оплаты первичной
медико-санитарной помощи по подушевому
нормативу финансирования на
прикрепившихся лиц (за исключением
расходов на проведение компьютерной
томографии, магнитно-резонансной
томографии, ультразвукового
исследования сердечно-сосудистой
системы, эндоскопических
диагностических исследований,
молекулярно-генетических исследований и
патолого-анатомических исследований
биопсийного (операционного) материала, с
целью диагностики онкологических
заболеваний и подбора противоопухолевой
лекарственной терапии (далее -
молекулярно-генетические исследования и
патолого-анатомические исследования
биопсийного (операционного) материала),
позитронной эмиссионной томографии и
(или) позитронной эмиссионной
томографии, совмещенной с компьютерной
томографией, и однофотонной эмиссионной
компьютерной томографии и (или)
однофотонной эмиссионной компьютерной
томографии, совмещенной с компьютерной
томографией (далее - ПЭТ/КТ и
ОФЭКТ/ОФЭКТ-КТ), на ведение школ для
больных с хроническими неинфекционными
заболеваниями, в том числе с сахарным
диабетом, профилактических медицинских
осмотров и диспансеризации, в том числе
углубленной диспансеризации и
диспансеризации для оценки
репродуктивного здоровья женщин и
мужчин, а также средств на оплату
диспансерного наблюдения, включая
диспансерное наблюдение работающих
граждан, в том числе центрами здоровья, и
финансовое обеспечение фельдшерских
здравпунктов, фельдшерско-акушерских
пунктов) с учетом показателей
результативности деятельности
медицинской организации (включая
показатели объема медицинской помощи),
перечень которых устанавливается
Министерством здравоохранения
Российской Федерации, в том числе с
включением расходов на медицинскую
помощь, оказываемую в иных медицинских
организациях и оплачиваемую за единицу
объема медицинской помощи (далее -
Порядок), устанавливает этапы расчета
дифференцированных подушевых
нормативов, в соответствии с которыми
страховые медицинские организации
осуществляют финансирование
медицинских организаций, оказывающих
амбулаторно-поликлиническую помощь,
предусмотренную территориальной
программой обязательного медицинского
страхования, и имеющих прикрепленное
население.
1.2. Настоящий Порядок разработан в
соответствии с пунктами 139, 140 Правил
обязательного медицинского страхования,
утвержденных приказом Министерства
здравоохранения Российской Федерации от
28.02.2019 N 108н, и Методическими
рекомендациями по способам оплаты
медицинской помощи за счет средств
обязательного медицинского
страхования.
Комиссия по разработке
территориальной программы
обязательного медицинского страхования
(далее - Комиссия) утверждает
дифференцированные подушевые нормативы
в соответствии с настоящим Порядком.
Территориальный фонд
обязательного медицинского страхования
города Севастополя (далее - Фонд) доводит
дифференцированные подушевые нормативы
до страховых медицинских организаций.
При определении ежемесячного
объема финансирования конкретной
медицинской организации, оказывающей
амбулаторную медицинскую помощь,
страховые медицинские организации
(далее - СМО) учитывают численность
прикрепившихся застрахованных лиц на
основе акта сверки численности по
договору на оказание и оплату
медицинской помощи и дифференцированные
подушевые нормативы.
1.3. При оплате медицинской помощи по
подушевому нормативу финансирования
объемы неотложной медицинской помощи,
оказанной отделениями (кабинетами)
неотложной медицинской помощи, объемы
посещений травмпунктов, приемных
отделений больниц, объемы на
консультативно-диагностические
посещения в медицинские организации
(структурные подразделения медицинских
организаций) 2-го уровня, расходы на
проведение компьютерной томографии,
магнитно-резонансной томографии,
ультразвукового исследования
сердечно-сосудистой системы,
эндоскопических диагностических
исследований, молекулярно-генетических
исследований и патолого-анатомических
исследований биопсийного
(операционного) материала, на проведение
ПЭТ/КТ и ОФЭКТ/ОФЭКТ-КТ, на ведение школ
для больных с хроническими
неинфекционными заболеваниями, в том
числе с сахарным диабетом, оплачиваемых
по тарифу за медицинскую услугу, объем
средств, направляемых на оплату
мероприятий по проведению
профилактических медицинских осмотров
отдельных категорий граждан (в рамках I и
II этапов) и всех видов диспансеризации, в
том числе углубленной диспансеризации,
включающих средства на оплату второго
этапа диспансеризации и диспансеризации
для оценки репродуктивного здоровья
женщин и мужчин, средств на оплату
комплексного посещения в амбулаторных
условиях по профилю "медицинская
реабилитация", расходы на оплату
диспансерного наблюдения отдельных
категорий граждан из числа взрослого
населения, включая диспансерное
наблюдение работающих граждан и (или)
обучающихся в образовательных
организациях, в том числе центров
здоровья, а также средства на финансовое
обеспечение фельдшерских здравпунктов,
фельдшерско-акушерских пунктов, не
включаются в подушевой норматив.
Медицинские организации
(структурные подразделения медицинских
организаций), не имеющие прикрепленного
населения и осуществляющие
консультативные приемы, оказывающие
стоматологическую помощь,
предоставляющие услуги гемодиализа и
перитонеального диализа, в подушевом
финансировании не участвуют.
Медицинская помощь, оказанная
лицам, застрахованным в системе ОМС за
пределами территории города
Севастополя, в подушевой норматив
финансирования не включается.
1.4. Распределение застрахованных
лиц по медицинским организациям, имеющим
прикрепившихся лиц, устанавливается на
начало соответствующего года и
корректируется на основании данных
регионального сегмента Единого регистра
застрахованных лиц по состоянию на 1
января, 1 апреля, 1 июля и 1 октября.
2. Расчет объема финансового
обеспечения первичной медико-санитарной
помощи в амбулаторных условиях
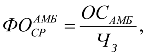
2.1. Расчет среднего размера
финансового обеспечения медицинской
помощи, оказанной в амбулаторных
условиях медицинскими организациями,
участвующими в реализации
территориальной программы
обязательного медицинского страхования
города Севастополя, в расчете на одно
застрахованное лицо осуществляется по
формуле:
где:
ОСАМБ |
объем средств на оплату медицинской помощи в амбулаторных условиях для медицинских организаций, участвующих в реализации территориальной программы обязательного медицинского страхования города Севастополя, рублей |
ЧЗ |
численность застрахованного населения города Севастополя, человек |
Общий объем средств на оплату
медицинской помощи в амбулаторных
условиях для медицинских организаций,
участвующих в реализации
территориальной программы
обязательного медицинского страхования
города Севастополя, определяется на
основе нормативов объемов медицинской
помощи и финансовых затрат на единицу
объема медицинской помощи,
установленных территориальной
программой обязательного медицинского
страхования, по следующей формуле:
ОСАМБ = (НоПМО x НфзПМО + НоДИСП x НфзДИСП +
НоИЦ x НфзИЦ +
+ НоОЗ x НфзОЗ + НоНЕОТЛ x НфзНЕОТЛ + НоМР x
НфзМР +
+ НоДН x НфзДН + НоДИСП реп x НфзДИСП реп +
Ношк x Нфзшк +
+ Ноцзд x Нфзцзд) x ЧЗ - ОСМТР,
где:
НоПМО |
средний норматив объема медицинской помощи, оказываемой в амбулаторных условиях, для проведения профилактических медицинских осмотров, установленный Территориальной программой государственных гарантий в части базовой программы, посещений |
НоДИСП |
средний норматив объема медицинской помощи, оказываемой в амбулаторных условиях, для проведения диспансеризации, установленный Территориальной программой государственных гарантий в части базовой программы, посещений |
НоДИСП реп |
средний норматив объема медицинской помощи, оказываемой в амбулаторных условиях, для проведения диспансеризации для оценки репродуктивного здоровья женщин и мужчин, установленный Территориальной программой государственных гарантий в части базовой программы, посещений |
НоОЗ |
средний норматив объема медицинской помощи, оказываемой в амбулаторных условиях в связи с заболеваниями, установленный Территориальной программой государственных гарантий в части базовой программы, обращений |
НоНЕОТЛ |
средний норматив объема медицинской помощи, оказываемой в амбулаторных условиях в неотложной форме, установленный Территориальной программой государственных гарантий в части базовой программы, посещений |
НоМР |
средний норматив объема медицинской помощи, оказываемой в амбулаторных условиях, для обращения по заболеванию при оказании медицинской помощи по профилю "Медицинская реабилитация", установленный Территориальной программой государственных гарантий в части базовой программы, комплексных посещений |
НоДН |
средний норматив объема медицинской помощи, оказываемой в амбулаторных условиях, для диспансерного наблюдения, установленный Территориальной программой государственных гарантий в части базовой программы, комплексных посещений |
Ношк |
средний норматив объема медицинской помощи, оказываемой в амбулаторных условиях школами для больных с хроническими неинфекционными заболеваниями, в том числе с сахарным диабетом, установленный Территориальной программой государственных гарантий в части базовой программы, комплексных посещений |
Ноцзд |
средний норматив объема медицинской помощи, оказываемой в амбулаторных условиях, для посещения с профилактическими целями центров здоровья, установленный Территориальной программой государственных гарантий в части базовой программы, комплексных посещений |
НфзДИСП реп |
средний норматив финансовых затрат на единицу объема медицинской помощи, оказываемой в амбулаторных условиях, для проведения диспансеризации для оценки репродуктивного здоровья женщин и мужчин, установленный Территориальной программой государственных гарантий в части базовой программы, рублей |
НфзИЦ |
средний норматив финансовых затрат на единицу объема медицинской помощи, оказываемой в амбулаторных условиях, для посещений с иными целями, установленный Территориальной программой государственных гарантий в части базовой программы, рублей |
НфзОЗ |
средний норматив финансовых затрат на единицу объема медицинской помощи, оказываемой в амбулаторных условиях в связи с заболеваниями, установленный Территориальной программой государственных гарантий в части базовой программы, рублей |
НфзНЕОТЛ |
средний норматив финансовых затрат на единицу объема медицинской помощи, оказываемой в амбулаторных условиях в неотложной форме, установленный Территориальной программой государственных гарантий в части базовой программы, рублей |
НфзМР |
средний норматив финансовых затрат на единицу объема медицинской помощи, оказываемой в амбулаторных условиях, для обращения по заболеванию при оказании медицинской помощи по профилю "Медицинская реабилитация", установленный Территориальной программой государственных гарантий в части базовой программы, рублей |
НфзДН |
средний норматив финансовых затрат на единицу объема медицинской помощи, оказываемой в амбулаторных условиях, для диспансерного наблюдения, установленный Территориальной программой государственных гарантий в части базовой программы, рублей |
Нфзшк |
средний норматив финансовых затрат на единицу объема медицинской помощи, оказываемой в амбулаторных условиях, школами для больных с хроническими неинфекционными заболеваниями, в том числе с сахарным диабетом, установленный Территориальной программой государственных гарантий в части базовой программы, рублей |
Нфзцзд |
средний норматив финансовых затрат на единицу объема медицинской помощи, оказываемой в амбулаторных условиях, для посещений с профилактическими целями центров здоровья, установленный Территориальной программой государственных гарантий в части базовой программы, рублей |
2.2. Расчет базового (среднего)
подушевого норматива финансирования на
прикрепившихся лиц.
Значение базового подушевого
норматива финансирования на
прикрепившихся лиц определяется по
следующей формуле:
где:
ПНБАЗ |
базовый (средний) подушевой норматив финансирования на прикрепившихся лиц, рублей |
ОСПНФ |
объем средств на оплату медицинской помощи по подушевому нормативу финансирования, рублей |
ОСРД |
объем средств, направляемых медицинским организациям в случае достижения ими значений показателей результативности деятельности согласно балльной оценке, рублей |
СКДОТ |
значение среднего взвешенного с учетом численности прикрепленного населения коэффициента дифференциации на прикрепившихся к медицинской организации лиц с учетом наличия подразделений, расположенных в сельской местности, отдаленных территориях, поселках городского типа и малых городах с численностью населения до 50 тысяч человек, и расходов на их содержание и оплату труда персонала |
СКДПВ |
значение среднего взвешенного с учетом численности прикрепленного населения коэффициента половозрастного состава |
КД |
единый коэффициент дифференциации субъекта Российской Федерации, рассчитанный в соответствии с Постановлением N 462 |
Параметр СКДОТ используется в
целях сохранения сбалансированности
территориальных программ обязательного
медицинского страхования и
рассчитывается по следующей формуле:
где:
|
значение коэффициента дифференциации на прикрепившихся к медицинской организации лиц с учетом наличия подразделений, расположенных в сельской местности, отдаленных территориях, поселках городского типа и малых городах с численностью населения до 50 тысяч человек, и расходов на их содержание и оплату труда персонала, установленного тарифным соглашением для i-й медицинской организации в соответствии с пунктом 2.5 настоящего Порядка |
|
численность застрахованных лиц, прикрепленных к i-й медицинской организации, человек |
По аналогичной формуле
рассчитывается значение СКДПВ.
