Тарифное соглашение в системе
обязательного медицинского страхования
Смоленской области на 2025 год
от 27 декабря 2024 года
г. Смоленск
(с изменениями на 25 июля 2025 года)
(в ред. Дополнительных соглашений к Тарифному соглашению в системе обязательного медицинского страхования Смоленской области от 31.01.2025 N 1, от 03.03.2025 N 2, от 27.03.2025 N 3, от 23.04.2025 N 4, от 23.05.2025 N 5, от 25.06.2025 N 6, от 25.07.2025 N 7)
Министерство здравоохранения
Смоленской области в лице первого
заместителя министра Стунжас Ольги
Сергеевны,
Территориальный фонд
обязательного медицинского страхования
Смоленской области в лице директора
ТФОМС Смоленской области Никонова
Константина Владимировича,
страховая медицинская организация
в лице директора административного
структурного подразделения общества с
ограниченной ответственностью "Капитал
Медицинское Страхование" Филиал в
Смоленской области Бердниковой Лидии
Васильевны,
Смоленская областная организация
Профессионального союза работников
здравоохранения Российской Федерации в
лице главного врача ОГБУЗ "Смоленский
онкологический клинический диспансер"
Эфрона Александра Григорьевича,
Смоленская региональная
общественная организация "Врачебная
палата" в лице главного врача ОГБУЗ
"Смоленская областная клиническая
психиатрическая больница" Герасимова
Сергея Александровича, именуемые в
дальнейшем Стороны, заключили настоящее
соглашение (далее - Тарифное соглашение)
о нижеследующем:
I. Общие положения
1.1. Настоящее Тарифное соглашение
разработано на основании:
- Федерального закона от 29.11.2010 N
326-ФЗ "Об обязательном медицинском
страховании в Российской Федерации";
- Федерального закона от 21.11.2011 N
323-ФЗ "Об основах охраны здоровья граждан
в Российской Федерации";
- Постановления Правительства РФ от
27.12.2024 N 1940 "О Программе государственных
гарантий бесплатного оказания гражданам
медицинской помощи на 2025 год и на
плановый период 2026 и 2027 годов";
(в ред. Дополнительного соглашения
к Тарифному соглашению в системе
обязательного медицинского страхования
Смоленской области от 31.01.2025 N 1)
- Постановления Правительства
Смоленской области "Об утверждении
Территориальной программы
государственных гарантий бесплатного
оказания гражданам медицинской помощи
на 2025 год и на плановый период 2026 и 2027
годов";
(в ред. Дополнительного соглашения
к Тарифному соглашению в системе
обязательного медицинского страхования
Смоленской области от 31.01.2025 N 1)
- Методических рекомендаций по
способам оплаты медицинской помощи за
счет средств обязательного медицинского
страхования Министерства
здравоохранения Российской Федерации и
Федерального фонда обязательного
медицинского страхования (далее -
Методические рекомендации);
- Приказа Министерства
здравоохранения Российской Федерации от
10.02.2023 N 44н "Об утверждении Требований к
структуре и содержанию тарифного
соглашения".
1.2. Предметом Тарифного соглашения
является установление:
- способов и порядка оплаты
медицинской помощи, применяемых на
территории Смоленской области;
- размера и структуры тарифов на
оплату медицинской помощи по
обязательному медицинскому
страхованию;
- размеров неоплаты или неполной
оплаты затрат на оказание медицинской
помощи, а также уплаты медицинской
организацией штрафов за неоказание,
несвоевременное оказание либо оказание
медицинской помощи ненадлежащего
качества.
1.3. Понятия и термины:
Тариф на оплату медицинской помощи
в системе ОМС - денежная сумма,
определяющая размер возмещения и состав
компенсируемых расходов медицинским
организациям за оказание медицинской
помощи в рамках Территориальной
программы ОМС.
Случай госпитализации в
круглосуточный стационар (случай
лечения в дневном стационаре) - случай
диагностики и лечения в стационарных
условиях и (или) условиях дневного
стационара, в рамках которого
осуществляется ведение одной
медицинской карты стационарного
больного, являющийся единицей объема
медицинской помощи в рамках реализации
территориальной программы
обязательного медицинского
страхования.
Клинико-статистическая группа
заболеваний (далее также - КСГ, группа
заболеваний, состояний) - группа
заболеваний, относящихся к одному
профилю медицинской помощи и сходных по
используемым методам диагностики и
лечения пациентов и средней
ресурсоемкости (стоимость, структура
затрат и набор используемых ресурсов).
Оплата медицинской помощи по КСГ -
оплата медицинской помощи по тарифу,
рассчитанному исходя из установленных:
базовой ставки, коэффициента
относительной затратоемкости и
поправочных коэффициентов.
Базовая ставка - размер средней
стоимости законченного случая лечения,
включенного в группу заболеваний,
состояний, который без учета
коэффициента дифференциации
устанавливается не ниже минимальных
размеров базовых ставок, установленных
базовой программой обязательного
медицинского страхования, утверждаемой
в составе Программы.
(в ред. Дополнительного соглашения
к Тарифному соглашению в системе
обязательного медицинского страхования
Смоленской области от 31.01.2025 N 1)
Коэффициент относительной
затратоемкости - установленный
территориальной программой
государственных гарантий коэффициент,
отражающий отношение стоимости
конкретной КСГ к среднему объему
финансового обеспечения медицинской
помощи в расчете на одного пролеченного
пациента (базовой ставке).
Поправочные коэффициенты -
устанавливаемые на территориальном
уровне: коэффициент специфики,
коэффициент уровня (подуровня)
медицинской организации, коэффициент
сложности лечения пациентов.
Коэффициент специфики -
устанавливаемый на территориальном
уровне коэффициент, позволяющий
корректировать тариф КСГ с целью
управления структурой госпитализаций и
(или) учета региональных особенностей
оказания медицинской помощи по
конкретной КСГ.
Коэффициент уровня медицинской
организации - устанавливаемый на
территориальном уровне коэффициент,
позволяющий учесть различия в размерах
расходов медицинских организаций в
зависимости от уровня медицинской
организации, оказывающей медицинскую
помощь в стационарных условиях и в
условиях дневного стационара.
Коэффициент подуровня медицинской
организации - устанавливаемый на
территориальном уровне коэффициент,
позволяющий учесть различия в размерах
расходов медицинских организаций одного
уровня, обусловленный объективными
причинами.
Коэффициент сложности лечения
пациентов - устанавливаемый на
федеральном уровне коэффициент,
применяемый в отдельных случаях в связи
со сложностью лечения пациента, и
учитывающий более высокий уровень
затрат на оказание медицинской помощи.
Высокотехнологичная медицинская
помощь - часть специализированной
медицинской помощи, которая включает в
себя применение новых сложных и (или)
уникальных методов лечения, а также
ресурсоемких методов лечения с научно
доказанной эффективностью, в том числе
клеточных технологий, роботизированной
техники, информационных технологий и
методов генной инженерии, разработанных
на основе достижений медицинской науки и
смежных отраслей науки и техники.
Посещения с иными целями -
посещения, связанные с
профилактическими мероприятиями, в том
числе посещения центров здоровья,
посещения в связи с другими
обстоятельствами (получением справки,
других медицинских документов),
посещения среднего медицинского
персонала и разовые посещения в связи с
заболеваниями, в том числе при
заболеваниях полости рта, слюнных желез
и челюстей, за исключением зубного
протезирования, а также посещения
центров амбулаторной онкологической
помощи.
Посещения при оказании медицинской
помощи в неотложной форме - посещения по
поводу оказания медицинской помощи при
внезапных острых заболеваниях,
состояниях, обострении хронических
заболеваний без явных признаков угрозы
жизни пациента.
Обращение по поводу заболевания -
законченный случай лечения заболевания
в амбулаторных условиях с кратностью не
менее двух посещений по поводу одного
заболевания (складывается из первичных и
повторных посещений), включающий
лечебно-диагностические и
реабилитационные мероприятия, в
результате которых наступает
выздоровление, улучшение, направление
пациента в дневной стационар, на
госпитализацию в круглосуточный
стационар.
Подушевой норматив финансирования
на прикрепившихся лиц - ежемесячная
сумма финансовых средств в расчете на
одно застрахованное лицо, прикрепленное
к медицинской организации, на
медицинское обслуживание для получения
первичной медико-санитарной помощи.
Подушевой норматив финансирования
скорой медицинской помощи - ежемесячная
сумма финансовых средств на одно
застрахованное лицо, обслуживаемое
медицинской организацией при оказании
скорой медицинской помощи.
Комплексное посещение на
проведение диспансерного наблюдения -
обследование отдельных категорий
граждан, страдающих хроническими
заболеваниями, функциональными
расстройствами, иными состояниями, в
целях своевременного выявления,
предупреждения осложнений, обострений
заболеваний, иных состояний, их
профилактики.
Абзац исключен. - Дополнительное
соглашение к Тарифному соглашению в
системе обязательного медицинского
страхования Смоленской области от 31.01.2025
N 1.
Комплексное посещение на
проведение медицинской реабилитации в
амбулаторно-поликлинических условиях -
комплекс мероприятий, направленных на
полное или частичное восстановление
нарушенных и (или) компенсацию
утраченных функций.
Комплексное посещение на оказание
медицинской помощи в Центре здоровья -
проведение врачом комплексного
обследования с последующей записью в
карте центра здоровья, карте здорового
образа жизни и оформлением талона
амбулаторного пациента.
Медико-экономический контроль -
установление соответствия сведений об
объемах оказанной медицинской помощи
застрахованным лицам, на основании
предоставленных к оплате медицинской
организацией реестров счетов, условиям
договоров на оказание и оплату
медицинской помощи по обязательному
медицинскому страхованию,
Территориальной программе
обязательного медицинского страхования,
способам оплаты медицинской помощи и
тарифам на оплату медицинской помощи.
Медико-экономическая экспертиза -
установление соответствия фактических
сроков оказания медицинской помощи,
объема предъявленных к оплате
медицинских услуг записям в первичной
медицинской документации и
учетно-отчетной документации
медицинской организации.
Экспертиза качества медицинской
помощи - выявление нарушений при
оказании медицинской помощи, в том числе
оценка своевременности ее оказания,
правильности выбора методов
профилактики, диагностики, лечения и
реабилитации, степени достижения
запланированного результата.
Телемедицинские технологии -
лечебно-диагностические консультации,
управленческие, образовательные,
научные и просветительские мероприятия
в области здравоохранения, реализуемые с
применением телекоммуникационных
технологий ("медицина на расстоянии").
Коэффициент дифференциации -
устанавливаемый на федеральном уровне
коэффициент, отражающий более высокий
уровень заработной платы, и коэффициент
ценовой дифференциации бюджетных услуг
для субъекта Российской Федерации и/или
отдельных территорий субъекта
Российской Федерации (используемый в
расчетах в случае, если коэффициент
дифференциации не является единым для
всей территории субъекта Российской
Федерации).
(абзац введен Дополнительным
соглашением к Тарифному соглашению в
системе обязательного медицинского
страхования Смоленской области от 31.01.2025
N 1)
II. Способы оплаты медицинской помощи
2.1. Способы оплаты медицинской
помощи установлены в соответствии со
статьей 35 Федерального закона 29 ноября
2010 года N 326-ФЗ "Об обязательном
медицинском страховании в Российской
Федерации" и Территориальной программы
государственных гарантий бесплатного
оказания гражданам медицинской помощи
на 2025 год и на плановый период 2026 и 2027
годов.
2.2. Оплата медицинской помощи,
оказанной в амбулаторных условиях.
2.2.1. Оплата медицинской помощи,
оказанной в амбулаторных условиях,
осуществляется:
1) по подушевому нормативу
финансирования на прикрепившихся лиц (за
исключением расходов на проведение
компьютерной томографии,
магнитно-резонансной томографии,
ультразвукового исследования
сердечно-сосудистой системы,
эндоскопических диагностических
исследований, молекулярно-генетических
исследований и патолого-анатомических
исследований биопсийного
(операционного) материала с целью
диагностики онкологических заболеваний
и подбора противоопухолевой
лекарственной терапии, позитронной
эмиссионной томографии и (или)
позитронной эмиссионной томографии,
совмещенной с компьютерной томографией,
однофотонной эмиссионной компьютерной
томографии и (или) однофотонной
эмиссионной компьютерной томографии,
совмещенной с компьютерной томографией
(далее - ПЭТ/КТ и ОФЭКТ/ОФЭКТ-КТ), на
ведение школ для больных с хроническими
неинфекционными заболеваниями, в том
числе с сахарным диабетом,
профилактических медицинских осмотров и
диспансеризации, в том числе углубленной
диспансеризации и диспансеризации для
оценки репродуктивного здоровья женщин
и мужчин, а также на оплату диспансерного
наблюдения, включая диспансерное
наблюдение работающих граждан, в том
числе центрами здоровья, и финансовое
обеспечение фельдшерских здравпунктов,
фельдшерско-акушерских пунктов) с учетом
показателей результативности
деятельности медицинской организации
(включая показатели объема медицинской
помощи), перечень которых
устанавливается Министерством
здравоохранения Российской Федерации, в
том числе с включением расходов на
медицинскую помощь, оказываемую в иных
медицинских организациях и оплачиваемую
за единицу объема медицинской помощи;
2) за единицу объема медицинской
помощи - за медицинскую услугу,
посещение, обращение (законченный
случай) при оплате:
г) отдельных диагностических
(лабораторных) исследований
компьютерной томографии,
магнитно-резонансной томографии,
ультразвукового исследования
сердечно-сосудистой системы,
эндоскопических диагностических
исследований, молекулярно-генетических
исследований и патолого-анатомических
исследований биопсийного
(операционного) материала, ПЭТ/КТ и
ОФЭКТ/ОФЭКТ-КТ;
е) диспансерного наблюдения
отдельных категорий граждан из числа
взрослого населения, включая
диспансерное наблюдение работающих
граждан, в том числе центрами здоровья, и
(или) обучающихся в образовательных
организациях;
ж) медицинской помощи при ее
оказании пациентам с хроническими
неинфекционными заболеваниями, в том
числе с сахарным диабетом, в части
ведения школ, в том числе сахарного
диабета.
(п. 2.2.1 в ред. Дополнительного
соглашения к Тарифному соглашению в
системе обязательного медицинского
страхования Смоленской области от 31.01.2025
N 1)
2.2.2. Перечень медицинских
организаций Смоленской области,
оказывающих первичную медико-санитарную
помощь, представлен в приложении 2.
2.2.3. Перечень расходов на оказание
медицинской помощи, финансовое
обеспечение которых осуществляется по
подушевому нормативу финансирования,
представлен в приложении 2.9.
Перечень расходов на оказание
медицинской помощи, финансовое
обеспечение которых осуществляется вне
подушевого норматива финансирования,
представлен в приложении 2.10.
2.2.4. Оплата стоматологической
помощи осуществляется за отдельную
стоматологическую услугу (УЕТ) (перечень
стоматологических услуг представлен в
приложении 1 "Классификатор основных
медицинских услуг по оказанию первичной
медико-санитарной специализированной
стоматологической помощи, оказанной в
амбулаторных условиях, выраженной в
условных единицах трудоемкости (УЕТ)").
2.2.5. Оплата за медицинскую помощь,
оказанную в Центрах здоровья,
осуществляется за комплексное
посещение.
(п. 2.2.5 в ред. Дополнительного
соглашения к Тарифному соглашению в
системе обязательного медицинского
страхования Смоленской области от 31.01.2025
N 1)
2.2.6. Посещение с иной целью
(лечебно-диагностической,
консультативной и др.) оплачивается по
утвержденному тарифу за 1 посещение. При
длительных случаях лечения (свыше 1
месяца) по специальности "Травматология"
оплата осуществляется за посещение.
2.2.7. Оплата неотложной медицинской
помощи осуществляется за посещение.
2.2.8. Оплата за комплексное
посещение осуществляется по
утвержденным тарифам за:
- профилактические медицинские
осмотры и диспансеризацию, в том числе
углубленную диспансеризацию и
диспансеризацию для оценки
репродуктивного здоровья женщин и
мужчин;
- диспансерное наблюдение
отдельных категорий граждан из числа
взрослого населения;
- медицинскую реабилитацию;
- комплексное посещение для больных
с хроническими неинфекционными
заболеваниями, в том числе с сахарным
диабетом.
(п. 2.2.8 в ред. Дополнительного
соглашения к Тарифному соглашению в
системе обязательного медицинского
страхования Смоленской области от 31.01.2025
N 1)
2.2.9. Межучрежденческие расчеты
рекомендуется осуществлять в рамках
договоров между медицинскими
организациями.
При оплате медицинской помощи в
рамках договоров между медицинскими
организациями без участия страховой
медицинской организации случай оказания
медицинской помощи отражается в реестре
счетов только одной медицинской
организации. Оплата медицинской помощи в
рамках договоров осуществляется в том
числе из средств, направленных страховой
медицинской организацией в медицинскую
организацию, отражающую указанный
случай медицинской помощи в реестрах
счетов.
2.3. Оплата медицинской помощи,
оказанной в стационарных условиях.
2.3.1. Перечень медицинских
организаций (структурных подразделений
медицинских организаций), оказывающих
медицинскую помощь в стационарных
условиях, представлен в приложении 4.
2.3.2. При оплате медицинской помощи,
оказанной в стационарных условиях, в том
числе для медицинской реабилитации в
специализированных медицинских
организациях (структурных
подразделениях), установлены следующие
способы оплаты:
1) за случай госпитализации
(законченный случай лечения) по поводу
заболевания, включенного в
соответствующую группу заболеваний (в
том числе клинико-статистическую группу
заболеваний, группу высокотехнологичной
медицинской помощи), в том числе в
сочетании с оплатой за услугу диализа;
2) за прерванный случай
госпитализации в случаях:
- прерывания лечения по медицинским
показаниям;
- перевода пациента из одного
отделения медицинской организации в
другое;
- изменения условий оказания
медицинской помощи пациенту с
круглосуточного стационара на дневной
стационар;
- оказания медицинской помощи с
проведением лекарственной терапии при
злокачественных новообразованиях, в
ходе которой медицинская помощь по
объективным причинам оказана пациенту
не в полном объеме по сравнению с
выбранной для оплаты схемой
лекарственной терапии, в том числе в
случае прерывания лечения при
возникновении абсолютных
противопоказаний к продолжению лечения,
не купируемых при проведении
симптоматического лечения;
- перевода пациента в другую
медицинскую организацию;
- преждевременной выписки пациента
из медицинской организации в случае его
письменного отказа от дальнейшего
лечения;
- смерти пациента;
- выписки пациента до истечения 3
дней (включительно) со дня
госпитализации (начала лечения), за
исключением случаев оказания
медицинской помощи по группам
заболеваний, состояний, по которым
оплату медицинской помощи необходимо
осуществлять с оптимальной
длительностью лечения до 3 дней
включительно, в том числе в сочетании с
оплатой за услугу диализа. Приложение 4.3.
2.3.3. За счет средств обязательного
медицинского страхования в рамках
базовой программы ОМС осуществляется
финансовое обеспечение проведения
патолого-анатомических вскрытий
(посмертное патолого-анатомическое
исследование внутренних органов и
тканей умершего человека, новорожденных,
а также мертворожденных и плодов) в
патолого-анатомических отделениях
медицинских организаций, имеющих
лицензии на осуществление деятельности,
предусматривающие выполнение работ
(услуг) по патологической анатомии, в
случае смерти застрахованного лица при
получении медицинской помощи в
стационарных условиях (результат
госпитализации) по поводу заболеваний и
(или) состояний, включенных в базовую
программу ОМС, в указанных медицинских
организациях.
2.3.4. Порядок оплаты отдельных
случаев оказания медицинской помощи по
КСГ в круглосуточном стационаре
представлен в приложении 11.
2.4. Оплата медицинской помощи,
оказанной в условиях дневного
стационара.
2.4.1. Перечень медицинских
организаций (структурных подразделений
медицинских организаций), оказывающих
медицинскую помощь в условиях дневного
стационара, представлен в приложении 3.
2.4.2. Порядок оплаты случаев лечения
в условиях дневного стационара.
При оплате медицинской помощи,
оказанной в условиях дневного
стационара, установлены следующие
способы оплаты:
1) за случай (законченный случай)
лечения заболевания, включенного в
соответствующую группу заболеваний (в
том числе клинико-статистическую группу
заболеваний, группу высокотехнологичной
медицинской помощи), за услугу диализа (в
том числе в сочетании с оплатой по КСГ,
группе высокотехнологичной медицинской
помощи);
2) за прерванный случай оказания
медицинской помощи в случаях:
- прерывания лечения по медицинским
показаниям;
- перевода пациента из одного
отделения медицинской организации в
другое;
- изменения условий оказания
медицинской помощи пациенту с дневного
стационара на круглосуточный стационар;
- оказания медицинской помощи с
проведением лекарственной терапии при
злокачественных новообразованиях, в
ходе которой медицинская помощь по
объективным причинам оказана пациенту
не в полном объеме по сравнению с
выбранной для оплаты схемой
лекарственной терапии, в том числе в
случае прерывания лечения при
возникновении абсолютных
противопоказаний к продолжению лечения,
не купируемых при проведении
симптоматического лечения;
- перевода пациента в другую
медицинскую организацию;
- преждевременной выписки пациента
из медицинской организации в случае его
письменного отказа от дальнейшего
лечения;
- смерти пациента;
- выписки пациента до истечения 3
дней (включительно) со дня
госпитализации (начала лечения), за
исключением случаев оказания
медицинской помощи по группам
заболеваний, состояний, согласно
приложению 3.2, в том числе в сочетании с
оплатой за услугу диализа (в том числе в
сочетании с оплатой по
клинико-статистической группе
заболеваний, группе высокотехнологичной
медицинской помощи).
Законченный случай включает все
дни лечения, в том числе праздничные и
выходные дни, от даты поступления в
дневной стационар до даты выписки.
При переводе пациента из
круглосуточного стационара в дневной
стационар, дата выписки может
соответствовать дате поступления.
В период лечения в дневном
стационаре (всех типов) застрахованный
имеет право на получение
амбулаторно-поликлинической помощи не
по основному заболеванию с оплатой из
средств обязательного медицинского
страхования.
2.4.3. Порядок оплаты отдельных
случаев оказания медицинской помощи по
КСГ в дневном стационаре представлен в
приложении 11.
2.5. Оплата скорой медицинской
помощи вне медицинской организации.
2.5.1. Перечень медицинских
организаций (структурных подразделений
медицинских организаций), оказывающих
скорую медицинскую помощь вне
медицинской организации, представлен в
приложении 5.
2.5.2. При оплате скорой медицинской
помощи, оказанной вне медицинской
организации (по месту вызова бригады
скорой, в том числе скорой
специализированной, медицинской помощи,
а также в транспортном средстве при
медицинской эвакуации) применяются
следующие способы:
- по подушевому нормативу
финансирования;
- за единицу объема медицинской
помощи - за вызов скорой медицинской
помощи (используется при оплате
медицинской помощи, оказанной
застрахованным лицам за пределами
субъекта РФ, на территории которого
выдан полис ОМС, а также оказанной в
отдельных медицинских организациях, не
имеющих прикрепившихся лиц).
2.5.3. Подушевой норматив
финансирования скорой медицинской
помощи, оказываемой вне медицинской
организации, включает расходы на оплату
медицинской помощи в рамках базовой
программы обязательного медицинского
страхования в соответствии с
установленной единицей объема
медицинской помощи - вызов, в том числе с
применением тромболитика, за
исключением оказания скорой
специализированной медицинской помощи
выездными экстренными консультативными
бригадами.
III. Размер и структура тарифов на оплату
медицинской помощи
3.1. Структура тарифов на оплату
медицинской помощи определяется в
соответствии с п. 7 статьи 35 Федерального
закона от 29.11.2010 N 326-ФЗ "Об обязательном
медицинском страховании в Российской
Федерации", Правилами обязательного
медицинского страхования, утвержденными
приказом Министерства здравоохранения
РФ от 28.02.2019 N 108н, и Постановления
Правительства РФ от 27.12.2024 N 1940 и включает
следующие виды расходов: расходы на
заработную плату, начисления на оплату
труда, прочие выплаты, приобретение
лекарственных средств, расходных
материалов, продуктов питания, мягкого
инвентаря, медицинского инструментария,
реактивов и химикатов, прочих
материальных запасов, расходы на оплату
стоимости лабораторных и
инструментальных исследований,
проводимых в других учреждениях (при
отсутствии в медицинской организации
лаборатории и диагностического
оборудования), организации питания (при
отсутствии организованного питания в
медицинской организации), расходы на
оплату услуг связи, транспортных услуг,
коммунальных услуг, работ и услуг по
содержанию имущества, включая расходы на
техническое обслуживание и ремонт
основных средств, расходы на арендную
плату за пользование имуществом, оплату
программного обеспечения и прочих услуг,
социальное обеспечение работников
медицинских организаций, установленное
законодательством Российской Федерации,
прочие расходы, расходы на приобретение
основных средств (оборудование,
производственный и хозяйственный
инвентарь) стоимостью до 400 тысяч рублей
за единицу, а также допускается
приобретение основных средств
(медицинских изделий, используемых для
проведения медицинских вмешательств,
лабораторных и инструментальных
исследований) стоимостью до 1 миллиона
рублей при отсутствии у медицинской
организации не погашенной в течение 3
месяцев кредиторской задолженности за
счет средств обязательного медицинского
страхования. Средства, полученные
медицинской организацией за медицинскую
помощь, оказанную лицам, застрахованным
за пределами Смоленской области,
используются на все виды расходов,
включенные в состав тарифа.
(в ред. Дополнительного соглашения
к Тарифному соглашению в системе
обязательного медицинского страхования
Смоленской области от 31.01.2025 N 1)
Нецелевым использованием средств
ОМС является направление медицинской
организацией средств ОМС на цели,
полностью или частично не
соответствующие целям, установленным
настоящим Тарифным соглашением, в том
числе:
- на возмещение расходов по видам
медицинской помощи, не включенным в
Территориальную программу ОМС;
- на возмещение расходов по
медицинской помощи, не предусмотренной
лицензией медицинской организации;
- на возмещение расходов, не
включенных в состав тарифов на оплату
медицинской помощи в системе ОМС;
- расходование средств ОМС при
отсутствии подтверждающих документов;
- оплата собственных обязательств,
не связанных с деятельностью по ОМС.
3.2. Размер тарифов рассчитан в
соответствии с Методическими
рекомендациями и установлен в пределах
объема финансовых средств на реализацию
Территориальной программы
обязательного медицинского страхования,
утвержденных областным законом о
бюджете Территориального фонда
обязательного медицинского страхования
Смоленской области на текущий год и
может корректироваться с учетом
изменения финансового обеспечения
Территориальной программы ОМС.
3.3. В части медицинской помощи,
оказываемой в амбулаторных условиях,
устанавливаются:
3.3.1. Средний размер финансового
обеспечения медицинской помощи,
оказываемой медицинскими организациями,
участвующими в реализации
территориальной программы
обязательного медицинского страхования
в расчете на одно застрахованное лицо,
определенный на основе нормативов
объемов медицинской помощи и финансовых
затрат на единицу объема медицинской
помощи, установленных территориальной
программой обязательного медицинского
страхования, утвержден в приложении 2.6.
3.3.2. Размер базового подушевого
норматива финансирования на
прикрепившихся лиц, коэффициенты
дифференциации подушевых нормативов
финансирования и размер
дифференцированных подушевых
нормативов финансирования, применяемые
при финансировании
амбулаторно-поликлинической помощи,
приведены в приложении 2.6.
3.3.3. Тарифы на оплату единицы объема
медицинской помощи:
1) тарифы на оплату медицинской
помощи, оказываемой в амбулаторных
условиях: медицинская услуга, посещение,
обращение (законченный случай), в том
числе для осуществления
межтерриториальных расчетов, утверждены
в приложениях 1; 2.7; 2.8;
2) тарифы на оплату единицы объема
медицинской помощи профилактических
медицинских осмотров, диспансеризации, в
том числе углубленной диспансеризации и
диспансеризации для оценки
репродуктивного здоровья, диспансерному
наблюдению, медицинской реабилитации,
применяемые в том числе для
осуществления межтерриториальных
расчетов, приведены в приложениях 2.7, 9; 9.1;
10; 10.1; 10.2,10.3, 10.4.
3.3.4. Коэффициенты дифференциации
для каждой половозрастной группы
застрахованных лиц для расчета
дифференцированного подушевого
норматива финансирования
амбулаторно-поликлинической
медицинской помощи приведены в
приложении 2.5.
3.3.5. Перечень медицинских
организаций с учетом наличия у них
подразделений, расположенных в сельской
местности, отдаленных территориях,
поселках городского типа и малых городах
с численностью населения до 50 тысяч
человек, коэффициент дифференциации
приведен в приложении 2.3.
3.3.6. Размер коэффициента
дифференциации Смоленской области,
рассчитанный в соответствии с
Постановлением Правительства РФ от
05.05.2012 N 462, равен 1.
3.3.7. Размер коэффициента достижения
уровня целевых показателей уровня
заработной платы медицинских
работников, предусмотренного "дорожными
картами" развития здравоохранения
Смоленской области, приведен в
приложении 2.6.
3.3.8. Тарифы на диагностические
исследования приведены в приложении 2.4.
3.3.9. Тарифы на оплату медицинской
помощи с применением телемедицинских
технологий приведены в приложении 2.1.
3.3.10. Тариф на тестирование на
наличие респираторных инфекций, включая
вирус гриппа (любым из методов),
утвержден в приложении 2.7.
3.3.11. Тариф на посещение кабинета
медико-психологического
консультирования утвержден в приложении
2.7.
3.3.12. Размер финансового
обеспечения фельдшерских,
фельдшерско-акушерских пунктов при
условии их соответствия требованиям,
установленным приказом Министерства
здравоохранения и социального развития
России от 15.05.2012 N 543н "Об утверждении
Положения об организации оказания
первичной медико-санитарной помощи
взрослому населению" (зарегистрировано в
Минюсте России 27 июня 2012 г. N 24726) (далее -
Приказ N 543н), составляет в среднем:
фельдшерский,
фельдшерско-акушерский пункт,
обслуживающий от 101 до 900 жителей, - 1442,9
тыс. рублей;
фельдшерский,
фельдшерско-акушерский пункт,
обслуживающий от 901 до 1500 жителей, - 2885,8
тыс. рублей;
фельдшерский,
фельдшерско-акушерский пункт,
обслуживающий от 1501 до 2000 жителей, - 3430,6
тыс. рублей.
В случае если фельдшерские,
фельдшерско-акушерские пункты не
соответствуют требованиям,
установленным Приказом N 543н, к размеру
финансового обеспечения применяется
понижающий коэффициент в зависимости от
численности населения (приложение 12).
Размер финансового обеспечения
фельдшерских, фельдшерско-акушерских
пунктов в разрезе медицинских
организаций с учетом численности
обслуживающего населения утвержден
приложением 2.2.
3.3.13. Порядок организационного и
финансового взаимодействия в сфере
обязательного медицинского страхования
при оплате медицинской помощи, оказанной
в амбулаторных условиях, и скорой
медицинской помощи, оказанной вне
медицинской организации, по подушевому
нормативу финансирования на
прикрепившихся лиц утвержден
приложением 12.
3.3.14. Классификатор медицинских
услуг по оказанию первичной
медико-санитарной специализированной
стоматологической помощи, оказываемой в
амбулаторных условиях, выраженной в
условных единицах трудоемкости (УЕТ),
приведен в приложении 1.
3.4. В части медицинской помощи,
оказываемой в стационарных условиях,
устанавливаются:
3.4.1. Средний размер финансового
обеспечения медицинской помощи,
оказываемой медицинскими организациями,
участвующими в реализации
территориальной программы
обязательного медицинского страхования,
в расчете на одно застрахованное лицо,
определенный на основе нормативов
объемов медицинской помощи и финансовых
затрат на единицу объема медицинской
помощи, установленных территориальной
программой обязательного медицинского
страхования, утвержден в приложении 4.6.
3.4.2. Перечень КСГ, коэффициенты
относительной затратоемкости,
коэффициенты специфики, доля заработной
платы и прочих расходов, размер средней
стоимости законченного случая лечения
(базовой ставки) утверждены в приложении
4.6.
3.4.3 Стоимость одного случая
госпитализации в стационаре (ССксг) по
КСГ (за исключением КСГ, в составе
установлены доли заработной платы и
прочих расходов) определяется по
следующей формуле:
ССКСГ = БС x КД x КЗКСГ x КСКСГ x КУСМО + БС x
КД* x КСЛП,
где:
БС |
базовая ставка, рублей; |
КЗКСГ |
коэффициент относительной затратоемкости КСГ (подгруппы в составе КСГ), к которой отнесен данный случай госпитализации; |
КСКСГ |
коэффициент специфики КСГ, к которой отнесен данный случай госпитализации (используется в расчетах в случае, если указанный коэффициент определен для данной КСГ); |
КУСМО |
коэффициент уровня медицинской организации, в которой был пролечен пациент; |
КД |
коэффициент дифференциации, рассчитанный в соответствии с постановлением Правительства Российской Федерации от 5 мая 2012 г. N 462 "О порядке распределения, предоставления и расходования субвенций из бюджета Федерального фонда обязательного медицинского страхования бюджетам территориальных фондов обязательного медицинского страхования на осуществление переданных органам государственной власти субъектов Российской Федерации полномочий Российской Федерации в сфере обязательного медицинского страхования" (далее - Постановление N 462); |
КСЛП |
коэффициент сложности лечения пациента (при необходимости - сумма применяемых КСЛП) |
|
<*> - КД не применяется для КСЛП "проведение сопроводительной лекарственной терапии при злокачественных новообразованиях у взрослых в соответствии с клиническими рекомендациями" (равно единице). |
Стоимость одного случая
госпитализации по КСГ, в составе которых
Программой установлена доля заработной
платы и прочих расходов, определяется по
следующей формуле:
ССКСГ = БС x КЗКСГ x ((1 - ДЗП) + ДЗП x КСКСГ x
КУСМО x
x КД) + БС x КД* x КСЛП,
где:
БС |
размер базовой ставки без учета коэффициента дифференциации, рублей; |
КЗКСГ |
коэффициент относительной затратоемкости по КСГ, к которой отнесен данный случай госпитализации; |
ДЗП |
доля заработной платы и прочих расходов в структуре стоимости КСГ (установленное приложением N 4.6, к которому применяется КД, КС и КУС); |
КСКСГ |
коэффициент специфики КСГ, к которой отнесен данный КСКсг случай госпитализации (используется в расчетах, в случае, если указанный коэффициент определен для данной КСГ); |
КУСМО |
коэффициент уровня медицинской организации, в которой был пролечен пациент; |
КД |
коэффициент дифференциации, рассчитанный в соответствии с Постановлением N 462. |
КД не применяется для КСЛП
"проведение сопроводительной
лекарственной терапии при
злокачественных новообразованиях у
взрослых в соответствии с клиническими
рекомендациями (уровень 1 - 3)" (равно
единице).
(в ред. Дополнительного соглашения
к Тарифному соглашению в системе
обязательного медицинского страхования
Смоленской области от 31.01.2025 N 1)
При отсутствии оснований
применения КСЛП значение параметра КСЛП
при расчете стоимости законченного
случая лечения принимается равным 0.
3.4.4. Размер базовой ставки
определяется исходя из следующих
параметров объема средств,
предназначенных для финансового
обеспечения медицинской помощи,
оказываемой в стационарных условиях (в
условиях дневного стационара) и
оплачиваемой по КСГ (ОС), общего
планового количества случаев лечения,
подлежащих оплате по КСГ (Чсл), среднего
поправочного коэффициента оплаты по КСГ
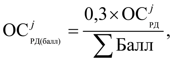
(СПК) и и рассчитывается по формуле:
3.4.5. Размер коэффициента
дифференциации составляет 1.
Размер коэффициента достижения
целевых показателей уровня заработной
платы медицинских работников,
предусмотренного "дорожными картами"
развития здравоохранения в Смоленской
области в соответствии с Указом N 597,
равен 1.
(пп. 3.4.5 в ред. Дополнительного
соглашения к Тарифному соглашению в
системе обязательного медицинского
страхования Смоленской области от 31.01.2025
N 1)
3.4.6. Стоимость одного случая
госпитализации по КСГ в стационарных
условиях, в том числе для осуществления
межтерриториальных расчетов, утверждена
приложением 4.6.
3.4.7. Нормативы финансовых затрат на
единицу объема предоставления
высокотехнологичной медицинской помощи
в стационарных условиях утверждены
приложением 6.
3.4.8. Коэффициенты уровня оказания
медицинской помощи для медицинских
организаций и структурных подразделений
медицинских организаций в условиях
круглосуточного стационара приведены в
приложении 4.1.
3.4.9. Перечень КСГ круглосуточного
стационара, по которым не применяется
коэффициент уровня/подуровня
медицинской организации, утвержден в
приложении 4.7.
3.4.10. Коэффициент сложности лечения
пациента приведен в приложении 7.1,
порядок применения КСЛП - в приложении 7.
3.4.11. Перечень КСГ круглосуточного
стационара, к которым не применяется
понижающий коэффициент специфики,
утвержден в приложении 4.4.
3.4.12. Перечень КСГ круглосуточного
стационара, к которым не применяется
повышающий коэффициент специфики,
утвержден в приложении 4.5.
3.4.13. Перечень КСГ круглосуточного
стационара, которые предполагают
хирургическое лечение или
тромболитическую терапию, утвержден в
приложении 4.2.
3.5. В части медицинской помощи,
оказываемой в условиях дневного
стационара, устанавливаются:
3.5.1. Средний размер финансового
обеспечения медицинской помощи,
оказываемой медицинскими организациями,
участвующими в реализации
Территориальной программы
обязательного медицинского страхования
в расчете на одно застрахованное лицо,
определенный на основе нормативов
объемов медицинской помощи и финансовых
затрат на единицу объема медицинской
помощи, установленных территориальной
программой обязательного медицинского
страхования, приведен в приложении 3.3.
3.5.2. Перечень КСГ, коэффициенты
относительной затратоемкости,
коэффициенты специфики, сведения о
структуре затрат в части заработной
платы и прочих расходов, размер средней
стоимости законченного случая КСГ
(базовая ставка) при оплате законченного
случая лечения в условиях дневного
стационара приведены в приложении 3.3.
3.5.3. Стоимость одного случая
госпитализации по КСГ в условиях
дневного стационара приведены в
приложении 3.3.
3.5.4. Размер коэффициент
дифференциации составляет 1.
Размер коэффициента достижения
целевых показателей уровня заработной
платы медицинских работников,
предусмотренного "дорожными картами"
развития здравоохранения в Смоленской
области в соответствии с Указом N 597,
равен 1.
(пп. 3.5.4 в ред. Дополнительного
соглашения к Тарифному соглашению в
системе обязательного медицинского
страхования Смоленской области от 31.01.2025
N 1)
3.5.5. Коэффициент уровня в условиях
дневного стационара утвержден в
приложении 3.5.
(пп. 3.5.5 в ред. Дополнительного
соглашения к Тарифному соглашению в
системе обязательного медицинского
страхования Смоленской области от 31.01.2025
N 1)
3.5.6. Базовые тарифы на оплату
гемодиализа и перитонеального диализа,
коэффициенты относительной
затратоемкости и стоимость услуг
диализа утверждены приложением 3.4.
(пп. 3.5.6 в ред. Дополнительного
соглашения к Тарифному соглашению в
системе обязательного медицинского
страхования Смоленской области от 31.01.2025
N 1)
3.5.7. Перечень КСГ дневного
стационара, которые предполагают
хирургическое лечение или
тромболитическую терапию, утверждены
приложением 3.1.
3.6. В части скорой медицинской
помощи, оказываемой вне медицинской
организации, устанавливаются:
3.6.1. Средний размер финансового
обеспечения медицинской помощи,
оказываемой медицинскими организациями,
участвующими в реализации
Территориальной программы
обязательного медицинского страхования
в расчете на одно застрахованное лицо,
определенный на основе нормативов
объемов медицинской помощи и финансовых
затрат на единицу объема медицинской
помощи, установленных территориальной
программой обязательного медицинского
страхования, утвержден в приложении 5.2.
3.6.2. Размер базового подушевого
норматива финансирования скорой
медицинской помощи в год на одно
застрахованное лицо, коэффициенты
дифференциации подушевых нормативов
финансирования и размер
дифференцированных подушевых
нормативов финансирования, применяемые
при финансировании скорой медицинской
помощи, оказываемой вне медицинской
организации, утверждены в приложении 5.2.
3.6.3. Тарифы на оплату вызова скорой
медицинской помощи, применяемые, в том
числе для осуществления
межтерриториальных расчетов, утверждены
в приложении 5.1.
3.6.4. Тариф на оплату оказания скорой
специализированной медицинской помощи
выездными экстренными консультативными
бригадами утвержден в приложении 5.4.
3.6.5. Коэффициент дифференциации для
каждой половозрастной группы
застрахованных лиц для расчета
дифференцированного подушевого
норматива финансирования скорой
медицинской помощи приведен в
приложении 5.3.
3.6.6. Размер коэффициента
дифференциации Смоленской области,
рассчитанный в соответствии с
Постановлением Правительства РФ от
05.05.2012 N 462, равен 1.
3.6.7. Размер коэффициента достижения
уровня целевых показателей уровня
заработной платы медицинских
работников, предусмотренного "дорожными
картами" развития здравоохранения
Смоленской области в соответствии с
Указом N 597, утвержден в приложении 5.2.
(пп. 3.6.7 в ред. Дополнительного
соглашения к Тарифному соглашению в
системе обязательного медицинского
страхования Смоленской области от 31.01.2025
N 1)
3.6.8. Размер коэффициента уровня
расходов медицинских организаций
(особенности плотности населения,
транспортной доступности, климатических
и географических особенностей)
утвержден в приложении 5.2.
(пп. 3.6.8 в ред. Дополнительного
соглашения к Тарифному соглашению в
системе обязательного медицинского
страхования Смоленской области от 31.01.2025
N 1)
3.6.9. Порядок организационного и
финансового взаимодействия в сфере
обязательного медицинского страхования
при оплате медицинской помощи, оказанной
в амбулаторных условиях, и скорой
медицинской помощи, оказанной вне
медицинской организации, по подушевому
нормативу финансирования на
прикрепившихся лиц утвержден
приложением 12.
IV. Размер неоплаты или неполной оплаты
затрат на оказание медицинской помощи, а
также уплаты медицинской организацией
штрафов за неоказание, несвоевременное
оказание либо оказание медицинской
помощи ненадлежащего качества
4.1. Перечень и размер неоплаты или
неполной оплаты медицинскими
организациями штрафа за неоказание,
несвоевременное оказание, либо оказание
медицинской помощи ненадлежащего
качества утвержден приложением 8.
4.2. Устанавливать размеры подушевых
нормативов финансирования, используемые
при определении размера штрафа за
неоказание, несвоевременное оказание
либо оказание медицинской помощи
ненадлежащего качества в разрезе
условий оказания медицинской помощи:
1) в амбулаторных условиях -
установленный Территориальной
программой государственных гарантий
бесплатного оказания гражданам
медицинской помощи на 2025 год подушевой
норматив финансирования за счет средств
ОМС для медицинской помощи,
предоставляемой в рамках базовой
программы ОМС застрахованным лицам в
амбулаторных условиях, в размере 7922,57
руб.;
(пп. 1 в ред. Дополнительного
соглашения к Тарифному соглашению в
системе обязательного медицинского
страхования Смоленской области от 31.01.2025
N 1)
2) при оплате скорой медицинской
помощи вне медицинской организации -
установленный Территориальной
программой государственных гарантий
бесплатного оказания гражданам
медицинской помощи на 2025 год подушевой
норматив финансирования
территориальной программы за счет
средств ОМС для скорой медицинской
помощи, предоставляемой в рамках базовой
программы ОМС застрахованным лицам, в
размере 1244,94 руб.;
3) в стационарных условиях, в том
числе при оказании высокотехнологичной
медицинской помощи, - установленный
Территориальной программой
государственных гарантий бесплатного
оказания гражданам медицинской помощи
на 2025 год подушевой норматив
финансирования территориальной
программы за счет средств ОМС для
специализированной медицинской помощи в
стационарных условиях, предоставляемой
в рамках базовой программы ОМС
застрахованным лицам, в размере 9081,44
руб.;
(пп. 3 в ред. Дополнительного
соглашения к Тарифному соглашению в
системе обязательного медицинского
страхования Смоленской области от 31.01.2025
N 1)
4) в условиях дневного стационара, в
том числе при оказании
высокотехнологичной медицинской помощи
- установленный Территориальной
программой государственных гарантий
бесплатного оказания гражданам
медицинской помощи на 2025 год подушевой
норматив финансирования за счет средств
ОМС для специализированной медицинской
помощи в условиях дневного стационара,
предоставляемой в рамках базовой
программы ОМС застрахованным лицам, в
размере 2039,11 руб.
4.3. Установить подушевой норматив
финансирования территориальной
программы обязательного медицинского
страхования по всем видам и условиям ее
оказания за счет средств обязательного
медицинского страхования в размере 20935,25
руб.
V. Заключительные положения
5.1. Тарифное соглашение действует
на территории Смоленской области с 01.01.2025
по 31.12.2025.
5.2. Внесение изменений и дополнений
к Тарифному соглашению осуществляется
решениями Комиссии по разработке
территориальной программы ОМС
Смоленской области.
5.3. Все приложения к настоящему
соглашению являются его неотъемлемой
частью.
Первый заместитель министра
здравоохранения
Смоленской области
О.С.СТУНЖАС
Директор
Территориального фонда
обязательного медицинского
страхования
К.В.НИКОНОВ
Член Смоленской областной организации
Профессионального союза
работников здравоохранения РФ,
главный врач
ОГБУЗ "Смоленский онкологический
клинический диспансер"
А.Г.ЭФРОН
Член региональной
общественной организации
"Врачебная палата",
главный врач
ОГБУЗ "Смоленская областная
клиническая
психиатрическая больница"
С.А.ГЕРАСИМОВ
Директор
административного структурного
подразделения
общества с ограниченной
ответственностью
"Капитал Медицинское Страхование"
Филиал в Смоленской области
Л.В.БЕРДНИКОВА
Приложение 1
к Тарифному соглашению
на 2025 год
от 27.12.2024
КЛАССИФИКАТОР ОСНОВНЫХ МЕДИЦИНСКИХ
УСЛУГ ПО ОКАЗАНИЮ ПЕРВИЧНОЙ
МЕДИКО-САНИТАРНОЙ СПЕЦИАЛИЗИРОВАННОЙ
СТОМАТОЛОГИЧЕСКОЙ ПОМОЩИ, ОКАЗЫВАЕМОЙ В
АМБУЛАТОРНЫХ УСЛОВИЯХ, ВЫРАЖЕННОЙ В
УСЛОВНЫХ ЕДИНИЦАХ (УЕТ)
Стоимость 1 УЕТ - 185,00 руб.
N п/п |
Код услуги |
Наименование услуг |
Число УЕТ | |
|
|
|
взрослый прием |
детский прием |
1 |
A12.07.001 |
Витальное окрашивание твердых тканей зуба |
0,35 |
0,35 |
2 |
A12.07.003 |
Определение индексов гигиены полости рта |
0,61 |
0,61 |
3 |
A12.07.004 |
Определение пародонтальных индексов |
0,76 |
0,76 |
4 |
B01.003.004.002 |
Проводниковая анестезия |
0,96 |
0,96 |
5 |
B01.003.004.004 |
Аппликационная анестезия |
0,31 |
0,31 |
6 |
B01.003.004.005 |
Инфильтрационная анестезия |
0,5 |
0,5 |
7 |
A06.30.002 |
Описание и интерпретация рентгенографических изображений |
0,93 |
0,93 |
8 |
А06.07.010 |
Радиовизиография челюстно-лицевой области |
0,75 |
0,75 |
9 |
А06.07.003 |
Прицельная внутриротовая контактная рентгенография |
0,75 |
0,75 |
10 |
A11.07.026 |
Взятие образца биологического материала из очагов поражения органов рта |
1,12 |
1,12 |
11 |
A11.01.019 |
Получение соскоба с эрозивно-язвенных элементов кожи и слизистых оболочек |
1,12 |
1,12 |
12 |
A11.07.011 |
Инъекционное введение лекарственных препаратов в челюстно-лицевую область |
1,1 |
1,1 |
13 |
A25.07.001 |
Назначение лекарственных препаратов при заболеваниях полости рта и зубов |
0,25 |
0,25 |
14 |
A05.07.001 |
Электроодонтометрия зуба |
0,42 |
0,42 |
15 |
B01.064.003 |
Прием (осмотр, консультация) врача-стоматолога детского первичный |
|
1,95 |
16 |
B01.064.004 |
Прием (осмотр, консультация) врача-стоматолога детского повторный |
|
1,37 |
17 |
B04.064.001 |
Диспансерный прием (осмотр, консультация) врача-стоматолога детского |
|
1,19 |
18 |
B01.065.007 |
Прием (осмотр, консультация) врача-стоматолога первичный |
1,68 |
1,95 |
19 |
B01.065.008 |
Прием (осмотр, консультация) врача-стоматолога повторный |
1,18 |
1,37 |
20 |
В04.065.005 |
Диспансерный прием (осмотр, консультация) врача-стоматолога |
1,25 |
1,19 |
21 |
B01.065.001 |
Прием (осмотр, консультация) врача-стоматолога-терапевта первичный |
1,68 |
|
22 |
B01.065.002 |
Прием (осмотр, консультация) врача-стоматолога-терапевта повторный |
1,18 |
|
23 |
B04.065.001 |
Диспансерный прием (осмотр, консультация) врача-стоматолога-терапевта |
1,25 |
|
24 |
B01.065.003 |
Прием (осмотр, консультация) зубного врача первичный |
1,68 |
1,95 |
25 |
B01.065.004 |
Прием (осмотр, консультация) зубного врача повторный |
1,18 |
1,37 |
26 |
B04.065.003 |
Диспансерный прием (осмотр, консультация) зубного врача |
1,25 |
1,19 |
27 |
B01.065.005 |
Прием (осмотр, консультация) гигиениста стоматологического первичный |
1,5 |
1,5 |
28 |
B01.065.006 |
Прием (осмотр, консультация) гигиениста стоматологического повторный |
0,9 |
0,9 |
29 |
A03.07.001 |
Люминесцентная стоматоскопия |
0,63 |
0,63 |
30 |
A11.07.010 |
Введение лекарственных препаратов в пародонтальный карман |
0,99 |
0,99 |
31 |
A11.07.022 |
Аппликация лекарственного препарата на слизистую оболочку полости рта |
0,45 |
0,45 |
32 |
А16.07.051 |
Профессиональная гигиена полости рта и зубов <1> |
2 |
2 |
33 |
A16.07.082 |
Сошлифовывание твердых тканей зуба |
0,25 |
0,25 |
34 |
A11.07.023 |
Применение метода серебрения зуба |
0,88 |
0,88 |
35 |
A15.07.003 |
Наложение лечебной повязки при заболеваниях слизистой оболочки полости рта и пародонта в области одной челюсти |
2 |
2 |
36 |
А16.07.002.001 |
Восстановление зуба пломбой I, II, III, V, VI классов по Блэку с использованием стоматологических цементов <2> |
1,53 |
1,53 |
37 |
А16.07.002.002 |
Восстановление зуба пломбой I, II, III, V, VI классов по Блэку с использованием материалов химического отверждения <2> |
1,95 |
1,95 |
38 |
А16.07.002.003 |
Восстановление зуба пломбой с нарушением контактного пункта II, III классов по Блэку с использованием стоматологических цементов <2> |
1,85 |
1,85 |
39 |
А16.07.002.004 |
Восстановление зуба пломбой с нарушением контактного пункта II, III классов по Блэку с использованием материалов химического отверждения <2> |
2,5 |
2,5 |
40 |
А16.07.002.005 |
Восстановление зуба пломбой IV класса по Блэку с использованием стеклоиномерных цементов <2> |
2,45 |
2,45 |
41 |
А16.07.002.006 |
Восстановление зуба пломбой IV класса по Блэку с использованием материалов химического отверждения <2> |
3,25 |
3,25 |
42 |
А16.07.002.007 |
Восстановление зуба пломбой из амальгамы I, V классов по Блэку <2> |
1,95 |
1,95 |
43 |
А16.07.002.008 |
Восстановление зуба пломбой из амальгамы II класса по Блэку <2> |
2,33 |
2,33 |
44 |
А16.07.002.010 |
Восстановление зуба пломбой I, V, VI классов по Блэку с использованием материалов из фотополимеров <2> |
3,35 |
3,35 |
45 |
А16.07.002.011 |
Восстановление зуба пломбой с нарушением контактного пункта II, III классов по Блэку с использованием материалов из фотополимеров <2> |
3,75 |
3,75 |
46 |
А16.07.002.012 |
Восстановление зуба пломбой IV класса по Блэку с использованием материалов из фотополимеров <2> |
4 |
4 |
47 |
А16.07.002.009 |
Наложение временной пломбы |
1,25 |
1,25 |
48 |
A16.07.091 |
Снятие временной пломбы |
0,25 |
0,25 |
49 |
A16.07.092 |
Трепанация зуба, искусственной коронки |
0,48 |
0,48 |
50 |
A16.07.008.001 |
Пломбирование корневого канала зуба пастой |
1,16 |
1,16 |
51 |
A16.07.008.002 |
Пломбирование корневого канала зуба гуттаперчивыми штифтами |
1,7 |
1,7 |
52 |
А11.07.027 |
Наложение девитализирующей пасты |
0,03 |
0,03 |
53 |
A16.07.009 |
Пульпотомия (ампутация коронковой пульпы) |
0,21 |
0,21 |
54 |
A16.07.010 |
Экстирпация пульпы |
0,46 |
0,46 |
55 |
A16.07.019 |
Временное шинирование при заболеваниях пародонта <3> |
1,98 |
1,98 |
56 |
A16.07.020.001 |
Удаление наддесневых и поддесневых зубных отложений в области зуба ручным методом <4> |
0,32 |
0,32 |
57 |
A16.07.025.001 |
Избирательное полирование зуба |
0,2 |
0,2 |
58 |
А22.07.002 |
Ультразвуковое удаление наддесневых и поддесневых зубных отложений в области зуба <4> |
0,2 |
0,2 |
59 |
A16.07.030.001 |
Инструментальная и медикаментозная обработка одного хорошо проходимого корневого канала |
0,92 |
0,92 |
60 |
A16.07.030.002 |
Инструментальная и медикаментозная обработка плохо проходимого корневого канала |
1,71 |
1,71 |
61 |
A16.07.030.003 |
Временное пломбирование лекарственным препаратом корневого канала |
0,5 |
0,5 |
62 |
A16.07.039 |
Закрытый кюретаж при заболеваниях пародонта в области зуба <4> |
0,31 |
0,31 |
63 |
А16.07.082.001 |
Распломбировка корневого канала, ранее леченного пастой |
2 |
2 |
64 |
А16.07.082.002 |
Распломбировка одного корневого канала, ранее леченного фосфатцементом /резорцин-формальдегидным методом |
3,55 |
3,55 |
65 |
B01.067.001 |
Прием (осмотр, консультация) врача-стоматолога-хирурга первичный |
1,4 |
1,4 |
66 |
B01.067.002 |
Прием (осмотр, консультация) врача-стоматолога-хирурга повторный |
1,08 |
1,08 |
67 |
А11.03.003 |
Внутрикостное введение лекарственных препаратов |
0,82 |
0,82 |
68 |
A15.03.007 |
Наложение шины при переломах костей <5> |
6,87 |
6,87 |
69 |
A15.03.011 |
Снятие шины с одной челюсти |
1,43 |
1,43 |
70 |
A15.04.002 |
Наложение иммобилизационной повязки при вывихах (подвывихах) суставов |
2,55 |
2,55 |
71 |
A15.07.001 |
Наложение иммобилизационной повязки при вывихах (подвывихах) зубов |
2,96 |
2,96 |
72 |
A11.07.001 |
Биопсия слизистой полости рта |
1,15 |
1,15 |
73 |
A11.07.002 |
Биопсия языка |
1,15 |
1,15 |
74 |
А11.07.005 |
Биопсия слизистой преддверия полости рта |
1,15 |
1,15 |
75 |
A11.07.007 |
Биопсия тканей губы |
1,15 |
1,15 |
76 |
A11.07.008 |
Пункция кисты полости рта |
0,91 |
0,91 |
77 |
A11.07.009 |
Бужирование протоков слюнных желез |
3,01 |
3,01 |
78 |
A11.07.013 |
Пункция слюнной железы |
0,91 |
0,91 |
79 |
A11.07.014 |
Пункция тканей полости рта |
0,91 |
0,91 |
80 |
A11.07.015 |
Пункция языка |
0,91 |
0,91 |
81 |
A11.07.016 |
Биопсия слизистой ротоглотки |
1,15 |
1,15 |
82 |
A11.07.018 |
Пункция губы |
0,91 |
0,91 |
83 |
A11.07.019 |
Пункция патологического образования слизистой преддверия полости рта |
0,91 |
0,91 |
84 |
A11.07.020 |
Биопсия слюнной железы |
1,15 |
1,15 |
85 |
A15.01.003 |
Наложение повязки при операции в челюстно-лицевой области |
1,06 |
1,06 |
86 |
А15.07.002 |
Наложение повязки при операциях в полости рта |
1,06 |
1,06 |
87 |
A16.01.004 |
Хирургическая обработка раны или инфицированной ткани <6> |
1,3 |
1,3 |
88 |
А16.01.008 |
Сшивание кожи и подкожной клетчатки <7> |
0,84 |
0,84 |
89 |
А16.07.097 |
Наложение шва на слизистую оболочку рта |
0,84 |
0,84 |
90 |
A16.01.012 |
Вскрытие и дренирование флегмоны (абсцесса) |
2 |
2 |
91 |
A16.01.016 |
Удаление атеромы |
2,33 |
2,33 |
92 |
A16.01.030 |
Иссечение грануляции |
2,22 |
2,22 |
93 |
A16.04.018 |
Вправление вывиха сустава |
1 |
1 |
94 |
А16.07.095.001 |
Остановка луночного кровотечения без наложения швов методом тампонады |
1,25 |
1,25 |
95 |
А16.07.095.002 |
Остановка луночного кровотечения без наложения швов с использованием гемостатических материалов |
1 |
1 |
96 |
A16.07.001.001 |
Удаление временного зуба |
1,01 |
1,01 |
97 |
A16.07.001.002 |
Удаление постоянного зуба |
1,55 |
1,55 |
98 |
A16.07.001.003 |
Удаление зуба сложное с разъединением корней |
2,58 |
2,58 |
99 |
A16.07.024 |
Операция удаления ретинированного, дистопированного или сверхкомплектного зуба |
3 |
3 |
100 |
А16.07.040 |
Лоскутная операция в полости рта <8> |
2,7 |
2,7 |
101 |
А16.07.007 |
Резекция верхушки корня |
3,78 |
3,78 |
102 |
А16.07.011 |
Вскрытие подслизистого или поднадкостничного очага воспаления в полости рта |
1 |
1 |
103 |
A16.07.012 |
Вскрытие и дренирование одонтогенного абсцесса |
0,97 |
0,97 |
104 |
A16.07.013 |
Отсроченный кюретаж лунки удаленного зуба |
1,03 |
1,03 |
105 |
A16.07.014 |
Вскрытие и дренирование абсцесса полости рта |
2,14 |
2,14 |
106 |
A16.07.015 |
Вскрытие и дренирование очага воспаления мягких тканей лица или дна полости рта |
2,41 |
2,41 |
107 |
A16.07.016 |
Цистотомия или цистэктомия |
3,89 |
3,89 |
108 |
A16.07.017.002 |
Коррекция объема и формы альвеолярного отростка <9> |
1,22 |
1,22 |
109 |
А16.07.026 |
Гингивэктомия |
4,3 |
4,3 |
110 |
А16.07.089 |
Гингивопластика |
4,3 |
4,3 |
111 |
А16.07.038 |
Открытый кюретаж при заболеваниях пародонта в области зуба <4> |
1 |
1 |
112 |
А16.07.042 |
Пластика уздечки верхней губы |
2,1 |
2,1 |
113 |
А16.07.043 |
Пластика уздечки нижней губы |
2,1 |
2,1 |
114 |
А16.07.044 |
Пластика уздечки языка |
1 |
1 |
115 |
А16.07.096 |
Пластика перфорации верхнечелюстной пазухи |
4 |
4 |
116 |
А16.07.008.003 |
Закрытие перфорации стенки корневого канала зуба |
1,8 |
1,8 |
117 |
A16.07.058 |
Лечение перикоронита (промывание, рассечение и/или иссечение капюшона) |
1,04 |
1,04 |
118 |
А16.07.059 |
Гемисекция зуба |
2,6 |
2,6 |
119 |
A11.07.025 |
Промывание протока слюнной железы |
1,85 |
1,85 |
120 |
A16.22.012 |
Удаление камней из протоков слюнных желез |
3 |
3 |
121 |
А16.30.064 |
Иссечение свища мягких тканей |
2,25 |
2,25 |
122 |
А16.30.069 |
Снятие послеоперационных швов (лигатур) |
0,38 |
0,38 |
123 |
B01.054.001 |
Осмотр (консультация) врача-физиотерапевта |
1,5 |
1,5 |
124 |
A17.07.001 |
Электрофорез лекарственных препаратов при патологии полости рта и зубов |
1,5 |
1,5 |
125 |
A17.07.003 |
Диатермокоагуляция при патологии полости рта и зубов |
0,5 |
0,5 |
126 |
A17.07.004 |
Ионофорез при патологии полости рта и зубов |
1,01 |
1,01 |
127 |
A17.07.006 |
Депофорез корневого канала зуба |
1,5 |
1,5 |
128 |
A17.07.007 |
Дарсонвализация при патологии полости рта |
2 |
2 |
129 |
A17.07.008 |
Флюктуоризация при патологии полости рта и зубов |
1,67 |
1,67 |
130 |
A17.07.009 |
Воздействие электрическими полями при патологии полости рта и зубов |
1 |
1 |
131 |
A17.07.010 |
Воздействие токами надтональной частоты (ультратонотерапия) при патологии полости рта и зубов |
1 |
1 |
132 |
A17.07.011 |
Воздействие токами ультравысокой частоты при патологии полости рта и зубов |
1,25 |
1,25 |
133 |
A17.07.012 |
Ультравысокочастотная индуктотермия при патологии полости рта и зубов |
1,25 |
1,25 |
134 |
A20.07.001 |
Гидроорошение при заболевании полости рта и зубов |
1,5 |
1,5 |
135 |
А21.07.001 |
Вакуум-терапия в стоматологии |
0,68 |
0,68 |
136 |
A22.07.005 |
Ультрафиолетовое облучение ротоглотки |
1,25 |
1,25 |
137 |
A22.07.007 |
Ультрафонофорез лекарственных препаратов на область десен |
1 |
1 |
138 |
В01.003.004.009 |
Тотальная внутривенная анестезия |
19,69 |
|
139 |
В01.003.004.012 |
Комбинированный ингаляционный наркоз (в том числе с применением ксенона) |
8,42 |
|
|
|
Ортодонтия |
|
|
1 |
B01.063.001 |
Прием (осмотр, консультация) врача-ортодонта первичный |
|
4,21 |
2 |
B01.063.002 |
Прием (осмотр, консультация) врача-ортодонта повторный |
|
1,38 |
3 |
B04.063.001 |
Диспансерный прием (осмотр, консультация) врача-ортодонта |
|
1,69 |
4 |
A02.07.004 |
Антропометрические исследования |
|
1,1 |
5 |
А23.07.002.027 |
Изготовление контрольной модели |
|
2,5 |
6 |
А02.07.010.001 |
Снятие оттиска с одной челюсти |
|
1,4 |
7 |
A02.07.010 |
Исследование на диагностических моделях челюстей |
|
2 |
8 |
A23.07.001.001 |
Коррекция съемного ортодонтического аппарата |
|
1,75 |
9 |
А23.07.003 |
Припасовка и наложение ортодонтического аппарата |
|
1,8 |
10 |
A23.07.001.002 |
Ремонт ортодонтического аппарата |
|
1,55 |
11 |
A23.07.002.037 |
Починка перелома базиса самотвердеющей пластмассой |
|
1,75 |
12 |
A23.07.002.045 |
Изготовление дуги вестибулярной с дополнительными изгибами |
|
3,85 |
13 |
A23.07.002.073 |
Изготовление дуги вестибулярной |
|
2,7 |
14 |
A23.07.002.051 |
Изготовление кольца ортодонтического |
|
4 |
15 |
A23.07.002.055 |
Изготовление коронки ортодонтической |
|
4 |
16 |
A23.07.002.058 |
Изготовление пластинки вестибулярной |
|
2,7 |
17 |
A23.07.002.059 |
Изготовление пластинки с заслоном для языка (без кламмеров) |
|
2,5 |
18 |
A23.07.002.060 |
Изготовление пластинки с окклюзионными накладками |
|
18,0 |
19 |
А16.07.053.002 |
Распил ортодонтического аппарата через винт |
|
1 |
|
|
Профилактические услуги |
|
|
1 |
B04.064.002 |
Профилактический прием (осмотр, консультация) врача-стоматолога детского |
|
1,57 |
2 |
В04.065.006 |
Профилактический прием (осмотр, консультация) врача-стоматолога |
1,3 |
1,57 |
3 |
B04.065.002 |
Профилактический прием (осмотр, консультация) врача-стоматолога-терапевта |
1,3 |
|
4 |
B04.065.004 |
Профилактический прием (осмотр, консультация) зубного врача |
1,3 |
1,3 |
5 |
А11.07.012 |
Глубокое фторирование эмали зуба |
0,3 |
0,3 |
6 |
А11.07.024 |
Местное применение реминерализующих препаратов в области зуба <4> |
0,7 |
0,7 |
7 |
А13.30.007 |
Обучение гигиене полости рта |
0,87 |
0,87 |
8 |
А16.07.057 |
Запечатывание фиссуры зуба герметиком |
1 |
1 |
Примечания:
<1> - одного квадранта;
<2> - включая полирование пломбы;
<3> - трех зубов;
<4> - одного зуба;
<5> - на одной челюсти;
<6> - без наложения швов;
<7> - один шов;
<8> - в области двух - трех зубов;
<9> - в области одного - двух
зубов.