Объем средств на оплату
медицинской помощи в амбулаторных
условиях по подушевому нормативу
финансирования, оказываемой
медицинскими организациями,
участвующими в реализации
территориальной программы
обязательного медицинского страхования
города Севастополя (ОСПНФ),
рассчитывается без учета средств на
финансовое обеспечение медицинской
помощи, оплачиваемой за единицу объема, и
средств на финансовое обеспечение
фельдшерских здравпунктов,
фельдшерско-акушерских пунктов,
определяется по следующей формуле:
ОСПНФ = ОСАМБ - ОСФАП - ОСИССЛЕД - ОСНЕОТЛ -
ОСЕО -
- ОСПО - ОСДИСП - ОСреп - ОСшк - ОСцзд - ОСДН -
ОС2эт,
где:
ОСФАП |
объем средств, направляемых на финансовое обеспечение фельдшерских здравпунктов, фельдшерско-акушерских пунктов в соответствии с установленными Территориальной программой государственных гарантий размерами финансового обеспечения фельдшерских здравпунктов, фельдшерско-акушерских пунктов (при необходимости - за исключением медицинской помощи в неотложной форме), рублей |
ОСИССЛЕД |
объем средств, направляемых на оплату проведения отдельных диагностических (лабораторных) исследований (компьютерной томографии, магнитно-резонансной томографии, ультразвукового исследования сердечно-сосудистой системы, эндоскопических диагностических исследований, молекулярно-генетических исследований и патолого-анатомических исследований биопсийного (операционного) материала, ПЭТ/КТ и ОФЭКТ/ОФЭКТ-КТ), в соответствии с нормативами, установленными Территориальной программой государственных гарантий в части базовой программы, рублей |
ОСНЕОТЛ |
объем средств, направляемых на оплату посещений в неотложной форме в соответствии с нормативами, установленными Территориальной программой государственных гарантий в части базовой программы, рублей |
ОСЕО |
объем средств, направляемых на оплату медицинской помощи, оказываемой в амбулаторных условиях за единицу объема медицинской помощи застрахованным в данном субъекте Российской Федерации лицам (в том числе комплексных посещений по профилю "Медицинская реабилитация"), рублей |
ОСПО |
объем средств, направляемых на оплату проведения профилактических медицинских осмотров в соответствии с нормативами, установленными Территориальной программой государственных гарантий в части базовой программы, рублей |
ОСДИСП |
объем средств, направляемых на оплату проведения диспансеризации, включающей профилактический медицинский осмотр и дополнительные методы обследований (в том числе углубленной диспансеризации), в соответствии с нормативами, установленными Территориальной программой государственных гарантий в части базовой программы, рублей |
ОСДН |
объем средств, направляемых на оплату проведения диспансерного наблюдения, включая диспансерное наблюдение работающих граждан, в том числе центрами здоровья, в соответствии с нормативами, установленными Территориальной программой государственных гарантий в части базовой программы, рублей |
ОСшк |
объем средств, направляемых на оплату медицинской помощи при ее оказании пациентам с хроническими неинфекционными заболеваниями, в том числе с сахарным диабетом, в части ведения школ, в том числе сахарного диабета, в соответствии с нормативами, установленными Территориальной программой государственных гарантий в части базовой программы, рублей |
ОСцз |
объем средств, направляемых на оплату посещений с профилактическими целями центров здоровья, в соответствии с нормативами, установленными Территориальной программой государственных гарантий в части базовой программы, рублей |
ОСреп |
объем средств, направляемых на оплату проведения диспансеризации для оценки репродуктивного здоровья женщин и мужчин, в соответствии с нормативами, установленными Территориальной программой государственных гарантий в части базовой программы, рублей |
ОС2эт |
объем средств, направляемых на оплату медицинской помощи, предоставляемой в рамках второго этапа профилактических медицинских осмотров несовершеннолетних и всех видов диспансеризации, рублей |
Объем средств, направляемый на
финансовое обеспечение медицинской
помощи, финансируемой в соответствии с
установленными Программой нормативами,
не включает в себя средства,
направляемые на оплату медицинской
помощи, оказываемой в амбулаторных
условиях застрахованным лицам города
Севастополя за пределами субъекта
Российской Федерации, на территории
которого выдан полис ОМС, и оплачиваемой
за единицу объема медицинской помощи.
2.2.1. Объем средств, направляемых на
оплату проведения отдельных
диагностических (лабораторных)
исследований, рассчитывается по
следующей формуле:
Ноj - средний норматив объема
медицинской помощи для проведения j-го
исследования (компьютерной томографии,
магнитно-резонансной томографии,
ультразвукового исследования
сердечно-сосудистой системы,
эндоскопических диагностических
исследований, молекулярно-генетических
исследований и патолого-анатомических
исследований биопсийного
(операционного) материала, ПЭТ/КТ и
ОФЭКТ/ОФЭКТ-КТ), установленный
Территориальной программой
государственных гарантий в части
базовой программы, исследований;
Нфзj - средний норматив финансовых
затрат на единицу объема медицинской
помощи для проведения j-го исследования
(компьютерной томографии,
магнитно-резонансной томографии,
ультразвукового исследования
сердечно-сосудистой системы,
эндоскопических диагностических
исследований, молекулярно-генетических
исследований и патолого-анатомических
исследований биопсийного
(операционного) материала, ПЭТ/КТ и
ОФЭКТ/ОФЭКТ-КТ), установленный
Территориальной программой
государственных гарантий в части
базовой программы, рублей;
Чз - численность застрахованного
населения города Севастополя, человек.
2.2.2. Объем средств, направляемых на
оплату медицинской помощи в неотложной
форме.
Объем средств, направляемых на
оплату медицинской помощи в неотложной
форме, рассчитывается по формуле:
ОСНЕОТЛ = НоНЕОТЛ x НфзНЕОТЛ x ЧЗ.
2.2.3. Расчет объема финансового
обеспечения фельдшерских здравпунктов,
фельдшерско-акушерских пунктов.
Размер финансового обеспечения
фельдшерских здравпунктов,
фельдшерско-акушерских пунктов при
условии их соответствия требованиям,
установленным приказом
Минздравсоцразвития России от 15.05.2012 N 543н
"Об утверждении Положения об организации
оказания первичной медико-санитарной
помощи взрослому населению" (далее -
Приказ N 543н), составляет в среднем на 2024
год:
- фельдшерский здравпункт,
фельдшерско-акушерский пункт,
обслуживающий от 100 до 900 жителей, - 1442,9
тыс. рублей;
- фельдшерский здравпункт,
фельдшерско-акушерский пункт,
обслуживающий от 900 до 1500 жителей, - 2885,8
тыс. рублей;
- фельдшерский здравпункт,
фельдшерско-акушерский пункт,
обслуживающий от 1500 до 2000 жителей, - 3430,6
тыс. рублей.
При расчете размеров финансового
обеспечения фельдшерских здравпунктов,
фельдшерско-акушерских пунктов
применяются коэффициенты
дифференциации (КД), рассчитанные в
соответствии с Постановлением N 462. Для
города Севастополя данные коэффициенты
равны 1.
В случае оказания фельдшерскими
здравпунктами, фельдшерско-акушерскими
пунктами медицинской помощи женщинам
репродуктивного возраста, но при
отсутствии в указанных пунктах акушеров,
полномочия по работе с такими женщинами
осуществляются фельдшером или
медицинской сестрой (в части проведения
санитарно-гигиенического обучения
женщин по вопросам грудного
вскармливания, предупреждения
заболеваний репродуктивной системы,
абортов и инфекций, передаваемых половым
путем), размер финансового обеспечения
устанавливается с учетом отдельного
повышающего коэффициента, рассчитанного
с учетом доли женщин репродуктивного
возраста в численности прикрепленного
населения
.
Объем средств, направляемых на
финансовое обеспечение фельдшерских
здравпунктов, фельдшерско-акушерских
пунктов в каждой медицинской
организации, рассчитывается следующим
образом:
где:
|
объем средств, направляемых на финансовое обеспечение фельдшерских здравпунктов, фельдшерско-акушерских пунктов в i-й медицинской организации |
|
число фельдшерских здравпунктов, фельдшерско-акушерских пунктов n-типа (в зависимости от численности обслуживаемого населения и соответствия требованиям, установленным положением об организации оказания первичной медико-санитарной помощи взрослому населению) |
|
базовый норматив финансовых затрат на финансовое обеспечение структурных подразделений медицинских организаций - фельдшерских здравпунктов, фельдшерско-акушерских пунктов n-го типа |
|
коэффициент специфики оказания медицинской помощи, применяемый к базовому нормативу финансовых затрат на финансовое обеспечение структурных подразделений медицинской организации, учитывающий критерий соответствия их требованиям, установленным Приказом N 543н (в том числе с учетом расчетного объема средств на оплату консультаций, связанных с проведением санитарно-гигиенического обучения женщин по вопросам грудного вскармливания, предупреждения заболеваний репродуктивной системы, абортов и инфекций, передаваемых половым путем) |
В случае, если у фельдшерских
здравпунктов, фельдшерско-акушерских
пунктов в течение года меняется
численность обслуживаемого населения, а
также факт соответствия требованиям,
установленным Приказом N 543н, годовой
размер финансового обеспечения
фельдшерских здравпунктов,
фельдшерско-акушерских пунктов
изменяется с учетом объема средств,
направленных на финансовое обеспечение
фельдшерских здравпунктов,
фельдшерско-акушерских пунктов за
предыдущие периоды с начала года, и
рассчитывается следующим образом:

|
фактический размер финансового обеспечения фельдшерского здравпункта, фельдшерско-акушерского пункта |
|
размер средств, направленных на финансовое обеспечение фельдшерского здравпункта, фельдшерско-акушерского пункта с начала года |
nМЕС |
количество месяцев, оставшихся до конца календарного года |
Расходы на оплату транспортных
услуг не входят в размеры финансового
обеспечения фельдшерских здравпунктов,
фельдшерско-акушерских пунктов.
2.3. Правила применения
коэффициентов дифференциации
подушевого норматива финансирования.
Для каждой медицинской организации
подушевые нормативы финансирования
должны определяться дифференцированно с
учетом коэффициентов.
При расчете дифференцированных
подушевых нормативов финансирования на
прикрепившихся лиц применяются
следующие коэффициенты дифференциации
подушевого норматива финансирования:
1) коэффициенты дифференциации на
прикрепившихся к медицинской
организации лиц с учетом наличия
подразделений, расположенных в сельской
местности, отдаленных территориях,
поселках городского типа и малых городах
с численностью населения до 50 тысяч
человек, и расходов на их содержание и
оплату труда персонала (далее - КДОТ);
2) коэффициенты половозрастного
состава (далее - КДПВ);
3) коэффициенты уровня расходов
медицинских организаций (далее - КДур);
4) коэффициенты достижения целевых
показателей уровня заработной платы
медицинских работников, установленных
"дорожными картами" развития
здравоохранения в субъекте Российской
Федерации (далее - КДЗП);
5) коэффициенты дифференциации
(далее - КД).
2.4. Расчет половозрастных
коэффициентов в разрезе половозрастных
групп населения.
2.4.1. Для расчета дифференцированных
подушевых нормативов численность
застрахованных лиц на территории города
Севастополя распределяется по следующим
половозрастным группам:
- ноль - один год мужчины/женщины;
- один год - четыре года
мужчины/женщины;
- пять лет - семнадцать лет
мужчины/женщины;
- восемнадцать лет - шестьдесят
четыре года мужчины/женщины;
- шестьдесят пять лет и старше
мужчины/женщины.
В расчете половозрастных
коэффициентов принимается численность
застрахованных лиц на территории города
Севастополя, определяемая на основании
сведений регионального сегмента единого
регистра застрахованных лиц на первое
число первого месяца расчетного
периода.
Определяются затраты на оплату
медицинской помощи, оказанной
застрахованным лицам, на основании
реестров счетов (с учетом видов и условий
оказания медицинской помощи) за
расчетный период в разрезе
половозрастной структуры
застрахованных лиц на территории города
Севастополя.
Рассчитывается размер затрат на
одно застрахованное лицо (Р) в целом по
городу Севастополю (без учета возраста и
пола) за выбранный период по формуле:
З - затраты на оплату медицинской
всем застрахованным лицам за расчетный
период, рублей;
М - количество месяцев в расчетном
периоде;
Ч - численность застрахованных лиц
в целом по региону.
Для каждой j-й половозрастной
группы населения Фондом на основании
фактических данных об объемах и
стоимости медицинской помощи за
предшествующий период рассчитывается
размер затрат на одно застрахованное
прикрепленное лицо (Pj) по формуле:
Зj - затраты на оплату медицинской
всем застрахованным лицам j-й
половозрастной группы за выбранный
Фондом период, рублей;
М - количество месяцев в расчетном
периоде;
Чj - численность застрахованного
населения в i-й половозрастной группе
населения.
Половозрастной коэффициент для j-й
половозрастной группы населения
определится по формуле:
(округляется до шести знаков после
запятой).
Для групп мужчин и женщин в
возрасте 65 лет и старше устанавливается
значение половозрастного коэффициента в
размере не менее 1,6 (в случае, если
расчетное значение коэффициента
потребления медицинской помощи по
группам мужчин и женщин 65 лет и старше
составляет менее 1,6, значение
коэффициента принимается равным 1,6).
2.4.2. Коэффициент половозрастного
состава подушевого норматива для j-й
медицинской организации рассчитывается
по формуле:
(округляется до шести знаков после
запятой), где:
|
коэффициент половозрастного состава, определенный для i-й медицинской организации |
|
коэффициент половозрастного состава, определенный для j-й половозрастной группы населения |
|
численность застрахованных лиц, прикрепленных к i-й медицинской организации, в j-й половозрастной группе, человек |
|
численность застрахованных лиц, прикрепленных к i-й медицинской организации, человек |
2.4.3. Для каждой половозрастной
группы (подгруппы) населения
рассчитываются единые значения
коэффициента дифференциации в пределах
субъекта Российской Федерации.
Указанные коэффициенты устанавливаются
настоящим тарифным соглашением.
2.5. Расчет КДОТ на прикрепившихся к
медицинской организации лиц с учетом
наличия подразделений, расположенных в
сельской местности, отдаленных
территориях, поселках городского типа и
малых городах с численностью населения
до 50 тысяч человек.
КДОТ применяется в отношении
медицинских организаций (юридических
лиц) с учетом наличия у них
подразделений, расположенных в сельской
местности, отдаленных территориях,
поселках городского типа и малых городах
с численностью населения до 50 тысяч
человек (в том числе в отношении
участковых больниц и врачебных
амбулаторий, являющихся как отдельными
юридическими лицами, так и их
подразделениями).
Критерии отдаленности
устанавливаются Комиссией.
К подушевому нормативу
финансирования на прикрепившихся лиц
таких медицинских организаций с учетом
расходов на содержание медицинской
организации и оплату труда персонала,
исходя из расположения и отдаленности
обслуживаемых территорий, применяются
следующие коэффициенты дифференциации в
размере:
- для медицинских организаций и их
подразделений, обслуживающих до 20 тысяч
человек, - не менее 1,113,
- для медицинских организаций и их
подразделений, обслуживающих свыше 20
тысяч человек, - не менее 1,04.
Также допустимо установление
дифференцированных значений
коэффициентов для разных медицинских
организаций или их подразделений в
зависимости от комплектности участков,
обслуживаемого радиуса, плотности
расселения обслуживаемого населения,
транспортной доступности, иных
климатических и географических
особенностей территории обслуживания
населения и др.
В случае если только отдельные
подразделения медицинской организации,
а не медицинская организация в целом,
соответствуют условиям применения
коэффициента дифференциации КДОТ, объем
направляемых финансовых средств
рассчитывается исходя из доли
обслуживаемого данными подразделениями
населения:
- коэффициент дифференциации на
прикрепившихся к медицинской
организации лиц с учетом наличия
подразделений, расположенных в сельской
местности, отдаленных территориях,
поселках городского типа и малых городах
с численностью населения до 50 тысяч
человек, с учетом расходов на их
содержание и оплату труда персонала,
определенный для i-й медицинской
организации;
ДОТj - доля населения, обслуживаемая
j-м подразделением, расположенным в
сельской местности, отдаленных
территориях, поселках городского типа и
малых городах с численностью населения
до 50 тысяч человек (значение от 0 до 1);
КДОТj - коэффициент дифференциации,
применяемый к j-му подразделению,
расположенному в сельской местности,
отдаленных территориях, поселках
городского типа и малых городах с
численностью населения до 50 тысяч
человек, с учетом расходов на их
содержание и оплату труда персонала.
2.6. Расчет значений коэффициента
уровня расходов медицинской организации
(особенности плотности населения,
транспортной доступности, климатические
и географические особенности, площади
медицинской организации).
Дифференцированные подушевые
нормативы финансирования медицинской
организации определяются также с учетом
коэффициентов уровня расходов
медицинской организации (особенности
плотности населения, транспортной
доступности, климатические и
географические особенности, площади
медицинской организации), применяемых к
базовому подушевому нормативу
финансирования на прикрепившихся лиц
(далее - КДур).
Расходы на оказание медицинской
помощи с применением телемедицинских
технологий учитываются путем применения
повышающего коэффициента при расчете
КДур. При этом повышающий коэффициент
рассчитывается прямо пропорционально
доле медицинской помощи с применением
телемедицинских технологий в общем
объеме оказанной медицинской помощи,
финансовое обеспечение которой
осуществляется по подушевому нормативу
финансирования.
Показатель объема медицинской помощи с применением телемедицинских технологий (доля медицинской помощи с применением телемедицинских технологий в общем объеме оказанной медицинской помощи, финансовое обеспечение которой осуществляется по подушевому нормативу финансирования), % |
Повышающий коэффициент к коэффициенту уровня (подуровня) |
1% |
1,01 |
2% |
1,02 |
Повышающий коэффициент прямо пропорционален доле медицинской помощи с применением телемедицинских технологий (при увеличении доли оказанной медицинской помощи с применением телемедицинских услуг на 1% повышающий коэффициент увеличивается на 0,01) | |
2.7. Расчет дифференцированных
подушевых нормативов финансирования.
2.7.1. Дифференцированные подушевые
нормативы финансирования для
медицинских организаций, участвующих в
реализации территориальной программы
обязательного медицинского страхования
города Севастополя
, рассчитываются на основе
базового подушевого норматива
финансирования медицинской помощи,
оказываемой в амбулаторных условиях, по
следующей формуле:
где:
|
дифференцированный подушевой норматив для i-й медицинской организации, рублей |
|
коэффициент половозрастного состава, для i-й медицинской организации |
|
коэффициент уровня расходов медицинских организаций (особенности плотности населения, транспортной доступности, климатические и географические особенности, площади медицинской организации), для i-й медицинской организации (при необходимости) |
|
коэффициент достижения целевых показателей уровня заработной платы медицинских работников, установленных "дорожными картами" развития здравоохранения в субъекте Российской Федерации, для i-й медицинской организации (при необходимости) |
|
коэффициент специфики оказания медицинской помощи, учитывающий наличие подразделений, расположенных в сельской местности, отдаленных территориях, поселках городского типа и малых городах с численностью населения до 50 тысяч человек, и расходов на их содержание и оплату труда персонала, для i-й медицинской организации |
КДi |
коэффициент дифференциации для i-й медицинской организации |
Значения всех коэффициентов
дифференциации устанавливаются в
соответствии с Приложением N 10 Тарифного
соглашения.
3. Применение показателей
результативности деятельности
медицинской организации
3.1. При оплате медицинской помощи по
подушевому нормативу финансирования на
прикрепившихся лиц с учетом показателей
результативности деятельности
медицинской организации (включая
показатели объема медицинской помощи), в
том числе с включением расходов на
медицинскую помощь, оказываемую в иных
медицинских организациях и оплачиваемую
за единицу объема медицинской помощи в
составе средств, направляемых на
финансовое обеспечение медицинской
организации, имеющей прикрепившихся лиц,
по подушевому нормативу финансирования,
определяется доля средств от базового
подушевого норматива финансирования на
прикрепившихся лиц, направляемых на
выплаты медицинским организациям в
случае достижения ими значений
показателей результативности
деятельности с учетом балльной оценки.
При этом размер финансового
обеспечения медицинской помощи,
оказанной медицинской организацией,
имеющей прикрепившихся лиц, по
подушевому нормативу финансирования
ежемесячно определяется по следующей
формуле:
где:
ОСПН |
финансовое обеспечение медицинской помощи, оказанной медицинской организацией, имеющей прикрепившихся лиц, по подушевому нормативу финансирования, рублей |
ОСРД |
объем средств, направляемых медицинским организациям в случае достижения ими значений показателей результативности деятельности согласно балльной оценке (далее - объем средств с учетом показателей результативности), рублей |
|
дифференцированный подушевой норматив финансирования амбулаторной медицинской помощи для i-й медицинской организации, рублей |
|
численность застрахованных лиц, прикрепленных к i-й медицинской организации на 1 число месяца, на который осуществляется расчет, человек |
3.2. Показатели результативности
деятельности, порядок их применения и
целевые значения устанавливаются
настоящим Тарифным соглашением.
Показатели результативности для
каждой медицинской организации
утверждаются Комиссией один раз в
квартал, с учетом показателей
деятельности медицинской организации в
предыдущем отчетном периоде. Оценка
достижения значений показателей
результативности деятельности
медицинских организаций оформляется
решением Комиссии на основании данных,
представленных в адрес Комиссии:
- ТФОМС города Севастополя об
исполнении показателей
результативности по п. 1, 2, 3, 4, 5, 7, 8, 9, 10, 11,
12, 13, 14 Блока 1 (взрослое население); по п. 16,
17, 18, 19, 20 Блока 2 (детское население); по п.
23, 24 Блока 3 (женское население);
- Департаментом здравоохранения
города Севастополя об исполнении
показателей результативности по п. 6
Блока 1 (взрослое население); по п. 15 Блока
2 (детское население); по п. 21, 22, 25 Блока 3
(женское население).
Решение Комиссии доводится до
сведения медицинских организаций не
позднее 25 числа месяца, следующего за
отчетным периодом.
Осуществление выплат по
результатам оценки достижения
медицинскими организациями,
оказывающими медицинскую помощь в
амбулаторных условиях, значений
показателей результативности
деятельности производится по итогам
года.
Выплаты по итогам года
распределяются на основе сведений об
оказанной медицинской помощи за период
декабрь 2024 года - ноябрь 2025 года
(включительно) и включаются в счет за
декабрь 2025 года.
Размер средств, направляемых на
осуществление выплат стимулирующего
характера всем медицинским
организациям, имеющим прикрепленное
население, составляет 22915717,95 рубля в год,
или 2 процента от базового подушевого
норматива финансирования медицинской
помощи.
Перечень показателей
результативности определен в таблице N 1
данного Порядка.
Коллективными договорами,
соглашениями, локальными нормативными
актами, заключаемыми в соответствии с
трудовым законодательством и иными
нормативными правовыми актами,
содержащими нормы трудового права и
регулирующими системы оплаты труда в
медицинских организациях, в том числе
системы доплат и надбавок
стимулирующего характера и системы
премирования, необходимо предусмотреть
стимулирующие выплаты медицинским
работникам за достижение аналогичных
показателей результативности
деятельности.
Методика расчета значений
показателей результативности и перечень
медицинских организаций (групп
медицинских организаций) с указанием
показателей результативности,
применяемых для указанных медицинских
организаций (групп медицинских
организаций), определена в таблице N 2 и
таблице N 3 данного Порядка
соответственно.
Показатели результативности
разделены на три блока, которые отражают
результативность оказания медицинской
помощи разным категориям населения
(взрослому населению, детскому
населению, акушерско-гинекологической
помощи) в амбулаторных условиях:
- Блок 1 - включает показатели,
характеризующие оценку эффективности
профилактических мероприятий взрослому
населению (от 18 лет и старше) в рамках
проведения профилактических осмотров и
диспансеризации с целью выявления
важнейших неинфекционных заболеваний;
выполнение плана вакцинации взрослых по
эпидемиологическим показаниям; оценку
эффективности диспансерного наблюдения
пациентов, страдающих хроническими
неинфекционными заболеваниями, в том
числе из группы высокого риска
преждевременной смерти, включая
заболевания системы кровообращения,
обусловливающие высокий риск
преждевременной смерти;
- Блок 2 - включает показатели,
характеризующие оценку эффективности
профилактических мероприятий среди
детского населения (от 0 до 17 лет) при
выполнении плана вакцинации в рамках
Национального календаря прививок;
осуществления диспансерного наблюдения
детей, имеющих хронические соматические
заболевания с целью предотвращения
инвалидности и развития хронических
неинфекционных заболеваний в будущем;
- Блок 3 - включает показатели
эффективности профилактических
мероприятий при оказании
акушерско-гинекологической помощи с
целью охраны репродуктивного здоровья.