Приложение 2
к Тарифному соглашению
на 2025 год
от 27.12.2024
ПЕРЕЧЕНЬ МЕДИЦИНСКИХ ОРГАНИЗАЦИЙ
СМОЛЕНСКОЙ ОБЛАСТИ, ОКАЗЫВАЮЩИХ
ПЕРВИЧНУЮ МЕДИКО-САНИТАРНУЮ ПОМОЩЬ
(в
ред. Дополнительного соглашения к
Тарифному соглашению в системе
обязательного медицинского страхования
Смоленской области от 31.01.2025 N 1)
N п/п |
Наименование медицинской организации |
Способ оплаты медицинской помощи | |
|
|
по подушевому нормативу на прикрепившихся лиц |
за единицу объема |
1 |
ФГБУЗ "Медико-санитарная часть N 135 медико-биологического агентства" |
+ |
+ |
2 |
ОГБУЗ "Велижская центральная районная больница" |
+ |
+ |
3 |
ОГБУЗ "Вяземская центральная районная больница" |
+ |
+ |
4 |
ОГБУЗ "Гагаринская центральная районная больница" |
+ |
+ |
5 |
ОГБУЗ "Демидовская центральная районная больница" |
+ |
+ |
6 |
ОГБУЗ "Дорогобужская центральная районная больница" |
+ |
+ |
7 |
ОГБУЗ "Ельнинская центральная районная больница" |
+ |
+ |
8 |
ОГБУЗ "Кардымовская центральная районная больница" |
+ |
+ |
9 |
ОГБУЗ "Краснинская центральная районная больница" |
+ |
+ |
10 |
ОГБУЗ "Монастырщинская центральная районная больница" |
+ |
+ |
11 |
ОГБУЗ "Починковская районная больница" |
+ |
+ |
12 |
ОГБУЗ "Рославльская центральная районная больница" |
+ |
+ |
13 |
ОГБУЗ "Руднянская центральная районная больница" |
+ |
+ |
14 |
ОГБУЗ "Сафоновская центральная районная больница" |
+ |
+ |
15 |
ОГБУЗ "Сычевская центральная районная больница" |
+ |
+ |
16 |
ОГБУЗ "Хиславичская центральная районная больница" |
+ |
+ |
17 |
ОГБУЗ "Ярцевская центральная районная больница" |
+ |
+ |
18 |
ОГБУЗ "Поликлиника N 2" |
+ |
+ |
19 |
ОГБУЗ "Поликлиника N 3" |
+ |
+ |
20 |
ОГБУЗ "Поликлиника N 4" |
+ |
+ |
21 |
ОГБУЗ "Поликлиника N 6" |
+ |
+ |
22 |
ОГБУЗ "Поликлиника N 7" |
+ |
+ |
23 |
ОГБУЗ "Поликлиника N 8" |
+ |
+ |
24 |
ОГБУЗ "Консультативно-диагностическая поликлиника N 1" |
+ |
+ |
25 |
ОГБУЗ "Детская клиническая больница" |
+ |
+ |
26 |
ОГБУЗ "Смоленская центральная районная больница" |
+ |
+ |
27 |
ЧУЗ "Клиническая больница "РЖД-Медицина" г. Смоленска |
+ |
+ |
28 |
МЧУ ДПО "Клиника Медекс Смоленск" |
+ |
+ |
29 |
ООО "Альфамед" |
+ |
+ |
30 |
ОГАУЗ "Смоленский областной врачебно-физкультурный диспансер" |
|
+ |
31 |
ОГБУЗ "Смоленская областная клиническая больница" |
|
+ |
32 |
ОГБУЗ "Смоленская областная детская клиническая больница" |
|
+ |
33 |
ОГАУЗ "Смоленская областная клиническая стоматологическая поликлиника" |
|
+ |
34 |
ОГБУЗ "Смоленский областной онкологический клинический диспансер" |
|
+ |
35 |
ОГАУЗ "Стоматологическая поликлиника N 1" |
|
+ |
36 |
ОГАУЗ "Стоматологическая поликлиника N 3" |
|
+ |
37 |
ОГБУЗ "Клиническая больница N 1" |
|
+ |
38 |
ОГБУЗ "Клинический родильный дом" |
|
+ |
39 |
ОГБУЗ "Детская стоматологическая поликлиника" |
|
+ |
40 |
ОГБУЗ "Клиническая больница скорой медицинской помощи" |
|
+ |
41 |
ОГБУЗ "Больница медицинской реабилитации" |
|
+ |
42 |
ФКУЗ "Медико-санитарная часть N 67 Федеральной службы исполнения наказаний" |
|
+ |
43 |
ФКУЗ "Медико-санитарная часть Министерства внутренних дел Российской Федерации по Смоленской области" |
|
+ |
44 |
ОГБУЗ "Смоленский областной клинический госпиталь для ветеранов войн" |
|
+ |
45 |
ФГБУ "Федеральный центр травматологии, ортопедии и эндопротезирования" Министерства здравоохранения Российской Федерации (г. Смоленск) |
|
+ |
46 |
ПАО "Дорогобуж" |
|
+ |
47 |
ООО "Андромед" |
|
+ |
48 |
ООО "Клиника Позвоночника 2К" |
|
+ |
49 |
ООО "Стоматологическая поликлиника" |
|
+ |
50 |
Общество с ограниченной ответственностью "Семейная клиника" (Гагарин) |
|
+ |
51 |
Калужский филиал ФГАУ "Национальный медицинский исследовательский центр "Межотраслевой научно-технический комплекс "Микрохирургия глаза" имени академика С.Н. Федорова" Министерства здравоохранения Российской Федерации |
|
+ |
52 |
ОГБУЗ "Смоленский кожно-венерологический диспансер" |
|
+ |
53 |
ООО "М-Лайн" (г. Москва) |
|
+ |
54 |
ООО "КЛИНИКА ЭКСПЕРТ СМОЛЕНСК" |
|
+ |
55 |
ООО "Медицина Плюс" |
|
+ |
56 |
ООО "ВИТАЛАБ" |
|
+ |
57 |
ООО "КАРАВАЙ" |
|
+ |
58 |
ООО "Диагностика Смоленск" |
|
+ |
59 |
АНО "Реабилитационный центр - Санаторий "Дугино" |
|
+ |
60 |
ООО "ЛДЦ МИБС-СМОЛЕНСК" |
|
+ |
61 |
ООО "ФРЕЗЕНИУС НЕФРОКЕА" |
|
+ |
62 |
ООО "Домашний доктор" |
|
+ |
Приложение 2.1
к Тарифному соглашению
на 2025 год
от 27.12.2024
ТАРИФЫ НА ОПЛАТУ МЕДИЦИНСКОЙ ПОМОЩИ С
ПРИМЕНЕНИЕМ ТЕЛЕМЕДИЦИНСКИХ
ТЕХНОЛОГИЙ
Вид консультации |
Тариф, рублей |
Консультация (консилиум врачей) при дистанционном взаимодействии медицинских работников между собой |
850,00 |
Консультация при дистанционном взаимодействии медицинских работников между собой с применением телемедицинских технологий в целях вынесения заключения по результатам диагностических исследований |
850,00 |
Консультация с использованием телемедицинских технологий при дистанционном взаимодействии медицинских работников с пациентами и (или) их законными представителями |
381,58 |
Приложение 2.2
к Тарифному соглашению
на 2025 год
от 27.12.2024
РАЗМЕР СРЕДСТВ, НАПРАВЛЯЕМЫХ НА
ФИНАНСОВОЕ ОБЕСПЕЧЕНИЕ
ФЕЛЬДШЕРСКО-АКУШЕРСКИХ ПУНКТОВ
МЕДИЦИНСКИХ ОРГАНИЗАЦИЙ
(в ред. Дополнительного соглашения к Тарифному соглашению в системе обязательного медицинского страхования Смоленской области от 25.07.2025 N 7)
┌═══┬══════════════════════┬══════════════┬═════════════════┬══════════════════┬══════════════┬═══════════┬════════════┬════════════════════════════════════┬════════════┬═══════════┬═══════════┬═══════════┬═══════════┬═══════════┬═══════════┬═══════════┬═══════════┬═══════════┬═══════════┬═══════════┬═══════════‰
│ N │ Наименование │ Диапазон │ Соответствие │Укомплектованность│ Диапазон │Финансовый │ Значения │ в том числе │ Размер │ Размер │ Размер │ Размер │ Размер │ Размер │ Размер │ Размер │ Размер │ Размер │ Размер │ Размер │ Размер │
│п/п│фельдшерско-акушерских│ численности │ требованиям, │ медицинскими │ численности │ размер │коэффициента├════════════════════════┬═══════════┤финансового │финансового│финансового│финансового│финансового│финансового│финансового│финансового│финансового│финансового│финансового│финансового│финансового│
│ │пунктов, фельдшерских │обслуживаемого│ установленным │ кадрами, в │обслуживаемого│обеспечения│ специфики │ понижающий/повышающий │коэффициент│обеспечения │обеспечения│обеспечения│обеспечения│обеспечения│обеспечения│обеспечения│обеспечения│обеспечения│обеспечения│обеспечения│обеспечения│обеспечения│
│ │пунктов, фельдшерских │ населения, │ положением об │ соответствии с │ населения до │ от 101 - │ оказания │ коэффициент в │возложения │на год, руб.│ в январе, │в феврале, │ в марте, │ в апреле, │в мае, руб.│ в июне, │ в июле, │в августе, │в сентябре,│в октябре, │ в ноябре, │в декабре. │
│ │ здравпунктов │ чел. │ организации │приказом МЗ РФ от │ 100 чел. и │900 жителей│медицинской │ зависимости от │ отдельных │ │ руб. │ руб. │ руб. │ руб. │ │ руб. │ руб. │ руб. │ руб. │ руб. │ руб. │ руб. │
│ │ медицинской │ │ оказания │15.05.2012 N 543н │ свыше 2000 │ (1442,9); │ помощи │численности населения до│полномочий │ j │ │ │ │ │ │ │ │ │ │ │ │ │
│ │ организации │ │ первичной │ │ чел., для │ от 901 - │ j │ 100 человек/свыше 2000 │ на │ ОС ) │ │ │ │ │ │ │ │ │ │ │ │ │
│ │ │ │медико-санитарной│ │ которых │ 1500 │ (КС ) │ человек (не │ фельдшера │ ФАП │ │ │ │ │ │ │ │ │ │ │ │ │
│ │ │ │помощи взрослому │ │ установлен │ жителей │ БНФ │ соответствующие │ │ │ │ │ │ │ │ │ │ │ │ │ │ │
│ │ │ │ населению │ │ коэффициент │ (2885,8); │ │ требованиям, │ │ │ │ │ │ │ │ │ │ │ │ │ │ │
│ │ │ │ │ │дифференциации│от 1501 до │ │установленным положением│ │ │ │ │ │ │ │ │ │ │ │ │ │ │
│ │ │ │ │ │ по решению │ 2000 - │ │об организации оказания │ │ │ │ │ │ │ │ │ │ │ │ │ │ │
│ │ │ │ │ │ субъекта РФ │ (3430,6) │ │ первичной │ │ │ │ │ │ │ │ │ │ │ │ │ │ │
│ │ │ ├═════════════════┴══════════════════┴══════════════┤(тыс. руб.)│ │медико-санитарной помощи│ │ │ │ │ │ │ │ │ │ │ │ │ │ │
│ │ │ │ соответствие (+), несоответствие (-) │ j │ │ взрослому населению) │ │ │ │ │ │ │ │ │ │ │ │ │ │ │
│ │ │ │ │ (БНФ ) │ │ │ │ │ │ │ │ │ │ │ │ │ │ │ │ │
│ │ │ │ │ ФАП │ │ │ │ │ │ │ │ │ │ │ │ │ │ │ │ │
├═══┴══════════════════════┴══════════════┴═══════════════════════════════════════════════════┴═══════════┴════════════┴════════════════════════┴═══════════┴════════════┴═══════════┴═══════════┴═══════════┴═══════════┴═══════════┴═══════════┴═══════════┴═══════════┴═══════════┴═══════════┴═══════════┴═══════════┤
│ ОГБУЗ "Велижская ЦРБ" │
├═══┬══════════════════════┬══════════════┬═════════════════┬══════════════════┬══════════════┬═══════════┬════════════┬════════════════════════┬═══════════┬════════════┬═══════════┬═══════════┬═══════════┬═══════════┬═══════════┬═══════════┬═══════════┬═══════════┬═══════════┬═══════════┬═══════════┬═══════════┤
│1 │Чепельский │до 100 │ - │ - │ + │1442900,00 │ 0,150 │ 0,1500 │ │ 216435,00 │ 18036,25 │ 18036,25 │ 18036,25 │ 18036,25 │ 18036,25 │ 18036,25 │ 18036,25 │ 18036,25 │ 18036,25 │ 18036,25 │ 18036,25 │ 18036,25 │
├═══┼══════════════════════┼══════════════┼═════════════════┼══════════════════┼══════════════┼═══════════┼════════════┼════════════════════════┼═══════════┼════════════┼═══════════┼═══════════┼═══════════┼═══════════┼═══════════┼═══════════┼═══════════┼═══════════┼═══════════┼═══════════┼═══════════┼═══════════┤
│2 │Заозерский │от 101 - до│ + │ - │ │1442900,00 │ 0,430 │ │ │ 620447,00 │ 60120,83 │ 47495,46 │ 47495,46 │ 51703,92 │ 51703,920 │ 51703,920 │ 51703,920 │ 51703,920 │ 51703,920 │ 51703,920 │ 51703,920 │ 51703,89 │
│ │ │900 │ │ │ │ │ │ │ │ │ │ │ │ │ │ │ │ │ │ │ │ │
├═══┼══════════════════════┼══════════════┼═════════════════┼══════════════════┼══════════════┼═══════════┼════════════┼════════════════════════┼═══════════┼════════════┼═══════════┼═══════════┼═══════════┼═══════════┼═══════════┼═══════════┼═══════════┼═══════════┼═══════════┼═══════════┼═══════════┼═══════════┤
│3 │Шумиловский │от 101 - до│ + │ - │ │1442900,00 │ 0,430 │ │ │ 620447,00 │ 60120,83 │ 47495,46 │ 47495,46 │ 51703,92 │ 51703,92 │ 51703,92 │ 51703,92 │ 51703,92 │ 51703,92 │ 51703,92 │ 51703,92 │ 51703,89 │
│ │ │900 │ │ │ │ │ │ │ │ │ │ │ │ │ │ │ │ │ │ │ │ │
├═══┼══════════════════════┼══════════════┼═════════════════┼══════════════════┼══════════════┼═══════════┼════════════┼════════════════════════┼═══════════┼════════════┼═══════════┼═══════════┼═══════════┼═══════════┼═══════════┼═══════════┼═══════════┼═══════════┼═══════════┼═══════════┼═══════════┼═══════════┤
│4 │Крутовской │от 101 - до│ + │ - │ │1442900,00 │ 0,430 │ │ │ 620447,00 │ 60120,83 │ 47495,46 │ 47495,46 │ 51703,92 │ 51703,92 │ 51703,92 │ 51703,92 │ 51703,92 │ 51703,92 │ 51703,92 │ 51703,92 │ 51703,89 │
│ │ │900 │ │ │ │ │ │ │ │ │ │ │ │ │ │ │ │ │ │ │ │ │
├═══┼══════════════════════┼══════════════┼═════════════════┼══════════════════┼══════════════┼═══════════┼════════════┼════════════════════════┼═══════════┼════════════┼═══════════┼═══════════┼═══════════┼═══════════┼═══════════┼═══════════┼═══════════┼═══════════┼═══════════┼═══════════┼═══════════┼═══════════┤
│5 │Ляховский │от 101 - до│ + │ - │ │1442900,00 │ 0,430 │ │ │ 620447,00 │ 60120,83 │ 47495,46 │ 47495,46 │ 51703,92 │ 51703,92 │ 51703,92 │ 51703,92 │ 51703,92 │ 51703,92 │ 51703,92 │ 51703,92 │ 51703,89 │
│ │ │900 │ │ │ │ │ │ │ │ │ │ │ │ │ │ │ │ │ │ │ │ │
├═══┼══════════════════════┼══════════════┼═════════════════┼══════════════════┼══════════════┼═══════════┼════════════┼════════════════════════┼═══════════┼════════════┼═══════════┼═══════════┼═══════════┼═══════════┼═══════════┼═══════════┼═══════════┼═══════════┼═══════════┼═══════════┼═══════════┼═══════════┤
│6 │Печенковский │от 101 - до│ + │ - │ │1442900,00 │ 0,430 │ │ │ 620447,00 │ 60120,83 │ 47495,46 │ 47495,46 │ 51703,92 │ 51703,92 │ 51703,92 │ 51703,92 │ 51703,92 │ 51703,92 │ 51703,92 │ 51703,92 │ 51703,89 │
│ │ │900 │ │ │ │ │ │ │ │ │ │ │ │ │ │ │ │ │ │ │ │ │
├═══┼══════════════════════┼══════════════┼═════════════════┼══════════════════┼══════════════┼═══════════┼════════════┼════════════════════════┼═══════════┼════════════┼═══════════┼═══════════┼═══════════┼═══════════┼═══════════┼═══════════┼═══════════┼═══════════┼═══════════┼═══════════┼═══════════┼═══════════┤
│7 │Чернейский │от 101 - до│ + │ - │ │1442900,00 │ 0,430 │ │ │ 620447,00 │ 60120,83 │ 47495,46 │ 47495,46 │ 51703,92 │ 51703,92 │ 51703,92 │ 51703,92 │ 51703,92 │ 51703,92 │ 51703,92 │ 51703,92 │ 51703,89 │
│ │ │900 │ │ │ │ │ │ │ │ │ │ │ │ │ │ │ │ │ │ │ │ │
├═══┼══════════════════════┼══════════════┼═════════════════┼══════════════════┼══════════════┼═══════════┼════════════┼════════════════════════┼═══════════┼════════════┼═══════════┼═══════════┼═══════════┼═══════════┼═══════════┼═══════════┼═══════════┼═══════════┼═══════════┼═══════════┼═══════════┼═══════════┤
│8 │Беляевский │от 101 - до│ + │ - │ │1442900,00 │ 0,600 │ │ │ 865740,00 │ 84169,17 │ 66132,91 │ 66132,91 │ 72145,00 │ 72145,00 │ 72145,00 │ 72145,00 │ 72145,00 │ 72145,00 │ 72145,00 │ 72145,00 │ 72145,01 │
│ │ │900 │ │ │ │ │ │ │ │ │ │ │ │ │ │ │ │ │ │ │ │ │
├═══┼══════════════════════┼══════════════┼═════════════════┼══════════════════┼══════════════┼═══════════┼════════════┼════════════════════════┼═══════════┼════════════┼═══════════┼═══════════┼═══════════┼═══════════┼═══════════┼═══════════┼═══════════┼═══════════┼═══════════┼═══════════┼═══════════┼═══════════┤
│9 │Погорельский │от 101 - до│ + │ - │ │1442900,00 │ 0,600 │ │ │ 865740,00 │ 84169,17 │ 66132,91 │ 66132,91 │ 72145,00 │ 72145,00 │ 72145,00 │ 72145,00 │ 72145,00 │ 72145,00 │ 72145,00 │ 72145,00 │ 72145,01 │
│ │ │900 │ │ │ │ │ │ │ │ │ │ │ │ │ │ │ │ │ │ │ │ │
├═══┼══════════════════════┼══════════════┼═════════════════┼══════════════════┼══════════════┼═══════════┼════════════┼════════════════════════┼═══════════┼════════════┼═══════════┼═══════════┼═══════════┼═══════════┼═══════════┼═══════════┼═══════════┼═══════════┼═══════════┼═══════════┼═══════════┼═══════════┤
│10 │Старосельский │от 101 - до│ + │ - │ │1442900,00 │ 0,600 │ │ │ 865740,00 │ 84169,17 │ 66132,91 │ 66132,91 │ 72145,00 │ 72145,00 │ 72145,00 │ 72145,00 │ 72145,00 │ 72145,00 │ 72145,00 │ 72145,00 │ 72145,01 │
│ │ │900 │ │ │ │ │ │ │ │ │ │ │ │ │ │ │ │ │ │ │ │ │
├═══┼══════════════════════┼══════════════┼═════════════════┼══════════════════┼══════════════┼═══════════┼════════════┼════════════════════════┼═══════════┼════════════┼═══════════┼═══════════┼═══════════┼═══════════┼═══════════┼═══════════┼═══════════┼═══════════┼═══════════┼═══════════┼═══════════┼═══════════┤
│11 │Логовский │от 101 - до│ + │ - │ │1442900,00 │ 0,600 │ │ │ 865740,00 │ 84169,17 │ 66132,91 │ 66132,91 │ 72145,00 │ 72145,00 │ 72145,00 │ 72145,00 │ 72145,00 │ 72145,00 │ 72145,00 │ 72145,00 │ 72145,01 │
│ │ │900 │ │ │ │ │ │ │ │ │ │ │ │ │ │ │ │ │ │ │ │ │
├═══┼══════════════════════┼══════════════┼═════════════════┼══════════════════┼══════════════┼═══════════┼════════════┼════════════════════════┼═══════════┼════════════┼═══════════┼═══════════┼═══════════┼═══════════┼═══════════┼═══════════┼═══════════┼═══════════┼═══════════┼═══════════┼═══════════┼═══════════┤
│12 │Будницкий │от 101 - до│ + │ - │ │1442900,00 │ 0,600 │ │ │ 865740,00 │ 84169,17 │ 66132,91 │ 66132,91 │ 72145,00 │ 72145,00 │ 72145,00 │ 72145,00 │ 72145,00 │ 72145,00 │ 72145,00 │ 72145,00 │ 72145,01 │
│ │ │900 │ │ │ │ │ │ │ │ │ │ │ │ │ │ │ │ │ │ │ │ │
├═══┼══════════════════════┼══════════════┼═════════════════┼══════════════════┼══════════════┼═══════════┼════════════┼════════════════════════┼═══════════┼════════════┼═══════════┼═══════════┼═══════════┼═══════════┼═══════════┼═══════════┼═══════════┼═══════════┼═══════════┼═══════════┼═══════════┼═══════════┤
│13 │Ситьковский │от 101 - до│ + │ - │ │1442900,00 │ 0,600 │ │ │ 865740,00 │ 84169,17 │ 66132,91 │ 66132,91 │ 72145,00 │ 72145,00 │ 72145,00 │ 72145,00 │ 72145,00 │ 72145,00 │ 72145,00 │ 72145,00 │ 72145,01 │
│ │ │900 │ │ │ │ │ │ │ │ │ │ │ │ │ │ │ │ │ │ │ │ │
├═══┼══════════════════════┼══════════════┼═════════════════┼══════════════════┼══════════════┼═══════════┼════════════┼════════════════════════┼═══════════┼════════════┼═══════════┼═══════════┼═══════════┼═══════════┼═══════════┼═══════════┼═══════════┼═══════════┼═══════════┼═══════════┼═══════════┼═══════════┤
│13 │ИТОГО │ │ │ │ │ │ │ │ │ 9133557,00 │ 883776,25 │ 699806,47 │ 699806,47 │ 761129,77 │ 761129,77 │ 761129,77 │ 761129,77 │ 761129,77 │ 761129,77 │ 761129,77 │ 761129,77 │ 761129,65 │
├═══┴══════════════════════┴══════════════┴═════════════════┴══════════════════┴══════════════┴═══════════┴════════════┴════════════════════════┴═══════════┴════════════┴═══════════┴═══════════┴═══════════┴═══════════┴═══════════┴═══════════┴═══════════┴═══════════┴═══════════┴═══════════┴═══════════┴═══════════┤
│ ОГБУЗ "Вяземская ЦРБ" │
├═══┬══════════════════════┬══════════════┬═════════════════┬══════════════════┬══════════════┬═══════════┬════════════┬════════════════════════┬═══════════┬════════════┬═══════════┬═══════════┬═══════════┬═══════════┬═══════════┬═══════════┬═══════════┬═══════════┬═══════════┬═══════════┬═══════════┬═══════════┤
│1 │Арнишицкий │до 100 │ - │ - │ + │1442900,00 │ 0,150 │ 0,150 │ │ 216435,00 │ 18036,25 │ 18036,25 │ 18036,25 │ 18036,25 │ 18036,25 │ 18036,25 │ 18036,25 │ 18036,25 │ 18036,25 │ 18036,25 │ 18036,25 │ 18036,25 │
├═══┼══════════════════════┼══════════════┼═════════════════┼══════════════════┼══════════════┼═══════════┼════════════┼════════════════════════┼═══════════┼════════════┼═══════════┼═══════════┼═══════════┼═══════════┼═══════════┼═══════════┼═══════════┼═══════════┼═══════════┼═══════════┼═══════════┼═══════════┤
│2 │Захарьевский │до 100 │ - │ - │ + │1442900,00 │ 0,150 │ 0,150 │ │ 216435,00 │ 18036,25 │ 18036,25 │ 18036,25 │ 18036,25 │ 18036,25 │ 18036,25 │ 18036,25 │ 18036,25 │ 18036,25 │ 18036,25 │ 18036,25 │ 18036,25 │
├═══┼══════════════════════┼══════════════┼═════════════════┼══════════════════┼══════════════┼═══════════┼════════════┼════════════════════════┼═══════════┼════════════┼═══════════┼═══════════┼═══════════┼═══════════┼═══════════┼═══════════┼═══════════┼═══════════┼═══════════┼═══════════┼═══════════┼═══════════┤
│3 │Осиповский │до 100 │ - │ - │ + │1442900,00 │ 0,150 │ 0,150 │ │ 216435,00 │ 18036,25 │ 18036,25 │ 18036,25 │ 18036,25 │ 18036,25 │ 18036,25 │ 18036,25 │ 18036,25 │ 18036,25 │ 18036,25 │ 18036,25 │ 18036,25 │
├═══┼══════════════════════┼══════════════┼═════════════════┼══════════════════┼══════════════┼═══════════┼════════════┼════════════════════════┼═══════════┼════════════┼═══════════┼═══════════┼═══════════┼═══════════┼═══════════┼═══════════┼═══════════┼═══════════┼═══════════┼═══════════┼═══════════┼═══════════┤
│4 │Холмовской │до 100 │ - │ - │ + │1442900,00 │ 0,150 │ 0,150 │ │ 216435,00 │ 18036,25 │ 18036,25 │ 18036,25 │ 18036,25 │ 18036,25 │ 18036,25 │ 18036,25 │ 18036,25 │ 18036,25 │ 18036,25 │ 18036,25 │ 18036,25 │
├═══┼══════════════════════┼══════════════┼═════════════════┼══════════════════┼══════════════┼═══════════┼════════════┼════════════════════════┼═══════════┼════════════┼═══════════┼═══════════┼═══════════┼═══════════┼═══════════┼═══════════┼═══════════┼═══════════┼═══════════┼═══════════┼═══════════┼═══════════┤
│5 │Телепневский │до 100 │ - │ - │ + │1442900,00 │ 0,175 │ 0,150 │ 0,025 │ 252508,00 │ 21042,33 │ 21042,33 │ 21042,33 │ 21042,33 │ 21042,33 │ 21042,33 │ 21042,33 │ 21042,33 │ 21042,33 │ 21042,33 │ 21042,33 │ 21042,37 │
├═══┼══════════════════════┼══════════════┼═════════════════┼══════════════════┼══════════════┼═══════════┼════════════┼════════════════════════┼═══════════┼════════════┼═══════════┼═══════════┼═══════════┼═══════════┼═══════════┼═══════════┼═══════════┼═══════════┼═══════════┼═══════════┼═══════════┼═══════════┤
│6 │Баскаковский │от 101 - до│ + │ - │ │1442900,00 │ 0,150 │ │ │ 216435,00 │ 18036,25 │ 18036,25 │ 18036,25 │ 18036,25 │ 18036,25 │ 18036,25 │ 18036,25 │ 18036,25 │ 18036,25 │ 18036,25 │ 18036,25 │ 18036,25 │
│ │ │900 │ │ │ │ │ │ │ │ │ │ │ │ │ │ │ │ │ │ │ │ │
├═══┼══════════════════════┼══════════════┼═════════════════┼══════════════════┼══════════════┼═══════════┼════════════┼════════════════════════┼═══════════┼════════════┼═══════════┼═══════════┼═══════════┼═══════════┼═══════════┼═══════════┼═══════════┼═══════════┼═══════════┼═══════════┼═══════════┼═══════════┤
│7 │Вязьма-Брянский │от 101 - до│ + │ - │ │1442900,00 │ 0,150 │ │ │ 446045,17 │ 235853,75 │ 253542,76 │ -4335,13 │ -4335,13 │ -4335,13 │ -4335,13 │ -4335,13 │ -4335,13 │ -4335,13 │ -4335,13 │ -4335,13 │ -4335,17 │
│ │ │900 │ │ │ │ │ │ │ │ │ │ │ │ │ │ │ │ │ │ │ │ │
├═══┼══════════════════════┼══════════════┼═════════════════┼══════════════════┼══════════════┼═══════════┼════════════┼════════════════════════┼═══════════┼════════════┼═══════════┼═══════════┼═══════════┼═══════════┼═══════════┼═══════════┼═══════════┼═══════════┼═══════════┼═══════════┼═══════════┼═══════════┤
│8 │Замыцкий │от 101 - до│ + │ - │ │1442900,00 │ 0,150 │ │ │ 216435,00 │ 18036,25 │ 18036,25 │ 18036,25 │ 18036,25 │ 18036,25 │ 18036,25 │ 18036,25 │ 18036,25 │ 18036,25 │ 18036,25 │ 18036,25 │ 18036,25 │
│ │ │900 │ │ │ │ │ │ │ │ │ │ │ │ │ │ │ │ │ │ │ │ │
├═══┼══════════════════════┼══════════════┼═════════════════┼══════════════════┼══════════════┼═══════════┼════════════┼════════════════════════┼═══════════┼════════════┼═══════════┼═══════════┼═══════════┼═══════════┼═══════════┼═══════════┼═══════════┼═══════════┼═══════════┼═══════════┼═══════════┼═══════════┤
│9 │Русановский │от 101 - до│ + │ - │ │1442900,00 │ 0,150 │ │ │ 216435,00 │ 18036,25 │ 18036,25 │ 18036,25 │ 18036,25 │ 18036,25 │ 18036,25 │ 18036,25 │ 18036,25 │ 18036,25 │ 18036,25 │ 18036,25 │ 18036,25 │
│ │ │900 │ │ │ │ │ │ │ │ │ │ │ │ │ │ │ │ │ │ │ │ │
├═══┼══════════════════════┼══════════════┼═════════════════┼══════════════════┼══════════════┼═══════════┼════════════┼════════════════════════┼═══════════┼════════════┼═══════════┼═══════════┼═══════════┼═══════════┼═══════════┼═══════════┼═══════════┼═══════════┼═══════════┼═══════════┼═══════════┼═══════════┤
│10 │Васильевский │от 101 - до│ + │ - │ │1442900,00 │ 0,150 │ │ │ 216435,00 │ 18036,25 │ 18036,25 │ 18036,25 │ 18036,25 │ 18036,25 │ 18036,25 │ 18036,25 │ 18036,25 │ 18036,25 │ 18036,25 │ 18036,25 │ 18036,25 │
│ │ │900 │ │ │ │ │ │ │ │ │ │ │ │ │ │ │ │ │ │ │ │ │
├═══┼══════════════════════┼══════════════┼═════════════════┼══════════════════┼══════════════┼═══════════┼════════════┼════════════════════════┼═══════════┼════════════┼═══════════┼═══════════┼═══════════┼═══════════┼═══════════┼═══════════┼═══════════┼═══════════┼═══════════┼═══════════┼═══════════┼═══════════┤
│11 │Горковский │от 101 - до│ + │ - │ │1442900,00 │ 0,150 │ │ │ 216435,00 │ 18036,25 │ 18036,25 │ 18036,25 │ 18036,25 │ 18036,25 │ 18036,25 │ 18036,25 │ 18036,25 │ 18036,25 │ 18036,25 │ 18036,25 │ 18036,25 │
│ │ │900 │ │ │ │ │ │ │ │ │ │ │ │ │ │ │ │ │ │ │ │ │
├═══┼══════════════════════┼══════════════┼═════════════════┼══════════════════┼══════════════┼═══════════┼════════════┼════════════════════════┼═══════════┼════════════┼═══════════┼═══════════┼═══════════┼═══════════┼═══════════┼═══════════┼═══════════┼═══════════┼═══════════┼═══════════┼═══════════┼═══════════┤
│12 │Селенский │от 101 - до│ + │ - │ │1442900,00 │ 0,150 │ │ │ 216435,00 │ 18036,25 │ 18036,25 │ 18036,25 │ 18036,25 │ 18036,25 │ 18036,25 │ 18036,25 │ 18036,25 │ 18036,25 │ 18036,25 │ 18036,25 │ 18036,25 │
│ │ │900 │ │ │ │ │ │ │ │ │ │ │ │ │ │ │ │ │ │ │ │ │
├═══┼══════════════════════┼══════════════┼═════════════════┼══════════════════┼══════════════┼═══════════┼════════════┼════════════════════════┼═══════════┼════════════┼═══════════┼═══════════┼═══════════┼═══════════┼═══════════┼═══════════┼═══════════┼═══════════┼═══════════┼═══════════┼═══════════┼═══════════┤
│13 │Слободской │от 101 - до│ + │ - │ │1442900,00 │ 0,430 │ │ │ 620447,00 │ 60120,83 │ 47495,46 │ 47495,46 │ 51703,92 │ 51703,92 │ 51703,92 │ 51703,92 │ 51703,92 │ 51703,92 │ 51703,92 │ 51703,92 │ 51703,89 │
│ │ │900 │ │ │ │ │ │ │ │ │ │ │ │ │ │ │ │ │ │ │ │ │
├═══┼══════════════════════┼══════════════┼═════════════════┼══════════════════┼══════════════┼═══════════┼════════════┼════════════════════════┼═══════════┼════════════┼═══════════┼═══════════┼═══════════┼═══════════┼═══════════┼═══════════┼═══════════┼═══════════┼═══════════┼═══════════┼═══════════┼═══════════┤
│14 │Павловский │от 101 - до│ + │ - │ │1442900,00 │ 0,455 │ │ 0,025 │ 656520,00 │ 63126,92 │ 50501,54 │ 50501,54 │ 54710,00 │ 54710,00 │ 54710,00 │ 54710,00 │ 54710,00 │ 54710,00 │ 54710,00 │ 54710,00 │ 54710,00 │
│ │ │900 │ │ │ │ │ │ │ │ │ │ │ │ │ │ │ │ │ │ │ │ │
├═══┼══════════════════════┼══════════════┼═════════════════┼══════════════════┼══════════════┼═══════════┼════════════┼════════════════════════┼═══════════┼════════════┼═══════════┼═══════════┼═══════════┼═══════════┼═══════════┼═══════════┼═══════════┼═══════════┼═══════════┼═══════════┼═══════════┼═══════════┤
│15 │Царево-Займищенский │от 101 - до│ + │ - │ │1442900,00 │ 0,455 │ │ 0,025 │ 656520,00 │ 63126,92 │ 50501,54 │ 50501,54 │ 54710,00 │ 54710,00 │ 54710,00 │ 54710,00 │ 54710,00 │ 54710,00 │ 54710,00 │ 54710,00 │ 54710,00 │
│ │ │900 │ │ │ │ │ │ │ │ │ │ │ │ │ │ │ │ │ │ │ │ │
├═══┼══════════════════════┼══════════════┼═════════════════┼══════════════════┼══════════════┼═══════════┼════════════┼════════════════════════┼═══════════┼════════════┼═══════════┼═══════════┼═══════════┼═══════════┼═══════════┼═══════════┼═══════════┼═══════════┼═══════════┼═══════════┼═══════════┼═══════════┤
│16 │Дрожинский │от 101 - до│ + │ - │ │1442900,00 │ 0,625 │ │ 0,025 │ 901813,00 │ 87175,25 │ 69138,99 │ 69138,99 │ 75151,08 │ 75151,08 │ 75151,08 │ 75151,08 │ 75151,08 │ 75151,08 │ 75151,08 │ 75151,08 │ 75151,13 │
│ │ │900 │ │ │ │ │ │ │ │ │ │ │ │ │ │ │ │ │ │ │ │ │
├═══┼══════════════════════┼══════════════┼═════════════════┼══════════════════┼══════════════┼═══════════┼════════════┼════════════════════════┼═══════════┼════════════┼═══════════┼═══════════┼═══════════┼═══════════┼═══════════┼═══════════┼═══════════┼═══════════┼═══════════┼═══════════┼═══════════┼═══════════┤
│17 │Лосьминский │от 101 - до│ + │ - │ │1442900,00 │ 0,625 │ │ 0,025 │ 901813,00 │ 87175,25 │ 69138,99 │ 69138,99 │ 75151,08 │ 75151,08 │ 75151,08 │ 75151,08 │ 75151,08 │ 75151,08 │ 75151,08 │ 75151,08 │ 75151,13 │
│ │ │900 │ │ │ │ │ │ │ │ │ │ │ │ │ │ │ │ │ │ │ │ │
├═══┼══════════════════════┼══════════════┼═════════════════┼══════════════════┼══════════════┼═══════════┼════════════┼════════════════════════┼═══════════┼════════════┼═══════════┼═══════════┼═══════════┼═══════════┼═══════════┼═══════════┼═══════════┼═══════════┼═══════════┼═══════════┼═══════════┼═══════════┤
│18 │Каснянский │от 101 - до│ + │ - │ │1442900,00 │ 0,625 │ │ 0,025 │ 901813,00 │ 87175,25 │ 69138,99 │ 69138,99 │ 75151,08 │ 75151,08 │ 75151,08 │ 75151,08 │ 75151,08 │ 75151,08 │ 75151,08 │ 75151,08 │ 75151,13 │
│ │ │900 │ │ │ │ │ │ │ │ │ │ │ │ │ │ │ │ │ │ │ │ │
├═══┼══════════════════════┼══════════════┼═════════════════┼══════════════════┼══════════════┼═══════════┼════════════┼════════════════════════┼═══════════┼════════════┼═══════════┼═══════════┼═══════════┼═══════════┼═══════════┼═══════════┼═══════════┼═══════════┼═══════════┼═══════════┼═══════════┼═══════════┤
│19 │Калпитский │от 101 - до│ + │ - │ │1442900,00 │ 0,625 │ │ 0,025 │ 901813,00 │ 87175,25 │ 69138,99 │ 69138,99 │ 75151,08 │ 75151,08 │ 75151,08 │ 75151,08 │ 75151,08 │ 75151,08 │ 75151,08 │ 75151,08 │ 75151,13 │
│ │ │900 │ │ │ │ │ │ │ │ │ │ │ │ │ │ │ │ │ │ │ │ │
├═══┼══════════════════════┼══════════════┼═════════════════┼══════════════════┼══════════════┼═══════════┼════════════┼════════════════════════┼═══════════┼════════════┼═══════════┼═══════════┼═══════════┼═══════════┼═══════════┼═══════════┼═══════════┼═══════════┼═══════════┼═══════════┼═══════════┼═══════════┤
│20 │Ивановский │от 101 - до│ + │ - │ │1442900,00 │ 0,625 │ │ 0,025 │ 901813,00 │ 87175,25 │ 69138,99 │ 69138,99 │ 75151,08 │ 75151,08 │ 75151,08 │ 75151,08 │ 75151,08 │ 75151,08 │ 75151,08 │ 75151,08 │ 75151,13 │
│ │ │900 │ │ │ │ │ │ │ │ │ │ │ │ │ │ │ │ │ │ │ │ │
├═══┼══════════════════════┼══════════════┼═════════════════┼══════════════════┼══════════════┼═══════════┼════════════┼════════════════════════┼═══════════┼════════════┼═══════════┼═══════════┼═══════════┼═══════════┼═══════════┼═══════════┼═══════════┼═══════════┼═══════════┼═══════════┼═══════════┼═══════════┤
│21 │Митьковский │от 101 - до│ + │ - │ │1442900,00 │ 0,625 │ │ 0,025 │ 901813,00 │ 87175,25 │ 69138,99 │ 69138,99 │ 75151,08 │ 75151,08 │ 75151,08 │ 75151,08 │ 75151,08 │ 75151,08 │ 75151,08 │ 75151,08 │ 75151,13 │
│ │ │900 │ │ │ │ │ │ │ │ │ │ │ │ │ │ │ │ │ │ │ │ │
├═══┼══════════════════════┼══════════════┼═════════════════┼══════════════════┼══════════════┼═══════════┼════════════┼════════════════════════┼═══════════┼════════════┼═══════════┼═══════════┼═══════════┼═══════════┼═══════════┼═══════════┼═══════════┼═══════════┼═══════════┼═══════════┼═══════════┼═══════════┤
│22 │Хватово-Заводской │от 101 - до│ + │ - │ │1442900,00 │ 0,625 │ │ 0,025 │ 901813,00 │ 87175,25 │ 69138,99 │ 69138,99 │ 75151,08 │ 75151,08 │ 75151,08 │ 75151,08 │ 75151,08 │ 75151,08 │ 75151,08 │ 75151,08 │ 75151,13 │
│ │ │900 │ │ │ │ │ │ │ │ │ │ │ │ │ │ │ │ │ │ │ │ │
├═══┼══════════════════════┼══════════════┼═════════════════┼══════════════════┼══════════════┼═══════════┼════════════┼════════════════════════┼═══════════┼════════════┼═══════════┼═══════════┼═══════════┼═══════════┼═══════════┼═══════════┼═══════════┼═══════════┼═══════════┼═══════════┼═══════════┼═══════════┤
│23 │Ефремовский │от 101 - до│ + │ - │ │1442900,00 │ 0,625 │ │ 0,025 │ 901813,00 │ 87175,25 │ 69138,99 │ 69138,99 │ 75151,08 │ 75151,08 │ 75151,08 │ 75151,08 │ 75151,08 │ 75151,08 │ 75151,08 │ 75151,08 │ 75151,13 │
│ │ │900 │ │ │ │ │ │ │ │ │ │ │ │ │ │ │ │ │ │ │ │ │
├═══┼══════════════════════┼══════════════┼═════════════════┼══════════════════┼══════════════┼═══════════┼════════════┼════════════════════════┼═══════════┼════════════┼═══════════┼═══════════┼═══════════┼═══════════┼═══════════┼═══════════┼═══════════┼═══════════┼═══════════┼═══════════┼═══════════┼═══════════┤
│24 │Черемушкинский │от 101 - до│ + │ - │ │1442900,00 │ 0,625 │ │ 0,025 │ 901813,00 │ 87175,25 │ 69138,99 │ 69138,99 │ 75151,08 │ 75151,08 │ 75151,08 │ 75151,08 │ 75151,08 │ 75151,08 │ 75151,08 │ 75151,08 │ 75151,13 │
│ │ │900 │ │ │ │ │ │ │ │ │ │ │ │ │ │ │ │ │ │ │ │ │
├═══┼══════════════════════┼══════════════┼═════════════════┼══════════════════┼══════════════┼═══════════┼════════════┼════════════════════════┼═══════════┼════════════┼═══════════┼═══════════┼═══════════┼═══════════┼═══════════┼═══════════┼═══════════┼═══════════┼═══════════┼═══════════┼═══════════┼═══════════┤
│25 │Богородицкий │от 101 - до│ + │ - │ │1442900,00 │ 0,625 │ │ 0,025 │ 901813,00 │ 87175,25 │ 69138,99 │ 69138,99 │ 75151,08 │ 75151,08 │ 75151,08 │ 75151,08 │ 75151,08 │ 75151,08 │ 75151,08 │ 75151,08 │ 75151,13 │
│ │ │900 │ │ │ │ │ │ │ │ │ │ │ │ │ │ │ │ │ │ │ │ │
├═══┼══════════════════════┼══════════════┼═════════════════┼══════════════════┼══════════════┼═══════════┼════════════┼════════════════════════┼═══════════┼════════════┼═══════════┼═══════════┼═══════════┼═══════════┼═══════════┼═══════════┼═══════════┼═══════════┼═══════════┼═══════════┼═══════════┼═══════════┤
│26 │Бухоновский │от 101 - до│ + │ - │ │1442900,00 │ 0,625 │ │ 0,025 │ 901813,00 │ 87175,25 │ 69138,99 │ 69138,99 │ 75151,08 │ 75151,08 │ 75151,08 │ 75151,08 │ 75151,08 │ 75151,08 │ 75151,08 │ 75151,08 │ 75151,13 │
│ │ │900 │ │ │ │ │ │ │ │ │ │ │ │ │ │ │ │ │ │ │ │ │
├═══┼══════════════════════┼══════════════┼═════════════════┼══════════════════┼══════════════┼═══════════┼════════════┼════════════════════════┼═══════════┼════════════┼═══════════┼═══════════┼═══════════┼═══════════┼═══════════┼═══════════┼═══════════┼═══════════┼═══════════┼═══════════┼═══════════┼═══════════┤
│27 │Поляновский │от 101 - до│ + │ - │ │1442900,00 │ 0,625 │ │ 0,025 │ 901813,00 │ 87175,25 │ 69138,99 │ 69138,99 │ 75151,08 │ 75151,08 │ 75151,08 │ 75151,08 │ 75151,08 │ 75151,08 │ 75151,08 │ 75151,08 │ 75151,13 │
│ │ │900 │ │ │ │ │ │ │ │ │ │ │ │ │ │ │ │ │ │ │ │ │
├═══┼══════════════════════┼══════════════┼═════════════════┼══════════════════┼══════════════┼═══════════┼════════════┼════════════════════════┼═══════════┼════════════┼═══════════┼═══════════┼═══════════┼═══════════┼═══════════┼═══════════┼═══════════┼═══════════┼═══════════┼═══════════┼═══════════┼═══════════┤
│28 │Юшковский │от 101 - до│ + │ - │ │1442900,00 │ 0,625 │ │ 0,025 │ 901813,00 │ 87175,25 │ 69138,99 │ 69138,99 │ 75151,08 │ 75151,08 │ 75151,08 │ 75151,08 │ 75151,08 │ 75151,08 │ 75151,08 │ 75151,08 │ 75151,13 │
│ │ │900 │ │ │ │ │ │ │ │ │ │ │ │ │ │ │ │ │ │ │ │ │
├═══┼══════════════════════┼══════════════┼═════════════════┼══════════════════┼══════════════┼═══════════┼════════════┼════════════════════════┼═══════════┼════════════┼═══════════┼═══════════┼═══════════┼═══════════┼═══════════┼═══════════┼═══════════┼═══════════┼═══════════┼═══════════┼═══════════┼═══════════┤
│29 │Мещерский │от 101 - до│ + │ - │ │1442900,00 │ 0,625 │ │ 0,025 │ 901813,00 │ 87175,25 │ 69138,99 │ 69138,99 │ 75151,08 │ 75151,08 │ 75151,08 │ 75151,08 │ 75151,08 │ 75151,08 │ 75151,08 │ 75151,08 │ 75151,13 │
│ │ │900 │ │ │ │ │ │ │ │ │ │ │ │ │ │ │ │ │ │ │ │ │
├═══┼══════════════════════┼══════════════┼═════════════════┼══════════════════┼══════════════┼═══════════┼════════════┼════════════════════════┼═══════════┼════════════┼═══════════┼═══════════┼═══════════┼═══════════┼═══════════┼═══════════┼═══════════┼═══════════┼═══════════┼═══════════┼═══════════┼═══════════┤
│30 │Шуйский │от 101 - до│ + │ - │ │1442900,00 │ 0,625 │ │ 0,025 │ 901813,00 │ 87175,25 │ 69138,99 │ 69138,99 │ 75151,08 │ 75151,08 │ 75151,08 │ 75151,08 │ 75151,08 │ 75151,08 │ 75151,08 │ 75151,08 │ 75151,13 │
│ │ │900 │ │ │ │ │ │ │ │ │ │ │ │ │ │ │ │ │ │ │ │ │
├═══┼══════════════════════┼══════════════┼═════════════════┼══════════════════┼══════════════┼═══════════┼════════════┼════════════════════════┼═══════════┼════════════┼═══════════┼═══════════┼═══════════┼═══════════┼═══════════┼═══════════┼═══════════┼═══════════┼═══════════┼═══════════┼═══════════┼═══════════┤
│31 │Исаковский │от 101 - до│ + │ - │ │1442900,00 │ 0,625 │ │ 0,025 │ 901813,00 │ 87175,25 │ 69138,99 │ 69138,99 │ 75151,08 │ 75151,08 │ 75151,08 │ 75151,08 │ 75151,08 │ 75151,08 │ 75151,08 │ 75151,08 │ 75151,13 │
│ │ │900 │ │ │ │ │ │ │ │ │ │ │ │ │ │ │ │ │ │ │ │ │
├═══┼══════════════════════┼══════════════┼═════════════════┼══════════════════┼══════════════┼═══════════┼════════════┼════════════════════════┼═══════════┼════════════┼═══════════┼═══════════┼═══════════┼═══════════┼═══════════┼═══════════┼═══════════┼═══════════┼═══════════┼═══════════┼═══════════┼═══════════┤
│32 │Относовский │от 101 - до│ + │ - │ │1442900,00 │ 0,625 │ │ 0,025 │ 901813,00 │ 87175,25 │ 69138,99 │ 69138,99 │ 75151,08 │ 75151,08 │ 75151,08 │ 75151,08 │ 75151,08 │ 75151,08 │ 75151,08 │ 75151,08 │ 75151,13 │
│ │ │900 │ │ │ │ │ │ │ │ │ │ │ │ │ │ │ │ │ │ │ │ │
├═══┼══════════════════════┼══════════════┼═════════════════┼══════════════════┼══════════════┼═══════════┼════════════┼════════════════════════┼═══════════┼════════════┼═══════════┼═══════════┼═══════════┼═══════════┼═══════════┼═══════════┼═══════════┼═══════════┼═══════════┼═══════════┼═══════════┼═══════════┤
│33 │Бекринский │от 101 - до│ + │ - │ │1442900,00 │ 0,625 │ │ 0,025 │ 901813,00 │ 87175,25 │ 69138,99 │ 69138,99 │ 75151,08 │ 75151,08 │ 75151,08 │ 75151,08 │ 75151,08 │ 75151,08 │ 75151,08 │ 75151,08 │ 75151,13 │
│ │ │900 │ │ │ │ │ │ │ │ │ │ │ │ │ │ │ │ │ │ │ │ │
├═══┼══════════════════════┼══════════════┼═════════════════┼══════════════════┼══════════════┼═══════════┼════════════┼════════════════════════┼═══════════┼════════════┼═══════════┼═══════════┼═══════════┼═══════════┼═══════════┼═══════════┼═══════════┼═══════════┼═══════════┼═══════════┼═══════════┼═══════════┤
│34 │Нарытковский │от 101 - до│ + │ - │ │1442900,00 │ 0,625 │ │ 0,025 │ 901813,00 │ 87175,25 │ 69138,99 │ 69138,99 │ 75151,08 │ 75151,08 │ 75151,08 │ 75151,08 │ 75151,08 │ 75151,08 │ 75151,08 │ 75151,08 │ 75151,13 │
│ │ │900 │ │ │ │ │ │ │ │ │ │ │ │ │ │ │ │ │ │ │ │ │
├═══┼══════════════════════┼══════════════┼═════════════════┼══════════════════┼══════════════┼═══════════┼════════════┼════════════════════════┼═══════════┼════════════┼═══════════┼═══════════┼═══════════┼═══════════┼═══════════┼═══════════┼═══════════┼═══════════┼═══════════┼═══════════┼═══════════┼═══════════┤
│35 │Булгаковский │от 101 - до│ + │ - │ │1442900,00 │ 0,625 │ │ 0,025 │ 901813,00 │ 87175,25 │ 69138,99 │ 69138,99 │ 75151,08 │ 75151,08 │ 75151,08 │ 75151,08 │ 75151,08 │ 75151,08 │ 75151,08 │ 75151,08 │ 75151,13 │
│ │ │900 │ │ │ │ │ │ │ │ │ │ │ │ │ │ │ │ │ │ │ │ │
├═══┼══════════════════════┼══════════════┼═════════════════┼══════════════════┼══════════════┼═══════════┼════════════┼════════════════════════┼═══════════┼════════════┼═══════════┼═══════════┼═══════════┼═══════════┼═══════════┼═══════════┼═══════════┼═══════════┼═══════════┼═══════════┼═══════════┼═══════════┤
│36 │Левкинский │от 101 - до│ + │ - │ │1442900,00 │ 0,625 │ │ 0,025 │ 901813,00 │ 87175,25 │ 69138,99 │ 69138,99 │ 75151,08 │ 75151,08 │ 75151,08 │ 75151,08 │ 75151,08 │ 75151,08 │ 75151,08 │ 75151,08 │ 75151,13 │
│ │ │900 │ │ │ │ │ │ │ │ │ │ │ │ │ │ │ │ │ │ │ │ │
├═══┼══════════════════════┼══════════════┼═════════════════┼══════════════════┼══════════════┼═══════════┼════════════┼════════════════════════┼═══════════┼════════════┼═══════════┼═══════════┼═══════════┼═══════════┼═══════════┼═══════════┼═══════════┼═══════════┼═══════════┼═══════════┼═══════════┼═══════════┤
│37 │Полдневский │от 101 - до│ + │ - │ │1442900,00 │ 0,625 │ │ 0,025 │ 901813,00 │ 87175,25 │ 69138,99 │ 69138,99 │ 75151,08 │ 75151,08 │ 75151,08 │ 75151,08 │ 75151,08 │ 75151,08 │ 75151,08 │ 75151,08 │ 75151,13 │
│ │ │900 │ │ │ │ │ │ │ │ │ │ │ │ │ │ │ │ │ │ │ │ │
├═══┼══════════════════════┼══════════════┼═════════════════┼══════════════════┼══════════════┼═══════════┼════════════┼════════════════════════┼═══════════┼════════════┼═══════════┼═══════════┼═══════════┼═══════════┼═══════════┼═══════════┼═══════════┼═══════════┼═══════════┼═══════════┼═══════════┼═══════════┤
│38 │Великопольский │от 101 - до│ + │ - │ │1442900,00 │ 0,650 │ │ 0,050 │ 937885,00 │ 90181,25 │ 72144,99 │ 72144,99 │ 78157,08 │ 78157,08 │ 78157,08 │ 78157,08 │ 78157,08 │ 78157,08 │ 78157,08 │ 78157,08 │ 78157,13 │
│ │ │900 │ │ │ │ │ │ │ │ │ │ │ │ │ │ │ │ │ │ │ │ │
├═══┼══════════════════════┼══════════════┼═════════════════┼══════════════════┼══════════════┼═══════════┼════════════┼════════════════════════┼═══════════┼════════════┼═══════════┼═══════════┼═══════════┼═══════════┼═══════════┼═══════════┼═══════════┼═══════════┼═══════════┼═══════════┼═══════════┼═══════════┤
│39 │Вешковский │от 101 - до│ + │ - │ │1442900,00 │ 0,650 │ │ 0,050 │ 937885,00 │ 90181,25 │ 72144,99 │ 72144,99 │ 78157,08 │ 78157,08 │ 78157,08 │ 78157,08 │ 78157,08 │ 78157,08 │ 78157,08 │ 78157,08 │ 78157,13 │
│ │ │900 │ │ │ │ │ │ │ │ │ │ │ │ │ │ │ │ │ │ │ │ │
├═══┼══════════════════════┼══════════════┼═════════════════┼══════════════════┼══════════════┼═══════════┼════════════┼════════════════════════┼═══════════┼════════════┼═══════════┼═══════════┼═══════════┼═══════════┼═══════════┼═══════════┼═══════════┼═══════════┼═══════════┼═══════════┼═══════════┼═══════════┤
│40 │Желаньинский │от 101 - до│ + │ - │ │1442900,00 │ 0,650 │ │ 0,050 │ 937885,00 │ 90181,25 │ 72144,99 │ 72144,99 │ 78157,08 │ 78157,08 │ 78157,08 │ 78157,08 │ 78157,08 │ 78157,08 │ 78157,08 │ 78157,08 │ 78157,13 │
│ │ │900 │ │ │ │ │ │ │ │ │ │ │ │ │ │ │ │ │ │ │ │ │
├═══┼══════════════════════┼══════════════┼═════════════════┼══════════════════┼══════════════┼═══════════┼════════════┼════════════════════════┼═══════════┼════════════┼═══════════┼═══════════┼═══════════┼═══════════┼═══════════┼═══════════┼═══════════┼═══════════┼═══════════┼═══════════┼═══════════┼═══════════┤
│41 │Кикинский │от 101 - до│ + │ - │ │1442900,00 │ 0,650 │ │ 0,050 │ 937885,00 │ 90181,25 │ 72144,99 │ 72144,99 │ 78157,08 │ 78157,08 │ 78157,08 │ 78157,08 │ 78157,08 │ 78157,08 │ 78157,08 │ 78157,08 │ 78157,13 │
│ │ │900 │ │ │ │ │ │ │ │ │ │ │ │ │ │ │ │ │ │ │ │ │
├═══┼══════════════════════┼══════════════┼═════════════════┼══════════════════┼══════════════┼═══════════┼════════════┼════════════════════════┼═══════════┼════════════┼═══════════┼═══════════┼═══════════┼═══════════┼═══════════┼═══════════┼═══════════┼═══════════┼═══════════┼═══════════┼═══════════┼═══════════┤
│42 │Хмелитский │от 101 - до│ + │ + │ │1442900,00 │ 1,025 │ │ 0,025 │ 1478973,00 │ 123247,75 │ 123247,75 │ 123247,75 │ 123247,75 │ 123247,75 │ 123247,75 │ 123247,75 │ 123247,75 │ 123247,75 │ 123247,75 │ 123247,75 │ 123247,75 │
│ │ │900 │ │ │ │ │ │ │ │ │ │ │ │ │ │ │ │ │ │ │ │ │
├═══┼══════════════════════┼══════════════┼═════════════════┼══════════════════┼══════════════┼═══════════┼════════════┼════════════════════════┼═══════════┼════════════┼═══════════┼═══════════┼═══════════┼═══════════┼═══════════┼═══════════┼═══════════┼═══════════┼═══════════┼═══════════┼═══════════┼═══════════┤
│43 │Успенский │от 101 - до│ + │ + │ │1442900,00 │ 1,025 │ │ 0,025 │ 1478973,00 │ 123247,75 │ 123247,75 │ 123247,75 │ 123247,75 │ 123247,75 │ 123247,75 │ 123247,75 │ 123247,75 │ 123247,75 │ 123247,75 │ 123247,75 │ 123247,75 │
│ │ │900 │ │ │ │ │ │ │ │ │ │ │ │ │ │ │ │ │ │ │ │ │
├═══┼══════════════════════┼══════════════┼═════════════════┼══════════════════┼══════════════┼═══════════┼════════════┼════════════════════════┼═══════════┼════════════┼═══════════┼═══════════┼═══════════┼═══════════┼═══════════┼═══════════┼═══════════┼═══════════┼═══════════┼═══════════┼═══════════┼═══════════┤
│44 │Семлевский │от 101 - до│ + │ + │ │1442900,00 │ 1,025 │ │ 0,025 │ 1478973,00 │ 123247,75 │ 123247,75 │ 123247,75 │ 123247,75 │ 123247,75 │ 123247,75 │ 123247,75 │ 123247,75 │ 123247,75 │ 123247,75 │ 123247,75 │ 123247,75 │
│ │ │900 │ │ │ │ │ │ │ │ │ │ │ │ │ │ │ │ │ │ │ │ │
├═══┼══════════════════════┼══════════════┼═════════════════┼══════════════════┼══════════════┼═══════════┼════════════┼════════════════════════┼═══════════┼════════════┼═══════════┼═══════════┼═══════════┼═══════════┼═══════════┼═══════════┼═══════════┼═══════════┼═══════════┼═══════════┼═══════════┼═══════════┤
│45 │Знаменский │от 901 - до│ + │ - │ │2885800,00 │ 0,775 │ │ 0,025 │ 2236495,00 │ 0,00 │ 0,00 │ 541087,50 │ 204410,83 │ 186374,58 │ 186374,58 │ 186374,58 │ 186374,58 │ 186374,58 │ 186374,58 │ 186374,58 │ 186374,61 │
│ │ │1500 │ │ │ │ │ │ │ │ │ │ │ │ │ │ │ │ │ │ │ │ │
├═══┼══════════════════════┼══════════════┼═════════════════┼══════════════════┼══════════════┼═══════════┼════════════┼════════════════════════┼═══════════┼════════════┼═══════════┼═══════════┼═══════════┼═══════════┼═══════════┼═══════════┼═══════════┼═══════════┼═══════════┼═══════════┼═══════════┼═══════════┤
│46 │Андрейсковский │от 901 - до│ + │ - │ │2885800,00 │ 0,775 │ │ 0,025 │ 2236495,00 │ 186374,58 │ 186374,58 │ 186374,58 │ 186374,58 │ 186374,58 │ 186374,58 │ 186374,58 │ 186374,58 │ 186374,58 │ 186374,58 │ 186374,58 │ 186374,62 │
│ │ │1500 │ │ │ │ │ │ │ │ │ │ │ │ │ │ │ │ │ │ │ │ │
├═══┼══════════════════════┼══════════════┼═════════════════┼══════════════════┼══════════════┼═══════════┼════════════┼════════════════════════┼═══════════┼════════════┼═══════════┼═══════════┼═══════════┼═══════════┼═══════════┼═══════════┼═══════════┼═══════════┼═══════════┼═══════════┼═══════════┼═══════════┤
│47 │Новосельский │от 1501 - до│ + │ - │ │3430600,00 │ 0,455 │ │ 0,025 │ 1560923,00 │ 150088,75 │ 120071,00 │ 120071,00 │ 130076,92 │ 130076,92 │ 130076,92 │ 130076,92 │ 130076,92 │ 130076,92 │ 130076,92 │ 130076,92 │ 130076,89 │
│ │ │2000 │ │ │ │ │ │ │ │ │ │ │ │ │ │ │ │ │ │ │ │ │
├═══┼══════════════════════┼══════════════┼═════════════════┼══════════════════┼══════════════┼═══════════┼════════════┼════════════════════════┼═══════════┼════════════┼═══════════┼═══════════┼═══════════┼═══════════┼═══════════┼═══════════┼═══════════┼═══════════┼═══════════┼═══════════┼═══════════┼═══════════┤
│47 │ИТОГО │ │ │ │ │ │ │ │ │38858648,17 │3608420,33 │3089272,70 │3372482,31 │3214751,28 │3196715,03 │3196715,03 │3196715,03 │3196715,03 │3196715,03 │3196715,03 │3196715,03 │3196716,34 │
├═══┴══════════════════════┴══════════════┴═════════════════┴══════════════════┴══════════════┴═══════════┴════════════┴════════════════════════┴═══════════┴════════════┴═══════════┴═══════════┴═══════════┴═══════════┴═══════════┴═══════════┴═══════════┴═══════════┴═══════════┴═══════════┴═══════════┴═══════════┤
│ ОГБУЗ "Гагаринская ЦРБ" │
├═══┬══════════════════════┬══════════════┬═════════════════┬══════════════════┬══════════════┬═══════════┬════════════┬════════════════════════┬═══════════┬════════════┬═══════════┬═══════════┬═══════════┬═══════════┬═══════════┬═══════════┬═══════════┬═══════════┬═══════════┬═══════════┬═══════════┬═══════════┤
│1 │Липцевский │до 100 │ - │ - │ + │1442900,00 │ 0,150 │ 0,150 │ │ 216435,00 │ 18036,25 │ 18036,25 │ 18036,25 │ 18036,25 │ 18036,25 │ 18036,25 │ 18036,25 │ 18036,25 │ 18036,25 │ 18036,25 │ 18036,25 │ 18036,25 │
├═══┼══════════════════════┼══════════════┼═════════════════┼══════════════════┼══════════════┼═══════════┼════════════┼════════════════════════┼═══════════┼════════════┼═══════════┼═══════════┼═══════════┼═══════════┼═══════════┼═══════════┼═══════════┼═══════════┼═══════════┼═══════════┼═══════════┼═══════════┤
│2 │Величковский │до 100 │ - │ - │ + │1442900,00 │ 0,150 │ 0,150 │ │ 216435,00 │ 18036,25 │ 18036,25 │ 18036,25 │ 18036,25 │ 18036,25 │ 18036,25 │ 18036,25 │ 18036,25 │ 18036,25 │ 18036,25 │ 18036,25 │ 18036,25 │
├═══┼══════════════════════┼══════════════┼═════════════════┼══════════════════┼══════════════┼═══════════┼════════════┼════════════════════════┼═══════════┼════════════┼═══════════┼═══════════┼═══════════┼═══════════┼═══════════┼═══════════┼═══════════┼═══════════┼═══════════┼═══════════┼═══════════┼═══════════┤
│3 │Молоченевский │до 100 │ - │ - │ + │1442900,00 │ 0,175 │ 0,150 │ 0,025 │ 252508,00 │ 21042,33 │ 21042,33 │ 21042,33 │ 21042,33 │ 21042,33 │ 21042,33 │ 21042,33 │ 21042,33 │ 21042,33 │ 21042,33 │ 21042,33 │ 21042,37 │
├═══┼══════════════════════┼══════════════┼═════════════════┼══════════════════┼══════════════┼═══════════┼════════════┼════════════════════════┼═══════════┼════════════┼═══════════┼═══════════┼═══════════┼═══════════┼═══════════┼═══════════┼═══════════┼═══════════┼═══════════┼═══════════┼═══════════┼═══════════┤
│4 │Ивашковский │от 101 - до│ + │ - │ │1442900,00 │ 0,150 │ │ 0,000 │ 387779,48 │ 87175,25 │ 69138,99 │ 69138,99 │ 18036,25 │ 18036,25 │ 18036,25 │ 18036,25 │ 18036,25 │ 18036,25 │ 18036,25 │ 18036,25 │ 18036,25 │
│ │ │900 │ │ │ │ │ │ │ │ │ │ │ │ │ │ │ │ │ │ │ │ │
├═══┼══════════════════════┼══════════════┼═════════════════┼══════════════════┼══════════════┼═══════════┼════════════┼════════════════════════┼═══════════┼════════════┼═══════════┼═══════════┼═══════════┼═══════════┼═══════════┼═══════════┼═══════════┼═══════════┼═══════════┼═══════════┼═══════════┼═══════════┤
│5 │Старосельский │от 101 - до│ + │ - │ │1442900,00 │ 0,150 │ │ │ 216435,00 │ 18036,25 │ 18036,25 │ 18036,25 │ 18036,25 │ 18036,25 │ 18036,25 │ 18036,25 │ 18036,25 │ 18036,25 │ 18036,25 │ 18036,25 │ 18036,25 │
│ │ │900 │ │ │ │ │ │ │ │ │ │ │ │ │ │ │ │ │ │ │ │ │
├═══┼══════════════════════┼══════════════┼═════════════════┼══════════════════┼══════════════┼═══════════┼════════════┼════════════════════════┼═══════════┼════════════┼═══════════┼═══════════┼═══════════┼═══════════┼═══════════┼═══════════┼═══════════┼═══════════┼═══════════┼═══════════┼═══════════┼═══════════┤
│6 │Серго-Ивановский │от 101 - до│ + │ - │ │1442900,00 │ 0,150 │ │ │ 216435,00 │ 18036,25 │ 18036,25 │ 18036,25 │ 18036,25 │ 18036,25 │ 18036,25 │ 18036,25 │ 18036,25 │ 18036,25 │ 18036,25 │ 18036,25 │ 18036,25 │
│ │ │900 │ │ │ │ │ │ │ │ │ │ │ │ │ │ │ │ │ │ │ │ │
├═══┼══════════════════════┼══════════════┼═════════════════┼══════════════════┼══════════════┼═══════════┼════════════┼════════════════════════┼═══════════┼════════════┼═══════════┼═══════════┼═══════════┼═══════════┼═══════════┼═══════════┼═══════════┼═══════════┼═══════════┼═══════════┼═══════════┼═══════════┤
│7 │Колокольнинский │от 101 - до│ + │ - │ │1442900,00 │ 0,455 │ │ 0,025 │ 656520,00 │ 63126,92 │ 50501,54 │ 50501,54 │ 54710,00 │ 54710,00 │ 54710,00 │ 54710,00 │ 54710,00 │ 54710,00 │ 54710,00 │ 54710,00 │ 54710,00 │
│ │ │900 │ │ │ │ │ │ │ │ │ │ │ │ │ │ │ │ │ │ │ │ │
├═══┼══════════════════════┼══════════════┼═════════════════┼══════════════════┼══════════════┼═══════════┼════════════┼════════════════════════┼═══════════┼════════════┼═══════════┼═══════════┼═══════════┼═══════════┼═══════════┼═══════════┼═══════════┼═══════════┼═══════════┼═══════════┼═══════════┼═══════════┤
│8 │Куршевский │от 101 - до│ + │ - │ │1442900,00 │ 0,455 │ │ 0,025 │ 656520,00 │ 63126,92 │ 50501,54 │ 50501,54 │ 54710,00 │ 54710,00 │ 54710,00 │ 54710,00 │ 54710,00 │ 54710,00 │ 54710,00 │ 54710,00 │ 54710,00 │
│ │ │900 │ │ │ │ │ │ │ │ │ │ │ │ │ │ │ │ │ │ │ │ │
├═══┼══════════════════════┼══════════════┼═════════════════┼══════════════════┼══════════════┼═══════════┼════════════┼════════════════════════┼═══════════┼════════════┼═══════════┼═══════════┼═══════════┼═══════════┼═══════════┼═══════════┼═══════════┼═══════════┼═══════════┼═══════════┼═══════════┼═══════════┤
│9 │Первитинский │от 101 - до│ + │ - │ │1442900,00 │ 0,455 │ │ 0,025 │ 656520,00 │ 63126,92 │ 50501,54 │ 50501,54 │ 54710,00 │ 54710,00 │ 54710,00 │ 54710,00 │ 54710,00 │ 54710,00 │ 54710,00 │ 54710,00 │ 54710,00 │
│ │ │900 │ │ │ │ │ │ │ │ │ │ │ │ │ │ │ │ │ │ │ │ │
├═══┼══════════════════════┼══════════════┼═════════════════┼══════════════════┼══════════════┼═══════════┼════════════┼════════════════════════┼═══════════┼════════════┼═══════════┼═══════════┼═══════════┼═══════════┼═══════════┼═══════════┼═══════════┼═══════════┼═══════════┼═══════════┼═══════════┼═══════════┤
│10 │Мамоновский │от 101 - до│ + │ - │ │1442900,00 │ 0,625 │ │ 0,025 │ 901813,00 │ 87175,25 │ 69138,99 │ 69138,99 │ 75151,08 │ 75151,08 │ 75151,08 │ 75151,08 │ 75151,08 │ 75151,08 │ 75151,08 │ 75151,08 │ 75151,13 │
│ │ │900 │ │ │ │ │ │ │ │ │ │ │ │ │ │ │ │ │ │ │ │ │
├═══┼══════════════════════┼══════════════┼═════════════════┼══════════════════┼══════════════┼═══════════┼════════════┼════════════════════════┼═══════════┼════════════┼═══════════┼═══════════┼═══════════┼═══════════┼═══════════┼═══════════┼═══════════┼═══════════┼═══════════┼═══════════┼═══════════┼═══════════┤
│11 │Астаховский │от 101 - до│ + │ - │ │1442900,00 │ 0,625 │ │ 0,025 │ 901813,00 │ 87175,25 │ 69138,99 │ 69138,99 │ 75151,08 │ 75151,08 │ 75151,08 │ 75151,08 │ 75151,08 │ 75151,08 │ 75151,08 │ 75151,08 │ 75151,13 │
│ │ │900 │ │ │ │ │ │ │ │ │ │ │ │ │ │ │ │ │ │ │ │ │
├═══┼══════════════════════┼══════════════┼═════════════════┼══════════════════┼══════════════┼═══════════┼════════════┼════════════════════════┼═══════════┼════════════┼═══════════┼═══════════┼═══════════┼═══════════┼═══════════┼═══════════┼═══════════┼═══════════┼═══════════┼═══════════┼═══════════┼═══════════┤
│12 │Благодатненский │от 101 - до│ + │ - │ │1442900,00 │ 0,625 │ │ 0,025 │ 901813,00 │ 87175,25 │ 69138,99 │ 69138,99 │ 75151,08 │ 75151,08 │ 75151,08 │ 75151,08 │ 75151,08 │ 75151,08 │ 75151,08 │ 75151,08 │ 75151,13 │
│ │ │900 │ │ │ │ │ │ │ │ │ │ │ │ │ │ │ │ │ │ │ │ │
├═══┼══════════════════════┼══════════════┼═════════════════┼══════════════════┼══════════════┼═══════════┼════════════┼════════════════════════┼═══════════┼════════════┼═══════════┼═══════════┼═══════════┼═══════════┼═══════════┼═══════════┼═══════════┼═══════════┼═══════════┼═══════════┼═══════════┼═══════════┤
│13 │Ельнинский │от 101 - до│ + │ - │ │1442900,00 │ 0,625 │ │ 0,025 │ 901813,00 │ 87175,25 │ 69138,99 │ 69138,99 │ 75151,08 │ 75151,08 │ 75151,08 │ 75151,08 │ 75151,08 │ 75151,08 │ 75151,08 │ 75151,08 │ 75151,13 │
│ │ │900 │ │ │ │ │ │ │ │ │ │ │ │ │ │ │ │ │ │ │ │ │
├═══┼══════════════════════┼══════════════┼═════════════════┼══════════════════┼══════════════┼═══════════┼════════════┼════════════════════════┼═══════════┼════════════┼═══════════┼═══════════┼═══════════┼═══════════┼═══════════┼═══════════┼═══════════┼═══════════┼═══════════┼═══════════┼═══════════┼═══════════┤
│14 │Ивинский │от 101 - до│ + │ - │ │1442900,00 │ 0,625 │ │ 0,025 │ 901813,00 │ 87175,25 │ 69138,99 │ 69138,99 │ 75151,08 │ 75151,08 │ 75151,08 │ 75151,08 │ 75151,08 │ 75151,08 │ 75151,08 │ 75151,08 │ 75151,13 │
│ │ │900 │ │ │ │ │ │ │ │ │ │ │ │ │ │ │ │ │ │ │ │ │
├═══┼══════════════════════┼══════════════┼═════════════════┼══════════════════┼══════════════┼═══════════┼════════════┼════════════════════════┼═══════════┼════════════┼═══════════┼═══════════┼═══════════┼═══════════┼═══════════┼═══════════┼═══════════┼═══════════┼═══════════┼═══════════┼═══════════┼═══════════┤
│15 │Клушинский │от 101 - до│ + │ - │ │1442900,00 │ 0,625 │ │ 0,025 │ 901813,00 │ 87175,25 │ 69138,99 │ 69138,99 │ 75151,08 │ 75151,08 │ 75151,08 │ 75151,08 │ 75151,08 │ 75151,08 │ 75151,08 │ 75151,08 │ 75151,13 │
│ │ │900 │ │ │ │ │ │ │ │ │ │ │ │ │ │ │ │ │ │ │ │ │
├═══┼══════════════════════┼══════════════┼═════════════════┼══════════════════┼══════════════┼═══════════┼════════════┼════════════════════════┼═══════════┼════════════┼═══════════┼═══════════┼═══════════┼═══════════┼═══════════┼═══════════┼═══════════┼═══════════┼═══════════┼═══════════┼═══════════┼═══════════┤
│16 │Мальцевский │от 101 - до│ + │ - │ │1442900,00 │ 0,625 │ │ 0,025 │ 901813,00 │ 87175,25 │ 69138,99 │ 69138,99 │ 75151,08 │ 75151,08 │ 75151,08 │ 75151,08 │ 75151,08 │ 75151,08 │ 75151,08 │ 75151,08 │ 75151,13 │
│ │ │900 │ │ │ │ │ │ │ │ │ │ │ │ │ │ │ │ │ │ │ │ │
├═══┼══════════════════════┼══════════════┼═════════════════┼══════════════════┼══════════════┼═══════════┼════════════┼════════════════════════┼═══════════┼════════════┼═══════════┼═══════════┼═══════════┼═══════════┼═══════════┼═══════════┼═══════════┼═══════════┼═══════════┼═══════════┼═══════════┼═══════════┤
│17 │Мишинский │от 101 - до│ + │ - │ │1442900,00 │ 0,625 │ │ 0,025 │ 901813,00 │ 87175,25 │ 69138,99 │ 69138,99 │ 75151,08 │ 75151,08 │ 75151,08 │ 75151,08 │ 75151,08 │ 75151,08 │ 75151,08 │ 75151,08 │ 75151,13 │
│ │ │900 │ │ │ │ │ │ │ │ │ │ │ │ │ │ │ │ │ │ │ │ │
├═══┼══════════════════════┼══════════════┼═════════════════┼══════════════════┼══════════════┼═══════════┼════════════┼════════════════════════┼═══════════┼════════════┼═══════════┼═══════════┼═══════════┼═══════════┼═══════════┼═══════════┼═══════════┼═══════════┼═══════════┼═══════════┼═══════════┼═══════════┤
│18 │Потаповский │от 101 - до│ + │ - │ │1442900,00 │ 0,625 │ │ 0,025 │ 901813,00 │ 87175,25 │ 69138,99 │ 69138,99 │ 75151,08 │ 75151,08 │ 75151,08 │ 75151,08 │ 75151,08 │ 75151,08 │ 75151,08 │ 75151,08 │ 75151,13 │
│ │ │900 │ │ │ │ │ │ │ │ │ │ │ │ │ │ │ │ │ │ │ │ │
├═══┼══════════════════════┼══════════════┼═════════════════┼══════════════════┼══════════════┼═══════════┼════════════┼════════════════════════┼═══════════┼════════════┼═══════════┼═══════════┼═══════════┼═══════════┼═══════════┼═══════════┼═══════════┼═══════════┼═══════════┼═══════════┼═══════════┼═══════════┤
│19 │Пышковский │от 101 - до│ + │ - │ │1442900,00 │ 0,625 │ │ 0,025 │ 901813,00 │ 87175,25 │ 69138,99 │ 69138,99 │ 75151,08 │ 75151,08 │ 75151,08 │ 75151,08 │ 75151,08 │ 75151,08 │ 75151,08 │ 75151,08 │ 75151,13 │
│ │ │900 │ │ │ │ │ │ │ │ │ │ │ │ │ │ │ │ │ │ │ │ │
├═══┼══════════════════════┼══════════════┼═════════════════┼══════════════════┼══════════════┼═══════════┼════════════┼════════════════════════┼═══════════┼════════════┼═══════════┼═══════════┼═══════════┼═══════════┼═══════════┼═══════════┼═══════════┼═══════════┼═══════════┼═══════════┼═══════════┼═══════════┤
│20 │Самуйловский │от 101 - до│ + │ - │ │1442900,00 │ 0,625 │ │ 0,025 │ 901813,00 │ 87175,25 │ 69138,99 │ 69138,99 │ 75151,08 │ 75151,08 │ 75151,08 │ 75151,08 │ 75151,08 │ 75151,08 │ 75151,08 │ 75151,08 │ 75151,13 │
│ │ │900 │ │ │ │ │ │ │ │ │ │ │ │ │ │ │ │ │ │ │ │ │
├═══┼══════════════════════┼══════════════┼═════════════════┼══════════════════┼══════════════┼═══════════┼════════════┼════════════════════════┼═══════════┼════════════┼═══════════┼═══════════┼═══════════┼═══════════┼═══════════┼═══════════┼═══════════┼═══════════┼═══════════┼═══════════┼═══════════┼═══════════┤
│21 │Черногубцевский │от 101 - до│ + │ - │ │1442900,00 │ 0,625 │ │ 0,025 │ 901813,00 │ 87175,25 │ 69138,99 │ 69138,99 │ 75151,08 │ 75151,08 │ 75151,08 │ 75151,08 │ 75151,08 │ 75151,08 │ 75151,08 │ 75151,08 │ 75151,13 │
│ │ │900 │ │ │ │ │ │ │ │ │ │ │ │ │ │ │ │ │ │ │ │ │
├═══┼══════════════════════┼══════════════┼═════════════════┼══════════════════┼══════════════┼═══════════┼════════════┼════════════════════════┼═══════════┼════════════┼═══════════┼═══════════┼═══════════┼═══════════┼═══════════┼═══════════┼═══════════┼═══════════┼═══════════┼═══════════┼═══════════┼═══════════┤
│22 │Юринский │от 101 - до│ + │ - │ │1442900,00 │ 0,625 │ │ 0,025 │ 901813,00 │ 87175,25 │ 69138,99 │ 69138,99 │ 75151,08 │ 75151,08 │ 75151,08 │ 75151,08 │ 75151,08 │ 75151,08 │ 75151,08 │ 75151,08 │ 75151,13 │
│ │ │900 │ │ │ │ │ │ │ │ │ │ │ │ │ │ │ │ │ │ │ │ │
├═══┼══════════════════════┼══════════════┼═════════════════┼══════════════════┼══════════════┼═══════════┼════════════┼════════════════════════┼═══════════┼════════════┼═══════════┼═══════════┼═══════════┼═══════════┼═══════════┼═══════════┼═══════════┼═══════════┼═══════════┼═══════════┼═══════════┼═══════════┤
│23 │Ашковский │от 901 - до│ + │ - │ │2885800,00 │ 0,750 │ │ │ 2164350,00 │ 180362,50 │ 180362,50 │ 180362,50 │ 180362,50 │ 180362,50 │ 180362,50 │ 180362,50 │ 180362,50 │ 180362,50 │ 180362,50 │ 180362,50 │ 180362,50 │
│ │ │1500 │ │ │ │ │ │ │ │ │ │ │ │ │ │ │ │ │ │ │ │ │
├═══┼══════════════════════┼══════════════┼═════════════════┼══════════════════┼══════════════┼═══════════┼════════════┼════════════════════════┼═══════════┼════════════┼═══════════┼═══════════┼═══════════┼═══════════┼═══════════┼═══════════┼═══════════┼═══════════┼═══════════┼═══════════┼═══════════┼═══════════┤
│24 │Родомановский │от 901 - до│ + │ - │ │2885800,00 │ 0,455 │ │ 0,025 │ 1313039,00 │ 126253,75 │ 101003,00 │ 101003,00 │ 109419,92 │ 109419,92 │ 109419,92 │ 109419,92 │ 109419,92 │ 109419,92 │ 109419,92 │ 109419,92 │ 109419,89 │
│ │ │1500 │ │ │ │ │ │ │ │ │ │ │ │ │ │ │ │ │ │ │ │ │
├═══┼══════════════════════┼══════════════┼═════════════════┼══════════════════┼══════════════┼═══════════┼════════════┼════════════════════════┼═══════════┼════════════┼═══════════┼═══════════┼═══════════┼═══════════┼═══════════┼═══════════┼═══════════┼═══════════┼═══════════┼═══════════┼═══════════┼═══════════┤
│24 │ИТОГО │ │ │ │ │ │ │ │ │18676545,48 │1809637,84 │1494003,31 │1494003,31 │1542100,04 │1542100,04 │1542100,04 │1542100,04 │1542100,04 │1542100,04 │1542100,04 │1542100,04 │1542100,70 │
├═══┴══════════════════════┴══════════════┴═════════════════┴══════════════════┴══════════════┴═══════════┴════════════┴════════════════════════┴═══════════┴════════════┴═══════════┴═══════════┴═══════════┴═══════════┴═══════════┴═══════════┴═══════════┴═══════════┴═══════════┴═══════════┴═══════════┴═══════════┤
│ ОГБУЗ "Демидовская ЦРБ" │
├═══┬══════════════════════┬══════════════┬═════════════════┬══════════════════┬══════════════┬═══════════┬════════════┬════════════════════════┬═══════════┬════════════┬═══════════┬═══════════┬═══════════┬═══════════┬═══════════┬═══════════┬═══════════┬═══════════┬═══════════┬═══════════┬═══════════┬═══════════┤
│1 │Демидовский │до 100 │ - │ - │ + │1442900,00 │ 0,150 │ 0,150 │ │ 216435,00 │ 18036,25 │ 18036,25 │ 18036,25 │ 18036,25 │ 18036,25 │ 18036,25 │ 18036,25 │ 18036,25 │ 18036,25 │ 18036,25 │ 18036,25 │ 18036,25 │
├═══┼══════════════════════┼══════════════┼═════════════════┼══════════════════┼══════════════┼═══════════┼════════════┼════════════════════════┼═══════════┼════════════┼═══════════┼═══════════┼═══════════┼═══════════┼═══════════┼═══════════┼═══════════┼═══════════┼═══════════┼═══════════┼═══════════┼═══════════┤
│2 │Евсеевский │до 100 │ - │ - │ + │1442900,00 │ 0,150 │ 0,150 │ │ 216435,00 │ 18036,25 │ 18036,25 │ 18036,25 │ 18036,25 │ 18036,25 │ 18036,25 │ 18036,25 │ 18036,25 │ 18036,25 │ 18036,25 │ 18036,25 │ 18036,25 │
├═══┼══════════════════════┼══════════════┼═════════════════┼══════════════════┼══════════════┼═══════════┼════════════┼════════════════════════┼═══════════┼════════════┼═══════════┼═══════════┼═══════════┼═══════════┼═══════════┼═══════════┼═══════════┼═══════════┼═══════════┼═══════════┼═══════════┼═══════════┤
│3 │Жичицкий │до 100 │ - │ - │ + │1442900,00 │ 0,150 │ 0,150 │ │ 216435,00 │ 18036,25 │ 18036,25 │ 18036,25 │ 18036,25 │ 18036,25 │ 18036,25 │ 18036,25 │ 18036,25 │ 18036,25 │ 18036,25 │ 18036,25 │ 18036,25 │
├═══┼══════════════════════┼══════════════┼═════════════════┼══════════════════┼══════════════┼═══════════┼════════════┼════════════════════════┼═══════════┼════════════┼═══════════┼═══════════┼═══════════┼═══════════┼═══════════┼═══════════┼═══════════┼═══════════┼═══════════┼═══════════┼═══════════┼═══════════┤
│4 │Коревский │до 100 │ - │ - │ + │1442900,00 │ 0,150 │ 0,150 │ │ 216435,00 │ 18036,25 │ 18036,25 │ 18036,25 │ 18036,25 │ 18036,25 │ 18036,25 │ 18036,25 │ 18036,25 │ 18036,25 │ 18036,25 │ 18036,25 │ 18036,25 │
├═══┼══════════════════════┼══════════════┼═════════════════┼══════════════════┼══════════════┼═══════════┼════════════┼════════════════════════┼═══════════┼════════════┼═══════════┼═══════════┼═══════════┼═══════════┼═══════════┼═══════════┼═══════════┼═══════════┼═══════════┼═══════════┼═══════════┼═══════════┤
│5 │Бородинский │от 101 - до│ + │ - │ │1442900,00 │ 0,430 │ │ │ 620447,00 │ 60120,83 │ 47495,46 │ 47495,46 │ 51703,92 │ 51703,92 │ 51703,92 │ 51703,92 │ 51703,92 │ 51703,92 │ 51703,92 │ 51703,92 │ 51703,89 │
│ │ │900 │ │ │ │ │ │ │ │ │ │ │ │ │ │ │ │ │ │ │ │ │
├═══┼══════════════════════┼══════════════┼═════════════════┼══════════════════┼══════════════┼═══════════┼════════════┼════════════════════════┼═══════════┼════════════┼═══════════┼═══════════┼═══════════┼═══════════┼═══════════┼═══════════┼═══════════┼═══════════┼═══════════┼═══════════┼═══════════┼═══════════┤
│6 │Петраковский │от 101 - до│ + │ - │ │1442900,00 │ 0,430 │ │ │ 620447,00 │ 60120,83 │ 47495,46 │ 47495,46 │ 51703,92 │ 51703,92 │ 51703,92 │ 51703,92 │ 51703,92 │ 51703,92 │ 51703,92 │ 51703,92 │ 51703,89 │
│ │ │900 │ │ │ │ │ │ │ │ │ │ │ │ │ │ │ │ │ │ │ │ │
├═══┼══════════════════════┼══════════════┼═════════════════┼══════════════════┼══════════════┼═══════════┼════════════┼════════════════════════┼═══════════┼════════════┼═══════════┼═══════════┼═══════════┼═══════════┼═══════════┼═══════════┼═══════════┼═══════════┼═══════════┼═══════════┼═══════════┼═══════════┤
│7 │Пересудовский │от 101 - до│ + │ - │ │1442900,00 │ 0,600 │ │ │ 865740,00 │ 84169,17 │ 66132,91 │ 66132,91 │ 72145,00 │ 72145,00 │ 72145,00 │ 72145,00 │ 72145,00 │ 72145,00 │ 72145,00 │ 72145,00 │ 72145,01 │
│ │ │900 │ │ │ │ │ │ │ │ │ │ │ │ │ │ │ │ │ │ │ │ │
├═══┼══════════════════════┼══════════════┼═════════════════┼══════════════════┼══════════════┼═══════════┼════════════┼════════════════════════┼═══════════┼════════════┼═══════════┼═══════════┼═══════════┼═══════════┼═══════════┼═══════════┼═══════════┼═══════════┼═══════════┼═══════════┼═══════════┼═══════════┤
│8 │Баклановский │от 101 - до│ + │ - │ │1442900,00 │ 0,600 │ │ │ 865740,00 │ 84169,17 │ 66132,91 │ 66132,91 │ 72145,00 │ 72145,00 │ 72145,00 │ 72145,00 │ 72145,00 │ 72145,00 │ 72145,00 │ 72145,00 │ 72145,01 │
│ │ │900 │ │ │ │ │ │ │ │ │ │ │ │ │ │ │ │ │ │ │ │ │
├═══┼══════════════════════┼══════════════┼═════════════════┼══════════════════┼══════════════┼═══════════┼════════════┼════════════════════════┼═══════════┼════════════┼═══════════┼═══════════┼═══════════┼═══════════┼═══════════┼═══════════┼═══════════┼═══════════┼═══════════┼═══════════┼═══════════┼═══════════┤
│9 │Дубровский │от 101 - до│ + │ - │ │1442900,00 │ 0,600 │ │ │ 865740,00 │ 84169,17 │ 66132,91 │ 66132,91 │ 72145,00 │ 72145,00 │ 72145,00 │ 72145,00 │ 72145,00 │ 72145,00 │ 72145,00 │ 72145,00 │ 72145,01 │
│ │ │900 │ │ │ │ │ │ │ │ │ │ │ │ │ │ │ │ │ │ │ │ │
├═══┼══════════════════════┼══════════════┼═════════════════┼══════════════════┼══════════════┼═══════════┼════════════┼════════════════════════┼═══════════┼════════════┼═══════════┼═══════════┼═══════════┼═══════════┼═══════════┼═══════════┼═══════════┼═══════════┼═══════════┼═══════════┼═══════════┼═══════════┤
│10 │Ельшанский │от 101 - до│ + │ - │ │1442900,00 │ 0,600 │ │ │ 865740,00 │ 84169,17 │ 66132,91 │ 66132,91 │ 72145,00 │ 72145,00 │ 72145,00 │ 72145,00 │ 72145,00 │ 72145,00 │ 72145,00 │ 72145,00 │ 72145,01 │
│ │ │900 │ │ │ │ │ │ │ │ │ │ │ │ │ │ │ │ │ │ │ │ │
├═══┼══════════════════════┼══════════════┼═════════════════┼══════════════════┼══════════════┼═══════════┼════════════┼════════════════════════┼═══════════┼════════════┼═══════════┼═══════════┼═══════════┼═══════════┼═══════════┼═══════════┼═══════════┼═══════════┼═══════════┼═══════════┼═══════════┼═══════════┤
│11 │Заборьевский │от 101 - до│ + │ - │ │1442900,00 │ 0,600 │ │ │ 865740,00 │ 84169,17 │ 66132,91 │ 66132,91 │ 72145,00 │ 72145,00 │ 72145,00 │ 72145,00 │ 72145,00 │ 72145,00 │ 72145,00 │ 72145,00 │ 72145,01 │
│ │ │900 │ │ │ │ │ │ │ │ │ │ │ │ │ │ │ │ │ │ │ │ │
├═══┼══════════════════════┼══════════════┼═════════════════┼══════════════════┼══════════════┼═══════════┼════════════┼════════════════════════┼═══════════┼════════════┼═══════════┼═══════════┼═══════════┼═══════════┼═══════════┼═══════════┼═══════════┼═══════════┼═══════════┼═══════════┼═══════════┼═══════════┤
│12 │Закрутский │от 101 - до│ + │ - │ │1442900,00 │ 0,600 │ │ │ 865740,00 │ 84169,17 │ 66132,91 │ 66132,91 │ 72145,00 │ 72145,00 │ 72145,00 │ 72145,00 │ 72145,00 │ 72145,00 │ 72145,00 │ 72145,00 │ 72145,01 │
│ │ │900 │ │ │ │ │ │ │ │ │ │ │ │ │ │ │ │ │ │ │ │ │
├═══┼══════════════════════┼══════════════┼═════════════════┼══════════════════┼══════════════┼═══════════┼════════════┼════════════════════════┼═══════════┼════════════┼═══════════┼═══════════┼═══════════┼═══════════┼═══════════┼═══════════┼═══════════┼═══════════┼═══════════┼═══════════┼═══════════┼═══════════┤
│13 │Карцевский │от 101 - до│ + │ - │ │1442900,00 │ 0,600 │ │ │ 865740,00 │ 84169,17 │ 66132,91 │ 66132,91 │ 72145,00 │ 72145,00 │ 72145,00 │ 72145,00 │ 72145,00 │ 72145,00 │ 72145,00 │ 72145,00 │ 72145,01 │
│ │ │900 │ │ │ │ │ │ │ │ │ │ │ │ │ │ │ │ │ │ │ │ │
├═══┼══════════════════════┼══════════════┼═════════════════┼══════════════════┼══════════════┼═══════════┼════════════┼════════════════════════┼═══════════┼════════════┼═══════════┼═══════════┼═══════════┼═══════════┼═══════════┼═══════════┼═══════════┼═══════════┼═══════════┼═══════════┼═══════════┼═══════════┤
│14 │В. Моховичский │от 101 - до│ + │ - │ │1442900,00 │ 0,600 │ │ │ 865740,00 │ 84169,17 │ 66132,91 │ 66132,91 │ 72145,00 │ 72145,00 │ 72145,00 │ 72145,00 │ 72145,00 │ 72145,00 │ 72145,00 │ 72145,00 │ 72145,01 │
│ │ │900 │ │ │ │ │ │ │ │ │ │ │ │ │ │ │ │ │ │ │ │ │
├═══┼══════════════════════┼══════════════┼═════════════════┼══════════════════┼══════════════┼═══════════┼════════════┼════════════════════════┼═══════════┼════════════┼═══════════┼═══════════┼═══════════┼═══════════┼═══════════┼═══════════┼═══════════┼═══════════┼═══════════┼═══════════┼═══════════┼═══════════┤
│15 │Михайловский │от 101 - до│ + │ - │ │1442900,00 │ 0,600 │ │ │ 865740,00 │ 84169,17 │ 66132,91 │ 66132,91 │ 72145,00 │ 72145,00 │ 72145,00 │ 72145,00 │ 72145,00 │ 72145,00 │ 72145,00 │ 72145,00 │ 72145,01 │
│ │ │900 │ │ │ │ │ │ │ │ │ │ │ │ │ │ │ │ │ │ │ │ │
├═══┼══════════════════════┼══════════════┼═════════════════┼══════════════════┼══════════════┼═══════════┼════════════┼════════════════════════┼═══════════┼════════════┼═══════════┼═══════════┼═══════════┼═══════════┼═══════════┼═══════════┼═══════════┼═══════════┼═══════════┼═══════════┼═══════════┼═══════════┤
│16 │Титовщинский │от 101 - до│ + │ - │ │1442900,00 │ 0,600 │ │ │ 865740,00 │ 84169,17 │ 66132,91 │ 66132,91 │ 72145,00 │ 72145,00 │ 72145,00 │ 72145,00 │ 72145,00 │ 72145,00 │ 72145,00 │ 72145,00 │ 72145,01 │
│ │ │900 │ │ │ │ │ │ │ │ │ │ │ │ │ │ │ │ │ │ │ │ │
├═══┼══════════════════════┼══════════════┼═════════════════┼══════════════════┼══════════════┼═══════════┼════════════┼════════════════════════┼═══════════┼════════════┼═══════════┼═══════════┼═══════════┼═══════════┼═══════════┼═══════════┼═══════════┼═══════════┼═══════════┼═══════════┼═══════════┼═══════════┤
│17 │Холмовской │от 101 - до│ + │ - │ │1442900,00 │ 0,600 │ │ │ 865740,00 │ 84169,17 │ 66132,91 │ 66132,91 │ 72145,00 │ 72145,00 │ 72145,00 │ 72145,00 │ 72145,00 │ 72145,00 │ 72145,00 │ 72145,00 │ 72145,01 │
│ │ │900 │ │ │ │ │ │ │ │ │ │ │ │ │ │ │ │ │ │ │ │ │
├═══┼══════════════════════┼══════════════┼═════════════════┼══════════════════┼══════════════┼═══════════┼════════════┼════════════════════════┼═══════════┼════════════┼═══════════┼═══════════┼═══════════┼═══════════┼═══════════┼═══════════┼═══════════┼═══════════┼═══════════┼═══════════┼═══════════┼═══════════┤
│18 │Шаповский │от 101 - до│ + │ - │ │1442900,00 │ 0,600 │ │ │ 865740,00 │ 84169,17 │ 66132,91 │ 66132,91 │ 72145,00 │ 72145,00 │ 72145,00 │ 72145,00 │ 72145,00 │ 72145,00 │ 72145,00 │ 72145,00 │ 72145,01 │
│ │ │900 │ │ │ │ │ │ │ │ │ │ │ │ │ │ │ │ │ │ │ │ │
├═══┼══════════════════════┼══════════════┼═════════════════┼══════════════════┼══════════════┼═══════════┼════════════┼════════════════════════┼═══════════┼════════════┼═══════════┼═══════════┼═══════════┼═══════════┼═══════════┼═══════════┼═══════════┼═══════════┼═══════════┼═══════════┼═══════════┼═══════════┤
│18 │ИТОГО │ │ │ │ │ │ │ │ │12495514,00 │1202416,70 │ 960730,84 │ 960730,84 │1041292,84 │1041292,84 │1041292,84 │1041292,84 │1041292,84 │1041292,84 │1041292,84 │1041292,84 │1041292,90 │
├═══┴══════════════════════┴══════════════┴═════════════════┴══════════════════┴══════════════┴═══════════┴════════════┴════════════════════════┴═══════════┴════════════┴═══════════┴═══════════┴═══════════┴═══════════┴═══════════┴═══════════┴═══════════┴═══════════┴═══════════┴═══════════┴═══════════┴═══════════┤
│ ОГБУЗ "Дорогобужская ЦРБ" │
├═══┬══════════════════════┬══════════════┬═════════════════┬══════════════════┬══════════════┬═══════════┬════════════┬════════════════════════┬═══════════┬════════════┬═══════════┬═══════════┬═══════════┬═══════════┬═══════════┬═══════════┬═══════════┬═══════════┬═══════════┬═══════════┬═══════════┬═══════════┤
│1 │Бизюковский │до 100 │ - │ - │ + │1442900,00 │ 0,150 │ 0,150 │ │ 216435,00 │ 18036,25 │ 18036,25 │ 18036,25 │ 18036,25 │ 18036,25 │ 18036,25 │ 18036,25 │ 18036,25 │ 18036,25 │ 18036,25 │ 18036,25 │ 18036,25 │
├═══┼══════════════════════┼══════════════┼═════════════════┼══════════════════┼══════════════┼═══════════┼════════════┼════════════════════════┼═══════════┼════════════┼═══════════┼═══════════┼═══════════┼═══════════┼═══════════┼═══════════┼═══════════┼═══════════┼═══════════┼═══════════┼═══════════┼═══════════┤
│2 │Мархоткинский │от 101 - до│ + │ - │ │1442900,00 │ 0,430 │ │ │ 620447,00 │ 60120,83 │ 47495,46 │ 47495,46 │ 51703,92 │ 51703,92 │ 51703,92 │ 51703,92 │ 51703,92 │ 51703,92 │ 51703,92 │ 51703,92 │ 51703,89 │
│ │ │900 │ │ │ │ │ │ │ │ │ │ │ │ │ │ │ │ │ │ │ │ │
├═══┼══════════════════════┼══════════════┼═════════════════┼══════════════════┼══════════════┼═══════════┼════════════┼════════════════════════┼═══════════┼════════════┼═══════════┼═══════════┼═══════════┼═══════════┼═══════════┼═══════════┼═══════════┼═══════════┼═══════════┼═══════════┼═══════════┼═══════════┤
│3 │Каськовский │от 101 - до│ + │ - │ │1442900,00 │ 0,430 │ │ │ 620447,00 │ 60120,83 │ 47495,46 │ 47495,46 │ 51703,92 │ 51703,92 │ 51703,92 │ 51703,92 │ 51703,92 │ 51703,92 │ 51703,92 │ 51703,92 │ 51703,89 │
│ │ │900 │ │ │ │ │ │ │ │ │ │ │ │ │ │ │ │ │ │ │ │ │
├═══┼══════════════════════┼══════════════┼═════════════════┼══════════════════┼══════════════┼═══════════┼════════════┼════════════════════════┼═══════════┼════════════┼═══════════┼═══════════┼═══════════┼═══════════┼═══════════┼═══════════┼═══════════┼═══════════┼═══════════┼═══════════┼═══════════┼═══════════┤
│4 │Озерищенский │от 101 - до│ + │ - │ │1442900,00 │ 0,600 │ │ │ 865740,00 │ 84169,17 │ 66132,91 │ 66132,91 │ 72145,00 │ 72145,00 │ 72145,00 │ 72145,00 │ 72145,00 │ 72145,00 │ 72145,00 │ 72145,00 │ 72145,01 │
│ │ │900 │ │ │ │ │ │ │ │ │ │ │ │ │ │ │ │ │ │ │ │ │
├═══┼══════════════════════┼══════════════┼═════════════════┼══════════════════┼══════════════┼═══════════┼════════════┼════════════════════════┼═══════════┼════════════┼═══════════┼═══════════┼═══════════┼═══════════┼═══════════┼═══════════┼═══════════┼═══════════┼═══════════┼═══════════┼═══════════┼═══════════┤
│5 │Васинский │от 101 - до│ + │ + │ │1442900,00 │ 1,000 │ │ │ 1442900,00 │ 120241,67 │ 120241,67 │ 120241,67 │ 120241,67 │ 120241,67 │ 120241,67 │ 120241,67 │ 120241,67 │ 120241,67 │ 120241,67 │ 120241,67 │ 120241,63 │
│ │ │900 │ │ │ │ │ │ │ │ │ │ │ │ │ │ │ │ │ │ │ │ │
├═══┼══════════════════════┼══════════════┼═════════════════┼══════════════════┼══════════════┼═══════════┼════════════┼════════════════════════┼═══════════┼════════════┼═══════════┼═══════════┼═══════════┼═══════════┼═══════════┼═══════════┼═══════════┼═══════════┼═══════════┼═══════════┼═══════════┼═══════════┤
│6 │Быковский │от 101 - до│ + │ + │ │1442900,00 │ 1,000 │ │ │ 1442900,00 │ 120241,67 │ 120241,67 │ 120241,67 │ 120241,67 │ 120241,67 │ 120241,67 │ 120241,67 │ 120241,67 │ 120241,67 │ 120241,67 │ 120241,67 │ 120241,63 │
│ │ │900 │ │ │ │ │ │ │ │ │ │ │ │ │ │ │ │ │ │ │ │ │
├═══┼══════════════════════┼══════════════┼═════════════════┼══════════════════┼══════════════┼═══════════┼════════════┼════════════════════════┼═══════════┼════════════┼═══════════┼═══════════┼═══════════┼═══════════┼═══════════┼═══════════┼═══════════┼═══════════┼═══════════┼═══════════┼═══════════┼═══════════┤
│7 │Полибинский │от 101 - до│ + │ + │ │1442900,00 │ 1,000 │ │ │ 1442900,00 │ 120241,67 │ 120241,67 │ 120241,67 │ 120241,67 │ 120241,67 │ 120241,67 │ 120241,67 │ 120241,67 │ 120241,67 │ 120241,67 │ 120241,67 │ 120241,63 │
│ │ │900 │ │ │ │ │ │ │ │ │ │ │ │ │ │ │ │ │ │ │ │ │
├═══┼══════════════════════┼══════════════┼═════════════════┼══════════════════┼══════════════┼═══════════┼════════════┼════════════════════════┼═══════════┼════════════┼═══════════┼═══════════┼═══════════┼═══════════┼═══════════┼═══════════┼═══════════┼═══════════┼═══════════┼═══════════┼═══════════┼═══════════┤
│8 │Струковский │от 101 - до│ + │ + │ │1442900,00 │ 1,000 │ │ │ 1442900,00 │ 120241,67 │ 120241,67 │ 120241,67 │ 120241,67 │ 120241,67 │ 120241,67 │ 120241,67 │ 120241,67 │ 120241,67 │ 120241,67 │ 120241,67 │ 120241,63 │
│ │ │900 │ │ │ │ │ │ │ │ │ │ │ │ │ │ │ │ │ │ │ │ │
├═══┼══════════════════════┼══════════════┼═════════════════┼══════════════════┼══════════════┼═══════════┼════════════┼════════════════════════┼═══════════┼════════════┼═══════════┼═══════════┼═══════════┼═══════════┼═══════════┼═══════════┼═══════════┼═══════════┼═══════════┼═══════════┼═══════════┼═══════════┤
│9 │Ушаковский │от 101 - до│ + │ + │ │1442900,00 │ 1,000 │ │ │ 1442900,00 │ 120241,67 │ 120241,67 │ 120241,67 │ 120241,67 │ 120241,67 │ 120241,67 │ 120241,67 │ 120241,67 │ 120241,67 │ 120241,67 │ 120241,67 │ 120241,63 │
│ │ │900 │ │ │ │ │ │ │ │ │ │ │ │ │ │ │ │ │ │ │ │ │
├═══┼══════════════════════┼══════════════┼═════════════════┼══════════════════┼══════════════┼═══════════┼════════════┼════════════════════════┼═══════════┼════════════┼═══════════┼═══════════┼═══════════┼═══════════┼═══════════┼═══════════┼═══════════┼═══════════┼═══════════┼═══════════┼═══════════┼═══════════┤
│10 │Кузинский │от 101 - до│ + │ + │ │1442900,00 │ 1,000 │ │ │ 1442900,00 │ 120241,67 │ 120241,67 │ 120241,67 │ 120241,67 │ 120241,67 │ 120241,67 │ 120241,67 │ 120241,67 │ 120241,67 │ 120241,67 │ 120241,67 │ 120241,63 │
│ │ │900 │ │ │ │ │ │ │ │ │ │ │ │ │ │ │ │ │ │ │ │ │
├═══┼══════════════════════┼══════════════┼═════════════════┼══════════════════┼══════════════┼═══════════┼════════════┼════════════════════════┼═══════════┼════════════┼═══════════┼═══════════┼═══════════┼═══════════┼═══════════┼═══════════┼═══════════┼═══════════┼═══════════┼═══════════┼═══════════┼═══════════┤
│11 │Княщинский │от 101 - до│ + │ + │ │1442900,00 │ 1,000 │ │ │ 1442900,00 │ 120241,67 │ 120241,67 │ 120241,67 │ 120241,67 │ 120241,67 │ 120241,67 │ 120241,67 │ 120241,67 │ 120241,67 │ 120241,67 │ 120241,67 │ 120241,63 │
│ │ │900 │ │ │ │ │ │ │ │ │ │ │ │ │ │ │ │ │ │ │ │ │
├═══┼══════════════════════┼══════════════┼═════════════════┼══════════════════┼══════════════┼═══════════┼════════════┼════════════════════════┼═══════════┼════════════┼═══════════┼═══════════┼═══════════┼═══════════┼═══════════┼═══════════┼═══════════┼═══════════┼═══════════┼═══════════┼═══════════┼═══════════┤
│12 │Слойковский │от 101 - до│ + │ + │ │1442900,00 │ 1,000 │ │ │ 1442900,00 │ 120241,67 │ 120241,67 │ 120241,67 │ 120241,67 │ 120241,67 │ 120241,67 │ 120241,67 │ 120241,67 │ 120241,67 │ 120241,67 │ 120241,67 │ 120241,63 │
│ │ │900 │ │ │ │ │ │ │ │ │ │ │ │ │ │ │ │ │ │ │ │ │
├═══┼══════════════════════┼══════════════┼═════════════════┼══════════════════┼══════════════┼═══════════┼════════════┼════════════════════════┼═══════════┼════════════┼═══════════┼═══════════┼═══════════┼═══════════┼═══════════┼═══════════┼═══════════┼═══════════┼═══════════┼═══════════┼═══════════┼═══════════┤
│13 │Шаломинский │от 101 - до│ + │ + │ │1442900,00 │ 1,000 │ │ │ 1442900,00 │ 120241,67 │ 120241,67 │ 120241,67 │ 120241,67 │ 120241,67 │ 120241,67 │ 120241,67 │ 120241,67 │ 120241,67 │ 120241,67 │ 120241,67 │ 120241,63 │
│ │ │900 │ │ │ │ │ │ │ │ │ │ │ │ │ │ │ │ │ │ │ │ │
├═══┼══════════════════════┼══════════════┼═════════════════┼══════════════════┼══════════════┼═══════════┼════════════┼════════════════════════┼═══════════┼════════════┼═══════════┼═══════════┼═══════════┼═══════════┼═══════════┼═══════════┼═══════════┼═══════════┼═══════════┼═══════════┼═══════════┼═══════════┤
│14 │Ново-Михайловский │от 101 - до│ + │ + │ │1442900,00 │ 1,000 │ │ │ 1442900,00 │ 120241,67 │ 120241,67 │ 120241,67 │ 120241,67 │ 120241,67 │ 120241,67 │ 120241,67 │ 120241,67 │ 120241,67 │ 120241,67 │ 120241,67 │ 120241,63 │
│ │ │900 │ │ │ │ │ │ │ │ │ │ │ │ │ │ │ │ │ │ │ │ │
├═══┼══════════════════════┼══════════════┼═════════════════┼══════════════════┼══════════════┼═══════════┼════════════┼════════════════════════┼═══════════┼════════════┼═══════════┼═══════════┼═══════════┼═══════════┼═══════════┼═══════════┼═══════════┼═══════════┼═══════════┼═══════════┼═══════════┼═══════════┤
│15 │Фрунзенский │от 101 - до│ + │ + │ │1442900,00 │ 1,000 │ │ │ 1442900,00 │ 120241,67 │ 120241,67 │ 120241,67 │ 120241,67 │ 120241,67 │ 120241,67 │ 120241,67 │ 120241,67 │ 120241,67 │ 120241,67 │ 120241,67 │ 120241,63 │
│ │ │900 │ │ │ │ │ │ │ │ │ │ │ │ │ │ │ │ │ │ │ │ │
├═══┼══════════════════════┼══════════════┼═════════════════┼══════════════════┼══════════════┼═══════════┼════════════┼════════════════════════┼═══════════┼════════════┼═══════════┼═══════════┼═══════════┼═══════════┼═══════════┼═══════════┼═══════════┼═══════════┼═══════════┼═══════════┼═══════════┼═══════════┤
│15 │ИТОГО │ │ │ │ │ │ │ │ │18194969,00 │1545105,45 │1501818,45 │1501818,45 │1516247,46 │1516247,46 │1516247,46 │1516247,46 │1516247,46 │1516247,46 │1516247,46 │1516247,46 │1516246,97 │
├═══┴══════════════════════┴══════════════┴═════════════════┴══════════════════┴══════════════┴═══════════┴════════════┴════════════════════════┴═══════════┴════════════┴═══════════┴═══════════┴═══════════┴═══════════┴═══════════┴═══════════┴═══════════┴═══════════┴═══════════┴═══════════┴═══════════┴═══════════┤
│ ОГБУЗ "Ельнинская ЦРБ" │
├═══┬══════════════════════┬══════════════┬═════════════════┬══════════════════┬══════════════┬═══════════┬════════════┬════════════════════════┬═══════════┬════════════┬═══════════┬═══════════┬═══════════┬═══════════┬═══════════┬═══════════┬═══════════┬═══════════┬═══════════┬═══════════┬═══════════┬═══════════┤
│1 │Ивано-Гудинский │до 100 │ - │ - │ + │1442900,00 │ 0,150 │ 0,150 │ │ 216435,00 │ 18036,25 │ 18036,25 │ 18036,25 │ 18036,25 │ 18036,25 │ 18036,25 │ 18036,25 │ 18036,25 │ 18036,25 │ 18036,25 │ 18036,25 │ 18036,25 │
├═══┼══════════════════════┼══════════════┼═════════════════┼══════════════════┼══════════════┼═══════════┼════════════┼════════════════════════┼═══════════┼════════════┼═══════════┼═══════════┼═══════════┼═══════════┼═══════════┼═══════════┼═══════════┼═══════════┼═══════════┼═══════════┼═══════════┼═══════════┤
│2 │Павловский │от 101 - до│ + │ - │ │1442900,00 │ 0,150 │ 0,150 │ │ 486978,74 │ 84169,17 │ 66132,91 │ 66132,91 │ 72145,00 │ 72145,00 │ 18036,25 │ 18036,25 │ 18036,25 │ 18036,25 │ 18036,25 │ 18036,25 │ 18036,25 │
│ │ │900 │ │ │ │ │ │ │ │ │ │ │ │ │ │ │ │ │ │ │ │ │
├═══┼══════════════════════┼══════════════┼═════════════════┼══════════════════┼══════════════┼═══════════┼════════════┼════════════════════════┼═══════════┼════════════┼═══════════┼═══════════┼═══════════┼═══════════┼═══════════┼═══════════┼═══════════┼═══════════┼═══════════┼═══════════┼═══════════┼═══════════┤
│3 │Шараповский │от 101 - до│ + │ - │ │1442900,00 │ 0,430 │ │ │ 722652,41 │ 84169,17 │ 66132,91 │ 66132,91 │ 72145,00 │ 72145,00 │ 51703,92 │ 51703,92 │ 51703,92 │ 51703,92 │ 51703,92 │ 51703,92 │ 51703,90 │
│ │ │900 │ │ │ │ │ │ │ │ │ │ │ │ │ │ │ │ │ │ │ │ │
├═══┼══════════════════════┼══════════════┼═════════════════┼══════════════════┼══════════════┼═══════════┼════════════┼════════════════════════┼═══════════┼════════════┼═══════════┼═══════════┼═══════════┼═══════════┼═══════════┼═══════════┼═══════════┼═══════════┼═══════════┼═══════════┼═══════════┼═══════════┤
│4 │Устиновский │от 101 - до│ + │ - │ │1442900,00 │ 0,430 │ │ │ 620447,00 │ 60120,83 │ 47495,46 │ 47495,46 │ 51703,92 │ 51703,92 │ 51703,92 │ 51703,92 │ 51703,92 │ 51703,92 │ 51703,92 │ 51703,92 │ 51703,89 │
│ │ │900 │ │ │ │ │ │ │ │ │ │ │ │ │ │ │ │ │ │ │ │ │
├═══┼══════════════════════┼══════════════┼═════════════════┼══════════════════┼══════════════┼═══════════┼════════════┼════════════════════════┼═══════════┼════════════┼═══════════┼═══════════┼═══════════┼═══════════┼═══════════┼═══════════┼═══════════┼═══════════┼═══════════┼═══════════┼═══════════┼═══════════┤
│5 │Новобрыкинский │от 101 - до│ + │ - │ │1442900,00 │ 0,150 │ │ │ 216435,00 │ 18036,25 │ 18036,25 │ 18036,25 │ 18036,25 │ 18036,25 │ 18036,25 │ 18036,25 │ 18036,25 │ 18036,25 │ 18036,25 │ 18036,25 │ 18036,25 │
│ │ │900 │ │ │ │ │ │ │ │ │ │ │ │ │ │ │ │ │ │ │ │ │
├═══┼══════════════════════┼══════════════┼═════════════════┼══════════════════┼══════════════┼═══════════┼════════════┼════════════════════════┼═══════════┼════════════┼═══════════┼═══════════┼═══════════┼═══════════┼═══════════┼═══════════┼═══════════┼═══════════┼═══════════┼═══════════┼═══════════┼═══════════┤
│6 │Дубосищенский │от 101 - до│ + │ - │ │1442900,00 │ 0,430 │ │ │ 620447,00 │ 60120,83 │ 47495,46 │ 47495,46 │ 51703,92 │ 51703,92 │ 51703,92 │ 51703,92 │ 51703,92 │ 51703,92 │ 51703,92 │ 51703,92 │ 51703,89 │
│ │ │901 │ │ │ │ │ │ │ │ │ │ │ │ │ │ │ │ │ │ │ │ │
├═══┼══════════════════════┼══════════════┼═════════════════┼══════════════════┼══════════════┼═══════════┼════════════┼════════════════════════┼═══════════┼════════════┼═══════════┼═══════════┼═══════════┼═══════════┼═══════════┼═══════════┼═══════════┼═══════════┼═══════════┼═══════════┼═══════════┼═══════════┤
│7 │Коробецкий │от 101 - до│ + │ - │ │1442900,00 │ 0,430 │ │ │ 620447,00 │ 60120,83 │ 47495,46 │ 47495,46 │ 51703,92 │ 51703,92 │ 51703,92 │ 51703,92 │ 51703,92 │ 51703,92 │ 51703,92 │ 51703,92 │ 51703,89 │
│ │ │900 │ │ │ │ │ │ │ │ │ │ │ │ │ │ │ │ │ │ │ │ │
├═══┼══════════════════════┼══════════════┼═════════════════┼══════════════════┼══════════════┼═══════════┼════════════┼════════════════════════┼═══════════┼════════════┼═══════════┼═══════════┼═══════════┼═══════════┼═══════════┼═══════════┼═══════════┼═══════════┼═══════════┼═══════════┼═══════════┼═══════════┤
│8 │Яковлевский │от 101 - до│ + │ - │ │1442900,00 │ 0,430 │ │ │ 620447,00 │ 60120,83 │ 47495,46 │ 47495,46 │ 51703,92 │ 51703,92 │ 51703,92 │ 51703,92 │ 51703,92 │ 51703,92 │ 51703,92 │ 51703,92 │ 51703,89 │
│ │ │900 │ │ │ │ │ │ │ │ │ │ │ │ │ │ │ │ │ │ │ │ │
├═══┼══════════════════════┼══════════════┼═════════════════┼══════════════════┼══════════════┼═══════════┼════════════┼════════════════════════┼═══════════┼════════════┼═══════════┼═══════════┼═══════════┼═══════════┼═══════════┼═══════════┼═══════════┼═══════════┼═══════════┼═══════════┼═══════════┼═══════════┤
│9 │Высоковский │от 101 - до│ + │ - │ │1442900,00 │ 0,600 │ │ │ 865740,00 │ 84169,17 │ 66132,91 │ 66132,91 │ 72145,00 │ 72145,00 │ 72145,00 │ 72145,00 │ 72145,00 │ 72145,00 │ 72145,00 │ 72145,00 │ 72145,01 │
│ │ │900 │ │ │ │ │ │ │ │ │ │ │ │ │ │ │ │ │ │ │ │ │
├═══┼══════════════════════┼══════════════┼═════════════════┼══════════════════┼══════════════┼═══════════┼════════════┼════════════════════════┼═══════════┼════════════┼═══════════┼═══════════┼═══════════┼═══════════┼═══════════┼═══════════┼═══════════┼═══════════┼═══════════┼═══════════┼═══════════┼═══════════┤
│10 │Доброминский │от 101 - до│ + │ - │ │1442900,00 │ 0,600 │ │ │ 865740,00 │ 84169,17 │ 66132,91 │ 66132,91 │ 72145,00 │ 72145,00 │ 72145,00 │ 72145,00 │ 72145,00 │ 72145,00 │ 72145,00 │ 72145,00 │ 72145,01 │
│ │ │900 │ │ │ │ │ │ │ │ │ │ │ │ │ │ │ │ │ │ │ │ │
├═══┼══════════════════════┼══════════════┼═════════════════┼══════════════════┼══════════════┼═══════════┼════════════┼════════════════════════┼═══════════┼════════════┼═══════════┼═══════════┼═══════════┼═══════════┼═══════════┼═══════════┼═══════════┼═══════════┼═══════════┼═══════════┼═══════════┼═══════════┤
│11 │Пронинский │от 101 - до│ + │ - │ │1442900,00 │ 0,600 │ │ │ 865740,00 │ 84169,17 │ 66132,91 │ 66132,91 │ 72145,00 │ 72145,00 │ 72145,00 │ 72145,00 │ 72145,00 │ 72145,00 │ 72145,00 │ 72145,00 │ 72145,01 │
│ │ │900 │ │ │ │ │ │ │ │ │ │ │ │ │ │ │ │ │ │ │ │ │
├═══┼══════════════════════┼══════════════┼═════════════════┼══════════════════┼══════════════┼═══════════┼════════════┼════════════════════════┼═══════════┼════════════┼═══════════┼═══════════┼═══════════┼═══════════┼═══════════┼═══════════┼═══════════┼═══════════┼═══════════┼═══════════┼═══════════┼═══════════┤
│12 │Фенинский │от 101 - до│ + │ - │ │1442900,00 │ 0,600 │ │ │ 865740,00 │ 84169,17 │ 66132,91 │ 66132,91 │ 72145,00 │ 72145,00 │ 72145,00 │ 72145,00 │ 72145,00 │ 72145,00 │ 72145,00 │ 72145,00 │ 72145,01 │
│ │ │900 │ │ │ │ │ │ │ │ │ │ │ │ │ │ │ │ │ │ │ │ │
├═══┼══════════════════════┼══════════════┼═════════════════┼══════════════════┼══════════════┼═══════════┼════════════┼════════════════════════┼═══════════┼════════════┼═══════════┼═══════════┼═══════════┼═══════════┼═══════════┼═══════════┼═══════════┼═══════════┼═══════════┼═══════════┼═══════════┼═══════════┤
│13 │Богородицкий │от 101 - до│ + │ - │ │1442900,00 │ 0,600 │ │ │ 865740,00 │ 84169,17 │ 66132,91 │ 66132,91 │ 72145,00 │ 72145,00 │ 72145,00 │ 72145,00 │ 72145,00 │ 72145,00 │ 72145,00 │ 72145,00 │ 72145,01 │
│ │ │900 │ │ │ │ │ │ │ │ │ │ │ │ │ │ │ │ │ │ │ │ │
├═══┼══════════════════════┼══════════════┼═════════════════┼══════════════════┼══════════════┼═══════════┼════════════┼════════════════════════┼═══════════┼════════════┼═══════════┼═══════════┼═══════════┼═══════════┼═══════════┼═══════════┼═══════════┼═══════════┼═══════════┼═══════════┼═══════════┼═══════════┤
│14 │Демщинский │от 101 - до│ + │ - │ │1442900,00 │ 0,600 │ │ │ 865740,00 │ 84169,17 │ 66132,91 │ 66132,91 │ 72145,00 │ 72145,00 │ 72145,00 │ 72145,00 │ 72145,00 │ 72145,00 │ 72145,00 │ 72145,00 │ 72145,01 │
│ │ │900 │ │ │ │ │ │ │ │ │ │ │ │ │ │ │ │ │ │ │ │ │
├═══┼══════════════════════┼══════════════┼═════════════════┼══════════════════┼══════════════┼═══════════┼════════════┼════════════════════════┼═══════════┼════════════┼═══════════┼═══════════┼═══════════┼═══════════┼═══════════┼═══════════┼═══════════┼═══════════┼═══════════┼═══════════┼═══════════┼═══════════┤
│15 │Мутищенский │от 101 - до│ + │ - │ │1442900,00 │ 0,600 │ │ │ 865740,00 │ 84169,17 │ 66132,91 │ 66132,91 │ 72145,00 │ 72145,00 │ 72145,00 │ 72145,00 │ 72145,00 │ 72145,00 │ 72145,00 │ 72145,00 │ 72145,01 │
│ │ │900 │ │ │ │ │ │ │ │ │ │ │ │ │ │ │ │ │ │ │ │ │
├═══┼══════════════════════┼══════════════┼═════════════════┼══════════════════┼══════════════┼═══════════┼════════════┼════════════════════════┼═══════════┼════════════┼═══════════┼═══════════┼═══════════┼═══════════┼═══════════┼═══════════┼═══════════┼═══════════┼═══════════┼═══════════┼═══════════┼═══════════┤
│16 │Теренинский │от 101 - до│ + │ - │ │1442900,00 │ 0,600 │ │ │ 865740,00 │ 84169,17 │ 66132,91 │ 66132,91 │ 72145,00 │ 72145,00 │ 72145,00 │ 72145,00 │ 72145,00 │ 72145,00 │ 72145,00 │ 72145,00 │ 72145,01 │
│ │ │900 │ │ │ │ │ │ │ │ │ │ │ │ │ │ │ │ │ │ │ │ │
├═══┼══════════════════════┼══════════════┼═════════════════┼══════════════════┼══════════════┼═══════════┼════════════┼════════════════════════┼═══════════┼════════════┼═══════════┼═══════════┼═══════════┼═══════════┼═══════════┼═══════════┼═══════════┼═══════════┼═══════════┼═══════════┼═══════════┼═══════════┤
│17 │Болтутинский │от 101 - до│ + │ - │ │1442900,00 │ 0,600 │ │ │ 865740,00 │ 84169,17 │ 66132,91 │ 66132,91 │ 72145,00 │ 72145,00 │ 72145,00 │ 72145,00 │ 72145,00 │ 72145,00 │ 72145,00 │ 72145,00 │ 72145,01 │
│ │ │900 │ │ │ │ │ │ │ │ │ │ │ │ │ │ │ │ │ │ │ │ │
├═══┼══════════════════════┼══════════════┼═════════════════┼══════════════════┼══════════════┼═══════════┼════════════┼════════════════════════┼═══════════┼════════════┼═══════════┼═══════════┼═══════════┼═══════════┼═══════════┼═══════════┼═══════════┼═══════════┼═══════════┼═══════════┼═══════════┼═══════════┤
│17 │ИТОГО │ │ │ │ │ │ │ │ │11915949,15 │1202416,69 │ 953516,35 │ 953516,35 │1036483,18 │1036483,18 │ 961933,35 │ 961933,35 │ 961933,35 │ 961933,35 │ 961933,35 │ 961933,35 │ 961933,30 │
├═══┴══════════════════════┴══════════════┴═════════════════┴══════════════════┴══════════════┴═══════════┴════════════┴════════════════════════┴═══════════┴════════════┴═══════════┴═══════════┴═══════════┴═══════════┴═══════════┴═══════════┴═══════════┴═══════════┴═══════════┴═══════════┴═══════════┴═══════════┤
│ ОГБУЗ "Кардымовская ЦРБ" │
├═══┬══════════════════════┬══════════════┬═════════════════┬══════════════════┬══════════════┬═══════════┬════════════┬════════════════════════┬═══════════┬════════════┬═══════════┬═══════════┬═══════════┬═══════════┬═══════════┬═══════════┬═══════════┬═══════════┬═══════════┬═══════════┬═══════════┬═══════════┤
│1 │Мольковский │от 101 - до│ + │ + │ │1442900,00 │ 1,00 │ │ │ 1442900,00 │ 120241,67 │ 120241,67 │ 120241,67 │ 120241,67 │ 120241,67 │ 120241,67 │ 120241,67 │ 120241,67 │ 120241,67 │ 120241,67 │ 120241,67 │ 120241,63 │
│ │ │900 │ │ │ │ │ │ │ │ │ │ │ │ │ │ │ │ │ │ │ │ │
├═══┼══════════════════════┼══════════════┼═════════════════┼══════════════════┼══════════════┼═══════════┼════════════┼════════════════════════┼═══════════┼════════════┼═══════════┼═══════════┼═══════════┼═══════════┼═══════════┼═══════════┼═══════════┼═══════════┼═══════════┼═══════════┼═══════════┼═══════════┤
│2 │Соловьевский │от 101 - до│ + │ + │ │1442900,00 │ 1,00 │ │ │ 1442900,00 │ 120241,67 │ 120241,67 │ 120241,67 │ 120241,67 │ 120241,67 │ 120241,67 │ 120241,67 │ 120241,67 │ 120241,67 │ 120241,67 │ 120241,67 │ 120241,63 │
│ │ │900 │ │ │ │ │ │ │ │ │ │ │ │ │ │ │ │ │ │ │ │ │
├═══┼══════════════════════┼══════════════┼═════════════════┼══════════════════┼══════════════┼═══════════┼════════════┼════════════════════════┼═══════════┼════════════┼═══════════┼═══════════┼═══════════┼═══════════┼═══════════┼═══════════┼═══════════┼═══════════┼═══════════┼═══════════┼═══════════┼═══════════┤
│3 │Шестаковский │от 101 - до│ + │ + │ │1442900,00 │ 1,00 │ │ │ 1442900,00 │ 120241,67 │ 120241,67 │ 120241,67 │ 120241,67 │ 120241,67 │ 120241,67 │ 120241,67 │ 120241,67 │ 120241,67 │ 120241,67 │ 120241,67 │ 120241,63 │
│ │ │900 │ │ │ │ │ │ │ │ │ │ │ │ │ │ │ │ │ │ │ │ │
├═══┼══════════════════════┼══════════════┼═════════════════┼══════════════════┼══════════════┼═══════════┼════════════┼════════════════════════┼═══════════┼════════════┼═══════════┼═══════════┼═══════════┼═══════════┼═══════════┼═══════════┼═══════════┼═══════════┼═══════════┼═══════════┼═══════════┼═══════════┤
│4 │Каменский │от 101 - до│ + │ + │ │1442900,00 │ 1,00 │ │ │ 1442900,00 │ 120241,67 │ 120241,67 │ 120241,67 │ 120241,67 │ 120241,67 │ 120241,67 │ 120241,67 │ 120241,67 │ 120241,67 │ 120241,67 │ 120241,67 │ 120241,63 │
│ │ │900 │ │ │ │ │ │ │ │ │ │ │ │ │ │ │ │ │ │ │ │ │
├═══┼══════════════════════┼══════════════┼═════════════════┼══════════════════┼══════════════┼═══════════┼════════════┼════════════════════════┼═══════════┼════════════┼═══════════┼═══════════┼═══════════┼═══════════┼═══════════┼═══════════┼═══════════┼═══════════┼═══════════┼═══════════┼═══════════┼═══════════┤
│5 │Вачковский │от 101 - до│ + │ + │ │1442900,00 │ 1,00 │ │ │ 1442900,00 │ 120241,67 │ 120241,67 │ 120241,67 │ 120241,67 │ 120241,67 │ 120241,67 │ 120241,67 │ 120241,67 │ 120241,67 │ 120241,67 │ 120241,67 │ 120241,63 │
│ │ │900 │ │ │ │ │ │ │ │ │ │ │ │ │ │ │ │ │ │ │ │ │
├═══┼══════════════════════┼══════════════┼═════════════════┼══════════════════┼══════════════┼═══════════┼════════════┼════════════════════════┼═══════════┼════════════┼═══════════┼═══════════┼═══════════┼═══════════┼═══════════┼═══════════┼═══════════┼═══════════┼═══════════┼═══════════┼═══════════┼═══════════┤
│6 │Лопинский │от 101 - до│ + │ + │ │1442900,00 │ 1,00 │ │ │ 1442900,00 │ 120241,67 │ 120241,67 │ 120241,67 │ 120241,67 │ 120241,67 │ 120241,67 │ 120241,67 │ 120241,67 │ 120241,67 │ 120241,67 │ 120241,67 │ 120241,63 │
│ │ │900 │ │ │ │ │ │ │ │ │ │ │ │ │ │ │ │ │ │ │ │ │
├═══┼══════════════════════┼══════════════┼═════════════════┼══════════════════┼══════════════┼═══════════┼════════════┼════════════════════════┼═══════════┼════════════┼═══════════┼═══════════┼═══════════┼═══════════┼═══════════┼═══════════┼═══════════┼═══════════┼═══════════┼═══════════┼═══════════┼═══════════┤
│7 │Шокинский │от 101 - до│ + │ + │ │1442900,00 │ 1,00 │ │ │ 1442900,00 │ 120241,67 │ 120241,67 │ 120241,67 │ 120241,67 │ 120241,67 │ 120241,67 │ 120241,67 │ 120241,67 │ 120241,67 │ 120241,67 │ 120241,67 │ 120241,63 │
│ │ │900 │ │ │ │ │ │ │ │ │ │ │ │ │ │ │ │ │ │ │ │ │
├═══┼══════════════════════┼══════════════┼═════════════════┼══════════════════┼══════════════┼═══════════┼════════════┼════════════════════════┼═══════════┼════════════┼═══════════┼═══════════┼═══════════┼═══════════┼═══════════┼═══════════┼═══════════┼═══════════┼═══════════┼═══════════┼═══════════┼═══════════┤
│8 │Тюшинский │от 101 - до│ + │ + │ │1442900,00 │ 1,00 │ │ │ 1442900,00 │ 120241,67 │ 120241,67 │ 120241,67 │ 120241,67 │ 120241,67 │ 120241,67 │ 120241,67 │ 120241,67 │ 120241,67 │ 120241,67 │ 120241,67 │ 120241,63 │
│ │ │900 │ │ │ │ │ │ │ │ │ │ │ │ │ │ │ │ │ │ │ │ │
├═══┼══════════════════════┼══════════════┼═════════════════┼══════════════════┼══════════════┼═══════════┼════════════┼════════════════════════┼═══════════┼════════════┼═══════════┼═══════════┼═══════════┼═══════════┼═══════════┼═══════════┼═══════════┼═══════════┼═══════════┼═══════════┼═══════════┼═══════════┤
│9 │Варваровщинский │от 101 - до│ + │ + │ │1442900,00 │ 1,00 │ │ │ 1442900,00 │ 120241,67 │ 120241,67 │ 120241,67 │ 120241,67 │ 120241,67 │ 120241,67 │ 120241,67 │ 120241,67 │ 120241,67 │ 120241,67 │ 120241,67 │ 120241,63 │
│ │ │900 │ │ │ │ │ │ │ │ │ │ │ │ │ │ │ │ │ │ │ │ │
├═══┼══════════════════════┼══════════════┼═════════════════┼══════════════════┼══════════════┼═══════════┼════════════┼════════════════════════┼═══════════┼════════════┼═══════════┼═══════════┼═══════════┼═══════════┼═══════════┼═══════════┼═══════════┼═══════════┼═══════════┼═══════════┼═══════════┼═══════════┤
│10 │Титковский │от 101 - до│ + │ + │ │1442900,00 │ 1,00 │ │ │ 1442900,00 │ 120241,67 │ 120241,67 │ 120241,67 │ 120241,67 │ 120241,67 │ 120241,67 │ 120241,67 │ 120241,67 │ 120241,67 │ 120241,67 │ 120241,67 │ 120241,63 │
│ │ │900 │ │ │ │ │ │ │ │ │ │ │ │ │ │ │ │ │ │ │ │ │
├═══┼══════════════════════┼══════════════┼═════════════════┼══════════════════┼══════════════┼═══════════┼════════════┼════════════════════════┼═══════════┼════════════┼═══════════┼═══════════┼═══════════┼═══════════┼═══════════┼═══════════┼═══════════┼═══════════┼═══════════┼═══════════┼═══════════┼═══════════┤
│11 │Нетризовский │от 101 - до│ + │ + │ │1442900,00 │ 1,00 │ │ │ 1442900,00 │ 120241,67 │ 120241,67 │ 120241,67 │ 120241,67 │ 120241,67 │ 120241,67 │ 120241,67 │ 120241,67 │ 120241,67 │ 120241,67 │ 120241,67 │ 120241,63 │
│ │ │900 │ │ │ │ │ │ │ │ │ │ │ │ │ │ │ │ │ │ │ │ │
├═══┼══════════════════════┼══════════════┼═════════════════┼══════════════════┼══════════════┼═══════════┼════════════┼════════════════════════┼═══════════┼════════════┼═══════════┼═══════════┼═══════════┼═══════════┼═══════════┼═══════════┼═══════════┼═══════════┼═══════════┼═══════════┼═══════════┼═══════════┤
│11 │ИТОГО │ │ │ │ │ │ │ │ │15871900,00 │1322658,37 │1322658,37 │1322658,37 │1322658,37 │1322658,37 │1322658,37 │1322658,37 │1322658,37 │1322658,37 │1322658,37 │1322658,37 │1322657,93 │
├═══┴══════════════════════┴══════════════┴═════════════════┴══════════════════┴══════════════┴═══════════┴════════════┴════════════════════════┴═══════════┴════════════┴═══════════┴═══════════┴═══════════┴═══════════┴═══════════┴═══════════┴═══════════┴═══════════┴═══════════┴═══════════┴═══════════┴═══════════┤
│ ОГБУЗ "Краснинская ЦРБ" │
├═══┬══════════════════════┬══════════════┬═════════════════┬══════════════════┬══════════════┬═══════════┬════════════┬════════════════════════┬═══════════┬════════════┬═══════════┬═══════════┬═══════════┬═══════════┬═══════════┬═══════════┬═══════════┬═══════════┬═══════════┬═══════════┬═══════════┬═══════════┤
│1 │Гребеневский │от 101 - до│ + │ - │ │ 0,00 │ 0,000 │ │ │ 54108,75 │ 18036,25 │ 18036,25 │ 18036,25 │ 0,00 │ 0,00 │ 0,00 │ 0,00 │ 0,00 │ 0,00 │ 0,00 │ 0,00 │ 0,00 │
│ │ │900 │ │ │ │ │ │ │ │ │ │ │ │ │ │ │ │ │ │ │ │ │
├═══┼══════════════════════┼══════════════┼═════════════════┼══════════════════┼══════════════┼═══════════┼════════════┼════════════════════════┼═══════════┼════════════┼═══════════┼═══════════┼═══════════┼═══════════┼═══════════┼═══════════┼═══════════┼═══════════┼═══════════┼═══════════┼═══════════┼═══════════┤
│2 │Алушковский │от 101 - до│ + │ - │ │1442900,00 │ 0,430 │ │ │ 519444,00 │ 18036,25 │ 18036,25 │ 18036,25 │ 51703,92 │ 51703,92 │ 51703,92 │ 51703,92 │ 51703,92 │ 51703,92 │ 51703,92 │ 51703,92 │ 51703,89 │
│ │ │900 │ │ │ │ │ │ │ │ │ │ │ │ │ │ │ │ │ │ │ │ │
├═══┼══════════════════════┼══════════════┼═════════════════┼══════════════════┼══════════════┼═══════════┼════════════┼════════════════════════┼═══════════┼════════════┼═══════════┼═══════════┼═══════════┼═══════════┼═══════════┼═══════════┼═══════════┼═══════════┼═══════════┼═══════════┼═══════════┼═══════════┤
│3 │Николаевский │от 101 - до│ + │ - │ │1442900,00 │ 0,430 │ │ │ 620447,00 │ 60120,83 │ 47495,46 │ 47495,46 │ 51703,92 │ 51703,92 │ 51703,92 │ 51703,92 │ 51703,92 │ 51703,92 │ 51703,92 │ 51703,92 │ 51703,89 │
│ │ │900 │ │ │ │ │ │ │ │ │ │ │ │ │ │ │ │ │ │ │ │ │
├═══┼══════════════════════┼══════════════┼═════════════════┼══════════════════┼══════════════┼═══════════┼════════════┼════════════════════════┼═══════════┼════════════┼═══════════┼═══════════┼═══════════┼═══════════┼═══════════┼═══════════┼═══════════┼═══════════┼═══════════┼═══════════┼═══════════┼═══════════┤
│4 │Сырокоренский │от 101 - до│ + │ - │ │1442900,00 │ 0,430 │ │ │ 620447,00 │ 60120,83 │ 47495,46 │ 47495,46 │ 51703,92 │ 51703,92 │ 51703,92 │ 51703,92 │ 51703,92 │ 51703,92 │ 51703,92 │ 51703,92 │ 51703,89 │
│ │ │900 │ │ │ │ │ │ │ │ │ │ │ │ │ │ │ │ │ │ │ │ │
├═══┼══════════════════════┼══════════════┼═════════════════┼══════════════════┼══════════════┼═══════════┼════════════┼════════════════════════┼═══════════┼════════════┼═══════════┼═══════════┼═══════════┼═══════════┼═══════════┼═══════════┼═══════════┼═══════════┼═══════════┼═══════════┼═══════════┼═══════════┤
│5 │Малеевский │от 101 - до│ + │ - │ │1442900,00 │ 0,600 │ │ │ 865740,00 │ 84169,17 │ 66132,91 │ 66132,91 │ 72145,00 │ 72145,00 │ 72145,00 │ 72145,00 │ 72145,00 │ 72145,00 │ 72145,00 │ 72145,00 │ 72145,01 │
│ │ │900 │ │ │ │ │ │ │ │ │ │ │ │ │ │ │ │ │ │ │ │ │
├═══┼══════════════════════┼══════════════┼═════════════════┼══════════════════┼══════════════┼═══════════┼════════════┼════════════════════════┼═══════════┼════════════┼═══════════┼═══════════┼═══════════┼═══════════┼═══════════┼═══════════┼═══════════┼═══════════┼═══════════┼═══════════┼═══════════┼═══════════┤
│6 │Павловский │от 101 - до│ + │ - │ │1442900,00 │ 0,600 │ │ │ 865740,00 │ 84169,17 │ 66132,91 │ 66132,91 │ 72145,00 │ 72145,00 │ 72145,00 │ 72145,00 │ 72145,00 │ 72145,00 │ 72145,00 │ 72145,00 │ 72145,01 │
│ │ │900 │ │ │ │ │ │ │ │ │ │ │ │ │ │ │ │ │ │ │ │ │
├═══┼══════════════════════┼══════════════┼═════════════════┼══════════════════┼══════════════┼═══════════┼════════════┼════════════════════════┼═══════════┼════════════┼═══════════┼═══════════┼═══════════┼═══════════┼═══════════┼═══════════┼═══════════┼═══════════┼═══════════┼═══════════┼═══════════┼═══════════┤
│7 │Белеевский │от 101 - до│ + │ - │ │1442900,00 │ 0,600 │ │ │ 865740,00 │ 84169,17 │ 66132,91 │ 66132,91 │ 72145,00 │ 72145,00 │ 72145,00 │ 72145,00 │ 72145,00 │ 72145,00 │ 72145,00 │ 72145,00 │ 72145,01 │
│ │ │900 │ │ │ │ │ │ │ │ │ │ │ │ │ │ │ │ │ │ │ │ │
├═══┼══════════════════════┼══════════════┼═════════════════┼══════════════════┼══════════════┼═══════════┼════════════┼════════════════════════┼═══════════┼════════════┼═══════════┼═══════════┼═══════════┼═══════════┼═══════════┼═══════════┼═══════════┼═══════════┼═══════════┼═══════════┼═══════════┼═══════════┤
│8 │Викторовский │от 101 - до│ + │ - │ │1442900,00 │ 0,600 │ │ │ 865740,00 │ 84169,17 │ 66132,91 │ 66132,91 │ 72145,00 │ 72145,00 │ 72145,00 │ 72145,00 │ 72145,00 │ 72145,00 │ 72145,00 │ 72145,00 │ 72145,01 │
│ │ │900 │ │ │ │ │ │ │ │ │ │ │ │ │ │ │ │ │ │ │ │ │
├═══┼══════════════════════┼══════════════┼═════════════════┼══════════════════┼══════════════┼═══════════┼════════════┼════════════════════════┼═══════════┼════════════┼═══════════┼═══════════┼═══════════┼═══════════┼═══════════┼═══════════┼═══════════┼═══════════┼═══════════┼═══════════┼═══════════┼═══════════┤
│9 │Волковский │от 101 - до│ + │ - │ │1442900,00 │ 0,600 │ │ │ 865740,00 │ 84169,17 │ 66132,91 │ 66132,91 │ 72145,00 │ 72145,00 │ 72145,00 │ 72145,00 │ 72145,00 │ 72145,00 │ 72145,00 │ 72145,00 │ 72145,01 │
│ │ │900 │ │ │ │ │ │ │ │ │ │ │ │ │ │ │ │ │ │ │ │ │
├═══┼══════════════════════┼══════════════┼═════════════════┼══════════════════┼══════════════┼═══════════┼════════════┼════════════════════════┼═══════════┼════════════┼═══════════┼═══════════┼═══════════┼═══════════┼═══════════┼═══════════┼═══════════┼═══════════┼═══════════┼═══════════┼═══════════┼═══════════┤
│10 │Двуполяновский │от 101 - до│ + │ - │ │1442900,00 │ 0,600 │ │ │ 865740,00 │ 84169,17 │ 66132,91 │ 66132,91 │ 72145,00 │ 72145,00 │ 72145,00 │ 72145,00 │ 72145,00 │ 72145,00 │ 72145,00 │ 72145,00 │ 72145,01 │
│ │ │900 │ │ │ │ │ │ │ │ │ │ │ │ │ │ │ │ │ │ │ │ │
├═══┼══════════════════════┼══════════════┼═════════════════┼══════════════════┼══════════════┼═══════════┼════════════┼════════════════════════┼═══════════┼════════════┼═══════════┼═══════════┼═══════════┼═══════════┼═══════════┼═══════════┼═══════════┼═══════════┼═══════════┼═══════════┼═══════════┼═══════════┤
│11 │Мерлинский │от 101 - до│ + │ - │ │1442900,00 │ 0,600 │ │ │ 865740,00 │ 84169,17 │ 66132,91 │ 66132,91 │ 72145,00 │ 72145,00 │ 72145,00 │ 72145,00 │ 72145,00 │ 72145,00 │ 72145,00 │ 72145,00 │ 72145,01 │
│ │ │900 │ │ │ │ │ │ │ │ │ │ │ │ │ │ │ │ │ │ │ │ │
├═══┼══════════════════════┼══════════════┼═════════════════┼══════════════════┼══════════════┼═══════════┼════════════┼════════════════════════┼═══════════┼════════════┼═══════════┼═══════════┼═══════════┼═══════════┼═══════════┼═══════════┼═══════════┼═══════════┼═══════════┼═══════════┼═══════════┼═══════════┤
│12 │Комиссаровский │от 101 - до│ + │ - │ │1442900,00 │ 0,625 │ │ 0,025 │ 901813,00 │ 87175,25 │ 69138,99 │ 69138,99 │ 75151,08 │ 75151,08 │ 75151,08 │ 75151,08 │ 75151,08 │ 75151,08 │ 75151,08 │ 75151,08 │ 75151,13 │
│ │ │900 │ │ │ │ │ │ │ │ │ │ │ │ │ │ │ │ │ │ │ │ │
├═══┼══════════════════════┼══════════════┼═════════════════┼══════════════════┼══════════════┼═══════════┼════════════┼════════════════════════┼═══════════┼════════════┼═══════════┼═══════════┼═══════════┼═══════════┼═══════════┼═══════════┼═══════════┼═══════════┼═══════════┼═══════════┼═══════════┼═══════════┤
│13 │Красная горка │от 101 - до│ + │ - │ │1442900,00 │ 0,625 │ │ 0,025 │ 901813,00 │ 87175,25 │ 69138,99 │ 69138,99 │ 75151,08 │ 75151,08 │ 75151,08 │ 75151,08 │ 75151,08 │ 75151,08 │ 75151,08 │ 75151,08 │ 75151,13 │
│ │ │900 │ │ │ │ │ │ │ │ │ │ │ │ │ │ │ │ │ │ │ │ │
├═══┼══════════════════════┼══════════════┼═════════════════┼══════════════════┼══════════════┼═══════════┼════════════┼════════════════════════┼═══════════┼════════════┼═══════════┼═══════════┼═══════════┼═══════════┼═══════════┼═══════════┼═══════════┼═══════════┼═══════════┼═══════════┼═══════════┼═══════════┤
│14 │Лонницкий │от 101 - до│ + │ - │ │1442900,00 │ 0,625 │ │ 0,025 │ 901813,00 │ 87175,25 │ 69138,99 │ 69138,99 │ 75151,08 │ 75151,08 │ 75151,08 │ 75151,08 │ 75151,08 │ 75151,08 │ 75151,08 │ 75151,08 │ 75151,13 │
│ │ │900 │ │ │ │ │ │ │ │ │ │ │ │ │ │ │ │ │ │ │ │ │
├═══┼══════════════════════┼══════════════┼═════════════════┼══════════════════┼══════════════┼═══════════┼════════════┼════════════════════════┼═══════════┼════════════┼═══════════┼═══════════┼═══════════┼═══════════┼═══════════┼═══════════┼═══════════┼═══════════┼═══════════┼═══════════┼═══════════┼═══════════┤
│15 │Маньковский │от 101 - до│ + │ - │ │1442900,00 │ 0,625 │ │ 0,025 │ 901813,00 │ 87175,25 │ 69138,99 │ 69138,99 │ 75151,08 │ 75151,08 │ 75151,08 │ 75151,08 │ 75151,08 │ 75151,08 │ 75151,08 │ 75151,08 │ 75151,13 │
│ │ │900 │ │ │ │ │ │ │ │ │ │ │ │ │ │ │ │ │ │ │ │ │
├═══┼══════════════════════┼══════════════┼═════════════════┼══════════════════┼══════════════┼═══════════┼════════════┼════════════════════════┼═══════════┼════════════┼═══════════┼═══════════┼═══════════┼═══════════┼═══════════┼═══════════┼═══════════┼═══════════┼═══════════┼═══════════┼═══════════┼═══════════┤
│16 │Мигановский │от 101 - до│ + │ - │ │1442900,00 │ 0,625 │ │ 0,025 │ 901813,00 │ 87175,25 │ 69138,99 │ 69138,99 │ 75151,08 │ 75151,08 │ 75151,08 │ 75151,08 │ 75151,08 │ 75151,08 │ 75151,08 │ 75151,08 │ 75151,13 │
│ │ │900 │ │ │ │ │ │ │ │ │ │ │ │ │ │ │ │ │ │ │ │ │
├═══┼══════════════════════┼══════════════┼═════════════════┼══════════════════┼══════════════┼═══════════┼════════════┼════════════════════════┼═══════════┼════════════┼═══════════┼═══════════┼═══════════┼═══════════┼═══════════┼═══════════┼═══════════┼═══════════┼═══════════┼═══════════┼═══════════┼═══════════┤
│17 │Рогайловский │от 101 - до│ + │ - │ │1442900,00 │ 0,625 │ │ 0,025 │ 901813,00 │ 87175,25 │ 69138,99 │ 69138,99 │ 75151,08 │ 75151,08 │ 75151,08 │ 75151,08 │ 75151,08 │ 75151,08 │ 75151,08 │ 75151,08 │ 75151,13 │
│ │ │900 │ │ │ │ │ │ │ │ │ │ │ │ │ │ │ │ │ │ │ │ │
├═══┼══════════════════════┼══════════════┼═════════════════┼══════════════════┼══════════════┼═══════════┼════════════┼════════════════════════┼═══════════┼════════════┼═══════════┼═══════════┼═══════════┼═══════════┼═══════════┼═══════════┼═══════════┼═══════════┼═══════════┼═══════════┼═══════════┼═══════════┤
│16 │ИТОГО │ │ │ │ │ │ │ │ │13285504,75 │1268549,85 │1008827,73 │1008827,73 │1111033,24 │1111033,24 │1111033,24 │1111033,24 │1111033,24 │1111033,24 │1111033,24 │1111033,24 │1111033,52 │
├═══┴══════════════════════┴══════════════┴═════════════════┴══════════════════┴══════════════┴═══════════┴════════════┴════════════════════════┴═══════════┴════════════┴═══════════┴═══════════┴═══════════┴═══════════┴═══════════┴═══════════┴═══════════┴═══════════┴═══════════┴═══════════┴═══════════┴═══════════┤
│ ОГБУЗ "Монастырщинская ЦРБ" │
├═══┬══════════════════════┬══════════════┬═════════════════┬══════════════════┬══════════════┬═══════════┬════════════┬════════════════════════┬═══════════┬════════════┬═══════════┬═══════════┬═══════════┬═══════════┬═══════════┬═══════════┬═══════════┬═══════════┬═══════════┬═══════════┬═══════════┬═══════════┤
│1 │Любавичский │от 101 - до│ + │ - │ │1442900,00 │ 0,625 │ │ 0,025 │ 901813,00 │ 87175,25 │ 69138,99 │ 69138,99 │ 75151,08 │ 75151,08 │ 75151,08 │ 75151,08 │ 75151,08 │ 75151,08 │ 75151,08 │ 75151,08 │ 75151,13 │
│ │ │900 │ │ │ │ │ │ │ │ │ │ │ │ │ │ │ │ │ │ │ │ │
├═══┼══════════════════════┼══════════════┼═════════════════┼══════════════════┼══════════════┼═══════════┼════════════┼════════════════════════┼═══════════┼════════════┼═══════════┼═══════════┼═══════════┼═══════════┼═══════════┼═══════════┼═══════════┼═══════════┼═══════════┼═══════════┼═══════════┼═══════════┤
│2 │Барсуковский │от 101 - до│ + │ - │ │1442900,00 │ 0,625 │ │ 0,025 │ 901813,00 │ 87175,25 │ 69138,99 │ 69138,99 │ 75151,08 │ 75151,08 │ 75151,08 │ 75151,08 │ 75151,08 │ 75151,08 │ 75151,08 │ 75151,08 │ 75151,13 │
│ │ │900 │ │ │ │ │ │ │ │ │ │ │ │ │ │ │ │ │ │ │ │ │
├═══┼══════════════════════┼══════════════┼═════════════════┼══════════════════┼══════════════┼═══════════┼════════════┼════════════════════════┼═══════════┼════════════┼═══════════┼═══════════┼═══════════┼═══════════┼═══════════┼═══════════┼═══════════┼═══════════┼═══════════┼═══════════┼═══════════┼═══════════┤
│3 │Стегримовский │от 101 - до│ + │ - │ │1442900,00 │ 0,455 │ │ 0,025 │ 656520,00 │ 63126,92 │ 50501,54 │ 50501,54 │ 54710,00 │ 54710,00 │ 54710,00 │ 54710,00 │ 54710,00 │ 54710,00 │ 54710,00 │ 54710,00 │ 54710,00 │
│ │ │900 │ │ │ │ │ │ │ │ │ │ │ │ │ │ │ │ │ │ │ │ │
├═══┼══════════════════════┼══════════════┼═════════════════┼══════════════════┼══════════════┼═══════════┼════════════┼════════════════════════┼═══════════┼════════════┼═══════════┼═══════════┼═══════════┼═══════════┼═══════════┼═══════════┼═══════════┼═══════════┼═══════════┼═══════════┼═══════════┼═══════════┤
│4 │Досуговский │от 101 - до│ + │ - │ │1442900,00 │ 0,625 │ │ 0,025 │ 901813,00 │ 87175,25 │ 69138,99 │ 69138,99 │ 75151,08 │ 75151,08 │ 75151,08 │ 75151,08 │ 75151,08 │ 75151,08 │ 75151,08 │ 75151,08 │ 75151,13 │
│ │ │900 │ │ │ │ │ │ │ │ │ │ │ │ │ │ │ │ │ │ │ │ │
├═══┼══════════════════════┼══════════════┼═════════════════┼══════════════════┼══════════════┼═══════════┼════════════┼════════════════════════┼═══════════┼════════════┼═══════════┼═══════════┼═══════════┼═══════════┼═══════════┼═══════════┼═══════════┼═══════════┼═══════════┼═══════════┼═══════════┼═══════════┤
│5 │Кадинский │от 101 - до│ + │ - │ │1442900,00 │ 0,625 │ │ 0,025 │ 901813,00 │ 87175,25 │ 69138,99 │ 69138,99 │ 75151,08 │ 75151,08 │ 75151,08 │ 75151,08 │ 75151,08 │ 75151,08 │ 75151,08 │ 75151,08 │ 75151,13 │
│ │ │900 │ │ │ │ │ │ │ │ │ │ │ │ │ │ │ │ │ │ │ │ │
├═══┼══════════════════════┼══════════════┼═════════════════┼══════════════════┼══════════════┼═══════════┼════════════┼════════════════════════┼═══════════┼════════════┼═══════════┼═══════════┼═══════════┼═══════════┼═══════════┼═══════════┼═══════════┼═══════════┼═══════════┼═══════════┼═══════════┼═══════════┤
│6 │Родьковский │от 101 - до│ + │ - │ │1442900,00 │ 0,625 │ │ 0,025 │ 901813,00 │ 87175,25 │ 69138,99 │ 69138,99 │ 75151,08 │ 75151,08 │ 75151,08 │ 75151,08 │ 75151,08 │ 75151,08 │ 75151,08 │ 75151,08 │ 75151,13 │
│ │ │900 │ │ │ │ │ │ │ │ │ │ │ │ │ │ │ │ │ │ │ │ │
├═══┼══════════════════════┼══════════════┼═════════════════┼══════════════════┼══════════════┼═══════════┼════════════┼════════════════════════┼═══════════┼════════════┼═══════════┼═══════════┼═══════════┼═══════════┼═══════════┼═══════════┼═══════════┼═══════════┼═══════════┼═══════════┼═══════════┼═══════════┤
│7 │Добросельский │от 101 - до│ + │ - │ │1442900,00 │ 0,625 │ │ 0,025 │ 901813,00 │ 87175,25 │ 69138,99 │ 69138,99 │ 75151,08 │ 75151,08 │ 75151,08 │ 75151,08 │ 75151,08 │ 75151,08 │ 75151,08 │ 75151,08 │ 75151,13 │
│ │ │900 │ │ │ │ │ │ │ │ │ │ │ │ │ │ │ │ │ │ │ │ │
├═══┼══════════════════════┼══════════════┼═════════════════┼══════════════════┼══════════════┼═══════════┼════════════┼════════════════════════┼═══════════┼════════════┼═══════════┼═══════════┼═══════════┼═══════════┼═══════════┼═══════════┼═══════════┼═══════════┼═══════════┼═══════════┼═══════════┼═══════════┤
│8 │Каблуковский │от 101 - до│ + │ - │ │1442900,00 │ 0,625 │ │ 0,025 │ 901813,00 │ 87175,25 │ 69138,99 │ 69138,99 │ 75151,08 │ 75151,08 │ 75151,08 │ 75151,08 │ 75151,08 │ 75151,08 │ 75151,08 │ 75151,08 │ 75151,13 │
│ │ │900 │ │ │ │ │ │ │ │ │ │ │ │ │ │ │ │ │ │ │ │ │
├═══┼══════════════════════┼══════════════┼═════════════════┼══════════════════┼══════════════┼═══════════┼════════════┼════════════════════════┼═══════════┼════════════┼═══════════┼═══════════┼═══════════┼═══════════┼═══════════┼═══════════┼═══════════┼═══════════┼═══════════┼═══════════┼═══════════┼═══════════┤
│9 │Железняковский │от 101 - до│ + │ - │ │1442900,00 │ 0,625 │ │ 0,025 │ 901813,00 │ 87175,25 │ 69138,99 │ 69138,99 │ 75151,08 │ 75151,08 │ 75151,08 │ 75151,08 │ 75151,08 │ 75151,08 │ 75151,08 │ 75151,08 │ 75151,13 │
│ │ │900 │ │ │ │ │ │ │ │ │ │ │ │ │ │ │ │ │ │ │ │ │
├═══┼══════════════════════┼══════════════┼═════════════════┼══════════════════┼══════════════┼═══════════┼════════════┼════════════════════════┼═══════════┼════════════┼═══════════┼═══════════┼═══════════┼═══════════┼═══════════┼═══════════┼═══════════┼═══════════┼═══════════┼═══════════┼═══════════┼═══════════┤
│10 │Гоголевский │от 101 - до│ + │ - │ │1442900,00 │ 0,625 │ │ 0,025 │ 901813,00 │ 87175,25 │ 69138,99 │ 69138,99 │ 75151,08 │ 75151,08 │ 75151,08 │ 75151,08 │ 75151,08 │ 75151,08 │ 75151,08 │ 75151,08 │ 75151,13 │
│ │ │900 │ │ │ │ │ │ │ │ │ │ │ │ │ │ │ │ │ │ │ │ │
├═══┼══════════════════════┼══════════════┼═════════════════┼══════════════════┼══════════════┼═══════════┼════════════┼════════════════════════┼═══════════┼════════════┼═══════════┼═══════════┼═══════════┼═══════════┼═══════════┼═══════════┼═══════════┼═══════════┼═══════════┼═══════════┼═══════════┼═══════════┤
│11 │Сычевский │от 101 - до│ + │ - │ │1442900,00 │ 0,625 │ │ 0,025 │ 901813,00 │ 87175,25 │ 69138,99 │ 69138,99 │ 75151,08 │ 75151,08 │ 75151,08 │ 75151,08 │ 75151,08 │ 75151,08 │ 75151,08 │ 75151,08 │ 75151,13 │
│ │ │900 │ │ │ │ │ │ │ │ │ │ │ │ │ │ │ │ │ │ │ │ │
├═══┼══════════════════════┼══════════════┼═════════════════┼══════════════════┼══════════════┼═══════════┼════════════┼════════════════════════┼═══════════┼════════════┼═══════════┼═══════════┼═══════════┼═══════════┼═══════════┼═══════════┼═══════════┼═══════════┼═══════════┼═══════════┼═══════════┼═══════════┤
│12 │Александровский │от 101 - до│ + │ - │ │1442900,00 │ 0,625 │ │ 0,025 │ 901813,00 │ 87175,25 │ 69138,99 │ 69138,99 │ 75151,08 │ 75151,08 │ 75151,08 │ 75151,08 │ 75151,08 │ 75151,08 │ 75151,08 │ 75151,08 │ 75151,13 │
│ │ │900 │ │ │ │ │ │ │ │ │ │ │ │ │ │ │ │ │ │ │ │ │
├═══┼══════════════════════┼══════════════┼═════════════════┼══════════════════┼══════════════┼═══════════┼════════════┼════════════════════════┼═══════════┼════════════┼═══════════┼═══════════┼═══════════┼═══════════┼═══════════┼═══════════┼═══════════┼═══════════┼═══════════┼═══════════┼═══════════┼═══════════┤
│13 │Носковский │от 101 - до│ + │ - │ │1442900,00 │ 0,625 │ │ 0,025 │ 901813,00 │ 87175,25 │ 69138,99 │ 69138,99 │ 75151,08 │ 75151,08 │ 75151,08 │ 75151,08 │ 75151,08 │ 75151,08 │ 75151,08 │ 75151,08 │ 75151,13 │
│ │ │900 │ │ │ │ │ │ │ │ │ │ │ │ │ │ │ │ │ │ │ │ │
├═══┼══════════════════════┼══════════════┼═════════════════┼══════════════════┼══════════════┼═══════════┼════════════┼════════════════════════┼═══════════┼════════════┼═══════════┼═══════════┼═══════════┼═══════════┼═══════════┼═══════════┼═══════════┼═══════════┼═══════════┼═══════════┼═══════════┼═══════════┤
│14 │Крапивенский │от 101 - до│ + │ - │ │1442900,00 │ 0,625 │ │ 0,025 │ 901813,00 │ 87175,25 │ 69138,99 │ 69138,99 │ 75151,08 │ 75151,08 │ 75151,08 │ 75151,08 │ 75151,08 │ 75151,08 │ 75151,08 │ 75151,08 │ 75151,13 │
│ │ │900 │ │ │ │ │ │ │ │ │ │ │ │ │ │ │ │ │ │ │ │ │
├═══┼══════════════════════┼══════════════┼═════════════════┼══════════════════┼══════════════┼═══════════┼════════════┼════════════════════════┼═══════════┼════════════┼═══════════┼═══════════┼═══════════┼═══════════┼═══════════┼═══════════┼═══════════┼═══════════┼═══════════┼═══════════┼═══════════┼═══════════┤
│15 │Лызянский │от 101 - до│ + │ - │ │1442900,00 │ 0,625 │ │ 0,025 │ 901813,00 │ 87175,25 │ 69138,99 │ 69138,99 │ 75151,08 │ 75151,08 │ 75151,08 │ 75151,08 │ 75151,08 │ 75151,08 │ 75151,08 │ 75151,08 │ 75151,13 │
│ │ │900 │ │ │ │ │ │ │ │ │ │ │ │ │ │ │ │ │ │ │ │ │
├═══┼══════════════════════┼══════════════┼═════════════════┼══════════════════┼══════════════┼═══════════┼════════════┼════════════════════════┼═══════════┼════════════┼═══════════┼═══════════┼═══════════┼═══════════┼═══════════┼═══════════┼═══════════┼═══════════┼═══════════┼═══════════┼═══════════┼═══════════┤
│16 │Раевский │от 101 - до│ + │ - │ │1442900,00 │ 0,625 │ │ 0,025 │ 901813,00 │ 87175,25 │ 69138,99 │ 69138,99 │ 75151,08 │ 75151,08 │ 75151,08 │ 75151,08 │ 75151,08 │ 75151,08 │ 75151,08 │ 75151,08 │ 75151,13 │
│ │ │900 │ │ │ │ │ │ │ │ │ │ │ │ │ │ │ │ │ │ │ │ │
├═══┼══════════════════════┼══════════════┼═════════════════┼══════════════════┼══════════════┼═══════════┼════════════┼════════════════════════┼═══════════┼════════════┼═══════════┼═══════════┼═══════════┼═══════════┼═══════════┼═══════════┼═══════════┼═══════════┼═══════════┼═══════════┼═══════════┼═══════════┤
│17 │Ново-Михайловский │от 101 - до│ + │ + │ │1442900,00 │ 0,625 │ │ 0,025 │ 901813,00 │ 87175,25 │ 69138,99 │ 69138,99 │ 75151,08 │ 75151,08 │ 75151,08 │ 75151,08 │ 75151,08 │ 75151,08 │ 75151,08 │ 75151,08 │ 75151,13 │
│ │ │900 │ │ │ │ │ │ │ │ │ │ │ │ │ │ │ │ │ │ │ │ │
├═══┼══════════════════════┼══════════════┼═════════════════┼══════════════════┼══════════════┼═══════════┼════════════┼════════════════════════┼═══════════┼════════════┼═══════════┼═══════════┼═══════════┼═══════════┼═══════════┼═══════════┼═══════════┼═══════════┼═══════════┼═══════════┼═══════════┼═══════════┤
│17 │ИТОГО │ │ │ │ │ │ │ │ │15085528,00 │1457930,92 │1156725,38 │1156725,38 │1257127,28 │1257127,28 │1257127,28 │1257127,28 │1257127,28 │1257127,28 │1257127,28 │1257127,28 │1257128,08 │
├═══┴══════════════════════┴══════════════┴═════════════════┴══════════════════┴══════════════┴═══════════┴════════════┴════════════════════════┴═══════════┴════════════┴═══════════┴═══════════┴═══════════┴═══════════┴═══════════┴═══════════┴═══════════┴═══════════┴═══════════┴═══════════┴═══════════┴═══════════┤
│ ОГБУЗ "Починковская РБ" │
├═══┬══════════════════════┬══════════════┬═════════════════┬══════════════════┬══════════════┬═══════════┬════════════┬════════════════════════┬═══════════┬════════════┬═══════════┬═══════════┬═══════════┬═══════════┬═══════════┬═══════════┬═══════════┬═══════════┬═══════════┬═══════════┬═══════════┬═══════════┤
│1 │Ново-головочевский │до 100 │ - │ - │ + │1442900,00 │ 0,150 │ 0,150 │ │ 216435,00 │ 18036,25 │ 18036,25 │ 18036,25 │ 18036,25 │ 18036,25 │ 18036,25 │ 18036,25 │ 18036,25 │ 18036,25 │ 18036,25 │ 18036,25 │ 18036,25 │
├═══┼══════════════════════┼══════════════┼═════════════════┼══════════════════┼══════════════┼═══════════┼════════════┼════════════════════════┼═══════════┼════════════┼═══════════┼═══════════┼═══════════┼═══════════┼═══════════┼═══════════┼═══════════┼═══════════┼═══════════┼═══════════┼═══════════┼═══════════┤
│2 │Сельцовский │до 100 │ - │ - │ + │1442900,00 │ 0,150 │ 0,150 │ │ 216435,00 │ 18036,25 │ 18036,25 │ 18036,25 │ 18036,25 │ 18036,25 │ 18036,25 │ 18036,25 │ 18036,25 │ 18036,25 │ 18036,25 │ 18036,25 │ 18036,25 │
├═══┼══════════════════════┼══════════════┼═════════════════┼══════════════════┼══════════════┼═══════════┼════════════┼════════════════════════┼═══════════┼════════════┼═══════════┼═══════════┼═══════════┼═══════════┼═══════════┼═══════════┼═══════════┼═══════════┼═══════════┼═══════════┼═══════════┼═══════════┤
│3 │Тростянский │от 101 - до│ + │ - │ │1442900,00 │ 0,600 │ │ │ 743093,51 │ 60120,83 │ 47495,46 │ 47495,46 │ 51703,92 │ 51703,92 │ 51703,92 │ 72145,00 │ 72145,00 │ 72145,00 │ 72145,00 │ 72145,00 │ 72145,00 │
│ │ │900 │ │ │ │ │ │ │ │ │ │ │ │ │ │ │ │ │ │ │ │ │
├═══┼══════════════════════┼══════════════┼═════════════════┼══════════════════┼══════════════┼═══════════┼════════════┼════════════════════════┼═══════════┼════════════┼═══════════┼═══════════┼═══════════┼═══════════┼═══════════┼═══════════┼═══════════┼═══════════┼═══════════┼═══════════┼═══════════┼═══════════┤
│4 │Шмаковский │от 101 - до│ + │ - │ │1442900,00 │ 0,600 │ │ │ 743093,51 │ 60120,83 │ 47495,46 │ 47495,46 │ 51703,92 │ 51703,92 │ 51703,92 │ 72145,00 │ 72145,00 │ 72145,00 │ 72145,00 │ 72145,00 │ 72145,00 │
│ │ │900 │ │ │ │ │ │ │ │ │ │ │ │ │ │ │ │ │ │ │ │ │
├═══┼══════════════════════┼══════════════┼═════════════════┼══════════════════┼══════════════┼═══════════┼════════════┼════════════════════════┼═══════════┼════════════┼═══════════┼═══════════┼═══════════┼═══════════┼═══════════┼═══════════┼═══════════┼═══════════┼═══════════┼═══════════┼═══════════┼═══════════┤
│5 │Деребужский │от 101 - до│ + │ - │ │1442900,00 │ 0,430 │ │ │ 620447,00 │ 60120,83 │ 47495,46 │ 47495,46 │ 51703,92 │ 51703,92 │ 51703,92 │ 51703,92 │ 51703,92 │ 51703,92 │ 51703,92 │ 51703,92 │ 51703,89 │
│ │ │900 │ │ │ │ │ │ │ │ │ │ │ │ │ │ │ │ │ │ │ │ │
├═══┼══════════════════════┼══════════════┼═════════════════┼══════════════════┼══════════════┼═══════════┼════════════┼════════════════════════┼═══════════┼════════════┼═══════════┼═══════════┼═══════════┼═══════════┼═══════════┼═══════════┼═══════════┼═══════════┼═══════════┼═══════════┼═══════════┼═══════════┤
│6 │Редчинский │от 101 - до│ + │ - │ │1442900,00 │ 0,430 │ │ │ 620447,00 │ 60120,83 │ 47495,46 │ 47495,46 │ 51703,92 │ 51703,92 │ 51703,92 │ 51703,92 │ 51703,92 │ 51703,92 │ 51703,92 │ 51703,92 │ 51703,89 │
│ │ │900 │ │ │ │ │ │ │ │ │ │ │ │ │ │ │ │ │ │ │ │ │
├═══┼══════════════════════┼══════════════┼═════════════════┼══════════════════┼══════════════┼═══════════┼════════════┼════════════════════════┼═══════════┼════════════┼═══════════┼═══════════┼═══════════┼═══════════┼═══════════┼═══════════┼═══════════┼═══════════┼═══════════┼═══════════┼═══════════┼═══════════┤
│7 │Переснянский │от 101 - до│ + │ - │ │1442900,00 │ 0,600 │ │ │ 865740,00 │ 84169,17 │ 66132,91 │ 66132,91 │ 72145,00 │ 72145,00 │ 72145,00 │ 72145,00 │ 72145,00 │ 72145,00 │ 72145,00 │ 72145,00 │ 72145,01 │
│ │ │900 │ │ │ │ │ │ │ │ │ │ │ │ │ │ │ │ │ │ │ │ │
├═══┼══════════════════════┼══════════════┼═════════════════┼══════════════════┼══════════════┼═══════════┼════════════┼════════════════════════┼═══════════┼════════════┼═══════════┼═══════════┼═══════════┼═══════════┼═══════════┼═══════════┼═══════════┼═══════════┼═══════════┼═══════════┼═══════════┼═══════════┤
│8 │Самолюбовский │от 101 - до│ + │ - │ │1442900,00 │ 0,600 │ │ │ 865740,00 │ 84169,17 │ 66132,91 │ 66132,91 │ 72145,00 │ 72145,00 │ 72145,00 │ 72145,00 │ 72145,00 │ 72145,00 │ 72145,00 │ 72145,00 │ 72145,01 │
│ │ │900 │ │ │ │ │ │ │ │ │ │ │ │ │ │ │ │ │ │ │ │ │
├═══┼══════════════════════┼══════════════┼═════════════════┼══════════════════┼══════════════┼═══════════┼════════════┼════════════════════════┼═══════════┼════════════┼═══════════┼═══════════┼═══════════┼═══════════┼═══════════┼═══════════┼═══════════┼═══════════┼═══════════┼═══════════┼═══════════┼═══════════┤
│9 │Красно-знаменский │от 101 - до│ + │ + │ │1442900,00 │ 1,000 │ │ │ 1154319,99 │ 84169,17 │ 66132,91 │ 66132,91 │ 72145,00 │ 72145,00 │ 72145,00 │ 120241,67 │ 120241,67 │ 120241,67 │ 120241,67 │ 120241,67 │ 120241,65 │
│ │ │900 │ │ │ │ │ │ │ │ │ │ │ │ │ │ │ │ │ │ │ │ │
├═══┼══════════════════════┼══════════════┼═════════════════┼══════════════════┼══════════════┼═══════════┼════════════┼════════════════════════┼═══════════┼════════════┼═══════════┼═══════════┼═══════════┼═══════════┼═══════════┼═══════════┼═══════════┼═══════════┼═══════════┼═══════════┼═══════════┼═══════════┤
│10 │Даньковский │от 101 - до│ + │ + │ │1442900,00 │ 1,000 │ │ │ 1154319,99 │ 84169,17 │ 66132,91 │ 66132,91 │ 72145,00 │ 72145,00 │ 72145,00 │ 120241,67 │ 120241,67 │ 120241,67 │ 120241,67 │ 120241,67 │ 120241,65 │
│ │ │900 │ │ │ │ │ │ │ │ │ │ │ │ │ │ │ │ │ │ │ │ │
├═══┼══════════════════════┼══════════════┼═════════════════┼══════════════════┼══════════════┼═══════════┼════════════┼════════════════════════┼═══════════┼════════════┼═══════════┼═══════════┼═══════════┼═══════════┼═══════════┼═══════════┼═══════════┼═══════════┼═══════════┼═══════════┼═══════════┼═══════════┤
│11 │Ворошиловский │от 101 - до│ + │ + │ │1442900,00 │ 1,000 │ │ │ 1154319,99 │ 84169,17 │ 66132,91 │ 66132,91 │ 72145,00 │ 72145,00 │ 72145,00 │ 120241,67 │ 120241,67 │ 120241,67 │ 120241,67 │ 120241,67 │ 120241,65 │
│ │ │900 │ │ │ │ │ │ │ │ │ │ │ │ │ │ │ │ │ │ │ │ │
├═══┼══════════════════════┼══════════════┼═════════════════┼══════════════════┼══════════════┼═══════════┼════════════┼════════════════════════┼═══════════┼════════════┼═══════════┼═══════════┼═══════════┼═══════════┼═══════════┼═══════════┼═══════════┼═══════════┼═══════════┼═══════════┼═══════════┼═══════════┤
│12 │Беликский │от 101 - до│ + │ + │ │1442900,00 │ 1,000 │ │ │ 1154319,99 │ 84169,17 │ 66132,91 │ 66132,91 │ 72145,00 │ 72145,00 │ 72145,00 │ 120241,67 │ 120241,67 │ 120241,67 │ 120241,67 │ 120241,67 │ 120241,65 │
│ │ │900 │ │ │ │ │ │ │ │ │ │ │ │ │ │ │ │ │ │ │ │ │
├═══┼══════════════════════┼══════════════┼═════════════════┼══════════════════┼══════════════┼═══════════┼════════════┼════════════════════════┼═══════════┼════════════┼═══════════┼═══════════┼═══════════┼═══════════┼═══════════┼═══════════┼═══════════┼═══════════┼═══════════┼═══════════┼═══════════┼═══════════┤
│13 │Ламоновский │от 101 - до│ + │ + │ │1442900,00 │ 1,000 │ │ │ 1154319,99 │ 84169,17 │ 66132,91 │ 66132,91 │ 72145,00 │ 72145,00 │ 72145,00 │ 120241,67 │ 120241,67 │ 120241,67 │ 120241,67 │ 120241,67 │ 120241,65 │
│ │ │900 │ │ │ │ │ │ │ │ │ │ │ │ │ │ │ │ │ │ │ │ │
├═══┼══════════════════════┼══════════════┼═════════════════┼══════════════════┼══════════════┼═══════════┼════════════┼════════════════════════┼═══════════┼════════════┼═══════════┼═══════════┼═══════════┼═══════════┼═══════════┼═══════════┼═══════════┼═══════════┼═══════════┼═══════════┼═══════════┼═══════════┤
│14 │Клемятинский │от 101 - до│ + │ + │ │1442900,00 │ 1,000 │ │ │ 1154319,99 │ 84169,17 │ 66132,91 │ 66132,91 │ 72145,00 │ 72145,00 │ 72145,00 │ 120241,67 │ 120241,67 │ 120241,67 │ 120241,67 │ 120241,67 │ 120241,65 │
│ │ │900 │ │ │ │ │ │ │ │ │ │ │ │ │ │ │ │ │ │ │ │ │
├═══┼══════════════════════┼══════════════┼═════════════════┼══════════════════┼══════════════┼═══════════┼════════════┼════════════════════════┼═══════════┼════════════┼═══════════┼═══════════┼═══════════┼═══════════┼═══════════┼═══════════┼═══════════┼═══════════┼═══════════┼═══════════┼═══════════┼═══════════┤
│15 │Липковский │от 101 - до│ + │ + │ │1442900,00 │ 1,000 │ │ │ 1154319,99 │ 84169,17 │ 66132,91 │ 66132,91 │ 72145,00 │ 72145,00 │ 72145,00 │ 120241,67 │ 120241,67 │ 120241,67 │ 120241,67 │ 120241,67 │ 120241,65 │
│ │ │900 │ │ │ │ │ │ │ │ │ │ │ │ │ │ │ │ │ │ │ │ │
├═══┼══════════════════════┼══════════════┼═════════════════┼══════════════════┼══════════════┼═══════════┼════════════┼════════════════════════┼═══════════┼════════════┼═══════════┼═══════════┼═══════════┼═══════════┼═══════════┼═══════════┼═══════════┼═══════════┼═══════════┼═══════════┼═══════════┼═══════════┤
│16 │Старинковский │от 101 - до│ + │ + │ │1442900,00 │ 1,000 │ │ │ 1154319,99 │ 84169,17 │ 66132,91 │ 66132,91 │ 72145,00 │ 72145,00 │ 72145,00 │ 120241,67 │ 120241,67 │ 120241,67 │ 120241,67 │ 120241,67 │ 120241,65 │
│ │ │900 │ │ │ │ │ │ │ │ │ │ │ │ │ │ │ │ │ │ │ │ │
├═══┼══════════════════════┼══════════════┼═════════════════┼══════════════════┼══════════════┼═══════════┼════════════┼════════════════════════┼═══════════┼════════════┼═══════════┼═══════════┼═══════════┼═══════════┼═══════════┼═══════════┼═══════════┼═══════════┼═══════════┼═══════════┼═══════════┼═══════════┤
│17 │Бобыновский │от 101 - до│ + │ + │ │1442900,00 │ 1,000 │ │ │ 1154319,99 │ 84169,17 │ 66132,91 │ 66132,91 │ 72145,00 │ 72145,00 │ 72145,00 │ 120241,67 │ 120241,67 │ 120241,67 │ 120241,67 │ 120241,67 │ 120241,65 │