В случае, если группа показателей
результативности одного из блоков
неприменима для конкретной медицинской
организации и (или) отчетного периода,
суммарный максимальный балл и итоговый
коэффициент для соответствующей
медицинской организации будут
рассчитываться без учета этой группы
показателей.
Каждый показатель
результативности, включенный в блок
(таблица N 1 к настоящему Порядку),
оценивается в баллах, которые
суммируются. Методикой расчета
предусмотрена максимально возможная
сумма баллов по каждому блоку, состоящая
из:
- 19 баллов для показателей блока 1;
- 7 баллов для показателей блока 2;
- 6 баллов для показателей блока 3.
В зависимости от результатов
деятельности медицинской организации по
каждому показателю определяется балл в
диапазоне от 0 до 2 баллов. С учетом
фактического выполнения показателей
результативности медицинские
организации распределяются на три
группы:
- I - выполнившие до 40 процентов
показателей;
- II - от 40 (включительно) до 60
процентов показателей;
- III - от 60 (включительно) процентов
показателей.
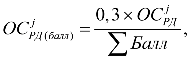
Объем средств, направляемый в
медицинские организации по итогам
оценки достижения значений показателей
результативности деятельности,
складывается из двух частей:
1 часть - распределение 70 процентов
от объема средств с учетом показателей
результативности за соответствующий
период.
Указанные средства распределяются
среди медицинских организаций II и III
групп с учетом численности
прикрепленного населения.
где:
|
объем средств, используемый при распределении 70 процентов от объема средств на стимулирование медицинских организаций за j-й период, в расчете на 1 прикрепленное лицо, рублей |
|
совокупный объем средств на стимулирование медицинских организаций за j-й период, рублей |
|
численность прикрепленного населения в j-м периоде ко всем медицинским организациям II и III групп |
В качестве численности
прикрепленного населения к конкретной
медицинской организации рекомендуется
использовать среднюю численность за
период.
Объем средств, направляемый в i-ю
медицинскую организацию II и III групп за
j-й период при распределении 70 процентов
от объема средств с учетом показателей
результативности
, рассчитывается следующим
образом:
где:
|
- численность прикрепленного населения в j-м периоде к i-й медицинской организации II и III групп |
2 часть - распределение 30 процентов
от объема средств с учетом показателей
результативности за соответствующий
период.
Указанные средства распределяются
среди медицинских организаций III группы
с учетом абсолютного количества
набранных соответствующими
медицинскими организациями баллов.
где:
|
объем средств, используемый при распределении 30 процентов от объема средств на стимулирование медицинских организаций за j-й период, в расчете на 1 балл, рублей |
|
совокупный объем средств на стимулирование медицинских организаций за j-й период, рублей |
|
количество баллов, набранных в j-м периоде всеми медицинскими организациями III группы |
Объем средств, направляемый в i-ю
медицинскую организацию III группы за j-й
период при распределении 30 процентов от
объема средств на стимулирование
медицинских организаций
, рассчитывается следующим
образом:
где:
|
количество баллов, набранных в j-м периоде i-й медицинской организацией III группы |
Если по итогам года отсутствуют
медицинские организации, включенные в III
группу, средства, предназначенные для
осуществления стимулирующих выплат
медицинским организациям III группы,
распределяются между медицинскими
организациями II группы в соответствии с
установленной методикой (с учетом
численности прикрепленного населения).
Общий объем средств, направляемых
на оплату медицинской помощи с учетом
показателей результативности
деятельности в медицинскую организацию
III группы за j-й период, определяется
путем суммирования 1 и 2 частей, а для
медицинских организаций I группы за j-й
период - равняется нулю.
Осуществление выплат
стимулирующего характера в полном
объеме медицинской организации,
оказывающей медицинскую помощь в
амбулаторных условиях, по результатам
оценки ее деятельности производится при
условии снижения показателей смертности
прикрепленного к ней населения в
возрасте от 30 до 69 лет (за исключением
смертности от внешних причин) и (или)
смертности детей в возрасте от 0 - 17 лет
(за исключением смертности от внешних
причин)) (далее - показатели смертности
прикрепленного населения (взрослого и
детского)), а также фактического
выполнения не менее 90 процентов
установленных решением Комиссии объемов
предоставления медицинской помощи с
профилактической и иными целями, а также
по поводу заболеваний (посещений и
обращений соответственно).
При условии недостижения снижения
вышеуказанных показателей смертности
прикрепленного населения (взрослого и
детского) и (или) выполнения медицинской
организацией менее 90 процентов
указанного объема медицинской помощи,
Комиссия устанавливает понижающие
коэффициенты к размеру стимулирующих
выплат в зависимости от процента
снижения показателей смертности
прикрепленного населения (взрослого и
детского), а также процента выполнения
объемов медицинской помощи.
Объем средств, предусмотренных на
стимулирующие выплаты, не
распределенный между медицинскими
организациями II и III групп в результате
применения вышеуказанных понижающих
коэффициентов к размеру стимулирующих
выплат, распределяется между указанными
медицинскими организациями
пропорционально размеру стимулирующих
выплат с учетом вышеуказанных
понижающих коэффициентов.
Таблица N 1
Показатели результативности
деятельности, порядок их применения и
целевые значения
N |
Наименование показателя |
Предположительный результат |
Индикаторы выполнения показателя <***> |
Макс. балл <**> |
Взрослое население (в возрасте 18 лет и старше) |
19 | |||
Оценка эффективности профилактических мероприятий | ||||
1 |
Доля врачебных посещений с профилактической целью за период от общего числа посещений за период (включая посещения на дому) |
Прирост показателя за период по отношению к показателю за предыдущий период |
Прирост < 3% - 0 баллов; прирост >= 3% - 0,5 балла; прирост >= 7% - 1 балл; значение показателя в текущем периоде выше среднего значения по субъекту Российской Федерации <****> в текущем периоде (далее - выше среднего) - 0,5 балла; в текущем периоде достигнуто максимально возможное значение показателя (далее - максимально возможное значение) - 1 балл |
1 |
2 |
Доля взрослых пациентов с болезнями системы кровообращения, выявленными впервые при профилактических медицинских осмотрах и диспансеризации за период, от общего числа взрослых пациентов с болезнями системы кровообращения с впервые в жизни установленным диагнозом за период |
Прирост показателя за период по отношению к показателю за предыдущий период |
Прирост < 5% - 0 баллов; прирост >= 5% - 1 балл; прирост >= 10% - 2 балла; выше среднего - 1 балл; максимально возможное значение - 2 балла |
2 |
3 |
Доля взрослых пациентов с установленным диагнозом злокачественное новообразование, выявленным впервые при профилактических медицинских осмотрах и диспансеризации за период, от общего числа взрослых пациентов с впервые в жизни установленным диагнозом злокачественное новообразование за период |
Прирост показателя за период по отношению к показателю за предыдущий период |
Прирост < 5% - 0 баллов; прирост >= 5% - 0,5 балла; прирост >= 10% - 1 балл; выше среднего - 0,5 балла; максимально возможное значение - 1 балл |
1 |
4 |
Доля взрослых пациентов с установленным диагнозом хроническая обструктивная болезнь легких, выявленным впервые при профилактических медицинских осмотрах и диспансеризации за период, от общего числа взрослых пациентов с впервые в жизни установленным диагнозом хроническая обструктивная легочная болезнь за период |
Прирост показателя за период по отношению к показателю за предыдущий период |
Прирост < 5% - 0 баллов; прирост >= 5% - 0,5 балла; прирост >= 10% - 1 балл; выше среднего - 0,5 балла; максимально возможное значение - 1 балл |
1 |
5 |
Доля взрослых пациентов с установленным диагнозом сахарный диабет, выявленным впервые при профилактических медицинских осмотрах и диспансеризации за период, от общего числа взрослых пациентов с впервые в жизни установленным диагнозом сахарный диабет за период |
Прирост показателя за период по отношению к показателю за предыдущий период |
Прирост < 5% - 0 баллов; прирост >= 5% - 0,5 балла; прирост >= 10% - 1 балл; выше среднего - 0,5 балла; максимально возможное значение - 1 балл |
1 |
6 |
Выполнение плана вакцинации взрослых граждан против новой коронавирусной инфекции (COVID-19) по эпидемиологическим показаниям (за период) |
Достижение планового показателя |
100% плана или более - 2 балла; выше среднего - 1 балл |
2 |
Оценка эффективности диспансерного наблюдения | ||||
7 |
Доля взрослых пациентов с болезнями системы кровообращения <*>, имеющих высокий риск преждевременной смерти, состоящих под диспансерным наблюдением, от общего числа взрослых пациентов с болезнями системы кровообращения <*>, имеющих высокий риск преждевременной смерти, за период |
Прирост показателя за период по отношению к показателю за предыдущий период |
Прирост < 3% - 0 баллов; прирост >= 3% - 1 балл; прирост >= 7% - 2 балла; выше среднего - 1 балл; максимально возможное значение - 2 балла |
2 |
8 |
Число взрослых пациентов с болезнями системы кровообращения <*>, имеющих высокий риск преждевременной смерти, которым за период оказана медицинская помощь в неотложной форме и (или) скорая медицинская помощь, от общего числа взрослых пациентов с болезнями системы кровообращения <*>, имеющих высокий риск преждевременной смерти, за период |
Уменьшение показателя за период по отношению к показателю в предыдущем периоде |
Уменьшение < 5% - 0 баллов; уменьшение >= 5% - 0,5 балла; уменьшение >= 10% - 1 балл; значение показателя в текущем периоде ниже среднего значения по субъекту Российской Федерации <****> в текущем периоде (далее - ниже среднего) - 0,5 балла; в текущем периоде достигнуто минимально возможное значение показателя (далее - минимально возможное значение) - 1 балл |
1 |
9 |
Доля взрослых пациентов с болезнями системы кровообращения, в отношении которых установлено диспансерное наблюдение за период, от общего числа взрослых пациентов с впервые в жизни установленным диагнозом болезни системы кровообращения за период |
Достижение планового показателя |
100% плана или более - 1 балл; выше среднего - 0,5 балла |
1 |
10 |
Доля взрослых пациентов с установленным диагнозом хроническая обструктивная болезнь легких, в отношении которых установлено диспансерное наблюдение за период, от общего числа взрослых пациентов с впервые в жизни установленным диагнозом хроническая обструктивная болезнь легких за период |
Достижение планового показателя |
100% плана или более - 1 балл; выше среднего - 0,5 балла |
1 |
11 |
Доля взрослых пациентов с установленным диагнозом сахарный диабет, в отношении которых установлено диспансерное наблюдение за период, от общего числа взрослых пациентов с впервые в жизни установленным диагнозом сахарный диабет за период |
Достижение планового показателя |
100% плана или более - 2 балла; выше среднего - 1 балл |
2 |
12 |
Доля взрослых пациентов, госпитализированных за период по экстренным показаниям в связи с обострением (декомпенсацией) состояний, по поводу которых пациент находится под диспансерным наблюдением, от общего числа взрослых пациентов, находящихся под диспансерным наблюдением, за период |
Уменьшение показателя за период по отношению к показателю в предыдущем периоде |
Уменьшение < 5% - 0 баллов; уменьшение >= 5% - 0,5 балла; уменьшение >= 10% - 1 балл; ниже среднего - 0,5 балла; минимально возможное значение - 1 балл |
1 |
13 |
Доля взрослых пациентов, повторно госпитализированных за период по причине заболеваний сердечно-сосудистой системы или их осложнений в течение года с момента предыдущей госпитализации, от общего числа взрослых пациентов, госпитализированных за период по причине заболеваний сердечно-сосудистой системы или их осложнений |
Уменьшение показателя за период по отношению к показателю в предыдущем периоде |
Уменьшение < 3% - 0 баллов; уменьшение >= 3% - 1 балл; уменьшение >= 7% - 2 балла; ниже среднего - 1 балл; минимально возможное значение - 2 балла |
2 |
14 |