│ │ │900 │ │ │ │ │ │ │ │ │ │ │ │ │ │ │ │ │ │ │ │ │
├═══┼══════════════════════┼══════════════┼═════════════════┼══════════════════┼══════════════┼═══════════┼════════════┼════════════════════════┼═══════════┼════════════┼═══════════┼═══════════┼═══════════┼═══════════┼═══════════┼═══════════┼═══════════┼═══════════┼═══════════┼═══════════┼═══════════┼═══════════┤
│18 │Макшеевский │от 101 - до│ + │ + │ │1442900,00 │ 1,000 │ │ │ 1154319,99 │ 84169,17 │ 66132,91 │ 66132,91 │ 72145,00 │ 72145,00 │ 72145,00 │ 120241,67 │ 120241,67 │ 120241,67 │ 120241,67 │ 120241,67 │ 120241,65 │
│ │ │900 │ │ │ │ │ │ │ │ │ │ │ │ │ │ │ │ │ │ │ │ │
├═══┼══════════════════════┼══════════════┼═════════════════┼══════════════════┼══════════════┼═══════════┼════════════┼════════════════════════┼═══════════┼════════════┼═══════════┼═══════════┼═══════════┼═══════════┼═══════════┼═══════════┼═══════════┼═══════════┼═══════════┼═══════════┼═══════════┼═══════════┤
│19 │Навинский │от 101 - до│ + │ + │ │1442900,00 │ 1,000 │ │ │ 1154319,99 │ 84169,17 │ 66132,91 │ 66132,91 │ 72145,00 │ 72145,00 │ 72145,00 │ 120241,67 │ 120241,67 │ 120241,67 │ 120241,67 │ 120241,67 │ 120241,65 │
│ │ │900 │ │ │ │ │ │ │ │ │ │ │ │ │ │ │ │ │ │ │ │ │
├═══┼══════════════════════┼══════════════┼═════════════════┼══════════════════┼══════════════┼═══════════┼════════════┼════════════════════════┼═══════════┼════════════┼═══════════┼═══════════┼═══════════┼═══════════┼═══════════┼═══════════┼═══════════┼═══════════┼═══════════┼═══════════┼═══════════┼═══════════┤
│20 │Климщинский │от 101 - до│ + │ + │ │1442900,00 │ 1,000 │ │ │ 1154319,99 │ 84169,17 │ 66132,91 │ 66132,91 │ 72145,00 │ 72145,00 │ 72145,00 │ 120241,67 │ 120241,67 │ 120241,67 │ 120241,67 │ 120241,67 │ 120241,65 │
│ │ │900 │ │ │ │ │ │ │ │ │ │ │ │ │ │ │ │ │ │ │ │ │
├═══┼══════════════════════┼══════════════┼═════════════════┼══════════════════┼══════════════┼═══════════┼════════════┼════════════════════════┼═══════════┼════════════┼═══════════┼═══════════┼═══════════┼═══════════┼═══════════┼═══════════┼═══════════┼═══════════┼═══════════┼═══════════┼═══════════┼═══════════┤
│21 │Стригинский │от 101 - до│ + │ + │ │1442900,00 │ 1,000 │ │ │ 1154319,99 │ 84169,17 │ 66132,91 │ 66132,91 │ 72145,00 │ 72145,00 │ 72145,00 │ 120241,67 │ 120241,67 │ 120241,67 │ 120241,67 │ 120241,67 │ 120241,65 │
│ │ │900 │ │ │ │ │ │ │ │ │ │ │ │ │ │ │ │ │ │ │ │ │
├═══┼══════════════════════┼══════════════┼═════════════════┼══════════════════┼══════════════┼═══════════┼════════════┼════════════════════════┼═══════════┼════════════┼═══════════┼═══════════┼═══════════┼═══════════┼═══════════┼═══════════┼═══════════┼═══════════┼═══════════┼═══════════┼═══════════┼═══════════┤
│22 │Шанталовский │от 101 - до│ + │ + │ │1442900,00 │ 1,000 │ │ │ 1154319,99 │ 84169,17 │ 66132,91 │ 66132,91 │ 72145,00 │ 72145,00 │ 72145,00 │ 120241,67 │ 120241,67 │ 120241,67 │ 120241,67 │ 120241,67 │ 120241,65 │
│ │ │900 │ │ │ │ │ │ │ │ │ │ │ │ │ │ │ │ │ │ │ │ │
├═══┼══════════════════════┼══════════════┼═════════════════┼══════════════════┼══════════════┼═══════════┼════════════┼════════════════════════┼═══════════┼════════════┼═══════════┼═══════════┼═══════════┼═══════════┼═══════════┼═══════════┼═══════════┼═══════════┼═══════════┼═══════════┼═══════════┼═══════════┤
│23 │Княжинский │от 101 - до│ + │ + │ │1442900,00 │ 1,000 │ │ │ 1154319,99 │ 84169,17 │ 66132,91 │ 66132,91 │ 72145,00 │ 72145,00 │ 72145,00 │ 120241,67 │ 120241,67 │ 120241,67 │ 120241,67 │ 120241,67 │ 120241,65 │
│ │ │900 │ │ │ │ │ │ │ │ │ │ │ │ │ │ │ │ │ │ │ │ │
├═══┼══════════════════════┼══════════════┼═════════════════┼══════════════════┼══════════════┼═══════════┼════════════┼════════════════════════┼═══════════┼════════════┼═══════════┼═══════════┼═══════════┼═══════════┼═══════════┼═══════════┼═══════════┼═══════════┼═══════════┼═══════════┼═══════════┼═══════════┤
│24 │Лучесской │от 101 - до│ + │ + │ │1442900,00 │ 1,000 │ │ │ 1154319,99 │ 84169,17 │ 66132,91 │ 66132,91 │ 72145,00 │ 72145,00 │ 72145,00 │ 120241,67 │ 120241,67 │ 120241,67 │ 120241,67 │ 120241,67 │ 120241,65 │
│ │ │900 │ │ │ │ │ │ │ │ │ │ │ │ │ │ │ │ │ │ │ │ │
├═══┼══════════════════════┼══════════════┼═════════════════┼══════════════════┼══════════════┼═══════════┼════════════┼════════════════════════┼═══════════┼════════════┼═══════════┼═══════════┼═══════════┼═══════════┼═══════════┼═══════════┼═══════════┼═══════════┼═══════════┼═══════════┼═══════════┼═══════════┤
│25 │Васьковский │от 101 - до│ + │ + │ │1442900,00 │ 1,000 │ │ │ 1154319,99 │ 84169,17 │ 66132,91 │ 66132,91 │ 72145,00 │ 72145,00 │ 72145,00 │ 120241,67 │ 120241,67 │ 120241,67 │ 120241,67 │ 120241,67 │ 120241,65 │
│ │ │900 │ │ │ │ │ │ │ │ │ │ │ │ │ │ │ │ │ │ │ │ │
├═══┼══════════════════════┼══════════════┼═════════════════┼══════════════════┼══════════════┼═══════════┼════════════┼════════════════════════┼═══════════┼════════════┼═══════════┼═══════════┼═══════════┼═══════════┼═══════════┼═══════════┼═══════════┼═══════════┼═══════════┼═══════════┼═══════════┼═══════════┤
│26 │Мачулинский │от 101 - до│ + │ + │ │1442900,00 │ 1,000 │ │ │ 1154319,99 │ 84169,17 │ 66132,91 │ 66132,91 │ 72145,00 │ 72145,00 │ 72145,00 │ 120241,67 │ 120241,67 │ 120241,67 │ 120241,67 │ 120241,67 │ 120241,65 │
│ │ │900 │ │ │ │ │ │ │ │ │ │ │ │ │ │ │ │ │ │ │ │ │
├═══┼══════════════════════┼══════════════┼═════════════════┼══════════════════┼══════════════┼═══════════┼════════════┼════════════════════════┼═══════════┼════════════┼═══════════┼═══════════┼═══════════┼═══════════┼═══════════┼═══════════┼═══════════┼═══════════┼═══════════┼═══════════┼═══════════┼═══════════┤
│27 │Прудковский │от 101 - до│ + │ + │ │1442900,00 │ 1,000 │ │ │ 1154319,99 │ 84169,17 │ 66132,91 │ 66132,91 │ 72145,00 │ 72145,00 │ 72145,00 │ 120241,67 │ 120241,67 │ 120241,67 │ 120241,67 │ 120241,67 │ 120241,65 │
│ │ │900 │ │ │ │ │ │ │ │ │ │ │ │ │ │ │ │ │ │ │ │ │
├═══┼══════════════════════┼══════════════┼═════════════════┼══════════════════┼══════════════┼═══════════┼════════════┼════════════════════════┼═══════════┼════════════┼═══════════┼═══════════┼═══════════┼═══════════┼═══════════┼═══════════┼═══════════┼═══════════┼═══════════┼═══════════┼═══════════┼═══════════┤
│28 │Рябцевский │от 101 - до│ + │ + │ │1442900,00 │ 1,000 │ │ │ 1154319,99 │ 84169,17 │ 66132,91 │ 66132,91 │ 72145,00 │ 72145,00 │ 72145,00 │ 120241,67 │ 120241,67 │ 120241,67 │ 120241,67 │ 120241,67 │ 120241,65 │
│ │ │900 │ │ │ │ │ │ │ │ │ │ │ │ │ │ │ │ │ │ │ │ │
├═══┼══════════════════════┼══════════════┼═════════════════┼══════════════════┼══════════════┼═══════════┼════════════┼════════════════════════┼═══════════┼════════════┼═══════════┼═══════════┼═══════════┼═══════════┼═══════════┼═══════════┼═══════════┼═══════════┼═══════════┼═══════════┼═══════════┼═══════════┤
│29 │Лоснянский │от 901 - до│ + │ - │ │2885800,00 │ 0,430 │ │ │ 1240894,00 │ 120241,67 │ 94990,91 │ 94990,91 │ 103407,83 │ 103407,83 │ 103407,83 │ 103407,84 │ 103407,84 │ 103407,84 │ 103407,84 │ 103407,84 │ 103407,82 │
│ │ │1500 │ │ │ │ │ │ │ │ │ │ │ │ │ │ │ │ │ │ │ │ │
├═══┼══════════════════════┼══════════════┼═════════════════┼══════════════════┼══════════════┼═══════════┼════════════┼════════════════════════┼═══════════┼════════════┼═══════════┼═══════════┼═══════════┼═══════════┼═══════════┼═══════════┼═══════════┼═══════════┼═══════════┼═══════════┼═══════════┼═══════════┤
│30 │Мурыгинский │от 901 - до│ + │ - │ │2885800,00 │ 0,750 │ │ │ 2164350,00 │ 180362,50 │ 180362,50 │ 180362,50 │ 180362,50 │ 180362,50 │ 180362,50 │ 180362,50 │ 180362,50 │ 180362,50 │ 180362,50 │ 180362,50 │ 180362,50 │
│ │ │1500 │ │ │ │ │ │ │ │ │ │ │ │ │ │ │ │ │ │ │ │ │
├═══┼══════════════════════┼══════════════┼═════════════════┼══════════════════┼══════════════┼═══════════┼════════════┼════════════════════════┼═══════════┼════════════┼═══════════┼═══════════┼═══════════┼═══════════┼═══════════┼═══════════┼═══════════┼═══════════┼═══════════┼═══════════┼═══════════┼═══════════┤
│31 │Плосковский │от 901 - до│ + │ - │ │2885800,00 │ 0,750 │ │ │ 1702621,98 │ 120241,67 │ 94990,91 │ 94990,91 │ 103407,83 │ 103407,83 │ 103407,83 │ 180362,50 │ 180362,50 │ 180362,50 │ 180362,50 │ 180362,50 │ 180362,50 │
│ │ │1500 │ │ │ │ │ │ │ │ │ │ │ │ │ │ │ │ │ │ │ │ │
├═══┼══════════════════════┼══════════════┼═════════════════┼══════════════════┼══════════════┼═══════════┼════════════┼════════════════════════┼═══════════┼════════════┼═══════════┼═══════════┼═══════════┼═══════════┼═══════════┼═══════════┼═══════════┼═══════════┼═══════════┼═══════════┼═══════════┼═══════════┤
│31 │ИТОГО │ │ │ │ │ │ │ │ │33085696,80 │2549123,40 │2051322,68 │2051322,68 │2217256,34 │2217256,34 │2217256,34 │3297026,58 │3297026,58 │3297026,58 │3297026,58 │3297026,58 │3297026,12 │
├═══┴══════════════════════┴══════════════┴═════════════════┴══════════════════┴══════════════┴═══════════┴════════════┴════════════════════════┴═══════════┴════════════┴═══════════┴═══════════┴═══════════┴═══════════┴═══════════┴═══════════┴═══════════┴═══════════┴═══════════┴═══════════┴═══════════┴═══════════┤
│ ОГБУЗ "Рославльская ЦРБ" │
├═══┬══════════════════════┬══════════════┬═════════════════┬══════════════════┬══════════════┬═══════════┬════════════┬════════════════════════┬═══════════┬════════════┬═══════════┬═══════════┬═══════════┬═══════════┬═══════════┬═══════════┬═══════════┬═══════════┬═══════════┬═══════════┬═══════════┬═══════════┤
│1 │Громашовский │до 100 │ - │ - │ + │1442900,00 │ 0,150 │ 0,150 │ │ 216435,00 │ 18036,25 │ 18036,25 │ 18036,25 │ 18036,25 │ 18036,25 │ 18036,25 │ 18036,25 │ 18036,25 │ 18036,25 │ 18036,25 │ 18036,25 │ 18036,25 │
├═══┼══════════════════════┼══════════════┼═════════════════┼══════════════════┼══════════════┼═══════════┼════════════┼════════════════════════┼═══════════┼════════════┼═══════════┼═══════════┼═══════════┼═══════════┼═══════════┼═══════════┼═══════════┼═══════════┼═══════════┼═══════════┼═══════════┼═══════════┤
│2 │Семеновский │до 100 │ - │ - │ + │1442900,00 │ 0,150 │ 0,150 │ │ 216435,00 │ 18036,25 │ 18036,25 │ 18036,25 │ 18036,25 │ 18036,25 │ 18036,25 │ 18036,25 │ 18036,25 │ 18036,25 │ 18036,25 │ 18036,25 │ 18036,25 │
├═══┼══════════════════════┼══════════════┼═════════════════┼══════════════════┼══════════════┼═══════════┼════════════┼════════════════════════┼═══════════┼════════════┼═══════════┼═══════════┼═══════════┼═══════════┼═══════════┼═══════════┼═══════════┼═══════════┼═══════════┼═══════════┼═══════════┼═══════════┤
│3 │Никулинский │до 100 │ - │ - │ + │1442900,00 │ 0,150 │ 0,150 │ │ 216435,00 │ 18036,25 │ 18036,25 │ 18036,25 │ 18036,25 │ 18036,25 │ 18036,25 │ 18036,25 │ 18036,25 │ 18036,25 │ 18036,25 │ 18036,25 │ 18036,25 │
├═══┼══════════════════════┼══════════════┼═════════════════┼══════════════════┼══════════════┼═══════════┼════════════┼════════════════════════┼═══════════┼════════════┼═══════════┼═══════════┼═══════════┼═══════════┼═══════════┼═══════════┼═══════════┼═══════════┼═══════════┼═══════════┼═══════════┼═══════════┤
│4 │Корсиковский │от 101 - до│ + │ - │ │1442900,00 │ 0,150 │ │ │ 216435,00 │ 18036,25 │ 18036,25 │ 18036,25 │ 18036,25 │ 18036,25 │ 18036,25 │ 18036,25 │ 18036,25 │ 18036,25 │ 18036,25 │ 18036,25 │ 18036,25 │
│ │ │900 │ │ │ │ │ │ │ │ │ │ │ │ │ │ │ │ │ │ │ │ │
├═══┼══════════════════════┼══════════════┼═════════════════┼══════════════════┼══════════════┼═══════════┼════════════┼════════════════════════┼═══════════┼════════════┼═══════════┼═══════════┼═══════════┼═══════════┼═══════════┼═══════════┼═══════════┼═══════════┼═══════════┼═══════════┼═══════════┼═══════════┤
│5 │Вежниковский │от 101 - до│ + │ - │ │1442900,00 │ 0,150 │ │ │ 216435,00 │ 18036,25 │ 18036,25 │ 18036,25 │ 18036,25 │ 18036,25 │ 18036,25 │ 18036,25 │ 18036,25 │ 18036,25 │ 18036,25 │ 18036,25 │ 18036,25 │
│ │ │900 │ │ │ │ │ │ │ │ │ │ │ │ │ │ │ │ │ │ │ │ │
├═══┼══════════════════════┼══════════════┼═════════════════┼══════════════════┼══════════════┼═══════════┼════════════┼════════════════════════┼═══════════┼════════════┼═══════════┼═══════════┼═══════════┼═══════════┼═══════════┼═══════════┼═══════════┼═══════════┼═══════════┼═══════════┼═══════════┼═══════════┤
│6 │Липовский │от 101 - до│ + │ - │ │1442900,00 │ 0,150 │ │ │ 216435,00 │ 18036,25 │ 18036,25 │ 18036,25 │ 18036,25 │ 18036,25 │ 18036,25 │ 18036,25 │ 18036,25 │ 18036,25 │ 18036,25 │ 18036,25 │ 18036,25 │
│ │ │900 │ │ │ │ │ │ │ │ │ │ │ │ │ │ │ │ │ │ │ │ │
├═══┼══════════════════════┼══════════════┼═════════════════┼══════════════════┼══════════════┼═══════════┼════════════┼════════════════════════┼═══════════┼════════════┼═══════════┼═══════════┼═══════════┼═══════════┼═══════════┼═══════════┼═══════════┼═══════════┼═══════════┼═══════════┼═══════════┼═══════════┤
│7 │Гневковский │от 101 - до│ + │ - │ │1442900,00 │ 0,430 │ │ │ 620447,00 │ 60120,83 │ 47495,46 │ 47495,46 │ 51703,92 │ 51703,92 │ 51703,92 │ 51703,92 │ 51703,92 │ 51703,92 │ 51703,92 │ 51703,92 │ 51703,89 │
│ │ │900 │ │ │ │ │ │ │ │ │ │ │ │ │ │ │ │ │ │ │ │ │
├═══┼══════════════════════┼══════════════┼═════════════════┼══════════════════┼══════════════┼═══════════┼════════════┼════════════════════════┼═══════════┼════════════┼═══════════┼═══════════┼═══════════┼═══════════┼═══════════┼═══════════┼═══════════┼═══════════┼═══════════┼═══════════┼═══════════┼═══════════┤
│8 │Красниковский │от 101 - до│ + │ - │ │1442900,00 │ 0,430 │ │ │ 620447,00 │ 60120,83 │ 47495,46 │ 47495,46 │ 51703,92 │ 51703,92 │ 51703,92 │ 51703,92 │ 51703,92 │ 51703,92 │ 51703,92 │ 51703,92 │ 51703,89 │
│ │ │900 │ │ │ │ │ │ │ │ │ │ │ │ │ │ │ │ │ │ │ │ │
├═══┼══════════════════════┼══════════════┼═════════════════┼══════════════════┼══════════════┼═══════════┼════════════┼════════════════════════┼═══════════┼════════════┼═══════════┼═══════════┼═══════════┼═══════════┼═══════════┼═══════════┼═══════════┼═══════════┼═══════════┼═══════════┼═══════════┼═══════════┤
│9 │Руханский │от 101 - до│ + │ - │ │1442900,00 │ 0,600 │ │ │ 865740,00 │ 84169,17 │ 66132,91 │ 66132,91 │ 72145,00 │ 72145,00 │ 72145,00 │ 72145,00 │ 72145,00 │ 72145,00 │ 72145,00 │ 72145,00 │ 72145,01 │
│ │ │900 │ │ │ │ │ │ │ │ │ │ │ │ │ │ │ │ │ │ │ │ │
├═══┼══════════════════════┼══════════════┼═════════════════┼══════════════════┼══════════════┼═══════════┼════════════┼════════════════════════┼═══════════┼════════════┼═══════════┼═══════════┼═══════════┼═══════════┼═══════════┼═══════════┼═══════════┼═══════════┼═══════════┼═══════════┼═══════════┼═══════════┤
│10 │Ломнянский │от 101 - до│ + │ + │ │1442900,00 │ 1,000 │ │ │ 1442900,00 │ 120241,67 │ 120241,67 │ 120241,67 │ 120241,67 │ 120241,67 │ 120241,67 │ 120241,67 │ 120241,67 │ 120241,67 │ 120241,67 │ 120241,67 │ 120241,63 │
│ │ │900 │ │ │ │ │ │ │ │ │ │ │ │ │ │ │ │ │ │ │ │ │
├═══┼══════════════════════┼══════════════┼═════════════════┼══════════════════┼══════════════┼═══════════┼════════════┼════════════════════════┼═══════════┼════════════┼═══════════┼═══════════┼═══════════┼═══════════┼═══════════┼═══════════┼═══════════┼═══════════┼═══════════┼═══════════┼═══════════┼═══════════┤
│11 │Беседковский │от 101 - до│ + │ + │ │1442900,00 │ 1,000 │ │ │ 1442900,00 │ 120241,67 │ 120241,67 │ 120241,67 │ 120241,67 │ 120241,67 │ 120241,67 │ 120241,67 │ 120241,67 │ 120241,67 │ 120241,67 │ 120241,67 │ 120241,63 │
│ │ │900 │ │ │ │ │ │ │ │ │ │ │ │ │ │ │ │ │ │ │ │ │
├═══┼══════════════════════┼══════════════┼═════════════════┼══════════════════┼══════════════┼═══════════┼════════════┼════════════════════════┼═══════════┼════════════┼═══════════┼═══════════┼═══════════┼═══════════┼═══════════┼═══════════┼═══════════┼═══════════┼═══════════┼═══════════┼═══════════┼═══════════┤
│12 │Язовский │от 101 - до│ + │ + │ │1442900,00 │ 1,000 │ │ │ 1442900,00 │ 120241,67 │ 120241,67 │ 120241,67 │ 120241,67 │ 120241,67 │ 120241,67 │ 120241,67 │ 120241,67 │ 120241,67 │ 120241,67 │ 120241,67 │ 120241,63 │
│ │ │900 │ │ │ │ │ │ │ │ │ │ │ │ │ │ │ │ │ │ │ │ │
├═══┼══════════════════════┼══════════════┼═════════════════┼══════════════════┼══════════════┼═══════════┼════════════┼════════════════════════┼═══════════┼════════════┼═══════════┼═══════════┼═══════════┼═══════════┼═══════════┼═══════════┼═══════════┼═══════════┼═══════════┼═══════════┼═══════════┼═══════════┤
│13 │Кузьмичский │от 101 - до│ + │ + │ │1442900,00 │ 1,000 │ │ │ 1442900,00 │ 120241,67 │ 120241,67 │ 120241,67 │ 120241,67 │ 120241,67 │ 120241,67 │ 120241,67 │ 120241,67 │ 120241,67 │ 120241,67 │ 120241,67 │ 120241,63 │
│ │ │900 │ │ │ │ │ │ │ │ │ │ │ │ │ │ │ │ │ │ │ │ │
├═══┼══════════════════════┼══════════════┼═════════════════┼══════════════════┼══════════════┼═══════════┼════════════┼════════════════════════┼═══════════┼════════════┼═══════════┼═══════════┼═══════════┼═══════════┼═══════════┼═══════════┼═══════════┼═══════════┼═══════════┼═══════════┼═══════════┼═══════════┤
│14 │Петровский │от 101 - до│ + │ + │ │1442900,00 │ 1,000 │ │ │ 1442900,00 │ 120241,67 │ 120241,67 │ 120241,67 │ 120241,67 │ 120241,67 │ 120241,67 │ 120241,67 │ 120241,67 │ 120241,67 │ 120241,67 │ 120241,67 │ 120241,63 │
│ │ │900 │ │ │ │ │ │ │ │ │ │ │ │ │ │ │ │ │ │ │ │ │
├═══┼══════════════════════┼══════════════┼═════════════════┼══════════════════┼══════════════┼═══════════┼════════════┼════════════════════════┼═══════════┼════════════┼═══════════┼═══════════┼═══════════┼═══════════┼═══════════┼═══════════┼═══════════┼═══════════┼═══════════┼═══════════┼═══════════┼═══════════┤
│15 │Богдановский │от 101 - до│ + │ + │ │1442900,00 │ 1,000 │ │ │ 1442900,00 │ 120241,67 │ 120241,67 │ 120241,67 │ 120241,67 │ 120241,67 │ 120241,67 │ 120241,67 │ 120241,67 │ 120241,67 │ 120241,67 │ 120241,67 │ 120241,63 │
│ │ │900 │ │ │ │ │ │ │ │ │ │ │ │ │ │ │ │ │ │ │ │ │
├═══┼══════════════════════┼══════════════┼═════════════════┼══════════════════┼══════════════┼═══════════┼════════════┼════════════════════════┼═══════════┼════════════┼═══════════┼═══════════┼═══════════┼═══════════┼═══════════┼═══════════┼═══════════┼═══════════┼═══════════┼═══════════┼═══════════┼═══════════┤
│16 │Петровичский │от 101 - до│ + │ + │ │1442900,00 │ 1,000 │ │ │ 1442900,00 │ 120241,67 │ 120241,67 │ 120241,67 │ 120241,67 │ 120241,67 │ 120241,67 │ 120241,67 │ 120241,67 │ 120241,67 │ 120241,67 │ 120241,67 │ 120241,63 │
│ │ │900 │ │ │ │ │ │ │ │ │ │ │ │ │ │ │ │ │ │ │ │ │
├═══┼══════════════════════┼══════════════┼═════════════════┼══════════════════┼══════════════┼═══════════┼════════════┼════════════════════════┼═══════════┼════════════┼═══════════┼═══════════┼═══════════┼═══════════┼═══════════┼═══════════┼═══════════┼═══════════┼═══════════┼═══════════┼═══════════┼═══════════┤
│17 │Азобичксий │от 101 - до│ + │ + │ │1442900,00 │ 1,000 │ │ │ 1442900,00 │ 120241,67 │ 120241,67 │ 120241,67 │ 120241,67 │ 120241,67 │ 120241,67 │ 120241,67 │ 120241,67 │ 120241,67 │ 120241,67 │ 120241,67 │ 120241,63 │
│ │ │900 │ │ │ │ │ │ │ │ │ │ │ │ │ │ │ │ │ │ │ │ │
├═══┼══════════════════════┼══════════════┼═════════════════┼══════════════════┼══════════════┼═══════════┼════════════┼════════════════════════┼═══════════┼════════════┼═══════════┼═══════════┼═══════════┼═══════════┼═══════════┼═══════════┼═══════════┼═══════════┼═══════════┼═══════════┼═══════════┼═══════════┤
│18 │Астапковичский │от 101 - до│ + │ + │ │1442900,00 │ 1,000 │ │ │ 1442900,00 │ 120241,67 │ 120241,67 │ 120241,67 │ 120241,67 │ 120241,67 │ 120241,67 │ 120241,67 │ 120241,67 │ 120241,67 │ 120241,67 │ 120241,67 │ 120241,63 │
│ │ │900 │ │ │ │ │ │ │ │ │ │ │ │ │ │ │ │ │ │ │ │ │
├═══┼══════════════════════┼══════════════┼═════════════════┼══════════════════┼══════════════┼═══════════┼════════════┼════════════════════════┼═══════════┼════════════┼═══════════┼═══════════┼═══════════┼═══════════┼═══════════┼═══════════┼═══════════┼═══════════┼═══════════┼═══════════┼═══════════┼═══════════┤
│19 │Воргинский │от 101 - до│ + │ + │ │1442900,00 │ 1,000 │ │ │ 1442900,00 │ 120241,67 │ 120241,67 │ 120241,67 │ 120241,67 │ 120241,67 │ 120241,67 │ 120241,67 │ 120241,67 │ 120241,67 │ 120241,67 │ 120241,67 │ 120241,63 │
│ │ │900 │ │ │ │ │ │ │ │ │ │ │ │ │ │ │ │ │ │ │ │ │
├═══┼══════════════════════┼══════════════┼═════════════════┼══════════════════┼══════════════┼═══════════┼════════════┼════════════════════════┼═══════════┼════════════┼═══════════┼═══════════┼═══════════┼═══════════┼═══════════┼═══════════┼═══════════┼═══════════┼═══════════┼═══════════┼═══════════┼═══════════┤
│20 │Грязенятский │от 101 - до│ + │ + │ │1442900,00 │ 1,000 │ │ │ 1442900,00 │ 120241,67 │ 120241,67 │ 120241,67 │ 120241,67 │ 120241,67 │ 120241,67 │ 120241,67 │ 120241,67 │ 120241,67 │ 120241,67 │ 120241,67 │ 120241,63 │
│ │ │900 │ │ │ │ │ │ │ │ │ │ │ │ │ │ │ │ │ │ │ │ │
├═══┼══════════════════════┼══════════════┼═════════════════┼══════════════════┼══════════════┼═══════════┼════════════┼════════════════════════┼═══════════┼════════════┼═══════════┼═══════════┼═══════════┼═══════════┼═══════════┼═══════════┼═══════════┼═══════════┼═══════════┼═══════════┼═══════════┼═══════════┤
│21 │Доротовский │от 101 - до│ + │ + │ │1442900,00 │ 1,000 │ │ │ 1442900,00 │ 120241,67 │ 120241,67 │ 120241,67 │ 120241,67 │ 120241,67 │ 120241,67 │ 120241,67 │ 120241,67 │ 120241,67 │ 120241,67 │ 120241,67 │ 120241,63 │
│ │ │900 │ │ │ │ │ │ │ │ │ │ │ │ │ │ │ │ │ │ │ │ │
├═══┼══════════════════════┼══════════════┼═════════════════┼══════════════════┼══════════════┼═══════════┼════════════┼════════════════════════┼═══════════┼════════════┼═══════════┼═══════════┼═══════════┼═══════════┼═══════════┼═══════════┼═══════════┼═══════════┼═══════════┼═══════════┼═══════════┼═══════════┤
│22 │Крапивенский │от 101 - до│ + │ + │ │1442900,00 │ 1,000 │ │ │ 1442900,00 │ 120241,67 │ 120241,67 │ 120241,67 │ 120241,67 │ 120241,67 │ 120241,67 │ 120241,67 │ 120241,67 │ 120241,67 │ 120241,67 │ 120241,67 │ 120241,63 │
│ │ │900 │ │ │ │ │ │ │ │ │ │ │ │ │ │ │ │ │ │ │ │ │
├═══┼══════════════════════┼══════════════┼═════════════════┼══════════════════┼══════════════┼═══════════┼════════════┼════════════════════════┼═══════════┼════════════┼═══════════┼═══════════┼═══════════┼═══════════┼═══════════┼═══════════┼═══════════┼═══════════┼═══════════┼═══════════┼═══════════┼═══════════┤
│23 │Жарынский │от 101 - до│ + │ + │ │1442900,00 │ 1,000 │ │ │ 1442900,00 │ 120241,67 │ 120241,67 │ 120241,67 │ 120241,67 │ 120241,67 │ 120241,67 │ 120241,67 │ 120241,67 │ 120241,67 │ 120241,67 │ 120241,67 │ 120241,63 │
│ │ │900 │ │ │ │ │ │ │ │ │ │ │ │ │ │ │ │ │ │ │ │ │
├═══┼══════════════════════┼══════════════┼═════════════════┼══════════════════┼══════════════┼═══════════┼════════════┼════════════════════════┼═══════════┼════════════┼═══════════┼═══════════┼═══════════┼═══════════┼═══════════┼═══════════┼═══════════┼═══════════┼═══════════┼═══════════┼═══════════┼═══════════┤
│24 │Костыревский │от 101 - до│ + │ + │ │1442900,00 │ 1,000 │ │ │ 1442900,00 │ 120241,67 │ 120241,67 │ 120241,67 │ 120241,67 │ 120241,67 │ 120241,67 │ 120241,67 │ 120241,67 │ 120241,67 │ 120241,67 │ 120241,67 │ 120241,63 │
│ │ │900 │ │ │ │ │ │ │ │ │ │ │ │ │ │ │ │ │ │ │ │ │
├═══┼══════════════════════┼══════════════┼═════════════════┼══════════════════┼══════════════┼═══════════┼════════════┼════════════════════════┼═══════════┼════════════┼═══════════┼═══════════┼═══════════┼═══════════┼═══════════┼═══════════┼═══════════┼═══════════┼═══════════┼═══════════┼═══════════┼═══════════┤
│25 │Лесниковский │от 101 - до│ + │ + │ │1442900,00 │ 1,000 │ │ │ 1442900,00 │ 120241,67 │ 120241,67 │ 120241,67 │ 120241,67 │ 120241,67 │ 120241,67 │ 120241,67 │ 120241,67 │ 120241,67 │ 120241,67 │ 120241,67 │ 120241,63 │
│ │ │900 │ │ │ │ │ │ │ │ │ │ │ │ │ │ │ │ │ │ │ │ │
├═══┼══════════════════════┼══════════════┼═════════════════┼══════════════════┼══════════════┼═══════════┼════════════┼════════════════════════┼═══════════┼════════════┼═══════════┼═══════════┼═══════════┼═══════════┼═══════════┼═══════════┼═══════════┼═══════════┼═══════════┼═══════════┼═══════════┼═══════════┤
│26 │Любовский │от 101 - до│ + │ + │ │1442900,00 │ 1,000 │ │ │ 1442900,00 │ 120241,67 │ 120241,67 │ 120241,67 │ 120241,67 │ 120241,67 │ 120241,67 │ 120241,67 │ 120241,67 │ 120241,67 │ 120241,67 │ 120241,67 │ 120241,63 │
│ │ │900 │ │ │ │ │ │ │ │ │ │ │ │ │ │ │ │ │ │ │ │ │
├═══┼══════════════════════┼══════════════┼═════════════════┼══════════════════┼══════════════┼═══════════┼════════════┼════════════════════════┼═══════════┼════════════┼═══════════┼═══════════┼═══════════┼═══════════┼═══════════┼═══════════┼═══════════┼═══════════┼═══════════┼═══════════┼═══════════┼═══════════┤
│27 │Перенский │от 101 - до│ + │ + │ │1442900,00 │ 1,000 │ │ │ 1442900,00 │ 120241,67 │ 120241,67 │ 120241,67 │ 120241,67 │ 120241,67 │ 120241,67 │ 120241,67 │ 120241,67 │ 120241,67 │ 120241,67 │ 120241,67 │ 120241,63 │
│ │ │900 │ │ │ │ │ │ │ │ │ │ │ │ │ │ │ │ │ │ │ │ │
├═══┼══════════════════════┼══════════════┼═════════════════┼══════════════════┼══════════════┼═══════════┼════════════┼════════════════════════┼═══════════┼════════════┼═══════════┼═══════════┼═══════════┼═══════════┼═══════════┼═══════════┼═══════════┼═══════════┼═══════════┼═══════════┼═══════════┼═══════════┤
│28 │Чижовский │от 101 - до│ + │ + │ │1442900,00 │ 1,000 │ │ │ 1442900,00 │ 120241,67 │ 120241,67 │ 120241,67 │ 120241,67 │ 120241,67 │ 120241,67 │ 120241,67 │ 120241,67 │ 120241,67 │ 120241,67 │ 120241,67 │ 120241,63 │
│ │ │900 │ │ │ │ │ │ │ │ │ │ │ │ │ │ │ │ │ │ │ │ │
├═══┼══════════════════════┼══════════════┼═════════════════┼══════════════════┼══════════════┼═══════════┼════════════┼════════════════════════┼═══════════┼════════════┼═══════════┼═══════════┼═══════════┼═══════════┼═══════════┼═══════════┼═══════════┼═══════════┼═══════════┼═══════════┼═══════════┼═══════════┤
│29 │Сырокоренский │от 101 - до│ + │ + │ │1442900,00 │ 1,000 │ │ │ 1442900,00 │ 120241,67 │ 120241,67 │ 120241,67 │ 120241,67 │ 120241,67 │ 120241,67 │ 120241,67 │ 120241,67 │ 120241,67 │ 120241,67 │ 120241,67 │ 120241,63 │
│ │ │900 │ │ │ │ │ │ │ │ │ │ │ │ │ │ │ │ │ │ │ │ │
├═══┼══════════════════════┼══════════════┼═════════════════┼══════════════════┼══════════════┼═══════════┼════════════┼════════════════════════┼═══════════┼════════════┼═══════════┼═══════════┼═══════════┼═══════════┼═══════════┼═══════════┼═══════════┼═══════════┼═══════════┼═══════════┼═══════════┼═══════════┤
│30 │Крапивненский │от 101 - до│ + │ + │ │1442900,00 │ 1,000 │ │ │ 1442900,00 │ 120241,67 │ 120241,67 │ 120241,67 │ 120241,67 │ 120241,67 │ 120241,67 │ 120241,67 │ 120241,67 │ 120241,67 │ 120241,67 │ 120241,67 │ 120241,63 │
│ │ │900 │ │ │ │ │ │ │ │ │ │ │ │ │ │ │ │ │ │ │ │ │
├═══┼══════════════════════┼══════════════┼═════════════════┼══════════════════┼══════════════┼═══════════┼════════════┼════════════════════════┼═══════════┼════════════┼═══════════┼═══════════┼═══════════┼═══════════┼═══════════┼═══════════┼═══════════┼═══════════┼═══════════┼═══════════┼═══════════┼═══════════┤
│31 │Дубровский │от 101 - до│ + │ + │ │1442900,00 │ 1,000 │ │ │ 1442900,00 │ 120241,67 │ 120241,67 │ 120241,67 │ 120241,67 │ 120241,67 │ 120241,67 │ 120241,67 │ 120241,67 │ 120241,67 │ 120241,67 │ 120241,67 │ 120241,63 │
│ │ │900 │ │ │ │ │ │ │ │ │ │ │ │ │ │ │ │ │ │ │ │ │
├═══┼══════════════════════┼══════════════┼═════════════════┼══════════════════┼══════════════┼═══════════┼════════════┼════════════════════════┼═══════════┼════════════┼═══════════┼═══════════┼═══════════┼═══════════┼═══════════┼═══════════┼═══════════┼═══════════┼═══════════┼═══════════┼═══════════┼═══════════┤
│32 │Хорошовский │от 101 - до│ + │ + │ │1442900,00 │ 1,000 │ │ │ 1442900,00 │ 120241,67 │ 120241,67 │ 120241,67 │ 120241,67 │ 120241,67 │ 120241,67 │ 120241,67 │ 120241,67 │ 120241,67 │ 120241,67 │ 120241,67 │ 120241,63 │
│ │ │900 │ │ │ │ │ │ │ │ │ │ │ │ │ │ │ │ │ │ │ │ │
├═══┼══════════════════════┼══════════════┼═════════════════┼══════════════════┼══════════════┼═══════════┼════════════┼════════════════════════┼═══════════┼════════════┼═══════════┼═══════════┼═══════════┼═══════════┼═══════════┼═══════════┼═══════════┼═══════════┼═══════════┼═══════════┼═══════════┼═══════════┤
│33 │Кардовский │от 101 - до│ + │ + │ │1442900,00 │ 1,000 │ │ │ 1442900,00 │ 120241,67 │ 120241,67 │ 120241,67 │ 120241,67 │ 120241,67 │ 120241,67 │ 120241,67 │ 120241,67 │ 120241,67 │ 120241,67 │ 120241,67 │ 120241,63 │
│ │ │900 │ │ │ │ │ │ │ │ │ │ │ │ │ │ │ │ │ │ │ │ │
├═══┼══════════════════════┼══════════════┼═════════════════┼══════════════════┼══════════════┼═══════════┼════════════┼════════════════════════┼═══════════┼════════════┼═══════════┼═══════════┼═══════════┼═══════════┼═══════════┼═══════════┼═══════════┼═══════════┼═══════════┼═══════════┼═══════════┼═══════════┤
│34 │Сукромлянский │от 101 - до│ + │ + │ │1442900,00 │ 1,000 │ │ │ 1442900,00 │ 120241,67 │ 120241,67 │ 120241,67 │ 120241,67 │ 120241,67 │ 120241,67 │ 120241,67 │ 120241,67 │ 120241,67 │ 120241,67 │ 120241,67 │ 120241,63 │
│ │ │900 │ │ │ │ │ │ │ │ │ │ │ │ │ │ │ │ │ │ │ │ │
├═══┼══════════════════════┼══════════════┼═════════════════┼══════════════════┼══════════════┼═══════════┼════════════┼════════════════════════┼═══════════┼════════════┼═══════════┼═══════════┼═══════════┼═══════════┼═══════════┼═══════════┼═══════════┼═══════════┼═══════════┼═══════════┼═══════════┼═══════════┤
│35 │Егоровский │от 101 - до│ + │ + │ │1442900,00 │ 1,000 │ │ │ 1442900,00 │ 120241,67 │ 120241,67 │ 120241,67 │ 120241,67 │ 120241,67 │ 120241,67 │ 120241,67 │ 120241,67 │ 120241,67 │ 120241,67 │ 120241,67 │ 120241,63 │
│ │ │900 │ │ │ │ │ │ │ │ │ │ │ │ │ │ │ │ │ │ │ │ │
├═══┼══════════════════════┼══════════════┼═════════════════┼══════════════════┼══════════════┼═══════════┼════════════┼════════════════════════┼═══════════┼════════════┼═══════════┼═══════════┼═══════════┼═══════════┼═══════════┼═══════════┼═══════════┼═══════════┼═══════════┼═══════════┼═══════════┼═══════════┤
│36 │Снегиревский │от 101 - до│ + │ + │ │1442900,00 │ 1,000 │ │ │ 1442900,00 │ 120241,67 │ 120241,67 │ 120241,67 │ 120241,67 │ 120241,67 │ 120241,67 │ 120241,67 │ 120241,67 │ 120241,67 │ 120241,67 │ 120241,67 │ 120241,63 │
│ │ │900 │ │ │ │ │ │ │ │ │ │ │ │ │ │ │ │ │ │ │ │ │
├═══┼══════════════════════┼══════════════┼═════════════════┼══════════════════┼══════════════┼═══════════┼════════════┼════════════════════════┼═══════════┼════════════┼═══════════┼═══════════┼═══════════┼═══════════┼═══════════┼═══════════┼═══════════┼═══════════┼═══════════┼═══════════┼═══════════┼═══════════┤
│37 │Балахоновский │от 101 - до│ + │ + │ │1442900,00 │ 1,000 │ │ │ 1442900,00 │ 120241,67 │ 120241,67 │ 120241,67 │ 120241,67 │ 120241,67 │ 120241,67 │ 120241,67 │ 120241,67 │ 120241,67 │ 120241,67 │ 120241,67 │ 120241,63 │
│ │ │900 │ │ │ │ │ │ │ │ │ │ │ │ │ │ │ │ │ │ │ │ │
├═══┼══════════════════════┼══════════════┼═════════════════┼══════════════════┼══════════════┼═══════════┼════════════┼════════════════════════┼═══════════┼════════════┼═══════════┼═══════════┼═══════════┼═══════════┼═══════════┼═══════════┼═══════════┼═══════════┼═══════════┼═══════════┼═══════════┼═══════════┤
│38 │Криволесский │от 101 - до│ + │ + │ │1442900,00 │ 1,000 │ │ │ 1442900,00 │ 120241,67 │ 120241,67 │ 120241,67 │ 120241,67 │ 120241,67 │ 120241,67 │ 120241,67 │ 120241,67 │ 120241,67 │ 120241,67 │ 120241,67 │ 120241,63 │
│ │ │900 │ │ │ │ │ │ │ │ │ │ │ │ │ │ │ │ │ │ │ │ │
├═══┼══════════════════════┼══════════════┼═════════════════┼══════════════════┼══════════════┼═══════════┼════════════┼════════════════════════┼═══════════┼════════════┼═══════════┼═══════════┼═══════════┼═══════════┼═══════════┼═══════════┼═══════════┼═══════════┼═══════════┼═══════════┼═══════════┼═══════════┤
│39 │Краснооктябрьский │от 101 - до│ + │ + │ │1442900,00 │ 1,000 │ │ │ 1442900,00 │ 120241,67 │ 120241,67 │ 120241,67 │ 120241,67 │ 120241,67 │ 120241,67 │ 120241,67 │ 120241,67 │ 120241,67 │ 120241,67 │ 120241,67 │ 120241,63 │
│ │ │900 │ │ │ │ │ │ │ │ │ │ │ │ │ │ │ │ │ │ │ │ │
├═══┼══════════════════════┼══════════════┼═════════════════┼══════════════════┼══════════════┼═══════════┼════════════┼════════════════════════┼═══════════┼════════════┼═══════════┼═══════════┼═══════════┼═══════════┼═══════════┼═══════════┼═══════════┼═══════════┼═══════════┼═══════════┼═══════════┼═══════════┤
│40 │Руссковский │от 101 - до│ + │ + │ │1442900,00 │ 1,000 │ │ │ 1442900,00 │ 120241,67 │ 120241,67 │ 120241,67 │ 120241,67 │ 120241,67 │ 120241,67 │ 120241,67 │ 120241,67 │ 120241,67 │ 120241,67 │ 120241,67 │ 120241,63 │
│ │ │900 │ │ │ │ │ │ │ │ │ │ │ │ │ │ │ │ │ │ │ │ │
├═══┼══════════════════════┼══════════════┼═════════════════┼══════════════════┼══════════════┼═══════════┼════════════┼════════════════════════┼═══════════┼════════════┼═══════════┼═══════════┼═══════════┼═══════════┼═══════════┼═══════════┼═══════════┼═══════════┼═══════════┼═══════════┼═══════════┼═══════════┤
│41 │Студенецкий │от 101 - до│ + │ + │ │1442900,00 │ 1,000 │ │ │ 1442900,00 │ 120241,67 │ 120241,67 │ 120241,67 │ 120241,67 │ 120241,67 │ 120241,67 │ 120241,67 │ 120241,67 │ 120241,67 │ 120241,67 │ 120241,67 │ 120241,63 │
│ │ │900 │ │ │ │ │ │ │ │ │ │ │ │ │ │ │ │ │ │ │ │ │
├═══┼══════════════════════┼══════════════┼═════════════════┼══════════════════┼══════════════┼═══════════┼════════════┼════════════════════════┼═══════════┼════════════┼═══════════┼═══════════┼═══════════┼═══════════┼═══════════┼═══════════┼═══════════┼═══════════┼═══════════┼═══════════┼═══════════┼═══════════┤
│42 │Надейковичский │от 101 - до│ + │ + │ │1442900,00 │ 1,000 │ │ │ 1442900,00 │ 120241,67 │ 120241,67 │ 120241,67 │ 120241,67 │ 120241,67 │ 120241,67 │ 120241,67 │ 120241,67 │ 120241,67 │ 120241,67 │ 120241,67 │ 120241,63 │
│ │ │900 │ │ │ │ │ │ │ │ │ │ │ │ │ │ │ │ │ │ │ │ │
├═══┼══════════════════════┼══════════════┼═════════════════┼══════════════════┼══════════════┼═══════════┼════════════┼════════════════════════┼═══════════┼════════════┼═══════════┼═══════════┼═══════════┼═══════════┼═══════════┼═══════════┼═══════════┼═══════════┼═══════════┼═══════════┼═══════════┼═══════════┤
│43 │Зимонинский │от 101 - до│ + │ + │ │1442900,00 │ 1,000 │ │ │ 1442900,00 │ 120241,67 │ 120241,67 │ 120241,67 │ 120241,67 │ 120241,67 │ 120241,67 │ 120241,67 │ 120241,67 │ 120241,67 │ 120241,67 │ 120241,67 │ 120241,63 │
│ │ │900 │ │ │ │ │ │ │ │ │ │ │ │ │ │ │ │ │ │ │ │ │
├═══┼══════════════════════┼══════════════┼═════════════════┼══════════════════┼══════════════┼═══════════┼════════════┼════════════════════════┼═══════════┼════════════┼═══════════┼═══════════┼═══════════┼═══════════┼═══════════┼═══════════┼═══════════┼═══════════┼═══════════┼═══════════┼═══════════┼═══════════┤
│44 │Козловский │от 1501 - до│ + │ + │ │3430600,00 │ 1,000 │ │ │ 3430600,00 │ 285883,33 │ 285883,33 │ 285883,33 │ 285883,33 │ 285883,33 │ 285883,33 │ 285883,33 │ 285883,33 │ 285883,33 │ 285883,33 │ 285883,33 │ 285883,37 │
│ │ │2000 │ │ │ │ │ │ │ │ │ │ │ │ │ │ │ │ │ │ │ │ │
├═══┼══════════════════════┼══════════════┼═════════════════┼══════════════════┼══════════════┼═══════════┼════════════┼════════════════════════┼═══════════┼════════════┼═══════════┼═══════════┼═══════════┼═══════════┼═══════════┼═══════════┼═══════════┼═══════════┼═══════════┼═══════════┼═══════════┼═══════════┤
│44 │ИТОГО │ │ │ │ │ │ │ │ │55894444,00 │4686728,44 │4643441,44 │4643441,44 │4657870,45 │4657870,45 │4657870,45 │4657870,45 │4657870,45 │4657870,45 │4657870,45 │4657870,45 │4657869,08 │
├═══┴══════════════════════┴══════════════┴═════════════════┴══════════════════┴══════════════┴═══════════┴════════════┴════════════════════════┴═══════════┴════════════┴═══════════┴═══════════┴═══════════┴═══════════┴═══════════┴═══════════┴═══════════┴═══════════┴═══════════┴═══════════┴═══════════┴═══════════┤
│ ОГБУЗ "Руднянская ЦРБ" │
├═══┬══════════════════════┬══════════════┬═════════════════┬══════════════════┬══════════════┬═══════════┬════════════┬════════════════════════┬═══════════┬════════════┬═══════════┬═══════════┬═══════════┬═══════════┬═══════════┬═══════════┬═══════════┬═══════════┬═══════════┬═══════════┬═══════════┬═══════════┤
│1 │Плосковский │от 101 - до│ + │ - │ │1442900,00 │ 0,430 │ │ │ 620447,00 │ 60120,83 │ 47495,46 │ 47495,46 │ 51703,92 │ 51703,92 │ 51703,92 │ 51703,92 │ 51703,92 │ 51703,92 │ 51703,92 │ 51703,92 │ 51703,89 │
│ │ │900 │ │ │ │ │ │ │ │ │ │ │ │ │ │ │ │ │ │ │ │ │
├═══┼══════════════════════┼══════════════┼═════════════════┼══════════════════┼══════════════┼═══════════┼════════════┼════════════════════════┼═══════════┼════════════┼═══════════┼═══════════┼═══════════┼═══════════┼═══════════┼═══════════┼═══════════┼═══════════┼═══════════┼═══════════┼═══════════┼═══════════┤
│2 │Борковский ФАП │от 101 - до│ + │ - │ │1442900,00 │ 0,430 │ │ │ 568743,00 │ 0,00 │ 51703,91 │ 51703,91 │ 51703,91 │ 51703,91 │ 51703,91 │ 51703,91 │ 51703,91 │ 51703,91 │ 51703,91 │ 51703,91 │ 51703,90 │
│ │ │900 │ │ │ │ │ │ │ │ │ │ │ │ │ │ │ │ │ │ │ │ │
├═══┼══════════════════════┼══════════════┼═════════════════┼══════════════════┼══════════════┼═══════════┼════════════┼════════════════════════┼═══════════┼════════════┼═══════════┼═══════════┼═══════════┼═══════════┼═══════════┼═══════════┼═══════════┼═══════════┼═══════════┼═══════════┼═══════════┼═══════════┤
│3 │Карташевический ФАП │от 101 - до│ + │ - │ │1442900,00 │ 0,430 │ │ │ 568743,00 │ 0,00 │ 51703,91 │ 51703,91 │ 51703,91 │ 51703,91 │ 51703,91 │ 51703,91 │ 51703,91 │ 51703,91 │ 51703,91 │ 51703,91 │ 51703,90 │
│ │ │900 │ │ │ │ │ │ │ │ │ │ │ │ │ │ │ │ │ │ │ │ │
├═══┼══════════════════════┼══════════════┼═════════════════┼══════════════════┼══════════════┼═══════════┼════════════┼════════════════════════┼═══════════┼════════════┼═══════════┼═══════════┼═══════════┼═══════════┼═══════════┼═══════════┼═══════════┼═══════════┼═══════════┼═══════════┼═══════════┼═══════════┤
│4 │Лешнянский ФАП │от 101 - до│ + │ - │ │1442900,00 │ 0,430 │ │ │ 568743,00 │ 0,00 │ 51703,91 │ 51703,91 │ 51703,91 │ 51703,91 │ 51703,91 │ 51703,91 │ 51703,91 │ 51703,91 │ 51703,91 │ 51703,91 │ 51703,90 │
│ │ │900 │ │ │ │ │ │ │ │ │ │ │ │ │ │ │ │ │ │ │ │ │
├═══┼══════════════════════┼══════════════┼═════════════════┼══════════════════┼══════════════┼═══════════┼════════════┼════════════════════════┼═══════════┼════════════┼═══════════┼═══════════┼═══════════┼═══════════┼═══════════┼═══════════┼═══════════┼═══════════┼═══════════┼═══════════┼═══════════┼═══════════┤
│5 │Переволоческий ФАП │от 101 - до│ + │ - │ │1442900,00 │ 0,430 │ │ │ 568743,00 │ 0,00 │ 51703,91 │ 51703,91 │ 51703,91 │ 51703,91 │ 51703,91 │ 51703,91 │ 51703,91 │ 51703,91 │ 51703,91 │ 51703,91 │ 51703,90 │
│ │ │900 │ │ │ │ │ │ │ │ │ │ │ │ │ │ │ │ │ │ │ │ │
├═══┼══════════════════════┼══════════════┼═════════════════┼══════════════════┼══════════════┼═══════════┼════════════┼════════════════════════┼═══════════┼════════════┼═══════════┼═══════════┼═══════════┼═══════════┼═══════════┼═══════════┼═══════════┼═══════════┼═══════════┼═══════════┼═══════════┼═══════════┤
│6 │Березинский │от 101 - до│ + │ - │ │1442900,00 │ 0,600 │ │ │ 865740,00 │ 84169,17 │ 66132,91 │ 66132,91 │ 72145,00 │ 72145,00 │ 72145,00 │ 72145,00 │ 72145,00 │ 72145,00 │ 72145,00 │ 72145,00 │ 72145,01 │
│ │ │900 │ │ │ │ │ │ │ │ │ │ │ │ │ │ │ │ │ │ │ │ │
├═══┼══════════════════════┼══════════════┼═════════════════┼══════════════════┼══════════════┼═══════════┼════════════┼════════════════════════┼═══════════┼════════════┼═══════════┼═══════════┼═══════════┼═══════════┼═══════════┼═══════════┼═══════════┼═══════════┼═══════════┼═══════════┼═══════════┼═══════════┤
│7 │Боярщенский │от 101 - до│ + │ - │ │1442900,00 │ 0,600 │ │ │ 865740,00 │ 84169,17 │ 66132,91 │ 66132,91 │ 72145,00 │ 72145,00 │ 72145,00 │ 72145,00 │ 72145,00 │ 72145,00 │ 72145,00 │ 72145,00 │ 72145,01 │
│ │ │900 │ │ │ │ │ │ │ │ │ │ │ │ │ │ │ │ │ │ │ │ │
├═══┼══════════════════════┼══════════════┼═════════════════┼══════════════════┼══════════════┼═══════════┼════════════┼════════════════════════┼═══════════┼════════════┼═══════════┼═══════════┼═══════════┼═══════════┼═══════════┼═══════════┼═══════════┼═══════════┼═══════════┼═══════════┼═══════════┼═══════════┤
│8 │Волковский │от 101 - до│ + │ - │ │1442900,00 │ 0,600 │ │ │ 865740,00 │ 84169,17 │ 66132,91 │ 66132,91 │ 72145,00 │ 72145,00 │ 72145,00 │ 72145,00 │ 72145,00 │ 72145,00 │ 72145,00 │ 72145,00 │ 72145,01 │
│ │ │900 │ │ │ │ │ │ │ │ │ │ │ │ │ │ │ │ │ │ │ │ │
├═══┼══════════════════════┼══════════════┼═════════════════┼══════════════════┼══════════════┼═══════════┼════════════┼════════════════════════┼═══════════┼════════════┼═══════════┼═══════════┼═══════════┼═══════════┼═══════════┼═══════════┼═══════════┼═══════════┼═══════════┼═══════════┼═══════════┼═══════════┤
│9 │Гранковский │от 101 - до│ + │ - │ │1442900,00 │ 0,600 │ │ │ 865740,00 │ 84169,17 │ 66132,91 │ 66132,91 │ 72145,00 │ 72145,00 │ 72145,00 │ 72145,00 │ 72145,00 │ 72145,00 │ 72145,00 │ 72145,00 │ 72145,01 │
│ │ │900 │ │ │ │ │ │ │ │ │ │ │ │ │ │ │ │ │ │ │ │ │
├═══┼══════════════════════┼══════════════┼═════════════════┼══════════════════┼══════════════┼═══════════┼════════════┼════════════════════════┼═══════════┼════════════┼═══════════┼═══════════┼═══════════┼═══════════┼═══════════┼═══════════┼═══════════┼═══════════┼═══════════┼═══════════┼═══════════┼═══════════┤
│10 │Казимировский │от 101 - до│ + │ - │ │1442900,00 │ 0,600 │ │ │ 865740,00 │ 84169,17 │ 66132,91 │ 66132,91 │ 72145,00 │ 72145,00 │ 72145,00 │ 72145,00 │ 72145,00 │ 72145,00 │ 72145,00 │ 72145,00 │ 72145,01 │
│ │ │900 │ │ │ │ │ │ │ │ │ │ │ │ │ │ │ │ │ │ │ │ │
├═══┼══════════════════════┼══════════════┼═════════════════┼══════════════════┼══════════════┼═══════════┼════════════┼════════════════════════┼═══════════┼════════════┼═══════════┼═══════════┼═══════════┼═══════════┼═══════════┼═══════════┼═══════════┼═══════════┼═══════════┼═══════════┼═══════════┼═══════════┤
│11 │Кляриновский │от 101 - до│ + │ - │ │1442900,00 │ 0,600 │ │ │ 865740,00 │ 84169,17 │ 66132,91 │ 66132,91 │ 72145,00 │ 72145,00 │ 72145,00 │ 72145,00 │ 72145,00 │ 72145,00 │ 72145,00 │ 72145,00 │ 72145,01 │
│ │ │900 │ │ │ │ │ │ │ │ │ │ │ │ │ │ │ │ │ │ │ │ │
├═══┼══════════════════════┼══════════════┼═════════════════┼══════════════════┼══════════════┼═══════════┼════════════┼════════════════════════┼═══════════┼════════════┼═══════════┼═══════════┼═══════════┼═══════════┼═══════════┼═══════════┼═══════════┼═══════════┼═══════════┼═══════════┼═══════════┼═══════════┤
│12 │Кошевический │от 101 - до│ + │ - │ │1442900,00 │ 0,600 │ │ │ 865740,00 │ 84169,17 │ 66132,91 │ 66132,91 │ 72145,00 │ 72145,00 │ 72145,00 │ 72145,00 │ 72145,00 │ 72145,00 │ 72145,00 │ 72145,00 │ 72145,01 │
│ │ │900 │ │ │ │ │ │ │ │ │ │ │ │ │ │ │ │ │ │ │ │ │
├═══┼══════════════════════┼══════════════┼═════════════════┼══════════════════┼══════════════┼═══════════┼════════════┼════════════════════════┼═══════════┼════════════┼═══════════┼═══════════┼═══════════┼═══════════┼═══════════┼═══════════┼═══════════┼═══════════┼═══════════┼═══════════┼═══════════┼═══════════┤
│13 │Любавический │от 101 - до│ + │ - │ │1442900,00 │ 0,600 │ │ │ 865740,00 │ 84169,17 │ 66132,91 │ 66132,91 │ 72145,00 │ 72145,00 │ 72145,00 │ 72145,00 │ 72145,00 │ 72145,00 │ 72145,00 │ 72145,00 │ 72145,01 │
│ │ │900 │ │ │ │ │ │ │ │ │ │ │ │ │ │ │ │ │ │ │ │ │
├═══┼══════════════════════┼══════════════┼═════════════════┼══════════════════┼══════════════┼═══════════┼════════════┼════════════════════════┼═══════════┼════════════┼═══════════┼═══════════┼═══════════┼═══════════┼═══════════┼═══════════┼═══════════┼═══════════┼═══════════┼═══════════┼═══════════┼═══════════┤
│14 │Могильнянский │от 101 - до│ + │ - │ │1442900,00 │ 0,600 │ │ │ 865740,00 │ 84169,17 │ 66132,91 │ 66132,91 │ 72145,00 │ 72145,00 │ 72145,00 │ 72145,00 │ 72145,00 │ 72145,00 │ 72145,00 │ 72145,00 │ 72145,01 │
│ │ │900 │ │ │ │ │ │ │ │ │ │ │ │ │ │ │ │ │ │ │ │ │
├═══┼══════════════════════┼══════════════┼═════════════════┼══════════════════┼══════════════┼═══════════┼════════════┼════════════════════════┼═══════════┼════════════┼═══════════┼═══════════┼═══════════┼═══════════┼═══════════┼═══════════┼═══════════┼═══════════┼═══════════┼═══════════┼═══════════┼═══════════┤
│15 │Привольский │от 101 - до│ + │ - │ │1442900,00 │ 0,600 │ │ │ 865740,00 │ 84169,17 │ 66132,91 │ 66132,91 │ 72145,00 │ 72145,00 │ 72145,00 │ 72145,00 │ 72145,00 │ 72145,00 │ 72145,00 │ 72145,00 │ 72145,01 │
│ │ │900 │ │ │ │ │ │ │ │ │ │ │ │ │ │ │ │ │ │ │ │ │
├═══┼══════════════════════┼══════════════┼═════════════════┼══════════════════┼══════════════┼═══════════┼════════════┼════════════════════════┼═══════════┼════════════┼═══════════┼═══════════┼═══════════┼═══════════┼═══════════┼═══════════┼═══════════┼═══════════┼═══════════┼═══════════┼═══════════┼═══════════┤
│16 │Смолиговский │от 101 - до│ + │ - │ │1442900,00 │ 0,600 │ │ │ 865740,00 │ 84169,17 │ 66132,91 │ 66132,91 │ 72145,00 │ 72145,00 │ 72145,00 │ 72145,00 │ 72145,00 │ 72145,00 │ 72145,00 │ 72145,00 │ 72145,01 │
│ │ │900 │ │ │ │ │ │ │ │ │ │ │ │ │ │ │ │ │ │ │ │ │
├═══┼══════════════════════┼══════════════┼═════════════════┼══════════════════┼══════════════┼═══════════┼════════════┼════════════════════════┼═══════════┼════════════┼═══════════┼═══════════┼═══════════┼═══════════┼═══════════┼═══════════┼═══════════┼═══════════┼═══════════┼═══════════┼═══════════┼═══════════┤
│17 │Стайский │от 101 - до│ + │ - │ │1442900,00 │ 0,600 │ │ │ 721450,00 │ 0,00 │ 0,00 │ 72145,00 │ 72145,00 │ 72145,00 │ 72145,00 │ 72145,00 │ 72145,00 │ 72145,00 │ 72145,00 │ 72145,00 │ 72145,00 │
│ │ │900 │ │ │ │ │ │ │ │ │ │ │ │ │ │ │ │ │ │ │ │ │
├═══┼══════════════════════┼══════════════┼═════════════════┼══════════════════┼══════════════┼═══════════┼════════════┼════════════════════════┼═══════════┼════════════┼═══════════┼═══════════┼═══════════┼═══════════┼═══════════┼═══════════┼═══════════┼═══════════┼═══════════┼═══════════┼═══════════┼═══════════┤
│18 │Шеровический │от 101 - до│ + │ - │ │1442900,00 │ 0,600 │ │ │ 865740,00 │ 84169,17 │ 66132,91 │ 66132,91 │ 72145,00 │ 72145,00 │ 72145,00 │ 72145,00 │ 72145,00 │ 72145,00 │ 72145,00 │ 72145,00 │ 72145,01 │
│ │ │900 │ │ │ │ │ │ │ │ │ │ │ │ │ │ │ │ │ │ │ │ │
├═══┼══════════════════════┼══════════════┼═════════════════┼══════════════════┼══════════════┼═══════════┼════════════┼════════════════════════┼═══════════┼════════════┼═══════════┼═══════════┼═══════════┼═══════════┼═══════════┼═══════════┼═══════════┼═══════════┼═══════════┼═══════════┼═══════════┼═══════════┤
│19 │Чистиковский │от 101 - до│ + │ - │ │1442900,00 │ 0,600 │ │ │ 865740,00 │ 84169,17 │ 66132,91 │ 66132,91 │ 72145,00 │ 72145,00 │ 72145,00 │ 72145,00 │ 72145,00 │ 72145,00 │ 72145,00 │ 72145,00 │ 72145,01 │
│ │ │900 │ │ │ │ │ │ │ │ │ │ │ │ │ │ │ │ │ │ │ │ │
├═══┼══════════════════════┼══════════════┼═════════════════┼══════════════════┼══════════════┼═══════════┼════════════┼════════════════════════┼═══════════┼════════════┼═══════════┼═══════════┼═══════════┼═══════════┼═══════════┼═══════════┼═══════════┼═══════════┼═══════════┼═══════════┼═══════════┼═══════════┤
│20 │Шубковский │от 101 - до│ + │ - │ │1442900,00 │ 0,600 │ │ │ 865740,00 │ 84169,17 │ 66132,91 │ 66132,91 │ 72145,00 │ 72145,00 │ 72145,00 │ 72145,00 │ 72145,00 │ 72145,00 │ 72145,00 │ 72145,00 │ 72145,01 │
│ │ │900 │ │ │ │ │ │ │ │ │ │ │ │ │ │ │ │ │ │ │ │ │
├═══┼══════════════════════┼══════════════┼═════════════════┼══════════════════┼══════════════┼═══════════┼════════════┼════════════════════════┼═══════════┼════════════┼═══════════┼═══════════┼═══════════┼═══════════┼═══════════┼═══════════┼═══════════┼═══════════┼═══════════┼═══════════┼═══════════┼═══════════┤
│21 │Шиловский │от 101 - до│ + │ - │ │1442900,00 │ 0,600 │ │ │ 865740,00 │ 84169,17 │ 66132,91 │ 66132,91 │ 72145,00 │ 72145,00 │ 72145,00 │ 72145,00 │ 72145,00 │ 72145,00 │ 72145,00 │ 72145,00 │ 72145,01 │
│ │ │900 │ │ │ │ │ │ │ │ │ │ │ │ │ │ │ │ │ │ │ │ │
├═══┼══════════════════════┼══════════════┼═════════════════┼══════════════════┼══════════════┼═══════════┼════════════┼════════════════════════┼═══════════┼════════════┼═══════════┼═══════════┼═══════════┼═══════════┼═══════════┼═══════════┼═══════════┼═══════════┼═══════════┼═══════════┼═══════════┼═══════════┤
│21 │ИТОГО │ │ │ │ │ │ │ │ │16602969,00 │1322658,38 │1246304,75 │1318449,75 │1412839,56 │1412839,56 │1412839,56 │1412839,56 │1412839,56 │1412839,56 │1412839,56 │1412839,56 │1412839,64 │
├═══┴══════════════════════┴══════════════┴═════════════════┴══════════════════┴══════════════┴═══════════┴════════════┴════════════════════════┴═══════════┴════════════┴═══════════┴═══════════┴═══════════┴═══════════┴═══════════┴═══════════┴═══════════┴═══════════┴═══════════┴═══════════┴═══════════┴═══════════┤
│ ОГБУЗ "Смоленская ЦРБ" │
├═══┬══════════════════════┬══════════════┬═════════════════┬══════════════════┬══════════════┬═══════════┬════════════┬════════════════════════┬═══════════┬════════════┬═══════════┬═══════════┬═══════════┬═══════════┬═══════════┬═══════════┬═══════════┬═══════════┬═══════════┬═══════════┬═══════════┬═══════════┤
│1 │Раевский │от 101 - до│ + │ - │ │1442900,00 │ 0,150 │ │ │ 378761,25 │ 18036,25 │ 18036,25 │ 18036,25 │ 72145,00 │ 72145,00 │ 72145,00 │ 18036,25 │ 18036,25 │ 18036,25 │ 18036,25 │ 18036,25 │ 18036,25 │
│ │ │900 │ │ │ │ │ │ │ │ │ │ │ │ │ │ │ │ │ │ │ │ │
├═══┼══════════════════════┼══════════════┼═════════════════┼══════════════════┼══════════════┼═══════════┼════════════┼════════════════════════┼═══════════┼════════════┼═══════════┼═══════════┼═══════════┼═══════════┼═══════════┼═══════════┼═══════════┼═══════════┼═══════════┼═══════════┼═══════════┼═══════════┤
│2 │Бубновский │от 101 - до│ + │ - │ │1442900,00 │ 0,150 │ │ │ 216435,00 │ 18036,25 │ 18036,25 │ 18036,25 │ 18036,25 │ 18036,25 │ 18036,25 │ 18036,25 │ 18036,25 │ 18036,25 │ 18036,25 │ 18036,25 │ 18036,25 │
│ │ │900 │ │ │ │ │ │ │ │ │ │ │ │ │ │ │ │ │ │ │ │ │
├═══┼══════════════════════┼══════════════┼═════════════════┼══════════════════┼══════════════┼═══════════┼════════════┼════════════════════════┼═══════════┼════════════┼═══════════┼═══════════┼═══════════┼═══════════┼═══════════┼═══════════┼═══════════┼═══════════┼═══════════┼═══════════┼═══════════┼═══════════┤
│3 │Высоко-Холмский │от 101 - до│ + │ - │ │1442900,00 │ 0,150 │ │ │ 216435,00 │ 18036,25 │ 18036,25 │ 18036,25 │ 18036,25 │ 18036,25 │ 18036,25 │ 18036,25 │ 18036,25 │ 18036,25 │ 18036,25 │ 18036,25 │ 18036,25 │
│ │ │900 │ │ │ │ │ │ │ │ │ │ │ │ │ │ │ │ │ │ │ │ │
├═══┼══════════════════════┼══════════════┼═════════════════┼══════════════════┼══════════════┼═══════════┼════════════┼════════════════════════┼═══════════┼════════════┼═══════════┼═══════════┼═══════════┼═══════════┼═══════════┼═══════════┼═══════════┼═══════════┼═══════════┼═══════════┼═══════════┼═══════════┤
│4 │Митинский │от 101 - до│ + │ - │ │1442900,00 │ 0,150 │ │ │ 216435,00 │ 18036,25 │ 18036,25 │ 18036,25 │ 18036,25 │ 18036,25 │ 18036,25 │ 18036,25 │ 18036,25 │ 18036,25 │ 18036,25 │ 18036,25 │ 18036,25 │
│ │ │900 │ │ │ │ │ │ │ │ │ │ │ │ │ │ │ │ │ │ │ │ │
├═══┼══════════════════════┼══════════════┼═════════════════┼══════════════════┼══════════════┼═══════════┼════════════┼════════════════════════┼═══════════┼════════════┼═══════════┼═══════════┼═══════════┼═══════════┼═══════════┼═══════════┼═══════════┼═══════════┼═══════════┼═══════════┼═══════════┼═══════════┤
│5 │Апольинский │от 101 - до│ + │ - │ │1442900,00 │ 0,150 │ │ │ 216435,00 │ 18036,25 │ 18036,25 │ 18036,25 │ 18036,25 │ 18036,25 │ 18036,25 │ 18036,25 │ 18036,25 │ 18036,25 │ 18036,25 │ 18036,25 │ 18036,25 │
│ │ │900 │ │ │ │ │ │ │ │ │ │ │ │ │ │ │ │ │ │ │ │ │
├═══┼══════════════════════┼══════════════┼═════════════════┼══════════════════┼══════════════┼═══════════┼════════════┼════════════════════════┼═══════════┼════════════┼═══════════┼═══════════┼═══════════┼═══════════┼═══════════┼═══════════┼═══════════┼═══════════┼═══════════┼═══════════┼═══════════┼═══════════┤
│6 │Чекулинский │от 101 - до│ + │ - │ │1442900,00 │ 0,150 │ │ │ 216435,00 │ 18036,25 │ 18036,25 │ 18036,25 │ 18036,25 │ 18036,25 │ 18036,25 │ 18036,25 │ 18036,25 │ 18036,25 │ 18036,25 │ 18036,25 │ 18036,25 │
│ │ │900 │ │ │ │ │ │ │ │ │ │ │ │ │ │ │ │ │ │ │ │ │
├═══┼══════════════════════┼══════════════┼═════════════════┼══════════════════┼══════════════┼═══════════┼════════════┼════════════════════════┼═══════════┼════════════┼═══════════┼═══════════┼═══════════┼═══════════┼═══════════┼═══════════┼═══════════┼═══════════┼═══════════┼═══════════┼═══════════┼═══════════┤
│7 │Санниковский │от 101 - до│ + │ - │ │1442900,00 │ 0,150 │ │ │ 216435,00 │ 18036,25 │ 18036,25 │ 18036,25 │ 18036,25 │ 18036,25 │ 18036,25 │ 18036,25 │ 18036,25 │ 18036,25 │ 18036,25 │ 18036,25 │ 18036,25 │
│ │ │900 │ │ │ │ │ │ │ │ │ │ │ │ │ │ │ │ │ │ │ │ │
├═══┼══════════════════════┼══════════════┼═════════════════┼══════════════════┼══════════════┼═══════════┼════════════┼════════════════════════┼═══════════┼════════════┼═══════════┼═══════════┼═══════════┼═══════════┼═══════════┼═══════════┼═══════════┼═══════════┼═══════════┼═══════════┼═══════════┼═══════════┤
│8 │Моготовский │от 101 - до│ + │ - │ │1442900,00 │ 0,150 │ │ │ 216435,00 │ 18036,25 │ 18036,25 │ 18036,25 │ 18036,25 │ 18036,25 │ 18036,25 │ 18036,25 │ 18036,25 │ 18036,25 │ 18036,25 │ 18036,25 │ 18036,25 │
│ │ │900 │ │ │ │ │ │ │ │ │ │ │ │ │ │ │ │ │ │ │ │ │
├═══┼══════════════════════┼══════════════┼═════════════════┼══════════════════┼══════════════┼═══════════┼════════════┼════════════════════════┼═══════════┼════════════┼═══════════┼═══════════┼═══════════┼═══════════┼═══════════┼═══════════┼═══════════┼═══════════┼═══════════┼═══════════┼═══════════┼═══════════┤
│9 │Замощанский │от 101 - до│ + │ - │ │1442900,00 │ 0,150 │ │ │ 216435,00 │ 18036,25 │ 18036,25 │ 18036,25 │ 18036,25 │ 18036,25 │ 18036,25 │ 18036,25 │ 18036,25 │ 18036,25 │ 18036,25 │ 18036,25 │ 18036,25 │
│ │ │900 │ │ │ │ │ │ │ │ │ │ │ │ │ │ │ │ │ │ │ │ │
├═══┼══════════════════════┼══════════════┼═════════════════┼══════════════════┼══════════════┼═══════════┼════════════┼════════════════════════┼═══════════┼════════════┼═══════════┼═══════════┼═══════════┼═══════════┼═══════════┼═══════════┼═══════════┼═══════════┼═══════════┼═══════════┼═══════════┼═══════════┤
│10 │Верховский │от 101 - до│ + │ - │ │1442900,00 │ 0,150 │ │ │ 216435,00 │ 18036,25 │ 18036,25 │ 18036,25 │ 18036,25 │ 18036,25 │ 18036,25 │ 18036,25 │ 18036,25 │ 18036,25 │ 18036,25 │ 18036,25 │ 18036,25 │
│ │ │900 │ │ │ │ │ │ │ │ │ │ │ │ │ │ │ │ │ │ │ │ │
├═══┼══════════════════════┼══════════════┼═════════════════┼══════════════════┼══════════════┼═══════════┼════════════┼════════════════════════┼═══════════┼════════════┼═══════════┼═══════════┼═══════════┼═══════════┼═══════════┼═══════════┼═══════════┼═══════════┼═══════════┼═══════════┼═══════════┼═══════════┤
│11 │Почаевский │от 101 - до│ + │ - │ │1442900,00 │ 0,600 │ │ │ 703413,75 │ 18036,25 │ 18036,25 │ 18036,25 │ 72145,00 │ 72145,00 │ 72145,00 │ 72145,00 │ 72145,00 │ 72145,00 │ 72145,00 │ 72145,00 │ 72145,00 │
│ │ │900 │ │ │ │ │ │ │ │ │ │ │ │ │ │ │ │ │ │ │ │ │
├═══┼══════════════════════┼══════════════┼═════════════════┼══════════════════┼══════════════┼═══════════┼════════════┼════════════════════════┼═══════════┼════════════┼═══════════┼═══════════┼═══════════┼═══════════┼═══════════┼═══════════┼═══════════┼═══════════┼═══════════┼═══════════┼═══════════┼═══════════┤
│12 │Сыр-Липецкий │от 101 - до│ + │ - │ │1442900,00 │ 0,600 │ │ │ 703413,75 │ 18036,25 │ 18036,25 │ 18036,25 │ 72145,00 │ 72145,00 │ 72145,00 │ 72145,00 │ 72145,00 │ 72145,00 │ 72145,00 │ 72145,00 │ 72145,00 │
│ │ │900 │ │ │ │ │ │ │ │ │ │ │ │ │ │ │ │ │ │ │ │ │
├═══┼══════════════════════┼══════════════┼═════════════════┼══════════════════┼══════════════┼═══════════┼════════════┼════════════════════════┼═══════════┼════════════┼═══════════┼═══════════┼═══════════┼═══════════┼═══════════┼═══════════┼═══════════┼═══════════┼═══════════┼═══════════┼═══════════┼═══════════┤
│13 │Денисовский │от 101 - до│ + │ - │ │1442900,00 │ 0,625 │ │ 0,025 │ 901813,00 │ 87175,25 │ 69138,99 │ 69138,99 │ 75151,08 │ 75151,08 │ 75151,08 │ 75151,08 │ 75151,08 │ 75151,08 │ 75151,08 │ 75151,08 │ 75151,13 │
│ │ │900 │ │ │ │ │ │ │ │ │ │ │ │ │ │ │ │ │ │ │ │ │
├═══┼══════════════════════┼══════════════┼═════════════════┼══════════════════┼══════════════┼═══════════┼════════════┼════════════════════════┼═══════════┼════════════┼═══════════┼═══════════┼═══════════┼═══════════┼═══════════┼═══════════┼═══════════┼═══════════┼═══════════┼═══════════┼═══════════┼═══════════┤
│14 │Лоинский │от 101 - до│ + │ - │ │1442900,00 │ 0,625 │ │ 0,025 │ 901813,00 │ 87175,25 │ 69138,99 │ 69138,99 │ 75151,08 │ 75151,08 │ 75151,08 │ 75151,08 │ 75151,08 │ 75151,08 │ 75151,08 │ 75151,08 │ 75151,13 │
│ │ │900 │ │ │ │ │ │ │ │ │ │ │ │ │ │ │ │ │ │ │ │ │
├═══┼══════════════════════┼══════════════┼═════════════════┼══════════════════┼══════════════┼═══════════┼════════════┼════════════════════════┼═══════════┼════════════┼═══════════┼═══════════┼═══════════┼═══════════┼═══════════┼═══════════┼═══════════┼═══════════┼═══════════┼═══════════┼═══════════┼═══════════┤
│15 │Мазальцевский │от 101 - до│ + │ - │ │1442900,00 │ 0,625 │ │ 0,025 │ 901813,00 │ 87175,25 │ 69138,99 │ 69138,99 │ 75151,08 │ 75151,08 │ 75151,08 │ 75151,08 │ 75151,08 │ 75151,08 │ 75151,08 │ 75151,08 │ 75151,13 │
│ │ │900 │ │ │ │ │ │ │ │ │ │ │ │ │ │ │ │ │ │ │ │ │
├═══┼══════════════════════┼══════════════┼═════════════════┼══════════════════┼══════════════┼═══════════┼════════════┼════════════════════════┼═══════════┼════════════┼═══════════┼═══════════┼═══════════┼═══════════┼═══════════┼═══════════┼═══════════┼═══════════┼═══════════┼═══════════┼═══════════┼═══════════┤
│16 │Синьковский │от 101 - до│ + │ - │ │1442900,00 │ 0,625 │ │ 0,025 │ 901813,00 │ 87175,25 │ 69138,99 │ 69138,99 │ 75151,08 │ 75151,08 │ 75151,08 │ 75151,08 │ 75151,08 │ 75151,08 │ 75151,08 │ 75151,08 │ 75151,13 │
│ │ │900 │ │ │ │ │ │ │ │ │ │ │ │ │ │ │ │ │ │ │ │ │
├═══┼══════════════════════┼══════════════┼═════════════════┼══════════════════┼══════════════┼═══════════┼════════════┼════════════════════════┼═══════════┼════════════┼═══════════┼═══════════┼═══════════┼═══════════┼═══════════┼═══════════┼═══════════┼═══════════┼═══════════┼═══════════┼═══════════┼═══════════┤
│17 │Ольшанский │от 101 - до│ + │ - │ │1442900,00 │ 0,625 │ │ 0,025 │ 901813,00 │ 87175,25 │ 69138,99 │ 69138,99 │ 75151,08 │ 75151,08 │ 75151,08 │ 75151,08 │ 75151,08 │ 75151,08 │ 75151,08 │ 75151,08 │ 75151,13 │
│ │ │900 │ │ │ │ │ │ │ │ │ │ │ │ │ │ │ │ │ │ │ │ │
├═══┼══════════════════════┼══════════════┼═════════════════┼══════════════════┼══════════════┼═══════════┼════════════┼════════════════════════┼═══════════┼════════════┼═══════════┼═══════════┼═══════════┼═══════════┼═══════════┼═══════════┼═══════════┼═══════════┼═══════════┼═══════════┼═══════════┼═══════════┤
│18 │Лубнянский │от 101 - до│ + │ - │ │1442900,00 │ 0,625 │ │ 0,025 │ 901813,00 │ 87175,25 │ 69138,99 │ 69138,99 │ 75151,08 │ 75151,08 │ 75151,08 │ 75151,08 │ 75151,08 │ 75151,08 │ 75151,08 │ 75151,08 │ 75151,13 │
│ │ │900 │ │ │ │ │ │ │ │ │ │ │ │ │ │ │ │ │ │ │ │ │
├═══┼══════════════════════┼══════════════┼═════════════════┼══════════════════┼══════════════┼═══════════┼════════════┼════════════════════════┼═══════════┼════════════┼═══════════┼═══════════┼═══════════┼═══════════┼═══════════┼═══════════┼═══════════┼═══════════┼═══════════┼═══════════┼═══════════┼═══════════┤
│19 │Дивасовский │от 1501 - до│ + │ - │ │3430600,00 │ 0,455 │ │ 0,025 │ 1560923,00 │ 150088,75 │ 120071,00 │ 120071,00 │ 130076,92 │ 130076,92 │ 130076,92 │ 130076,92 │ 130076,92 │ 130076,92 │ 130076,92 │ 130076,92 │ 130076,89 │
│ │ │2000 │ │ │ │ │ │ │ │ │ │ │ │ │ │ │ │ │ │ │ │ │
├═══┼══════════════════════┼══════════════┼═════════════════┼══════════════════┼══════════════┼═══════════┼════════════┼════════════════════════┼═══════════┼════════════┼═══════════┼═══════════┼═══════════┼═══════════┼═══════════┼═══════════┼═══════════┼═══════════┼═══════════┼═══════════┼═══════════┼═══════════┤
│20 │Михновский │свыше 2000 │ - │ - │ + │3430600,00 │ 0,70875 │ 1,05000 │ 0,025 │ 2431438,00 │ 192971,25 │ 207444,12 │ 207444,12 │ 202619,83 │ 202619,83 │ 202619,83 │ 202619,83 │ 202619,83 │ 202619,83 │ 202619,83 │ 202619,83 │ 202619,87 │
├═══┼══════════════════════┼══════════════┼═════════════════┼══════════════════┼══════════════┼═══════════┼════════════┼════════════════════════┼═══════════┼════════════┼═══════════┼═══════════┼═══════════┼═══════════┼═══════════┼═══════════┼═══════════┼═══════════┼═══════════┼═══════════┼═══════════┼═══════════┤
│21 │Богородицкий │свыше 2000 │ - │ - │ + │3430600,00 │ 0,70875 │ 1,05000 │ 0,025 │ 2431438,00 │ 192971,25 │ 207444,12 │ 207444,12 │ 202619,83 │ 202619,83 │ 202619,83 │ 202619,83 │ 202619,83 │ 202619,83 │ 202619,83 │ 202619,83 │ 202619,87 │
├═══┼══════════════════════┼══════════════┼═════════════════┼══════════════════┼══════════════┼═══════════┼════════════┼════════════════════════┼═══════════┼════════════┼═══════════┼═══════════┼═══════════┼═══════════┼═══════════┼═══════════┼═══════════┼═══════════┼═══════════┼═══════════┼═══════════┼═══════════┤
│22 │Гедеоновский │свыше 2000 │ - │ - │ + │3430600,00 │ 0,70875 │ 1,05000 │ 0,025 │ 2431438,00 │ 192971,25 │ 207444,12 │ 207444,12 │ 202619,83 │ 202619,83 │ 202619,83 │ 202619,83 │ 202619,83 │ 202619,83 │ 202619,83 │ 202619,83 │ 202619,87 │
├═══┼══════════════════════┼══════════════┼═════════════════┼══════════════════┼══════════════┼═══════════┼════════════┼════════════════════════┼═══════════┼════════════┼═══════════┼═══════════┼═══════════┼═══════════┼═══════════┼═══════════┼═══════════┼═══════════┼═══════════┼═══════════┼═══════════┼═══════════┤
│22 │ИТОГО │ │ │ │ │ │ │ │ │17999618,75 │1468489,00 │1373672,30 │1373672,30 │1567604,14 │1567604,14 │1567604,14 │1513495,39 │1513495,39 │1513495,39 │1513495,39 │1513495,39 │1513495,78 │
├═══┴══════════════════════┴══════════════┴═════════════════┴══════════════════┴══════════════┴═══════════┴════════════┴════════════════════════┴═══════════┴════════════┴═══════════┴═══════════┴═══════════┴═══════════┴═══════════┴═══════════┴═══════════┴═══════════┴═══════════┴═══════════┴═══════════┴═══════════┤
│ ОГБУЗ "Сафоновская ЦРБ" │
├═══┬══════════════════════┬══════════════┬═════════════════┬══════════════════┬══════════════┬═══════════┬════════════┬════════════════════════┬═══════════┬════════════┬═══════════┬═══════════┬═══════════┬═══════════┬═══════════┬═══════════┬═══════════┬═══════════┬═══════════┬═══════════┬═══════════┬═══════════┤
│1 │Лехминский │от 101 - до│ + │ - │ │1442900,00 │ 0,455 │ │ 0,025 │ 656520,00 │ 63126,92 │ 50501,54 │ 50501,54 │ 54710,00 │ 54710,00 │ 54710,00 │ 54710,00 │ 54710,00 │ 54710,00 │ 54710,00 │ 54710,00 │ 54710,00 │
│ │ │900 │ │ │ │ │ │ │ │ │ │ │ │ │ │ │ │ │ │ │ │ │
├═══┼══════════════════════┼══════════════┼═════════════════┼══════════════════┼══════════════┼═══════════┼════════════┼════════════════════════┼═══════════┼════════════┼═══════════┼═══════════┼═══════════┼═══════════┼═══════════┼═══════════┼═══════════┼═══════════┼═══════════┼═══════════┼═══════════┼═══════════┤
│2 │Васильевский │от 101 - до│ + │ - │ │1442900,00 │ 0,455 │ │ 0,025 │ 656520,00 │ 63126,92 │ 50501,54 │ 50501,54 │ 54710,00 │ 54710,00 │ 54710,00 │ 54710,00 │ 54710,00 │ 54710,00 │ 54710,00 │ 54710,00 │ 54710,00 │
│ │ │900 │ │ │ │ │ │ │ │ │ │ │ │ │ │ │ │ │ │ │ │ │
├═══┼══════════════════════┼══════════════┼═════════════════┼══════════════════┼══════════════┼═══════════┼════════════┼════════════════════════┼═══════════┼════════════┼═══════════┼═══════════┼═══════════┼═══════════┼═══════════┼═══════════┼═══════════┼═══════════┼═══════════┼═══════════┼═══════════┼═══════════┤
│3 │Игнатковский │от 101 - до│ + │ - │ │1442900,00 │ 0,455 │ │ 0,025 │ 656520,00 │ 63126,92 │ 50501,54 │ 50501,54 │ 54710,00 │ 54710,00 │ 54710,00 │ 54710,00 │ 54710,00 │ 54710,00 │ 54710,00 │ 54710,00 │ 54710,00 │
│ │ │900 │ │ │ │ │ │ │ │ │ │ │ │ │ │ │ │ │ │ │ │ │
├═══┼══════════════════════┼══════════════┼═════════════════┼══════════════════┼══════════════┼═══════════┼════════════┼════════════════════════┼═══════════┼════════════┼═══════════┼═══════════┼═══════════┼═══════════┼═══════════┼═══════════┼═══════════┼═══════════┼═══════════┼═══════════┼═══════════┼═══════════┤
│4 │Казулинский │от 101 - до│ + │ - │ │1442900,00 │ 0,455 │ │ 0,025 │ 656520,00 │ 63126,92 │ 50501,54 │ 50501,54 │ 54710,00 │ 54710,00 │ 54710,00 │ 54710,00 │ 54710,00 │ 54710,00 │ 54710,00 │ 54710,00 │ 54710,00 │
│ │ │900 │ │ │ │ │ │ │ │ │ │ │ │ │ │ │ │ │ │ │ │ │
├═══┼══════════════════════┼══════════════┼═════════════════┼══════════════════┼══════════════┼═══════════┼════════════┼════════════════════════┼═══════════┼════════════┼═══════════┼═══════════┼═══════════┼═══════════┼═══════════┼═══════════┼═══════════┼═══════════┼═══════════┼═══════════┼═══════════┼═══════════┤
│5 │Леснянский │от 101 - до│ + │ - │ │1442900,00 │ 0,455 │ │ 0,025 │ 656520,00 │ 63126,92 │ 50501,54 │ 50501,54 │ 54710,00 │ 54710,00 │ 54710,00 │ 54710,00 │ 54710,00 │ 54710,00 │ 54710,00 │ 54710,00 │ 54710,00 │
│ │ │900 │ │ │ │ │ │ │ │ │ │ │ │ │ │ │ │ │ │ │ │ │
├═══┼══════════════════════┼══════════════┼═════════════════┼══════════════════┼══════════════┼═══════════┼════════════┼════════════════════════┼═══════════┼════════════┼═══════════┼═══════════┼═══════════┼═══════════┼═══════════┼═══════════┼═══════════┼═══════════┼═══════════┼═══════════┼═══════════┼═══════════┤
│6 │Старосельский │от 101 - до│ + │ - │ │1442900,00 │ 0,455 │ │ 0,025 │ 656520,00 │ 63126,92 │ 50501,54 │ 50501,54 │ 54710,00 │ 54710,00 │ 54710,00 │ 54710,00 │ 54710,00 │ 54710,00 │ 54710,00 │ 54710,00 │ 54710,00 │
│ │ │900 │ │ │ │ │ │ │ │ │ │ │ │ │ │ │ │ │ │ │ │ │
├═══┼══════════════════════┼══════════════┼═════════════════┼══════════════════┼══════════════┼═══════════┼════════════┼════════════════════════┼═══════════┼════════════┼═══════════┼═══════════┼═══════════┼═══════════┼═══════════┼═══════════┼═══════════┼═══════════┼═══════════┼═══════════┼═══════════┼═══════════┤
│7 │Болышевский │от 101 - до│ + │ - │ │1442900,00 │ 0,455 │ │ 0,025 │ 656520,00 │ 63126,92 │ 50501,54 │ 50501,54 │ 54710,00 │ 54710,00 │ 54710,00 │ 54710,00 │ 54710,00 │ 54710,00 │ 54710,00 │ 54710,00 │ 54710,00 │
│ │ │900 │ │ │ │ │ │ │ │ │ │ │ │ │ │ │ │ │ │ │ │ │
├═══┼══════════════════════┼══════════════┼═════════════════┼══════════════════┼══════════════┼═══════════┼════════════┼════════════════════════┼═══════════┼════════════┼═══════════┼═══════════┼═══════════┼═══════════┼═══════════┼═══════════┼═══════════┼═══════════┼═══════════┼═══════════┼═══════════┼═══════════┤
│8 │Никитинский │от 101 - до│ + │ - │ │1442900,00 │ 0,455 │ │ 0,025 │ 656520,00 │ 63126,92 │ 50501,54 │ 50501,54 │ 54710,00 │ 54710,00 │ 54710,00 │ 54710,00 │ 54710,00 │ 54710,00 │ 54710,00 │ 54710,00 │ 54710,00 │
│ │ │900 │ │ │ │ │ │ │ │ │ │ │ │ │ │ │ │ │ │ │ │ │
├═══┼══════════════════════┼══════════════┼═════════════════┼══════════════════┼══════════════┼═══════════┼════════════┼════════════════════════┼═══════════┼════════════┼═══════════┼═══════════┼═══════════┼═══════════┼═══════════┼═══════════┼═══════════┼═══════════┼═══════════┼═══════════┼═══════════┼═══════════┤
│9 │Верхне-Малышкинский │от 101 - до│ + │ - │ │1442900,00 │ 0,600 │ │ │ 865740,00 │ 84169,17 │ 66132,91 │ 66132,91 │ 72145,00 │ 72145,00 │ 72145,00 │ 72145,00 │ 72145,00 │ 72145,00 │ 72145,00 │ 72145,00 │ 72145,01 │
│ │ │900 │ │ │ │ │ │ │ │ │ │ │ │ │ │ │ │ │ │ │ │ │
├═══┼══════════════════════┼══════════════┼═════════════════┼══════════════════┼══════════════┼═══════════┼════════════┼════════════════════════┼═══════════┼════════════┼═══════════┼═══════════┼═══════════┼═══════════┼═══════════┼═══════════┼═══════════┼═══════════┼═══════════┼═══════════┼═══════════┼═══════════┤
│10 │Дуровский │от 101 - до│ + │ - │ │1442900,00 │ 0,600 │ │ │ 865740,00 │ 84169,17 │ 66132,91 │ 66132,91 │ 72145,00 │ 72145,00 │ 72145,00 │ 72145,00 │ 72145,00 │ 72145,00 │ 72145,00 │ 72145,00 │ 72145,01 │
│ │ │900 │ │ │ │ │ │ │ │ │ │ │ │ │ │ │ │ │ │ │ │ │
├═══┼══════════════════════┼══════════════┼═════════════════┼══════════════════┼══════════════┼═══════════┼════════════┼════════════════════════┼═══════════┼════════════┼═══════════┼═══════════┼═══════════┼═══════════┼═══════════┼═══════════┼═══════════┼═══════════┼═══════════┼═══════════┼═══════════┼═══════════┤
│11 │Алферовский │от 101 - до│ + │ - │ │1442900,00 │ 0,625 │ │ 0,025 │ 901813,00 │ 87175,25 │ 69138,99 │ 69138,99 │ 75151,08 │ 75151,08 │ 75151,08 │ 75151,08 │ 75151,08 │ 75151,08 │ 75151,08 │ 75151,08 │ 75151,13 │
│ │ │900 │ │ │ │ │ │ │ │ │ │ │ │ │ │ │ │ │ │ │ │ │
├═══┼══════════════════════┼══════════════┼═════════════════┼══════════════════┼══════════════┼═══════════┼════════════┼════════════════════════┼═══════════┼════════════┼═══════════┼═══════════┼═══════════┼═══════════┼═══════════┼═══════════┼═══════════┼═══════════┼═══════════┼═══════════┼═══════════┼═══════════┤
│12 │Вышегорский │от 101 - до│ + │ - │ │1442900,00 │ 0,625 │ │ 0,025 │ 901813,00 │ 87175,25 │ 69138,99 │ 69138,99 │ 75151,08 │ 75151,08 │ 75151,08 │ 75151,08 │ 75151,08 │ 75151,08 │ 75151,08 │ 75151,08 │ 75151,13 │
│ │ │900 │ │ │ │ │ │ │ │ │ │ │ │ │ │ │ │ │ │ │ │ │
├═══┼══════════════════════┼══════════════┼═════════════════┼══════════════════┼══════════════┼═══════════┼════════════┼════════════════════════┼═══════════┼════════════┼═══════════┼═══════════┼═══════════┼═══════════┼═══════════┼═══════════┼═══════════┼═══════════┼═══════════┼═══════════┼═══════════┼═══════════┤
│13 │Дроздовский │от 101 - до│ + │ - │ │1442900,00 │ 0,625 │ │ 0,025 │ 901813,00 │ 87175,25 │ 69138,99 │ 69138,99 │ 75151,08 │ 75151,08 │ 75151,08 │ 75151,08 │ 75151,08 │ 75151,08 │ 75151,08 │ 75151,08 │ 75151,13 │
│ │ │900 │ │ │ │ │ │ │ │ │ │ │ │ │ │ │ │ │ │ │ │ │
├═══┼══════════════════════┼══════════════┼═════════════════┼══════════════════┼══════════════┼═══════════┼════════════┼════════════════════════┼═══════════┼════════════┼═══════════┼═══════════┼═══════════┼═══════════┼═══════════┼═══════════┼═══════════┼═══════════┼═══════════┼═══════════┼═══════════┼═══════════┤
│14 │Заворовский │от 101 - до│ + │ - │ │1442900,00 │ 0,625 │ │ 0,025 │ 901813,00 │ 87175,25 │ 69138,99 │ 69138,99 │ 75151,08 │ 75151,08 │ 75151,08 │ 75151,08 │ 75151,08 │ 75151,08 │ 75151,08 │ 75151,08 │ 75151,13 │
│ │ │900 │ │ │ │ │ │ │ │ │ │ │ │ │ │ │ │ │ │ │ │ │
├═══┼══════════════════════┼══════════════┼═════════════════┼══════════════════┼══════════════┼═══════════┼════════════┼════════════════════════┼═══════════┼════════════┼═══════════┼═══════════┼═══════════┼═══════════┼═══════════┼═══════════┼═══════════┼═══════════┼═══════════┼═══════════┼═══════════┼═══════════┤
│15 │Зимницкий │от 101 - до│ + │ - │ │1442900,00 │ 0,625 │ │ 0,025 │ 901813,00 │ 87175,25 │ 69138,99 │ 69138,99 │ 75151,08 │ 75151,08 │ 75151,08 │ 75151,08 │ 75151,08 │ 75151,08 │ 75151,08 │ 75151,08 │ 75151,13 │
│ │ │900 │ │ │ │ │ │ │ │ │ │ │ │ │ │ │ │ │ │ │ │ │
├═══┼══════════════════════┼══════════════┼═════════════════┼══════════════════┼══════════════┼═══════════┼════════════┼════════════════════════┼═══════════┼════════════┼═══════════┼═══════════┼═══════════┼═══════════┼═══════════┼═══════════┼═══════════┼═══════════┼═══════════┼═══════════┼═══════════┼═══════════┤
│16 │Пушкинский │от 101 - до│ + │ - │ │1442900,00 │ 0,625 │ │ 0,025 │ 901813,00 │ 87175,25 │ 69138,99 │ 69138,99 │ 75151,08 │ 75151,08 │ 75151,08 │ 75151,08 │ 75151,08 │ 75151,08 │ 75151,08 │ 75151,08 │ 75151,13 │
│ │ │900 │ │ │ │ │ │ │ │ │ │ │ │ │ │ │ │ │ │ │ │ │
├═══┼══════════════════════┼══════════════┼═════════════════┼══════════════════┼══════════════┼═══════════┼════════════┼════════════════════════┼═══════════┼════════════┼═══════════┼═══════════┼═══════════┼═══════════┼═══════════┼═══════════┼═══════════┼═══════════┼═══════════┼═══════════┼═══════════┼═══════════┤
│17 │Агибаловский │от 101 - до│ + │ - │ │1442900,00 │ 0,625 │ │ 0,025 │ 901813,00 │ 87175,25 │ 69138,99 │ 69138,99 │ 75151,08 │ 75151,08 │ 75151,08 │ 75151,08 │ 75151,08 │ 75151,08 │ 75151,08 │ 75151,08 │ 75151,13 │
│ │ │900 │ │ │ │ │ │ │ │ │ │ │ │ │ │ │ │ │ │ │ │ │
├═══┼══════════════════════┼══════════════┼═════════════════┼══════════════════┼══════════════┼═══════════┼════════════┼════════════════════════┼═══════════┼════════════┼═══════════┼═══════════┼═══════════┼═══════════┼═══════════┼═══════════┼═══════════┼═══════════┼═══════════┼═══════════┼═══════════┼═══════════┤
│18 │Батуринский │от 101 - до│ + │ - │ │1442900,00 │ 0,625 │ │ 0,025 │ 901813,00 │ 87175,25 │ 69138,99 │ 69138,99 │ 75151,08 │ 75151,08 │ 75151,08 │ 75151,08 │ 75151,08 │ 75151,08 │ 75151,08 │ 75151,08 │ 75151,13 │
│ │ │900 │ │ │ │ │ │ │ │ │ │ │ │ │ │ │ │ │ │ │ │ │
├═══┼══════════════════════┼══════════════┼═════════════════┼══════════════════┼══════════════┼═══════════┼════════════┼════════════════════════┼═══════════┼════════════┼═══════════┼═══════════┼═══════════┼═══════════┼═══════════┼═══════════┼═══════════┼═══════════┼═══════════┼═══════════┼═══════════┼═══════════┤
│19 │Канютинский │от 101 - до│ + │ - │ │1442900,00 │ 0,625 │ │ 0,025 │ 901813,00 │ 87175,25 │ 69138,99 │ 69138,99 │ 75151,08 │ 75151,08 │ 75151,08 │ 75151,08 │ 75151,08 │ 75151,08 │ 75151,08 │ 75151,08 │ 75151,13 │
│ │ │900 │ │ │ │ │ │ │ │ │ │ │ │ │ │ │ │ │ │ │ │ │
├═══┼══════════════════════┼══════════════┼═════════════════┼══════════════════┼══════════════┼═══════════┼════════════┼════════════════════════┼═══════════┼════════════┼═══════════┼═══════════┼═══════════┼═══════════┼═══════════┼═══════════┼═══════════┼═══════════┼═══════════┼═══════════┼═══════════┼═══════════┤
│20 │Нахимовский │от 101 - до│ + │ - │ │1442900,00 │ 0,625 │ │ 0,025 │ 901813,00 │ 87175,25 │ 69138,99 │ 69138,99 │ 75151,08 │ 75151,08 │ 75151,08 │ 75151,08 │ 75151,08 │ 75151,08 │ 75151,08 │ 75151,08 │ 75151,13 │
│ │ │900 │ │ │ │ │ │ │ │ │ │ │ │ │ │ │ │ │ │ │ │ │
├═══┼══════════════════════┼══════════════┼═════════════════┼══════════════════┼══════════════┼═══════════┼════════════┼════════════════════════┼═══════════┼════════════┼═══════════┼═══════════┼═══════════┼═══════════┼═══════════┼═══════════┼═══════════┼═══════════┼═══════════┼═══════════┼═══════════┼═══════════┤
│21 │Пигулинский │от 101 - до│ + │ - │ │1442900,00 │ 0,625 │ │ 0,025 │ 901813,00 │ 87175,25 │ 69138,99 │ 69138,99 │ 75151,08 │ 75151,08 │ 75151,08 │ 75151,08 │ 75151,08 │ 75151,08 │ 75151,08 │ 75151,08 │ 75151,13 │
│ │ │900 │ │ │ │ │ │ │ │ │ │ │ │ │ │ │ │ │ │ │ │ │
├═══┼══════════════════════┼══════════════┼═════════════════┼══════════════════┼══════════════┼═══════════┼════════════┼════════════════════════┼═══════════┼════════════┼═══════════┼═══════════┼═══════════┼═══════════┼═══════════┼═══════════┼═══════════┼═══════════┼═══════════┼═══════════┼═══════════┼═══════════┤
│22 │Печатниковский │от 101 - до│ + │ - │ │1442900,00 │ 0,625 │ │ 0,025 │ 901813,00 │ 87175,25 │ 69138,99 │ 69138,99 │ 75151,08 │ 75151,08 │ 75151,08 │ 75151,08 │ 75151,08 │ 75151,08 │ 75151,08 │ 75151,08 │ 75151,13 │
│ │ │900 │ │ │ │ │ │ │ │ │ │ │ │ │ │ │ │ │ │ │ │ │
├═══┼══════════════════════┼══════════════┼═════════════════┼══════════════════┼══════════════┼═══════════┼════════════┼════════════════════════┼═══════════┼════════════┼═══════════┼═══════════┼═══════════┼═══════════┼═══════════┼═══════════┼═══════════┼═══════════┼═══════════┼═══════════┼═══════════┼═══════════┤
│23 │Стешинский │от 101 - до│ + │ - │ │1442900,00 │ 0,625 │ │ 0,025 │ 901813,00 │ 87175,25 │ 69138,99 │ 69138,99 │ 75151,08 │ 75151,08 │ 75151,08 │ 75151,08 │ 75151,08 │ 75151,08 │ 75151,08 │ 75151,08 │ 75151,13 │
│ │ │900 │ │ │ │ │ │ │ │ │ │ │ │ │ │ │ │ │ │ │ │ │
├═══┼══════════════════════┼══════════════┼═════════════════┼══════════════════┼══════════════┼═══════════┼════════════┼════════════════════════┼═══════════┼════════════┼═══════════┼═══════════┼═══════════┼═══════════┼═══════════┼═══════════┼═══════════┼═══════════┼═══════════┼═══════════┼═══════════┼═══════════┤
│24 │Шапковский │от 101 - до│ + │ - │ │1442900,00 │ 0,625 │ │ 0,025 │ 901813,00 │ 87175,25 │ 69138,99 │ 69138,99 │ 75151,08 │ 75151,08 │ 75151,08 │ 75151,08 │ 75151,08 │ 75151,08 │ 75151,08 │ 75151,08 │ 75151,13 │
│ │ │900 │ │ │ │ │ │ │ │ │ │ │ │ │ │ │ │ │ │ │ │ │
├═══┼══════════════════════┼══════════════┼═════════════════┼══════════════════┼══════════════┼═══════════┼════════════┼════════════════════════┼═══════════┼════════════┼═══════════┼═══════════┼═══════════┼═══════════┼═══════════┼═══════════┼═══════════┼═══════════┼═══════════┼═══════════┼═══════════┼═══════════┤
│25 │Богдановщинский │от 101 - до│ + │ + │ │1442900,00 │ 1,000 │ │ │ 1442900,00 │ 120241,67 │ 120241,67 │ 120241,67 │ 120241,67 │ 120241,67 │ 120241,67 │ 120241,67 │ 120241,67 │ 120241,67 │ 120241,67 │ 120241,67 │ 120241,63 │
│ │ │900 │ │ │ │ │ │ │ │ │ │ │ │ │ │ │ │ │ │ │ │ │
├═══┼══════════════════════┼══════════════┼═════════════════┼══════════════════┼══════════════┼═══════════┼════════════┼════════════════════════┼═══════════┼════════════┼═══════════┼═══════════┼═══════════┼═══════════┼═══════════┼═══════════┼═══════════┼═══════════┼═══════════┼═══════════┼═══════════┼═══════════┤
│26 │Беленинский │от 101 - до│ + │ + │ │1442900,00 │ 1,000 │ │ │ 1442900,00 │ 120241,67 │ 120241,67 │ 120241,67 │ 120241,67 │ 120241,67 │ 120241,67 │ 120241,67 │ 120241,67 │ 120241,67 │ 120241,67 │ 120241,67 │ 120241,63 │
│ │ │900 │ │ │ │ │ │ │ │ │ │ │ │ │ │ │ │ │ │ │ │ │
├═══┼══════════════════════┼══════════════┼═════════════════┼══════════════════┼══════════════┼═══════════┼════════════┼════════════════════════┼═══════════┼════════════┼═══════════┼═══════════┼═══════════┼═══════════┼═══════════┼═══════════┼═══════════┼═══════════┼═══════════┼═══════════┼═══════════┼═══════════┤
│27 │Вадинский │от 101 - до│ + │ + │ │1442900,00 │ 1,000 │ │ │ 1442900,00 │ 120241,67 │ 120241,67 │ 120241,67 │ 120241,67 │ 120241,67 │ 120241,67 │ 120241,67 │ 120241,67 │ 120241,67 │ 120241,67 │ 120241,67 │ 120241,63 │
│ │ │900 │ │ │ │ │ │ │ │ │ │ │ │ │ │ │ │ │ │ │ │ │
├═══┼══════════════════════┼══════════════┼═════════════════┼══════════════════┼══════════════┼═══════════┼════════════┼════════════════════════┼═══════════┼════════════┼═══════════┼═══════════┼═══════════┼═══════════┼═══════════┼═══════════┼═══════════┼═══════════┼═══════════┼═══════════┼═══════════┼═══════════┤
│28 │Н-Погореловский │от 101 - до│ + │ + │ │1442900,00 │ 1,000 │ │ │ 1442900,00 │ 120241,67 │ 120241,67 │ 120241,67 │ 120241,67 │ 120241,67 │ 120241,67 │ 120241,67 │ 120241,67 │ 120241,67 │ 120241,67 │ 120241,67 │ 120241,63 │
│ │ │900 │ │ │ │ │ │ │ │ │ │ │ │ │ │ │ │ │ │ │ │ │
├═══┼══════════════════════┼══════════════┼═════════════════┼══════════════════┼══════════════┼═══════════┼════════════┼════════════════════════┼═══════════┼════════════┼═══════════┼═══════════┼═══════════┼═══════════┼═══════════┼═══════════┼═══════════┼═══════════┼═══════════┼═══════════┼═══════════┼═══════════┤
│29 │Прудковский │от 101 - до│ + │ + │ │1442900,00 │ 1,000 │ │ │ 1442900,00 │ 120241,67 │ 120241,67 │ 120241,67 │ 120241,67 │ 120241,67 │ 120241,67 │ 120241,67 │ 120241,67 │ 120241,67 │ 120241,67 │ 120241,67 │ 120241,63 │
│ │ │900 │ │ │ │ │ │ │ │ │ │ │ │ │ │ │ │ │ │ │ │ │
├═══┼══════════════════════┼══════════════┼═════════════════┼══════════════════┼══════════════┼═══════════┼════════════┼════════════════════════┼═══════════┼════════════┼═══════════┼═══════════┼═══════════┼═══════════┼═══════════┼═══════════┼═══════════┼═══════════┼═══════════┼═══════════┼═══════════┼═══════════┤
│30 │Рыбковский │от 101 - до│ + │ + │ │1442900,00 │ 1,000 │ │ │ 1442900,00 │ 120241,67 │ 120241,67 │ 120241,67 │ 120241,67 │ 120241,67 │ 120241,67 │ 120241,67 │ 120241,67 │ 120241,67 │ 120241,67 │ 120241,67 │ 120241,63 │
│ │ │900 │ │ │ │ │ │ │ │ │ │ │ │ │ │ │ │ │ │ │ │ │
├═══┼══════════════════════┼══════════════┼═════════════════┼══════════════════┼══════════════┼═══════════┼════════════┼════════════════════════┼═══════════┼════════════┼═══════════┼═══════════┼═══════════┼═══════════┼═══════════┼═══════════┼═══════════┼═══════════┼═══════════┼═══════════┼═══════════┼═══════════┤
│31 │Барановский │от 901 - до│ + │ - │ │2885800,00 │ 0,455 │ │ 0,025 │ 1053317,00 │ 66132,92 │ 66132,92 │ 66132,92 │ 66132,92 │ 66132,92 │ 66132,92 │ 109419,91 │ 109419,91 │ 109419,91 │ 109419,91 │ 109419,91 │ 109419,93 │
│ │ │1500 │ │ │ │ │ │ │ │ │ │ │ │ │ │ │ │ │ │ │ │ │
├═══┼══════════════════════┼══════════════┼═════════════════┼══════════════════┼══════════════┼═══════════┼════════════┼════════════════════════┼═══════════┼════════════┼═══════════┼═══════════┼═══════════┼═══════════┼═══════════┼═══════════┼═══════════┼═══════════┼═══════════┼═══════════┼═══════════┼═══════════┤
│31 │ИТОГО │ │ │ │ │ │ │ │ │29319739,00 │2681390,14 │2291806,94 │2291806,94 │2421668,06 │2421668,06 │2421668,06 │2464955,05 │2464955,05 │2464955,05 │2464955,05 │2464955,05 │2464955,55 │
├═══┴══════════════════════┴══════════════┴═════════════════┴══════════════════┴══════════════┴═══════════┴════════════┴════════════════════════┴═══════════┴════════════┴═══════════┴═══════════┴═══════════┴═══════════┴═══════════┴═══════════┴═══════════┴═══════════┴═══════════┴═══════════┴═══════════┴═══════════┤
│ ОГБУЗ "Сычевская ЦРБ" │
├═══┬══════════════════════┬══════════════┬═════════════════┬══════════════════┬══════════════┬═══════════┬════════════┬════════════════════════┬═══════════┬════════════┬═══════════┬═══════════┬═══════════┬═══════════┬═══════════┬═══════════┬═══════════┬═══════════┬═══════════┬═══════════┬═══════════┬═══════════┤
│1 │Болшевский │до 100 │ - │ - │ + │1442900,00 │ 0,150 │ 0,150 │ │ 216435,00 │ 18036,25 │ 18036,25 │ 18036,25 │ 18036,25 │ 18036,25 │ 18036,25 │ 18036,25 │ 18036,25 │ 18036,25 │ 18036,25 │ 18036,25 │ 18036,25 │
├═══┼══════════════════════┼══════════════┼═════════════════┼══════════════════┼══════════════┼═══════════┼════════════┼════════════════════════┼═══════════┼════════════┼═══════════┼═══════════┼═══════════┼═══════════┼═══════════┼═══════════┼═══════════┼═══════════┼═══════════┼═══════════┼═══════════┼═══════════┤
│2 │Григорьевский │до 100 │ - │ - │ + │1442900,00 │ 0,150 │ 0,150 │ │ 216435,00 │ 18036,25 │ 18036,25 │ 18036,25 │ 18036,25 │ 18036,25 │ 18036,25 │ 18036,25 │ 18036,25 │ 18036,25 │ 18036,25 │ 18036,25 │ 18036,25 │
├═══┼══════════════════════┼══════════════┼═════════════════┼══════════════════┼══════════════┼═══════════┼════════════┼════════════════════════┼═══════════┼════════════┼═══════════┼═══════════┼═══════════┼═══════════┼═══════════┼═══════════┼═══════════┼═══════════┼═══════════┼═══════════┼═══════════┼═══════════┤
│3 │Извековский │до 100 │ - │ - │ + │1442900,00 │ 0,150 │ 0,150 │ │ 216435,00 │ 18036,25 │ 18036,25 │ 18036,25 │ 18036,25 │ 18036,25 │ 18036,25 │ 18036,25 │ 18036,25 │ 18036,25 │ 18036,25 │ 18036,25 │ 18036,25 │
├═══┼══════════════════════┼══════════════┼═════════════════┼══════════════════┼══════════════┼═══════════┼════════════┼════════════════════════┼═══════════┼════════════┼═══════════┼═══════════┼═══════════┼═══════════┼═══════════┼═══════════┼═══════════┼═══════════┼═══════════┼═══════════┼═══════════┼═══════════┤
│4 │Лесные Дали │до 100 │ - │ - │ + │1442900,00 │ 0,150 │ 0,150 │ │ 216435,00 │ 18036,25 │ 18036,25 │ 18036,25 │ 18036,25 │ 18036,25 │ 18036,25 │ 18036,25 │ 18036,25 │ 18036,25 │ 18036,25 │ 18036,25 │ 18036,25 │
├═══┼══════════════════════┼══════════════┼═════════════════┼══════════════════┼══════════════┼═══════════┼════════════┼════════════════════════┼═══════════┼════════════┼═══════════┼═══════════┼═══════════┼═══════════┼═══════════┼═══════════┼═══════════┼═══════════┼═══════════┼═══════════┼═══════════┼═══════════┤
│5 │Ануфриевский │от 101 - до│ + │ - │ │1442900,00 │ 0,150 │ │ │ 216435,00 │ 18036,25 │ 18036,25 │ 18036,25 │ 18036,25 │ 18036,25 │ 18036,25 │ 18036,25 │ 18036,25 │ 18036,25 │ 18036,25 │ 18036,25 │ 18036,25 │
│ │ │900 │ │ │ │ │ │ │ │ │ │ │ │ │ │ │ │ │ │ │ │ │
├═══┼══════════════════════┼══════════════┼═════════════════┼══════════════════┼══════════════┼═══════════┼════════════┼════════════════════════┼═══════════┼════════════┼═══════════┼═══════════┼═══════════┼═══════════┼═══════════┼═══════════┼═══════════┼═══════════┼═══════════┼═══════════┼═══════════┼═══════════┤
│6 │Рябинковский │от 101 - до│ + │ - │ │1442900,00 │ 0,150 │ │ │ 216435,00 │ 60120,83 │ 47495,46 │ 47495,46 │ 51703,92 │ 51703,92 │ 51703,92 │ -15631,42 │ -15631,42 │ -15631,42 │ -15631,42 │ -15631,42 │ -15631,41 │
│ │ │900 │ │ │ │ │ │ │ │ │ │ │ │ │ │ │ │ │ │ │ │ │
├═══┼══════════════════════┼══════════════┼═════════════════┼══════════════════┼══════════════┼═══════════┼════════════┼════════════════════════┼═══════════┼════════════┼═══════════┼═══════════┼═══════════┼═══════════┼═══════════┼═══════════┼═══════════┼═══════════┼═══════════┼═══════════┼═══════════┼═══════════┤
│7 │Караваевский │от 101 - до│ + │ - │ │1442900,00 │ 0,150 │ │ │ 216435,00 │ 18036,25 │ 18036,25 │ 18036,25 │ 18036,25 │ 18036,25 │ 18036,25 │ 18036,25 │ 18036,25 │ 18036,25 │ 18036,25 │ 18036,25 │ 18036,25 │
│ │ │900 │ │ │ │ │ │ │ │ │ │ │ │ │ │ │ │ │ │ │ │ │
├═══┼══════════════════════┼══════════════┼═════════════════┼══════════════════┼══════════════┼═══════════┼════════════┼════════════════════════┼═══════════┼════════════┼═══════════┼═══════════┼═══════════┼═══════════┼═══════════┼═══════════┼═══════════┼═══════════┼═══════════┼═══════════┼═══════════┼═══════════┤
│8 │Софьинский │от 101 - до│ + │ - │ │1442900,00 │ 0,150 │ │ │ 216435,00 │ 18036,25 │ 18036,25 │ 18036,25 │ 18036,25 │ 18036,25 │ 18036,25 │ 18036,25 │ 18036,25 │ 18036,25 │ 18036,25 │ 18036,25 │ 18036,25 │
│ │ │900 │ │ │ │ │ │ │ │ │ │ │ │ │ │ │ │ │ │ │ │ │
├═══┼══════════════════════┼══════════════┼═════════════════┼══════════════════┼══════════════┼═══════════┼════════════┼════════════════════════┼═══════════┼════════════┼═══════════┼═══════════┼═══════════┼═══════════┼═══════════┼═══════════┼═══════════┼═══════════┼═══════════┼═══════════┼═══════════┼═══════════┤
│9 │Соколинский │от 101 - до│ + │ - │ │1442900,00 │ 0,150 │ │ │ 216435,00 │ 18036,25 │ 18036,25 │ 18036,25 │ 18036,25 │ 18036,25 │ 18036,25 │ 18036,25 │ 18036,25 │ 18036,25 │ 18036,25 │ 18036,25 │ 18036,25 │
│ │ │900 │ │ │ │ │ │ │ │ │ │ │ │ │ │ │ │ │ │ │ │ │
├═══┼══════════════════════┼══════════════┼═════════════════┼══════════════════┼══════════════┼═══════════┼════════════┼════════════════════════┼═══════════┼════════════┼═══════════┼═══════════┼═══════════┼═══════════┼═══════════┼═══════════┼═══════════┼═══════════┼═══════════┼═══════════┼═══════════┼═══════════┤
│10 │Никольский │от 101 - до│ + │ - │ │1442900,00 │ 0,150 │ │ │ 216435,00 │ 18036,25 │ 18036,25 │ 18036,25 │ 18036,25 │ 18036,25 │ 18036,25 │ 18036,25 │ 18036,25 │ 18036,25 │ 18036,25 │ 18036,25 │ 18036,25 │
│ │ │900 │ │ │ │ │ │ │ │ │ │ │ │ │ │ │ │ │ │ │ │ │
├═══┼══════════════════════┼══════════════┼═════════════════┼══════════════════┼══════════════┼═══════════┼════════════┼════════════════════════┼═══════════┼════════════┼═══════════┼═══════════┼═══════════┼═══════════┼═══════════┼═══════════┼═══════════┼═══════════┼═══════════┼═══════════┼═══════════┼═══════════┤
│11 │Капустинский │от 101 - до│ + │ - │ │1442900,00 │ 0,150 │ │ │ 216435,00 │ 18036,25 │ 18036,25 │ 18036,25 │ 18036,25 │ 18036,25 │ 18036,25 │ 18036,25 │ 18036,25 │ 18036,25 │ 18036,25 │ 18036,25 │ 18036,25 │
│ │ │900 │ │ │ │ │ │ │ │ │ │ │ │ │ │ │ │ │ │ │ │ │
├═══┼══════════════════════┼══════════════┼═════════════════┼══════════════════┼══════════════┼═══════════┼════════════┼════════════════════════┼═══════════┼════════════┼═══════════┼═══════════┼═══════════┼═══════════┼═══════════┼═══════════┼═══════════┼═══════════┼═══════════┼═══════════┼═══════════┼═══════════┤
│12 │Липецкий │от 101 - до│ + │ - │ │1442900,00 │ 0,150 │ │ │ 216435,00 │ 18036,25 │ 18036,25 │ 18036,25 │ 18036,25 │ 18036,25 │ 18036,25 │ 18036,25 │ 18036,25 │ 18036,25 │ 18036,25 │ 18036,25 │ 18036,25 │
│ │ │900 │ │ │ │ │ │ │ │ │ │ │ │ │ │ │ │ │ │ │ │ │
├═══┼══════════════════════┼══════════════┼═════════════════┼══════════════════┼══════════════┼═══════════┼════════════┼════════════════════════┼═══════════┼════════════┼═══════════┼═══════════┼═══════════┼═══════════┼═══════════┼═══════════┼═══════════┼═══════════┼═══════════┼═══════════┼═══════════┼═══════════┤
│13 │Хвощеватовский │от 101 - до│ + │ - │ │1442900,00 │ 0,150 │ │ │ 216435,00 │ 18036,25 │ 18036,25 │ 18036,25 │ 18036,25 │ 18036,25 │ 18036,25 │ 18036,25 │ 18036,25 │ 18036,25 │ 18036,25 │ 18036,25 │ 18036,25 │
│ │ │900 │ │ │ │ │ │ │ │ │ │ │ │ │ │ │ │ │ │ │ │ │
├═══┼══════════════════════┼══════════════┼═════════════════┼══════════════════┼══════════════┼═══════════┼════════════┼════════════════════════┼═══════════┼════════════┼═══════════┼═══════════┼═══════════┼═══════════┼═══════════┼═══════════┼═══════════┼═══════════┼═══════════┼═══════════┼═══════════┼═══════════┤
│14 │Бехтеевский │от 101 - до│ + │ - │ │1442900,00 │ 0,430 │ │ │ 620447,00 │ 60120,83 │ 47495,46 │ 47495,46 │ 51703,92 │ 51703,92 │ 51703,92 │ 51703,92 │ 51703,92 │ 51703,92 │ 51703,92 │ 51703,92 │ 51703,89 │
│ │ │900 │ │ │ │ │ │ │ │ │ │ │ │ │ │ │ │ │ │ │ │ │
├═══┼══════════════════════┼══════════════┼═════════════════┼══════════════════┼══════════════┼═══════════┼════════════┼════════════════════════┼═══════════┼════════════┼═══════════┼═══════════┼═══════════┼═══════════┼═══════════┼═══════════┼═══════════┼═══════════┼═══════════┼═══════════┼═══════════┼═══════════┤
│15 │Середской │от 101 - до│ + │ - │ │1442900,00 │ 0,430 │ │ │ 620447,00 │ 60120,83 │ 47495,46 │ 47495,46 │ 51703,92 │ 51703,92 │ 51703,92 │ 51703,92 │ 51703,92 │ 51703,92 │ 51703,92 │ 51703,92 │ 51703,89 │
│ │ │900 │ │ │ │ │ │ │ │ │ │ │ │ │ │ │ │ │ │ │ │ │
├═══┼══════════════════════┼══════════════┼═════════════════┼══════════════════┼══════════════┼═══════════┼════════════┼════════════════════════┼═══════════┼════════════┼═══════════┼═══════════┼═══════════┼═══════════┼═══════════┼═══════════┼═══════════┼═══════════┼═══════════┼═══════════┼═══════════┼═══════════┤
│16 │Юшинский │от 101 - до│ + │ - │ │1442900,00 │ 0,430 │ │ │ 620447,00 │ 60120,83 │ 47495,46 │ 47495,46 │ 51703,92 │ 51703,92 │ 51703,92 │ 51703,92 │ 51703,92 │ 51703,92 │ 51703,92 │ 51703,92 │ 51703,89 │
│ │ │900 │ │ │ │ │ │ │ │ │ │ │ │ │ │ │ │ │ │ │ │ │
├═══┼══════════════════════┼══════════════┼═════════════════┼══════════════════┼══════════════┼═══════════┼════════════┼════════════════════════┼═══════════┼════════════┼═══════════┼═══════════┼═══════════┼═══════════┼═══════════┼═══════════┼═══════════┼═══════════┼═══════════┼═══════════┼═══════════┼═══════════┤
│17 │Субботниковский │от 101 - до│ + │ - │ │1442900,00 │ 0,430 │ │ │ 620447,00 │ 60120,83 │ 47495,46 │ 47495,46 │ 51703,92 │ 51703,92 │ 51703,92 │ 51703,92 │ 51703,92 │ 51703,92 │ 51703,92 │ 51703,92 │ 51703,89 │
│ │ │900 │ │ │ │ │ │ │ │ │ │ │ │ │ │ │ │ │ │ │ │ │
├═══┼══════════════════════┼══════════════┼═════════════════┼══════════════════┼══════════════┼═══════════┼════════════┼════════════════════════┼═══════════┼════════════┼═══════════┼═══════════┼═══════════┼═══════════┼═══════════┼═══════════┼═══════════┼═══════════┼═══════════┼═══════════┼═══════════┼═══════════┤
│18 │Хлепенской │от 101 - до│ + │ - │ │1442900,00 │ 0,430 │ │ │ 620447,00 │ 60120,83 │ 47495,46 │ 47495,46 │ 51703,92 │ 51703,92 │ 51703,92 │ 51703,92 │ 51703,92 │ 51703,92 │ 51703,92 │ 51703,92 │ 51703,89 │
│ │ │900 │ │ │ │ │ │ │ │ │ │ │ │ │ │ │ │ │ │ │ │ │
├═══┼══════════════════════┼══════════════┼═════════════════┼══════════════════┼══════════════┼═══════════┼════════════┼════════════════════════┼═══════════┼════════════┼═══════════┼═══════════┼═══════════┼═══════════┼═══════════┼═══════════┼═══════════┼═══════════┼═══════════┼═══════════┼═══════════┼═══════════┤
│19 │Татаркинский │от 101 - до│ + │ - │ │1442900,00 │ 0,430 │ │ │ 620447,00 │ 60120,83 │ 47495,46 │ 47495,46 │ 51703,92 │ 51703,92 │ 51703,92 │ 51703,92 │ 51703,92 │ 51703,92 │ 51703,92 │ 51703,92 │ 51703,89 │
│ │ │900 │ │ │ │ │ │ │ │ │ │ │ │ │ │ │ │ │ │ │ │ │
├═══┼══════════════════════┼══════════════┼═════════════════┼══════════════════┼══════════════┼═══════════┼════════════┼════════════════════════┼═══════════┼════════════┼═══════════┼═══════════┼═══════════┼═══════════┼═══════════┼═══════════┼═══════════┼═══════════┼═══════════┼═══════════┼═══════════┼═══════════┤
│20 │Печениченский │от 101 - до│ + │ - │ │1442900,00 │ 0,430 │ │ │ 620447,00 │ 60120,83 │ 47495,46 │ 47495,46 │ 51703,92 │ 51703,92 │ 51703,92 │ 51703,92 │ 51703,92 │ 51703,92 │ 51703,92 │ 51703,92 │ 51703,89 │
│ │ │900 │ │ │ │ │ │ │ │ │ │ │ │ │ │ │ │ │ │ │ │ │
├═══┼══════════════════════┼══════════════┼═════════════════┼══════════════════┼══════════════┼═══════════┼════════════┼════════════════════════┼═══════════┼════════════┼═══════════┼═══════════┼═══════════┼═══════════┼═══════════┼═══════════┼═══════════┼═══════════┼═══════════┼═══════════┼═══════════┼═══════════┤
│21 │Мольгинский │от 101 - до│ + │ - │ │1442900,00 │ 0,600 │ │ │ 865740,00 │ 84169,17 │ 66132,91 │ 66132,91 │ 72145,00 │ 72145,00 │ 72145,00 │ 72145,00 │ 72145,00 │ 72145,00 │ 72145,00 │ 72145,00 │ 72145,01 │
│ │ │900 │ │ │ │ │ │ │ │ │ │ │ │ │ │ │ │ │ │ │ │ │
├═══┼══════════════════════┼══════════════┼═════════════════┼══════════════════┼══════════════┼═══════════┼════════════┼════════════════════════┼═══════════┼════════════┼═══════════┼═══════════┼═══════════┼═══════════┼═══════════┼═══════════┼═══════════┼═══════════┼═══════════┼═══════════┼═══════════┼═══════════┤
│22 │Никитский │от 101 - до│ + │ - │ │1442900,00 │ 0,600 │ │ │ 865740,00 │ 84169,17 │ 66132,91 │ 66132,91 │ 72145,00 │ 72145,00 │ 72145,00 │ 72145,00 │ 72145,00 │ 72145,00 │ 72145,00 │ 72145,00 │ 72145,01 │
│ │ │900 │ │ │ │ │ │ │ │ │ │ │ │ │ │ │ │ │ │ │ │ │
├═══┼══════════════════════┼══════════════┼═════════════════┼══════════════════┼══════════════┼═══════════┼════════════┼════════════════════════┼═══════════┼════════════┼═══════════┼═══════════┼═══════════┼═══════════┼═══════════┼═══════════┼═══════════┼═══════════┼═══════════┼═══════════┼═══════════┼═══════════┤
│23 │Б. Моховаткинский │от 101 - до│ + │ - │ │1442900,00 │ 0,600 │ │ │ 865740,00 │ 84169,17 │ 66132,91 │ 66132,91 │ 72145,00 │ 72145,00 │ 72145,00 │ 72145,00 │ 72145,00 │ 72145,00 │ 72145,00 │ 72145,00 │ 72145,01 │
│ │ │900 │ │ │ │ │ │ │ │ │ │ │ │ │ │ │ │ │ │ │ │ │
├═══┼══════════════════════┼══════════════┼═════════════════┼══════════════════┼══════════════┼═══════════┼════════════┼════════════════════════┼═══════════┼════════════┼═══════════┼═══════════┼═══════════┼═══════════┼═══════════┼═══════════┼═══════════┼═══════════┼═══════════┼═══════════┼═══════════┼═══════════┤
│24 │Суторминский │от 101 - до│ + │ - │ │1442900,00 │ 0,600 │ │ │ 865740,00 │ 84169,17 │ 66132,91 │ 66132,91 │ 72145,00 │ 72145,00 │ 72145,00 │ 72145,00 │ 72145,00 │ 72145,00 │ 72145,00 │ 72145,00 │ 72145,01 │
│ │ │900 │ │ │ │ │ │ │ │ │ │ │ │ │ │ │ │ │ │ │ │ │
├═══┼══════════════════════┼══════════════┼═════════════════┼══════════════════┼══════════════┼═══════════┼════════════┼════════════════════════┼═══════════┼════════════┼═══════════┼═══════════┼═══════════┼═══════════┼═══════════┼═══════════┼═══════════┼═══════════┼═══════════┼═══════════┼═══════════┼═══════════┤
│25 │Вараксинский │от 101 - до│ + │ - │ │1442900,00 │ 0,600 │ │ │ 865740,00 │ 84169,17 │ 66132,91 │ 66132,91 │ 72145,00 │ 72145,00 │ 72145,00 │ 72145,00 │ 72145,00 │ 72145,00 │ 72145,00 │ 72145,00 │ 72145,01 │
│ │ │900 │ │ │ │ │ │ │ │ │ │ │ │ │ │ │ │ │ │ │ │ │
├═══┼══════════════════════┼══════════════┼═════════════════┼══════════════════┼══════════════┼═══════════┼════════════┼════════════════════════┼═══════════┼════════════┼═══════════┼═══════════┼═══════════┼═══════════┼═══════════┼═══════════┼═══════════┼═══════════┼═══════════┼═══════════┼═══════════┼═══════════┤
│26 │Караваевский │от 101 - до│ + │ - │ │1442900,00 │ 0,600 │ │ │ 865740,00 │ 84169,17 │ 66132,91 │ 66132,91 │ 72145,00 │ 72145,00 │ 72145,00 │ 72145,00 │ 72145,00 │ 72145,00 │ 72145,00 │ 72145,00 │ 72145,01 │
│ │ │900 │ │ │ │ │ │ │ │ │ │ │ │ │ │ │ │ │ │ │ │ │
├═══┼══════════════════════┼══════════════┼═════════════════┼══════════════════┼══════════════┼═══════════┼════════════┼════════════════════════┼═══════════┼════════════┼═══════════┼═══════════┼═══════════┼═══════════┼═══════════┼═══════════┼═══════════┼═══════════┼═══════════┼═══════════┼═══════════┼═══════════┤
│27 │Селищенский │от 101 - до│ + │ - │ │1442900,00 │ 0,600 │ │ │ 865740,00 │ 84169,17 │ 66132,91 │ 66132,91 │ 72145,00 │ 72145,00 │ 72145,00 │ 72145,00 │ 72145,00 │ 72145,00 │ 72145,00 │ 72145,00 │ 72145,01 │
│ │ │900 │ │ │ │ │ │ │ │ │ │ │ │ │ │ │ │ │ │ │ │ │
├═══┼══════════════════════┼══════════════┼═════════════════┼══════════════════┼══════════════┼═══════════┼════════════┼════════════════════════┼═══════════┼════════════┼═══════════┼═══════════┼═══════════┼═══════════┼═══════════┼═══════════┼═══════════┼═══════════┼═══════════┼═══════════┼═══════════┼═══════════┤
│28 │Торбеевский │от 101 - до│ + │ - │ │1442900,00 │ 0,600 │ │ │ 865740,00 │ 84169,17 │ 66132,91 │ 66132,91 │ 72145,00 │ 72145,00 │ 72145,00 │ 72145,00 │ 72145,00 │ 72145,00 │ 72145,00 │ 72145,00 │ 72145,01 │
│ │ │900 │ │ │ │ │ │ │ │ │ │ │ │ │ │ │ │ │ │ │ │ │
├═══┼══════════════════════┼══════════════┼═════════════════┼══════════════════┼══════════════┼═══════════┼════════════┼════════════════════════┼═══════════┼════════════┼═══════════┼═══════════┼═══════════┼═══════════┼═══════════┼═══════════┼═══════════┼═══════════┼═══════════┼═══════════┼═══════════┼═══════════┤
│29 │Дугинский │от 101 - до│ + │ + │ │1442900,00 │ 1,000 │ │ │ 1442900,00 │ 120241,67 │ 120241,67 │ 120241,67 │ 120241,67 │ 120241,67 │ 120241,67 │ 120241,67 │ 120241,67 │ 120241,67 │ 120241,67 │ 120241,67 │ 120241,63 │
│ │ │900 │ │ │ │ │ │ │ │ │ │ │ │ │ │ │ │ │ │ │ │ │
├═══┼══════════════════════┼══════════════┼═════════════════┼══════════════════┼══════════════┼═══════════┼════════════┼════════════════════════┼═══════════┼════════════┼═══════════┼═══════════┼═══════════┼═══════════┼═══════════┼═══════════┼═══════════┼═══════════┼═══════════┼═══════════┼═══════════┼═══════════┤
│29 │ИТОГО │ │ │ │ │ │ │ │ │15525604,00 │1490996,67 │1245703,63 │1245703,63 │1327468,03 │1327468,03 │1327468,03 │1260132,69 │1260132,69 │1260132,69 │1260132,69 │1260132,69 │1260132,53 │
├═══┴══════════════════════┴══════════════┴═════════════════┴══════════════════┴══════════════┴═══════════┴════════════┴════════════════════════┴═══════════┴════════════┴═══════════┴═══════════┴═══════════┴═══════════┴═══════════┴═══════════┴═══════════┴═══════════┴═══════════┴═══════════┴═══════════┴═══════════┤
│ ОГБУЗ "Хиславичская ЦРБ" │
├═══┬══════════════════════┬══════════════┬═════════════════┬══════════════════┬══════════════┬═══════════┬════════════┬════════════════════════┬═══════════┬════════════┬═══════════┬═══════════┬═══════════┬═══════════┬═══════════┬═══════════┬═══════════┬═══════════┬═══════════┬═══════════┬═══════════┬═══════════┤
│1 │Петропольский │до 100 │ - │ - │ + │1442900,00 │ 0,150 │ 0,150 │ │ 216435,00 │ 18036,25 │ 18036,25 │ 18036,25 │ 18036,25 │ 18036,25 │ 18036,25 │ 18036,25 │ 18036,25 │ 18036,25 │ 18036,25 │ 18036,25 │ 18036,25 │
├═══┼══════════════════════┼══════════════┼═════════════════┼══════════════════┼══════════════┼═══════════┼════════════┼════════════════════════┼═══════════┼════════════┼═══════════┼═══════════┼═══════════┼═══════════┼═══════════┼═══════════┼═══════════┼═══════════┼═══════════┼═══════════┼═══════════┼═══════════┤
│2 │Упинский │от 101 - до│ + │ - │ │1442900,00 │ 0,150 │ │ │ 216435,00 │ 18036,25 │ 18036,25 │ 18036,25 │ 18036,25 │ 18036,25 │ 18036,25 │ 18036,25 │ 18036,25 │ 18036,25 │ 18036,25 │ 18036,25 │ 18036,25 │
│ │ │900 │ │ │ │ │ │ │ │ │ │ │ │ │ │ │ │ │ │ │ │ │
├═══┼══════════════════════┼══════════════┼═════════════════┼══════════════════┼══════════════┼═══════════┼════════════┼════════════════════════┼═══════════┼════════════┼═══════════┼═══════════┼═══════════┼═══════════┼═══════════┼═══════════┼═══════════┼═══════════┼═══════════┼═══════════┼═══════════┼═══════════┤
│3 │Большехуторянский │от 101 - до│ + │ - │ │1442900,00 │ 0,430 │ │ │ 620447,00 │ 60120,83 │ 47495,46 │ 47495,46 │ 51703,92 │ 51703,92 │ 51703,92 │ 51703,92 │ 51703,92 │ 51703,92 │ 51703,92 │ 51703,92 │ 51703,89 │
│ │ │900 │ │ │ │ │ │ │ │ │ │ │ │ │ │ │ │ │ │ │ │ │
├═══┼══════════════════════┼══════════════┼═════════════════┼══════════════════┼══════════════┼═══════════┼════════════┼════════════════════════┼═══════════┼════════════┼═══════════┼═══════════┼═══════════┼═══════════┼═══════════┼═══════════┼═══════════┼═══════════┼═══════════┼═══════════┼═══════════┼═══════════┤
│4 │Мазыкинский │от 101 - до│ + │ - │ │1442900,00 │ 0,430 │ │ │ 620447,00 │ 60120,83 │ 47495,46 │ 47495,46 │ 51703,92 │ 51703,92 │ 51703,92 │ 51703,92 │ 51703,92 │ 51703,92 │ 51703,92 │ 51703,92 │ 51703,89 │
│ │ │900 │ │ │ │ │ │ │ │ │ │ │ │ │ │ │ │ │ │ │ │ │
├═══┼══════════════════════┼══════════════┼═════════════════┼══════════════════┼══════════════┼═══════════┼════════════┼════════════════════════┼═══════════┼════════════┼═══════════┼═══════════┼═══════════┼═══════════┼═══════════┼═══════════┼═══════════┼═══════════┼═══════════┼═══════════┼═══════════┼═══════════┤
│5 │Соинский │от 101 - до│ + │ - │ │1442900,00 │ 0,430 │ │ │ 620447,00 │ 60120,83 │ 47495,46 │ 47495,46 │ 51703,92 │ 51703,92 │ 51703,92 │ 51703,92 │ 51703,92 │ 51703,92 │ 51703,92 │ 51703,92 │ 51703,89 │
│ │ │900 │ │ │ │ │ │ │ │ │ │ │ │ │ │ │ │ │ │ │ │ │
├═══┼══════════════════════┼══════════════┼═════════════════┼══════════════════┼══════════════┼═══════════┼════════════┼════════════════════════┼═══════════┼════════════┼═══════════┼═══════════┼═══════════┼═══════════┼═══════════┼═══════════┼═══════════┼═══════════┼═══════════┼═══════════┼═══════════┼═══════════┤
│6 │Фроловский │от 101 - до│ + │ - │ │1442900,00 │ 0,430 │ │ │ 620447,00 │ 60120,83 │ 47495,46 │ 47495,46 │ 51703,92 │ 51703,92 │ 51703,92 │ 51703,92 │ 51703,92 │ 51703,92 │ 51703,92 │ 51703,92 │ 51703,89 │
│ │ │900 │ │ │ │ │ │ │ │ │ │ │ │ │ │ │ │ │ │ │ │ │
├═══┼══════════════════════┼══════════════┼═════════════════┼══════════════════┼══════════════┼═══════════┼════════════┼════════════════════════┼═══════════┼════════════┼═══════════┼═══════════┼═══════════┼═══════════┼═══════════┼═══════════┼═══════════┼═══════════┼═══════════┼═══════════┼═══════════┼═══════════┤
│7 │Городищенский │от 101 - до│ + │ - │ │1442900,00 │ 0,600 │ │ │ 865740,00 │ 84169,17 │ 66132,91 │ 66132,91 │ 72145,00 │ 72145,00 │ 72145,00 │ 72145,00 │ 72145,00 │ 72145,00 │ 72145,00 │ 72145,00 │ 72145,01 │
│ │ │900 │ │ │ │ │ │ │ │ │ │ │ │ │ │ │ │ │ │ │ │ │
├═══┼══════════════════════┼══════════════┼═════════════════┼══════════════════┼══════════════┼═══════════┼════════════┼════════════════════════┼═══════════┼════════════┼═══════════┼═══════════┼═══════════┼═══════════┼═══════════┼═══════════┼═══════════┼═══════════┼═══════════┼═══════════┼═══════════┼═══════════┤
│8 │Микшинский │от 101 - до│ + │ - │ │1442900,00 │ 0,600 │ │ │ 865740,00 │ 84169,17 │ 66132,91 │ 66132,91 │ 72145,00 │ 72145,00 │ 72145,00 │ 72145,00 │ 72145,00 │ 72145,00 │ 72145,00 │ 72145,00 │ 72145,01 │
│ │ │900 │ │ │ │ │ │ │ │ │ │ │ │ │ │ │ │ │ │ │ │ │
├═══┼══════════════════════┼══════════════┼═════════════════┼══════════════════┼══════════════┼═══════════┼════════════┼════════════════════════┼═══════════┼════════════┼═══════════┼═══════════┼═══════════┼═══════════┼═══════════┼═══════════┼═══════════┼═══════════┼═══════════┼═══════════┼═══════════┼═══════════┤
│9 │Кожуховичский │от 101 - до│ + │ - │ │1442900,00 │ 0,600 │ │ │ 865740,00 │ 84169,17 │ 66132,91 │ 66132,91 │ 72145,00 │ 72145,00 │ 72145,00 │ 72145,00 │ 72145,00 │ 72145,00 │ 72145,00 │ 72145,00 │ 72145,01 │
│ │ │900 │ │ │ │ │ │ │ │ │ │ │ │ │ │ │ │ │ │ │ │ │
├═══┼══════════════════════┼══════════════┼═════════════════┼══════════════════┼══════════════┼═══════════┼════════════┼════════════════════════┼═══════════┼════════════┼═══════════┼═══════════┼═══════════┼═══════════┼═══════════┼═══════════┼═══════════┼═══════════┼═══════════┼═══════════┼═══════════┼═══════════┤
│10 │Корзовский │от 101 - до│ + │ - │ │1442900,00 │ 0,600 │ │ │ 865740,00 │ 84169,17 │ 66132,91 │ 66132,91 │ 72145,00 │ 72145,00 │ 72145,00 │ 72145,00 │ 72145,00 │ 72145,00 │ 72145,00 │ 72145,00 │ 72145,01 │
│ │ │900 │ │ │ │ │ │ │ │ │ │ │ │ │ │ │ │ │ │ │ │ │
├═══┼══════════════════════┼══════════════┼═════════════════┼══════════════════┼══════════════┼═══════════┼════════════┼════════════════════════┼═══════════┼════════════┼═══════════┼═══════════┼═══════════┼═══════════┼═══════════┼═══════════┼═══════════┼═══════════┼═══════════┼═══════════┼═══════════┼═══════════┤
│11 │Череповской │от 101 - до│ + │ - │ │1442900,00 │ 0,600 │ │ │ 865740,00 │ 84169,17 │ 66132,91 │ 66132,91 │ 72145,00 │ 72145,00 │ 72145,00 │ 72145,00 │ 72145,00 │ 72145,00 │ 72145,00 │ 72145,00 │ 72145,01 │
│ │ │900 │ │ │ │ │ │ │ │ │ │ │ │ │ │ │ │ │ │ │ │ │
├═══┼══════════════════════┼══════════════┼═════════════════┼══════════════════┼══════════════┼═══════════┼════════════┼════════════════════════┼═══════════┼════════════┼═══════════┼═══════════┼═══════════┼═══════════┼═══════════┼═══════════┼═══════════┼═══════════┼═══════════┼═══════════┼═══════════┼═══════════┤
│12 │Печерский │от 101 - до│ + │ + │ │1442900,00 │ 1,000 │ │ │ 1442900,00 │ 120241,67 │ 120241,67 │ 120241,67 │ 120241,67 │ 120241,67 │ 120241,67 │ 120241,67 │ 120241,67 │ 120241,67 │ 120241,67 │ 120241,67 │ 120241,63 │
│ │ │900 │ │ │ │ │ │ │ │ │ │ │ │ │ │ │ │ │ │ │ │ │
├═══┼══════════════════════┼══════════════┼═════════════════┼══════════════════┼══════════════┼═══════════┼════════════┼════════════════════════┼═══════════┼════════════┼═══════════┼═══════════┼═══════════┼═══════════┼═══════════┼═══════════┼═══════════┼═══════════┼═══════════┼═══════════┼═══════════┼═══════════┤
│12 │ИТОГО │ │ │ │ │ │ │ │ │ 8686258,00 │ 817643,34 │ 676960,56 │ 676960,56 │ 723854,85 │ 723854,85 │ 723854,85 │ 723854,85 │ 723854,85 │ 723854,85 │ 723854,85 │ 723854,85 │ 723854,74 │
├═══┴══════════════════════┴══════════════┴═════════════════┴══════════════════┴══════════════┴═══════════┴════════════┴════════════════════════┴═══════════┴════════════┴═══════════┴═══════════┴═══════════┴═══════════┴═══════════┴═══════════┴═══════════┴═══════════┴═══════════┴═══════════┴═══════════┴═══════════┤
│ ОГБУЗ "Ярцевская ЦРБ" │
├═══┬══════════════════════┬══════════════┬═════════════════┬══════════════════┬══════════════┬═══════════┬════════════┬════════════════════════┬═══════════┬════════════┬═══════════┬═══════════┬═══════════┬═══════════┬═══════════┬═══════════┬═══════════┬═══════════┬═══════════┬═══════════┬═══════════┬═══════════┤
│1 │Буризинский │до 100 │ - │ - │ + │1442900,00 │ 0,150 │ 0,150 │ │ 216435,00 │ 18036,25 │ 18036,25 │ 18036,25 │ 18036,25 │ 18036,25 │ 18036,25 │ 18036,25 │ 18036,25 │ 18036,25 │ 18036,25 │ 18036,25 │ 18036,25 │
├═══┼══════════════════════┼══════════════┼═════════════════┼══════════════════┼══════════════┼═══════════┼════════════┼════════════════════════┼═══════════┼════════════┼═══════════┼═══════════┼═══════════┼═══════════┼═══════════┼═══════════┼═══════════┼═══════════┼═══════════┼═══════════┼═══════════┼═══════════┤
│2 │Митяевский │до 100 │ - │ - │ + │1442900,00 │ 0,175 │ 0,150 │ 0,025 │ 252508,00 │ 21042,33 │ 21042,33 │ 21042,33 │ 21042,33 │ 21042,33 │ 21042,33 │ 21042,33 │ 21042,33 │ 21042,33 │ 21042,33 │ 21042,33 │ 21042,37 │
├═══┼══════════════════════┼══════════════┼═════════════════┼══════════════════┼══════════════┼═══════════┼════════════┼════════════════════════┼═══════════┼════════════┼═══════════┼═══════════┼═══════════┼═══════════┼═══════════┼═══════════┼═══════════┼═══════════┼═══════════┼═══════════┼═══════════┼═══════════┤
│3 │Кротовский │до 100 │ - │ - │ + │1442900,00 │ 0,175 │ 0,150 │ 0,025 │ 252508,00 │ 21042,33 │ 21042,33 │ 21042,33 │ 21042,33 │ 21042,33 │ 21042,33 │ 21042,33 │ 21042,33 │ 21042,33 │ 21042,33 │ 21042,33 │ 21042,37 │
├═══┼══════════════════════┼══════════════┼═════════════════┼══════════════════┼══════════════┼═══════════┼════════════┼════════════════════════┼═══════════┼════════════┼═══════════┼═══════════┼═══════════┼═══════════┼═══════════┼═══════════┼═══════════┼═══════════┼═══════════┼═══════════┼═══════════┼═══════════┤
│4 │Новосельский │до 100 │ - │ - │ + │1442900,00 │ 0,175 │ 0,150 │ 0,025 │ 252508,00 │ 21042,33 │ 21042,33 │ 21042,33 │ 21042,33 │ 21042,33 │ 21042,33 │ 21042,33 │ 21042,33 │ 21042,33 │ 21042,33 │ 21042,33 │ 21042,37 │
├═══┼══════════════════════┼══════════════┼═════════════════┼══════════════════┼══════════════┼═══════════┼════════════┼════════════════════════┼═══════════┼════════════┼═══════════┼═══════════┼═══════════┼═══════════┼═══════════┼═══════════┼═══════════┼═══════════┼═══════════┼═══════════┼═══════════┼═══════════┤
│5 │Постниковский │до 100 │ - │ - │ + │1442900,00 │ 0,175 │ 0,150 │ 0,025 │ 252508,00 │ 21042,33 │ 21042,33 │ 21042,33 │ 21042,33 │ 21042,33 │ 21042,33 │ 21042,33 │ 21042,33 │ 21042,33 │ 21042,33 │ 21042,33 │ 21042,37 │
├═══┼══════════════════════┼══════════════┼═════════════════┼══════════════════┼══════════════┼═══════════┼════════════┼════════════════════════┼═══════════┼════════════┼═══════════┼═══════════┼═══════════┼═══════════┼═══════════┼═══════════┼═══════════┼═══════════┼═══════════┼═══════════┼═══════════┼═══════════┤
│6 │Савинский │до 100 │ - │ - │ + │1442900,00 │ 0,175 │ 0,150 │ 0,025 │ 252508,00 │ 21042,33 │ 21042,33 │ 21042,33 │ 21042,33 │ 21042,33 │ 21042,33 │ 21042,33 │ 21042,33 │ 21042,33 │ 21042,33 │ 21042,33 │ 21042,37 │
├═══┼══════════════════════┼══════════════┼═════════════════┼══════════════════┼══════════════┼═══════════┼════════════┼════════════════════════┼═══════════┼════════════┼═══════════┼═══════════┼═══════════┼═══════════┼═══════════┼═══════════┼═══════════┼═══════════┼═══════════┼═══════════┼═══════════┼═══════════┤
│7 │Спас-Угловский │до 100 │ - │ - │ + │1442900,00 │ 0,175 │ 0,150 │ 0,025 │ 252508,00 │ 21042,33 │ 21042,33 │ 21042,33 │ 21042,33 │ 21042,33 │ 21042,33 │ 21042,33 │ 21042,33 │ 21042,33 │ 21042,33 │ 21042,33 │ 21042,37 │
├═══┼══════════════════════┼══════════════┼═════════════════┼══════════════════┼══════════════┼═══════════┼════════════┼════════════════════════┼═══════════┼════════════┼═══════════┼═══════════┼═══════════┼═══════════┼═══════════┼═══════════┼═══════════┼═══════════┼═══════════┼═══════════┼═══════════┼═══════════┤
│8 │Булгаковский │от 101 - до│ + │ - │ │1442900,00 │ 0,150 │ │ │ 216435,00 │ 18036,25 │ 18036,25 │ 18036,25 │ 18036,25 │ 18036,25 │ 18036,25 │ 18036,25 │ 18036,25 │ 18036,25 │ 18036,25 │ 18036,25 │ 18036,25 │
│ │ │900 │ │ │ │ │ │ │ │ │ │ │ │ │ │ │ │ │ │ │ │ │
├═══┼══════════════════════┼══════════════┼═════════════════┼══════════════════┼══════════════┼═══════════┼════════════┼════════════════════════┼═══════════┼════════════┼═══════════┼═══════════┼═══════════┼═══════════┼═══════════┼═══════════┼═══════════┼═══════════┼═══════════┼═══════════┼═══════════┼═══════════┤
│9 │Петровский │от 101 - до│ + │ - │ │1442900,00 │ 0,150 │ │ │ 216435,00 │ 18036,25 │ 18036,25 │ 18036,25 │ 18036,25 │ 18036,25 │ 18036,25 │ 18036,25 │ 18036,25 │ 18036,25 │ 18036,25 │ 18036,25 │ 18036,25 │
│ │ │900 │ │ │ │ │ │ │ │ │ │ │ │ │ │ │ │ │ │ │ │ │
├═══┼══════════════════════┼══════════════┼═════════════════┼══════════════════┼══════════════┼═══════════┼════════════┼════════════════════════┼═══════════┼════════════┼═══════════┼═══════════┼═══════════┼═══════════┼═══════════┼═══════════┼═══════════┼═══════════┼═══════════┼═══════════┼═══════════┼═══════════┤
│10 │Шиловичский │от 101 - до│ + │ - │ │1442900,00 │ 0,150 │ │ │ 216435,00 │ 18036,25 │ 18036,25 │ 18036,25 │ 18036,25 │ 18036,25 │ 18036,25 │ 18036,25 │ 18036,25 │ 18036,25 │ 18036,25 │ 18036,25 │ 18036,25 │
│ │ │900 │ │ │ │ │ │ │ │ │ │ │ │ │ │ │ │ │ │ │ │ │
├═══┼══════════════════════┼══════════════┼═════════════════┼══════════════════┼══════════════┼═══════════┼════════════┼════════════════════════┼═══════════┼════════════┼═══════════┼═══════════┼═══════════┼═══════════┼═══════════┼═══════════┼═══════════┼═══════════┼═══════════┼═══════════┼═══════════┼═══════════┤
│11 │Ерышовский │от 101 - до│ + │ - │ │1442900,00 │ 0,455 │ │ 0,025 │ 656520,00 │ 63126,92 │ 50501,54 │ 50501,54 │ 54710,00 │ 54710,00 │ 54710,00 │ 54710,00 │ 54710,00 │ 54710,00 │ 54710,00 │ 54710,00 │ 54710,00 │
│ │ │900 │ │ │ │ │ │ │ │ │ │ │ │ │ │ │ │ │ │ │ │ │
├═══┼══════════════════════┼══════════════┼═════════════════┼══════════════════┼══════════════┼═══════════┼════════════┼════════════════════════┼═══════════┼════════════┼═══════════┼═══════════┼═══════════┼═══════════┼═══════════┼═══════════┼═══════════┼═══════════┼═══════════┼═══════════┼═══════════┼═══════════┤
│12 │Львовский │от 101 - до│ + │ - │ │1442900,00 │ 0,455 │ │ 0,025 │ 656520,00 │ 63126,92 │ 50501,54 │ 50501,54 │ 54710,00 │ 54710,00 │ 54710,00 │ 54710,00 │ 54710,00 │ 54710,00 │ 54710,00 │ 54710,00 │ 54710,00 │
│ │ │900 │ │ │ │ │ │ │ │ │ │ │ │ │ │ │ │ │ │ │ │ │
├═══┼══════════════════════┼══════════════┼═════════════════┼══════════════════┼══════════════┼═══════════┼════════════┼════════════════════════┼═══════════┼════════════┼═══════════┼═══════════┼═══════════┼═══════════┼═══════════┼═══════════┼═══════════┼═══════════┼═══════════┼═══════════┼═══════════┼═══════════┤
│13 │Миропольский │от 101 - до│ + │ - │ │1442900,00 │ 0,455 │ │ 0,025 │ 656520,00 │ 63126,92 │ 50501,54 │ 50501,54 │ 54710,00 │ 54710,00 │ 54710,00 │ 54710,00 │ 54710,00 │ 54710,00 │ 54710,00 │ 54710,00 │ 54710,00 │
│ │ │900 │ │ │ │ │ │ │ │ │ │ │ │ │ │ │ │ │ │ │ │ │
├═══┼══════════════════════┼══════════════┼═════════════════┼══════════════════┼══════════════┼═══════════┼════════════┼════════════════════════┼═══════════┼════════════┼═══════════┼═══════════┼═══════════┼═══════════┼═══════════┼═══════════┼═══════════┼═══════════┼═══════════┼═══════════┼═══════════┼═══════════┤
│14 │Добринский │от 101 - до│ + │ - │ │1442900,00 │ 0,455 │ │ 0,025 │ 717842,86 │ 87175,25 │ 69138,99 │ 69138,99 │ 54709,96 │ 54709,96 │ 54709,96 │ 54709,96 │ 54709,96 │ 54709,96 │ 54709,96 │ 54709,96 │ 54709,95 │
│ │ │900 │ │ │ │ │ │ │ │ │ │ │ │ │ │ │ │ │ │ │ │ │
├═══┼══════════════════════┼══════════════┼═════════════════┼══════════════════┼══════════════┼═══════════┼════════════┼════════════════════════┼═══════════┼════════════┼═══════════┼═══════════┼═══════════┼═══════════┼═══════════┼═══════════┼═══════════┼═══════════┼═══════════┼═══════════┼═══════════┼═══════════┤
│15 │Велистовский │от 101 - до│ + │ - │ │1442900,00 │ 0,600 │ │ │ 865740,00 │ 84169,17 │ 66132,91 │ 66132,91 │ 72145,00 │ 72145,00 │ 72145,00 │ 72145,00 │ 72145,00 │ 72145,00 │ 72145,00 │ 72145,00 │ 72145,01 │
│ │ │900 │ │ │ │ │ │ │ │ │ │ │ │ │ │ │ │ │ │ │ │ │
├═══┼══════════════════════┼══════════════┼═════════════════┼══════════════════┼══════════════┼═══════════┼════════════┼════════════════════════┼═══════════┼════════════┼═══════════┼═══════════┼═══════════┼═══════════┼═══════════┼═══════════┼═══════════┼═══════════┼═══════════┼═══════════┼═══════════┼═══════════┤
│16 │Троицкий │от 101 - до│ + │ - │ │1442900,00 │ 0,600 │ │ │ 865740,00 │ 84169,17 │ 66132,91 │ 66132,91 │ 72145,00 │ 72145,00 │ 72145,00 │ 72145,00 │ 72145,00 │ 72145,00 │ 72145,00 │ 72145,00 │ 72145,01 │
│ │ │900 │ │ │ │ │ │ │ │ │ │ │ │ │ │ │ │ │ │ │ │ │
├═══┼══════════════════════┼══════════════┼═════════════════┼══════════════════┼══════════════┼═══════════┼════════════┼════════════════════════┼═══════════┼════════════┼═══════════┼═══════════┼═══════════┼═══════════┼═══════════┼═══════════┼═══════════┼═══════════┼═══════════┼═══════════┼═══════════┼═══════════┤
│17 │Подрощинский │от 101 - до│ + │ - │ │1442900,00 │ 0,600 │ │ │ 865740,00 │ 84169,17 │ 66132,91 │ 66132,91 │ 72145,00 │ 72145,00 │ 72145,00 │ 72145,00 │ 72145,00 │ 72145,00 │ 72145,00 │ 72145,00 │ 72145,01 │
│ │ │900 │ │ │ │ │ │ │ │ │ │ │ │ │ │ │ │ │ │ │ │ │
├═══┼══════════════════════┼══════════════┼═════════════════┼══════════════════┼══════════════┼═══════════┼════════════┼════════════════════════┼═══════════┼════════════┼═══════════┼═══════════┼═══════════┼═══════════┼═══════════┼═══════════┼═══════════┼═══════════┼═══════════┼═══════════┼═══════════┼═══════════┤
│18 │Суетовский │от 101 - до│ + │ - │ │1442900,00 │ 0,600 │ │ │ 865740,00 │ 84169,17 │ 66132,91 │ 66132,91 │ 72145,00 │ 72145,00 │ 72145,00 │ 72145,00 │ 72145,00 │ 72145,00 │ 72145,00 │ 72145,00 │ 72145,01 │
│ │ │900 │ │ │ │ │ │ │ │ │ │ │ │ │ │ │ │ │ │ │ │ │
├═══┼══════════════════════┼══════════════┼═════════════════┼══════════════════┼══════════════┼═══════════┼════════════┼════════════════════════┼═══════════┼════════════┼═══════════┼═══════════┼═══════════┼═══════════┼═══════════┼═══════════┼═══════════┼═══════════┼═══════════┼═══════════┼═══════════┼═══════════┤
│19 │Зимецкий │от 101 - до│ + │ - │ │1442900,00 │ 0,625 │ │ 0,025 │ 901813,00 │ 87175,25 │ 69138,99 │ 69138,99 │ 75151,08 │ 75151,08 │ 75151,08 │ 75151,08 │ 75151,08 │ 75151,08 │ 75151,08 │ 75151,08 │ 75151,13 │
│ │ │900 │ │ │ │ │ │ │ │ │ │ │ │ │ │ │ │ │ │ │ │ │
├═══┼══════════════════════┼══════════════┼═════════════════┼══════════════════┼══════════════┼═══════════┼════════════┼════════════════════════┼═══════════┼════════════┼═══════════┼═══════════┼═══════════┼═══════════┼═══════════┼═══════════┼═══════════┼═══════════┼═══════════┼═══════════┼═══════════┼═══════════┤
│20 │Бересневский │от 101 - до│ + │ - │ │1442900,00 │ 0,625 │ │ 0,025 │ 901813,00 │ 87175,25 │ 69138,99 │ 69138,99 │ 75151,08 │ 75151,08 │ 75151,08 │ 75151,08 │ 75151,08 │ 75151,08 │ 75151,08 │ 75151,08 │ 75151,13 │
│ │ │900 │ │ │ │ │ │ │ │ │ │ │ │ │ │ │ │ │ │ │ │ │
├═══┼══════════════════════┼══════════════┼═════════════════┼══════════════════┼══════════════┼═══════════┼════════════┼════════════════════════┼═══════════┼════════════┼═══════════┼═══════════┼═══════════┼═══════════┼═══════════┼═══════════┼═══════════┼═══════════┼═══════════┼═══════════┼═══════════┼═══════════┤
│21 │Засижьевский │от 101 - до│ + │ - │ │1442900,00 │ 0,625 │ │ 0,025 │ 901813,00 │ 87175,25 │ 69138,99 │ 69138,99 │ 75151,08 │ 75151,08 │ 75151,08 │ 75151,08 │ 75151,08 │ 75151,08 │ 75151,08 │ 75151,08 │ 75151,13 │
│ │ │900 │ │ │ │ │ │ │ │ │ │ │ │ │ │ │ │ │ │ │ │ │
├═══┼══════════════════════┼══════════════┼═════════════════┼══════════════════┼══════════════┼═══════════┼════════════┼════════════════════════┼═══════════┼════════════┼═══════════┼═══════════┼═══════════┼═══════════┼═══════════┼═══════════┼═══════════┼═══════════┼═══════════┼═══════════┼═══════════┼═══════════┤
│22 │Ольховский │от 101 - до│ + │ - │ │1442900,00 │ 0,625 │ │ 0,025 │ 901813,00 │ 87175,25 │ 69138,99 │ 69138,99 │ 75151,08 │ 75151,08 │ 75151,08 │ 75151,08 │ 75151,08 │ 75151,08 │ 75151,08 │ 75151,08 │ 75151,13 │
│ │ │900 │ │ │ │ │ │ │ │ │ │ │ │ │ │ │ │ │ │ │ │ │
├═══┼══════════════════════┼══════════════┼═════════════════┼══════════════════┼══════════════┼═══════════┼════════════┼════════════════════════┼═══════════┼════════════┼═══════════┼═══════════┼═══════════┼═══════════┼═══════════┼═══════════┼═══════════┼═══════════┼═══════════┼═══════════┼═══════════┼═══════════┤
│23 │Зайцевский │от 101 - до│ + │ - │ │1442900,00 │ 0,625 │ │ 0,025 │ 901813,00 │ 87175,25 │ 69138,99 │ 69138,99 │ 75151,08 │ 75151,08 │ 75151,08 │ 75151,08 │ 75151,08 │ 75151,08 │ 75151,08 │ 75151,08 │ 75151,13 │
│ │ │900 │ │ │ │ │ │ │ │ │ │ │ │ │ │ │ │ │ │ │ │ │
├═══┼══════════════════════┼══════════════┼═════════════════┼══════════════════┼══════════════┼═══════════┼════════════┼════════════════════════┼═══════════┼════════════┼═══════════┼═══════════┼═══════════┼═══════════┼═══════════┼═══════════┼═══════════┼═══════════┼═══════════┼═══════════┼═══════════┼═══════════┤
│24 │Ярцевский │от 101 - до│ + │ - │ │1442900,00 │ 0,625 │ │ 0,025 │ 901813,00 │ 87175,25 │ 69138,99 │ 69138,99 │ 75151,08 │ 75151,08 │ 75151,08 │ 75151,08 │ 75151,08 │ 75151,08 │ 75151,08 │ 75151,08 │ 75151,13 │
│ │ │900 │ │ │ │ │ │ │ │ │ │ │ │ │ │ │ │ │ │ │ │ │
├═══┼══════════════════════┼══════════════┼═════════════════┼══════════════════┼══════════════┼═══════════┼════════════┼════════════════════════┼═══════════┼════════════┼═══════════┼═══════════┼═══════════┼═══════════┼═══════════┼═══════════┼═══════════┼═══════════┼═══════════┼═══════════┼═══════════┼═══════════┤
│25 │Мушковичский │от 101 - до│ + │ - │ │1442900,00 │ 0,625 │ │ 0,025 │ 901813,00 │ 87175,25 │ 69138,99 │ 69138,99 │ 75151,08 │ 75151,08 │ 75151,08 │ 75151,08 │ 75151,08 │ 75151,08 │ 75151,08 │ 75151,08 │ 75151,13 │
│ │ │900 │ │ │ │ │ │ │ │ │ │ │ │ │ │ │ │ │ │ │ │ │
├═══┼══════════════════════┼══════════════┼═════════════════┼══════════════════┼══════════════┼═══════════┼════════════┼════════════════════════┼═══════════┼════════════┼═══════════┼═══════════┼═══════════┼═══════════┼═══════════┼═══════════┼═══════════┼═══════════┼═══════════┼═══════════┼═══════════┼═══════════┤
│26 │Старосельский │от 101 - до│ + │ - │ │1442900,00 │ 0,625 │ │ 0,025 │ 901813,00 │ 87175,25 │ 69138,99 │ 69138,99 │ 75151,08 │ 75151,08 │ 75151,08 │ 75151,08 │ 75151,08 │ 75151,08 │ 75151,08 │ 75151,08 │ 75151,13 │
│ │ │900 │ │ │ │ │ │ │ │ │ │ │ │ │ │ │ │ │ │ │ │ │
├═══┼══════════════════════┼══════════════┼═════════════════┼══════════════════┼══════════════┼═══════════┼════════════┼════════════════════════┼═══════════┼════════════┼═══════════┼═══════════┼═══════════┼═══════════┼═══════════┼═══════════┼═══════════┼═══════════┼═══════════┼═══════════┼═══════════┼═══════════┤
│27 │Третьяковский │от 101 - до│ + │ - │ │1442900,00 │ 0,625 │ │ 0,025 │ 901813,00 │ 87175,25 │ 69138,99 │ 69138,99 │ 75151,08 │ 75151,08 │ 75151,08 │ 75151,08 │ 75151,08 │ 75151,08 │ 75151,08 │ 75151,08 │ 75151,13 │
│ │ │900 │ │ │ │ │ │ │ │ │ │ │ │ │ │ │ │ │ │ │ │ │
├═══┼══════════════════════┼══════════════┼═════════════════┼══════════════════┼══════════════┼═══════════┼════════════┼════════════════════════┼═══════════┼════════════┼═══════════┼═══════════┼═══════════┼═══════════┼═══════════┼═══════════┼═══════════┼═══════════┼═══════════┼═══════════┼═══════════┼═══════════┤
│28 │Петрищевский │от 101 - до│ + │ - │ │1442900,00 │ 0,625 │ │ 0,025 │ 901813,00 │ 87175,25 │ 69138,99 │ 69138,99 │ 75151,08 │ 75151,08 │ 75151,08 │ 75151,08 │ 75151,08 │ 75151,08 │ 75151,08 │ 75151,08 │ 75151,13 │
│ │ │900 │ │ │ │ │ │ │ │ │ │ │ │ │ │ │ │ │ │ │ │ │
├═══┼══════════════════════┼══════════════┼═════════════════┼══════════════════┼══════════════┼═══════════┼════════════┼════════════════════════┼═══════════┼════════════┼═══════════┼═══════════┼═══════════┼═══════════┼═══════════┼═══════════┼═══════════┼═══════════┼═══════════┼═══════════┼═══════════┼═══════════┤
│29 │Федоровский │от 101 - до│ + │ - │ │1442900,00 │ 0,625 │ │ 0,025 │ 901813,00 │ 87175,25 │ 69138,99 │ 69138,99 │ 75151,08 │ 75151,08 │ 75151,08 │ 75151,08 │ 75151,08 │ 75151,08 │ 75151,08 │ 75151,08 │ 75151,13 │
│ │ │900 │ │ │ │ │ │ │ │ │ │ │ │ │ │ │ │ │ │ │ │ │
├═══┼══════════════════════┼══════════════┼═════════════════┼══════════════════┼══════════════┼═══════════┼════════════┼════════════════════════┼═══════════┼════════════┼═══════════┼═══════════┼═══════════┼═══════════┼═══════════┼═══════════┼═══════════┼═══════════┼═══════════┼═══════════┼═══════════┼═══════════┤
│30 │Воронцовский │от 101 - до│ + │ - │ │1442900,00 │ 0,625 │ │ 0,025 │ 901813,00 │ 87175,25 │ 69138,99 │ 69138,99 │ 75151,08 │ 75151,08 │ 75151,08 │ 75151,08 │ 75151,08 │ 75151,08 │ 75151,08 │ 75151,08 │ 75151,13 │
│ │ │900 │ │ │ │ │ │ │ │ │ │ │ │ │ │ │ │ │ │ │ │ │
├═══┼══════════════════════┼══════════════┼═════════════════┼══════════════════┼══════════════┼═══════════┼════════════┼════════════════════════┼═══════════┼════════════┼═══════════┼═══════════┼═══════════┼═══════════┼═══════════┼═══════════┼═══════════┼═══════════┼═══════════┼═══════════┼═══════════┼═══════════┤
│31 │Михейковский │от 901 - до│ + │ - │ │2885800,00 │ 0,430 │ │ │ 1240894,00 │ 120241,67 │ 94990,91 │ 94990,91 │ 103407,83 │ 103407,83 │ 103407,83 │ 103407,83 │ 103407,83 │ 103407,83 │ 103407,83 │ 103407,83 │ 103407,87 │
│ │ │1500 │ │ │ │ │ │ │ │ │ │ │ │ │ │ │ │ │ │ │ │ │
├═══┼══════════════════════┼══════════════┼═════════════════┼══════════════════┼══════════════┼═══════════┼════════════┼════════════════════════┼═══════════┼════════════┼═══════════┼═══════════┼═══════════┼═══════════┼═══════════┼═══════════┼═══════════┼═══════════┼═══════════┼═══════════┼═══════════┼═══════════┤
│32 │Пречистенский │от 901 - до│ + │ - │ │2885800,00 │ 0,750 │ │ │ 2164350,00 │ 180362,50 │ 180362,50 │ 180362,50 │ 180362,50 │ 180362,50 │ 180362,50 │ 180362,50 │ 180362,50 │ 180362,50 │ 180362,50 │ 180362,50 │ 180362,50 │
│ │ │1500 │ │ │ │ │ │ │ │ │ │ │ │ │ │ │ │ │ │ │ │ │
├═══┼══════════════════════┼══════════════┼═════════════════┼══════════════════┼══════════════┼═══════════┼════════════┼════════════════════════┼═══════════┼════════════┼═══════════┼═══════════┼═══════════┼═══════════┼═══════════┼═══════════┼═══════════┼═══════════┼═══════════┼═══════════┼═══════════┼═══════════┤
│32 │ИТОГО │ │ │ │ │ │ │ │ │22758150,86 │2158338,84 │1788595,52 │1788595,52 │1891402,23 │1891402,23 │1891402,23 │1891402,23 │1891402,23 │1891402,23 │1891402,23 │1891402,23 │1891403,14 │
├═══┼══════════════════════┼══════════════┼═════════════════┼══════════════════┼══════════════┼═══════════┼════════════┼════════════════════════┼═══════════┼════════════┼═══════════┼═══════════┼═══════════┼═══════════┼═══════════┼═══════════┼═══════════┼═══════════┼═══════════┼═══════════┼═══════════┼═══════════┤
│400│ВСЕГО │ │ │ │ │ │ │ │ │353390595,96│31476280,61│27505167,42│27860522,03│29022787,12│29004750,87│28930201,04│29931814,18│29931814,18│29931814,18│29931814,18│29931814,18│29931815,97│
└═══┴══════════════════════┴══════════════┴═════════════════┴══════════════════┴══════════════┴═══════════┴════════════┴════════════════════════┴═══════════┴════════════┴═══════════┴═══════════┴═══════════┴═══════════┴═══════════┴═══════════┴═══════════┴═══════════┴═══════════┴═══════════┴═══════════┴═══════════…
Изменения по решению Комиссии от
03.03.2025.
1. В связи с обращением ОГБУЗ
"Руднянская ЦРБ" с 01.02.20245 на основании
увеличения занятых ставок и заключения
договоров безвозмездного пользования
нежилыми помещениями с правом
использования под размещение
фельдшерско-акушерских пунктов
пересмотрено финансовое обеспечение
Борковского ФАП, Карташевичского ФАП,
Лешнянского ФАП, Переволоческого ФАП.
2. Изменение с 01.02.2025 коэффициентов
специфики оказания медицинской помощи
для ФАП обслуживающих от 101 до 900 жителей
с "0,7" на "0,6", с "0,5" на "0,43"; для ФАП
обслуживающих от 901 до 1500 жителей с "0,5" на
"0,43"; для ФАП обслуживающих от 1501 до 2000
жителей с "0,5" на "0,43".
3. В связи с обращением ОГБУЗ
"Руднянская ЦРБ" с 01.03.20245 на основании
увеличения занятых ставок и заключения
договора безвозмездного пользования
нежилым помещением с правом
использования под размещение
фельдшерско-акушерского пункта,
пересмотрено финансовое обеспечение
Стайского ФАП.
Изменения по решению Комиссии от
27.03.2025.
1. В связи с обращением ОГБУЗ
"Вяземская ЦРБ" принят к финансированию с
01.01.2025 Знаменский ФП (изменения отражены
с марта) и изменением занятых ставок и
численности обслуживаемого населения
Вязьма-Брянского ФАП с 01.02.2025 (изменения
отражены с марта).
2. Обращение ОГБУЗ "Краснинская ЦРБ"
по изменению финансового обеспечения с
01.04.2025 в свзи с увеличением занятых
ставок в Алушковском ФАП.
Изменения по решению Комиссии от
23.04.2025.
1. В связи с актуализацией
информации по фельдшерско-акушерским
пунктам, полученной от медицинских
организаций по итогам 1 квартала 2025 года:
ОГБУЗ "Вяземская ЦРБ" применен
коэффициент специфики возложения
обязанностей акушерки на фельдшера в
Знаменском ФАП с 01.01.2025 (изменения за
январь-март отражены в апреле).
ОГБУЗ "Смоленская ЦРБ" увеличение
занятых ставок изменение коэффициента с
"0,15" до "0,6" в Сыр-Липецком, Почаевском,
Раевском ФАП.
ОГБУЗ "Гагаринская ЦРБ" уменьшение
занятых ставок изменение коэффициента с
"1" до "0,15" в Ивашковском ФАП.
ОГБУЗ "Ярцевская ЦРБ" уменьшение
занятых ставок изменение коэффициента с
"1" до "0,5" в Добринском ФАП.
2. Обращение ОГБУЗ "Краснинская ЦРБ"
о прекращении деятельности
Гребеневского ФАП.
Изменения по решению Комиссии от
25.06.2025.
1. Обращение ОГБУЗ "Ельнинская ЦРБ"
по изменению финансового обеспечения с
01.06.2025 в свзи с уменьшением занятых
ставок в Павловском ФАП (изменение
коэффициента с "0,6" до "0,15") и Шараповском
ФАП (изменение коэффициента с "0,6" до "0,43").
Изменения по решению Комиссии от
25.07.2025.
1. В связи с актуализацией
информации по фельдшерско-акушерским
пунктам, полученной от медицинских
организаций по итогам 2 квартала 2025 года:
ОГБУЗ "Смоленская ЦРБ" уменьшение
занятых ставок с изменением
коэффициента специфики с "0,6" до "0,15" в
Раевском ФАП.
ОГБУЗ "Сафоновская ЦРБ" увеличение
занятых ставок с изменением
коэффициента специфики с "0,275" до "0,455" в
Барановском ФАП.
ОГБУЗ "Сычевская ЦРБ" уменьшение
занятых ставок с изменением
коэффициента специфики с "0,43" до "0,15" в
Рябинковском ФАП.
ОГБУЗ "Починковская ЦРБ" увеличение
занятых ставок санитаров с увеличением
коэффициента специфики в 25 ФАП.