Доля взрослых пациентов, находящихся под диспансерным наблюдением по поводу сахарного диабета, у которых впервые зарегистрированы осложнения за период (диабетическая ретинопатия, диабетическая стопа), от общего числа взрослых пациентов, находящихся под диспансерным наблюдением по поводу сахарного диабета, за период |
Уменьшение показателя за период по отношению к показателю в предыдущем периоде |
Уменьшение < 5% - 0 баллов; уменьшение >= 5% - 0,5 балла; уменьшение >= 10% - 1 балл; ниже среднего - 0,5 балла; минимально возможное значение - 1 балл |
1 |
Детское население (от 0 до 17 лет включительно) |
7 | |||
Оценка эффективности профилактических мероприятий и диспансерного наблюдения | ||||
15 |
Охват вакцинацией детей в рамках Национального календаря прививок |
Достижение планового показателя |
100% плана или более - 1 балл; выше среднего - 0,5 балла |
1 |
16 |
Доля детей, в отношении которых установлено диспансерное наблюдение по поводу болезней костно-мышечной системы и соединительной ткани за период, от общего числа детей с впервые в жизни установленными диагнозами болезней костно-мышечной системы и соединительной ткани за период |
Достижение планового показателя |
100% от числа подлежащих диспансерному наблюдению - 1 балл; выше среднего - 0,5 балла |
1 |
17 |
Доля детей, в отношении которых установлено диспансерное наблюдение по поводу болезней глаза и его придаточного аппарата за период, от общего числа детей с впервые в жизни установленными диагнозами болезней глаза и его придаточного аппарата за период |
Достижение планового показателя |
100% от числа подлежащих диспансерному наблюдению - 1 балл; выше среднего - 0,5 балла |
1 |
18 |
Доля детей, в отношении которых установлено диспансерное наблюдение по поводу болезней органов пищеварения за период, от общего числа детей с впервые в жизни установленными диагнозами болезней органов пищеварения за период |
Достижение планового показателя |
100% от числа подлежащих диспансерному наблюдению - 1 балл; выше среднего - 0,5 балла |
1 |
19 |
Доля детей, в отношении которых установлено диспансерное наблюдение по поводу болезней системы кровообращения за период, от общего числа детей с впервые в жизни установленными диагнозами болезней системы кровообращения за период |
Достижение планового показателя |
100% от числа подлежащих диспансерному наблюдению - 2 балла; выше среднего - 1 балл |
2 |
20 |
Доля детей, в отношении которых установлено диспансерное наблюдение по поводу болезней эндокринной системы, расстройства питания и нарушения обмена веществ за период, от общего числа детей с впервые в жизни установленными диагнозами болезней эндокринной системы, расстройства питания и нарушения обмена веществ за период |
Достижение планового показателя |
100% от числа подлежащих диспансерному наблюдению - 1 балл; выше среднего - 0,5 балла |
1 |
Оказание акушерско-гинекологической помощи |
6 | |||
Оценка эффективности профилактических мероприятий | ||||
21 |
Доля женщин, отказавшихся от искусственного прерывания беременности, от числа женщин, прошедших доабортное консультирование за период |
Прирост показателя за период по отношению к показателю за предыдущий период |
Прирост < 5% - 0 баллов; прирост >= 5% - 0,5 балла; прирост >= 10% - 1 балл; выше среднего - 0,5 балла; максимально возможное значение - 1 балл |
1 |
22 |
Доля беременных женщин, вакцинированных против новой коронавирусной инфекции (COVID-19) за период, от числа женщин, состоящих на учете по беременности и родам на начало периода |
Достижение планового показателя |
100% плана или более - 1 балл; выше среднего - 0,5 балла |
1 |
23 |
Доля женщин с установленным диагнозом злокачественное новообразование шейки матки, выявленным впервые при диспансеризации, от общего числа женщин с установленным диагнозом злокачественное новообразование шейки матки за период |
Прирост показателя за период по отношению к показателю за предыдущий период |
Прирост < 5% - 0 баллов; прирост >= 5% - 0,5 балла; прирост >= 10% - 1 балл; выше среднего - 0,5 балла; максимально возможное значение - 1 балл |
1 |
24 |
Доля женщин с установленным диагнозом злокачественное новообразование молочной железы, выявленным впервые при диспансеризации, от общего числа женщин с установленным диагнозом злокачественное новообразование молочной железы за период |
Прирост показателя за период по отношению к показателю за предыдущий период |
Прирост < 5% - 0 баллов; прирост >= 5% - 0,5 балла; прирост >= 10% - 1 балл; выше среднего - 0,5 балла; максимально возможное значение - 1 балл |
1 |
25 |
Доля беременных женщин, прошедших скрининг в части оценки антенатального развития плода за период, от общего числа женщин, состоявших на учете по поводу беременности и родов за период |
Достижение планового показателя |
100% плана или более - 2 балла; выше среднего - 1 балл |
2 |
* По набору кодов Международной
статистической классификации болезней и
проблем, связанных со здоровьем,
десятого пересмотра (МКБ-10).
** По решению Комиссии
рекомендуемые значения максимальных
баллов и их количество могут быть
пересмотрены для учреждений, которые
оказывают помощь женщинам и детскому
населению (отдельные юридические лица).
*** Выполненным считается
показатель со значением 0,5 и более
баллов. В случае если медицинская
организация удовлетворяет нескольким
критериям для начисления баллов -
присваивается максимальный из возможных
для начисления балл. В случае, если
значение, указанное в знаменателе
соответствующих формул, приведенных в
Таблице N 2, равняется нулю, баллы по
показателю не начисляются, а указанный
показатель (по решению субъекта
Российской Федерации) может исключаться
из числа применяемых показателей при
расчете доли достигнутых показателей
результативности для медицинской
организации за период.
**** Среднее значение по городу
Севастополю по показателям
рекомендуется рассчитывать на основании
сведений об оказании медицинской помощи
медицинскими организациями, имеющими
прикрепленное население, оплата
медицинской помощи в которых
осуществляется по подушевому нормативу
финансирования, путем деления суммы
значений, указанных в числителе
соответствующих формул, приведенных в
Таблице N 2, на сумму значений, указанных в
знаменателе соответствующих формул,
приведенных в Таблице N 2. Полученное
значение умножается на 100 по аналогии с
алгоритмом, описанным в Таблице N 2.
Минимально возможным значением
показателя является значение "0".
Максимально возможным значением
показателя "100 процентов".
К группам диагнозов,
обусловливающих высокий риск смерти,
целесообразно относить любое сочетание
сопутствующих заболеваний и осложнений
с основным диагнозом, указанных в
таблице:
Основной диагноз |
Сопутствующие заболевания |
Осложнение заболевания |
Ишемические болезни сердца I20 - I25 |
Сахарный диабет E10 - E11 |
Недостаточность сердечная I50.0 - I50.9 |
Гипертензивные болезни I10 - I11; I12 - I13 |
Хроническая обструктивная легочная болезнь J44.0 - J44.9 |
Нарушение ритма I48 - 49 Нарушения проводимости I44 - I45 |
Цереброваскулярные болезни I60 - I69 |
Хроническая болезнь почек, гипертензивная болезнь с поражением почек N18.1 - N18.9 |
Сердце легочное хроническое I27.9 Гипостатическая пневмония J18.2 Недостаточность почечная N18.9 Уремия N19 Гангрена R02 Недостаточность легочная J98.4 Эмфизема J43.9 |
Таблица N 2
Методика расчета значений показателей
результативности деятельности
медицинских организаций
N |
Наименование показателя |
Формула расчета <**> |
Единицы измерения |
Источник |
Взрослое население (в возрасте 18 лет и старше) | ||||
Оценка эффективности профилактических мероприятий | ||||
1. |
Доля врачебных посещений с профилактической целью за период от общего числа посещений за период (включая посещения на дому) |
где: Dprof - доля врачебных посещений с профилактической целью за период от общего числа посещений за период (включая посещения на дому), выраженное в процентах; Pprof - число врачебных посещений с профилактической целью за период; Pvs - посещений за период (включая посещения на дому); Oz - общее число обращений за отчетный период; k - коэффициент перевода обращений в посещения |
Процент |
Источником информации являются реестры оказанной медицинской помощи застрахованным лицам за исключением посещений стоматологического профиля. Отбор информации для расчета показателей осуществляется по полям реестра: - дата окончания лечения; - цель посещения |
2. |
Доля взрослых пациентов с болезнями системы кровообращения, выявленными впервые при профилактических медицинских осмотрах и диспансеризации за период, от общего числа взрослых пациентов с болезнями системы кровообращения с впервые в жизни установленным диагнозом за период |
где: Dбск - доля взрослых пациентов с болезнями системы кровообращения, выявленными впервые при профилактических медицинских осмотрах и диспансеризации за период, от общего числа взрослых пациентов с болезнями системы кровообращения с впервые в жизни установленным диагнозом за период; BSKдисп - число взрослых пациентов с болезнями системы кровообращения, выявленными впервые при профилактических медицинских осмотрах и диспансеризации за период; BSKвп - общее число взрослых пациентов с болезнями системы кровообращения с впервые в жизни установленным диагнозом за период |
Процент |
Источником информации являются реестры оказанной медицинской помощи застрахованным лицам. Отбор информации для расчета показателей осуществляется по полям реестра: - дата окончания лечения; - диагноз основной; - впервые выявлено (основной); - характер заболевания; - цель посещения; - дата рождения |
3. |
Доля взрослых пациентов с установленным диагнозом злокачественное новообразование, выявленным впервые при профилактических медицинских осмотрах и диспансеризации за период, от общего числа взрослых пациентов с впервые в жизни установленным диагнозом злокачественное новообразование за период |
где: Dзно - доля взрослых пациентов с установленным диагнозом злокачественное новообразование, выявленным впервые при профилактических медицинских осмотрах и диспансеризации за период, от общего числа взрослых пациентов с впервые в жизни установленным диагнозом злокачественное новообразование за период; ZNOдисп - число взрослых пациентов с установленным диагнозом злокачественное новообразование, выявленным впервые при профилактических медицинских осмотрах и диспансеризации за период; ZNOвп - общее число взрослых пациентов с впервые в жизни установленным диагнозом злокачественное новообразование за период |
Процент |
Расчет показателя осуществляется путем отбора информации по полям реестра формата Д3 "Файл со сведениями об оказанной медицинской помощи при диспансеризации", предусматривает поле реестра "признак подозрения на злокачественное новообразование". Движение пациента отслеживается по формату реестра Д4 "Файл со сведениями при осуществлении персонифицированного учета оказанной медицинской помощи при подозрении на злокачественное новообразование или установленном диагнозе злокачественного новообразования": - диагноз основной, - характер основного заболевания |
4. |
Доля взрослых пациентов с установленным диагнозом хроническая обструктивная болезнь легких, выявленным впервые при профилактических медицинских осмотрах и диспансеризации за период, от общего числа взрослых пациентов с впервые в жизни установленным диагнозом хроническая обструктивная легочная болезнь за период |
где: Dхобл - доля взрослых пациентов с установленным диагнозом хроническая обструктивная болезнь легких, выявленным впервые при профилактических медицинских осмотрах и диспансеризации за период, от общего числа взрослых пациентов с впервые в жизни установленным диагнозом хроническая обструктивная легочная болезнь за период; Hдисп - число взрослых пациентов с установленным диагнозом хроническая обструктивная болезнь легких, выявленным впервые при профилактических медицинских осмотрах и диспансеризации за период; Hвп - общее число взрослых пациентов с впервые в жизни установленным диагнозом хроническая обструктивная легочная болезнь за период |
Процент |
Источником информации являются реестры оказанной медицинской помощи застрахованным лицам. Отбор информации для расчета показателей осуществляется по полям реестра: - дата окончания лечения; - диагноз основной; - впервые выявлено (основной); - характер заболевания; - цель посещения; - дата рождения |
5. |
Доля взрослых пациентов с установленным диагнозом сахарный диабет, выявленным впервые при профилактических медицинских осмотрах и диспансеризации за период, от общего числа взрослых пациентов с впервые в жизни установленным диагнозом сахарный диабет за период |