Приложение 2.3
к Тарифному соглашению
на 2025 год
от 27.12.2024
ПЕРЕЧЕНЬ МЕДИЦИНСКИХ ОРГАНИЗАЦИЙ С
УЧЕТОМ НАЛИЧИЯ У НИХ ПОДРАЗДЕЛЕНИЙ,
РАСПОЛОЖЕННЫХ В СЕЛЬСКОЙ МЕСТНОСТИ,
ОТДАЛЕННЫХ ТЕРРИТОРИЯХ, ПОСЕЛКАХ
ГОРОДСКОГО ТИПА И МАЛЫХ ГОРОДАХ С
ЧИСЛЕННОСТЬЮ НАСЕЛЕНИЯ ДО 50 ТЫСЯЧ
ЧЕЛОВЕК, КОЭФФИЦИЕНТ ДИФФЕРЕНЦИАЦИИ
N п/п |
Наименование МО |
Численность, чел. |
Коэффициент дифференциации на прикрепившихся к медицинской организации лиц с учетом наличия подразделений, расположенных в сельской местности, отдаленных территориях, поселках городского типа и малых городах с численностью населения до 50 тысяч человек, и расходов на их содержание и оплату труда персонала (до 20 тыс. чел. - не менее 1,113, свыше 20 тыс. чел. - не менее 1,04) (КДот) |
1 |
ФГБУ "МСЧ N 135" ФМБА России |
свыше 20 тыс. |
1,040 |
2 |
ОГБУЗ "Велижская ЦРБ" |
до 20 тыс. |
1,113 |
3 |
ОГБУЗ "Гагаринская ЦРБ" |
свыше 20 тыс. |
1,040 |
4 |
ОГБУЗ "Демидовская ЦРБ" |
до 20 тыс. |
1,113 |
5 |
ОГБУЗ "Дорогобужская ЦРБ" |
свыше 20 тыс. |
1,040 |
6 |
ОГБУЗ "Ельнинская ЦРБ" |
до 20 тыс. |
1,113 |
7 |
ОГБУЗ "Кардымовская ЦРБ" |
до 20 тыс. |
1,113 |
8 |
ОГБУЗ "Краснинская ЦРБ" |
до 20 тыс. |
1,113 |
9 |
ОГБУЗ "Монастырщинская ЦРБ" |
до 20 тыс. |
1,113 |
10 |
ОГБУЗ "Починковская РБ" |
свыше 20 тыс. |
1,040 |
11 |
ОГБУЗ "Руднянская ЦРБ" |
свыше 20 тыс. |
1,040 |
12 |
ОГБУЗ "Сафоновская ЦРБ" |
свыше 20 тыс. |
1,040 |
13 |
ОГБУЗ "Смоленская ЦРБ" |
свыше 20 тыс. |
1,040 |
14 |
ОГБУЗ "Сычевская ЦРБ" |
свыше 20 тыс. |
1,040 |
15 |
ОГБУЗ "Хиславичская ЦРБ" |
до 20 тыс. |
1,113 |
16 |
ОГБУЗ "Ярцевская ЦРБ" |
свыше 20 тыс. |
1,040 |
Приложение 2.4
к Тарифному соглашению
на 2025 год
от 27.12.2024
ТАРИФЫ НА ДИАГНОСТИЧЕСКИЕ (ЛАБОРАТОРНЫЕ)
ИССЛЕДОВАНИЯ
(в
ред. Дополнительного соглашения к
Тарифному соглашению в системе
обязательного медицинского страхования
Смоленской области от 03.03.2025 N 2)
N п/п |
Наименование |
Средний норматив финансовых затрат, тариф (рублей) |
1 |
Компьютерная томография |
3438,90 |
1 |
Компьютерная томография (без анестезиологического пособия, без внутривенного контрастирования) |
3074,39 |
2 |
Компьютерная томография с анестезиологическим пособием |
7796,00 |
3 |
Компьютерная томография с внутривенным контрастированием |
5507,00 |
4 |
Динамическая сцинтиграфия почек |
2559,00 |
5 |
Статическая сцинтиграфия печени |
2592,00 |
6 |
Статическая сцинтиграфия скелета |
9170,00 |
7 |
Сцинтиграфия щитовидной железы |
1976,00 |
2 |
Магнитно-резонансная томография |
4695,50 |
1 |
Магнитно-резонансная томография без применения внутривенного контрастного усиления |
3542,72 |
2 |
Магнитно-резонансная томография с применением внутривенного контрастного усиления |
7564,00 |
3 |
Магнитно-резонансная томография без применения внутривенного контрастного усиления с анестезиологическим пособием |
11878,00 |
4 |
МРТ-исследования с применением внутривенного контрастного усиления с анестезиологическим пособием |
13337,00 |
3 |
Ультразвуковое исследование сердечно-сосудистой системы |
694,40 |
1 |
Ультразвуковое исследование сердца (эхокардиография) |
429,96 |
2 |
Ультразвуковое исследование брахеоцефальных артерий |
958,00 |
3 |
Ультразвуковое исследование нижних конечностей |
979,00 |
4 |
Эхокардиография с физической нагрузкой |
5200,00 |
4 |
Эндоскопическое диагностическое исследование |
1273,30 |
1 |
Колоноскопия |
2563,00 |
2 |
Колоноскопия с анестезиологическим пособием |
3967,00 |
3 |
Бронхоскопия |
2432,00 |
4 |
Фиброгастродуоденоскопия |
1052,47 |
5 |
Молекулярно-генетическое исследование с целью диагностики онкологических заболеваний |
10693,20 |
1 |
Определение мутаций гена PIK3CA в тканях опухоли |
4000,00 |
2 |
Молекулярно-генетическое исследование мутаций в гене BRAF |
5210,00 |
3 |
Молекулярно-генетическое исследование мутаций в гене EGFR |
4733,38 |
4 |
Молекулярно-генетическое исследование мутаций в гене KRAS |
7036,00 |
5 |
Молекулярно-генетическое исследование мутаций в гене NRAS |
7036,00 |
6 |
FISH HER2 |
8370,00 |
7 |
Молекулярно-генетическое исследование мутаций в гене BRCA 1/BRCA2 |
17570,78 |
8 |
Определение микросателлитной нестабильности MSI |
4733,00 |
9 |
Молекулярно-генетическое исследование гена ALK методом флюоресцентной гибридизации in situ (FISH) |
4733,00 |
10 |
Определение PD-L1 статуса опухоли |
17015,00 |
11 |
Молекулярно-генетическое исследование мутаций в гене ROS-I |
4733,00 |
12 |
Молекулярно-генетическое исследование мутаций в гене C-Kit |
8416,00 |
6 |
Патолого-анатомические исследования биопсийного (операционного) материала с целью диагностики онкологических заболеваний и подбора противоопухолевой лекарственной терапии |
2637,10 |
7 |
ПЭТ-КТ |
35414,40 |
8 |
ОФЭКТ/ОФЭКТ-КТ |
4859,60 |
Приложение 2.5
к Тарифному соглашению
на 2025 год
от 27.12.2024
ПОЛОВОЗРАСТНЫЕ КОЭФФИЦИЕНТЫ
ДИФФЕРЕНЦИАЦИИ ПОДУШЕВОГО НОРМАТИВА
ФИНАНСИРОВАНИЯ
АМБУЛАТОРНО-ПОЛИКЛИНИЧЕСКОЙ
МЕДИЦИНСКОЙ ПОМОЩИ ДЛЯ КАЖДОЙ
ПОЛОВОЗРАСТНОЙ ГРУППЫ (ПОДГРУППЫ)
Половозрастная группа |
|
Половозрастные коэффициенты дифференциации (Кдпв) |
0 - до 1 года |
муж. |
4,4147 |
|
жен. |
4,5222 |
1 - 4 года |
муж. |
3,6041 |
|
жен. |
3,5951 |
5 - 17 лет |
муж. |
2,1125 |
|
жен. |
2,0843 |
18 - 64 лет |
муж. |
0,4265 |
|
жен. |
0,7399 |
65 лет и старше |
муж. |
1,6000 |
|
жен. |
1,6000 |
Приложение 2.6
к Тарифному соглашению
на 2025 год
от 27.12.2024
ДИФФЕРЕНЦИРОВАННЫЙ ПОДУШЕВОЙ НОРМАТИВ,
КОЭФФИЦИЕНТЫ ДИФФЕРЕНЦИАЦИИ ДЛЯ
ФИНАНСИРОВАНИЯ МЕДИЦИНСКОЙ ПОМОЩИ,
ОКАЗЫВАЕМОЙ В АМБУЛАТОРНЫХ УСЛОВИЯХ
(в ред. Дополнительного соглашения к Тарифному соглашению в системе обязательного медицинского страхования Смоленской области от 25.07.2025 N 7)
┌═════════════════════════════════════════════════════════════════════════════════════════════════════════════════════════════════┬═══════════════════┬═══════════════════┬═══════════════════┬═══════════════════┬═══════════════════┬═══════════════════┬═══════════════════┬═══════════════════┬═══════════════════┬═══════════════════┬═══════════════════┬═══════════════════‰
│Период │ январь │ февраль │ март │ апрель │ май │ июнь │ июль │ август │ сентябрь │ октябрь │ ноябрь │ декабрь │
├═════════════════════════════════════════════════════════════════════════════════════════════════════════════════════════════════┼═══════════════════┼═══════════════════┼═══════════════════┼═══════════════════┼═══════════════════┼═══════════════════┼═══════════════════┼═══════════════════┼═══════════════════┼═══════════════════┼═══════════════════┼═══════════════════┤
│Средний размер финансового обеспечения медицинской помощи в амбулаторных условиях, на 1 застрахованное лицо (на год),│ 7827,61 │ 7827,61 │ 7827,61 │ 7827,61 │ 7827,61 │ 7827,61 │ 7827,61 │ 7827,61 │ 7827,61 │ 7827,61 │ 7827,61 │ 7827,61 │
│ФОАМБср, рублей │ │ │ │ │ │ │ │ │ │ │ │ │
├═════════════════════════════════════════════════════════════════════════════════════════════════════════════════════════════════┼═══════════════════┼═══════════════════┼═══════════════════┼═══════════════════┼═══════════════════┼═══════════════════┼═══════════════════┼═══════════════════┼═══════════════════┼═══════════════════┼═══════════════════┼═══════════════════┤
│Базовый (средний) подушевой норматив финансирования в амбулаторных условиях, на 1 застрахованное лицо (на год), Пнбаз,│ 1508,43 │ 1564,34 │ 1564,97 │ 1565,35 │ 1567,24 │ 1568,81 │ 1563,23 │ 1563,23 │ 1563,23 │ 1563,23 │ 1563,23 │ 1563,23 │
│рублей │ │ │ │ │ │ │ │ │ │ │ │ │
├═════════════════════════════════════════════════════════════════════════════════════════════════════════════════════════════════┼═══════════════════┼═══════════════════┼═══════════════════┼═══════════════════┼═══════════════════┼═══════════════════┼═══════════════════┼═══════════════════┼═══════════════════┼═══════════════════┼═══════════════════┼═══════════════════┤
│Базовый (средний) подушевой норматив финансирования в амбулаторных условиях, на 1 застрахованное лицо (на месяц), Пнбаз│ 125,70 │ 130,79 │ 130,85 │ 130,89 │ 131,13 │ 131,35 │ 130,42 │ 130,42 │ 130,42 │ 130,42 │ 130,42 │ 130,42 │
│(мес), рублей │ │ │ │ │ │ │ │ │ │ │ │ │
├════════════════┬═══════════════┬══════════════┬═════════════┬════════════════┬═══════════════┬══════════════┬═══════════════════┼═══════════════════┼═══════════════════┼═══════════════════┼═══════════════════┼═══════════════════┼═══════════════════┼═══════════════════┼═══════════════════┼═══════════════════┼═══════════════════┼═══════════════════┼═══════════════════┤
│ Наименование │ Коэффициент │ Коэффициент │ Коэффициент │ Коэффициент │ Коэффициент │ Численность │Дифференцированный │Дифференцированный │Дифференцированный │Дифференцированный │Дифференцированный │Дифференцированный │Дифференцированный │Дифференцированный │Дифференцированный │Дифференцированный │Дифференцированный │Дифференцированный │Дифференцированный │
│ медицинских │половозрастного│дифференциации│ уровня │ достижения │дифференциации,│застрахованных│подушевой норматив │подушевой норматив │подушевой норматив │подушевой норматив │подушевой норматив │подушевой норматив │подушевой норматив │подушевой норматив │подушевой норматив │подушевой норматив │подушевой норматив │подушевой норматив │подушевой норматив │
│ организаций │состава (КДпв) │ на │ расходов │ уровня целевых │рассчитанный в │ лиц на │ финансирования │ финансирования │ финансирования │ финансирования │ финансирования │ финансирования │ финансирования │ финансирования │ финансирования │ финансирования │ финансирования │ финансирования │ финансирования │
│ │ │прикрепившихся│ медицинских │ показателей │соответствии с │ 01.07.2025 │ (ДПн) (год), руб. │(ДПн) (месяц), руб.│(ДПн) (месяц), руб.│(ДПн) (месяц), руб.│(ДПн) (месяц), руб.│(ДПн) (месяц), руб.│(ДПн) (месяц), руб.│(ДПн) (месяц), руб.│(ДПн) (месяц), руб.│(ДПн) (месяц), руб.│(ДПн) (месяц), руб.│(ДПн) (месяц), руб.│(ДПн) (месяц), руб.│
│ │ │к медицинской │ организаций │ уровня │Постановлением │ │ │ январь │ февраль │ март │ апрель │ май │ июнь │ июль │ август │ сентябрь │ октябрь │ ноябрь │ декабрь │
│ │ │ организации │(особенности │заработной платы│ Правительства │ │ │ │ │ │ │ │ │ │ │ │ │ │ │
│ │ │ лиц с учетом │ плотности │ медицинских │ РФ от │ │ │ │ │ │ │ │ │ │ │ │ │ │ │
│ │ │ наличия │ населения, │ работников, │ 05.05.2012 N │ │ │ │ │ │ │ │ │ │ │ │ │ │ │
│ │ │подразделений,│транспортной │предусмотренного│ 462 г. (КД) │ │ │ │ │ │ │ │ │ │ │ │ │ │ │
│ │ │расположенных │доступности, │ "дорожными │ │ │ │ │ │ │ │ │ │ │ │ │ │ │ │
│ │ │ в сельской │климатических│ картами" │ │ │ │ │ │ │ │ │ │ │ │ │ │ │ │
│ │ │ местности, │ и │ развития │ │ │ │ │ │ │ │ │ │ │ │ │ │ │ │
│ │ │ отдаленных │геграфических│здравоохранения │ │ │ │ │ │ │ │ │ │ │ │ │ │ │ │
│ │ │ территориях, │особенностей,│ (КДзп) │ │ │ │ │ │ │ │ │ │ │ │ │ │ │ │
│ │ │ поселках │ площади │ │ │ │ │ │ │ │ │ │ │ │ │ │ │ │ │
│ │ │ городского │ медицинской │ │ │ │ │ │ │ │ │ │ │ │ │ │ │ │ │
│ │ │ типа и малых │организации) │ │ │ │ │ │ │ │ │ │ │ │ │ │ │ │ │
│ │ │ городах с │ (КДур) │ │ │ │ │ │ │ │ │ │ │ │ │ │ │ │ │
│ │ │ численностью │ │ │ │ │ │ │ │ │ │ │ │ │ │ │ │ │ │
│ │ │ населения до │ │ │ │ │ │ │ │ │ │ │ │ │ │ │ │ │ │
│ │ │ 50 тысяч │ │ │ │ │ │ │ │ │ │ │ │ │ │ │ │ │ │
│ │ │ человек, и │ │ │ │ │ │ │ │ │ │ │ │ │ │ │ │ │ │
│ │ │расходов на их│ │ │ │ │ │ │ │ │ │ │ │ │ │ │ │ │ │
│ │ │ содержание и │ │ │ │ │ │ │ │ │ │ │ │ │ │ │ │ │ │
│ │ │ оплату труда │ │ │ │ │ │ │ │ │ │ │ │ │ │ │ │ │ │
│ │ │персонала (до │ │ │ │ │ │ │ │ │ │ │ │ │ │ │ │ │ │
│ │ │20 тыс. чел - │ │ │ │ │ │ │ │ │ │ │ │ │ │ │ │ │ │
│ │ │ не менее │ │ │ │ │ │ │ │ │ │ │ │ │ │ │ │ │ │
│ │ │ 1,113, свыше │ │ │ │ │ │ │ │ │ │ │ │ │ │ │ │ │ │
│ │ │20 тыс. чел. -│ │ │ │ │ │ │ │ │ │ │ │ │ │ │ │ │ │
│ │ │не менее 1,04)│ │ │ │ │ │ │ │ │ │ │ │ │ │ │ │ │ │
│ │ │ (КДот) │ │ │ │ │ │ │ │ │ │ │ │ │ │ │ │ │ │
├════════════════┼═══════════════┼══════════════┼═════════════┼════════════════┼═══════════════┼══════════════┼═══════════════════┼═══════════════════┼═══════════════════┼═══════════════════┼═══════════════════┼═══════════════════┼═══════════════════┼═══════════════════┼═══════════════════┼═══════════════════┼═══════════════════┼═══════════════════┼═══════════════════┤
│ОГБУЗ "Велижская│ 1,11193467 │ 1,11300000 │ 1,00000000 │ 1,00000000 │ 1,00000000 │ 9161 │ 1934,63 │ 155,57 │ 161,86 │ 161,94 │ 161,99 │ 162,28 │ 162,56 │ 161,41 │ 161,41 │ 161,41 │ 161,41 │ 161,41 │ 161,38 │
│ЦРБ" │ │ │ │ │ │ │ │ │ │ │ │ │ │ │ │ │ │ │ │
├════════════════┼═══════════════┼══════════════┼═════════════┼════════════════┼═══════════════┼══════════════┼═══════════════════┼═══════════════════┼═══════════════════┼═══════════════════┼═══════════════════┼═══════════════════┼═══════════════════┼═══════════════════┼═══════════════════┼═══════════════════┼═══════════════════┼═══════════════════┼═══════════════════┤
│ОГБУЗ "Вяземская│ 1,09585645 │ 1,00000000 │ 1,00000000 │ 1,00000000 │ 1,00000000 │ 67054 │ 1713,08 │ 137,75 │ 143,32 │ 143,39 │ 143,44 │ 143,70 │ 143,94 │ 142,92 │ 142,92 │ 142,92 │ 142,92 │ 142,92 │ 142,94 │
│ЦРБ" │ │ │ │ │ │ │ │ │ │ │ │ │ │ │ │ │ │ │ │
├════════════════┼═══════════════┼══════════════┼═════════════┼════════════════┼═══════════════┼══════════════┼═══════════════════┼═══════════════════┼═══════════════════┼═══════════════════┼═══════════════════┼═══════════════════┼═══════════════════┼═══════════════════┼═══════════════════┼═══════════════════┼═══════════════════┼═══════════════════┼═══════════════════┤
│ОГБУЗ │ 1,13808240 │ 1,04000000 │ 1,00000000 │ 1,00000000 │ 1,00000000 │ 36423 │ 1850,25 │ 148,78 │ 154,80 │ 154,87 │ 154,92 │ 155,20 │ 155,47 │ 154,37 │ 154,37 │ 154,37 │ 154,37 │ 154,37 │ 154,36 │
│"Гагаринская │ │ │ │ │ │ │ │ │ │ │ │ │ │ │ │ │ │ │ │
│ЦРБ" │ │ │ │ │ │ │ │ │ │ │ │ │ │ │ │ │ │ │ │
├════════════════┼═══════════════┼══════════════┼═════════════┼════════════════┼═══════════════┼══════════════┼═══════════════════┼═══════════════════┼═══════════════════┼═══════════════════┼═══════════════════┼═══════════════════┼═══════════════════┼═══════════════════┼═══════════════════┼═══════════════════┼═══════════════════┼═══════════════════┼═══════════════════┤
│ОГБУЗ │ 1,07942049 │ 1,11300000 │ 1,00000000 │ 1,00000000 │ 1,00000000 │ 10408 │ 1878,06 │ 151,02 │ 157,12 │ 157,20 │ 157,25 │ 157,54 │ 157,80 │ 156,69 │ 156,69 │ 156,69 │ 156,69 │ 156,69 │ 156,68 │
│"Демидовская │ │ │ │ │ │ │ │ │ │ │ │ │ │ │ │ │ │ │ │
│ЦРБ" │ │ │ │ │ │ │ │ │ │ │ │ │ │ │ │ │ │ │ │
├════════════════┼═══════════════┼══════════════┼═════════════┼════════════════┼═══════════════┼══════════════┼═══════════════════┼═══════════════════┼═══════════════════┼═══════════════════┼═══════════════════┼═══════════════════┼═══════════════════┼═══════════════════┼═══════════════════┼═══════════════════┼═══════════════════┼═══════════════════┼═══════════════════┤
│ОГБУЗ │ 1,10818840 │ 1,04000000 │ 1,00000000 │ 1,00000000 │ 1,00000000 │ 22438 │ 1801,65 │ 144,87 │ 150,73 │ 150,80 │ 150,85 │ 151,13 │ 151,38 │ 150,31 │ 150,31 │ 150,31 │ 150,31 │ 150,31 │ 150,34 │
│"Дорогобужская │ │ │ │ │ │ │ │ │ │ │ │ │ │ │ │ │ │ │ │
│ЦРБ" │ │ │ │ │ │ │ │ │ │ │ │ │ │ │ │ │ │ │ │
├════════════════┼═══════════════┼══════════════┼═════════════┼════════════════┼═══════════════┼══════════════┼═══════════════════┼═══════════════════┼═══════════════════┼═══════════════════┼═══════════════════┼═══════════════════┼═══════════════════┼═══════════════════┼═══════════════════┼═══════════════════┼═══════════════════┼═══════════════════┼═══════════════════┤
│ОГБУЗ │ 1,09304314 │ 1,11300000 │ 1,00000000 │ 1,00000000 │ 1,00000000 │ 13138 │ 1901,76 │ 152,92 │ 159,11 │ 159,18 │ 159,24 │ 159,52 │ 159,79 │ 158,66 │ 158,66 │ 158,66 │ 158,66 │ 158,66 │ 158,70 │
│"Ельнинская МБ" │ │ │ │ │ │ │ │ │ │ │ │ │ │ │ │ │ │ │ │
├════════════════┼═══════════════┼══════════════┼═════════════┼════════════════┼═══════════════┼══════════════┼═══════════════════┼═══════════════════┼═══════════════════┼═══════════════════┼═══════════════════┼═══════════════════┼═══════════════════┼═══════════════════┼═══════════════════┼═══════════════════┼═══════════════════┼═══════════════════┼═══════════════════┤
│ОГБУЗ │ 1,06143848 │ 1,11300000 │ 1,00000000 │ 1,00000000 │ 1,00000000 │ 8516 │ 1846,77 │ 148,50 │ 154,51 │ 154,58 │ 154,63 │ 154,91 │ 155,17 │ 154,08 │ 154,08 │ 154,08 │ 154,08 │ 154,08 │ 154,07 │
│"Кардымовская │ │ │ │ │ │ │ │ │ │ │ │ │ │ │ │ │ │ │ │
│ЦРБ" │ │ │ │ │ │ │ │ │ │ │ │ │ │ │ │ │ │ │ │
├════════════════┼═══════════════┼══════════════┼═════════════┼════════════════┼═══════════════┼══════════════┼═══════════════════┼═══════════════════┼═══════════════════┼═══════════════════┼═══════════════════┼═══════════════════┼═══════════════════┼═══════════════════┼═══════════════════┼═══════════════════┼═══════════════════┼═══════════════════┼═══════════════════┤
│ОГБУЗ │ 1,07320665 │ 1,11300000 │ 1,00000000 │ 1,00000000 │ 1,00000000 │ 10161 │ 1867,25 │ 150,15 │ 156,22 │ 156,30 │ 156,35 │ 156,63 │ 156,89 │ 155,78 │ 155,78 │ 155,78 │ 155,78 │ 155,78 │ 155,81 │
│"Краснинская │ │ │ │ │ │ │ │ │ │ │ │ │ │ │ │ │ │ │ │
│ЦРБ" │ │ │ │ │ │ │ │ │ │ │ │ │ │ │ │ │ │ │ │
├════════════════┼═══════════════┼══════════════┼═════════════┼════════════════┼═══════════════┼══════════════┼═══════════════════┼═══════════════════┼═══════════════════┼═══════════════════┼═══════════════════┼═══════════════════┼═══════════════════┼═══════════════════┼═══════════════════┼═══════════════════┼═══════════════════┼═══════════════════┼═══════════════════┤
│ОГБУЗ │ 1,06033673 │ 1,11300000 │ 1,00000000 │ 1,00000000 │ 1,00000000 │ 7479 │ 1844,85 │ 148,35 │ 154,35 │ 154,42 │ 154,47 │ 154,75 │ 155,01 │ 153,92 │ 153,92 │ 153,92 │ 153,92 │ 153,92 │ 153,90 │
│"Монастырщенская│ │ │ │ │ │ │ │ │ │ │ │ │ │ │ │ │ │ │ │
│ЦРБ" │ │ │ │ │ │ │ │ │ │ │ │ │ │ │ │ │ │ │ │
├════════════════┼═══════════════┼══════════════┼═════════════┼════════════════┼═══════════════┼══════════════┼═══════════════════┼═══════════════════┼═══════════════════┼═══════════════════┼═══════════════════┼═══════════════════┼═══════════════════┼═══════════════════┼═══════════════════┼═══════════════════┼═══════════════════┼═══════════════════┼═══════════════════┤
│ОГБУЗ │ 1,10688922 │ 1,04000000 │ 1,00000000 │ 1,00000000 │ 1,00000000 │ 22601 │ 1799,54 │ 144,70 │ 150,56 │ 150,63 │ 150,68 │ 150,95 │ 151,21 │ 150,13 │ 150,13 │ 150,13 │ 150,13 │ 150,13 │ 150,16 │
│"Починковская │ │ │ │ │ │ │ │ │ │ │ │ │ │ │ │ │ │ │ │
│РБ" │ │ │ │ │ │ │ │ │ │ │ │ │ │ │ │ │ │ │ │
├════════════════┼═══════════════┼══════════════┼═════════════┼════════════════┼═══════════════┼══════════════┼═══════════════════┼═══════════════════┼═══════════════════┼═══════════════════┼═══════════════════┼═══════════════════┼═══════════════════┼═══════════════════┼═══════════════════┼═══════════════════┼═══════════════════┼═══════════════════┼═══════════════════┤
│ОГБУЗ │ 1,10746497 │ 1,00000000 │ 1,00000000 │ 1,00000000 │ 1,00000000 │ 68616 │ 1731,22 │ 139,21 │ 144,84 │ 144,91 │ 144,96 │ 145,22 │ 145,47 │ 144,44 │ 144,44 │ 144,44 │ 144,44 │ 144,44 │ 144,41 │
│"Рославльская │ │ │ │ │ │ │ │ │ │ │ │ │ │ │ │ │ │ │ │
│ЦРБ" │ │ │ │ │ │ │ │ │ │ │ │ │ │ │ │ │ │ │ │
├════════════════┼═══════════════┼══════════════┼═════════════┼════════════════┼═══════════════┼══════════════┼═══════════════════┼═══════════════════┼═══════════════════┼═══════════════════┼═══════════════════┼═══════════════════┼═══════════════════┼═══════════════════┼═══════════════════┼═══════════════════┼═══════════════════┼═══════════════════┼═══════════════════┤
│ОГБУЗ │ 1,07988669 │ 1,04000000 │ 1,00000000 │ 1,00000000 │ 1,00000000 │ 17203 │ 1755,64 │ 141,17 │ 146,88 │ 146,95 │ 147,00 │ 147,27 │ 147,52 │ 146,47 │ 146,47 │ 146,47 │ 146,47 │ 146,47 │ 146,50 │
│"Руднянская ЦРБ"│ │ │ │ │ │ │ │ │ │ │ │ │ │ │ │ │ │ │ │
├════════════════┼═══════════════┼══════════════┼═════════════┼════════════════┼═══════════════┼══════════════┼═══════════════════┼═══════════════════┼═══════════════════┼═══════════════════┼═══════════════════┼═══════════════════┼═══════════════════┼═══════════════════┼═══════════════════┼═══════════════════┼═══════════════════┼═══════════════════┼═══════════════════┤
│ОГБУЗ │ 1,11740856 │ 1,04000000 │ 1,00000000 │ 1,00000000 │ 1,00000000 │ 54255 │ 1816,64 │ 146,08 │ 151,99 │ 152,06 │ 152,11 │ 152,38 │ 152,64 │ 151,56 │ 151,56 │ 151,56 │ 151,56 │ 151,56 │ 151,58 │
│"Сафоновская │ │ │ │ │ │ │ │ │ │ │ │ │ │ │ │ │ │ │ │
│ЦРБ" │ │ │ │ │ │ │ │ │ │ │ │ │ │ │ │ │ │ │ │
├════════════════┼═══════════════┼══════════════┼═════════════┼════════════════┼═══════════════┼══════════════┼═══════════════════┼═══════════════════┼═══════════════════┼═══════════════════┼═══════════════════┼═══════════════════┼═══════════════════┼═══════════════════┼═══════════════════┼═══════════════════┼═══════════════════┼═══════════════════┼═══════════════════┤
│ОГБУЗ │ 1,04832399 │ 1,04000000 │ 1,00000000 │ 1,00000000 │ 1,00000000 │ 42891 │ 1704,32 │ 137,05 │ 142,59 │ 142,66 │ 142,70 │ 142,96 │ 143,21 │ 142,19 │ 142,19 │ 142,19 │ 142,19 │ 142,19 │ 142,20 │
│"Смоленская ЦРБ"│ │ │ │ │ │ │ │ │ │ │ │ │ │ │ │ │ │ │ │
├════════════════┼═══════════════┼══════════════┼═════════════┼════════════════┼═══════════════┼══════════════┼═══════════════════┼═══════════════════┼═══════════════════┼═══════════════════┼═══════════════════┼═══════════════════┼═══════════════════┼═══════════════════┼═══════════════════┼═══════════════════┼═══════════════════┼═══════════════════┼═══════════════════┤
│ОГБУЗ "Сычевская│ 1,08098317 │ 1,04000000 │ 1,00000000 │ 1,00000000 │ 1,00000000 │ 17553 │ 1757,42 │ 141,32 │ 147,03 │ 147,10 │ 147,15 │ 147,42 │ 147,67 │ 146,62 │ 146,62 │ 146,62 │ 146,62 │ 146,62 │ 146,63 │
│МБ" │ │ │ │ │ │ │ │ │ │ │ │ │ │ │ │ │ │ │ │
├════════════════┼═══════════════┼══════════════┼═════════════┼════════════════┼═══════════════┼══════════════┼═══════════════════┼═══════════════════┼═══════════════════┼═══════════════════┼═══════════════════┼═══════════════════┼═══════════════════┼═══════════════════┼═══════════════════┼═══════════════════┼═══════════════════┼═══════════════════┼═══════════════════┤
│ОГБУЗ │ 1,03101378 │ 1,11300000 │ 1,00000000 │ 1,00000000 │ 1,00000000 │ 6980 │ 1793,84 │ 144,25 │ 150,08 │ 150,15 │ 150,20 │ 150,47 │ 150,73 │ 149,66 │ 149,66 │ 149,66 │ 149,66 │ 149,66 │ 149,66 │
│"Хиславичская │ │ │ │ │ │ │ │ │ │ │ │ │ │ │ │ │ │ │ │
│ЦРБ" │ │ │ │ │ │ │ │ │ │ │ │ │ │ │ │ │ │ │ │
├════════════════┼═══════════════┼══════════════┼═════════════┼════════════════┼═══════════════┼══════════════┼═══════════════════┼═══════════════════┼═══════════════════┼═══════════════════┼═══════════════════┼═══════════════════┼═══════════════════┼═══════════════════┼═══════════════════┼═══════════════════┼═══════════════════┼═══════════════════┼═══════════════════┤
│ОГБУЗ "Ярцевская│ 1,11446493 │ 1,04000000 │ 1,00000000 │ 1,00000000 │ 1,00000000 │ 56115 │ 1811,85 │ 145,69 │ 151,59 │ 151,66 │ 151,71 │ 151,98 │ 152,24 │ 151,16 │ 151,16 │ 151,16 │ 151,16 │ 151,16 │ 151,18 │
│ЦРБ" │ │ │ │ │ │ │ │ │ │ │ │ │ │ │ │ │ │ │ │
├════════════════┼═══════════════┼══════════════┼═════════════┼════════════════┼═══════════════┼══════════════┼═══════════════════┼═══════════════════┼═══════════════════┼═══════════════════┼═══════════════════┼═══════════════════┼═══════════════════┼═══════════════════┼═══════════════════┼═══════════════════┼═══════════════════┼═══════════════════┼═══════════════════┤
│ОГБУЗ │ 0,84389324 │ 1,00000000 │ 1,00000000 │ 1,00000000 │ 1,00000000 │ 240945 │ 1320,51 │ 110,38 │ 109,37 │ 109,43 │ 109,46 │ 110,66 │ 110,85 │ 110,06 │ 110,06 │ 110,06 │ 110,06 │ 110,06 │ 110,06 │
│"Смоленская │ │ │ │ │ │ │ │ │ │ │ │ │ │ │ │ │ │ │ │
│городская │ │ │ │ │ │ │ │ │ │ │ │ │ │ │ │ │ │ │ │
│поликлиника" │ │ │ │ │ │ │ │ │ │ │ │ │ │ │ │ │ │ │ │
├════════════════┼═══════════════┼══════════════┼═════════════┼════════════════┼═══════════════┼══════════════┼═══════════════════┼═══════════════════┼═══════════════════┼═══════════════════┼═══════════════════┼═══════════════════┼═══════════════════┼═══════════════════┼═══════════════════┼═══════════════════┼═══════════════════┼═══════════════════┼═══════════════════┤
│ОГБУЗ │ │ │ │ │ │ - │ 441,03 │ 110,98 │ 109,97 │ 110,02 │ 110,06 │ 0,00 │ 0,00 │ 0,00 │ 0,00 │ 0,00 │ 0,00 │ 0,00 │ 0,00 │
│"Поликлиника N│ │ │ │ │ │ │ │ │ │ │ │ │ │ │ │ │ │ │ │
│2" │ │ │ │ │ │ │ │ │ │ │ │ │ │ │ │ │ │ │ │
├════════════════┼═══════════════┼══════════════┼═════════════┼════════════════┼═══════════════┼══════════════┼═══════════════════┼═══════════════════┼═══════════════════┼═══════════════════┼═══════════════════┼═══════════════════┼═══════════════════┼═══════════════════┼═══════════════════┼═══════════════════┼═══════════════════┼═══════════════════┼═══════════════════┤
│ОГБУЗ │ │ │ │ │ │ - │ 432,44 │ 108,82 │ 107,83 │ 107,88 │ 107,91 │ 0,00 │ 0,00 │ 0,00 │ 0,00 │ 0,00 │ 0,00 │ 0,00 │ 0,00 │
│"Поликлиника N│ │ │ │ │ │ │ │ │ │ │ │ │ │ │ │ │ │ │ │
│3" │ │ │ │ │ │ │ │ │ │ │ │ │ │ │ │ │ │ │ │
├════════════════┼═══════════════┼══════════════┼═════════════┼════════════════┼═══════════════┼══════════════┼═══════════════════┼═══════════════════┼═══════════════════┼═══════════════════┼═══════════════════┼═══════════════════┼═══════════════════┼═══════════════════┼═══════════════════┼═══════════════════┼═══════════════════┼═══════════════════┼═══════════════════┤
│ОГБУЗ │ │ │ │ │ │ - │ 449,89 │ 113,21 │ 112,18 │ 112,23 │ 112,27 │ 0,00 │ 0,00 │ 0,00 │ 0,00 │ 0,00 │ 0,00 │ 0,00 │ 0,00 │
│"Поликлиника N│ │ │ │ │ │ │ │ │ │ │ │ │ │ │ │ │ │ │ │
│4" │ │ │ │ │ │ │ │ │ │ │ │ │ │ │ │ │ │ │ │
├════════════════┼═══════════════┼══════════════┼═════════════┼════════════════┼═══════════════┼══════════════┼═══════════════════┼═══════════════════┼═══════════════════┼═══════════════════┼═══════════════════┼═══════════════════┼═══════════════════┼═══════════════════┼═══════════════════┼═══════════════════┼═══════════════════┼═══════════════════┼═══════════════════┤
│ОГБУЗ │ │ │ │ │ │ - │ 448,41 │ 112,84 │ 111,81 │ 111,86 │ 111,90 │ 0,00 │ 0,00 │ 0,00 │ 0,00 │ 0,00 │ 0,00 │ 0,00 │ 0,00 │
│"Поликлиника N│ │ │ │ │ │ │ │ │ │ │ │ │ │ │ │ │ │ │ │
│6" │ │ │ │ │ │ │ │ │ │ │ │ │ │ │ │ │ │ │ │
├════════════════┼═══════════════┼══════════════┼═════════════┼════════════════┼═══════════════┼══════════════┼═══════════════════┼═══════════════════┼═══════════════════┼═══════════════════┼═══════════════════┼═══════════════════┼═══════════════════┼═══════════════════┼═══════════════════┼═══════════════════┼═══════════════════┼═══════════════════┼═══════════════════┤
│ОГБУЗ │ │ │ │ │ │ - │ 416,66 │ 104,88 │ 103,88 │ 103,93 │ 103,97 │ 0,00 │ 0,00 │ 0,00 │ 0,00 │ 0,00 │ 0,00 │ 0,00 │ 0,00 │
│"Поликлиника N│ │ │ │ │ │ │ │ │ │ │ │ │ │ │ │ │ │ │ │
│7" │ │ │ │ │ │ │ │ │ │ │ │ │ │ │ │ │ │ │ │
├════════════════┼═══════════════┼══════════════┼═════════════┼════════════════┼═══════════════┼══════════════┼═══════════════════┼═══════════════════┼═══════════════════┼═══════════════════┼═══════════════════┼═══════════════════┼═══════════════════┼═══════════════════┼═══════════════════┼═══════════════════┼═══════════════════┼═══════════════════┼═══════════════════┤
│ОГБУЗ │ │ │ │ │ │ - │ 427,84 │ 107,69 │ 106,67 │ 106,72 │ 106,76 │ 0,00 │ 0,00 │ 0,00 │ 0,00 │ 0,00 │ 0,00 │ 0,00 │ 0,00 │
│"Поликлиника N│ │ │ │ │ │ │ │ │ │ │ │ │ │ │ │ │ │ │ │
│8" │ │ │ │ │ │ │ │ │ │ │ │ │ │ │ │ │ │ │ │
├════════════════┼═══════════════┼══════════════┼═════════════┼════════════════┼═══════════════┼══════════════┼═══════════════════┼═══════════════════┼═══════════════════┼═══════════════════┼═══════════════════┼═══════════════════┼═══════════════════┼═══════════════════┼═══════════════════┼═══════════════════┼═══════════════════┼═══════════════════┼═══════════════════┤
│ФГБУЗ "МСЧ N 135│ 1,10775766 │ 1,04000000 │ 1,06100000 │ 1,00000000 │ 1,00000000 │ 26221 │ 1898,99 │ 144,82 │ 158,87 │ 158,95 │ 159,00 │ 160,28 │ 160,55 │ 159,42 │ 159,42 │ 159,42 │ 159,42 │ 159,42 │ 159,42 │
│ФМБА" │ │ │ │ │ │ │ │ │ │ │ │ │ │ │ │ │ │ │ │
├════════════════┼═══════════════┼══════════════┼═════════════┼════════════════┼═══════════════┼══════════════┼═══════════════════┼═══════════════════┼═══════════════════┼═══════════════════┼═══════════════════┼═══════════════════┼═══════════════════┼═══════════════════┼═══════════════════┼═══════════════════┼═══════════════════┼═══════════════════┼═══════════════════┤
│ЧУЗ "Клиническая│ 1,05044920 │ 1,00000000 │ 0,76525000 │ 1,00000000 │ 1,00000000 │ 22805 │ 1295,97 │ 111,87 │ 114,72 │ 114,80 │ 114,90 │ 105,17 │ 105,47 │ 104,84 │ 104,84 │ 104,84 │ 104,84 │ 104,84 │ 104,84 │
│больница │ │ │ │ │ │ │ │ │ │ │ │ │ │ │ │ │ │ │ │
│"РЖД-Медицина" │ │ │ │ │ │ │ │ │ │ │ │ │ │ │ │ │ │ │ │
│г.Смоленск │ │ │ │ │ │ │ │ │ │ │ │ │ │ │ │ │ │ │ │
├════════════════┼═══════════════┼══════════════┼═════════════┼════════════════┼═══════════════┼══════════════┼═══════════════════┼═══════════════════┼═══════════════════┼═══════════════════┼═══════════════════┼═══════════════════┼═══════════════════┼═══════════════════┼═══════════════════┼═══════════════════┼═══════════════════┼═══════════════════┼═══════════════════┤
│ОГБУЗ "Детская│ 2,43811388 │ 1,00000000 │ 1,06100000 │ 1,00000000 │ 1,00000000 │ 66355 │ 4018,83 │ 306,48 │ 336,22 │ 336,38 │ 336,49 │ 339,20 │ 339,78 │ 337,38 │ 337,38 │ 337,38 │ 337,38 │ 337,38 │ 337,38 │
│клиническая │ │ │ │ │ │ │ │ │ │ │ │ │ │ │ │ │ │ │ │
│больница" │ │ │ │ │ │ │ │ │ │ │ │ │ │ │ │ │ │ │ │
├════════════════┼═══════════════┼══════════════┼═════════════┼════════════════┼═══════════════┼══════════════┼═══════════════════┼═══════════════════┼═══════════════════┼═══════════════════┼═══════════════════┼═══════════════════┼═══════════════════┼═══════════════════┼═══════════════════┼═══════════════════┼═══════════════════┼═══════════════════┼═══════════════════┤
│МЧУ ДПО "Клиника│ 0,87188677 │ 1,00000000 │ 0,76525000 │ 1,00000000 │ 1,00000000 │ 21674 │ 1075,66 │ 92,85 │ 95,21 │ 95,28 │ 95,37 │ 87,29 │ 87,54 │ 87,02 │ 87,02 │ 87,02 │ 87,02 │ 87,02 │ 87,02 │
│Медекс Смоленск"│ │ │ │ │ │ │ │ │ │ │ │ │ │ │ │ │ │ │ │
├════════════════┼═══════════════┼══════════════┼═════════════┼════════════════┼═══════════════┼══════════════┼═══════════════════┼═══════════════════┼═══════════════════┼═══════════════════┼═══════════════════┼═══════════════════┼═══════════════════┼═══════════════════┼═══════════════════┼═══════════════════┼═══════════════════┼═══════════════════┼═══════════════════┤
│ООО "Альфамед" │ 0,74452611 │ 1,00000000 │ 0,76525000 │ 1,00000000 │ 1,00000000 │ 6071 │ 918,56 │ 79,29 │ 81,31 │ 81,37 │ 81,44 │ 74,54 │ 74,75 │ 74,31 │ 74,31 │ 74,31 │ 74,31 │ 74,31 │ 74,31 │
└════════════════┴═══════════════┴══════════════┴═════════════┴════════════════┴═══════════════┴══════════════┴═══════════════════┴═══════════════════┴═══════════════════┴═══════════════════┴═══════════════════┴═══════════════════┴═══════════════════┴═══════════════════┴═══════════════════┴═══════════════════┴═══════════════════┴═══════════════════┴═══════════════════…
Приложение 2.7
к Тарифному соглашению
на 2025 год
от 27.12.2024
(в ред. Дополнительного соглашения к
Тарифному соглашению в системе
обязательного медицинского страхования
Смоленской области от 25.07.2025 N 7)
Тарифы на медицинские услуги по
амбулаторно-поликлинической помощи
Профиль медицинской помощи |
в части посещений с иной целью |
в части обращений по поводу заболевания | ||
|
Тариф, руб. |
Тариф, руб. | ||
|
взрослые |
дети |
взрослые |
дети |
кардиология |
290,35 |
290,35 |
1953,64 |
1953,64 |
ревматология |
290,35 |
290,35 |
1953,64 |
1953,64 |
гастроэнтерология |
254,99 |
384,55 |
1521,59 |
2348,13 |
пульмонология |
254,99 |
384,55 |
1521,59 |
2348,13 |
эндокринология |
524,60 |
524,60 |
2855,32 |
2855,32 |
диабетология |
524,60 |
524,60 |
2855,32 |
2855,32 |
нефрология |
254,99 |
384,55 |
1521,59 |
2348,13 |
гематология |
254,99 |
384,55 |
1521,59 |
2348,13 |
аллергология |
483,10 |
483,10 |
2723,83 |
2723,83 |
педиатрия |
0,00 |
384,55 |
0,00 |
2348,13 |
терапия |
254,99 |
0,00 |
1521,59 |
0,00 |
врач общей практики |
327,91 |
0,00 |
2066,35 |
0,00 |
травматология |
271,66 |
271,66 |
1765,79 |
1765,79 |
урология |
219,82 |
219,82 |
1239,81 |
1239,81 |
нейрохирургия |
271,66 |
271,66 |
1765,79 |
1765,79 |
челюстно-лиц.хир. |
271,66 |
271,66 |
1765,79 |
1765,79 |
торакальная хир. |
271,66 |
271,66 |
1765,79 |
1765,79 |
проктология |
271,66 |
271,66 |
1765,79 |
1765,79 |
сосудистая хирургия |
271,66 |
271,66 |
1765,79 |
1765,79 |
хирургия |
271,66 |
271,66 |
1765,79 |
1765,79 |
онкология |
271,66 |
271,66 |
1765,79 |
1765,79 |
гинекология |
355,96 |
355,96 |
2911,68 |
2911,68 |
отоларингология |
211,71 |
211,71 |
1878,50 |
1878,50 |
офтальмология |
181,48 |
181,48 |
1484,02 |
1484,02 |
неврология |
302,51 |
302,51 |
1916,07 |
1916,07 |
дерматология |
219,04 |
219,04 |
1991,21 |
1991,21 |
инфекция |
382,82 |
382,82 |
1972,43 |
1972,43 |
гериатрия |
0,00 |
0,00 |
1953,64 |
0,00 |
Посещение по неотложной помощи |
874,00 |
874,00 |
|
|
Прием (осмотр, консультация) врача приемного отделения первичный (оказание неотложной помощи в приемном отделении без последующей госпитализации) |
1369,11 |
1369,11 |
|
|
Комплексное посещение на проведение диспансерного наблюдения <*> |
1498,68 |
|
|
|
Комплексное посещение на проведение диспансерного наблюдения онкологических заболеваний <*> |
3757,10 |
|
|
|
Комплексное посещение на проведение диспансерного наблюдения сахарного диабета <*> |
1418,50 |
|
|
|
Комплексное посещение на проведение диспансерного наблюдения болезней системы кровообращения <*> |
3154,30 |
|
|
|
Комплекс исследований для оценки функционального состояния плода |
2063,23 |
|
|
|
Прием (осмотр, консультация) врача-травматолога-ортопеда травм.центра первичный (углубленное консультирование) |
832,00 |
832,00 |
|
|
Прием (осмотр, консультация) врача-травматолога-ортопеда травмпункта повторный |
890,00 |
890,00 |
|
|
Комплекс исследований для диагностики нарушения зрения |
1750,00 |
1900,00 |
|
|
Комплекс исследований предоперационный для проведения планового оперативного вмешательства |
1500,00 |
1500,00 |
|
|
Комплекс исследований в центре здоровья для оценки наиболее вероятных факторов риска, функциональных и адаптивных резервов организма с учетом возрастных особенностей (прием в центре здоровья для детей) |
|
2573,80 |
|
|
Комплекс исследований в центре здоровья для оценки наиболее вероятных факторов риска, функциональных и адаптивных резервов организма с учетом возрастных особенностей (выездная бригада центра здоровья для детей) |
|
1936,20 |
|
|
Посещение к врачу-кардиологу с профилактической целью в составе выездной бригады автопоезда |
290,35 |
|
|
|
Посещение к врачу-офтальмологу с профилактической целью в составе выездной бригады автопоезда |
181,48 |
|
|
|
Посещение к врачу-гинекологу с профилактической целью в составе выездной бригады автопоезда |
355,96 |
|
|
|
Посещение к врачу-неврологу с профилактической целью в составе выездной бригады автопоезда |
302,51 |
|
|
|
Посещение к врачу-оториноларингологу с профилактической целью в составе выездной бригады автопоезда |
211,71 |
|
|
|
Посещение к врачу-эндокринологу с профилактической целью в составе выездной бригады автопоезда |
524,60 |
|
|
|
Посещение к врачу-кардиологу в составе мобильного лечебно-профилактического модуля (дети) |
|
348,42 |
|
|
Посещение к врачу-офтальмологу в составе мобильного лечебно-профилактического модуля (дети) |
|
217,78 |
|
|
Посещение к врачу-гинекологу в составе мобильного лечебно-профилактического модуля (дети) |
|
427,15 |
|
|
Посещение к врачу-неврологу в составе мобильного лечебно-профилактического модуля (дети) |
|
363,01 |
|
|
Посещение к врачу-оториноларингологу в составе мобильного лечебно-профилактического модуля (дети) |
|
254,05 |
|
|
Посещение к врачу-эндокринологу в составе мобильного лечебно-профилактического модуля (дети) |
|
629,52 |
|
|
Посещение к врачу-травматологу в составе мобильного лечебно-профилактического модуля (дети) |
|
325,99 |
|
|
Посещение к врачу-аллерголог-иммунологу в составе мобильного лечебно-профилактического модуля (дети) |
|
579,72 |
|
|
Посещение к врачу-гастроэнтерологу в составе мобильного лечебно-профилактического модуля (дети) |
|
461,46 |
|
|
Цитологическое исследование микропрепарата шейки матки |
906,00 |
|
|
|
Исследование кала на скрытую кровь |
637,00 |
|
|
|
Тестирование на наличие респираторных инфекций, включая вирус гриппа (любым из методов) |
220,00 |
220,00 |
|
|
Тестирование на выявление новой коронавирусной инфекции COVID-19 |
434,00 |
434,00 |
|
|
Определение антител к вирусу гепатита C (Hepatitis C virus) в крови |
351,00 |
|
|
|
Рентгеноденситометрия |
1154,00 |
|
|
|
Эластометрия печени |
1986,00 |
|
|
|
Рефрактометрия |
|
1000,00 |
|
|
Нейросонография |
|
1200,00 |
|
|
Посещение кабинета медико-психологического консультирования (первичный прием) |
284,93 |
|
|
|
Посещение кабинета медико-психологического консультирования (повторный прием) |
284,93 |
|
|
|
Определение РНК вируса гепатита С (HCV) в крови методом ПЦР, качественное исследование |
1352,00 |
|
|
|
Маммография обеих молочных желез в двух проекциях с двойным прочтением рентгеннограмм |
708,00 |
|
|
|
Маммография с применением искусственного интеллекта |
708,00 |
|
|
|
Ренгенография органов грудной клетки с применением исскуственного интелекта |
290,00 |
|
|
|
Флюорография органов грудной клетки с применением исскуственного интелекта |
97,00 |
|
|
|
Компьютерная томография органов грудной клетки с применением искусственного интеллекта (без внутривенного контрастирования) |
3074,39 |
|
|
|
Компьютерная томография органов грудной клетки с применением искусственного интеллекта (с внутривенным контрастированием) |
5507,00 |
|
|
|
* применяется также для
диспансерного наблюдения детей,
проживающих в организациях социального
обслуживания (детских домах-интернатах),
предоставляющих социальные услуги в
стационарной форме, для диспансерного
наблюдения, проведенное на рабочем месте
и (или) в образовательной организации.
Тарифы на оплату обращений по
заболеванию при оказании медицинской
помощи по профилю "Медицинская
реабилитация" (комплексное посещение)**
** в том числе для проведения
медицинской реабилитации на дому, в том
числе с применением телемедицинских
технологий.
Наименование |
взрослые |
дети |
Комплексное посещение на проведение медицинской реабилитации, пациентов с заболеваниями центральной нервной системы 1 балл по ШРМ |
25427,70 |
25427,70 |
Комплексное посещение на проведение медицинской реабилитации, пациентов с заболеваниями центральной нервной системы 2 балла по ШРМ |
25427,70 |
25427,70 |
Комплексное посещение на проведение медицинской реабилитации, пациентов с заболеваниями центральной нервной системы 3 балла по ШРМ |
25427,70 |
25427,70 |
Комплексное посещение на проведение медицинской реабилитации, пациентов с соматическими заболеваниями (кардиология) 1 балл по ШРМ |
25427,70 |
25427,70 |
Комплексное посещение на проведение медицинской реабилитации, пациентов с соматическими заболеваниями (кардиология) 2 балла по ШРМ |
25427,70 |
25427,70 |
Комплексное посещение на проведение медицинской реабилитации, пациентов с соматическими заболеваниями (кардиология) 3 балла по ШРМ |
25427,70 |
25427,70 |
Комплексное посещение на проведение медицинской реабилитации, пациентов с заболеваниями или состоянием опорно-двигательного аппарата 1 балл по ШРМ |
25427,70 |
25427,70 |
Комплексное посещение на проведение медицинской реабилитации, пациентов с заболеваниями или состоянием опорно-двигательного аппарата 2 балла по ШРМ |
25427,70 |
25427,70 |
Комплексное посещение на проведение медицинской реабилитации, пациентов с заболеваниями или состоянием опорно-двигательного аппарата 3 балла по ШРМ |
25427,70 |
25427,70 |
Комплексное посещение на проведение медицинской реабилитации, пациентов с соматическими заболеваниями (НКИ-COVID-19) 1 балл по ШРМ |
25427,70 |
25427,70 |
Комплексное посещение на проведение медицинской реабилитации, пациентов с соматическими заболеваниями (НКИ-COVID-19) 2 балла по ШРМ |
25427,70 |
25427,70 |
Комплексное посещение на проведение медицинской реабилитации, пациентов с соматическими заболеваниями (НКИ-COVID-19) 3 балла по ШРМ |
25427,70 |
25427,70 |
Комплексное посещение на проведение медицинской реабилитации, пациентов с заболеваниями периферической нервной системы 1 балл по ШРМ |
25427,70 |
25427,70 |
Комплексное посещение на проведение медицинской реабилитации, пациентов с заболеваниями периферической нервной системы 2 балл по ШРМ |
25427,70 |
25427,70 |
Комплексное посещение на проведение медицинской реабилитации, пациентов с заболеваниями периферической нервной системы 3 балл по ШРМ |
25427,70 |
25427,70 |
Комплексное посещение на проведение медицинской реабилитации, пациентов с соматическими заболеваниями (онкология) 1 балл по ШРМ |
25427,70 |
25427,70 |
Комплексное посещение на проведение медицинской реабилитации, пациентов с соматическими заболеваниями (онкология) 2 балла по ШРМ |
25427,70 |
25427,70 |
Комплексное посещение на проведение медицинской реабилитации, пациентов с соматическими заболеваниями (онкология) 3 балла по ШРМ |
25427,70 |
25427,70 |
Комплексное посещение на проведение медицинской реабилитации, пациентов с соматическими заболеваниями (другие заболевания) 1 балл по ШРМ |
25427,70 |
25427,70 |
Комплексное посещение на проведение медицинской реабилитации, пациентов с соматическими заболеваниями (другие заболевания) 2 балла по ШРМ |
25427,70 |
25427,70 |
Комплексное посещение на проведение медицинской реабилитации, пациентов с соматическими заболеваниями (другие заболевания) 3 балла по ШРМ |
25427,70 |
25427,70 |
Тарифы на оплату посещений школ для
больных с хроническими заболеваниями, в
том числе школ сахарного диабета
Наименование |
взрослые |
дети |
Комплексное посещение школы для больных с хроническими заболеваниями, в том числе: |
1430,40 | |
Школа для больных с артериальной гипертензией (комплексное посещение) |
1433,35 |
|
Школа для больных с сердечной недостаточностью (комплексное посещение) |
1433,35 |
|
Школа для больных с бронхиальной астмой (комплексное посещение) |
1433,35 |
1433,35 |
Школа для больных с избыточной массой тела и ожирением (комплексное посещение) |
1433,35 |
1433,35 |
Школа для больных с заболеванием суставов и позвоночника (комплексное посещение) |
|
1433,35 |
Школа для пациентов с сахарным диабетом (комплексное посещение), в том числе: |
1324,40 | |
Школа для пациентов с сахарным диабетом (взрослые с сахарным диабетом 1 типа) (комплексное посещение) |
1506,00 |
|
Школа для пациентов с сахарным диабетом (взрослые с сахарным диабетом 2 типа) (комплексное посещение) |
1247,95 |
|
Школа для пациентов с сахарным диабетом (дети и подростки с сахарным диабетом) (комплексное посещение) |
|
1982,00 |
Приложение 2.8
к Тарифному соглашению
на 2025 год
от 27.12.2024
ТАРИФЫ ДЛЯ ОПЛАТЫ МЕДИЦИНСКИХ УСЛУГ В
ЦЕНТРАХ ЗДОРОВЬЯ
(в
ред. Дополнительного соглашения к
Тарифному соглашению в системе
обязательного медицинского страхования
Смоленской области от 31.01.2025 N 1)
Наименование медицинских услуг |
Тариф, руб. |
Комплекс исследований в центре здоровья для оценки наиболее вероятных факторов риска, функциональных и адаптивных резервов организма с учетом возрастных особенностей, в том числе: |
1845,22 |
Проведение врачом/фельдшером индивидуального углубленного профилактического консультирования |
х |
Анкетирование пациента по теме ЗОЖ |
х |
Анкетирование пациента по вопросам питания |
х |
Проведение биоимпедансометрии |
х |
Проведение антропометрии (рост, вес, окружность талии) |
х |
Проведение динамометрии |
х |
Проведение исследования при помощи смокелайзера |
х |
Проведение спирометрии |
х |
Проведение пульсоксиметрии/применение ангиоскана |
х |
Разработка врачом/фельдшером программы по ЗОЖ, ее разъяснение |
х |
Разработка врачом/фельдшером рекомендации по здоровому питанию, их разъяснение |
х |
Установка мобильного приложения на смартфон пациента с помощью медицинской сестры и обучение пациента работе с приложением |
х |
Индивидуальное углубленное профилактическое консультирование и разработка индивидуальной программы по ведению здорового образа жизни, рекомендация индивидуальной программы здорового питания с применением телемедицинских технологий, в том числе: |
381,58 |
Проведение врачом/фельдшером индивидуального углубленного профилактического консультирования |
х |
Анкетирование пациента по теме ЗОЖ |
х |
Анкетирование пациента по вопросам питания |
х |
Разработка врачом/фельдшером программы по ЗОЖ, ее разъяснение |
х |
Разработка врачом/фельдшером рекомендации по здоровому питанию, их разъяснение |
х |
Установка мобильного приложения на смартфон пациента с помощью медицинской сестры и обучение пациента работе с приложением |
х |
Групповое углубленное профилактическое консультирование в центре здоровья для взрослых, в том числе с применением телемедицинских технологий |
92,00 |
Приложение 2.9
к Тарифному соглашению
на 2025 год
от 27.12.2024
ПЕРЕЧЕНЬ РАСХОДОВ НА ОКАЗАНИЕ
МЕДИЦИНСКОЙ ПОМОЩИ В АМБУЛАТОРНЫХ
УСЛОВИЯХ, ФИНАНСОВОЕ ОБЕСПЕЧЕНИЕ
КОТОРЫХ ОСУЩЕСТВЛЯЕТСЯ ПО ПОДУШЕВОМУ
НОРМАТИВУ ФИНАНСИРОВАНИЯ
(в ред. Дополнительного соглашения к Тарифному соглашению в системе обязательного медицинского страхования Смоленской области от 03.03.2025 N 2)
В подушевой норматив
финансирования на прикрепившихся лиц
включаются следующие расходы:
- первичная доврачебная, врачебная,
врачебная медико-санитарная, первичная
специализированная медико-санитарная
помощь по всем специальностям врачей
кроме стоматологии;
- на оказание медицинской помощи с
применением телемедицинских
(дистанционных) технологий, за
исключением расходов на оплату
телемедицинских консультаций,
проведенных медицинскими организациями,
не имеющими прикрепленного населения;
- на тестирование на наличие
респираторных инфекций, включая вирус
гриппа (любым из методов), тестирование
на выявление новой коронавирусной
инфекции COVID-19;
- на проведение по направлению
лечащего врача медицинским психологом
консультирования пациентов из числа
ветеранов боевых действий, лиц,
состоящих на диспансерном наблюдении,
женщин в период беременности, родов и
послеродовой период по вопросам,
связанным с имеющимся заболеванием и
(или) состоянием, включенным в базовую
программу обязательного медицинского
страхования.
Приложение 2.10
к Тарифному соглашению
на 2025 год
от 27.12.2024
ПЕРЕЧЕНЬ РАСХОДОВ НА ОКАЗАНИЕ
МЕДИЦИНСКОЙ ПОМОЩИ В АМБУЛАТОРНЫХ
УСЛОВИЯХ, ФИНАНСОВОЕ ОБЕСПЕЧЕНИЕ
КОТОРЫХ ОСУЩЕСТВЛЯЕТСЯ ВНЕ ПОДУШЕВОГО
НОРМАТИВА ФИНАНСИРОВАНИЯ
(в ред. Дополнительного соглашения к Тарифному соглашению в системе обязательного медицинского страхования Смоленской области от 25.07.2025 N 7)
В подушевой норматив
финансирования на прикрепившихся лиц не
включаются следующие расходы:
- финансовое обеспечение на
проведение профилактических
медицинских осмотров, диспансеризации (в
том числе второго этапа), углубленной
диспансеризации (в том числе второго
этапа), диспансеризации для оценки
репродуктивного здоровья женщин и
мужчин (в том числе второго этапа), а
также средства на оплату
диспансеризации детей, проживающих в
организациях социального обслуживания
(детских домах-интернатах),
предоставляющих социальные услуги в
стационарной форме;
- проведение диспансерного
наблюдения отдельных категорий граждан
из числа взрослого населения, включая
диспансерное наблюдение работающих
граждан, в том числе центрами здоровья, а
также обучающихся в образовательных
организациях (старше 18 лет) и детей,
проживающих в организациях социального
обслуживания (детских домах-интернатах),
предоставляющих социальные услуги в
стационарной форме;
- проведение медицинской услуги
диализа;
- медицинская помощь по профилю
"Медицинская реабилитация" (комплексное
посещение), в том числе с применением
телемедицинских технологий;
- финансовое обеспечение
фельдшерско-акушерских пунктов;
- финансовое обеспечение на
проведение отдельных диагностических
(лабораторных) исследований:
компьютерной томографии,
магнитно-резонансной томографии,
ультразвукового исследования
сердечно-сосудистой системы,
эндоскопических диагностических
исследований, молекулярно-генетических
исследований и патолого-анатомических
исследований биопсийного
(операционного) материала с целью
диагностики онкологических заболеваний
и подбора противоопухолевой
лекарственной терапии, ПЭТ/КТ и
ОФЭКТ/ОФЭКТ-КТ;
- медицинская помощь, оказываемая в
центрах здоровья (комплексное
посещение);
- медицинская помощь, оказываемая в
неотложной форме;
- медицинская помощь, оказываемая в
медицинских организациях, не имеющих
прикрепленного населения;
- стоматологическая медицинская
помощь;
- медицинская помощь в рамках школ
для больных с хроническими
заболеваниями, в том числе школ
сахарного диабета (комплексное
посещение);
- медицинская помощь с применением
телемедицинских (дистанционных)
технологий, телемедицинских
консультаций, проведенных медицинскими
организациями, не имеющими
прикрепленного населения;
- оказания отдельных медицинских
услуг:
- комплекс исследований
предоперационный для проведения
планового оперативного вмешательства;
- комплекс исследований для оценки
функционального состояния плода;
- комплекс исследований для
диагностики нарушения зрения;
- комплекс исследований в центре
здоровья для оценки наиболее вероятных
факторов риска, функциональных и
адаптивных резервов организма с учетом
возрастных особенностей (прием в центре
здоровья для детей);
- комплекс исследований в центре
здоровья для оценки наиболее вероятных
факторов риска, функциональных и
адаптивных резервов организма с учетом
возрастных особенностей (выездная
бригада центра здоровья для детей);
- прием (осмотр, консультация)
врача-травматолога-ортопеда травм.
центра первичный (углубленное
консультирование);
- прием (осмотр, консультация)
врача-травматолога-ортопеда травм.
пункта повторный;
- цитологическое исследование
микропрепарата шейки матки;
- исследование кала на скрытую
кровь;
- рентгеноденситометрия;
- эластометрия печени;
- определение РНК вируса гепатита С
(HCV) в крови методом ПЦР, качественное
исследование;
- рефрактометрия;
- нейросонография;
- посещение к врачам специалистам
(кардиолог, офтальмолог, гинеколог,
невролог, оторинолоринголог,
эндокринолог, травматолог,
аллерголог-иммунолог, гастроэнтеролог) в
составе мобильного
лечебно-профилактического модуля (дети).
Приложение 3
к Тарифному соглашению
на 2025 год
от 27.12.2024
ПЕРЕЧЕНЬ МЕДИЦИНСКИХ ОРГАНИЗАЦИЙ
(СТРУКТУРНЫХ ПОДРАЗДЕЛЕНИЙ МЕДИЦИНСКИХ
ОРГАНИЗАЦИЙ), ОКАЗЫВАЮЩИХ МЕДИЦИНСКУЮ
ПОМОЩЬ В УСЛОВИЯХ ДНЕВНОГО СТАЦИОНАРА
(в
ред. Дополнительного соглашения к
Тарифному соглашению в системе
обязательного медицинского страхования
Смоленской области от 31.01.2025 N 1)
N п/п |
Наименование медицинской организации |
1 |
ОГБУЗ "Смоленская областная клиническая больница" |
2 |
ОГБУЗ "Смоленская областная детская клиническая больница" |
3 |
ОГБУЗ "Смоленский областной онкологический клинический диспансер" |
4 |
ОГБУЗ "Велижская центральная районная больница" |
5 |
ОГБУЗ "Вяземская центральная районная больница" |
6 |
ОГБУЗ "Гагаринская центральная районная больница" |
7 |
ОГБУЗ "Демидовская центральная районная больница" |
8 |
ОГБУЗ "Дорогобужская центральная районная больница" |
9 |
ОГБУЗ "Ельнинская центральная районная больница" |
10 |
ОГБУЗ "Кардымовская центральная районная больница" |
11 |
ОГБУЗ "Краснинская центральная районная больница" |
12 |
ОГБУЗ "Монастырщинская центральная районная больница" |
13 |
ОГБУЗ "Починковская районная больница" |
14 |
ОГБУЗ "Рославльская центральная районная больница" |
15 |
ОГБУЗ "Руднянская центральная районная больница" |
16 |
ОГБУЗ "Сафоновская центральная районная больница" |
17 |
ОГБУЗ "Сычевская центральная районная больница" |
18 |
ОГБУЗ "Хиславичская центральная районная больница" |
19 |
ОГБУЗ "Ярцевская центральная районная больница" |
20 |
ОГБУЗ "Поликлиника N 2" |
21 |
ОГБУЗ "Поликлиника N 3" |
22 |
ОГБУЗ "Поликлиника N 4" |
23 |
ОГБУЗ "Поликлиника N 6" |
24 |
ОГБУЗ "Поликлиника N 7" |
25 |
ОГБУЗ "Поликлиника N 8" |
26 |
ОГБУЗ "Консультативно-диагностическая поликлиника N 1" |
27 |
ОГБУЗ "Клиническая больница N 1" |
28 |
ОГБУЗ "Клинический родильный дом" |
29 |
ОГБУЗ "Детская клиническая больница" |
30 |
ОГБУЗ "Смоленская центральная районная больница" |
31 |
ФКУЗ "Медико-санитарная часть Министерства внутренних дел Российской Федерации по Смоленской области" |
32 |
ЧУЗ "Клиническая больница "РЖД-Медицина" города Смоленск |
33 |
ООО "Андромед" |
34 |
ФГБУ "Федеральный центр травматологии, ортопедии и эндопротезирования" Министерства здравоохранения Российской Федерации (г. Смоленск) |
35 |
ООО "Центр ЭКО" |
36 |
ООО "Фрезениус Нефрокеа" |
37 |
Смоленский филиал ООО "БМК" |
38 |
ООО "Клиника Позвоночника 2К" |
39 |
МЧУ ДОП "Клиника Медекс Смоленск" |
40 |
МЧУ "Нефросовет-Иваново" |
41 |
ООО "Нефрофарм" |
42 |
ООО "Альфамед" |
43 |
ООО "СЕМЬЯ-СМОЛЕНСК" |
44 |
ООО "Гинея" |
Приложение 3.1
к Тарифному соглашению
на 2025 год
от 27.12.2024
ПЕРЕЧЕНЬ КСГ ДНЕВНОГО СТАЦИОНАРА,
КОТОРЫЕ ПРЕДПОЛАГАЮТ ХИРУРГИЧЕСКОЕ
ЛЕЧЕНИЕ ИЛИ ТРОМБОЛИТИЧЕСКУЮ ТЕРАПИЮ
(в
ред. Дополнительного соглашения к
Тарифному соглашению в системе
обязательного медицинского страхования
Смоленской области от 31.01.2025 N 1)
N КСГ |
Наименование КСГ |
ds02.003 |
Операции на женских половых органах (уровень 1) |
ds02.004 |
Операции на женских половых органах (уровень 2) |
ds02.006 |
Искусственное прерывание беременности (аборт) |
ds09.001 |
Операции на мужских половых органах, дети |
ds09.002 |
Операции на почке и мочевыделительной системе, дети |
ds10.001 |
Операции по поводу грыж, дети |
ds13.002 |
Болезни системы кровообращения с применением инвазивных методов |
ds14.001 |
Операции на кишечнике и анальной области (уровень 1) |
ds14.002 |
Операции на кишечнике и анальной области (уровень 2) |
ds16.002 |
Операции на периферической нервной системе |
ds18.003 |
Формирование, имплантация, удаление, смена доступа для диализа |
ds19.016 |
Операции при злокачественных новообразованиях кожи (уровень 1) |
ds19.017 |
Операции при злокачественных новообразованиях кожи (уровень 2) |
ds19.028 |
Установка, замена порт-системы (катетера) для лекарственной терапии злокачественных новообразований |
ds20.002 |
Операции на органе слуха, придаточных пазухах носа и верхних дыхательных путях (уровень 1) |
ds20.003 |
Операции на органе слуха, придаточных пазухах носа и верхних дыхательных путях (уровень 2) |
ds20.004 |
Операции на органе слуха, придаточных пазухах носа и верхних дыхательных путях (уровень 3) |
ds20.005 |
Операции на органе слуха, придаточных пазухах носа и верхних дыхательных путях (уровень 4) |
ds20.006 |
Замена речевого процессора |
ds21.002 |
Операции на органе зрения (уровень 1) |
ds21.003 |
Операции на органе зрения (уровень 2) |
ds21.004 |
Операции на органе зрения (уровень 3) |
ds21.005 |
Операции на органе зрения (уровень 4) |
ds21.006 |
Операции на органе зрения (уровень 5) |
ds21.007 |
Операции на органе зрения (факоэмульсификация с имплантацией ИОЛ) |
ds21.008 |
Интравитреальное введение лекарственных препаратов |
ds25.001 |
Диагностическое обследование сердечно-сосудистой системы |
ds25.002 |
Операции на сосудах (уровень 1) |
ds25.003 |
Операции на сосудах (уровень 2) |
ds28.001 |
Операции на нижних дыхательных путях и легочной ткани, органах средостения |
ds29.001 |
Операции на костно-мышечной системе и суставах (уровень 1) |
ds29.002 |
Операции на костно-мышечной системе и суставах (уровень 2) |
ds29.003 |
Операции на костно-мышечной системе и суставах (уровень 3) |
ds30.002 |
Операции на мужских половых органах, взрослые (уровень 1) |
ds30.003 |
Операции на мужских половых органах, взрослые (уровень 2) |
ds30.004 |
Операции на почке и мочевыделительной системе, взрослые (уровень 1) |
ds30.005 |
Операции на почке и мочевыделительной системе, взрослые (уровень 2) |
ds30.006 |
Операции на почке и мочевыделительной системе, взрослые (уровень 3) |
ds31.002 |
Операции на коже, подкожной клетчатке, придатках кожи (уровень 1) |
ds31.003 |
Операции на коже, подкожной клетчатке, придатках кожи (уровень 2) |
ds31.004 |
Операции на коже, подкожной клетчатке, придатках кожи (уровень 3) |
ds31.005 |
Операции на органах кроветворения и иммунной системы |
ds31.006 |
Операции на молочной железе |
ds32.001 |
Операции на пищеводе, желудке, двенадцатиперстной кишке (уровень 1) |
ds32.002 |
Операции на пищеводе, желудке, двенадцатиперстной кишке (уровень 2) |
ds32.003 |
Операции по поводу грыж, взрослые (уровень 1) |
ds32.004 |
Операции по поводу грыж, взрослые (уровень 2) |
ds32.005 |
Операции по поводу грыж, взрослые (уровень 3) |
ds32.006 |
Операции на желчном пузыре и желчевыводящих путях |
ds32.007 |
Другие операции на органах брюшной полости (уровень 1) |
ds32.008 |
Другие операции на органах брюшной полости (уровень 2) |
ds34.002 |
Операции на органах полости рта (уровень 1) |
ds34.003 |
Операции на органах полости рта (уровень 2) |
Приложение 3.2
к Тарифному соглашению
на 2025 год
от 27.12.2024
ПЕРЕЧЕНЬ КЛИНИКО-СТАТИСТИЧЕСКИХ ГРУПП
ДНЕВНОГО СТАЦИОНАРА, ПО КОТОРЫМ ОПЛАТА
МЕДИЦИНСКОЙ ПОМОЩИ ОСУЩЕСТВЛЯЕТСЯ С
ОПТИМАЛЬНОЙ ДЛИТЕЛЬНОСТЬЮ ЛЕЧЕНИЯ ДО 3
ДНЕЙ ВКЛЮЧИТЕЛЬНО
(в
ред. Дополнительного соглашения к
Тарифному соглашению в системе
обязательного медицинского страхования
Смоленской области от 31.01.2025 N 1)
N КСГ |
Наименование КСГ |
ds02.001 |
Осложнения беременности, родов, послеродового периода |
ds02.006 |
Искусственное прерывание беременности (аборт) |
ds02.007 |
Аборт медикаментозный |
ds02.008 |
Экстракорпоральное оплодотворение (уровень 1) |
ds05.005 |
Лекарственная терапия при доброкачественных заболеваниях крови и пузырном заносе <*> |
ds08.001 |
Лекарственная терапия при злокачественных новообразованиях других локализаций (кроме лимфоидной и кроветворной тканей), дети <*> |
ds08.002 |
Лекарственная терапия при остром лейкозе, дети <*> |
ds08.003 |
Лекарственная терапия при других злокачественных новообразованиях лимфоидной и кроветворной тканей, дети <*> |
ds15.002 |
Неврологические заболевания, лечение с применением ботулотоксина (уровень 1) <*> |
ds15.003 |
Неврологические заболевания, лечение с применением ботулотоксина (уровень 2) <*> |
ds19.028 |
Установка, замена порт-системы (катетера) для лекарственной терапии злокачественных новообразований |
ds19.033 |
Госпитализация в диагностических целях с проведением молекулярно-генетического и (или) иммуногистохимического исследования или иммунофенотипирования |
ds19.135 |
Лекарственная терапия при злокачественных новообразованиях (кроме лимфоидной и кроветворной тканей), взрослые (уровень 1) <*> |
ds19.136 |
Лекарственная терапия при злокачественных новообразованиях (кроме лимфоидной и кроветворной тканей), взрослые (уровень 2) <*> |
ds19.137 |
Лекарственная терапия при злокачественных новообразованиях (кроме лимфоидной и кроветворной тканей), взрослые (уровень 3) <*> |
ds19.138 |
Лекарственная терапия при злокачественных новообразованиях (кроме лимфоидной и кроветворной тканей), взрослые (уровень 4) <*> |
ds19.139 |
Лекарственная терапия при злокачественных новообразованиях (кроме лимфоидной и кроветворной тканей), взрослые (уровень 5) <*> |
ds19.140 |
Лекарственная терапия при злокачественных новообразованиях (кроме лимфоидной и кроветворной тканей), взрослые (уровень 6) <*> |
ds19.141 |
Лекарственная терапия при злокачественных новообразованиях (кроме лимфоидной и кроветворной тканей), взрослые (уровень 7) <*> |
ds19.142 |
Лекарственная терапия при злокачественных новообразованиях (кроме лимфоидной и кроветворной тканей), взрослые (уровень 8) <*> |
ds19.143 |
Лекарственная терапия при злокачественных новообразованиях (кроме лимфоидной и кроветворной тканей), взрослые (уровень 9) <*> |
ds19.144 |
Лекарственная терапия при злокачественных новообразованиях (кроме лимфоидной и кроветворной тканей), взрослые (уровень 10) <*> |
ds19.145 |
Лекарственная терапия при злокачественных новообразованиях (кроме лимфоидной и кроветворной тканей), взрослые (уровень 11) <*> |
ds19.146 |
Лекарственная терапия при злокачественных новообразованиях (кроме лимфоидной и кроветворной тканей), взрослые (уровень 12) <*> |
ds19.147 |
Лекарственная терапия при злокачественных новообразованиях (кроме лимфоидной и кроветворной тканей), взрослые (уровень 13) <*> |
ds19.148 |
Лекарственная терапия при злокачественных новообразованиях (кроме лимфоидной и кроветворной тканей), взрослые (уровень 14) <*> |
ds19.149 |
Лекарственная терапия при злокачественных новообразованиях (кроме лимфоидной и кроветворной тканей), взрослые (уровень 15) <*> |
ds19.150 |
Лекарственная терапия при злокачественных новообразованиях (кроме лимфоидной и кроветворной тканей), взрослые (уровень 16) <*> |
ds19.151 |
Лекарственная терапия при злокачественных новообразованиях (кроме лимфоидной и кроветворной тканей), взрослые (уровень 17) <*> |
ds19.152 |
Лекарственная терапия при злокачественных новообразованиях (кроме лимфоидной и кроветворной тканей), взрослые (уровень 18) <*> |
ds19.153 |
Лекарственная терапия при злокачественных новообразованиях (кроме лимфоидной и кроветворной тканей), взрослые (уровень 19) <*> |
ds19.154 |
Лекарственная терапия при злокачественных новообразованиях (кроме лимфоидной и кроветворной тканей), взрослые (уровень 20) <*> |
ds19.155 |
Лекарственная терапия при злокачественных новообразованиях (кроме лимфоидной и кроветворной тканей), взрослые (уровень 21) <*> |
ds19.156 |
Лекарственная терапия при злокачественных новообразованиях (кроме лимфоидной и кроветворной тканей), взрослые (уровень 22) <*> |
ds19.057 |
Лучевая терапия (уровень 8) |
ds19.063 |
ЗНО лимфоидной и кроветворной тканей без специального противоопухолевого лечения (уровень 1) |
ds19.067 |
ЗНО лимфоидной и кроветворной тканей, лекарственная терапия, взрослые (уровень 1) |
ds19.071 |
ЗНО лимфоидной и кроветворной тканей, лекарственная терапия с применением отдельных препаратов (по перечню), взрослые (уровень 1) |
ds19.075 |
ЗНО лимфоидной и кроветворной тканей, лекарственная терапия с применением отдельных препаратов (по перечню), взрослые (уровень 5) |
ds20.002 |
Операции на органе слуха, придаточных пазухах носа и верхних дыхательных путях (уровень 1) |
ds20.003 |
Операции на органе слуха, придаточных пазухах носа и верхних дыхательных путях (уровень 2) |
ds20.006 |
Замена речевого процессора |
ds21.002 |
Операции на органе зрения (уровень 1) |
ds21.003 |
Операции на органе зрения (уровень 2) |
ds21.004 |
Операции на органе зрения (уровень 3) |
ds21.005 |
Операции на органе зрения (уровень 4) |
ds21.006 |
Операции на органе зрения (уровень 5) |
ds21.007 |
Операции на органе зрения (факоэмульсификация с имплантацией ИОЛ) |
ds21.008 |
Интравитреальное введение лекарственных препаратов |
ds25.001 |
Диагностическое обследование сердечно-сосудистой системы |
ds27.001 |
Отравления и другие воздействия внешних причин |
ds34.002 |
Операции на органах полости рта (уровень 1) |
ds36.001 |
Комплексное лечение с применением препаратов иммуноглобулина <*> |
ds36.012 |
Проведение иммунизации против респираторно-синцитиальной вирусной инфекции (уровень 1) |
ds36.013 |
Проведение иммунизации против респираторно-синцитиальной вирусной инфекции (уровень 2) |
ds36.015 |
Лечение с применением генно-инженерных биологических препаратов и селективных иммунодепрессантов (уровень 1) <*> |
ds36.016 |
Лечение с применением генно-инженерных биологических препаратов и селективных иммунодепрессантов (уровень 2) <*> |
ds36.017 |
Лечение с применением генно-инженерных биологических препаратов и селективных иммунодепрессантов (уровень 3) <*> |
ds36.018 |
Лечение с применением генно-инженерных биологических препаратов и селективных иммунодепрессантов (уровень 4) <*> |
ds36.019 |
Лечение с применением генно-инженерных биологических препаратов и селективных иммунодепрессантов (уровень 5) <*> |
ds36.020 |
Лечение с применением генно-инженерных биологических препаратов и селективных иммунодепрессантов (уровень 6) <*> |
ds36.021 |
Лечение с применением генно-инженерных биологических препаратов и селективных иммунодепрессантов (уровень 7) <*> |
ds36.022 |
Лечение с применением генно-инженерных биологических препаратов и селективных иммунодепрессантов (уровень 8) <*> |
ds36.023 |
Лечение с применением генно-инженерных биологических препаратов и селективных иммунодепрессантов (уровень 9) <*> |
ds36.024 |
Лечение с применением генно-инженерных биологических препаратов и селективных иммунодепрессантов (уровень 10) <*> |
ds36.025 |
Лечение с применением генно-инженерных биологических препаратов и селективных иммунодепрессантов (уровень 11) <*> |
ds36.026 |
Лечение с применением генно-инженерных биологических препаратов и селективных иммунодепрессантов (уровень 12) <*> |
ds36.027 |
Лечение с применением генно-инженерных биологических препаратов и селективных иммунодепрессантов (уровень 13) <*> |
ds36.028 |
Лечение с применением генно-инженерных биологических препаратов и селективных иммунодепрессантов (уровень 14) <*> |
ds36.029 |
Лечение с применением генно-инженерных биологических препаратов и селективных иммунодепрессантов (уровень 15) <*> |
ds36.030 |
Лечение с применением генно-инженерных биологических препаратов и селективных иммунодепрессантов (уровень 16) <*> |
ds36.031 |
Лечение с применением генно-инженерных биологических препаратов и селективных иммунодепрессантов (уровень 17) <*> |
ds36.032 |
Лечение с применением генно-инженерных биологических препаратов и селективных иммунодепрессантов (уровень 18) <*> |
ds36.033 |
Лечение с применением генно-инженерных биологических препаратов и селективных иммунодепрессантов (уровень 19) <*> |
ds36.034 |
Лечение с применением генно-инженерных биологических препаратов и селективных иммунодепрессантов (уровень 20) <*> |
ds36.035 |
Лечение с применением методов афереза (каскадная плазмофильтрация, липидная фильтрация, иммуносорбция) в случае отсутствия эффективности базисной терапии |
* При условии соблюдения режима
введения лекарственных препаратов
согласно инструкциям по применению
лекарственных препаратов для
медицинского применения.
Приложение 3.3
к Тарифному соглашению
на 2025 год
от 27.12.2024
СТОИМОСТЬ ОДНОГО СЛУЧАЯ ГОСПИТАЛИЗАЦИИ
ПО КСГ В УСЛОВИЯХ ДНЕВНОГО СТАЦИОНАРА
(в
ред. Дополнительного соглашения к
Тарифному соглашению в системе
обязательного медицинского страхования
Смоленской области от 31.01.2025 N 1)
Средний размер финансового обеспечения медицинской помощи в расчете на одно застрахованное лицо, руб. |
1913,76 |
Стоимость одного случая госпитализации по КСГ (тариф) | |||||||||||||
Размер средней стоимости законченного случая лечения, руб. |
17622,00 |
| |||||||||||||
N п/п |
N КСГ |
Наименование КСГ |
Коэффициент относительной затратоемкости КСГ |
Коэффициент специфики |
Доля заработной платы, % |
1 уровень |
2 уровень | ||||||||
|
|
|
|
|
|
|
1 подуровень |
2 подуровень | |||||||
1 |
ds02.001 |
Осложнения беременности, родов, послеродового периода |
0,83 |
0,80 |
|
10530,91 |
11701,01 |
12286,06 | |||||||
2 |
ds02.002 |
Болезни женских половых органов |
0,66 |
0,80 |
|
8373,97 |
9304,42 |
9769,64 | |||||||
3 |
ds02.003 |
Операции на женских половых органах (уровень 1) |
0,71 |
0,80 |
|
9008,37 |
10009,30 |
10509,76 | |||||||
4 |
ds02.004 |
Операции на женских половых органах (уровень 2) |
1,06 |
0,90 |
|
15130,25 |
16811,39 |
17651,96 | |||||||
5 |
ds02.006 |
Искусственное прерывание беременности (аборт) |
0,33 |
0,80 |
|
4186,99 |
4652,21 |
4884,82 | |||||||
6 |
ds02.007 |
Аборт медикаментозный |
0,38 |
0,80 |
|
4821,38 |
5357,09 |
5624,94 | |||||||
7 |
ds02.008 |
Экстракорпоральное оплодотворение (уровень 1) |
2,94 |
0,80 |
20,05% |
48900,14 |
49731,15 |
50146,66 | |||||||
8 |
ds02.009 |
Экстракорпоральное оплодотворение (уровень 2) |
7,44 |
0,80 |
22,27% |
122932,33 |
125268,14 |
126436,05 | |||||||
9 |
ds02.010 |
Экстракорпоральное оплодотворение (уровень 3) |
9,21 |
0,80 |
21,08% |
152719,11 |
155456,11 |
156824,61 | |||||||
10 |
ds02.011 |
Экстракорпоральное оплодотворение (уровень 4) |
9,99 |
0,80 |
20,56% |
165909,29 |
168804,86 |
170252,64 | |||||||
11 |
ds03.001 |
Нарушения с вовлечением иммунного механизма |
0,98 |
0,80 |
|
12434,08 |
13815,65 |
14506,43 | |||||||
12 |
ds04.001 |
Болезни органов пищеварения, взрослые |
0,89 |
0,80 |
|
11292,18 |
12546,86 |
13174,21 | |||||||
13 |
ds05.001 |
Болезни крови (уровень 1) |
0,91 |
0,80 |
|
11545,93 |
12828,82 |
13470,26 | |||||||
14 |
ds05.002 |
Болезни крови (уровень 2) |
2,41 |
0,90 |
|
34399,91 |
38222,12 |
40133,22 | |||||||
15 |
ds05.005 |
Лекарственная терапия при доброкачественных заболеваниях крови и пузырном заносе |
3,73 |
1,00 |
|
59157,05 |
65730,06 |
69016,56 | |||||||
16 |
ds06.002 |
Лечение дерматозов с применением наружной терапии |
0,35 |
0,80 |
97,44% |
4484,95 |
4965,74 |
5206,13 | |||||||
17 |
ds06.003 |
Лечение дерматозов с применением наружной терапии, физиотерапии, плазмафереза |
0,97 |
0,90 |
96,30% |
13965,77 |
15447,25 |
16187,99 | |||||||
18 |
ds06.004 |
Лечение дерматозов с применением наружной и системной терапии |
0,97 |
0,90 |
98,27% |
13901,79 |
15413,58 |
16169,47 | |||||||
19 |
ds06.005 |
Лечение дерматозов с применением наружной терапии и фототерапии |
1,95 |
0,80 |
98,20% |
24914,48 |
27614,03 |
28963,80 | |||||||
20 |
ds07.001 |
Болезни системы кровообращения, дети |
0,98 |
0,80 |
|
12434,08 |
13815,65 |
14506,43 | |||||||
21 |
ds08.001 |
Лекарственная терапия при злокачественных новообразованиях других локализаций (кроме лимфоидной и кроветворной тканей), дети |
7,95 |
1,00 |
|
126085,41 |
140094,90 |
147099,65 | |||||||
22 |
ds08.002 |
Лекарственная терапия при остром лейкозе, дети |
14,23 |
1,00 |
|
225684,95 |
250761,06 |
263299,11 | |||||||
23 |
ds08.003 |
Лекарственная терапия при других злокачественных новообразованиях лимфоидной и кроветворной тканей, дети |
10,34 |
1,00 |
|
163990,33 |
182211,48 |
191322,05 | |||||||
24 |
ds09.001 |
Операции на мужских половых органах, дети |
1,38 |
1,00 |
|
21886,52 |
24318,36 |
25534,28 | |||||||
25 |
ds09.002 |
Операции на почке и мочевыделительной системе, дети |
2,09 |
1,00 |
|
33146,98 |
36829,98 |
38671,48 | |||||||
26 |
ds10.001 |
Операции по поводу грыж, дети |
1,6 |
1,00 |
|
25375,68 |
28195,20 |
29604,96 | |||||||
27 |
ds11.001 |
Сахарный диабет, дети |
1,49 |
1,00 |
|
23631,10 |
26256,78 |
27569,62 | |||||||
28 |
ds11.002 |
Другие болезни эндокринной системы, дети |
1,36 |
0,90 |
|
19412,40 |
21569,33 |
22647,79 | |||||||
29 |
ds12.005 |
Другие вирусные гепатиты |
0,97 |
0,90 |
|
13845,61 |
15384,01 |
16153,21 | |||||||
30 |
ds12.006 |
Инфекционные и паразитарные болезни, взрослые |
1,16 |
0,90 |
|
16557,63 |
18397,37 |
19317,24 | |||||||
31 |
ds12.007 |
Инфекционные и паразитарные болезни, дети |
0,97 |
0,80 |
|
12307,20 |
13674,67 |
14358,41 | |||||||
32 |
ds12.008 |
Респираторные инфекции верхних дыхательных путей, взрослые |
0,52 |
0,80 |
|
6597,68 |
7330,75 |
7697,29 | |||||||
33 |
ds12.009 |
Респираторные инфекции верхних дыхательных путей, дети |
0,65 |
0,90 |
|
9277,98 |
10308,87 |
10824,31 | |||||||
34 |
ds12.020 |
Вирусный гепатит B хронический без дельта агента, лекарственная терапия |
1,01 |
1,00 |
90,55% |
16186,59 |
17798,22 |
18604,03 | |||||||
35 |
ds12.021 |
Вирусный гепатит B хронический с дельта агентом, лекарственная терапия |
8,37 |
1,00 |
10,13% |
146002,00 |
147496,14 |
148243,21 | |||||||
36 |
ds12.022 |
Лечение хронического вирусного гепатита C (уровень 1) |
4,16 |
1,00 |
1,01% |
73233,48 |
73307,52 |
73344,54 | |||||||
37 |
ds12.023 |
Лечение хронического вирусного гепатита C (уровень 2) |
5,39 |
1,00 |
0,53% |
94932,24 |
94982,58 |
95007,75 | |||||||
38 |
ds12.024 |
Лечение хронического вирусного гепатита C (уровень 3) |
5,77 |
1,00 |
0,62% |
101615,90 |
101678,94 |
101710,46 | |||||||
39 |
ds12.025 |
Лечение хронического вирусного гепатита C (уровень 4) |
7,65 |
1,00 |
0,57% |
134731,46 |
134808,30 |
134846,72 | |||||||
40 |
ds12.026 |
Лечение хронического вирусного гепатита C (уровень 5) |
9,58 |
1,00 |
0,43% |
168746,17 |
168818,76 |
168855,06 | |||||||
41 |
ds12.027 |
Лечение хронического вирусного гепатита C (уровень 6) |
13,1 |
1,00 |
0,30% |
230778,95 |
230848,20 |
230882,83 | |||||||
42 |
ds13.001 |
Болезни системы кровообращения, взрослые |
0,8 |
0,80 |
|
10150,27 |
11278,08 |
11841,98 | |||||||
43 |
ds13.002 |
Болезни системы кровообращения с применением инвазивных методов |
3,39 |
1,00 |
|
53764,72 |
59738,58 |
62725,51 | |||||||
44 |
ds14.001 |
Операции на кишечнике и анальной области (уровень 1) |
1,53 |
1,00 |
|
24265,49 |
26961,66 |
28309,74 | |||||||
45 |
ds14.002 |
Операции на кишечнике и анальной области (уровень 2) |
3,17 |
1,00 |
|
50275,57 |
55861,74 |
58654,83 | |||||||
46 |
ds15.001 |
Болезни нервной системы, хромосомные аномалии |
0,98 |
0,80 |
|
12434,08 |
13815,65 |
14506,43 | |||||||
47 |
ds15.002 |
Неврологические заболевания, лечение с применением ботулотоксина (уровень 1) |
1,75 |
1,00 |
|
27754,65 |
30838,50 |
32380,43 | |||||||
48 |
ds15.003 |
Неврологические заболевания, лечение с применением ботулотоксина (уровень 2) |
2,89 |
1,00 |
|
45834,82 |
50927,58 |
53473,96 | |||||||
49 |
ds16.001 |
Болезни и травмы позвоночника, спинного мозга, последствия внутричерепной травмы, сотрясение головного мозга |
0,94 |
0,80 |
|
11926,57 |
13251,74 |
13914,33 | |||||||
50 |
ds16.002 |
Операции на периферической нервной системе |
2,57 |
1,00 |
|
40759,69 |
45288,54 |
47552,97 | |||||||
51 |
ds17.001 |
Нарушения, возникшие в перинатальном периоде |
1,79 |
1,00 |
|
28389,04 |
31543,38 |
33120,55 | |||||||
52 |
ds18.001 |
Гломерулярные болезни, почечная недостаточность (без диализа) |
1,6 |
0,80 |
|
20300,54 |
22556,16 |
23683,97 | |||||||
53 |
ds18.002 |
Лекарственная терапия у пациентов, получающих диализ |
3,25 |
1,00 |
|
51544,35 |
57271,50 |
60135,08 | |||||||
54 |
ds18.003 |
Формирование, имплантация, удаление, смена доступа для диализа |
3,18 |
1,00 |
|
50434,16 |
56037,96 |
58839,86 | |||||||
55 |
ds18.004 |
Другие болезни почек |
0,8 |
0,80 |
|
10150,27 |
11278,08 |
11841,98 | |||||||
56 |
ds19.016 |
Операции при злокачественных новообразованиях кожи (уровень 1) |
2,35 |
1,00 |
|
37270,53 |
41411,70 |
43482,29 | |||||||
57 |
ds19.017 |
Операции при злокачественных новообразованиях кожи (уровень 2) |
2,48 |
1,00 |
|
39332,30 |
43702,56 |
45887,69 | |||||||
58 |
ds19.028 |
Установка, замена порт-системы (катетера) для лекарственной терапии злокачественных новообразований |
2,17 |
1,00 |
|
34415,77 |
38239,74 |
40151,73 | |||||||
59 |
ds19.033 |
Госпитализация в диагностических целях с проведением молекулярно-генетического и (или) иммуногистохимического исследования или иммунофенотипирования |
2,44 |
1,00 |
|
38697,91 |
42997,68 |
45147,56 | |||||||
60 |
ds19.050 |
Лучевая терапия (уровень 1) |
0,74 |
1,00 |
|
11736,25 |
13040,28 |
13692,29 | |||||||
61 |
ds19.051 |
Лучевая терапия (уровень 2) |
1,44 |
1,00 |
|
22838,11 |
25375,68 |
26644,46 | |||||||
62 |
ds19.052 |
Лучевая терапия (уровень 3) |
2,22 |
1,00 |
|
35208,76 |
39120,84 |
41076,88 | |||||||
63 |
ds19.053 |
Лучевая терапия (уровень 4) |
2,93 |
1,00 |
|
46469,21 |
51632,46 |
54214,08 | |||||||
64 |
ds19.054 |
Лучевая терапия (уровень 5) |
3,14 |
1,00 |
|
49799,77 |
55333,08 |
58099,73 | |||||||
65 |
ds19.055 |
Лучевая терапия (уровень 6) |
3,8 |
1,00 |
|
60267,24 |
66963,60 |
70311,78 | |||||||
66 |
ds19.056 |
Лучевая терапия (уровень 7) |
4,7 |
1,00 |
|
74541,06 |
82823,40 |
86964,57 | |||||||
67 |
ds19.057 |
Лучевая терапия (уровень 8) |
22,62 |
1,00 |
3,66% |
397150,73 |
398609,64 |
399339,10 | |||||||
68 |
ds19.058 |
Лучевая терапия в сочетании с лекарственной терапией (уровень 1) |
4,09 |
1,00 |
78,38% |
66424,82 |
72073,98 |
74898,56 | |||||||
69 |
ds19.060 |
Лучевая терапия в сочетании с лекарственной терапией (уровень 3) |
4,96 |
1,00 |
82,64% |
80181,96 |
87405,12 |
91016,70 | |||||||
70 |
ds19.061 |
Лучевая терапия в сочетании с лекарственной терапией (уровень 4) |
13,27 |
1,00 |
31,86% |
226393,67 |
233843,94 |
237569,07 | |||||||
71 |
ds19.062 |
Лучевая терапия в сочетании с лекарственной терапией (уровень 5) |
25,33 |
1,00 |
16,69% |
438915,42 |
446365,26 |
450090,18 | |||||||
72 |
ds19.063 |
ЗНО лимфоидной и кроветворной тканей без специального противоопухолевого лечения (уровень 1) |
0,21 |
1,00 |
|
3330,56 |
3700,62 |
3885,65 | |||||||
73 |
ds19.064 |
ЗНО лимфоидной и кроветворной тканей без специального противоопухолевого лечения (уровень 2) |
0,72 |
1,00 |
|
11419,06 |
12687,84 |
13322,23 | |||||||
74 |
ds19.065 |
ЗНО лимфоидной и кроветворной тканей без специального противоопухолевого лечения (уровень 3) |
1,81 |
1,00 |
|
28706,24 |
31895,82 |
33490,61 | |||||||
75 |
ds19.066 |
ЗНО лимфоидной и кроветворной тканей без специального противоопухолевого лечения (уровень 4) |
2,96 |
1,00 |
|
46945,01 |
52161,12 |
54769,18 | |||||||
76 |
ds19.067 |
ЗНО лимфоидной и кроветворной тканей, лекарственная терапия, взрослые (уровень 1) |
0,38 |
1,00 |
56,53% |
6317,81 |
6696,36 |
6885,63 | |||||||
77 |
ds19.068 |
ЗНО лимфоидной и кроветворной тканей, лекарственная терапия, взрослые (уровень 2) |
1,45 |
1,00 |
56,53% |
24107,45 |
25551,90 |
26274,12 | |||||||
78 |
ds19.069 |
ЗНО лимфоидной и кроветворной тканей, лекарственная терапия, взрослые (уровень 3) |
3,04 |
1,00 |
56,53% |
50542,52 |
53570,88 |
55085,06 | |||||||
79 |
ds19.070 |
ЗНО лимфоидной и кроветворной тканей, лекарственная терапия, взрослые (уровень 4) |
5,59 |
1,00 |
56,53% |
92938,38 |
98506,98 |
101291,28 | |||||||
80 |
ds19.071 |
ЗНО лимфоидной и кроветворной тканей, лекарственная терапия с применением отдельных препаратов (по перечню), взрослые (уровень 1) |
5,38 |
1,00 |
3,84% |
94442,30 |
94806,36 |
94988,39 | |||||||
81 |
ds19.072 |
ЗНО лимфоидной и кроветворной тканей, лекарственная терапия с применением отдельных препаратов (по перечню), взрослые (уровень 2) |
6,37 |
1,00 |
12,08% |
110896,13 |
112252,14 |
112930,14 | |||||||
82 |
ds19.073 |
ЗНО лимфоидной и кроветворной тканей, лекарственная терапия с применением отдельных препаратов (по перечню), взрослые (уровень 3) |
8 |
1,00 |
21,11% |
138000,00 |
140976,00 |
142464,00 | |||||||
83 |
ds19.074 |
ЗНО лимфоидной и кроветворной тканей, лекарственная терапия с применением отдельных препаратов (по перечню), взрослые (уровень 4) |
10,27 |
1,00 |
28,96% |
175736,82 |
180977,94 |
183598,50 | |||||||
84 |
ds19.075 |
ЗНО лимфоидной и кроветворной тканей, лекарственная терапия с применением отдельных препаратов (по перечню), взрослые (уровень 5) |
21,72 |
1,00 |
0,95% |
382386,23 |
382749,84 |
382931,65 | |||||||
85 |
ds19.076 |
ЗНО лимфоидной и кроветворной тканей, лекарственная терапия с применением отдельных препаратов (по перечню), взрослые (уровень 6) |
22,58 |
1,00 |
3,06% |
396687,17 |
397904,76 |
398513,55 | |||||||
86 |
ds19.077 |
ЗНО лимфоидной и кроветворной тканей, лекарственная терапия с применением отдельных препаратов (по перечню), взрослые (уровень 7) |
24,6 |
1,00 |
7,44% |
430275,95 |
433501,20 |
435113,82 | |||||||
87 |
ds19.078 |
ЗНО лимфоидной и кроветворной тканей, лекарственная терапия с применением отдельных препаратов (по перечню), взрослые (уровень 8) |
26,75 |
1,00 |
11,40% |
466014,67 |
471388,50 |
474075,41 | |||||||
88 |
ds19.079 |
Лучевые повреждения |
2,62 |
1,00 |
|
41552,68 |
46169,64 |
48478,12 | |||||||
89 |
ds19.135 |
Лекарственная терапия при злокачественных новообразованиях (кроме лимфоидной и кроветворной тканей), взрослые (уровень 1) |
0,33 |
1,00 |
33,18% |
5622,31 |
5815,26 |
5911,74 | |||||||
90 |
ds19.136 |
Лекарственная терапия при злокачественных новообразованиях (кроме лимфоидной и кроветворной тканей), взрослые (уровень 2) |
0,76 |
1,00 |
19,04% |
13137,72 |
13392,72 |
13520,22 | |||||||
91 |
ds19.137 |
Лекарственная терапия при злокачественных новообразованиях (кроме лимфоидной и кроветворной тканей), взрослые (уровень 3) |
1,24 |
1,00 |
10,56% |
21620,53 |
21851,28 |
21966,65 | |||||||
92 |
ds19.138 |
Лекарственная терапия при злокачественных новообразованиях (кроме лимфоидной и кроветворной тканей), взрослые (уровень 4) |
1,84 |
1,00 |
35,45% |
31275,03 |
32424,48 |
32999,20 | |||||||
93 |
ds19.139 |
Лекарственная терапия при злокачественных новообразованиях (кроме лимфоидной и кроветворной тканей), взрослые (уровень 5) |
2,65 |
1,00 |
6,31% |
46403,63 |
46698,30 |
46845,63 | |||||||
94 |
ds19.140 |
Лекарственная терапия при злокачественных новообразованиях (кроме лимфоидной и кроветворной тканей), взрослые (уровень 6) |
3,67 |
1,00 |
20,51% |
63346,30 |
64672,74 |
65335,96 | |||||||
95 |
ds19.141 |
Лекарственная терапия при злокачественных новообразованиях (кроме лимфоидной и кроветворной тканей), взрослые (уровень 7) |
4,85 |
1,00 |
19,61% |
83790,70 |
85466,70 |
86304,70 | |||||||
96 |
ds19.142 |
Лекарственная терапия при злокачественных новообразованиях (кроме лимфоидной и кроветворной тканей), взрослые (уровень 8) |
6,48 |
1,00 |
21,09% |
111782,28 |
114190,56 |
115394,70 | |||||||
97 |
ds19.143 |
Лекарственная терапия при злокачественных новообразованиях (кроме лимфоидной и кроветворной тканей), взрослые (уровень 9) |
7,52 |
1,00 |
24,20% |
129310,52 |
132517,44 |
134120,90 | |||||||
98 |
ds19.144 |
Лекарственная терапия при злокачественных новообразованиях (кроме лимфоидной и кроветворной тканей), взрослые (уровень 10) |
9,41 |
1,00 |
27,46% |
161269,52 |
165823,02 |
168099,77 | |||||||
99 |
ds19.145 |
Лекарственная терапия при злокачественных новообразованиях (кроме лимфоидной и кроветворной тканей), взрослые (уровень 11) |
11,02 |
1,00 |
6,43% |
192945,77 |
194194,44 |
194818,78 | |||||||
100 |
ds19.146 |
Лекарственная терапия при злокачественных новообразованиях (кроме лимфоидной и кроветворной тканей), взрослые (уровень 12) |
11,91 |
1,00 |
1,79% |
209502,34 |
209878,02 |
210065,86 | |||||||
101 |
ds19.147 |
Лекарственная терапия при злокачественных новообразованиях (кроме лимфоидной и кроветворной тканей), взрослые (уровень 13) |
13,39 |
1,00 |
14,25% |
232596,17 |
235958,58 |
237639,78 | |||||||
102 |
ds19.148 |
Лекарственная терапия при злокачественных новообразованиях (кроме лимфоидной и кроветворной тканей), взрослые (уровень 14) |
16,42 |
1,00 |
13,98% |
285308,08 |
289353,24 |
291375,82 | |||||||
103 |
ds19.149 |
Лекарственная терапия при злокачественных новообразованиях (кроме лимфоидной и кроветворной тканей), взрослые (уровень 15) |
18,1 |
1,00 |
6,80% |
316789,28 |
318958,20 |
320042,66 | |||||||
104 |
ds19.150 |
Лекарственная терапия при злокачественных новообразованиях (кроме лимфоидной и кроветворной тканей), взрослые (уровень 16) |
21,84 |
1,00 |
4,54% |
383117,20 |
384864,48 |
385738,12 | |||||||
105 |
ds19.151 |
Лекарственная терапия при злокачественных новообразованиях (кроме лимфоидной и кроветворной тканей), взрослые (уровень 17) |
23,17 |
1,00 |
8,11% |
404990,41 |
408301,74 |
409957,40 | |||||||
106 |
ds19.152 |
Лекарственная терапия при злокачественных новообразованиях (кроме лимфоидной и кроветворной тканей), взрослые (уровень 18) |
27,23 |
1,00 |
5,69% |
477116,73 |
479847,06 |
481212,22 | |||||||
107 |
ds19.153 |
Лекарственная терапия при злокачественных новообразованиях (кроме лимфоидной и кроветворной тканей), взрослые (уровень 19) |
34,69 |
1,00 |
8,86% |
605891,00 |
611307,18 |
614015,27 | |||||||
108 |
ds19.154 |
Лекарственная терапия при злокачественных новообразованиях (кроме лимфоидной и кроветворной тканей), взрослые (уровень 20) |
39,62 |
1,00 |
7,42% |
693003,12 |
698183,64 |
700773,90 | |||||||
109 |
ds19.155 |
Лекарственная терапия при злокачественных новообразованиях (кроме лимфоидной и кроветворной тканей), взрослые (уровень 21) |
45,17 |
1,00 |
8,13% |
789514,38 |
795985,74 |
799221,42 | |||||||
110 |
ds19.156 |
Лекарственная терапия при злокачественных новообразованиях (кроме лимфоидной и кроветворной тканей), взрослые (уровень 22) |
56,81 |
1,00 |
0,30% |
1000805,49 |
1001105,82 |
1001255,99 | |||||||
111 |
ds20.001 |
Болезни уха, горла, носа |
0,74 |
0,80 |
|
9389,00 |
10432,22 |
10953,84 | |||||||
112 |
ds20.002 |
Операции на органе слуха, придаточных пазухах носа и верхних дыхательных путях (уровень 1) |
1,12 |
1,00 |
|
17762,98 |
19736,64 |
20723,47 | |||||||
113 |
ds20.003 |
Операции на органе слуха, придаточных пазухах носа и верхних дыхательных путях (уровень 2) |
1,66 |
1,00 |
|
26327,27 |
29252,52 |
30715,15 | |||||||
114 |
ds20.004 |
Операции на органе слуха, придаточных пазухах носа и верхних дыхательных путях (уровень 3) |
2 |
1,00 |
|
31719,60 |
35244,00 |
37006,20 | |||||||
115 |
ds20.005 |
Операции на органе слуха, придаточных пазухах носа и верхних дыхательных путях (уровень 4) |
2,46 |
1,00 |
|
39015,11 |
43350,12 |
45517,63 | |||||||
116 |
ds20.006 |
Замена речевого процессора |
39,83 |
1,00 |
0,28% |
701687,73 |
701884,26 |
701982,52 | |||||||
117 |
ds21.001 |
Болезни и травмы глаза |
0,39 |
0,80 |
|
4948,26 |
5498,06 |
5772,97 | |||||||
118 |
ds21.002 |
Операции на органе зрения (уровень 1) |
0,67 |
1,00 |
|
10626,07 |
11806,74 |
12397,08 | |||||||
119 |
ds21.003 |
Операции на органе зрения (уровень 2) |
1,09 |
1,00 |
|
17287,18 |
19207,98 |
20168,38 | |||||||
120 |
ds21.004 |
Операции на органе зрения (уровень 3) |
1,62 |
1,00 |
|
25692,88 |
28547,64 |
29975,02 | |||||||
121 |
ds21.005 |
Операции на органе зрения (уровень 4) |
2,01 |
1,00 |
|
31878,20 |
35420,22 |
37191,23 | |||||||
122 |
ds21.006 |
Операции на органе зрения (уровень 5) |
3,5 |
1,00 |
|
55509,30 |
61677,00 |
64760,85 | |||||||
123 |
ds21.007 |
Операции на органе зрения (факоэмульсификация с имплантацией ИОЛ) |
2,04 |
1,00 |
10,32% |
35577,89 |
35948,88 |
36134,38 | |||||||
124 |
ds21.008 |
Интравитреальное введение лекарственных препаратов |
2,93 |
1,00 |
7,24% |
51258,64 |
51632,46 |
51819,37 | |||||||
125 |
ds22.001 |
Системные поражения соединительной ткани, артропатии, спондилопатии, дети |
2,31 |
1,00 |
|
36636,14 |
40706,82 |
42742,16 |
|||||||
126 |
ds22.002 |
Болезни органов пищеварения, дети |
0,89 |
0,80 |
|
11292,18 |
12546,86 |
13174,21 |
|||||||
127 |
ds23.001 |
Болезни органов дыхания |
0,9 |
0,80 |
|
11419,06 |
12687,84 |
13322,23 |
|||||||
128 |
ds24.001 |
Системные поражения соединительной ткани, артропатии, спондилопатии, взрослые |
1,46 |
0,90 |
|
20839,78 |
23155,31 |
24313,07 |
|||||||
129 |
ds25.001 |
Диагностическое обследование сердечно-сосудистой системы |
1,84 |
1,00 |
|
29182,03 |
32424,48 |
34045,70 |
|||||||
130 |
ds25.002 |
Операции на сосудах (уровень 1) |
2,18 |
1,00 |
|
34574,36 |
38415,96 |
40336,76 |
|||||||
131 |
ds25.003 |
Операции на сосудах (уровень 2) |
4,31 |
1,00 |
|
68355,74 |
75950,82 |
79748,36 |
|||||||
132 |
ds26.001 |
Болезни полости рта, слюнных желез и челюстей, врожденные аномалии лица и шеи, дети |
0,98 |
1,00 |
|
15542,60 |
17269,56 |
18133,04 |
|||||||
133 |
ds27.001 |
Отравления и другие воздействия внешних причин |
0,74 |
0,80 |
|
9389,00 |
10432,22 |
10953,84 |
|||||||
134 |
ds28.001 |
Операции на нижних дыхательных путях и легочной ткани, органах средостения |
1,32 |
1,00 |
|
20934,94 |
23261,04 |
24424,09 |
|||||||
135 |
ds29.001 |
Операции на костно-мышечной системе и суставах (уровень 1) |
1,44 |
1,00 |
|
22838,11 |
25375,68 |
26644,46 |
|||||||
136 |
ds29.002 |
Операции на костно-мышечной системе и суставах (уровень 2) |
1,69 |
1,00 |
|
26803,06 |
29781,18 |
31270,24 |
|||||||
137 |
ds29.003 |
Операции на костно-мышечной системе и суставах (уровень 3) |
2,49 |
1,00 |
|
39490,90 |
43878,78 |
46072,72 |
|||||||
138 |
ds29.004 |
Заболевания опорно-двигательного аппарата, травмы, болезни мягких тканей |
1,05 |
0,80 |
|
13322,23 |
14802,48 |
15542,60 |
|||||||
139 |
ds30.001 |
Болезни, врожденные аномалии, повреждения мочевой системы и мужских половых органов |
0,8 |
0,80 |
|
10150,27 |
11278,08 |
11841,98 |
|||||||
140 |
ds30.002 |
Операции на мужских половых органах, взрослые (уровень 1) |
2,18 |
1,00 |
|
34574,36 |
38415,96 |
40336,76 |
|||||||
141 |
ds30.003 |
Операции на мужских половых органах, взрослые (уровень 2) |
2,58 |
1,00 |
|
40918,28 |
45464,76 |
47738,00 |
|||||||
142 |
ds30.004 |
Операции на почке и мочевыделительной системе, взрослые (уровень 1) |
1,97 |
1,00 |
|
31243,81 |
34715,34 |
36451,11 |
|||||||
143 |
ds30.005 |
Операции на почке и мочевыделительной системе, взрослые (уровень 2) |
2,04 |
1,00 |
|
32353,99 |
35948,88 |
37746,32 |
|||||||
144 |
ds30.006 |
Операции на почке и мочевыделительной системе, взрослые (уровень 3) |
2,95 |
1,00 |
|
46786,41 |
51984,90 |
54584,15 |
|||||||
145 |
ds31.001 |
Болезни, новообразования молочной железы |
0,89 |
1,00 |
|
14115,22 |
15683,58 |
16467,76 |
|||||||
146 |
ds31.002 |
Операции на коже, подкожной клетчатке, придатках кожи (уровень 1) |
0,75 |
0,80 |
|
9515,88 |
10573,20 |
11101,86 |
|||||||
147 |
ds31.003 |
Операции на коже, подкожной клетчатке, придатках кожи (уровень 2) |
1 |
1,00 |
|
15859,80 |
17622,00 |
18503,10 |
|||||||
148 |
ds31.004 |
Операции на коже, подкожной клетчатке, придатках кожи (уровень 3) |
4,34 |
1,00 |
|
68831,53 |
76479,48 |
80303,45 |
|||||||
149 |
ds31.005 |
Операции на органах кроветворения и иммунной системы |
1,29 |
1,00 |
|
20459,14 |
22732,38 |
23869,00 |
|||||||
150 |
ds31.006 |
Операции на молочной железе |
2,6 |
1,00 |
|
41235,48 |
45817,20 |
48108,06 |
|||||||
151 |
ds32.001 |
Операции на пищеводе, желудке, двенадцатиперстной кишке (уровень 1) |
2,11 |
1,00 |
|
33464,18 |
37182,42 |
39041,54 |
|||||||
152 |
ds32.002 |
Операции на пищеводе, желудке, двенадцатиперстной кишке (уровень 2) |
3,55 |
1,00 |
|
56302,29 |
62558,10 |
65686,01 |
|||||||
153 |
ds32.003 |
Операции по поводу грыж, взрослые (уровень 1) |
1,57 |
1,00 |
|
24899,89 |
27666,54 |
29049,87 |
|||||||
154 |
ds32.004 |
Операции по поводу грыж, взрослые (уровень 2) |
2,26 |
1,00 |
|
35843,15 |
39825,72 |
41817,01 |
|||||||
155 |
ds32.005 |
Операции по поводу грыж, взрослые (уровень 3) |
3,24 |
1,00 |
|
51385,75 |
57095,28 |
59950,04 |
|||||||
156 |
ds32.006 |
Операции на желчном пузыре и желчевыводящих путях |
1,7 |
1,00 |
|
26961,66 |
29957,40 |
31455,27 |
|||||||
157 |
ds32.007 |
Другие операции на органах брюшной полости (уровень 1) |
2,06 |
1,00 |
|
32671,19 |
36301,32 |
38116,39 |
|||||||
158 |
ds32.008 |
Другие операции на органах брюшной полости (уровень 2) |
2,17 |
1,00 |
|
34415,77 |
38239,74 |
40151,73 |
|||||||
159 |
ds33.001 |
Ожоги и отморожения |
1,1 |
1,00 |
|
17445,78 |
19384,20 |
20353,41 |
|||||||
160 |
ds34.001 |
Болезни полости рта, слюнных желез и челюстей, врожденные аномалии лица и шеи, взрослые |
0,88 |
1,00 |
|
13956,62 |
15507,36 |
16282,73 |
|||||||
161 |
ds34.002 |
Операции на органах полости рта (уровень 1) |
0,92 |
1,00 |
|
14591,02 |
16212,24 |
17022,85 |
|||||||
162 |
ds34.003 |
Операции на органах полости рта (уровень 2) |
1,56 |
1,00 |
|
24741,29 |
27490,32 |
28864,84 |
|||||||
163 |
ds35.001 |
Сахарный диабет, взрослые |
1,08 |
0,80 |
|
13702,87 |
15225,41 |
15986,68 |
|||||||
164 |
ds35.002 |
Другие болезни эндокринной системы, новообразования эндокринных желез доброкачественные, in situ, неопределенного и неизвестного характера, расстройств |
1,41 |
1,00 |
|
22362,32 |
24847,02 |
26089,37 |
|||||||
165 |
ds35.003 |
Кистозный фиброз |
2,58 |
1,00 |
|
40918,28 |
45464,76 |
47738,00 |
|||||||
166 |
ds35.004 |
Лечение кистозного фиброза с применением ингаляционной антибактериальной терапии |
12,27 |
1,00 |
|
194599,75 |
216221,94 |
227033,04 |
|||||||
167 |
ds36.001 |
Комплексное лечение с применением препаратов иммуноглобулина |
7,86 |
1,00 |
|
124658,03 |
138508,92 |
145434,37 |
|||||||
168 |
ds36.002 |
Факторы, влияющие на состояние здоровья населения и обращения в учреждения здравоохранения |
0,56 |
0,80 |
|
7105,19 |
7894,66 |
8289,39 |
|||||||
169 |
ds36.003 |
Госпитализация в дневной стационар в диагностических целях с постановкой диагноза туберкулеза, ВИЧ-инфекции, психического заболевания |
0,46 |
0,80 |
|
5836,41 |
6484,90 |
6809,14 |
|||||||
170 |
ds36.005 |
Отторжение, отмирание трансплантата органов и тканей |
7,4 |
1,00 |
|
117362,52 |
130402,80 |
136922,94 |
|||||||
171 |
ds36.006 |
Злокачественное новообразование без специального противоопухолевого лечения |
0,4 |
1,00 |
|
6343,92 |
7048,80 |
7401,24 |
|||||||
172 |
ds36.012 |
Проведение иммунизации против респираторно-синцитиальной вирусной инфекции (уровень 1) |
2,5 |
0,90 |
1,09% |
43963,76 |
44006,98 |
44028,59 |
|||||||
173 |
ds36.013 |
Проведение иммунизации против респираторно-синцитиальной вирусной инфекции (уровень 2) |
5,36 |
0,90 |
0,51% |
94362,39 |
94405,75 |
94427,43 |
|||||||
174 |
ds36.014 |
Лечение с применением генно-инженерных биологических препаратов и селективных иммунодепрессантов (инициация или замена) |
4,06 |
0,80 |
17,94% |
67951,46 |
68978,27 |
69491,68 |
|||||||
175 |
ds36.015 |
Лечение с применением генно-инженерных биологических препаратов и селективных иммунодепрессантов (уровень 1) |
0,55 |
0,80 |
4,88% |
9559,67 |
9597,51 |
9616,42 |
|||||||
176 |
ds36.016 |
Лечение с применением генно-инженерных биологических препаратов и селективных иммунодепрессантов (уровень 2) |
1,03 |
0,80 |
2,61% |
18018,01 |
18055,91 |
18074,86 |
|||||||
177 |
ds36.017 |
Лечение с применением генно-инженерных биологических препаратов и селективных иммунодепрессантов (уровень 3) |
1,19 |
0,80 |
2,23% |
20839,24 |
20876,65 |
20895,36 |
|||||||
178 |
ds36.018 |
Лечение с применением генно-инженерных биологических препаратов и селективных иммунодепрессантов (уровень 4) |
1,52 |
0,80 |
2,02% |
26633,94 |
26677,23 |
26698,87 |
|||||||
179 |
ds36.019 |
Лечение с применением генно-инженерных биологических препаратов и селективных иммунодепрессантов (уровень 5) |
2,02 |
0,80 |
1,32% |
35464,88 |
35502,47 |
35521,26 |
|||||||
180 |
ds36.020 |
Лечение с применением генно-инженерных биологических препаратов и селективных иммунодепрессантов (уровень 6) |
2,29 |
0,80 |
1,21% |
40217,66 |
40256,72 |
40276,25 |
|||||||
181 |
ds36.021 |
Лечение с применением генно-инженерных биологических препаратов и селективных иммунодепрессантов (уровень 7) |
2,46 |
0,80 |
4,23% |
42836,68 |
42983,38 |
43056,73 |
|||||||
182 |
ds36.022 |
Лечение с применением генно-инженерных биологических препаратов и селективных иммунодепрессантов (уровень 8) |
2,76 |
0,80 |
0,96% |
48505,98 |
48543,34 |
48562,01 |
|||||||
183 |
ds36.023 |
Лечение с применением генно-инженерных биологических препаратов и селективных иммунодепрессантов (уровень 9) |
3,3 |
0,80 |
6,13% |
57154,47 |
57439,65 |
57582,24 |
|||||||
184 |
ds36.024 |
Лечение с применением генно-инженерных биологических препаратов и селективных иммунодепрессантов (уровень 10) |
3,83 |
0,80 |
5,69% |
66416,97 |
66724,20 |
66877,81 |
|||||||
185 |
ds36.025 |
Лечение с применением генно-инженерных биологических препаратов и селективных иммунодепрессантов (уровень 11) |
4,47 |
0,80 |
0,59% |
78640,21 |
78677,39 |
78695,98 |
|||||||
186 |
ds36.026 |
Лечение с применением генно-инженерных биологических препаратов и селективных иммунодепрессантов (уровень 12) |
4,81 |
0,80 |
0,81% |
84569,58 |
84624,51 |
84651,97 |
|||||||
187 |
ds36.027 |
Лечение с применением генно-инженерных биологических препаратов и селективных иммунодепрессантов (уровень 13) |
5,94 |
0,80 |
8,24% |
102259,63 |
102949,64 |
103294,65 |
|||||||
188 |
ds36.028 |
Лечение с применением генно-инженерных биологических препаратов и селективных иммунодепрессантов (уровень 14) |
6,42 |
0,80 |
0,41% |
113003,36 |
113040,47 |
113059,02 |
|||||||
189 |
ds36.029 |
Лечение с применением генно-инженерных биологических препаратов и селективных иммунодепрессантов (уровень 15) |
7,86 |
0,80 |
2,83% |
137411,38 |
137724,96 |
137881,75 |
|||||||
190 |
ds36.030 |
Лечение с применением генно-инженерных биологических препаратов и селективных иммунодепрессантов (уровень 16) |
10,34 |
0,80 |
0,26% |
182078,83 |
182116,73 |
182135,68 |
|||||||
191 |
ds36.031 |
Лечение с применением генно-инженерных биологических препаратов и селективных иммунодепрессантов (уровень 17) |
14,42 |
0,80 |
3,75% |
251441,09 |
252203,42 |
252584,58 |
|||||||
192 |
ds36.032 |
Лечение с применением генно-инженерных биологических препаратов и селективных иммунодепрессантов (уровень 18) |
31,89 |
0,80 |
0,08% |
561839,70 |
561875,67 |
561893,65 |
|||||||
193 |
ds36.033 |
Лечение с применением генно-инженерных биологических препаратов и селективных иммунодепрессантов (уровень 19) |
60,55 |
0,80 |
0,04% |
1066892,59 |
1066926,74 |
1066943,81 |
|||||||
194 |
ds36.034 |
Лечение с применением генно-инженерных биологических препаратов и селективных иммунодепрессантов (уровень 20) |
132,97 |
0,80 |
0,02% |
2343066,12 |
2343103,61 |
2343122,36 |
|||||||
195 |
ds36.035 |
Лечение с применением методов афереза (каскадная плазмофильтрация, липидная фильтрация, иммуносорбция) в случае отсутствия эффективности базисной тера |
5,07 |
1,00 |
|
80409,19 |
89343,54 |
93810,72 |
|||||||
196 |
ds37.001 |
Медицинская реабилитация пациентов с заболеваниями центральной нервной системы (2 балла по ШРМ) |
1,98 |
1,00 |
|
31402,40 |
34891,56 |
36636,14 |
|||||||
197 |
ds37.002 |
Медицинская реабилитация пациентов с заболеваниями центральной нервной системы (3 балла по ШРМ) |
2,31 |
1,00 |
|
36636,14 |
40706,82 |
42742,16 |
|||||||
198 |
ds37.003 |
Медицинская реабилитация пациентов с заболеваниями опорно-двигательного аппарата и периферической нервной системы (2 балла по ШРМ) |
1,52 |
1,00 |
|
24106,90 |
26785,44 |
28124,71 |
|||||||
199 |
ds37.004 |
Медицинская реабилитация пациентов с заболеваниями опорно-двигательного аппарата и периферической нервной системы (3 балла по ШРМ) |
1,82 |
1,00 |
|
28864,84 |
32072,04 |
33675,64 |
|||||||
200 |
ds37.005 |
Медицинская кардиореабилитация (2 балла по ШРМ) |
1,39 |
1,00 |
|
22045,12 |
24494,58 |
25719,31 |
|||||||
201 |
ds37.006 |
Медицинская кардиореабилитация (3 балла по ШРМ) |
1,67 |
1,00 |
|
26485,87 |
29428,74 |
30900,18 |
|||||||
202 |
ds37.007 |
Медицинская реабилитация при других соматических заболеваниях (2 балла по ШРМ) |
0,85 |
1,00 |
|
13480,83 |
14978,70 |
15727,64 |
|||||||
203 |
ds37.008 |
Медицинская реабилитация при других соматических заболеваниях (3 балла по ШРМ) |
1,09 |
1,00 |
|
17287,18 |
19207,98 |
20168,38 |
|||||||
204 |
ds37.009 |
Медицинская реабилитация детей, перенесших заболевания перинатального периода |
1,5 |
1,00 |
|
23789,70 |
26433,00 |
27754,65 |
|||||||
205 |
ds37.010 |
Медицинская реабилитация детей с нарушениями слуха без замены речевого процессора системы кохлеарной имплантации |
1,8 |
1,00 |
|
28547,64 |
31719,60 |
33305,58 |
|||||||
206 |
ds37.011 |
Медицинская реабилитация детей с поражениями центральной нервной системы |
2,75 |
1,00 |
|
43614,45 |
48460,50 |
50883,53 |
|||||||
207 |
ds37.012 |
Медицинская реабилитация детей после хирургической коррекции врожденных пороков развития органов и систем |
2,35 |
1,00 |
|
37270,53 |
41411,70 |
43482,29 |
|||||||
208 |
ds37.013 |
Медицинская реабилитация после онкоортопедических операций |
1,76 |
1,00 |
|
27913,25 |
31014,72 |
32565,46 |
|||||||
209 |
ds37.014 |
Медицинская реабилитация по поводу постмастэктомического синдрома в онкологии |
1,51 |
1,00 |
|
23948,30 |
26609,22 |
27939,68 |
|||||||
210 |
ds37.015 |
Медицинская реабилитация после перенесенной коронавирусной инфекции COVID-19 (2 балла по ШРМ) |
1 |
1,00 |
|
15859,80 |
17622,00 |
18503,10 |
|||||||
211 |
ds37.016 |
Медицинская реабилитация после перенесенной коронавирусной инфекции COVID-19 (3 балла по ШРМ) |
1,4 |
1,00 |
|
22203,72 |
24670,80 |
25904,34 |
|||||||
212 |
ds37.017 |
Медицинская реабилитация в детском нейрореабилитационном отделении в медицинской организации 4 уровня |
3,71 |
1,00 |
|
58839,86 |
65377,62 |
68646,50 |
|||||||
213 |
ds37.018 |
Медицинская реабилитация в детском соматическом реабилитационном отделении в медицинской организации 4 уровня |
2,91 |
1,00 |
|
46152,02 |
51280,02 |
53844,02 |
|||||||
214 |
ds37.019 |
Медицинская реабилитация в детском ортопедическом реабилитационном отделении в медицинской организации 4 уровня |
3,4 |
1,00 |
|
53923,32 |
59914,80 |
62910,54 |
|||||||
Приложение 3.4
к Тарифному соглашению
на 2025 год
от 27.12.2024
БАЗОВЫЕ СТОИМОСТИ, КОЭФФИЦИЕНТЫ
ОТНОСИТЕЛЬНОЙ ЗАТРАТОЕМКОСТИ К БАЗОВЫМ
СТОИМОСТЯМ КСГ ДЛЯ ОПЛАТЫ УСЛУГ
ДИАЛИЗА
N |
Код услуги |
Наименование услуги (КСГ) |
Условия оказания |
Единица оплаты <*> |
Базовая стоимость, руб. |
Коэффициент относительной затратоемкости |
Стоимость, руб. |
Услуги гемодиализа | |||||||
1 |
А18.05.002 |
Гемодиализ |
стационарно, дневной стационар, амбулаторно |
услуга |
6199,00 |
1,00 |
6199,00 |
2 |
А18.05.002.002 |
Гемодиализ интермиттирующий низкопоточный |
стационарно, дневной стационар, амбулаторно |
услуга |
6199,00 |
1,00 |
6199,00 |
3 |
А18.05.002.001 |
Гемодиализ интермиттирующий высокопоточный |
стационарно, дневной стационар, амбулаторно |
услуга |
6199,00 |
1,05 |
6508,95 |
4 |
А18.05.011 |
Гемодиафильтрация |
стационарно, дневной стационар, амбулаторно |
услуга |
6199,00 |
1,08 |
6694,92 |
5 |
А18.05.004 |
Ультрафильтрация крови |
стационарно |
услуга |
6199,00 |
0,92 |
5703,08 |
6 |
А18.05.002.003 |
Гемодиализ интермиттирующий продленный |
стационарно |
услуга |
6199,00 |
2,76 |
17109,24 |
7 |
А18.05.003 |
Гемофильтрация крови |
стационарно |
услуга |
6199,00 |
2,88 |
17853,12 |
8 |
А18.05.004.001 |
Ультрафильтрация продленная |
стационарно |
услуга |
6199,00 |
2,51 |
15559,49 |
9 |
А18.05.011.001 |
Гемодиафильтрация продленная |
стационарно |
услуга |
6199,00 |
3,01 |
18658,99 |
10 |
А18.05.002.005 |
Гемодиализ продолжительный |
стационарно |
сутки |
6199,00 |
5,23 |
32420,77 |
11 |
А18.05.003.002 |
Гемофильтрация крови продолжительная |
стационарно |
сутки |
6199,00 |
5,48 |
33970,52 |
12 |
А18.05.011.002 |
Гемодиафильтрация продолжительная |
стационарно |
сутки |
6199,00 |
5,73 |
35520,27 |
Услуги перитонеального диализа | |||||||
13 |
А18.30.001 |
Перитонеальный диализ |
стационарно, дневной стационар, амбулаторно |
день обмена |
2298,00 |
1,00 |
2298,00 |
14 |
А18.30.001.001 |
Перитонеальный диализ проточный |
стационарно |
день обмена |
2298,00 |
4,92 |
11306,16 |
15 |
А18.30.001.002 |
Перитонеальный диализ с использованием автоматизированных технологий |
стационарно, дневной стационар, амбулаторно |
день обмена |
2298,00 |
1,24 |
2849,52 |
16 |
А18.30.001.003 |
Перитонеальный диализ при нарушении ультрафильтрации |
стационарно, дневной стационар, амбулаторно |
день обмена |
2298,00 |
1,09 |
2504,82 |
* Услуги гемодиализа и
перитонеального диализа в амбулаторных
условиях на территории Смоленской
области не оказываются.
Приложение 3.5
к Тарифному соглашению
на 2025 год
от 27.12.2024
ПЕРЕЧЕНЬ МЕДИЦИНСКИХ ОРГАНИЗАЦИЙ
(СТРУКТУРНЫХ ПОДРАЗДЕЛЕНИЙ МЕДИЦИНСКИХ
ОРГАНИЗАЦИЙ) ПО УРОВНЯМ ОКАЗАНИЯ
МЕДИЦИНСКОЙ ПОМОЩИ С КОЭФФИЦИЕНТАМИ
УРОВНЯ, ОКАЗЫВАЮЩИХ МЕДИЦИНСКУЮ ПОМОЩЬ В
УСЛОВИЯХ ДНЕВНОГО СТАЦИОНАРА
(в
ред. Дополнительного соглашения к
Тарифному соглашению в системе
обязательного медицинского страхования
Смоленской области от 31.01.2025 N 1)
Наименование медицинской организации |
Уровень/подуровень |
Коэффициент уровня/подуровня | |
1 уровень |
Уровень |
Коэффициент уровня | |
ОГБУЗ "Велижская ЦРБ" |
1 |
0,9 | |
ОГБУЗ "Гагаринская ЦРБ" |
1 |
0,9 | |
ОГБУЗ "Демидовская ЦРБ" |
1 |
0,9 | |
ОГБУЗ "Дорогобужская ЦРБ" |
1 |
0,9 | |
ОГБУЗ "Ельнинская ЦРБ" |
1 |
0,9 | |
ОГБУЗ "Кардымовская ЦРБ" |
1 |
0,9 | |
ОГБУЗ "Краснинская ЦРБ" |
1 |
0,9 | |
ОГБУЗ "Монастырщинская ЦРБ" |
1 |
0,9 | |
ОГБУЗ "Починковская РБ" |
1 |
0,9 | |
ОГБУЗ "Рославльская ЦРБ" |
1 |
0,9 | |
ОГБУЗ "Руднянская ЦРБ" |
1 |
0,9 | |
ОГБУЗ "Сафоновская ЦРБ" |
1 |
0,9 | |
ОГБУЗ "Сычевская ЦРБ" |
1 |
0,9 | |
ОГБУЗ "Хиславичская ЦРБ" |
1 |
0,9 | |
ОГБУЗ "Ярцевская ЦРБ" |
1 |
0,9 | |
ОГБУЗ "Поликлиника N 2" |
1 |
0,9 | |
ОГБУЗ "Поликлиника N 3" |
1 |
0,9 | |
ОГБУЗ "Поликлиника N 4" |
1 |
0,9 | |
ОГБУЗ "Поликлиника N 6" |
1 |
0,9 | |
ОГБУЗ "Поликлиника N 7" |
1 |
0,9 | |
ОГБУЗ "Поликлиника N 8" |
1 |
0,9 | |
ОГБУЗ "Консультативно-диагностическая поликлиника N 1" |
1 |
0,9 | |
ОГБУЗ "Смоленская ЦРБ" |
1 |
0,9 | |
ООО "Андромед" |
1 |
0,9 | |
ООО "Клиника Позвоночника 2К" |
1 |
0,9 | |
МЧУДПО "Клиника Медекс Смоленск" |
1 |
0,9 | |
ООО "Альфамед" |
1 |
0,9 | |
ОГБУЗ "Вяземская ЦРБ" |
1 |
0,9 | |
2 уровень |
Уровень |
Подуровень |
Коэффициент уровня/подуровня |
ОГБУЗ "Смоленская областная клиническая больница" |
2 |
1 |
1.0 |
ОГБУЗ "Смоленская областная детская клиническая больница" |
2 |
1 |
1.0 |
ОГБУЗ "Смоленский областной онкологический клинический диспансер" |
2 |
1 |
1.0 |
ОГБУЗ "Клиническая больница N 1" |
2 |
1 |
1.0 |
ОГБУЗ "Клинический родильный дом" |
2 |
1 |
1.0 |
ОГБУЗ "Детская клиническая больница" |
2 |
1 |
1.0 |
Частное учреждение здравоохранения "Клиническая больница "РЖД-Медицина" города Смоленск |
2 |
1 |
1.0 |
ООО "Центр ЭКО" |
2 |
1 |
1.0 |
ООО "Фрезениус Нефрокеа" |
2 |
1 |
1.0 |
Смоленский филиал ООО "БМК" |
2 |
1 |
1.0 |
МЧУ "Нефросовет-Иваново" |
2 |
1 |
1.0 |
ООО "Нефрофарм" |
2 |
1 |
1.0 |
ООО "Семья-Смоленск" |
2 |
1 |
1.0 |
ООО "Гинея" |
2 |
1 |
1.0 |
ФКУЗ "МСЧ МВД по Смоленской области" |
2 |
2 |
1,05 |
ФГБУ "Федеральный центр травматологии, ортопедии и эндопротезирования" Министерства здравоохранения Российской Федерации |
2 |
2 |
|
Приложение 4
к Тарифному соглашению
на 2025 год
от 27.12.2024
ПЕРЕЧЕНЬ МЕДИЦИНСКИХ ОРГАНИЗАЦИЙ
(СТРУКТУРНЫХ ПОДРАЗДЕЛЕНИЙ МЕДИЦИНСКИХ
ОРГАНИЗАЦИЙ), ОКАЗЫВАЮЩИХ МЕДИЦИНСКУЮ
ПОМОЩЬ В СТАЦИОНАРНЫХ УСЛОВИЯХ
N п/п |
Наименование медицинской организации |
в том числе высокотехнологичную медицинскую помощь |
1 |
ОГБУЗ "Смоленская областная клиническая больница" |
+ |
2 |
ОГБУЗ "Смоленская областная детская клиническая больница" |
+ |
3 |
ОГБУЗ "Смоленский областной онкологический клинический диспансер" |
+ |
4 |
Санаторий-профилакторий в г. Смоленске Дирекции социальной сферы - структурного подразделения Московской железной дороги - филиала ОАО "РЖД" |
|
5 |
ОГБУЗ "Велижская центральная районная больница" |
|
6 |
ОГБУЗ "Вяземская центральная районная больница" |
|
7 |
ОГБУЗ "Гагаринская центральная районная больница" |
|
8 |
ОГБУЗ "Демидовская центральная районная больница" |
|
9 |
ОГБУЗ "Дорогобужская центральная районная больница" |
|
10 |
ОГБУЗ "Ельнинская центральная районная больница" |
|
11 |
ОГБУЗ "Кардымовская центральная районная больница" |
|
12 |
ОГБУЗ "Краснинская центральная районная больница" |
|
13 |
ОГБУЗ "Монастырщинская центральная районная больница" |
|
14 |
ОГБУЗ "Починковская районная больница" |
|
15 |
ОГБУЗ "Рославльская центральная районная больница" |
|
16 |
ОГБУЗ "Руднянская центральная районная больница" |
|
17 |
ОГБУЗ "Сафоновская центральная районная больница" |
|
18 |
ОГБУЗ "Сычевская центральная районная больница" |
|
19 |
ОГБУЗ "Хиславичская центральная районная больница" |
|
20 |
ОГБУЗ "Ярцевская центральная районная больница" |
|
21 |
ОГБУЗ "Клиническая больница N 1" |
+ |
22 |
ОГБУЗ "Клинический родильный дом" |
|
23 |
ОГБУЗ "Больница медицинской реабилитации" |
|
24 |
ОГБУЗ "Детская клиническая больница" |
|
25 |
ОГБУЗ "Смоленская центральная районная больница" |
|
26 |
ОГБУЗ "Клиническая больница скорой медицинской помощи" |
+ |
27 |
ЧУЗ "Клиническая больница "РЖД-Медицина" города Смоленска |
+ |
28 |
ОГБУЗ "Смоленский областной клинический госпиталь для ветеранов войн" |
|
29 |
ОГБУЗ "Смоленская областная клиническая психиатрическая больница" |
|
30 |
ФГБУ "Федеральный центр травматологии, ортопедии и эндопротезирования" Министерства здравоохранения Российской Федерации (г. Смоленск) |
+ |
31 |
АНО "Центр восстановления здоровья и реабилитации - Санаторий "Дугино" |
|
32 |
ООО "МЕДКЛУБ" |
+ |
Приложение 4.1
к Тарифному соглашению
на 2025 год
от 27.12.2024
ПЕРЕЧЕНЬ МЕДИЦИНСКИХ ОРГАНИЗАЦИЙ
(СТРУКТУРНЫХ ПОДРАЗДЕЛЕНИЙ МЕДИЦИНСКИХ
ОРГАНИЗАЦИЙ) ПО УРОВНЯМ ОКАЗАНИЯ
МЕДИЦИНСКОЙ ПОМОЩИ С КОЭФФИЦИЕНТАМИ
УРОВНЯ, ОКАЗЫВАЮЩИХ МЕДИЦИНСКУЮ ПОМОЩЬ В
СТАЦИОНАРНЫХ УСЛОВИЯХ
(в
ред. Дополнительного соглашения к
Тарифному соглашению в системе
обязательного медицинского страхования
Смоленской области от 25.07.2025 N 7)
Наименование медицинской организации |
Уровень/подуровень |
Коэффициент уровня/подуровня | |
1 уровень |
Уровень |
Подуровень |
|
ОГБУЗ "Демидовская ЦРБ" |
1 |
1 |
0,9 |
ОГБУЗ "Краснинская ЦРБ" |
1 |
1 |
|
ОГБУЗ "Монастырщинская ЦРБ" |
1 |
1 |
|
ОГБУЗ "Смоленская ЦРБ" |
1 |
1 |
|
ОГБУЗ "Хиславичская ЦРБ" |
1 |
1 |
|
ОГБУЗ "Велижская ЦРБ" |
1 |
2 |
0,95 |
ОГБУЗ "Кардымовская ЦРБ" |
1 |
2 |
|
2 уровень |
Уровень |
Подуровень |
|
ОГБУЗ "Больница медицинской реабилитации" |
2 |
1 |
0,9 |
ОГБУЗ "Гагаринская ЦРБ" |
2 |
1 |
|
ОГБУЗ "Дорогобужская ЦРБ" |
2 |
1 |
|
ОГБУЗ "Руднянская ЦРБ" |
2 |
1 |
|
ОГБУЗ "Починковская РБ" |
2 |
1 |
|
ОГБУЗ "Смоленская областная клиническая психиатрическая больница" (инфекционное отделение, в том числе для лечения застрахованных граждан по обязательному медицинскому страхованию с заболеванием и (или) подозрением на заболевание новой коронавирусной инфекцией (COVID-19)) |
2 |
1 |
|
АНО "Центр восстановления здоровья и реабилитации - Санаторий "Дугино" |
2 |
2 |
1,00 |
ОГБУЗ "Клинический родильный дом" |
2 |
2 |
|
ОГБУЗ "Ельнинская ЦРБ" |
2 |
3 |
1,1 |
ОГБУЗ "Сычевская ЦРБ" |
2 |
3 |
|
ОГБУЗ "Детская клиническая больница" |
2 |
4 |
1,2 |
ОГБУЗ "Сафоновская ЦРБ" |
2 |
4 |
|
ОГБУЗ "Смоленский областной клинический госпиталь для ветеранов войн" |
2 |
4 |
|
ОГБУЗ "Рославльская ЦРБ" |
2 |
4 |
|
ОГБУЗ "Ярцевская ЦРБ" |
2 |
4 |
|
ОГБУЗ "Вяземская ЦРБ" |
2 |
4 |
|
3 уровень |
Уровень |
Подуровень |
|
Частное учреждение здравоохранения "Клиническая больница "РЖД-Медицина" города Смоленск |
3 |
1 |
1,1 |
ОГБУЗ "Смоленский областной онкологический клинический диспансер" |
3 |
1 |
|
ОГБУЗ "Клиническая больница N 1" |
3 |
2 |
1,2 |
ОГБУЗ "Смоленская областная клиническая больница" |
3 |
2 |
|
ОГБУЗ "Смоленская областная детская клиническая больница" |
3 |
2 |
|
ОГБУЗ "Клиническая больница скорой медицинской помощи" |
3 |
2 |
|
ФГБУ "Федеральный центр травматологии, ортопедии и эндопротезирования" Министерства здравоохранения Российской Федерации |
3 |
2 |
|
Приложение 4.2
к Тарифному соглашению
на 2025 год
от 27.12.2024
ПЕРЕЧЕНЬ КСГ КРУГЛОСУТОЧНОГО
СТАЦИОНАРА, КОТОРЫЕ ПРЕДПОЛАГАЮТ
ХИРУРГИЧЕСКОЕ ЛЕЧЕНИЕ ИЛИ
ТРОМБОЛИТИЧЕСКУЮ ТЕРАПИЮ
(в
ред. Дополнительного соглашения к
Тарифному соглашению в системе
обязательного медицинского страхования
Смоленской области от 31.01.2025 N 1)
N КСГ |
Наименование КСГ |
st02.003 |
Родоразрешение |
st02.004 |
Кесарево сечение |
st02.010 |
Операции на женских половых органах (уровень 1) |
st02.011 |
Операции на женских половых органах (уровень 2) |
st02.012 |
Операции на женских половых органах (уровень 3) |
st02.013 |
Операции на женских половых органах (уровень 4) |
st02.014 |
Слинговые операции при недержании мочи |
st02.015 |
Операции на женских половых органах (уровень 5) |
st02.016 |
Операции на женских половых органах (уровень 6) |
st02.017 |
Операции на женских половых органах (уровень 7) |
st09.001 |
Операции на мужских половых органах, дети (уровень 1) |
st09.002 |
Операции на мужских половых органах, дети (уровень 2) |
st09.003 |
Операции на мужских половых органах, дети (уровень 3) |
st09.004 |
Операции на мужских половых органах, дети (уровень 4) |
st09.005 |
Операции на почке и мочевыделительной системе, дети (уровень 1) |
st09.006 |
Операции на почке и мочевыделительной системе, дети (уровень 2) |
st09.007 |
Операции на почке и мочевыделительной системе, дети (уровень 3) |
st09.008 |
Операции на почке и мочевыделительной системе, дети (уровень 4) |
st09.009 |
Операции на почке и мочевыделительной системе, дети (уровень 5) |
st09.010 |
Операции на почке и мочевыделительной системе, дети (уровень 6) |
st09.011 |
Операции на почке и мочевыделительной системе, дети (уровень 7) |
st10.001 |
Детская хирургия (уровень 1) |
st10.002 |
Детская хирургия (уровень 2) |
st10.003 |
Аппендэктомия, дети |
st10.005 |
Операции по поводу грыж, дети (уровень 1) |
st10.006 |
Операции по поводу грыж, дети (уровень 2) |
st10.007 |
Операции по поводу грыж, дети (уровень 3) |
st10.008 |
Другие операции на органах брюшной полости, дети |
st13.002 |
Нестабильная стенокардия, инфаркт миокарда, легочная эмболия (уровень 2) |
st13.005 |
Нарушения ритма и проводимости (уровень 2) |
st13.007 |
Эндокардит, миокардит, перикардит, кардиомиопатии (уровень 2) |
st13.008 |
Инфаркт миокарда, легочная эмболия, лечение с применением тромболитической терапии (уровень 1) |
st13.009 |
Инфаркт миокарда, легочная эмболия, лечение с применением тромболитической терапии (уровень 2) |
st13.010 |
Инфаркт миокарда, легочная эмболия, лечение с применением тромболитической терапии (уровень 3) |
st14.001 |
Операции на кишечнике и анальной области (уровень 1) |
st14.002 |
Операции на кишечнике и анальной области (уровень 2) |
st14.003 |
Операции на кишечнике и анальной области (уровень 3) |
st14.004 |
Операции на кишечнике и анальной области (уровень 4) |
st15.015 |
Инфаркт мозга (уровень 2) |
st15.016 |
Инфаркт мозга (уровень 3) |
st16.007 |
Операции на центральной нервной системе и головном мозге (уровень 1) |
st16.008 |
Операции на центральной нервной системе и головном мозге (уровень 2) |
st16.009 |
Операции на периферической нервной системе (уровень 1) |
st16.010 |
Операции на периферической нервной системе (уровень 2) |
st16.011 |
Операции на периферической нервной системе (уровень 3) |
st18.002 |
Формирование, имплантация, реконструкция, удаление, смена доступа для диализа |
st19.001 |
Операции на женских половых органах при злокачественных новообразованиях (уровень 1) |
st19.002 |
Операции на женских половых органах при злокачественных новообразованиях (уровень 2) |
st19.003 |
Операции на женских половых органах при злокачественных новообразованиях (уровень 3) |
st19.004 |
Операции на кишечнике и анальной области при злокачественных новообразованиях (уровень 1) |
st19.005 |
Операции на кишечнике и анальной области при злокачественных новообразованиях (уровень 2) |
st19.006 |
Операции при злокачественных новообразованиях почки и мочевыделительной системы (уровень 1) |
st19.007 |
Операции при злокачественных новообразованиях почки и мочевыделительной системы (уровень 2) |
st19.008 |
Операции при злокачественных новообразованиях почки и мочевыделительной системы (уровень 3) |
st19.009 |
Операции при злокачественных новообразованиях кожи (уровень 1) |
st19.010 |
Операции при злокачественных новообразованиях кожи (уровень 2) |
st19.011 |
Операции при злокачественных новообразованиях кожи (уровень 3) |
st19.012 |
Операции при злокачественном новообразовании щитовидной железы (уровень 1) |
st19.013 |
Операции при злокачественном новообразовании щитовидной железы (уровень 2) |
st19.014 |
Мастэктомия, другие операции при злокачественном новообразовании молочной железы (уровень 1) |
st19.015 |
Мастэктомия, другие операции при злокачественном новообразовании молочной железы (уровень 2) |
st19.016 |
Операции при злокачественном новообразовании желчного пузыря, желчных протоков и поджелудочной железы (уровень 1) |
st19.017 |
Операции при злокачественном новообразовании желчного пузыря, желчных протоков и поджелудочной железы (уровень 2) |
st19.018 |
Операции при злокачественном новообразовании пищевода, желудка (уровень 1) |
st19.019 |
Операции при злокачественном новообразовании пищевода, желудка (уровень 2) |
st19.020 |
Операции при злокачественном новообразовании пищевода, желудка (уровень 3) |
st19.021 |
Другие операции при злокачественном новообразовании брюшной полости |
st19.022 |
Операции на органе слуха, придаточных пазухах носа и верхних дыхательных путях при злокачественных новообразованиях |
st19.023 |
Операции на нижних дыхательных путях и легочной ткани при злокачественных новообразованиях (уровень 1) |
st19.024 |
Операции на нижних дыхательных путях и легочной ткани при злокачественных новообразованиях (уровень 2) |
st19.025 |
Операции при злокачественных новообразованиях мужских половых органов (уровень 1) |
st19.026 |
Операции при злокачественных новообразованиях мужских половых органов (уровень 2) |
st19.038 |
Установка, замена порт-системы (катетера) для лекарственной терапии злокачественных новообразований |
st19.104 |
Эвисцерация малого таза при лучевых повреждениях |
st19.123 |
Прочие операции при ЗНО (уровень 1) |
st19.124 |
Прочие операции при ЗНО (уровень 2) |
st20.005 |
Операции на органе слуха, придаточных пазухах носа и верхних дыхательных путях (уровень 1) |
st20.006 |
Операции на органе слуха, придаточных пазухах носа и верхних дыхательных путях (уровень 2) |
st20.007 |
Операции на органе слуха, придаточных пазухах носа и верхних дыхательных путях (уровень 3) |
st20.008 |
Операции на органе слуха, придаточных пазухах носа и верхних дыхательных путях (уровень 4) |
st20.009 |
Операции на органе слуха, придаточных пазухах носа и верхних дыхательных путях (уровень 5) |
st20.010 |
Замена речевого процессора |
st21.001 |
Операции на органе зрения (уровень 1) |
st21.002 |
Операции на органе зрения (уровень 2) |
st21.003 |
Операции на органе зрения (уровень 3) |
st21.004 |
Операции на органе зрения (уровень 4) |
st21.005 |
Операции на органе зрения (уровень 5) |
st21.006 |
Операции на органе зрения (уровень 6) |
st21.009 |
Операции на органе зрения (факоэмульсификация с имплантацией ИОЛ) |
st21.010 |
Интравитреальное введение лекарственных препаратов |
st24.004 |
Ревматические болезни сердца (уровень 2) |
st25.004 |
Диагностическое обследование сердечно-сосудистой системы |
st25.005 |
Операции на сердце и коронарных сосудах (уровень 1) |
st25.006 |
Операции на сердце и коронарных сосудах (уровень 2) |
st25.007 |
Операции на сердце и коронарных сосудах (уровень 3) |
st25.008 |
Операции на сосудах (уровень 1) |
st25.009 |
Операции на сосудах (уровень 2) |
st25.010 |
Операции на сосудах (уровень 3) |
st25.011 |
Операции на сосудах (уровень 4) |
st25.012 |
Операции на сосудах (уровень 5) |
st25.013 |
Баллонная вазодилатация с установкой 1 стента в сосуд (сосуды) |
st25.014 |
Баллонная вазодилатация с установкой 2 стентов в сосуд (сосуды) |
st25.015 |
Баллонная вазодилатация с установкой 3 стентов в сосуд (сосуды) |
st27.007 |
Стенокардия (кроме нестабильной), хроническая ишемическая болезнь сердца (уровень 2) |
st27.009 |
Другие болезни сердца (уровень 2) |
st28.002 |
Операции на нижних дыхательных путях и легочной ткани, органах средостения (уровень 1) |
st28.003 |
Операции на нижних дыхательных путях и легочной ткани, органах средостения (уровень 2) |
st28.004 |
Операции на нижних дыхательных путях и легочной ткани, органах средостения (уровень 3) |
st28.005 |
Операции на нижних дыхательных путях и легочной ткани, органах средостения (уровень 4) |
st29.007 |
Тяжелая множественная и сочетанная травма (политравма) |
st29.008 |
Эндопротезирование суставов |
st29.009 |
Операции на костно-мышечной системе и суставах (уровень 1) |
st29.010 |
Операции на костно-мышечной системе и суставах (уровень 2) |
st29.011 |
Операции на костно-мышечной системе и суставах (уровень 3) |
st29.012 |
Операции на костно-мышечной системе и суставах (уровень 4) |
st29.013 |
Операции на костно-мышечной системе и суставах (уровень 5) |
st30.006 |
Операции на мужских половых органах, взрослые (уровень 1) |
st30.007 |
Операции на мужских половых органах, взрослые (уровень 2) |
st30.008 |
Операции на мужских половых органах, взрослые (уровень 3) |
st30.009 |
Операции на мужских половых органах, взрослые (уровень 4) |
st30.010 |
Операции на почке и мочевыделительной системе, взрослые (уровень 1) |
st30.011 |
Операции на почке и мочевыделительной системе, взрослые (уровень 2) |
st30.012 |
Операции на почке и мочевыделительной системе, взрослые (уровень 3) |
st30.013 |
Операции на почке и мочевыделительной системе, взрослые (уровень 4) |
st30.014 |
Операции на почке и мочевыделительной системе, взрослые (уровень 5) |
st30.015 |
Операции на почке и мочевыделительной системе, взрослые (уровень 6) |
st30.016 |
Операции на почке и мочевыделительной системе, взрослые (уровень 7) |
st31.002 |
Операции на коже, подкожной клетчатке, придатках кожи (уровень 1) |
st31.003 |
Операции на коже, подкожной клетчатке, придатках кожи (уровень 2) |
st31.004 |
Операции на коже, подкожной клетчатке, придатках кожи (уровень 3) |
st31.005 |
Операции на коже, подкожной клетчатке, придатках кожи (уровень 4) |
st31.006 |
Операции на органах кроветворения и иммунной системы (уровень 1) |
st31.007 |
Операции на органах кроветворения и иммунной системы (уровень 2) |
st31.008 |
Операции на органах кроветворения и иммунной системы (уровень 3) |
st31.009 |
Операции на эндокринных железах кроме гипофиза (уровень 1) |
st31.010 |
Операции на эндокринных железах кроме гипофиза (уровень 2) |
st31.015 |
Остеомиелит (уровень 3) |
st31.019 |
Операции на молочной железе (кроме злокачественных новообразований) |
st32.001 |
Операции на желчном пузыре и желчевыводящих путях (уровень 1) |
st32.002 |
Операции на желчном пузыре и желчевыводящих путях (уровень 2) |
st32.003 |
Операции на желчном пузыре и желчевыводящих путях (уровень 3) |
st32.004 |
Операции на желчном пузыре и желчевыводящих путях (уровень 4) |
st32.005 |
Операции на печени и поджелудочной железе (уровень 1) |
st32.006 |
Операции на печени и поджелудочной железе (уровень 2) |
st32.007 |
Панкреатит, хирургическое лечение |
st32.008 |
Операции на пищеводе, желудке, двенадцатиперстной кишке (уровень 1) |
st32.009 |
Операции на пищеводе, желудке, двенадцатиперстной кишке (уровень 2) |
st32.010 |
Операции на пищеводе, желудке, двенадцатиперстной кишке (уровень 3) |
st32.011 |
Аппендэктомия, взрослые |
st32.013 |
Операции по поводу грыж, взрослые (уровень 1) |
st32.014 |
Операции по поводу грыж, взрослые (уровень 2) |
st32.015 |
Операции по поводу грыж, взрослые (уровень 3) |
st32.016 |
Другие операции на органах брюшной полости (уровень 1) |
st32.017 |
Другие операции на органах брюшной полости (уровень 2) |
st32.018 |
Другие операции на органах брюшной полости (уровень 3) |
st32.019 |
Операции по поводу грыж, взрослые (уровень 4) |
st32.020 |
Другие операции на органах брюшной полости (уровень 4) |
st32.021 |
Другие операции на органах брюшной полости (уровень 5) |
st33.005 |
Ожоги (уровень 3) |
st33.006 |
Ожоги (уровень 4) |
st33.007 |
Ожоги (уровень 5) |
st33.008 |
Ожоги (уровень 4,5) с синдромом органной дисфункции |
st34.002 |
Операции на органах полости рта (уровень 1) |
st34.003 |
Операции на органах полости рта (уровень 2) |
st34.004 |
Операции на органах полости рта (уровень 3) |
st34.005 |
Операции на органах полости рта (уровень 4) |
st36.009 |
Реинфузия аутокрови |
st36.010 |
Баллонная внутриаортальная контрпульсация |
st36.011 |
Экстракорпоральная мембранная оксигенация |
Приложение 4.3
к Тарифному соглашению
на 2025 год
от 27.12.2024
ПЕРЕЧЕНЬ КСГ КРУГЛОСУТОЧНОГО
СТАЦИОНАРА, ОПЛАТА ПО КОТОРЫМ
ОСУЩЕСТВЛЯЕТСЯ С ОПТИМАЛЬНОЙ
ДЛИТЕЛЬНОСТЬЮ ЛЕЧЕНИЯ ДО 3 ДНЕЙ
ВКЛЮЧИТЕЛЬНО
(в
ред. Дополнительного соглашения к
Тарифному соглашению в системе
обязательного медицинского страхования
Смоленской области от 31.01.2025 N 1)
N КСГ |
Наименование КСГ |
st02.001 |
Осложнения, связанные с беременностью |
st02.002 |
Беременность, закончившаяся абортивным исходом |
st02.003 |
Родоразрешение |
st02.004 |
Кесарево сечение |
st02.010 |
Операции на женских половых органах (уровень 1) |
st02.011 |
Операции на женских половых органах (уровень 2) |
st02.015 |
Операции на женских половых органах (уровень 5) |
st02.016 |
Операции на женских половых органах (уровень 6) |
st02.017 |
Операции на женских половых органах (уровень 7) |
st03.002 |
Ангионевротический отек, анафилактический шок |
st05.008 |
Лекарственная терапия при доброкачественных заболеваниях крови и пузырном заносе <*> |
st08.001 |
Лекарственная терапия при злокачественных новообразованиях других локализаций (кроме лимфоидной и кроветворной тканей), дети <*> |
st08.002 |
Лекарственная терапия при остром лейкозе, дети <*> |
st08.003 |
Лекарственная терапия при других злокачественных новообразованиях лимфоидной и кроветворной тканей, дети <*> |
st09.011 |
Операция на почке и мочевыделительной системе, дети (уровень 7) |
st10.008 |
Другие операции на органах брюшной полости, дети |
st12.001 |
Кишечные инфекции, взрослые |
st12.002 |
Кишечные инфекции, дети |
st12.010 |
Респираторные инфекции верхних дыхательных путей с осложнениями, взрослые |
st12.011 |
Респираторные инфекции верхних дыхательных путей, дети |
st14.002 |
Операции на кишечнике и анальной области (уровень 2) |
st14.004 |
Операции на кишечнике и анальной области (уровень 4) |
st15.008 |
Неврологические заболевания, лечение с применением ботулотоксина (уровень 1) <*> |
st15.009 |
Неврологические заболевания, лечение с применением ботулотоксина (уровень 2) <*> |
st16.005 |
Сотрясение головного мозга |
st19.007 |
Операции при злокачественных новообразованиях почки и мочевыделительной системы (уровень 2) |
st19.038 |
Установка, замена порт-системы (катетера) для лекарственной терапии злокачественных новообразований |
st19.163 |
Лекарственная терапия при злокачественных новообразованиях (кроме лимфоидной и кроветворной тканей), взрослые (уровень 1) <*> |
st19.164 |
Лекарственная терапия при злокачественных новообразованиях (кроме лимфоидной и кроветворной тканей), взрослые (уровень 2) <*> |
st19.165 |
Лекарственная терапия при злокачественных новообразованиях (кроме лимфоидной и кроветворной тканей), взрослые (уровень 3) <*> |
st19.166 |
Лекарственная терапия при злокачественных новообразованиях (кроме лимфоидной и кроветворной тканей), взрослые (уровень 4) <*> |
st19.167 |
Лекарственная терапия при злокачественных новообразованиях (кроме лимфоидной и кроветворной тканей), взрослые (уровень 5) <*> |
st19.168 |
Лекарственная терапия при злокачественных новообразованиях (кроме лимфоидной и кроветворной тканей), взрослые (уровень 6) <*> |
st19.169 |
Лекарственная терапия при злокачественных новообразованиях (кроме лимфоидной и кроветворной тканей), взрослые (уровень 7) <*> |
st19.170 |
Лекарственная терапия при злокачественных новообразованиях (кроме лимфоидной и кроветворной тканей), взрослые (уровень 8) <*> |
st19.171 |
Лекарственная терапия при злокачественных новообразованиях (кроме лимфоидной и кроветворной тканей), взрослые (уровень 9) <*> |
st19.172 |
Лекарственная терапия при злокачественных новообразованиях (кроме лимфоидной и кроветворной тканей), взрослые (уровень 10) <*> |
st19.173 |
Лекарственная терапия при злокачественных новообразованиях (кроме лимфоидной и кроветворной тканей), взрослые (уровень 11) <*> |
st19.174 |
Лекарственная терапия при злокачественных новообразованиях (кроме лимфоидной и кроветворной тканей), взрослые (уровень 12) <*> |
st19.175 |
Лекарственная терапия при злокачественных новообразованиях (кроме лимфоидной и кроветворной тканей), взрослые (уровень 13) <*> |
st19.176 |
Лекарственная терапия при злокачественных новообразованиях (кроме лимфоидной и кроветворной тканей), взрослые (уровень 14) <*> |
st19.177 |
Лекарственная терапия при злокачественных новообразованиях (кроме лимфоидной и кроветворной тканей), взрослые (уровень 15) <*> |
st19.178 |
Лекарственная терапия при злокачественных новообразованиях (кроме лимфоидной и кроветворной тканей), взрослые (уровень 16) <*> |
st19.179 |
Лекарственная терапия при злокачественных новообразованиях (кроме лимфоидной и кроветворной тканей), взрослые (уровень 17) <*> |
st19.180 |
Лекарственная терапия при злокачественных новообразованиях (кроме лимфоидной и кроветворной тканей), взрослые (уровень 18) <*> |
st19.181 |
Лекарственная терапия при злокачественных новообразованиях (кроме лимфоидной и кроветворной тканей), взрослые (уровень 19) <*> |
st19.082 |
Лучевая терапия (уровень 8) |
st19.090 |
ЗНО лимфоидной и кроветворной тканей без специального противоопухолевого лечения (уровень 1) |
st19.094 |
ЗНО лимфоидной и кроветворной тканей, лекарственная терапия, взрослые (уровень 1) |
st19.097 |
ЗНО лимфоидной и кроветворной тканей, лекарственная терапия с применением отдельных препаратов (по перечню), взрослые (уровень 1) |
st19.100 |
ЗНО лимфоидной и кроветворной тканей, лекарственная терапия с применением отдельных препаратов (по перечню), взрослые (уровень 4) |
st20.005 |
Операции на органе слуха, придаточных пазухах носа и верхних дыхательных путях (уровень 1) |
st20.006 |
Операции на органе слуха, придаточных пазухах носа и верхних дыхательных путях (уровень 2) |
st20.010 |
Замена речевого процессора |
st21.001 |
Операции на органе зрения (уровень 1) |
st21.002 |
Операции на органе зрения (уровень 2) |
st21.003 |
Операции на органе зрения (уровень 3) |
st21.004 |
Операции на органе зрения (уровень 4) |
st21.005 |
Операции на органе зрения (уровень 5) |
st21.006 |
Операции на органе зрения (уровень 6) |
st21.009 |
Операции на органе зрения (факоэмульсификация с имплантацией ИОЛ) |
st21.010 |
Интравитреальное введение лекарственных препаратов |
st25.004 |
Диагностическое обследование сердечно-сосудистой системы |
st27.012 |
Отравления и другие воздействия внешних причин |
st30.006 |
Операции на мужских половых органах, взрослые (уровень 1) |
st30.010 |
Операции на почке и мочевыделительной системе, взрослые (уровень 1) |
st30.011 |
Операции на почке и мочевыделительной системе, взрослые (уровень 2) |
st30.012 |
Операции на почке и мочевыделительной системе, взрослые (уровень 3) |
st30.014 |
Операции на почке и мочевыделительной системе, взрослые (уровень 5) |
st30.016 |
Операции на почке и мочевыделительной системе, взрослые (уровень 7) |
st31.017 |
Доброкачественные новообразования, новообразования in situ кожи, жировой ткани и другие болезни кожи |
st32.002 |
Операции на желчном пузыре и желчевыводящих путях (уровень 2) |
st32.016 |
Другие операции на органах брюшной полости (уровень 1) |
st32.020 |
Другие операции на органах брюшной полости (уровень 4) |
st32.021 |
Другие операции на органах брюшной полости (уровень 5) |
st34.002 |
Операции на органах полости рта (уровень 1) |
st36.001 |
Комплексное лечение с применением препаратов иммуноглобулина <*> |
st36.007 |
Установка, замена, заправка помп для лекарственных препаратов |
st36.009 |
Реинфузия аутокрови |
st36.010 |
Баллонная внутриаортальная контрпульсация |
st36.011 |
Экстракорпоральная мембранная оксигенация |
st36.024 |
Радиойодтерапия |
st36.025 |
Проведение иммунизации против респираторно-синцитиальной вирусной инфекции (уровень 1) |
st36.026 |
Проведение иммунизации против респираторно-синцитиальной вирусной инфекции (уровень 2) |
st36.028 |
Лечение с применением генно-инженерных биологических препаратов и селективных иммунодепрессантов (уровень 1) <*> |
st36.029 |
Лечение с применением генно-инженерных биологических препаратов и селективных иммунодепрессантов (уровень 2) <*> |
st36.030 |
Лечение с применением генно-инженерных биологических препаратов и селективных иммунодепрессантов (уровень 3) <*> |
st36.031 |
Лечение с применением генно-инженерных биологических препаратов и селективных иммунодепрессантов (уровень 4) <*> |
st36.032 |
Лечение с применением генно-инженерных биологических препаратов и селективных иммунодепрессантов (уровень 5) <*> |
st36.033 |
Лечение с применением генно-инженерных биологических препаратов и селективных иммунодепрессантов (уровень 6) <*> |
st36.034 |
Лечение с применением генно-инженерных биологических препаратов и селективных иммунодепрессантов (уровень 7) <*> |
st36.035 |
Лечение с применением генно-инженерных биологических препаратов и селективных иммунодепрессантов (уровень 8) <*> |
st36.036 |
Лечение с применением генно-инженерных биологических препаратов и селективных иммунодепрессантов (уровень 9) <*> |
st36.037 |
Лечение с применением генно-инженерных биологических препаратов и селективных иммунодепрессантов (уровень 10) <*> |
st36.038 |
Лечение с применением генно-инженерных биологических препаратов и селективных иммунодепрессантов (уровень 11) <*> |
st36.039 |
Лечение с применением генно-инженерных биологических препаратов и селективных иммунодепрессантов (уровень 12) <*> |
st36.040 |
Лечение с применением генно-инженерных биологических препаратов и селективных иммунодепрессантов (уровень 13) <*> |
st36.041 |
Лечение с применением генно-инженерных биологических препаратов и селективных иммунодепрессантов (уровень 14) <*> |
st36.042 |
Лечение с применением генно-инженерных биологических препаратов и селективных иммунодепрессантов (уровень 15) <*> |
st36.043 |
Лечение с применением генно-инженерных биологических препаратов и селективных иммунодепрессантов (уровень 16) <*> |
st36.044 |
Лечение с применением генно-инженерных биологических препаратов и селективных иммунодепрессантов (уровень 17) <*> |
st36.045 |
Лечение с применением генно-инженерных биологических препаратов и селективных иммунодепрессантов (уровень 18) <*> |
st36.046 |
Лечение с применением генно-инженерных биологических препаратов и селективных иммунодепрессантов (уровень 19) <*> |
st36.047 |
Лечение с применением генно-инженерных биологических препаратов и селективных иммунодепрессантов (уровень 20) <*> |
st36.048 |
Досуточная госпитализация в диагностических целях |
* При условии соблюдения режима
введения лекарственных препаратов
согласно инструкциям по применению
лекарственных препаратов для
медицинского применения.
Приложение 4.4
к Тарифному соглашению
на 2025 год
от 27.12.2024
ПЕРЕЧЕНЬ КЛИНИКО-СТАТИСТИЧЕСКИХ ГРУПП, К
КОТОРЫМ НЕ ПРИМЕНЯЕТСЯ ПОНИЖАЮЩИЙ
КОЭФФИЦИЕНТ СПЕЦИФИКИ
N КСГ |
Наименование КСГ |
st13.002 |
Нестабильная стенокардия, инфаркт миокарда, легочная эмболия (уровень 2) |
st13.005 |
Нарушения ритма и проводимости (уровень 2) |
st13.007 |
Эндокардит, миокардит, перикардит, кардиомиопатии (уровень 2) |
st15.015 |
Инфаркт мозга (уровень 2) |
st15.016 |
Инфаркт мозга (уровень 3) |
st17.001 |
Малая масса тела при рождении, недоношенность |
st17.002 |
Крайне малая масса тела при рождении, крайняя незрелость |
st17.003 |
Лечение новорожденных с тяжелой патологией с применением аппаратных методов поддержки или замещения витальных функций |
st21.005 |
Операции на органе зрения (уровень 5) |
Приложение 4.5
к Тарифному соглашению
на 2025 год
от 27.12.2024
ПЕРЕЧЕНЬ КЛИНИКО-СТАТИСТИЧЕСКИХ ГРУПП, К
КОТОРЫМ НЕ ПРИМЕНЯЕТСЯ ПОВЫШАЮЩИЙ
КОЭФФИЦИЕНТ СПЕЦИФИКИ
N КСГ |
Наименование КСГ |
st04.001 |
Язва желудка и двенадцатиперстной кишки |
st12.001 |
Кишечные инфекции, взрослые |
st16.003 |
Дорсопатии, спондилопатии, остеопатии |
st27.001 |
Болезни пищевода, гастрит, дуоденит, другие болезни желудка и двенадцатиперстной кишки |
st27.003 |
Болезни желчного пузыря |
st27.005 |
Гипертоническая болезнь в стадии обострения |
st27.006 |
Стенокардия (кроме нестабильной), хроническая ишемическая болезнь сердца (уровень 1) |
st27.010 |
Бронхит необструктивный, симптомы и признаки, относящиеся к органам дыхания |
st30.004 |
Болезни предстательной железы |
st31.002 |
Операции на коже, подкожной клетчатке, придатках кожи (уровень 1) |
st31.012 |
Артрозы, другие поражения суставов, болезни мягких тканей |
st31.018 |
Открытые раны, поверхностные, другие и неуточненные травмы |
Приложение 4.6
к Тарифному соглашению
на 2025 год
от 27.12.2024
СТОИМОСТЬ ОДНОГО СЛУЧАЯ ГОСПИТАЛИЗАЦИИ
ПО КСГ В УСЛОВИЯХ СТАЦИОНАРНОЙ ПОМОЩИ
(в
ред. Дополнительного соглашения к
Тарифному соглашению в системе
обязательного медицинского страхования
Смоленской области от 31.01.2025 N 1)
Средний размер финансового обеспечения медицинской помощи в расчете на одно застрахованное лицо, руб. |
8372,73 |
Стоимость одного случая госпитализации по КСГ в условиях стационарной помощи (тариф) | |||||||||||||||||||||||||||||||||||||||
Размер средней стоимости законченного случая лечения, руб. |
32120,12 |
| |||||||||||||||||||||||||||||||||||||||
N п/п |
Код |
Наименование КСГ |
Коэффициент относительной затратоемкости КСГ |
Коэффициент специфики |
Доля заработной платы, % |
3 уровень |
2 уровень |
1 уровень | |||||||||||||||||||||||||||||||||
|
|
|
|
|
|
3.1 подуровень |
3.2 подуровень |
2.1 подуровень |
2.2 подуровень |
2.3 подуровень |
2.4 подуровень |
1.1 подуровень |
1.2 подуровень | ||||||||||||||||||||||||||||
1 |
st01.001 |
Беременность без патологии, дородовая госпитализация в отделение сестринского ухода |
0,50 |
1,00 |
|
16060,06 |
16060,06 |
16060,06 |
16060,06 |
16060,06 |
16060,06 |
16060,06 |
16060,06 | ||||||||||||||||||||||||||||
2 |
st02.001 |
Осложнения, связанные с беременностью |
0,93 |
0,90 |
|
29572,99 |
32261,45 |
24196,09 |
26884,54 |
29572,99 |
32261,45 |
24196,09 |
25540,31 | ||||||||||||||||||||||||||||
3 |
st02.002 |
Беременность, закончившаяся абортивным исходом |
0,28 |
0,80 |
|
7194,91 |
7194,91 |
7194,91 |
7194,91 |
7194,91 |
7194,91 |
7194,91 |
7194,91 | ||||||||||||||||||||||||||||
4 |
st02.003 |
Родоразрешение |
0,98 |
1,20 |
|
41550,59 |
45327,91 |
33995,94 |
37773,26 |
41550,59 |
45327,91 |
33995,94 |
35884,60 | ||||||||||||||||||||||||||||
5 |
st02.004 |
Кесарево сечение |
1,01 |
1,20 |
|
42822,54 |
46715,50 |
35036,63 |
38929,59 |
42822,54 |
46715,50 |
35036,63 |
36983,11 | ||||||||||||||||||||||||||||
6 |
st02.005 |
Осложнения послеродового периода |
0,74 |
1,00 |
|
26145,78 |
28522,67 |
21392,00 |
23768,89 |
26145,78 |
28522,67 |
21392,00 |
22580,44 | ||||||||||||||||||||||||||||
7 |
st02.006 |
Послеродовой сепсис |
3,21 |
1,00 |
|
103105,59 |
103105,59 |
103105,59 |
103105,59 |
103105,59 |
103105,59 |
103105,59 |
103105,59 | ||||||||||||||||||||||||||||
8 |
st02.007 |
Воспалительные болезни женских половых органов |
0,71 |
1,00 |
|
25085,81 |
27366,34 |
20524,76 |
22805,29 |
25085,81 |
27366,34 |
20524,76 |
21665,02 | ||||||||||||||||||||||||||||
9 |
st02.008 |
Доброкачественные новообразования, новообразования in situ, неопределенного и неизвестного характера женских половых органов |
0,89 |
1,00 |
|
31445,60 |
34304,29 |
25728,22 |
28586,91 |
31445,60 |
34304,29 |
25728,22 |
27157,56 | ||||||||||||||||||||||||||||
10 |
st02.009 |
Другие болезни, врожденные аномалии, повреждения женских половых органов |
0,46 |
0,90 |
|
14627,50 |
15957,28 |
11967,96 |
13297,73 |
14627,50 |
15957,28 |
11967,96 |
12632,84 | ||||||||||||||||||||||||||||
11 |
st02.010 |
Операции на женских половых органах (уровень 1) |
0,39 |
1,00 |
|
13779,53 |
15032,22 |
11274,16 |
12526,85 |
13779,53 |
15032,22 |
11274,16 |
11900,50 | ||||||||||||||||||||||||||||
12 |
st02.011 |
Операции на женских половых органах (уровень 2) |
0,58 |
1,00 |
|
20492,64 |
22355,60 |
16766,70 |
18629,67 |
20492,64 |
22355,60 |
16766,70 |
17698,19 | ||||||||||||||||||||||||||||
13 |
st02.012 |
Операции на женских половых органах (уровень 3) |
1,17 |
1,00 |
|
37580,54 |
37580,54 |
37580,54 |
37580,54 |
37580,54 |
37580,54 |
37580,54 |
37580,54 | ||||||||||||||||||||||||||||
14 |
st02.013 |
Операции на женских половых органах (уровень 4) |
2,20 |
1,00 |
|
77730,69 |
84797,12 |
63597,84 |
70664,26 |
77730,69 |
84797,12 |
63597,84 |
67131,05 | ||||||||||||||||||||||||||||
15 |
st02.014 |
Слинговые операции при недержании мочи |
3,85 |
1,00 |
30,45% |
127427,98 |
131193,51 |
119896,94 |
123662,46 |
127427,98 |
131193,51 |
119896,94 |
121779,70 | ||||||||||||||||||||||||||||
16 |
st02.015 |
Операции на женских половых органах (уровень 5) |
3,56 |
1,00 |
38,49% |
118748,87 |
123150,11 |
109946,39 |
114347,63 |
118748,87 |
123150,11 |
109946,39 |
112147,01 | ||||||||||||||||||||||||||||
17 |
st02.016 |
Операции на женских половых органах (уровень 6) |
4,46 |
1,00 |
31,98% |
147837,05 |
152418,37 |
138674,42 |
143255,74 |
147837,05 |
152418,37 |
138674,42 |
140965,08 | ||||||||||||||||||||||||||||
18 |
st02.017 |
Операции на женских половых органах (уровень 7) |
4,97 |
1,00 |
33,61% |
165002,40 |
170367,80 |
154271,60 |
159637,00 |
165002,40 |
170367,80 |
154271,60 |
156954,30 | ||||||||||||||||||||||||||||
19 |
st03.001 |
Нарушения с вовлечением иммунного механизма |
4,52 |
1,00 |
|
159701,24 |
174219,53 |
130664,65 |
145182,94 |
159701,24 |
174219,53 |
130664,65 |
137923,80 | ||||||||||||||||||||||||||||
20 |
st03.002 |
Ангионевротический отек, анафилактический шок |
0,27 |
1,00 |
|
8672,43 |
8672,43 |
8672,43 |
8672,43 |
8672,43 |
8672,43 |
8672,43 |
8672,43 | ||||||||||||||||||||||||||||
21 |
st04.001 |
Язва желудка и двенадцатиперстной кишки |
0,89 |
1,00 |
|
28586,91 |
28586,91 |
28586,91 |
28586,91 |
28586,91 |
28586,91 |
28586,91 |
28586,91 | ||||||||||||||||||||||||||||
22 |
st04.002 |
Воспалительные заболевания кишечника |
2,01 |
1,00 |
|
71017,59 |
77473,73 |
58105,30 |
64561,44 |
71017,59 |
77473,73 |
58105,30 |
61333,37 | ||||||||||||||||||||||||||||
23 |
st04.003 |
Болезни печени, невирусные (уровень 1) |
0,86 |
1,00 |
|
30385,63 |
33147,96 |
24860,97 |
27623,30 |
30385,63 |
33147,96 |
24860,97 |
26242,14 | ||||||||||||||||||||||||||||
24 |
st04.004 |
Болезни печени, невирусные (уровень 2) |
1,21 |
1,00 |
|
42751,88 |
46638,41 |
34978,81 |
38865,35 |
42751,88 |
46638,41 |
34978,81 |
36922,08 | ||||||||||||||||||||||||||||
25 |
st04.005 |
Болезни поджелудочной железы |
0,87 |
0,90 |
|
27665,06 |
30180,06 |
22635,05 |
25150,05 |
27665,06 |
30180,06 |
22635,05 |
23892,55 | ||||||||||||||||||||||||||||
26 |
st04.006 |
Панкреатит с синдромом органной дисфункции |
4,19 |
1,00 |
|
148041,63 |
161499,96 |
121124,97 |
134583,30 |
148041,63 |
161499,96 |
121124,97 |
127854,14 | ||||||||||||||||||||||||||||
27 |
st05.001 |
Анемии (уровень 1) |
0,94 |
1,00 |
|
33212,20 |
36231,50 |
27173,62 |
30192,91 |
33212,20 |
36231,50 |
27173,62 |
28683,27 | ||||||||||||||||||||||||||||
28 |
st05.002 |
Анемии (уровень 2) |
5,32 |
1,00 |
|
187966,94 |
205054,85 |
153791,13 |
170879,04 |
187966,94 |
205054,85 |
153791,13 |
162335,09 | ||||||||||||||||||||||||||||
29 |
st05.003 |
Нарушения свертываемости крови |
4,50 |
1,00 |
|
158994,59 |
173448,65 |
130086,49 |
144540,54 |
158994,59 |
173448,65 |
130086,49 |
137313,51 | ||||||||||||||||||||||||||||
30 |
st05.004 |
Другие болезни крови и кроветворных органов (уровень 1) |
1,09 |
1,00 |
|
38512,02 |
42013,12 |
31509,84 |
35010,93 |
38512,02 |
42013,12 |
31509,84 |
33260,38 | ||||||||||||||||||||||||||||
31 |
st05.005 |
Другие болезни крови и кроветворных органов (уровень 2) |
4,51 |
1,00 |
|
159347,92 |
173834,09 |
130375,57 |
144861,74 |
159347,92 |
173834,09 |
130375,57 |
137618,65 | ||||||||||||||||||||||||||||
32 |
st05.008 |
Лекарственная терапия при доброкачественных заболеваниях крови и пузырном заносе |
2,05 |
1,00 |
|
72430,87 |
79015,50 |
59261,62 |
65846,25 |
72430,87 |
79015,50 |
59261,62 |
62553,93 | ||||||||||||||||||||||||||||
33 |
st06.004 |
Лечение дерматозов с применением наружной терапии |
0,32 |
0,80 |
97,47% |
9076,23 |
9877,70 |
7473,29 |
8274,76 |
9076,23 |
9877,70 |
7473,29 |
7874,02 | ||||||||||||||||||||||||||||
34 |
st06.005 |
Лечение дерматозов с применением наружной терапии, физиотерапии, плазмафереза |
1,39 |
0,80 |
98,49% |
39370,23 |
42888,05 |
32334,58 |
35852,41 |
39370,23 |
42888,05 |
32334,58 |
34093,50 | ||||||||||||||||||||||||||||
35 |
st06.006 |
Лечение дерматозов с применением наружной и системной терапии |
2,10 |
0,80 |
99,04% |
59435,69 |
64780,06 |
48746,93 |
54091,31 |
59435,69 |
64780,06 |
48746,93 |
51419,12 | ||||||||||||||||||||||||||||
36 |
st06.007 |
Лечение дерматозов с применением наружной терапии и фототерапии |
2,86 |
0,80 |
98,00% |
81060,39 |
88262,49 |
66656,19 |
73858,29 |
81060,39 |
88262,49 |
66656,19 |
70257,24 | ||||||||||||||||||||||||||||
37 |
st07.001 |
Врожденные аномалии сердечно-сосудистой системы, дети |
1,84 |
1,00 |
|
65011,12 |
70921,22 |
53190,92 |
59101,02 |
65011,12 |
70921,22 |
53190,92 |
56145,97 | ||||||||||||||||||||||||||||
38 |
st08.001 |
Лекарственная терапия при злокачественных новообразованиях других локализаций (кроме лимфоидной и кроветворной тканей), дети |
4,37 |
1,00 |
|
154401,42 |
168437,91 |
126328,43 |
140364,92 |
154401,42 |
168437,91 |
126328,43 |
133346,68 | ||||||||||||||||||||||||||||
39 |
st08.002 |
Лекарственная терапия при остром лейкозе, дети |
7,82 |
1,00 |
|
276297,27 |
301415,21 |
226061,40 |
251179,34 |
276297,27 |
301415,21 |
226061,40 |
238620,37 | ||||||||||||||||||||||||||||
40 |
st08.003 |
Лекарственная терапия при других злокачественных новообразованиях лимфоидной и кроветворной тканей, дети |
5,68 |
1,00 |
|
200686,51 |
218930,74 |
164198,05 |
182442,28 |
200686,51 |
218930,74 |
164198,05 |
173320,17 | ||||||||||||||||||||||||||||
41 |
st09.001 |
Операции на мужских половых органах, дети (уровень 1) |
0,97 |
1,00 |
|
34272,17 |
37387,82 |
28040,86 |
31156,52 |
34272,17 |
37387,82 |
28040,86 |
29598,69 | ||||||||||||||||||||||||||||
42 |
st09.002 |
Операции на мужских половых органах, дети (уровень 2) |
1,11 |
1,00 |
|
39218,67 |
42784,00 |
32088,00 |
35653,33 |
39218,67 |
42784,00 |
32088,00 |
33870,67 | ||||||||||||||||||||||||||||
43 |
st09.003 |
Операции на мужских половых органах, дети (уровень 3) |
1,97 |
1,00 |
|
63276,64 |
63276,64 |
63276,64 |
63276,64 |
63276,64 |
63276,64 |
63276,64 |
63276,64 | ||||||||||||||||||||||||||||
44 |
st09.004 |
Операции на мужских половых органах, дети (уровень 4) |
2,78 |
1,00 |
|
89293,93 |
89293,93 |
89293,93 |
89293,93 |
89293,93 |
89293,93 |
89293,93 |
89293,93 | ||||||||||||||||||||||||||||
45 |
st09.005 |
Операции на почке и мочевыделительной системе, дети (уровень 1) |
1,15 |
1,00 |
|
40631,95 |
44325,77 |
33244,32 |
36938,14 |
40631,95 |
44325,77 |
33244,32 |
35091,23 | ||||||||||||||||||||||||||||
46 |
st09.006 |
Операции на почке и мочевыделительной системе, дети (уровень 2) |
1,22 |
1,00 |
|
43105,20 |
47023,86 |
35267,89 |
39186,55 |
43105,20 |
47023,86 |
35267,89 |
37227,22 | ||||||||||||||||||||||||||||
47 |
st09.007 |
Операции на почке и мочевыделительной системе, дети (уровень 3) |
1,78 |
1,00 |
|
62891,19 |
68608,58 |
51456,43 |
57173,81 |
62891,19 |
68608,58 |
51456,43 |
54315,12 | ||||||||||||||||||||||||||||
48 |
st09.008 |
Операции на почке и мочевыделительной системе, дети (уровень 4) |
2,23 |
1,00 |
|
71627,87 |
71627,87 |
71627,87 |
71627,87 |
71627,87 |
71627,87 |
71627,87 |
71627,87 | ||||||||||||||||||||||||||||
49 |
st09.009 |
Операции на почке и мочевыделительной системе, дети (уровень 5) |
2,36 |
1,00 |
|
75803,48 |
75803,48 |
75803,48 |
75803,48 |
75803,48 |
75803,48 |
75803,48 |
75803,48 | ||||||||||||||||||||||||||||
50 |
st09.010 |
Операции на почке и мочевыделительной системе, дети (уровень 6) |
4,28 |
1,00 |
|
137474,11 |
137474,11 |
137474,11 |
137474,11 |
137474,11 |
137474,11 |
137474,11 |
137474,11 | ||||||||||||||||||||||||||||
51 |
st09.011 |
Операции на почке и мочевыделительной системе, дети (уровень 7) |
4,40 |
1,00 |
16,23% |
143622,29 |
145916,05 |
139034,77 |
141328,53 |
143622,29 |
145916,05 |
139034,77 |
140181,65 | ||||||||||||||||||||||||||||
52 |
st10.001 |
Детская хирургия (уровень 1) |
2,95 |
1,00 |
|
104229,79 |
113705,22 |
85278,92 |
94754,35 |
104229,79 |
113705,22 |
85278,92 |
90016,64 | ||||||||||||||||||||||||||||
53 |
st10.002 |
Детская хирургия (уровень 2) |
5,33 |
1,00 |
|
188320,26 |
205440,29 |
154080,22 |
171200,24 |
188320,26 |
205440,29 |
154080,22 |
162640,23 | ||||||||||||||||||||||||||||
54 |
st10.003 |
Аппендэктомия, дети |
0,77 |
1,00 |
|
24732,49 |
24732,49 |
24732,49 |
24732,49 |
24732,49 |
24732,49 |
24732,49 |
24732,49 | ||||||||||||||||||||||||||||
55 |
st10.005 |
Операции по поводу грыж, дети (уровень 1) |
0,88 |
1,00 |
|
28265,71 |
28265,71 |
28265,71 |
28265,71 |
28265,71 |
28265,71 |
28265,71 |
28265,71 | ||||||||||||||||||||||||||||
56 |
st10.006 |
Операции по поводу грыж, дети (уровень 2) |
1,05 |
1,00 |
|
37098,74 |
40471,35 |
30353,51 |
33726,13 |
37098,74 |
40471,35 |
30353,51 |
32039,82 | ||||||||||||||||||||||||||||
57 |
st10.007 |
Операции по поводу грыж, дети (уровень 3) |
1,25 |
1,00 |
|
44165,17 |
48180,18 |
36135,14 |
40150,15 |
44165,17 |
48180,18 |
36135,14 |
38142,64 | ||||||||||||||||||||||||||||
58 |
st10.008 |
Другие операции на органах брюшной полости, дети |
2,29 |
1,00 |
32,42% |
75939,73 |
78324,39 |
71170,42 |
73555,07 |
75939,73 |
78324,39 |
71170,42 |
72362,75 | ||||||||||||||||||||||||||||
59 |
st11.001 |
Сахарный диабет, дети |
1,51 |
0,90 |
|
48016,37 |
52381,49 |
39286,12 |
43651,24 |
48016,37 |
52381,49 |
39286,12 |
41468,68 | ||||||||||||||||||||||||||||
60 |
st11.002 |
Заболевания гипофиза, дети |
2,26 |
1,00 |
|
79850,62 |
87109,77 |
65332,32 |
72591,47 |
79850,62 |
87109,77 |
65332,32 |
68961,90 | ||||||||||||||||||||||||||||
61 |
st11.003 |
Другие болезни эндокринной системы, дети (уровень 1) |
1,38 |
0,90 |
|
43882,51 |
47871,83 |
35903,87 |
39893,19 |
43882,51 |
47871,83 |
35903,87 |
37898,53 | ||||||||||||||||||||||||||||
62 |
st11.004 |
Другие болезни эндокринной системы, дети (уровень 2) |
2,82 |
1,00 |
|
99636,61 |
108694,49 |
81520,86 |
90578,74 |
99636,61 |
108694,49 |
81520,86 |
86049,80 | ||||||||||||||||||||||||||||
63 |
st12.001 |
Кишечные инфекции, взрослые |
0,58 |
1,00 |
|
20492,64 |
22355,60 |
16766,70 |
18629,67 |
20492,64 |
22355,60 |
16766,70 |
17698,19 | ||||||||||||||||||||||||||||
64 |
st12.002 |
Кишечные инфекции, дети |
0,62 |
1,00 |
|
21905,92 |
23897,37 |
17923,03 |
19914,47 |
21905,92 |
23897,37 |
17923,03 |
18918,75 | ||||||||||||||||||||||||||||
65 |
st12.003 |
Вирусный гепатит острый |
1,40 |
1,00 |
|
49464,98 |
53961,80 |
40471,35 |
44968,17 |
49464,98 |
53961,80 |
40471,35 |
42719,76 | ||||||||||||||||||||||||||||
66 |
st12.004 |
Вирусный гепатит хронический |
1,27 |
1,00 |
|
44871,81 |
48951,06 |
36713,30 |
40792,55 |
44871,81 |
48951,06 |
36713,30 |
38752,92 | ||||||||||||||||||||||||||||
67 |
st12.005 |
Сепсис, взрослые |
3,12 |
1,00 |
|
110236,25 |
120257,73 |
90193,30 |
100214,77 |
110236,25 |
120257,73 |
90193,30 |
95204,04 | ||||||||||||||||||||||||||||
68 |
st12.006 |
Сепсис, дети |
4,51 |
1,00 |
|
159347,92 |
173834,09 |
130375,57 |
144861,74 |
159347,92 |
173834,09 |
130375,57 |
137618,65 | ||||||||||||||||||||||||||||
69 |
st12.007 |
Сепсис с синдромом органной дисфункции |
7,20 |
1,00 |
|
254391,35 |
277517,84 |
208138,38 |
231264,86 |
254391,35 |
277517,84 |
208138,38 |
219701,62 | ||||||||||||||||||||||||||||
70 |
st12.008 |
Другие инфекционные и паразитарные болезни, взрослые |
1,18 |
1,00 |
|
41691,92 |
45482,09 |
34111,57 |
37901,74 |
41691,92 |
45482,09 |
34111,57 |
36006,65 | ||||||||||||||||||||||||||||
71 |
st12.009 |
Другие инфекционные и паразитарные болезни, дети |
0,98 |
1,00 |
|
34625,49 |
37773,26 |
28329,95 |
31477,72 |
34625,49 |
37773,26 |
28329,95 |
29903,83 | ||||||||||||||||||||||||||||
72 |
st12.010 |
Респираторные инфекции верхних дыхательных путей с осложнениями, взрослые |
0,35 |
1,00 |
|
12366,25 |
13490,45 |
10117,84 |
11242,04 |
12366,25 |
13490,45 |
10117,84 |
10679,94 | ||||||||||||||||||||||||||||
73 |
st12.011 |
Респираторные инфекции верхних дыхательных путей, дети |
0,50 |
1,00 |
|
17666,07 |
19272,07 |
14454,05 |
16060,06 |
17666,07 |
19272,07 |
14454,05 |
15257,06 | ||||||||||||||||||||||||||||
74 |
st12.012 |
Грипп, вирус гриппа идентифицирован |
1,00 |
1,00 |
|
35332,13 |
38544,14 |
28908,11 |
32120,12 |
35332,13 |
38544,14 |
28908,11 |
30514,11 | ||||||||||||||||||||||||||||
75 |
st12.013 |
Грипп и пневмония с синдромом органной дисфункции |
4,40 |
1,00 |
|
155461,38 |
169594,23 |
127195,68 |
141328,53 |
155461,38 |
169594,23 |
127195,68 |
134262,10 | ||||||||||||||||||||||||||||
76 |
st12.014 |
Клещевой энцефалит |
2,30 |
1,00 |
|
81263,90 |
88651,53 |
66488,65 |
73876,28 |
81263,90 |
88651,53 |
66488,65 |
70182,46 | ||||||||||||||||||||||||||||
77 |
st12.015 |
Коронавирусная инфекция COVID-19 (уровень 1) |
1,89 |
0,80 |
91,12% |
54069,08 |
58494,38 |
45218,48 |
49643,78 |
54069,08 |
58494,38 |
45218,48 |
47431,13 | ||||||||||||||||||||||||||||
78 |
st12.016 |
Коронавирусная инфекция COVID-19 (уровень 2) |
4,08 |
0,80 |
61,30% |
121410,05 |
127836,74 |
108556,65 |
114983,35 |
121410,05 |
127836,74 |
108556,65 |
111770,00 | ||||||||||||||||||||||||||||
79 |
st12.017 |
Коронавирусная инфекция COVID-19 (уровень 3) |
6,17 |
1,00 |
63,24% |
210714,12 |
223247,09 |
185648,17 |
198181,14 |
210714,12 |
223247,09 |
185648,17 |
191914,65 | ||||||||||||||||||||||||||||
80 |
st12.018 |
Коронавирусная инфекция COVID-19 (уровень 4) |
12,07 |
1,00 |
77,63% |
417786,21 |
447882,57 |
357593,49 |
387689,85 |
417786,21 |
447882,57 |
357593,49 |
372641,67 | ||||||||||||||||||||||||||||
81 |
st12.019 |
Коронавирусная инфекция COVID-19 (долечивание) |
2,07 |
1,00 |
|
73137,51 |
79786,38 |
59839,78 |
66488,65 |
73137,51 |
79786,38 |
59839,78 |
63164,22 | ||||||||||||||||||||||||||||
82 |
st13.001 |
Нестабильная стенокардия, инфаркт миокарда, легочная эмболия (уровень 1) |
1,42 |
1,00 |
|
50171,63 |
54732,68 |
41049,51 |
45610,57 |
50171,63 |
54732,68 |
41049,51 |
43330,04 | ||||||||||||||||||||||||||||
83 |
st13.002 |
Нестабильная стенокардия, инфаркт миокарда, легочная эмболия (уровень 2) |
2,81 |
1,00 |
|
99283,29 |
108309,04 |
81231,78 |
90257,54 |
99283,29 |
108309,04 |
81231,78 |
85744,66 | ||||||||||||||||||||||||||||
84 |
st13.004 |
Нарушения ритма и проводимости (уровень 1) |
1,12 |
0,90 |
|
35614,79 |
38852,50 |
29139,37 |
32377,08 |
35614,79 |
38852,50 |
29139,37 |
30758,23 | ||||||||||||||||||||||||||||
85 |
st13.005 |
Нарушения ритма и проводимости (уровень 2) |
2,01 |
1,00 |
|
71017,59 |
77473,73 |
58105,30 |
64561,44 |
71017,59 |
77473,73 |
58105,30 |
61333,37 | ||||||||||||||||||||||||||||
86 |
st13.006 |
Эндокардит, миокардит, перикардит, кардиомиопатии (уровень 1) |
1,42 |
1,00 |
|
50171,63 |
54732,68 |
41049,51 |
45610,57 |
50171,63 |
54732,68 |
41049,51 |
43330,04 | ||||||||||||||||||||||||||||
87 |
st13.007 |
Эндокардит, миокардит, перикардит, кардиомиопатии (уровень 2) |
2,38 |
1,00 |
|
84090,47 |
91735,06 |
68801,30 |
76445,89 |
84090,47 |
91735,06 |
68801,30 |
72623,59 | ||||||||||||||||||||||||||||
88 |
st13.008 |
Инфаркт миокарда, легочная эмболия, лечение с применением тромболитической терапии (уровень 1) |
1,61 |
1,00 |
|
56884,73 |
62056,07 |
46542,05 |
51713,39 |
56884,73 |
62056,07 |
46542,05 |
49127,72 | ||||||||||||||||||||||||||||
89 |
st13.009 |
Инфаркт миокарда, легочная эмболия, лечение с применением тромболитической терапии (уровень 2) |
2,99 |
1,00 |
|
105643,07 |
115246,99 |
86435,24 |
96039,16 |
105643,07 |
115246,99 |
86435,24 |
91237,20 | ||||||||||||||||||||||||||||
90 |
st13.010 |
Инфаркт миокарда, легочная эмболия, лечение с применением тромболитической терапии (уровень 3) |
3,54 |
1,00 |
|
125075,75 |
136446,27 |
102334,70 |
113705,22 |
125075,75 |
136446,27 |
102334,70 |
108019,96 | ||||||||||||||||||||||||||||
91 |
st14.001 |
Операции на кишечнике и анальной области (уровень 1) |
0,84 |
1,00 |
|
26980,90 |
26980,90 |
26980,90 |
26980,90 |
26980,90 |
26980,90 |
26980,90 |
26980,90 | ||||||||||||||||||||||||||||
92 |
st14.002 |
Операции на кишечнике и анальной области (уровень 2) |
1,74 |
1,00 |
|
61477,91 |
67066,81 |
50300,11 |
55889,01 |
61477,91 |
67066,81 |
50300,11 |
53094,56 | ||||||||||||||||||||||||||||
93 |
st14.003 |
Операции на кишечнике и анальной области (уровень 3) |
2,49 |
1,00 |
|
87977,01 |
95974,92 |
71981,19 |
79979,10 |
87977,01 |
95974,92 |
71981,19 |
75980,14 | ||||||||||||||||||||||||||||
94 |
st14.004 |
Операции на кишечнике и анальной области (уровень 4) |
7,23 |
1,00 |
33,32% |
239966,32 |
247704,17 |
224490,62 |
232228,47 |
239966,32 |
247704,17 |
224490,62 |
228359,54 | ||||||||||||||||||||||||||||
95 |
st15.001 |
Воспалительные заболевания ЦНС, взрослые |
0,98 |
1,00 |
|
34625,49 |
37773,26 |
28329,95 |
31477,72 |
34625,49 |
37773,26 |
28329,95 |
29903,83 | ||||||||||||||||||||||||||||
96 |
st15.002 |
Воспалительные заболевания ЦНС, дети |
1,55 |
1,00 |
|
54764,80 |
59743,42 |
44807,57 |
49786,19 |
54764,80 |
59743,42 |
44807,57 |
47296,88 | ||||||||||||||||||||||||||||
97 |
st15.003 |
Дегенеративные болезни нервной системы |
0,84 |
1,00 |
|
29678,99 |
32377,08 |
24282,81 |
26980,90 |
29678,99 |
32377,08 |
24282,81 |
25631,86 | ||||||||||||||||||||||||||||
98 |
st15.004 |
Демиелинизирующие болезни нервной системы |
1,33 |
1,00 |
|
46991,74 |
51263,71 |
38447,78 |
42719,76 |
46991,74 |
51263,71 |
38447,78 |
40583,77 | ||||||||||||||||||||||||||||
99 |
st15.005 |
Эпилепсия, судороги (уровень 1) |
0,96 |
1,00 |
|
30835,32 |
30835,32 |
30835,32 |
30835,32 |
30835,32 |
30835,32 |
30835,32 |
30835,32 | ||||||||||||||||||||||||||||
100 |
st15.007 |
Расстройства периферической нервной системы |
1,02 |
0,90 |
|
32434,90 |
35383,52 |
26537,64 |
29486,27 |
32434,90 |
35383,52 |
26537,64 |
28011,96 | ||||||||||||||||||||||||||||
101 |
st15.008 |
Неврологические заболевания, лечение с применением ботулотоксина (уровень 1) |
1,43 |
1,00 |
|
45931,77 |
45931,77 |
45931,77 |
45931,77 |
45931,77 |
45931,77 |
45931,77 |
45931,77 | ||||||||||||||||||||||||||||
102 |
st15.009 |
Неврологические заболевания, лечение с применением ботулотоксина (уровень 2) |
2,11 |
1,00 |
|
67773,45 |
67773,45 |
67773,45 |
67773,45 |
67773,45 |
67773,45 |
67773,45 |
67773,45 | ||||||||||||||||||||||||||||
103 |
st15.010 |
Другие нарушения нервной системы (уровень 1) |
0,74 |
0,90 |
|
23531,20 |
25670,40 |
19252,80 |
21392,00 |
23531,20 |
25670,40 |
19252,80 |
20322,40 | ||||||||||||||||||||||||||||
104 |
st15.011 |
Другие нарушения нервной системы (уровень 2) |
0,99 |
1,00 |
|
34978,81 |
38158,70 |
28619,03 |
31798,92 |
34978,81 |
38158,70 |
28619,03 |
30208,97 | ||||||||||||||||||||||||||||
105 |
st15.012 |
Транзиторные ишемические приступы, сосудистые мозговые синдромы |
2,61 |
1,00 |
70,20% |
89718,63 |
95603,74 |
77948,40 |
83833,51 |
89718,63 |
95603,74 |
77948,40 |
80890,96 | ||||||||||||||||||||||||||||
106 |
st15.013 |
Кровоизлияние в мозг |
4,89 |
1,00 |
|
172774,13 |
188480,86 |
141360,65 |
157067,39 |
172774,13 |
188480,86 |
141360,65 |
149214,02 | ||||||||||||||||||||||||||||
107 |
st15.014 |
Инфаркт мозга (уровень 1) |
4,05 |
1,00 |
88,73% |
141629,06 |
153171,63 |
118543,91 |
130086,49 |
141629,06 |
153171,63 |
118543,91 |
124315,20 | ||||||||||||||||||||||||||||
108 |
st15.015 |
Инфаркт мозга (уровень 2) |
5,13 |
1,00 |
73,42% |
176874,09 |
188971,96 |
152678,35 |
164776,22 |
176874,09 |
188971,96 |
152678,35 |
158727,28 | ||||||||||||||||||||||||||||
109 |
st15.016 |
Инфаркт мозга (уровень 3) |
6,85 |
1,00 |
81,66% |
237989,89 |
255956,95 |
202055,76 |
220022,82 |
237989,89 |
255956,95 |
202055,76 |
211039,29 | ||||||||||||||||||||||||||||
110 |
st15.017 |
Другие цереброваскулярные болезни |
0,82 |
0,90 |
|
26075,11 |
28445,58 |
21334,18 |
23704,65 |
26075,11 |
28445,58 |
21334,18 |
22519,42 | ||||||||||||||||||||||||||||
111 |
st15.018 |
Эпилепсия, судороги (уровень 2) |
2,30 |
1,00 |
|
81263,90 |
88651,53 |
66488,65 |
73876,28 |
81263,90 |
88651,53 |
66488,65 |
70182,46 | ||||||||||||||||||||||||||||
112 |
st15.019 |
Эпилепсия (уровень 3) |
3,16 |
1,00 |
|
111649,54 |
121799,50 |
91349,62 |
101499,58 |
111649,54 |
121799,50 |
91349,62 |
96424,60 | ||||||||||||||||||||||||||||
113 |
st15.020 |
Эпилепсия (уровень 4) |
4,84 |
1,00 |
|
171007,52 |
186553,66 |
139915,24 |
155461,38 |
171007,52 |
186553,66 |
139915,24 |
147688,31 | ||||||||||||||||||||||||||||
114 |
st15.021 |
Диагностика и лечение сложных неврологических заболеваний |
2,24 |
1,00 |
73,05% |
77204,95 |
82460,83 |
66693,19 |
71949,07 |
77204,95 |
82460,83 |
66693,19 |
69321,13 | ||||||||||||||||||||||||||||
115 |
st15.022 |
Плазмоферез при неврологических заболеваниях |
6,57 |
1,00 |
88,54% |
229713,71 |
248398,24 |
192344,66 |
211029,19 |
229713,71 |
248398,24 |
192344,66 |
201686,93 | ||||||||||||||||||||||||||||
116 |
st15.023 |
Комплексное лечение неврологических заболеваний с применением препаратов высокодозного иммуноглобулина |
29,79 |
1,00 |
5,18% |
961814,90 |
966771,43 |
951901,85 |
956858,37 |
961814,90 |
966771,43 |
951901,85 |
954380,11 | ||||||||||||||||||||||||||||
117 |
st16.001 |
Паралитические синдромы, травма спинного мозга (уровень 1) |
0,98 |
1,00 |
|
34625,49 |
37773,26 |
28329,95 |
31477,72 |
34625,49 |
37773,26 |
28329,95 |
29903,83 | ||||||||||||||||||||||||||||
118 |
st16.002 |
Паралитические синдромы, травма спинного мозга (уровень 2) |
1,49 |
1,00 |
|
52644,88 |
57430,77 |
43073,08 |
47858,98 |
52644,88 |
57430,77 |
43073,08 |
45466,03 | ||||||||||||||||||||||||||||
119 |
st16.003 |
Дорсопатии, спондилопатии, остеопатии |
0,68 |
1,00 |
|
21841,68 |
21841,68 |
21841,68 |
21841,68 |
21841,68 |
21841,68 |
21841,68 |
21841,68 | ||||||||||||||||||||||||||||
120 |
st16.004 |
Травмы позвоночника |
1,01 |
1,00 |
|
35685,45 |
38929,59 |
29197,19 |
32441,32 |
35685,45 |
38929,59 |
29197,19 |
30819,26 | ||||||||||||||||||||||||||||
121 |
st16.005 |
Сотрясение головного мозга |
0,40 |
1,00 |
|
12848,05 |
12848,05 |
12848,05 |
12848,05 |
12848,05 |
12848,05 |
12848,05 |
12848,05 | ||||||||||||||||||||||||||||
122 |
st16.006 |
Переломы черепа, внутричерепная травма |
1,54 |
1,00 |
|
54411,48 |
59357,98 |
44518,49 |
49464,98 |
54411,48 |
59357,98 |
44518,49 |
46991,74 | ||||||||||||||||||||||||||||
123 |
st16.007 |
Операции на центральной нервной системе и головном мозге (уровень 1) |
4,13 |
1,00 |
|
145921,71 |
159187,31 |
119390,49 |
132656,10 |
145921,71 |
159187,31 |
119390,49 |
126023,29 | ||||||||||||||||||||||||||||
124 |
st16.008 |
Операции на центральной нервной системе и головном мозге (уровень 2) |
5,82 |
1,00 |
|
205633,01 |
224326,92 |
168245,19 |
186939,10 |
205633,01 |
224326,92 |
168245,19 |
177592,14 | ||||||||||||||||||||||||||||
125 |
st16.009 |
Операции на периферической нервной системе (уровень 1) |
1,41 |
1,00 |
|
49818,31 |
54347,24 |
40760,43 |
45289,37 |
49818,31 |
54347,24 |
40760,43 |
43024,90 |
||||||||||||||||||||||||||||
126 |
st16.010 |
Операции на периферической нервной системе (уровень 2) |
2,19 |
1,00 |
|
70343,06 |
70343,06 |
70343,06 |
70343,06 |
70343,06 |
70343,06 |
70343,06 |
70343,06 |
||||||||||||||||||||||||||||
127 |
st16.011 |
Операции на периферической нервной системе (уровень 3) |
2,42 |
1,00 |
|
77730,69 |
77730,69 |
77730,69 |
77730,69 |
77730,69 |
77730,69 |
77730,69 |
77730,69 |
||||||||||||||||||||||||||||
128 |
st16.012 |
Доброкачественные новообразования нервной системы |
1,02 |
1,00 |
|
36038,77 |
39315,03 |
29486,27 |
32762,52 |
36038,77 |
39315,03 |
29486,27 |
31124,40 |
||||||||||||||||||||||||||||
129 |
st17.001 |
Малая масса тела при рождении, недоношенность |
4,21 |
1,00 |
|
148748,28 |
162270,85 |
121703,13 |
135225,71 |
148748,28 |
162270,85 |
121703,13 |
128464,42 |
||||||||||||||||||||||||||||
130 |
st17.002 |
Крайне малая масса тела при рождении, крайняя незрелость |
15,63 |
1,00 |
|
552241,22 |
602444,97 |
451833,73 |
502037,48 |
552241,22 |
602444,97 |
451833,73 |
476935,60 |
||||||||||||||||||||||||||||
131 |
st17.003 |
Лечение новорожденных с тяжелой патологией с применением аппаратных методов поддержки или замещения витальных функций |
8,88 |
1,00 |
81,97% |
308606,70 |
331986,73 |
261846,64 |
285226,67 |
308606,70 |
331986,73 |
261846,64 |
273536,65 |
||||||||||||||||||||||||||||
132 |
st17.004 |
Геморрагические и гемолитические нарушения у новорожденных |
1,92 |
1,00 |
|
67837,69 |
74004,76 |
55503,57 |
61670,63 |
67837,69 |
74004,76 |
55503,57 |
58587,10 |
||||||||||||||||||||||||||||
133 |
st17.005 |
Другие нарушения, возникшие в перинатальном периоде (уровень 1) |
1,39 |
1,00 |
|
49111,66 |
53576,36 |
40182,27 |
44646,97 |
49111,66 |
53576,36 |
40182,27 |
42414,62 |
||||||||||||||||||||||||||||
134 |
st17.006 |
Другие нарушения, возникшие в перинатальном периоде (уровень 2) |
1,89 |
1,00 |
|
66777,73 |
72848,43 |
54636,32 |
60707,03 |
66777,73 |
72848,43 |
54636,32 |
57671,68 |
||||||||||||||||||||||||||||
135 |
st17.007 |
Другие нарушения, возникшие в перинатальном периоде (уровень 3) |
2,56 |
1,00 |
|
90450,26 |
98673,01 |
74004,76 |
82227,51 |
90450,26 |
98673,01 |
74004,76 |
78116,13 |
||||||||||||||||||||||||||||
136 |
st18.001 |