где: Dсд - доля взрослых пациентов с установленным диагнозом сахарный диабет, выявленным впервые при профилактических медицинских осмотрах и диспансеризации за период, от общего числа взрослых пациентов с впервые в жизни установленным диагнозом сахарный диабет за период; SDдисп - число взрослых пациентов с установленным диагнозом сахарный диабет, выявленным впервые при профилактических медицинских осмотрах и диспансеризации за период; SDвп - общее число взрослых пациентов с впервые в жизни установленным диагнозом сахарный диабет за период |
Процент |
Источником информации являются реестры оказанной медицинской помощи застрахованным лицам. Отбор информации для расчета показателей осуществляется по полям реестра: - дата окончания лечения; - диагноз основной; - впервые выявлено (основной); - характер заболевания; - цель посещения; - дата рождения |
6. |
Выполнение плана вакцинации взрослых граждан по эпидемиологическим показаниям за период (коронавирусная инфекция COVID-19) |
где: Vvэпид - процент выполнения плана вакцинации взрослых граждан по эпидемиологическим показаниям за период (коронавирусная инфекция COVID-19); Fvэпид - фактическое число взрослых граждан, вакцинированных от коронавирусной инфекции COVID-19 в отчетном периоде; Pvэпид - число граждан, подлежащих, вакцинации по эпидемиологическим показаниям за период (коронавирусная инфекция COVID-19) |
Процент |
Источником информации являются сведения органов государственной власти субъектов Российской Федерации в сфере охраны здоровья, соотносимые с данными федерального регистра вакцинированных |
Оценка эффективности диспансерного наблюдения | ||||
7. |
Доля взрослых пациентов с болезнями системы кровообращения <*>, имеющих высокий риск преждевременной смерти, состоящих под диспансерным наблюдением, от общего числа взрослых пациентов с болезнями системы кровообращения <*>, имеющих высокий риск преждевременной смерти, за период |
где: DNриск - доля взрослых пациентов с болезнями системы кровообращения <*>, имеющих высокий риск преждевременной смерти, состоящих под диспансерным наблюдением, от общего числа взрослых пациентов с болезнями системы кровообращения <*>, имеющих высокий риск преждевременной смерти, за период; Rдн - число взрослых пациентов с болезнями системы кровообращения <*>, имеющих высокий риск преждевременной смерти, состоящих под диспансерным наблюдением; Rвп - общее числа взрослых пациентов с болезнями системы кровообращения <*>, имеющих высокий риск преждевременной смерти, обратившихся за медицинской помощью за период |
На 100 пациентов |
Расчет показателя осуществляется путем отбора информации по полям реестра в формате Д1 "Файл со сведениями об оказанной медицинской помощи за период, кроме ВМП, диспансеризации, профилактических медицинских осмотров, медицинской помощи при подозрении на ЗНО": - дата окончания лечения; - результат обращения; - диагноз основной; - диагноз сопутствующего заболевания; - диагноз осложнения заболевания; - диспансерное наблюдение |
8. |
Число взрослых пациентов с болезнями системы кровообращения <*>, имеющих высокий риск преждевременной смерти, которым за период оказана медицинская помощь в неотложной форме и (или) скорая медицинская помощь, от общего числа взрослых пациентов с болезнями системы кровообращения <*>, имеющих высокий риск преждевременной смерти, за период |
где: Sриск - число взрослых пациентов с болезнями системы кровообращения <*>, имеющих высокий риск преждевременной смерти, которым за период оказана медицинская помощь в неотложной форме и (или) скорая медицинская помощь, от общего числа взрослых пациентов с болезнями системы кровообращения <*>, имеющих высокий риск преждевременной смерти, за период; Vриск - число взрослых пациентов с болезнями системы кровообращения <*>, имеющих высокий риск преждевременной смерти, которым за период оказана медицинская помощь в неотложной форме и (или) скорая медицинская помощь по поводу болезней системы кровообращения <*>, приводящих к высокому риску преждевременной смертности; Dриск - общее число взрослых пациентов с болезнями системы кровообращения <*>, имеющих высокий риск преждевременной смерти, обратившихся за медицинской помощью за период |
На 100 пациентов |
Расчет показателя осуществляется путем отбора информации по полям реестра в формате Д1 "Файл со сведениями об оказанной медицинской помощи, кроме ВМП, диспансеризации, профилактических медицинских осмотров, медицинской помощи при подозрении на ЗНО": - дата окончания лечения; - результат обращения; - диагноз основной; - диагноз сопутствующего заболевания; - диагноз осложнения заболевания; - диспансерное наблюдение; - условия оказания медицинской помощи; - форма оказания медицинской помощи |
9. |
Доля взрослых пациентов с болезнями системы кровообращения, в отношении которых установлено диспансерное наблюдение за период, от общего числа взрослых пациентов с впервые в жизни установленным диагнозом болезни системы кровообращения за период |
где: DNбск - доля взрослых пациентов с болезнями системы кровообращения, в отношении которых установлено диспансерное наблюдение за период, от общего числа взрослых пациентов с впервые в жизни установленным диагнозом болезни системы кровообращения за период; BSKдн - число взрослых пациентов с болезнями системы кровообращения, в отношении которых установлено диспансерное наблюдение за период; BSKвп - общее число взрослых пациентов с впервые в жизни установленным диагнозом болезни системы кровообращения за период |
Процент |
Источником информации являются реестры оказанной медицинской помощи застрахованным лицам. Отбор информации для расчета показателей осуществляется по полям реестра: - дата постановки на диспансерный учет; - диагноз основной; - возраст пациента; - характер заболевания; - впервые выявлено (основной); - дата рождения. Источником информации является информационный ресурс территориального фонда в части сведений о лицах, состоящих под диспансерным наблюдением (гл. 15 Приказа 108н МЗ РФ) |
10. |
Доля взрослых пациентов с установленным диагнозом хроническая обструктивная болезнь легких, в отношении которых установлено диспансерное наблюдение за период, от общего числа взрослых пациентов с впервые в жизни установленным диагнозом хроническая обструктивная болезнь легких за период |
где: DNхобл - доля взрослых пациентов с установленным диагнозом хроническая обструктивная болезнь легких, в отношении которых установлено диспансерное наблюдение за период, от общего числа взрослых пациентов с впервые в жизни установленным диагнозом хроническая обструктивная болезнь легких за период; Hдн - число взрослых пациентов с установленным диагнозом хроническая обструктивная болезнь легких, в отношении которых установлено диспансерное наблюдение за период; Hвп - общее число взрослых пациентов с впервые в жизни установленным диагнозом хроническая обструктивная болезнь легких за период |
Процент |
Источником информации являются реестры оказанной медицинской помощи застрахованным лицам. Отбор информации для расчета показателей осуществляется по полям реестра: - дата постановки на диспансерный учет; - диагноз основной; - возраст пациента; - характер заболевания; - впервые выявлено (основной); - дата рождения. Источником информации является информационный ресурс территориального фонда в части сведений о лицах, состоящих под диспансерным наблюдением (гл. 15 Приказа 108н МЗ РФ) |
11. |
Доля взрослых пациентов с установленным диагнозом сахарный диабет, в отношении которых установлено диспансерное наблюдение за период, от общего числа взрослых пациентов с впервые в жизни установленным диагнозом сахарный диабет за период |
где: DNсд - доля взрослых пациентов с установленным диагнозом сахарный диабет, в отношении которых установлено диспансерное наблюдение за период, от общего числа взрослых пациентов с впервые в жизни установленным диагнозом сахарный диабет за период; SDдн - число взрослых пациентов с установленным диагнозом сахарный диабет, в отношении которых установлено диспансерное наблюдение за период; SDвп - общее число взрослых пациентов с впервые в жизни установленным диагнозом сахарный диабет за период |
Процент |
Источником информации являются реестры оказанной медицинской помощи застрахованным лицам. Отбор информации для расчета показателей осуществляется по полям реестра: - дата постановки на диспансерный учет; - диагноз основной; - возраст пациента; - характер заболевания; - впервые выявлено (основной); - дата рождения. Источником информации является информационный ресурс территориального фонда в части сведений о лицах, состоящих под диспансерным наблюдением (гл. 15 Приказа 108н МЗ РФ) |
12. |
Доля взрослых пациентов, госпитализированных за период по экстренным показаниям в связи с обострением (декомпенсацией) состояний, по поводу которых пациент находится под диспансерным наблюдением, от общего числа взрослых пациентов, находящихся под диспансерным наблюдением за период |
где: Hвсего - доля взрослых пациентов, госпитализированных за период по экстренным показаниям в связи с обострением (декомпенсацией) состояний, по поводу которых пациент находится под диспансерным наблюдением, от общего числа взрослых пациентов, находящихся под диспансерным наблюдением за период; Oвсего - число взрослых пациентов, госпитализированных за период по экстренным показаниям в связи с обострением (декомпенсацией) состояний, по поводу которых пациент находится под диспансерным наблюдением; Dnвсего - общее число взрослых пациентов, находящихся под диспансерным наблюдением за период |
Процент |
Источником информации является информационный ресурс территориального фонда в части сведений о лицах, состоящих под диспансерным наблюдением (гл. 15 Приказа 108н МЗ РФ). Источником информации являются реестры (стационар) оказанной медицинской помощи застрахованным лицам. Отбор информации для расчета показателей осуществляется по полям реестра: - дата окончания лечения; - диагноз основной; - диагноз сопутствующий; - диагноз осложнений; - характер заболевания; - форма оказания медицинской помощи |
13. |
Доля взрослых пациентов, повторно госпитализированных за период по причине заболеваний сердечно-сосудистой системы или их осложнений в течение года с момента предыдущей госпитализации, от общего числа взрослых пациентов, госпитализированных за период по причине заболеваний сердечно-сосудистой системы или их осложнений |
где: Pбск - доля взрослых пациентов, повторно госпитализированных за период по причине заболеваний сердечно-сосудистой системы или их осложнений в течение года с момента предыдущей госпитализации, от общего числа взрослых пациентов, госпитализированных за период по причине заболеваний сердечно-сосудистой системы или их осложнений; PHбск - число взрослых пациентов, повторно госпитализированных за период по причине заболеваний сердечно-сосудистой системы или их осложнений в течение года с момента предыдущей госпитализации; Hбск - общее число взрослых пациентов, госпитализированных за период по причине заболеваний сердечно-сосудистой системы или их осложнений |
Процент |
Источником информации являются реестры (стационар) оказанной медицинской помощи застрахованным лицам. Отбор информации для расчета показателей осуществляется по полям реестра: - дата начала лечения; - диагноз основной; - диагноз сопутствующий; - диагноз осложнений; - характер заболевания; - форма оказания медицинской помощи |
14. |
Доля взрослых пациентов, находящихся под диспансерным наблюдением по поводу сахарного диабета, у которых впервые зарегистрированы осложнения за период (диабетическая ретинопатия, диабетическая стопа), от общего числа взрослых пациентов, находящихся под диспансерным наблюдением по поводу сахарного диабета за период |
где: SD - доля взрослых пациентов, находящихся под диспансерным наблюдением по поводу сахарного диабета, у которых впервые зарегистрированы осложнения за период (диабетическая ретинопатия, диабетическая стопа), от общего числа взрослых пациентов, находящихся под диспансерным наблюдением по поводу сахарного диабета за период; Osl - число взрослых пациентов, находящихся под диспансерным наблюдением по поводу сахарного диабета, у которых впервые зарегистрированы осложнения за период (диабетическая ретинопатия, диабетическая стопа); SD - общее число взрослых пациентов, находящихся под диспансерным наблюдением по поводу сахарного диабета за период |
Процент |
Источником информации является информационный ресурс территориального фонда в части сведений о лицах, состоящих под диспансерным наблюдением (гл. 15 Приказа 108н МЗ РФ). Источником информации являются реестры оказанной медицинской помощи застрахованным лицам. Отбор информации для расчета показателей осуществляется по полям реестра: - дата окончания лечения; - диагноз основной; - диагноз сопутствующий; - впервые выявлено (основной); - характер заболевания; - цель посещения |
Детское население (от 0 до 17 лет включительно) | ||||
Оценка эффективности профилактических мероприятий и диспансерного наблюдения | ||||
15. |
Охват вакцинацией детей в рамках Национального календаря прививок |
где: Vdнац - процент охвата вакцинацией детей в рамках Национального календаря прививок в отчетном периоде; Fdнац - фактическое число вакцинированных детей в рамках Национального календаря прививок в отчетном периоде; Pdнац - число детей соответствующего возраста (согласно Национальному календарю прививок) на начало отчетного периода |
Процент |
Источником информации являются данные органов государственной власти субъектов Российской Федерации в сфере охраны здоровья, предоставляемые на бумажных носителях |
16. |
Доля детей, в отношении которых установлено диспансерное наблюдение по поводу болезней костно-мышечной системы и соединительной ткани за период, от общего числа детей с впервые в жизни установленными диагнозами болезней костно-мышечной системы и соединительной ткани за период |
где: Ddkms - доля детей, в отношении которых установлено диспансерное наблюдение по поводу болезней костно-мышечной системы и соединительной ткани за период, от общего числа детей с впервые в жизни установленными диагнозами болезней костно-мышечной системы и соединительной ткани за период; Cdkms - число детей, в отношении которых установлено диспансерное наблюдение по поводу болезней костно-мышечной системы и соединительной ткани за период; Cpkms - общее число детей с впервые в жизни установленными диагнозами болезней костно-мышечной системы и соединительной ткани за период |
Процент |
Источником информации являются реестры оказанной медицинской помощи застрахованным лицам. Отбор информации для расчета показателей осуществляется по полям реестра: - дата рождения; - дата окончания лечения; - диагноз основной; - впервые выявлено (основной); - характер заболевания; - цель посещения |
17. |
Доля детей, в отношении которых установлено диспансерное наблюдение по поводу болезней глаза и его придаточного аппарата за период, от общего числа детей с впервые в жизни установленными диагнозами болезней глаза и его придаточного аппарата за период |
где: Ddgl - доля детей, в отношении которых установлено диспансерное наблюдение по поводу болезней глаза и его придаточного аппарата за период, от общего числа детей с впервые в жизни установленными диагнозами болезней глаза и его придаточного аппарата за период; Cdgl - число детей, в отношении которых установлено диспансерное наблюдение по поводу болезней глаза и его придаточного аппарата за период; Cpgl - общее число детей с впервые в жизни установленными диагнозами болезней глаза и его придаточного аппарата за период |
Процент |
Источником информации являются реестры оказанной медицинской помощи застрахованным лицам. Отбор информации для расчета показателей осуществляется по полям реестра: - дата рождения; - дата окончания лечения; - диагноз основной; - впервые выявлено (основной); - характер заболевания; - цель посещения |
18. |
Доля детей, в отношении которых установлено диспансерное наблюдение по поводу болезней органов пищеварения за период, от общего числа детей с впервые в жизни установленными диагнозами болезней органов пищеварения за период |
где: Dbop - доля детей, в отношении которых установлено диспансерное наблюдение по поводу болезней органов пищеварения за период, от общего числа детей с впервые в жизни установленными диагнозами болезней органов пищеварения за период; Cdbop - число детей, в отношении которых установлено диспансерное наблюдение по поводу болезней органов пищеварения за период; Cpbop - общее число детей с впервые в жизни установленными диагнозами болезней органов пищеварения за период |
Процент |
Источником информации являются реестры оказанной медицинской помощи застрахованным лицам. Отбор информации для расчета показателей осуществляется по полям реестра: - дата рождения; - дата окончания лечения; - диагноз основной; - впервые выявлено (основной); - характер заболевания; - цель посещения |
19. |
Доля детей, в отношении которых установлено диспансерное наблюдение по поводу болезней системы кровообращения за период, от общего числа детей с впервые в жизни установленными диагнозами болезней системы кровообращения за период |
где: Ddbsk - доля детей, в отношении которых установлено диспансерное наблюдение по поводу болезней системы кровообращения за период, от общего числа детей с впервые в жизни установленными диагнозами болезней системы кровообращения за период; Cdbsk - число детей, в отношении которых установлено диспансерное наблюдение по поводу болезней системы кровообращения за период; Cpbsk - общее число детей с впервые в жизни установленными диагнозами болезней системы кровообращения за период |
Процент |
Источником информации являются реестры оказанной медицинской помощи застрахованным лицам. Отбор информации для расчета показателей осуществляется по полям реестра: - дата рождения; - дата окончания лечения; - диагноз основной; - впервые выявлено (основной); - характер заболевания; - цель посещения |
20. |
Доля детей, в отношении которых установлено диспансерное наблюдение по поводу болезней эндокринной системы, расстройства питания и нарушения обмена веществ за период, от общего числа детей с впервые в жизни установленными диагнозами болезней эндокринной системы, расстройства питания и нарушения обмена веществ за период |
где: Ddbes - доля детей в отношении которых установлено диспансерное наблюдение по поводу болезней эндокринной системы, расстройства питания и нарушения обмена веществ за период, от общего числа детей с впервые в жизни установленными диагнозами болезней эндокринной системы, расстройства питания и нарушения обмена веществ за период; Cdbes - число детей, в отношении которых установлено диспансерное наблюдение по поводу болезней эндокринной системы, расстройства питания и нарушения обмена веществ за период; Cpbes - общее число детей с впервые в жизни установленными диагнозами болезней эндокринной системы, расстройства питания и нарушения обмена веществ за период |
Процент |
Источником информации являются реестры оказанной медицинской помощи застрахованным лицам. Отбор информации для расчета показателей осуществляется по полям реестра: - дата рождения; - дата окончания лечения; - диагноз основной; - впервые выявлено (основной); - характер заболевания; - цель посещения |
Оказание акушерско-гинекологической помощи | ||||
Оценка эффективности профилактических мероприятий | ||||
21. |
Доля женщин, отказавшихся от искусственного прерывания беременности, от числа женщин, прошедших доабортное консультирование за период |
где: W - доля женщин, отказавшихся от искусственного прерывания беременности, от числа женщин, прошедших доабортное консультирование за период; Kотк - число женщин, отказавшихся от искусственного прерывания беременности; K - общее число женщин, прошедших доабортное консультирование за период |
Процент |
Источником информации являются данные органов государственной власти субъектов Российской Федерации в сфере охраны здоровья, предоставляемые на бумажных носителях |
22. |
Доля беременных женщин, вакцинированных от коронавирусной инфекции COVID-19 за период, от числа женщин, состоящих на учете по беременности и родам на начало периода |
где: Vbcovid - доля беременных женщин, вакцинированных от коронавирусной инфекции COVID-19 за период, от числа женщин, состоящих на учете по беременности и родам на начало периода; Fbcovid - фактическое число беременных женщин, вакцинированных от коронавирусной инфекции COVID-19 за период; Pbcovid - число женщин, состоящих на учете по беременности и родам на начало периода |
Процент |
Источником информации являются данные органов государственной власти субъектов Российской Федерации в сфере охраны здоровья, предоставляемые на бумажных носителях (Pbcovid), и данные федерального регистра вакцинированных (Fbcovid) |
23. |
Доля женщин с установленным диагнозом злокачественное новообразование шейки матки, выявленным впервые при диспансеризации, от общего числа женщин с установленным диагнозом злокачественное новообразование шейки матки за период |
где: Zшм - доля женщин с установленным диагнозом злокачественное новообразование шейки матки, выявленным впервые при диспансеризации, от общего числа женщин с установленным диагнозом злокачественное новообразование шейки матки за период; Aшм - число женщин с установленным диагнозом злокачественное новообразование шейки матки, выявленным впервые при диспансеризации; Vшм - общее число женщин с установленным диагнозом злокачественное новообразование шейки матки за период |
Процент |
Расчет показателя производится путем отбора информации по полям реестра формата Д3 "Файл со сведениями об оказанной медицинской помощи при диспансеризации" предусматривает поле реестра: - признак подозрения на злокачественное новообразование. В дальнейшем движение пациента возможно отследить по формату Д4. Файл со сведениями при осуществлении персонифицированного учета оказанной медицинской помощи при подозрении на злокачественное новообразование или установленном диагнозе злокачественного новообразования: - диагноз основной, - характер основного заболевания |
24. |
Доля женщин с установленным диагнозом злокачественное новообразование молочной железы, выявленным впервые при диспансеризации, от общего числа женщин с установленным диагнозом злокачественное новообразование молочной железы за период |
где: Zмж - доля женщин с установленным диагнозом злокачественное новообразование молочной железы, выявленным впервые при диспансеризации, от общего числа женщин с установленным диагнозом злокачественное новообразование молочной железы за период; Aмж - число женщин с установленным диагнозом злокачественное новообразование молочной железы, выявленным впервые при диспансеризации; Vмж - общее число женщин с установленным диагнозом злокачественное новообразование молочной железы за период |
Процент |
Расчет осуществляется путем отбора информации по полям реестра формата Д3 "Файл со сведениями об оказанной медицинской помощи при диспансеризации" предусматривает поле реестра: - признак подозрения на злокачественное новообразование. В дальнейшем движение пациента возможно отследить по формату Д4. Файл со сведениями при осуществлении персонифицированного учета оказанной медицинской помощи при подозрении на злокачественное новообразование или установленном диагнозе злокачественного новообразования: - диагноз основной, - характер основного заболевания |
25. |
Доля беременных женщин, прошедших скрининг в части оценки антенатального развития плода за период, от общего числа женщин, состоявших на учете по поводу беременности и родов за период |
где: B - доля беременных женщин, прошедших скрининг в части оценки антенатального развития плода за период, от общего числа женщин, состоявших на учете по поводу беременности и родов за период; S - число беременных женщин, прошедших скрининг в части оценки антенатального развития плода при сроке беременности 11 - 14 недель (УЗИ и определение материнских сывороточных маркеров) и 19 - 21 неделя (УЗИ), с родоразрешением за период; U - общее число женщин, состоявших на учете по поводу беременности и родов за период, с родоразрешением за период |
Процент |
Источником информации являются данные органов государственной власти субъектов Российской Федерации в сфере охраны здоровья, предоставляемые на бумажных носителях |
* По набору кодов Международной
статистической классификации болезней и
проблем, связанных со здоровьем,
десятого пересмотра (МКБ-10).
** В условиях распространения новой
коронавирусной инфекции (COVID-19) методика
расчета показателя может быть
скорректирована на предмет исключения
из расчета периода, когда деятельность
медицинской организации (в части
соответствующего направления
деятельности) была приостановлена
приказом руководителя медицинской
организации за отчетный и предыдущий год
соответственно, путем пересчета к
годовому значению.
Таблица N 3
Перечень медицинских организаций (групп медицинских организаций) с указанием показателей результативности, применяемых для указанных медицинских организаций (групп медицинских организаций)
N |
Наименование показателя |
ГБУЗС "Городская больница N 1" |
ГБУЗС "Городская больница N 4" |
ГБУЗС "Городская больница N 5" |
ГБУЗС "Севастопольская городская больница N 9" |
ЧВВМУ им. П.С. Нахимова |
Блок 1. Взрослое население (в возрасте 18 лет и старше) | ||||||
Оценка эффективности профилактических мероприятий | ||||||
1 |
Доля врачебных посещений с профилактической целью за период от общего числа посещений за период (включая посещения на дому) |
+ |
+ |
|
+ |
+ |
2 |
Доля взрослых пациентов с болезнями системы кровообращения, выявленными впервые при профилактических медицинских осмотрах и диспансеризации за период, от общего числа взрослых пациентов с болезнями системы кровообращения с впервые в жизни установленным диагнозом за период |
+ |
+ |
|
+ |
+ |
3 |
Доля взрослых пациентов с установленным диагнозом злокачественное новообразование, выявленным впервые при профилактических медицинских осмотрах и диспансеризации за период, от общего числа взрослых пациентов с впервые в жизни установленным диагнозом злокачественное новообразование за период |
+ |
+ |
|
+ |
+ |
4 |
Доля взрослых пациентов с установленным диагнозом хроническая обструктивная болезнь легких, выявленным впервые при профилактических медицинских осмотрах и диспансеризации за период, от общего числа взрослых пациентов с впервые в жизни установленным диагнозом хроническая обструктивная легочная болезнь за период |
+ |
+ |
|
+ |
+ |
5 |
Доля взрослых пациентов с установленным диагнозом сахарный диабет, выявленным впервые при профилактических медицинских осмотрах и диспансеризации за период, от общего числа взрослых пациентов с впервые в жизни установленным диагнозом сахарный диабет за период |
+ |
+ |
|
+ |
+ |
6 |
Выполнение плана вакцинации взрослых граждан по эпидемиологическим показаниям за период (коронавирусная инфекция COVID-19) |
+ |
+ |
|
+ |
+ |
Оценка эффективности диспансерного наблюдения | ||||||
7 |
Доля взрослых пациентов с болезнями системы кровообращения <*>, имеющих высокий риск преждевременной смерти, состоящих под диспансерным наблюдением, от общего числа взрослых пациентов с болезнями системы кровообращения <*>, имеющих высокий риск преждевременной смерти, за период |
+ |
+ |
|
+ |
+ |
8 |
Число взрослых пациентов с болезнями системы кровообращения <*>, имеющих высокий риск преждевременной смерти, которым за период оказана медицинская помощь в неотложной форме и (или) скорая медицинская помощь, от общего числа взрослых пациентов с болезнями системы кровообращения <*>, имеющих высокий риск преждевременной смерти, за период |
+ |
+ |
|
+ |
+ |
9 |
Доля взрослых пациентов с болезнями системы кровообращения, в отношении которых установлено диспансерное наблюдение за период, от общего числа взрослых пациентов с впервые в жизни установленным диагнозом болезни системы кровообращения за период |
+ |
+ |
|
+ |
+ |
10 |
Доля взрослых пациентов с установленным диагнозом хроническая обструктивная болезнь легких, в отношении которых установлено диспансерное наблюдение за период, от общего числа взрослых пациентов с впервые в жизни установленным диагнозом хроническая обструктивная болезнь легких за период |
+ |
+ |
|
+ |
+ |
11 |
Доля взрослых пациентов с установленным диагнозом сахарный диабет, в отношении которых установлено диспансерное наблюдение за период, от общего числа взрослых пациентов с впервые в жизни установленным диагнозом сахарный диабет за период |
+ |
+ |
|
+ |
+ |
12 |
Доля взрослых пациентов, госпитализированных за период по экстренным показаниям в связи с обострением (декомпенсацией) состояний, по поводу которых пациент находится под диспансерным наблюдением, от общего числа взрослых пациентов, находящихся под диспансерным наблюдением за период |
+ |
+ |
|
+ |
+ |
13 |
Доля взрослых пациентов, повторно госпитализированных за период по причине заболеваний сердечно-сосудистой системы или их осложнений в течение года с момента предыдущей госпитализации, от общего числа взрослых пациентов, госпитализированных за период по причине заболеваний сердечно-сосудистой системы или их осложнений |
+ |
+ |
|
+ |
+ |
14 |
Доля взрослых пациентов, находящихся под диспансерным наблюдением по поводу сахарного диабета, у которых впервые зарегистрированы осложнения за период (диабетическая ретинопатия, диабетическая стопа), от общего числа взрослых пациентов, находящихся под диспансерным наблюдением по поводу сахарного диабета за период |
+ |
+ |
|
+ |
+ |
Блок 2. Детское население (от 0 до 17 лет включительно) | ||||||
Оценка эффективности профилактических мероприятий | ||||||
15 |
Охват вакцинацией детей в рамках Национального календаря прививок |
|
+ |
+ |
+ |
|
16 |
Доля детей, в отношении которых установлено диспансерное наблюдение по поводу болезней костно-мышечной системы и соединительной ткани за период, от общего числа детей с впервые в жизни установленными диагнозами болезней костно-мышечной системы и соединительной ткани за период |
|
+ |
+ |
+ |
|
17 |
Доля детей, в отношении которых установлено диспансерное наблюдение по поводу болезней глаза и его придаточного аппарата за период, от общего числа детей с впервые в жизни установленными диагнозами болезней глаза и его придаточного аппарата за период |
|
+ |
+ |
+ |
|
18 |
Доля детей, в отношении которых установлено диспансерное наблюдение по поводу болезней органов пищеварения за период, от общего числа детей с впервые в жизни установленными диагнозами болезней органов пищеварения за период |
|
+ |
+ |
+ |
|
19 |
Доля детей, в отношении которых установлено диспансерное наблюдение по поводу болезней системы кровообращения за период, от общего числа детей с впервые в жизни установленными диагнозами болезней системы кровообращения за период |
|
+ |
+ |
+ |
|
20 |
Доля детей, в отношении которых установлено диспансерное наблюдение по поводу болезней эндокринной системы, расстройства питания и нарушения обмена веществ за период, от общего числа детей с впервые в жизни установленными диагнозами болезней эндокринной системы, расстройства питания и нарушения обмена веществ за период |
|
+ |
+ |
+ |
|
Блок 3. Оказание акушерско-гинекологической помощи | ||||||
Оценка эффективности профилактических мероприятий | ||||||
21 |
Доля женщин, отказавшихся от искусственного прерывания беременности, от числа женщин, прошедших доабортное консультирование за период |
+ |
+ |
|
+ |
|
22 |
Доля беременных женщин, вакцинированных от коронавирусной инфекции (COVID-19) за период, от числа женщин, состоящих на учете по беременности и родам на начало периода |
+ |
+ |
|
+ |
|
23 |
Доля женщин с установленным диагнозом злокачественное новообразование шейки матки, выявленным впервые при диспансеризации, от общего числа женщин с установленным диагнозом злокачественное новообразование шейки матки за период |
+ |
+ |
|
+ |
+ |
24 |
Доля женщин с установленным диагнозом злокачественное новообразование молочной железы, выявленным впервые при диспансеризации, от общего числа женщин с установленным диагнозом злокачественное новообразование молочной железы за период |
+ |
+ |
|
+ |
+ |
25 |
Доля беременных женщин, прошедших скрининг в части оценки антенатального развития плода за период, от общего числа женщин, состоявших на учете по поводу беременности и родов за период |
+ |
+ |
|
+ |
|
Приложение N 2
к дополнительному соглашению
от 28.04.2025 N 4
к Тарифному соглашению
в системе ОМС города Севастополя
от 23.12.2024
Приложение N 10
к Тарифному соглашению
в системе ОМС города Севастополя
от 23.12.2024
Базовый (средний) подушевой
норматив финансирования на 2025 год - в
размере 2185,60 рубля; январь - март - по 140,35
рубля в месяц, апрель - декабрь - по 196,06
рубля в месяц.
Таблица N 1
Половозрастные коэффициенты в разрезе
половозрастных групп населения
Половозрастные группы |
Половозрастные коэффициенты дифференциации | |
|
мужчины |
женщины |
0 - 1 год |
3,851412 |
3,659507 |
1 - 4 года |
2,690889 |
2,582360 |
5 - 17 лет |
1,545435 |
1,540328 |
18 - 64 года |
0,410841 |
0,815481 |
старше 65 лет |
1,600000 |
1,600000 |
Таблица N 2
Коэффициенты половозрастного состава
для каждой медицинской организации
N п/п |
Наименование медицинской организации |
Размер коэффициента половозрастного состава |
1 |
ГБУЗС "Городская больница N 1 им. Н.И. Пирогова" |
0,884058 |
2 |
ГБУЗС "Городская больница N 4" |
1,076976 |
3 |
ГБУЗС "Городская больница N 5 - "Центр охраны здоровья матери и ребенка" |
1,810732 |
4 |
ГБУЗС "Севастопольская городская больница N 9" |
1,053254 |
5 |
Черноморское высшее военно-морское училище имени П.С. Нахимова |
0,731147 |
Таблица N 3
Коэффициенты дифференциации на прикрепившихся к медицинской организации лиц с учетом наличия подразделений, расположенных в сельской местности, отдаленных территориях, поселках городского типа и малых городах с численностью населения до 50 тысяч человек, и расходов на их содержание и оплату труда персонала
N п/п |
Наименование медицинской организации, структурного подразделения |
Население до 20 тысяч |
Размер Кдот |
1. |
ГБУЗС "Городская больница N 4" |
45789 |
1,0311 |
1.1. |
Врачебная амбулатория, село Верхнесадовое |
2529 |
1,113 |
1.2. |
Врачебная амбулатория, поселок Кача |
4512 |
1,113 |
1.3. |
Врачебная амбулатория, село П. Осипенко |
4038 |
1,113 |
1.4. |
Врачебная амбулатория, поселок Солнечное |
1540 |
1,113 |
2. |
ГБУЗС "Севастопольская городская больница N 9" |
56083 |
1,0168 |
2.1. |
СВА Орлиное |
3331 |
1,113 |
2.2. |
АОПСМ село Терновка |
1668 |
1,113 |
2.3. |
Врачебная амбулатория, поселок Сахарная Головка |
3325 |
1,113 |
Таблица N 4
Перечень фельдшерских здравпунктов, фельдшерско-акушерских пунктов, дифференцированных по численности обслуживаемого населения, и соответствующие размеры их финансового обеспечения
N п/п |
Наименование медицинской организации |
Наименования фельдшерских здравпунктов/фельдшерско-акушерских пунктов |
Численность прикрепленного населения: |
Из них численность женщин репродуктивного возраста |
Соответствует приказу МЗ РФ (+)/ не соответствует приказу МЗ РФ (-) |
Коэффициент
специфики |
В том числе повышающий коэффициент на обслуживание женщин репродуктивного возраста |
Размер финансового обеспечения на 2025 год, рублей |
Размер финансового обеспечения в месяц, рублей |
В том числе объем средств на оплату обслуживания женщин репродуктивного возраста в месяц, рублей |
1 |
ГБУЗС "Городская больница N 4" |
ФАП село Андреевка |
1611 |
291 |
+ |
1,008138250 |
0,008138250 |
3458519,12 |
288209,93 |
2326,59 |
2 |
|
ФАП село Вишневое |
712 |
131 |
+ |
1,006633391 |
0,006633391 |
1452471,35 |
121039,28 |
797,61 |
3 |
|
ФАП село Дальнее |
264 |
57 |
+ |
1,002886271 |
0,002886271 |
1447064,63 |
120588,72 |
347,05 |
4 |
|
ФАП село Поворотное |
700 |
158 |
+ |
1,008000638 |
0,008000638 |
1454444,07 |
121203,67 |
962,01 |
5 |
|
ФАП село Фронтовое |
872 |
198 |
+ |
1,010026059 |
0,010026059 |
1457366,61 |
121447,22 |
1205,55 |
Итого |
4159 |
835 |
|
|
|
9269865,77 |
772488,81 |
5638,81 | ||
1 |
ГБУЗС "Севастопольская городская больница N 9" |
ФАП село Гончарное |
535 |
97 |
+ |
1,007049303 |
0,007049303 |
1453071,39 |
121089,28 |
847,62 |
2 |
|
ФАП село Первомайское |
903 |
131 |
+ |
1,00476008 |
0,00476008 |
2899536,61 |
241628,05 |
1144,72 |
3 |
|
ФАП село Передовое |
904 |
139 |
+ |
1,005050745 |
0,005050745 |
2900375,49 |
241697,96 |
1214,62 |
4 |
|
ФАП село Родниковое |
530 |
93 |
+ |
1,006758556 |
0,006758556 |
1452651,95 |
121054,33 |
812,66 |
5 |
|
ФАП село Родное |
994 |
182 |
+ |
1,006613223 |
0,006613223 |
2904884,45 |
242073,70 |
1590,37 |
6 |
|
ФАП село Тыловое |
395 |
96 |
+ |
1,006976617 |
0,006976617 |
1452966,53 |
121080,54 |
838,88 |
7 |
|
ФАП село Хмельницкое |
787 |
117 |
+ |
1,00850271 |
0,00850271 |
1455168,58 |
121264,05 |
1022,38 |
8 |
|
ФАП село Широкое |
691 |
98 |
+ |
1,007121907 |
0,007121907 |
1453176,24 |
121098,02 |
856,35 |
Итого |
5739 |
953 |
|
|
|
15971831,24 |
1330985,94 |
8327,60 | ||
ВСЕГО |
|
|
|
|
|
25241697,01 |
2103474,75 |
13966,41 | ||
Таблица N 5
Базовые нормативы финансовых затрат на финансовое обеспечение фельдшерских здравпунктов, фельдшерско-акушерских пунктов
Наименование показателя |
Численность обслуживаемого населения | ||
|
от 100 до 900 жителей |
от 901 до 1500 жителей |
от 1501 до 2000 жителей |
Базовый норматив финансовых затрат на финансовое обеспечение фельдшерских здравпунктов, фельдшерско-акушерских пунктов |
1442900,00 |
2885800,00 |
3430600,00 |
Таблица N 6
Дифференцированные подушевые нормативы
финансирования для медицинских
организаций
N п/п |
Наименование медицинской организации |
Численность прикрепленного населения на 01.04.2025 |
КДот |
КДпв |
КДур |
КДзп |
ДПн, рублей (январь - декабрь) |
ДПн, рублей в месяц |
1 |
ГБУЗС "Городская больница N 1 им. Н.И. Пирогова" |
261237 |
1 |
0,884058 |
1,01 |
1,119968 |
2185,63 |
196,06 |
2 |
ГБУЗС "Городская больница N 4" |
45789 |
1,0311 |
1,076976 |
1,01 |
1 |
2449,10 |
219,90 |
3 |
ГБУЗС "Городская больница N 5 - "Центр охраны здоровья матери и ребенка" |
72886 |
1 |
1,810732 |
1,01 |
1 |
3995,45 |
358,56 |
4 |
ГБУЗС "Севастопольская городская больница N 9" |
56083 |
1,0168 |
1,053254 |
1,01 |
1 |
2361,86 |
212,07 |
5 |
Черноморское высшее военно-морское училище имени П.С. Нахимова |
548 |
1 |
0,731147 |
1,01 |
1,354152 |
2185,63 |
196,06 |
Итого |
436543 |
|
|
|
|
|
| |
Ссылается на