Почечная недостаточность |
1,66 |
1,00 |
|
58651,34 |
63983,28 |
47987,46 |
53319,40 |
58651,34 |
63983,28 |
47987,46 |
50653,43 |
||||||||||||||||||||||||||||
137 |
st18.002 |
Формирование, имплантация, реконструкция, удаление, смена доступа для диализа |
1,82 |
1,00 |
|
64304,48 |
70150,34 |
52612,76 |
58458,62 |
64304,48 |
70150,34 |
52612,76 |
55535,69 |
||||||||||||||||||||||||||||
138 |
st18.003 |
Гломерулярные болезни |
1,71 |
0,90 |
|
54376,15 |
59319,44 |
44489,58 |
49432,86 |
54376,15 |
59319,44 |
44489,58 |
46961,22 |
||||||||||||||||||||||||||||
139 |
st19.001 |
Операции на женских половых органах при злокачественных новообразованиях (уровень 1) |
2,41 |
1,00 |
|
85150,44 |
92891,39 |
69668,54 |
77409,49 |
85150,44 |
92891,39 |
69668,54 |
73539,01 |
||||||||||||||||||||||||||||
140 |
st19.002 |
Операции на женских половых органах при злокачественных новообразованиях (уровень 2) |
4,02 |
1,00 |
|
142035,17 |
154947,46 |
116210,59 |
129122,88 |
142035,17 |
154947,46 |
116210,59 |
122666,74 |
||||||||||||||||||||||||||||
141 |
st19.003 |
Операции на женских половых органах при злокачественных новообразованиях (уровень 3) |
4,89 |
1,00 |
|
172774,13 |
188480,86 |
141360,65 |
157067,39 |
172774,13 |
188480,86 |
141360,65 |
149214,02 |
||||||||||||||||||||||||||||
142 |
st19.004 |
Операции на кишечнике и анальной области при злокачественных новообразованиях (уровень 1) |
3,05 |
1,00 |
|
107763,00 |
117559,64 |
88169,73 |
97966,37 |
107763,00 |
117559,64 |
88169,73 |
93068,05 |
||||||||||||||||||||||||||||
143 |
st19.005 |
Операции на кишечнике и анальной области при злокачественных новообразованиях (уровень 2) |
5,31 |
1,00 |
|
187613,62 |
204669,40 |
153502,05 |
170557,84 |
187613,62 |
204669,40 |
153502,05 |
162029,95 |
||||||||||||||||||||||||||||
144 |
st19.006 |
Операции при злокачественных новообразованиях почки и мочевыделительной системы (уровень 1) |
1,66 |
1,00 |
|
58651,34 |
63983,28 |
47987,46 |
53319,40 |
58651,34 |
63983,28 |
47987,46 |
50653,43 |
||||||||||||||||||||||||||||
145 |
st19.007 |
Операции при злокачественных новообразованиях почки и мочевыделительной системы (уровень 2) |
2,77 |
1,00 |
|
97870,01 |
106767,28 |
80075,46 |
88972,73 |
97870,01 |
106767,28 |
80075,46 |
84524,10 |
||||||||||||||||||||||||||||
146 |
st19.008 |
Операции при злокачественных новообразованиях почки и мочевыделительной системы (уровень 3) |
4,32 |
1,00 |
|
152634,81 |
166510,70 |
124883,03 |
138758,92 |
152634,81 |
166510,70 |
124883,03 |
131820,97 |
||||||||||||||||||||||||||||
147 |
st19.009 |
Операции при злокачественных новообразованиях кожи (уровень 1) |
1,29 |
1,00 |
|
45578,45 |
49721,95 |
37291,46 |
41434,95 |
45578,45 |
49721,95 |
37291,46 |
39363,21 |
||||||||||||||||||||||||||||
148 |
st19.010 |
Операции при злокачественных новообразованиях кожи (уровень 2) |
1,55 |
1,00 |
|
54764,80 |
59743,42 |
44807,57 |
49786,19 |
54764,80 |
59743,42 |
44807,57 |
47296,88 |
||||||||||||||||||||||||||||
149 |
st19.011 |
Операции при злокачественных новообразованиях кожи (уровень 3) |
2,66 |
1,00 |
|
93983,47 |
102527,42 |
76895,57 |
85439,52 |
93983,47 |
102527,42 |
76895,57 |
81167,54 |
||||||||||||||||||||||||||||
150 |
st19.012 |
Операции при злокачественном новообразовании щитовидной железы (уровень 1) |
2,29 |
1,00 |
|
80910,58 |
88266,09 |
66199,57 |
73555,07 |
80910,58 |
88266,09 |
66199,57 |
69877,32 |
||||||||||||||||||||||||||||
151 |
st19.013 |
Операции при злокачественном новообразовании щитовидной железы (уровень 2) |
2,49 |
1,00 |
|
87977,01 |
95974,92 |
71981,19 |
79979,10 |
87977,01 |
95974,92 |
71981,19 |
75980,14 |
||||||||||||||||||||||||||||
152 |
st19.014 |
Мастэктомия, другие операции при злокачественном новообразовании молочной железы (уровень 1) |
2,79 |
1,00 |
|
98576,65 |
107538,16 |
80653,62 |
89615,13 |
98576,65 |
107538,16 |
80653,62 |
85134,38 |
||||||||||||||||||||||||||||
153 |
st19.015 |
Мастэктомия, другие операции при злокачественном новообразовании молочной железы (уровень 2) |
3,95 |
1,00 |
|
139561,92 |
152249,37 |
114187,03 |
126874,47 |
139561,92 |
152249,37 |
114187,03 |
120530,75 |
||||||||||||||||||||||||||||
154 |
st19.016 |
Операции при злокачественном новообразовании желчного пузыря, желчных протоков и поджелудочной железы (уровень 1) |
2,38 |
1,00 |
|
84090,47 |
91735,06 |
68801,30 |
76445,89 |
84090,47 |
91735,06 |
68801,30 |
72623,59 |
||||||||||||||||||||||||||||
155 |
st19.017 |
Операции при злокачественном новообразовании желчного пузыря, желчных протоков и поджелудочной железы (уровень 2) |
4,44 |
1,00 |
|
156874,67 |
171136,00 |
128352,00 |
142613,33 |
156874,67 |
171136,00 |
128352,00 |
135482,67 |
||||||||||||||||||||||||||||
156 |
st19.018 |
Операции при злокачественном новообразовании пищевода, желудка (уровень 1) |
2,17 |
1,00 |
|
76670,73 |
83640,79 |
62730,59 |
69700,66 |
76670,73 |
83640,79 |
62730,59 |
66215,63 |
||||||||||||||||||||||||||||
157 |
st19.019 |
Операции при злокачественном новообразовании пищевода, желудка (уровень 2) |
3,43 |
1,00 |
|
121189,21 |
132206,41 |
99154,81 |
110172,01 |
121189,21 |
132206,41 |
99154,81 |
104663,41 |
||||||||||||||||||||||||||||
158 |
st19.020 |
Операции при злокачественном новообразовании пищевода, желудка (уровень 3) |
4,27 |
1,00 |
|
150868,20 |
164583,49 |
123437,62 |
137152,91 |
150868,20 |
164583,49 |
123437,62 |
130295,27 |
||||||||||||||||||||||||||||
159 |
st19.021 |
Другие операции при злокачественном новообразовании брюшной полости |
3,66 |
1,00 |
|
129315,60 |
141071,57 |
105803,68 |
117559,64 |
129315,60 |
141071,57 |
105803,68 |
111681,66 |
||||||||||||||||||||||||||||
160 |
st19.022 |
Операции на органе слуха, придаточных пазухах носа и верхних дыхательных путях при злокачественных новообразованиях |
2,81 |
1,00 |
|
99283,29 |
108309,04 |
81231,78 |
90257,54 |
99283,29 |
108309,04 |
81231,78 |
85744,66 |
||||||||||||||||||||||||||||
161 |
st19.023 |
Операции на нижних дыхательных путях и легочной ткани при злокачественных новообразованиях (уровень 1) |
3,42 |
1,00 |
|
120835,89 |
131820,97 |
98865,73 |
109850,81 |
120835,89 |
131820,97 |
98865,73 |
104358,27 |
||||||||||||||||||||||||||||
162 |
st19.024 |
Операции на нижних дыхательных путях и легочной ткани при злокачественных новообразованиях (уровень 2) |
5,31 |
1,00 |
|
187613,62 |
204669,40 |
153502,05 |
170557,84 |
187613,62 |
204669,40 |
153502,05 |
162029,95 |
||||||||||||||||||||||||||||
163 |
st19.025 |
Операции при злокачественных новообразованиях мужских половых органов (уровень 1) |
2,86 |
1,00 |
|
101049,90 |
110236,25 |
82677,19 |
91863,54 |
101049,90 |
110236,25 |
82677,19 |
87270,37 |
||||||||||||||||||||||||||||
164 |
st19.026 |
Операции при злокачественных новообразованиях мужских половых органов (уровень 2) |
4,31 |
1,00 |
|
152281,49 |
166125,26 |
124593,95 |
138437,72 |
152281,49 |
166125,26 |
124593,95 |
131515,83 |
||||||||||||||||||||||||||||
165 |
st19.037 |
Фебрильная нейтропения, агранулоцитоз вследствие проведения лекарственной терапии злокачественных новообразований |
2,93 |
1,00 |
|
103523,15 |
112934,34 |
84700,76 |
94111,95 |
103523,15 |
112934,34 |
84700,76 |
89406,35 |
||||||||||||||||||||||||||||
166 |
st19.038 |
Установка, замена порт-системы (катетера) для лекарственной терапии злокачественных новообразований |
1,24 |
1,00 |
|
43811,84 |
47794,74 |
35846,05 |
39828,95 |
43811,84 |
47794,74 |
35846,05 |
37837,50 |
||||||||||||||||||||||||||||
167 |
st19.075 |
Лучевая терапия (уровень 1) |
0,79 |
1,00 |
|
27912,38 |
30449,87 |
22837,41 |
25374,89 |
27912,38 |
30449,87 |
22837,41 |
24106,15 |
||||||||||||||||||||||||||||
168 |
st19.076 |
Лучевая терапия (уровень 2) |
1,14 |
1,00 |
|
40278,63 |
43940,32 |
32955,24 |
36616,94 |
40278,63 |
43940,32 |
32955,24 |
34786,09 |
||||||||||||||||||||||||||||
169 |
st19.077 |
Лучевая терапия (уровень 3) |
2,46 |
1,00 |
|
86917,04 |
94818,59 |
71113,95 |
79015,50 |
86917,04 |
94818,59 |
71113,95 |
75064,72 |
||||||||||||||||||||||||||||
170 |
st19.078 |
Лучевая терапия (уровень 4) |
2,51 |
1,00 |
|
88683,65 |
96745,80 |
72559,35 |
80621,50 |
88683,65 |
96745,80 |
72559,35 |
76590,43 |
||||||||||||||||||||||||||||
171 |
st19.079 |
Лучевая терапия (уровень 5) |
2,82 |
1,00 |
|
99636,61 |
108694,49 |
81520,86 |
90578,74 |
99636,61 |
108694,49 |
81520,86 |
86049,80 |
||||||||||||||||||||||||||||
172 |
st19.080 |
Лучевая терапия (уровень 6) |
4,51 |
1,00 |
|
159347,92 |
173834,09 |
130375,57 |
144861,74 |
159347,92 |
173834,09 |
130375,57 |
137618,65 |
||||||||||||||||||||||||||||
173 |
st19.081 |
Лучевая терапия (уровень 7) |
4,87 |
1,00 |
|
172067,48 |
187709,98 |
140782,49 |
156424,98 |
172067,48 |
187709,98 |
140782,49 |
148603,74 |
||||||||||||||||||||||||||||
174 |
st19.082 |
Лучевая терапия (уровень 8) |
14,45 |
1,00 |
8,58% |
468118,02 |
472100,30 |
460153,45 |
464135,73 |
468118,02 |
472100,30 |
460153,45 |
462144,59 |
||||||||||||||||||||||||||||
175 |
st19.084 |
Лучевая терапия в сочетании с лекарственной терапией (уровень 2) |
3,78 |
1,00 |
87,08% |
131986,79 |
142559,53 |
110841,32 |
121414,05 |
131986,79 |
142559,53 |
110841,32 |
116127,69 |
||||||||||||||||||||||||||||
176 |
st19.085 |
Лучевая терапия в сочетании с лекарственной терапией (уровень 3) |
4,37 |
1,00 |
88,84% |
152834,94 |
165304,96 |
127894,90 |
140364,92 |
152834,94 |
165304,96 |
127894,90 |
134129,91 |
||||||||||||||||||||||||||||
177 |
st19.086 |
Лучевая терапия в сочетании с лекарственной терапией (уровень 4) |
5,85 |
1,00 |
87,05% |
204259,63 |
220616,56 |
171545,77 |
187902,70 |
204259,63 |
220616,56 |
171545,77 |
179724,24 |
||||||||||||||||||||||||||||
178 |
st19.087 |
Лучевая терапия в сочетании с лекарственной терапией (уровень 5) |
6,57 |
1,00 |
88,49% |
229703,16 |
248377,13 |
192355,22 |
211029,19 |
229703,16 |
248377,13 |
192355,22 |
201692,20 |
||||||||||||||||||||||||||||
179 |
st19.088 |
Лучевая терапия в сочетании с лекарственной терапией (уровень 6) |
9,49 |
1,00 |
46,03% |
318850,80 |
332881,66 |
290789,08 |
304819,94 |
318850,80 |
332881,66 |
290789,08 |
297804,51 |
||||||||||||||||||||||||||||
180 |
st19.089 |
Лучевая терапия в сочетании с лекарственной терапией (уровень 7) |
16,32 |
1,00 |
26,76% |
538227,96 |
552255,56 |
510172,76 |
524200,36 |
538227,96 |
552255,56 |
510172,76 |
517186,56 |
||||||||||||||||||||||||||||
181 |
st19.090 |
ЗНО лимфоидной и кроветворной тканей без специального противоопухолевого лечения (уровень 1) |
0,38 |
1,00 |
|
13426,21 |
14646,77 |
10985,08 |
12205,65 |
13426,21 |
14646,77 |
10985,08 |
11595,36 |
||||||||||||||||||||||||||||
182 |
st19.091 |
ЗНО лимфоидной и кроветворной тканей без специального противоопухолевого лечения (уровень 2) |
1,29 |
1,00 |
|
45578,45 |
49721,95 |
37291,46 |
41434,95 |
45578,45 |
49721,95 |
37291,46 |
39363,21 |
||||||||||||||||||||||||||||
183 |
st19.092 |
ЗНО лимфоидной и кроветворной тканей без специального противоопухолевого лечения (уровень 3) |
2,87 |
1,00 |
|
101403,22 |
110621,69 |
82966,27 |
92184,74 |
101403,22 |
110621,69 |
82966,27 |
87575,51 |
||||||||||||||||||||||||||||
184 |
st19.093 |
ЗНО лимфоидной и кроветворной тканей без специального противоопухолевого лечения (уровень 4) |
5,25 |
1,00 |
|
185493,69 |
202356,76 |
151767,57 |
168630,63 |
185493,69 |
202356,76 |
151767,57 |
160199,10 |
||||||||||||||||||||||||||||
185 |
st19.094 |
ЗНО лимфоидной и кроветворной тканей, лекарственная терапия, взрослые (уровень 1) |
1,30 |
1,00 |
77,89% |
45008,54 |
48260,93 |
38503,77 |
41756,16 |
45008,54 |
48260,93 |
38503,77 |
40129,96 |
||||||||||||||||||||||||||||
186 |
st19.095 |
ЗНО лимфоидной и кроветворной тканей, лекарственная терапия, взрослые (уровень 2) |
3,36 |
1,00 |
77,89% |
116329,77 |
124735,94 |
99517,43 |
107923,60 |
116329,77 |
124735,94 |
99517,43 |
103720,52 |
||||||||||||||||||||||||||||
187 |
st19.096 |
ЗНО лимфоидной и кроветворной тканей, лекарственная терапия, взрослые (уровень 3) |
6,71 |
1,00 |
77,89% |
232313,33 |
249100,65 |
198738,68 |
215526,01 |
232313,33 |
249100,65 |
198738,68 |
207132,34 |
||||||||||||||||||||||||||||
188 |
st19.097 |
ЗНО лимфоидной и кроветворной тканей, лекарственная терапия с применением отдельных препаратов (по перечню), взрослые (уровень 1) |
2,38 |
1,00 |
37,28% |
79295,79 |
82145,69 |
73595,98 |
76445,89 |
79295,79 |
82145,69 |
73595,98 |
75020,93 |
||||||||||||||||||||||||||||
189 |
st19.098 |
ЗНО лимфоидной и кроветворной тканей, лекарственная терапия с применением отдельных препаратов (по перечню), взрослые (уровень 2) |
4,55 |
1,00 |
56,68% |
154430,13 |
162713,72 |
137862,96 |
146146,55 |
154430,13 |
162713,72 |
137862,96 |
142004,75 |
||||||||||||||||||||||||||||
190 |
st19.099 |
ЗНО лимфоидной и кроветворной тканей, лекарственная терапия с применением отдельных препаратов (по перечню), взрослые (уровень 3) |
7,69 |
1,00 |
65,35% |
263145,42 |
279287,11 |
230862,03 |
247003,72 |
263145,42 |
279287,11 |
230862,03 |
238932,88 |
||||||||||||||||||||||||||||
191 |
st19.100 |
ЗНО лимфоидной и кроветворной тканей, лекарственная терапия с применением отдельных препаратов (по перечню), взрослые (уровень 4) |
11,63 |
1,00 |
5,11% |
375465,87 |
377374,75 |
371648,12 |
373557,00 |
375465,87 |
377374,75 |
371648,12 |
372602,56 |
||||||||||||||||||||||||||||
192 |
st19.101 |
ЗНО лимфоидной и кроветворной тканей, лекарственная терапия с применением отдельных препаратов (по перечню), взрослые (уровень 5) |
14,47 |
1,00 |
19,39% |
473790,18 |
482802,23 |
455766,09 |
464778,14 |
473790,18 |
482802,23 |
455766,09 |
460272,11 |
||||||||||||||||||||||||||||
193 |
st19.102 |
ЗНО лимфоидной и кроветворной тканей, лекарственная терапия с применением отдельных препаратов (по перечню), взрослые (уровень 6) |
17,17 |
1,00 |
28,58% |
567264,40 |
583026,34 |
535740,52 |
551502,46 |
567264,40 |
583026,34 |
535740,52 |
543621,49 |
||||||||||||||||||||||||||||
194 |
st19.103 |
Лучевые повреждения |
2,64 |
1,00 |
|
93276,83 |
101756,54 |
76317,41 |
84797,12 |
93276,83 |
101756,54 |
76317,41 |
80557,26 |
||||||||||||||||||||||||||||
195 |
st19.104 |
Эвисцерация малого таза при лучевых повреждениях |
19,75 |
1,00 |
|
697809,61 |
761246,84 |
570935,13 |
634372,37 |
697809,61 |
761246,84 |
570935,13 |
602653,75 |
||||||||||||||||||||||||||||
196 |
st19.122 |
Посттрансплантационный период после пересадки костного мозга |
21,02 |
1,00 |
62,44% |
717322,22 |
759479,52 |
633007,62 |
675164,92 |
717322,22 |
759479,52 |
633007,62 |
654086,27 |
||||||||||||||||||||||||||||
197 |
st19.123 |
Прочие операции при ЗНО (уровень 1) |
1,11 |
1,00 |
28,13% |
36656,26 |
37659,19 |
34650,40 |
35653,33 |
36656,26 |
37659,19 |
34650,40 |
35151,87 |
||||||||||||||||||||||||||||
198 |
st19.124 |
Прочие операции при ЗНО (уровень 2) |
2,90 |
1,00 |
39,56% |
96833,30 |
100518,25 |
89463,40 |
93148,35 |
96833,30 |
100518,25 |
89463,40 |
91305,87 |
||||||||||||||||||||||||||||
199 |
st19.163 |
Лекарственная терапия при злокачественных новообразованиях (кроме лимфоидной и кроветворной тканей), взрослые (уровень 1) |
0,33 |
1,00 |
63,83% |
11276,21 |
11952,79 |
9923,06 |
10599,64 |
11276,21 |
11952,79 |
9923,06 |
10261,35 |
||||||||||||||||||||||||||||
200 |
st19.164 |
Лекарственная терапия при злокачественных новообразованиях (кроме лимфоидной и кроветворной тканей), взрослые (уровень 2) |
0,56 |
1,00 |
45,04% |
18797,41 |
19607,56 |
17177,12 |
17987,27 |
18797,41 |
19607,56 |
17177,12 |
17582,19 |
||||||||||||||||||||||||||||
201 |
st19.165 |
Лекарственная терапия при злокачественных новообразованиях (кроме лимфоидной и кроветворной тканей), взрослые (уровень 3) |
0,75 |
1,00 |
43,89% |
25147,40 |
26204,72 |
23032,78 |
24090,09 |
25147,40 |
26204,72 |
23032,78 |
23561,43 |
||||||||||||||||||||||||||||
202 |
st19.166 |
Лекарственная терапия при злокачественных новообразованиях (кроме лимфоидной и кроветворной тканей), взрослые (уровень 4) |
1,13 |
1,00 |
25,23% |
37211,48 |
38127,22 |
35379,99 |
36295,74 |
37211,48 |
38127,22 |
35379,99 |
35837,86 |
||||||||||||||||||||||||||||
203 |
st19.167 |
Лекарственная терапия при злокачественных новообразованиях (кроме лимфоидной и кроветворной тканей), взрослые (уровень 5) |
1,61 |
1,00 |
27,28% |
53124,13 |
54534,88 |
50302,65 |
51713,39 |
53124,13 |
54534,88 |
50302,65 |
51008,02 |
||||||||||||||||||||||||||||
204 |
st19.168 |
Лекарственная терапия при злокачественных новообразованиях (кроме лимфоидной и кроветворной тканей), взрослые (уровень 6) |
2,28 |
1,00 |
10,83% |
74027,00 |
74820,12 |
72440,75 |
73233,87 |
74027,00 |
74820,12 |
72440,75 |
72837,31 |
||||||||||||||||||||||||||||
205 |
st19.169 |
Лекарственная терапия при злокачественных новообразованиях (кроме лимфоидной и кроветворной тканей), взрослые (уровень 7) |
2,78 |
1,00 |
17,45% |
90852,11 |
92410,29 |
87735,75 |
89293,93 |
90852,11 |
92410,29 |
87735,75 |
88514,84 |
||||||||||||||||||||||||||||
206 |
st19.170 |
Лекарственная терапия при злокачественных новообразованиях (кроме лимфоидной и кроветворной тканей), взрослые (уровень 8) |
3,62 |
1,00 |
11,99% |
117668,97 |
119063,10 |
114880,70 |
116274,83 |
117668,97 |
119063,10 |
114880,70 |
115577,77 |
||||||||||||||||||||||||||||
207 |
st19.171 |
Лекарственная терапия при злокачественных новообразованиях (кроме лимфоидной и кроветворной тканей), взрослые (уровень 9) |
4,27 |
1,00 |
7,07% |
138122,58 |
139092,25 |
136183,24 |
137152,91 |
138122,58 |
139092,25 |
136183,24 |
136668,08 |
||||||||||||||||||||||||||||
208 |
st19.172 |
Лекарственная терапия при злокачественных новообразованиях (кроме лимфоидной и кроветворной тканей), взрослые (уровень 10) |
5,32 |
1,00 |
3,99% |
171560,85 |
172242,65 |
170197,23 |
170879,04 |
171560,85 |
172242,65 |
170197,23 |
170538,13 |
||||||||||||||||||||||||||||
209 |
st19.173 |
Лекарственная терапия при злокачественных новообразованиях (кроме лимфоидной и кроветворной тканей), взрослые (уровень 11) |
6,20 |
1,00 |
3,47% |
199835,78 |
200526,81 |
198453,71 |
199144,74 |
199835,78 |
200526,81 |
198453,71 |
198799,23 |
||||||||||||||||||||||||||||
210 |
st19.174 |
Лекарственная терапия при злокачественных новообразованиях (кроме лимфоидной и кроветворной тканей), взрослые (уровень 12) |
6,59 |
1,00 |
3,51% |
212414,56 |
213157,53 |
210928,62 |
211671,59 |
212414,56 |
213157,53 |
210928,62 |
211300,11 |
||||||||||||||||||||||||||||
211 |
st19.175 |
Лекарственная терапия при злокачественных новообразованиях (кроме лимфоидной и кроветворной тканей), взрослые (уровень 13) |
7,01 |
1,00 |
3,43% |
225934,35 |
226706,65 |
224389,74 |
225162,04 |
225934,35 |
226706,65 |
224389,74 |
224775,89 |
||||||||||||||||||||||||||||
212 |
st19.176 |
Лекарственная терапия при злокачественных новообразованиях (кроме лимфоидной и кроветворной тканей), взрослые (уровень 14) |
7,60 |
1,00 |
3,31% |
244920,93 |
245728,94 |
243304,90 |
244112,91 |
244920,93 |
245728,94 |
243304,90 |
243708,91 |
||||||||||||||||||||||||||||
213 |
st19.177 |
Лекарственная терапия при злокачественных новообразованиях (кроме лимфоидной и кроветворной тканей), взрослые (уровень 15) |
10,13 |
1,00 |
2,07% |
326050,35 |
326723,88 |
324703,29 |
325376,82 |
326050,35 |
326723,88 |
324703,29 |
325040,05 |
||||||||||||||||||||||||||||
214 |
st19.178 |
Лекарственная терапия при злокачественных новообразованиях (кроме лимфоидной и кроветворной тканей), взрослые (уровень 16) |
12,23 |
1,00 |
2,00% |
393614,73 |
394400,38 |
392043,41 |
392829,07 |
393614,73 |
394400,38 |
392043,41 |
392436,24 |
||||||||||||||||||||||||||||
215 |
st19.179 |
Лекарственная терапия при злокачественных новообразованиях (кроме лимфоидной и кроветворной тканей), взрослые (уровень 17) |
13,13 |
1,00 |
1,68% |
422445,69 |
423154,21 |
421028,66 |
421737,18 |
422445,69 |
423154,21 |
421028,66 |
421382,92 |
||||||||||||||||||||||||||||
216 |
st19.180 |
Лекарственная терапия при злокачественных новообразованиях (кроме лимфоидной и кроветворной тканей), взрослые (уровень 18) |
15,16 |
1,00 |
1,53% |
487686,04 |
488431,06 |
486196,00 |
486941,02 |
487686,04 |
488431,06 |
486196,00 |
486568,51 |
||||||||||||||||||||||||||||
217 |
st19.181 |
Лекарственная терапия при злокачественных новообразованиях (кроме лимфоидной и кроветворной тканей), взрослые (уровень 19) |
31,27 |
1,00 |
0,67% |
1005069,10 |
1005742,04 |
1003723,21 |
1004396,15 |
1005069,10 |
1005742,04 |
1003723,21 |
1004059,68 |
||||||||||||||||||||||||||||
218 |
st20.001 |
Доброкачественные новообразования, новообразования in situ уха, горла, носа, полости рта |
0,66 |
1,00 |
|
23319,21 |
25439,14 |
19079,35 |
21199,28 |
23319,21 |
25439,14 |
19079,35 |
20139,32 |
||||||||||||||||||||||||||||
219 |
st20.002 |
Средний отит, мастоидит, нарушения вестибулярной функции |
0,47 |
1,00 |
|
16606,10 |
18115,75 |
13586,81 |
15096,46 |
16606,10 |
18115,75 |
13586,81 |
14341,63 |
||||||||||||||||||||||||||||
220 |
st20.003 |
Другие болезни уха |
0,61 |
1,00 |
|
21552,60 |
23511,93 |
17633,95 |
19593,27 |
21552,60 |
23511,93 |
17633,95 |
18613,61 |
||||||||||||||||||||||||||||
221 |
st20.004 |
Другие болезни и врожденные аномалии верхних дыхательных путей, симптомы и признаки, относящиеся к органам дыхания, нарушения речи |
0,71 |
1,00 |
|
25085,81 |
27366,34 |
20524,76 |
22805,29 |
25085,81 |
27366,34 |
20524,76 |
21665,02 |
||||||||||||||||||||||||||||
222 |
st20.005 |
Операции на органе слуха, придаточных пазухах носа и верхних дыхательных путях (уровень 1) |
0,84 |
1,00 |
|
29678,99 |
32377,08 |
24282,81 |
26980,90 |
29678,99 |
32377,08 |
24282,81 |
25631,86 |
||||||||||||||||||||||||||||
223 |
st20.006 |
Операции на органе слуха, придаточных пазухах носа и верхних дыхательных путях (уровень 2) |
0,91 |
0,90 |
|
28937,02 |
31567,65 |
23675,74 |
26306,38 |
28937,02 |
31567,65 |
23675,74 |
24991,06 |
||||||||||||||||||||||||||||
224 |
st20.007 |
Операции на органе слуха, придаточных пазухах носа и верхних дыхательных путях (уровень 3) |
1,10 |
1,00 |
|
38865,35 |
42398,56 |
31798,92 |
35332,13 |
38865,35 |
42398,56 |
31798,92 |
33565,53 |
||||||||||||||||||||||||||||
225 |
st20.008 |
Операции на органе слуха, придаточных пазухах носа и верхних дыхательных путях (уровень 4) |
1,35 |
1,00 |
|
43362,16 |
43362,16 |
43362,16 |
43362,16 |
43362,16 |
43362,16 |
43362,16 |
43362,16 |
||||||||||||||||||||||||||||
226 |
st20.009 |
Операции на органе слуха, придаточных пазухах носа и верхних дыхательных путях (уровень 5) |
1,96 |
1,00 |
|
62955,44 |
62955,44 |
62955,44 |
62955,44 |
62955,44 |
62955,44 |
62955,44 |
62955,44 |
||||||||||||||||||||||||||||
227 |
st20.010 |
Замена речевого процессора |
22,00 |
1,00 |
0,95% |
706642,64 |
706642,64 |
706642,64 |
706642,64 |
706642,64 |
706642,64 |
706642,64 |
706642,64 |
||||||||||||||||||||||||||||
228 |
st21.001 |
Операции на органе зрения (уровень 1) |
0,49 |
1,00 |
|
17312,74 |
18886,63 |
14164,97 |
15738,86 |
17312,74 |
18886,63 |
14164,97 |
14951,92 |
||||||||||||||||||||||||||||
229 |
st21.002 |
Операции на органе зрения (уровень 2) |
0,79 |
1,00 |
|
27912,38 |
30449,87 |
22837,41 |
25374,89 |
27912,38 |
30449,87 |
22837,41 |
24106,15 |
||||||||||||||||||||||||||||
230 |
st21.003 |
Операции на органе зрения (уровень 3) |
1,07 |
1,00 |
|
37805,38 |
41242,23 |
30931,68 |
34368,53 |
37805,38 |
41242,23 |
30931,68 |
32650,10 |
||||||||||||||||||||||||||||
231 |
st21.004 |
Операции на органе зрения (уровень 4) |
1,19 |
1,00 |
|
38222,94 |
38222,94 |
38222,94 |
38222,94 |
38222,94 |
38222,94 |
38222,94 |
38222,94 |
||||||||||||||||||||||||||||
232 |
st21.005 |
Операции на органе зрения (уровень 5) |
2,11 |
1,00 |
|
74550,80 |
81328,14 |
60996,11 |
67773,45 |
74550,80 |
81328,14 |
60996,11 |
64384,78 |
||||||||||||||||||||||||||||
233 |
st21.006 |
Операции на органе зрения (уровень 6) |
3,29 |
1,00 |
|
105675,19 |
105675,19 |
105675,19 |
105675,19 |
105675,19 |
105675,19 |
105675,19 |
105675,19 |
||||||||||||||||||||||||||||
234 |
st21.007 |
Болезни глаза |
0,51 |
1,00 |
|
18019,39 |
19657,51 |
14743,14 |
16381,26 |
18019,39 |
19657,51 |
14743,14 |
15562,20 |
||||||||||||||||||||||||||||
235 |
st21.008 |
Травмы глаза |
0,66 |
1,00 |
|
23319,21 |
25439,14 |
19079,35 |
21199,28 |
23319,21 |
25439,14 |
19079,35 |
20139,32 |
||||||||||||||||||||||||||||
236 |
st21.009 |
Операции на органе зрения (факоэмульсификация с имплантацией ИОЛ) |
1,24 |
1,00 |
14,38% |
39828,95 |
39828,95 |
39828,95 |
39828,95 |
39828,95 |
39828,95 |
39828,95 |
39828,95 |
||||||||||||||||||||||||||||
237 |
st21.010 |
Интравитреальное введение отдельных лекарственных препаратов |
1,71 |
1,00 |
12,53% |
55613,62 |
56301,84 |
54237,19 |
54925,41 |
55613,62 |
56301,84 |
54237,19 |
54581,30 |
||||||||||||||||||||||||||||
238 |
st22.001 |
Нарушения всасывания, дети |
1,11 |
1,00 |
|
39218,67 |
42784,00 |
32088,00 |
35653,33 |
39218,67 |
42784,00 |
32088,00 |
33870,67 |
||||||||||||||||||||||||||||
239 |
st22.002 |
Другие болезни органов пищеварения, дети |
0,39 |
1,00 |
|
13779,53 |
15032,22 |
11274,16 |
12526,85 |
13779,53 |
15032,22 |
11274,16 |
11900,50 |
||||||||||||||||||||||||||||
240 |
st22.003 |
Воспалительные артропатии, спондилопатии, дети |
1,85 |
1,00 |
|
65364,44 |
71306,67 |
53480,00 |
59422,22 |
65364,44 |
71306,67 |
53480,00 |
56451,11 |
||||||||||||||||||||||||||||
241 |
st22.004 |
Врожденные аномалии головного и спинного мозга, дети |
2,12 |
1,00 |
|
74904,12 |
81713,59 |
61285,19 |
68094,65 |
74904,12 |
81713,59 |
61285,19 |
64689,92 |
||||||||||||||||||||||||||||
242 |
st23.001 |
Другие болезни органов дыхания |
0,85 |
1,00 |
|
30032,31 |
32762,52 |
24571,89 |
27302,10 |
30032,31 |
32762,52 |
24571,89 |
25937,00 |
||||||||||||||||||||||||||||
243 |
st23.002 |
Интерстициальные болезни легких, врожденные аномалии развития легких, бронхолегочная дисплазия, дети |
2,48 |
1,00 |
|
87623,69 |
95589,48 |
71692,11 |
79657,90 |
87623,69 |
95589,48 |
71692,11 |
75675,00 |
||||||||||||||||||||||||||||
244 |
st23.003 |
Доброкачественные новообразования, новообразования in situ органов дыхания, других и неуточненных органов грудной клетки |
0,91 |
1,00 |
|
32152,24 |
35075,17 |
26306,38 |
29229,31 |
32152,24 |
35075,17 |
26306,38 |
27767,84 |
||||||||||||||||||||||||||||
245 |
st23.004 |
Пневмония, плеврит, другие болезни плевры |
1,28 |
1,00 |
|
45225,13 |
49336,50 |
37002,38 |
41113,75 |
45225,13 |
49336,50 |
37002,38 |
39058,07 |
||||||||||||||||||||||||||||
246 |
st23.005 |
Астма, взрослые |
1,11 |
1,00 |
|
39218,67 |
42784,00 |
32088,00 |
35653,33 |
39218,67 |
42784,00 |
32088,00 |
33870,67 |
||||||||||||||||||||||||||||
247 |
st23.006 |
Астма, дети |
1,25 |
1,00 |
|
44165,17 |
48180,18 |
36135,14 |
40150,15 |
44165,17 |
48180,18 |
36135,14 |
38142,64 |
||||||||||||||||||||||||||||
248 |
st24.001 |
Системные поражения соединительной ткани |
1,78 |
1,00 |
|
62891,19 |
68608,58 |
51456,43 |
57173,81 |
62891,19 |
68608,58 |
51456,43 |
54315,12 |
||||||||||||||||||||||||||||
249 |
st24.002 |
Артропатии и спондилопатии |
1,67 |
1,00 |
|
59004,66 |
64368,72 |
48276,54 |
53640,60 |
59004,66 |
64368,72 |
48276,54 |
50958,57 |
||||||||||||||||||||||||||||
250 |
st24.003 |
Ревматические болезни сердца (уровень 1) |
0,87 |
1,00 |
|
30738,95 |
33533,41 |
25150,05 |
27944,50 |
30738,95 |
33533,41 |
25150,05 |
26547,28 |
||||||||||||||||||||||||||||
251 |
st24.004 |
Ревматические болезни сердца (уровень 2) |
1,57 |
1,00 |
|
55471,45 |
60514,31 |
45385,73 |
50428,59 |
55471,45 |
60514,31 |
45385,73 |
47907,16 |
||||||||||||||||||||||||||||
252 |
st25.001 |
Флебит и тромбофлебит, варикозное расширение вен нижних конечностей |
0,85 |
1,00 |
|
30032,31 |
32762,52 |
24571,89 |
27302,10 |
30032,31 |
32762,52 |
24571,89 |
25937,00 |
||||||||||||||||||||||||||||
253 |
st25.002 |
Другие болезни, врожденные аномалии вен |
1,32 |
1,00 |
|
46638,41 |
50878,27 |
38158,70 |
42398,56 |
46638,41 |
50878,27 |
38158,70 |
40278,63 |
||||||||||||||||||||||||||||
254 |
st25.003 |
Болезни артерий, артериол и капилляров |
1,05 |
0,95 |
|
35243,80 |
38447,78 |
28835,84 |
32039,82 |
35243,80 |
38447,78 |
28835,84 |
30437,83 |
||||||||||||||||||||||||||||
255 |
st25.004 |
Диагностическое обследование сердечно-сосудистой системы |
1,01 |
1,00 |
|
35685,45 |
38929,59 |
29197,19 |
32441,32 |
35685,45 |
38929,59 |
29197,19 |
30819,26 |
||||||||||||||||||||||||||||
256 |
st25.005 |
Операции на сердце и коронарных сосудах (уровень 1) |
2,11 |
1,00 |
|
74550,80 |
81328,14 |
60996,11 |
67773,45 |
74550,80 |
81328,14 |
60996,11 |
64384,78 |
||||||||||||||||||||||||||||
257 |
st25.006 |
Операции на сердце и коронарных сосудах (уровень 2) |
3,97 |
1,00 |
|
140268,56 |
153020,25 |
114765,19 |
127516,88 |
140268,56 |
153020,25 |
114765,19 |
121141,03 |
||||||||||||||||||||||||||||
258 |
st25.007 |
Операции на сердце и коронарных сосудах (уровень 3) |
4,31 |
1,00 |
|
152281,49 |
166125,26 |
124593,95 |
138437,72 |
152281,49 |
166125,26 |
124593,95 |
131515,83 |
||||||||||||||||||||||||||||
259 |
st25.008 |
Операции на сосудах (уровень 1) |
1,20 |
1,00 |
|
42398,56 |
46252,97 |
34689,73 |
38544,14 |
42398,56 |
46252,97 |
34689,73 |
36616,94 |
||||||||||||||||||||||||||||
260 |
st25.009 |
Операции на сосудах (уровень 2) |
2,37 |
0,90 |
|
75363,44 |
82214,66 |
61660,99 |
68512,22 |
75363,44 |
82214,66 |
61660,99 |
65086,61 |
||||||||||||||||||||||||||||
261 |
st25.010 |
Операции на сосудах (уровень 3) |
4,13 |
1,00 |
|
145921,71 |
159187,31 |
119390,49 |
132656,10 |
145921,71 |
159187,31 |
119390,49 |
126023,29 |
||||||||||||||||||||||||||||
262 |
st25.011 |
Операции на сосудах (уровень 4) |
6,08 |
1,00 |
|
214819,36 |
234348,40 |
175761,30 |
195290,33 |
214819,36 |
234348,40 |
175761,30 |
185525,81 |
||||||||||||||||||||||||||||
263 |
st25.012 |
Операции на сосудах (уровень 5) |
7,12 |
1,00 |
|
251564,78 |
274434,31 |
205825,73 |
228695,25 |
251564,78 |
274434,31 |
205825,73 |
217260,49 |
||||||||||||||||||||||||||||
264 |
st25.013 |
Баллонная вазодилатация с установкой 1 стента в сосуд (сосуды) |
5,79 |
1,00 |
33,60% |
192224,27 |
198473,05 |
179726,72 |
185975,49 |
192224,27 |
198473,05 |
179726,72 |
182851,11 |
||||||||||||||||||||||||||||
265 |
st25.014 |
Баллонная вазодилатация с установкой 2 стентов в сосуд (сосуды) |
6,67 |
1,00 |
29,66% |
220595,59 |
226949,99 |
207886,81 |
214241,20 |
220595,59 |
226949,99 |
207886,81 |
211064,00 |
||||||||||||||||||||||||||||
266 |
st25.015 |
Баллонная вазодилатация с установкой 3 стентов в сосуд (сосуды) |
7,97 |
1,00 |
25,06% |
262412,65 |
268827,94 |
249582,06 |
255997,36 |
262412,65 |
268827,94 |
249582,06 |
252789,71 |
||||||||||||||||||||||||||||
267 |
st26.001 |
Болезни полости рта, слюнных желез и челюстей, врожденные аномалии лица и шеи, дети |
0,79 |
1,00 |
|
27912,38 |
30449,87 |
22837,41 |
25374,89 |
27912,38 |
30449,87 |
22837,41 |
24106,15 |
||||||||||||||||||||||||||||
268 |
st27.001 |
Болезни пищевода, гастрит, дуоденит, другие болезни желудка и двенадцатиперстной кишки |
0,74 |
1,00 |
|
23768,89 |
23768,89 |
23768,89 |
23768,89 |
23768,89 |
23768,89 |
23768,89 |
23768,89 |
||||||||||||||||||||||||||||
269 |
st27.002 |
Новообразования доброкачественные, in situ, неопределенного и неуточненного характера органов пищеварения |
0,69 |
1,00 |
|
24379,17 |
26595,46 |
19946,59 |
22162,88 |
24379,17 |
26595,46 |
19946,59 |
21054,74 |
||||||||||||||||||||||||||||
270 |
st27.003 |
Болезни желчного пузыря |
0,72 |
1,00 |
|
23126,49 |
23126,49 |
23126,49 |
23126,49 |
23126,49 |
23126,49 |
23126,49 |
23126,49 |
||||||||||||||||||||||||||||
271 |
st27.004 |
Другие болезни органов пищеварения, взрослые |
0,59 |
1,00 |
|
20845,96 |
22741,04 |
17055,78 |
18950,87 |
20845,96 |
22741,04 |
17055,78 |
18003,33 |
||||||||||||||||||||||||||||
272 |
st27.005 |
Гипертоническая болезнь в стадии обострения |
0,70 |
1,00 |
|
22484,08 |
22484,08 |
22484,08 |
22484,08 |
22484,08 |
22484,08 |
22484,08 |
22484,08 |
||||||||||||||||||||||||||||
273 |
st27.006 |
Стенокардия (кроме нестабильной), хроническая ишемическая болезнь сердца (уровень 1) |
0,78 |
1,00 |
|
25053,69 |
25053,69 |
25053,69 |
25053,69 |
25053,69 |
25053,69 |
25053,69 |
25053,69 |
||||||||||||||||||||||||||||
274 |
st27.007 |
Стенокардия (кроме нестабильной), хроническая ишемическая болезнь сердца (уровень 2) |
1,70 |
1,00 |
|
60064,62 |
65525,04 |
49143,78 |
54604,20 |
60064,62 |
65525,04 |
49143,78 |
51873,99 |
||||||||||||||||||||||||||||
275 |
st27.008 |
Другие болезни сердца (уровень 1) |
0,78 |
1,00 |
|
27559,06 |
30064,43 |
22548,32 |
25053,69 |
27559,06 |
30064,43 |
22548,32 |
23801,01 |
||||||||||||||||||||||||||||
276 |
st27.009 |
Другие болезни сердца (уровень 2) |
1,54 |
1,00 |
|
54411,48 |
59357,98 |
44518,49 |
49464,98 |
54411,48 |
59357,98 |
44518,49 |
46991,74 |
||||||||||||||||||||||||||||
277 |
st27.010 |
Бронхит необструктивный, симптомы и признаки, относящиеся к органам дыхания |
0,75 |
1,00 |
|
24090,09 |
24090,09 |
24090,09 |
24090,09 |
24090,09 |
24090,09 |
24090,09 |
24090,09 |
||||||||||||||||||||||||||||
278 |
st27.011 |
ХОБЛ, эмфизема, бронхоэктатическая болезнь |
0,89 |
1,00 |
|
31445,60 |
34304,29 |
25728,22 |
28586,91 |
31445,60 |
34304,29 |
25728,22 |
27157,56 |
||||||||||||||||||||||||||||
279 |
st27.012 |
Отравления и другие воздействия внешних причин |
0,53 |
1,00 |
|
18726,03 |
20428,40 |
15321,30 |
17023,66 |
18726,03 |
20428,40 |
15321,30 |
16172,48 |
||||||||||||||||||||||||||||
280 |
st27.013 |
Отравления и другие воздействия внешних причин с синдромом органной дисфункции |
4,07 |
1,00 |
|
143801,78 |
156874,67 |
117656,00 |
130728,89 |
143801,78 |
156874,67 |
117656,00 |
124192,44 |
||||||||||||||||||||||||||||
281 |
st27.014 |
Госпитализация в диагностических целях с постановкой/подтверждением диагноза злокачественного новообразования |
1,00 |
1,00 |
|
35332,13 |
38544,14 |
28908,11 |
32120,12 |
35332,13 |
38544,14 |
28908,11 |
30514,11 |
||||||||||||||||||||||||||||
282 |
st28.001 |
Гнойные состояния нижних дыхательных путей |
2,05 |
1,00 |
|
72430,87 |
79015,50 |
59261,62 |
65846,25 |
72430,87 |
79015,50 |
59261,62 |
62553,93 |
||||||||||||||||||||||||||||
283 |
st28.002 |
Операции на нижних дыхательных путях и легочной ткани, органах средостения (уровень 1) |
1,54 |
1,00 |
|
54411,48 |
59357,98 |
44518,49 |
49464,98 |
54411,48 |
59357,98 |
44518,49 |
46991,74 |
||||||||||||||||||||||||||||
284 |
st28.003 |
Операции на нижних дыхательных путях и легочной ткани, органах средостения (уровень 2) |
1,92 |
1,00 |
|
67837,69 |
74004,76 |
55503,57 |
61670,63 |
67837,69 |
74004,76 |
55503,57 |
58587,10 |
||||||||||||||||||||||||||||
285 |
st28.004 |
Операции на нижних дыхательных путях и легочной ткани, органах средостения (уровень 3) |
2,56 |
1,00 |
|
82227,51 |
82227,51 |
82227,51 |
82227,51 |
82227,51 |
82227,51 |
82227,51 |
82227,51 |
||||||||||||||||||||||||||||
286 |
st28.005 |
Операции на нижних дыхательных путях и легочной ткани, органах средостения (уровень 4) |
4,12 |
1,00 |
|
132334,89 |
132334,89 |
132334,89 |
132334,89 |
132334,89 |
132334,89 |
132334,89 |
132334,89 |
||||||||||||||||||||||||||||
287 |
st29.001 |
Приобретенные и врожденные костно-мышечные деформации |
0,99 |
0,90 |
|
31480,93 |
34342,83 |
25757,12 |
28619,03 |
31480,93 |
34342,83 |
25757,12 |
27188,08 |
||||||||||||||||||||||||||||
288 |
st29.002 |
Переломы шейки бедра и костей таза |
1,52 |
1,00 |
|
48822,58 |
48822,58 |
48822,58 |
48822,58 |
48822,58 |
48822,58 |
48822,58 |
48822,58 |
||||||||||||||||||||||||||||
289 |
st29.003 |
Переломы бедренной кости, другие травмы области бедра и тазобедренного сустава |
0,69 |
1,00 |
|
22162,88 |
22162,88 |
22162,88 |
22162,88 |
22162,88 |
22162,88 |
22162,88 |
22162,88 |
||||||||||||||||||||||||||||
290 |
st29.004 |
Переломы, вывихи, растяжения области грудной клетки, верхней конечности и стопы |
0,56 |
1,00 |
|
17987,27 |
17987,27 |
17987,27 |
17987,27 |
17987,27 |
17987,27 |
17987,27 |
17987,27 |
||||||||||||||||||||||||||||
291 |
st29.005 |
Переломы, вывихи, растяжения области колена и голени |
0,74 |
1,00 |
|
23768,89 |
23768,89 |
23768,89 |
23768,89 |
23768,89 |
23768,89 |
23768,89 |
23768,89 |
||||||||||||||||||||||||||||
292 |
st29.006 |
Множественные переломы, травматические ампутации, размозжения и последствия травм |
1,44 |
1,00 |
|
50878,27 |
55503,57 |
41627,68 |
46252,97 |
50878,27 |
55503,57 |
41627,68 |
43940,32 |
||||||||||||||||||||||||||||
293 |
st29.007 |
Тяжелая множественная и сочетанная травма (политравма) |
7,07 |
1,00 |
|
249798,17 |
272507,10 |
204380,32 |
227089,25 |
249798,17 |
272507,10 |
204380,32 |
215734,79 |
||||||||||||||||||||||||||||
294 |
st29.008 |
Эндопротезирование суставов |
4,46 |
1,00 |
|
157581,31 |
171906,88 |
128930,16 |
143255,74 |
157581,31 |
171906,88 |
128930,16 |
136092,95 |
||||||||||||||||||||||||||||
295 |
st29.009 |
Операции на костно-мышечной системе и суставах (уровень 1) |
0,79 |
1,00 |
|
27912,38 |
30449,87 |
22837,41 |
25374,89 |
27912,38 |
30449,87 |
22837,41 |
24106,15 |
||||||||||||||||||||||||||||
296 |
st29.010 |
Операции на костно-мышечной системе и суставах (уровень 2) |
0,93 |
1,00 |
|
32858,88 |
35846,05 |
26884,54 |
29871,71 |
32858,88 |
35846,05 |
26884,54 |
28378,13 |
||||||||||||||||||||||||||||
297 |
st29.011 |
Операции на костно-мышечной системе и суставах (уровень 3) |
1,37 |
1,00 |
|
48405,02 |
52805,48 |
39604,11 |
44004,56 |
48405,02 |
52805,48 |
39604,11 |
41804,34 |
||||||||||||||||||||||||||||
298 |
st29.012 |
Операции на костно-мышечной системе и суставах (уровень 4) |
2,42 |
1,00 |
|
77730,69 |
77730,69 |
77730,69 |
77730,69 |
77730,69 |
77730,69 |
77730,69 |
77730,69 |
||||||||||||||||||||||||||||
299 |
st29.013 |
Операции на костно-мышечной системе и суставах (уровень 5) |
3,15 |
1,00 |
|
101178,38 |
101178,38 |
101178,38 |
101178,38 |
101178,38 |
101178,38 |
101178,38 |
101178,38 |
||||||||||||||||||||||||||||
300 |
st30.001 |
Тубулоинтерстициальные болезни почек, другие болезни мочевой системы |
0,86 |
0,90 |
|
27347,07 |
29833,17 |
22374,88 |
24860,97 |
27347,07 |
29833,17 |
22374,88 |
23617,92 |
||||||||||||||||||||||||||||
301 |
st30.002 |
Камни мочевой системы; симптомы, относящиеся к мочевой системе |
0,49 |
1,00 |
|
17312,74 |
18886,63 |
14164,97 |
15738,86 |
17312,74 |
18886,63 |
14164,97 |
14951,92 |
||||||||||||||||||||||||||||
302 |
st30.003 |
Доброкачественные новообразования, новообразования in situ, неопределенного и неизвестного характера мочевых органов и мужских половых органов |
0,64 |
1,00 |
|
22612,56 |
24668,25 |
18501,19 |
20556,88 |
22612,56 |
24668,25 |
18501,19 |
19529,03 |
||||||||||||||||||||||||||||
303 |
st30.004 |
Болезни предстательной железы |
0,73 |
1,00 |
|
23447,69 |
23447,69 |
23447,69 |
23447,69 |
23447,69 |
23447,69 |
23447,69 |
23447,69 |
||||||||||||||||||||||||||||
304 |
st30.005 |
Другие болезни, врожденные аномалии, повреждения мочевой системы и мужских половых органов |
0,67 |
0,90 |
|
21305,28 |
23242,12 |
17431,59 |
19368,43 |
21305,28 |
23242,12 |
17431,59 |
18400,01 |
||||||||||||||||||||||||||||
305 |
st30.006 |
Операции на мужских половых органах, взрослые (уровень 1) |
1,20 |
1,00 |
|
42398,56 |
46252,97 |
34689,73 |
38544,14 |
42398,56 |
46252,97 |
34689,73 |
36616,94 |
||||||||||||||||||||||||||||
306 |
st30.007 |
Операции на мужских половых органах, взрослые (уровень 2) |
1,42 |
1,00 |
|
50171,63 |
54732,68 |
41049,51 |
45610,57 |
50171,63 |
54732,68 |
41049,51 |
43330,04 |
||||||||||||||||||||||||||||
307 |
st30.008 |
Операции на мужских половых органах, взрослые (уровень 3) |
2,31 |
1,00 |
|
74197,48 |
74197,48 |
74197,48 |
74197,48 |
74197,48 |
74197,48 |
74197,48 |
74197,48 |
||||||||||||||||||||||||||||
308 |
st30.009 |
Операции на мужских половых органах, взрослые (уровень 4) |
3,12 |
1,00 |
|
100214,77 |
100214,77 |
100214,77 |
100214,77 |
100214,77 |
100214,77 |
100214,77 |
100214,77 |
||||||||||||||||||||||||||||
309 |
st30.010 |
Операции на почке и мочевыделительной системе, взрослые (уровень 1) |
1,08 |
1,00 |
|
38158,70 |
41627,68 |
31220,76 |
34689,73 |
38158,70 |
41627,68 |
31220,76 |
32955,24 |
||||||||||||||||||||||||||||
310 |
st30.011 |
Операции на почке и мочевыделительной системе, взрослые (уровень 2) |
1,12 |
1,00 |
|
39571,99 |
43169,44 |
32377,08 |
35974,53 |
39571,99 |
43169,44 |
32377,08 |
34175,81 |
||||||||||||||||||||||||||||
311 |
st30.012 |
Операции на почке и мочевыделительной системе, взрослые (уровень 3) |
1,62 |
0,90 |
|
51514,25 |
56197,36 |
42148,02 |
46831,13 |
51514,25 |
56197,36 |
42148,02 |
44489,58 |
||||||||||||||||||||||||||||
312 |
st30.013 |
Операции на почке и мочевыделительной системе, взрослые (уровень 4) |
1,95 |
0,90 |
|
62007,89 |
67644,97 |
50733,73 |
56370,81 |
62007,89 |
67644,97 |
50733,73 |
53552,27 |
||||||||||||||||||||||||||||
313 |
st30.014 |
Операции на почке и мочевыделительной системе, взрослые (уровень 5) |
2,14 |
0,90 |
|
68049,69 |
74236,02 |
55677,02 |
61863,35 |
68049,69 |
74236,02 |
55677,02 |
58770,18 |
||||||||||||||||||||||||||||
314 |
st30.015 |
Операции на почке и мочевыделительной системе, взрослые (уровень 6) |
4,13 |
0,90 |
|
119390,49 |
119390,49 |
119390,49 |
119390,49 |
119390,49 |
119390,49 |
119390,49 |
119390,49 |
||||||||||||||||||||||||||||
315 |
st30.016 |
Операции на почке и мочевыделительной системе, взрослые (уровень 7) |
4,70 |
1,00 |
20,13% |
154003,48 |
157042,40 |
147925,65 |
150964,56 |
154003,48 |
157042,40 |
147925,65 |
149445,11 |
||||||||||||||||||||||||||||
316 |
st31.001 |
Болезни лимфатических сосудов и лимфатических узлов |
0,61 |
1,00 |
|
21552,60 |
23511,93 |
17633,95 |
19593,27 |
21552,60 |
23511,93 |
17633,95 |
18613,61 |
||||||||||||||||||||||||||||
317 |
st31.002 |
Операции на коже, подкожной клетчатке, придатках кожи (уровень 1) |
0,55 |
1,00 |
|
17666,07 |
17666,07 |
17666,07 |
17666,07 |
17666,07 |
17666,07 |
17666,07 |
17666,07 |
||||||||||||||||||||||||||||
318 |
st31.003 |
Операции на коже, подкожной клетчатке, придатках кожи (уровень 2) |
0,71 |
1,00 |
|
25085,81 |
27366,34 |
20524,76 |
22805,29 |
25085,81 |
27366,34 |
20524,76 |
21665,02 |
||||||||||||||||||||||||||||
319 |
st31.004 |
Операции на коже, подкожной клетчатке, придатках кожи (уровень 3) |
1,38 |
1,00 |
|
48758,34 |
53190,92 |
39893,19 |
44325,77 |
48758,34 |
53190,92 |
39893,19 |
42109,48 |
||||||||||||||||||||||||||||
320 |
st31.005 |
Операции на коже, подкожной клетчатке, придатках кожи (уровень 4) |
2,41 |
1,00 |
|
85150,44 |
92891,39 |
69668,54 |
77409,49 |
85150,44 |
92891,39 |
69668,54 |
73539,01 |
||||||||||||||||||||||||||||
321 |
st31.006 |
Операции на органах кроветворения и иммунной системы (уровень 1) |
1,43 |
1,00 |
|
50524,95 |
55118,13 |
41338,59 |
45931,77 |
50524,95 |
55118,13 |
41338,59 |
43635,18 |
||||||||||||||||||||||||||||
322 |
st31.007 |
Операции на органах кроветворения и иммунной системы (уровень 2) |
1,83 |
1,00 |
|
64657,80 |
70535,78 |
52901,84 |
58779,82 |
64657,80 |
70535,78 |
52901,84 |
55840,83 |
||||||||||||||||||||||||||||
323 |
st31.008 |
Операции на органах кроветворения и иммунной системы (уровень 3) |
2,16 |
1,00 |
|
76317,41 |
83255,35 |
62441,51 |
69379,46 |
76317,41 |
83255,35 |
62441,51 |
65910,49 |
||||||||||||||||||||||||||||
324 |
st31.009 |
Операции на эндокринных железах кроме гипофиза (уровень 1) |
1,81 |
1,00 |
|
58137,42 |
58137,42 |
58137,42 |
58137,42 |
58137,42 |
58137,42 |
58137,42 |
58137,42 |
||||||||||||||||||||||||||||
325 |
st31.010 |
Операции на эндокринных железах кроме гипофиза (уровень 2) |
2,67 |
1,00 |
|
85760,72 |
85760,72 |
85760,72 |
85760,72 |
85760,72 |
85760,72 |
85760,72 |
85760,72 |
||||||||||||||||||||||||||||
326 |
st31.011 |
Болезни молочной железы, новообразования молочной железы доброкачественные, in situ, неопределенного и неизвестного характера |
0,73 |
1,00 |
|
25792,46 |
28137,23 |
21102,92 |
23447,69 |
25792,46 |
28137,23 |
21102,92 |
22275,30 |
||||||||||||||||||||||||||||
327 |
st31.012 |
Артрозы, другие поражения суставов, болезни мягких тканей |
0,76 |
1,00 |
|
24411,29 |
24411,29 |
24411,29 |
24411,29 |
24411,29 |
24411,29 |
24411,29 |
24411,29 |
||||||||||||||||||||||||||||
328 |
st31.013 |
Остеомиелит (уровень 1) |
2,42 |
1,00 |
|
85503,76 |
93276,83 |
69957,62 |
77730,69 |
85503,76 |
93276,83 |
69957,62 |
73844,16 |
||||||||||||||||||||||||||||
329 |
st31.014 |
Остеомиелит (уровень 2) |
3,51 |
1,00 |
|
124015,78 |
135289,95 |
101467,46 |
112741,62 |
124015,78 |
135289,95 |
101467,46 |
107104,54 |
||||||||||||||||||||||||||||
330 |
st31.015 |
Остеомиелит (уровень 3) |
4,02 |
1,00 |
|
142035,17 |
154947,46 |
116210,59 |
129122,88 |
142035,17 |
154947,46 |
116210,59 |
122666,74 |
||||||||||||||||||||||||||||
331 |
st31.016 |
Доброкачественные новообразования костно-мышечной системы и соединительной ткани |
0,84 |
1,00 |
|
29678,99 |
32377,08 |
24282,81 |
26980,90 |
29678,99 |
32377,08 |
24282,81 |
25631,86 |
||||||||||||||||||||||||||||
332 |
st31.017 |
Доброкачественные новообразования, новообразования in situ кожи, жировой ткани и другие болезни кожи |
0,50 |
1,00 |
|
17666,07 |
19272,07 |
14454,05 |
16060,06 |
17666,07 |
19272,07 |
14454,05 |
15257,06 |
||||||||||||||||||||||||||||
333 |
st31.018 |
Открытые раны, поверхностные, другие и неуточненные травмы |
0,37 |
1,00 |
|
11884,44 |
11884,44 |
11884,44 |
11884,44 |
11884,44 |
11884,44 |
11884,44 |
11884,44 |
||||||||||||||||||||||||||||
334 |
st31.019 |
Операции на молочной железе (кроме злокачественных новообразований) |
1,19 |
1,00 |
|
42045,24 |
45867,53 |
34400,65 |
38222,94 |
42045,24 |
45867,53 |
34400,65 |
36311,80 |
||||||||||||||||||||||||||||
335 |
st32.001 |
Операции на желчном пузыре и желчевыводящих путях (уровень 1) |
1,15 |
0,90 |
|
36568,76 |
39893,19 |
29919,89 |
33244,32 |
36568,76 |
39893,19 |
29919,89 |
31582,11 |
||||||||||||||||||||||||||||
336 |
st32.002 |
Операции на желчном пузыре и желчевыводящих путях (уровень 2) |
1,43 |
0,90 |
|
45472,45 |
49606,31 |
37204,74 |
41338,59 |
45472,45 |
49606,31 |
37204,74 |
39271,66 |
||||||||||||||||||||||||||||
337 |
st32.003 |
Операции на желчном пузыре и желчевыводящих путях (уровень 3) |
3,00 |
0,90 |
|
95396,76 |
104069,19 |
78051,89 |
86724,32 |
95396,76 |
104069,19 |
78051,89 |
82388,11 |
||||||||||||||||||||||||||||
338 |
st32.004 |
Операции на желчном пузыре и желчевыводящих путях (уровень 4) |
4,30 |
1,00 |
|
138116,52 |
138116,52 |
138116,52 |
138116,52 |
138116,52 |
138116,52 |
138116,52 |
138116,52 |
||||||||||||||||||||||||||||
339 |
st32.005 |
Операции на печени и поджелудочной железе (уровень 1) |
2,42 |
1,00 |
|
85503,76 |
93276,83 |
69957,62 |
77730,69 |
85503,76 |
93276,83 |
69957,62 |
73844,16 |
||||||||||||||||||||||||||||
340 |
st32.006 |
Операции на печени и поджелудочной железе (уровень 2) |
2,69 |
1,00 |
|
95043,44 |
103683,75 |
77762,81 |
86403,12 |
95043,44 |
103683,75 |
77762,81 |
82082,97 |
||||||||||||||||||||||||||||
341 |
st32.007 |
Панкреатит, хирургическое лечение |
4,12 |
1,00 |
|
145568,38 |
158801,87 |
119101,40 |
132334,89 |
145568,38 |
158801,87 |
119101,40 |
125718,15 |
||||||||||||||||||||||||||||
342 |
st32.008 |
Операции на пищеводе, желудке, двенадцатиперстной кишке (уровень 1) |
1,16 |
1,00 |
|
40985,27 |
44711,21 |
33533,41 |
37259,34 |
40985,27 |
44711,21 |
33533,41 |
35396,37 |
||||||||||||||||||||||||||||
343 |
st32.009 |
Операции на пищеводе, желудке, двенадцатиперстной кишке (уровень 2) |
1,95 |
1,00 |
|
68897,66 |
75161,08 |
56370,81 |
62634,23 |
68897,66 |
75161,08 |
56370,81 |
59502,52 |
||||||||||||||||||||||||||||
344 |
st32.010 |
Операции на пищеводе, желудке, двенадцатиперстной кишке (уровень 3) |
2,46 |
1,00 |
|
79015,50 |
79015,50 |
79015,50 |
79015,50 |
79015,50 |
79015,50 |
79015,50 |
79015,50 |
||||||||||||||||||||||||||||
345 |
st32.011 |
Аппендэктомия, взрослые |
0,73 |
1,00 |
|
23447,69 |
23447,69 |
23447,69 |
23447,69 |
23447,69 |
23447,69 |
23447,69 |
23447,69 |
||||||||||||||||||||||||||||
346 |
st32.013 |
Операции по поводу грыж, взрослые (уровень 1) |
0,86 |
1,00 |
|
27623,30 |
27623,30 |
27623,30 |
27623,30 |
27623,30 |
27623,30 |
27623,30 |
27623,30 |
||||||||||||||||||||||||||||
347 |
st32.014 |
Операции по поводу грыж, взрослые (уровень 2) |
1,24 |
1,00 |
|
39828,95 |
39828,95 |
39828,95 |
39828,95 |
39828,95 |
39828,95 |
39828,95 |
39828,95 |
||||||||||||||||||||||||||||
348 |
st32.015 |
Операции по поводу грыж, взрослые (уровень 3) |
1,78 |
1,00 |
|
57173,81 |
57173,81 |
57173,81 |
57173,81 |
57173,81 |
57173,81 |
57173,81 |
57173,81 |
||||||||||||||||||||||||||||
349 |
st32.016 |
Другие операции на органах брюшной полости (уровень 1) |
1,13 |
1,00 |
|
39925,31 |
43554,88 |
32666,16 |
36295,74 |
39925,31 |
43554,88 |
32666,16 |
34480,95 |
||||||||||||||||||||||||||||
350 |
st32.017 |
Другие операции на органах брюшной полости (уровень 2) |
1,19 |
1,00 |
|
42045,24 |
45867,53 |
34400,65 |
38222,94 |
42045,24 |
45867,53 |
34400,65 |
36311,80 |
||||||||||||||||||||||||||||
351 |
st32.018 |
Другие операции на органах брюшной полости (уровень 3) |
2,13 |
1,00 |
|
75257,44 |
82099,03 |
61574,27 |
68415,86 |
75257,44 |
82099,03 |
61574,27 |
64995,06 |
||||||||||||||||||||||||||||
352 |
st32.019 |
Операции по поводу грыж, взрослые (уровень 4) |
5,60 |
1,00 |
|
197859,94 |
215847,21 |
161885,40 |
179872,67 |
197859,94 |
215847,21 |
161885,40 |
170879,04 |
||||||||||||||||||||||||||||
353 |
st32.020 |
Другие операции на органах брюшной полости (уровень 4) |
2,36 |
1,00 |
34,65% |
78430,07 |
81056,66 |
73176,89 |
75803,48 |
78430,07 |
81056,66 |
73176,89 |
74490,19 |
||||||||||||||||||||||||||||
354 |
st32.021 |
Другие операции на органах брюшной полости (уровень 5) |
2,69 |
1,00 |
38,58% |
89736,56 |
93069,99 |
83069,69 |
86403,12 |
89736,56 |
93069,99 |
83069,69 |
84736,41 |
||||||||||||||||||||||||||||
355 |
st33.001 |
Отморожения (уровень 1) |
1,17 |
1,00 |
|
41338,59 |
45096,65 |
33822,49 |
37580,54 |
41338,59 |
45096,65 |
33822,49 |
35701,51 |
||||||||||||||||||||||||||||
356 |
st33.002 |
Отморожения (уровень 2) |
2,91 |
1,00 |
|
102816,50 |
112163,46 |
84122,59 |
93469,55 |
102816,50 |
112163,46 |
84122,59 |
88796,07 |
||||||||||||||||||||||||||||
357 |
st33.003 |
Ожоги (уровень 1) |
1,21 |
1,00 |
|
42751,88 |
46638,41 |
34978,81 |
38865,35 |
42751,88 |
46638,41 |
34978,81 |
36922,08 |
||||||||||||||||||||||||||||
358 |
st33.004 |
Ожоги (уровень 2) |
2,03 |
1,00 |
|
71724,23 |
78244,61 |
58683,46 |
65203,84 |
71724,23 |
78244,61 |
58683,46 |
61943,65 |
||||||||||||||||||||||||||||
359 |
st33.005 |
Ожоги (уровень 3) |
3,54 |
1,00 |
|
125075,75 |
136446,27 |
102334,70 |
113705,22 |
125075,75 |
136446,27 |
102334,70 |
108019,96 |
||||||||||||||||||||||||||||
360 |
st33.006 |
Ожоги (уровень 4) |
5,20 |
1,00 |
|
183727,09 |
200429,55 |
150322,16 |
167024,62 |
183727,09 |
200429,55 |
150322,16 |
158673,39 |
||||||||||||||||||||||||||||
361 |
st33.007 |
Ожоги (уровень 5) |
11,11 |
1,00 |
|
392539,99 |
428225,44 |
321169,08 |
356854,53 |
392539,99 |
428225,44 |
321169,08 |
339011,81 |
||||||||||||||||||||||||||||
362 |
st33.008 |
Ожоги (уровень 4,5) с синдромом органной дисфункции |
14,07 |
1,00 |
|
497123,10 |
542316,11 |
406737,08 |
451930,09 |
497123,10 |
542316,11 |
406737,08 |
429333,58 |
||||||||||||||||||||||||||||
363 |
st34.001 |
Болезни полости рта, слюнных желез и челюстей, врожденные аномалии лица и шеи, взрослые |
0,89 |
1,00 |
|
31445,60 |
34304,29 |
25728,22 |
28586,91 |
31445,60 |
34304,29 |
25728,22 |
27157,56 |
||||||||||||||||||||||||||||
364 |
st34.002 |
Операции на органах полости рта (уровень 1) |
0,74 |
1,00 |
|
26145,78 |
28522,67 |
21392,00 |
23768,89 |
26145,78 |
28522,67 |
21392,00 |
22580,44 |
||||||||||||||||||||||||||||
365 |
st34.003 |
Операции на органах полости рта (уровень 2) |
1,27 |
1,00 |
|
44871,81 |
48951,06 |
36713,30 |
40792,55 |
44871,81 |
48951,06 |
36713,30 |
38752,92 |
||||||||||||||||||||||||||||
366 |
st34.004 |
Операции на органах полости рта (уровень 3) |
1,63 |
1,00 |
|
57591,38 |
62826,95 |
47120,22 |
52355,80 |
57591,38 |
62826,95 |
47120,22 |
49738,01 |
||||||||||||||||||||||||||||
367 |
st34.005 |
Операции на органах полости рта (уровень 4) |
1,90 |
1,00 |
|
67131,05 |
73233,87 |
54925,41 |
61028,23 |
67131,05 |
73233,87 |
54925,41 |
57976,82 |
||||||||||||||||||||||||||||
368 |
st35.001 |
Сахарный диабет, взрослые (уровень 1) |
1,02 |
1,00 |
|
36038,77 |
39315,03 |
29486,27 |
32762,52 |
36038,77 |
39315,03 |
29486,27 |
31124,40 |
||||||||||||||||||||||||||||
369 |
st35.002 |
Сахарный диабет, взрослые (уровень 2) |
1,49 |
0,90 |
|
47380,39 |
51687,70 |
38765,77 |
43073,08 |
47380,39 |
51687,70 |
38765,77 |
40919,43 |
||||||||||||||||||||||||||||
370 |
st35.003 |
Заболевания гипофиза, взрослые |
2,14 |
1,00 |
|
75610,76 |
82484,47 |
61863,35 |
68737,06 |
75610,76 |
82484,47 |
61863,35 |
65300,20 |
||||||||||||||||||||||||||||
371 |
st35.004 |
Другие болезни эндокринной системы, взрослые (уровень 1) |
1,25 |
1,00 |
|
44165,17 |
48180,18 |
36135,14 |
40150,15 |
44165,17 |
48180,18 |
36135,14 |
38142,64 |
||||||||||||||||||||||||||||
372 |
st35.005 |
Другие болезни эндокринной системы, взрослые (уровень 2) |
2,76 |
1,00 |
|
97516,68 |
106381,84 |
79786,38 |
88651,53 |
97516,68 |
106381,84 |
79786,38 |
84218,95 |
||||||||||||||||||||||||||||
373 |
st35.006 |
Новообразования эндокринных желез доброкачественные, in situ, неопределенного и неизвестного характера |
0,76 |
1,00 |
|
26852,42 |
29293,55 |
21970,16 |
24411,29 |
26852,42 |
29293,55 |
21970,16 |
23190,73 |
||||||||||||||||||||||||||||
374 |
st35.007 |
Расстройства питания |
1,06 |
1,00 |
|
37452,06 |
40856,79 |
30642,59 |
34047,33 |
37452,06 |
40856,79 |
30642,59 |
32344,96 |
||||||||||||||||||||||||||||
375 |
st35.008 |
Другие нарушения обмена веществ |
1,16 |
1,00 |
|
40985,27 |
44711,21 |
33533,41 |
37259,34 |
40985,27 |
44711,21 |
33533,41 |
35396,37 |
||||||||||||||||||||||||||||
376 |
st35.009 |
Кистозный фиброз |
3,32 |
1,00 |
|
117302,68 |
127966,56 |
95974,92 |
106638,80 |
117302,68 |
127966,56 |
95974,92 |
101306,86 |
||||||||||||||||||||||||||||
377 |
st36.001 |
Комплексное лечение с применением препаратов иммуноглобулина |
4,32 |
1,00 |
|
138758,92 |
138758,92 |
138758,92 |
138758,92 |
138758,92 |
138758,92 |
138758,92 |
138758,92 |
||||||||||||||||||||||||||||
378 |
st36.002 |
Редкие генетические заболевания |
3,50 |
1,00 |
|
123662,46 |
134904,50 |
101178,38 |
112420,42 |
123662,46 |
134904,50 |
101178,38 |
106799,40 |
||||||||||||||||||||||||||||
379 |
st36.004 |
Факторы, влияющие на состояние здоровья населения и обращения в учреждения здравоохранения |
0,32 |
1,00 |
|
11306,28 |
12334,13 |
9250,59 |
10278,44 |
11306,28 |
12334,13 |
9250,59 |
9764,52 |
||||||||||||||||||||||||||||
380 |
st36.005 |
Госпитализация в диагностических целях с постановкой диагноза туберкулеза, ВИЧ-инфекции, психического заболевания |
0,46 |
1,00 |
|
16252,78 |
17730,31 |
13297,73 |
14775,26 |
16252,78 |
17730,31 |
13297,73 |
14036,49 |
||||||||||||||||||||||||||||
381 |
st36.006 |
Отторжение, отмирание трансплантата органов и тканей |
8,40 |
1,00 |
|
296789,91 |
323770,81 |
242828,11 |
269809,01 |
296789,91 |
323770,81 |
242828,11 |
256318,56 |
||||||||||||||||||||||||||||
382 |
st36.007 |
Установка, замена, заправка помп для лекарственных препаратов |
2,32 |
1,00 |
|
74518,68 |
74518,68 |
74518,68 |
74518,68 |
74518,68 |
74518,68 |
74518,68 |
74518,68 |
||||||||||||||||||||||||||||
383 |
st36.008 |
Интенсивная терапия пациентов с нейрогенными нарушениями жизненно важных функций, нуждающихся в их длительном искусственном замещении |
18,15 |
1,00 |
|
641278,20 |
699576,21 |
524682,16 |
582980,18 |
641278,20 |
699576,21 |
524682,16 |
553831,17 |
||||||||||||||||||||||||||||
384 |
st36.009 |
Реинфузия аутокрови |
2,05 |
1,00 |
|
65846,25 |
65846,25 |
65846,25 |
65846,25 |
65846,25 |
65846,25 |
65846,25 |
65846,25 |
||||||||||||||||||||||||||||
385 |
st36.010 |
Баллонная внутриаортальная контрпульсация |
7,81 |
1,00 |
|
250858,14 |
250858,14 |
250858,14 |
250858,14 |
250858,14 |
250858,14 |
250858,14 |
250858,14 |
||||||||||||||||||||||||||||
386 |
st36.011 |
Экстракорпоральная мембранная оксигенация |
40,00 |
1,00 |
27,22% |
1284804,80 |
1284804,80 |
1284804,80 |
1284804,80 |
1284804,80 |
1284804,80 |
1284804,80 |
1284804,80 |
||||||||||||||||||||||||||||
387 |
st36.012 |
Злокачественное новообразование без специального противоопухолевого лечения |
0,50 |
1,00 |
|
17666,07 |
19272,07 |
14454,05 |
16060,06 |
17666,07 |
19272,07 |
14454,05 |
15257,06 |
||||||||||||||||||||||||||||
388 |
st36.013 |
Проведение антимикробной терапии инфекций, вызванных полирезистентными микроорганизмами (уровень 1) |
1,67 |
1,00 |
0,00% |
53640,60 |
53640,60 |
53640,60 |
53640,60 |
53640,60 |
53640,60 |
53640,60 |
53640,60 |
||||||||||||||||||||||||||||
389 |
st36.014 |
Проведение антимикробной терапии инфекций, вызванных полирезистентными микроорганизмами (уровень 2) |
3,23 |
1,00 |
0,00% |
103747,99 |
103747,99 |
103747,99 |
103747,99 |
103747,99 |
103747,99 |
103747,99 |
103747,99 |
||||||||||||||||||||||||||||
390 |
st36.015 |
Проведение антимикробной терапии инфекций, вызванных полирезистентными микроорганизмами (уровень 3) |
9,91 |
1,00 |
0,00% |
318310,39 |
318310,39 |
318310,39 |
318310,39 |
318310,39 |
318310,39 |
318310,39 |
318310,39 |
||||||||||||||||||||||||||||
391 |
st36.024 |
Радиойодтерапия |
2,46 |
1,00 |
70,66% |
79015,50 |
79015,50 |
79015,50 |
79015,50 |
79015,50 |
79015,50 |
79015,50 |
79015,50 |
||||||||||||||||||||||||||||
392 |
st36.025 |
Проведение иммунизации против респираторно-синцитиальной вирусной инфекции (уровень 1) |
1,52 |
1,00 |
5,85% |
49108,19 |
49393,81 |
48536,97 |
48822,58 |
49108,19 |
49393,81 |
48536,97 |
48679,78 |
||||||||||||||||||||||||||||
393 |
st36.026 |
Проведение иммунизации против респираторно-синцитиальной вирусной инфекции (уровень 2) |
3,24 |
1,00 |
4,58% |
104545,83 |
105022,46 |
103592,55 |
104069,19 |
104545,83 |
105022,46 |
103592,55 |
103830,87 |
||||||||||||||||||||||||||||
394 |
st36.027 |
Лечение с применением генно-инженерных биологических препаратов и селективных иммунодепрессантов (инициация или замена) |
3,25 |
1,00 |
34,50% |
104390,39 |
104390,39 |
104390,39 |
104390,39 |
104390,39 |
104390,39 |
104390,39 |
104390,39 |
||||||||||||||||||||||||||||
395 |
st36.028 |
Лечение с применением генно-инженерных биологических препаратов и селективных иммунодепрессантов (уровень 1) |
0,39 |
1,00 |
61,29% |
12526,85 |
12526,85 |
12526,85 |
12526,85 |
12526,85 |
12526,85 |
12526,85 |
12526,85 |
||||||||||||||||||||||||||||
396 |
st36.029 |
Лечение с применением генно-инженерных биологических препаратов и селективных иммунодепрессантов (уровень 2) |
0,57 |
1,00 |
41,72% |
18308,47 |
18308,47 |
18308,47 |
18308,47 |
18308,47 |
18308,47 |
18308,47 |
18308,47 |
||||||||||||||||||||||||||||
397 |
st36.030 |
Лечение с применением генно-инженерных биологических препаратов и селективных иммунодепрессантов (уровень 3) |
0,80 |
1,00 |
29,85% |
25696,10 |
25696,10 |
25696,10 |
25696,10 |
25696,10 |
25696,10 |
25696,10 |
25696,10 |
||||||||||||||||||||||||||||
398 |
st36.031 |
Лечение с применением генно-инженерных биологических препаратов и селективных иммунодепрессантов (уровень 4) |
0,88 |
1,00 |
27,11% |
28265,71 |
28265,71 |
28265,71 |
28265,71 |
28265,71 |
28265,71 |
28265,71 |
28265,71 |
||||||||||||||||||||||||||||
399 |
st36.032 |
Лечение с применением генно-инженерных биологических препаратов и селективных иммунодепрессантов (уровень 5) |
1,07 |
1,00 |
22,22% |
34368,53 |
34368,53 |
34368,53 |
34368,53 |
34368,53 |
34368,53 |
34368,53 |
34368,53 |
||||||||||||||||||||||||||||
400 |
st36.033 |
Лечение с применением генно-инженерных биологических препаратов и селективных иммунодепрессантов (уровень 6) |
1,31 |
1,00 |
18,16% |
42077,36 |
42077,36 |
42077,36 |
42077,36 |
42077,36 |
42077,36 |
42077,36 |
42077,36 |
||||||||||||||||||||||||||||
401 |
st36.034 |
Лечение с применением генно-инженерных биологических препаратов и селективных иммунодепрессантов (уровень 7) |
1,51 |
1,00 |
15,84% |
48501,38 |
48501,38 |
48501,38 |
48501,38 |
48501,38 |
48501,38 |
48501,38 |
48501,38 |
||||||||||||||||||||||||||||
402 |
st36.035 |
Лечение с применением генно-инженерных биологических препаратов и селективных иммунодепрессантов (уровень 8) |
1,68 |
1,00 |
14,20% |
53961,80 |
53961,80 |
53961,80 |
53961,80 |
53961,80 |
53961,80 |
53961,80 |
53961,80 |
||||||||||||||||||||||||||||
403 |
st36.036 |
Лечение с применением генно-инженерных биологических препаратов и селективных иммунодепрессантов (уровень 9) |
1,83 |
1,00 |
13,01% |
58779,82 |
58779,82 |
58779,82 |
58779,82 |
58779,82 |
58779,82 |
58779,82 |
58779,82 |
||||||||||||||||||||||||||||
404 |
st36.037 |
Лечение с применением генно-инженерных биологических препаратов и селективных иммунодепрессантов (уровень 10) |
2,03 |
1,00 |
11,74% |
65203,84 |
65203,84 |
65203,84 |
65203,84 |
65203,84 |
65203,84 |
65203,84 |
65203,84 |
||||||||||||||||||||||||||||
405 |
st36.038 |
Лечение с применением генно-инженерных биологических препаратов и селективных иммунодепрессантов (уровень 11) |
2,31 |
1,00 |
10,29% |
74197,48 |
74197,48 |
74197,48 |
74197,48 |
74197,48 |
74197,48 |
74197,48 |
74197,48 |
||||||||||||||||||||||||||||
406 |
st36.039 |
Лечение с применением генно-инженерных биологических препаратов и селективных иммунодепрессантов (уровень 12) |
2,77 |
1,00 |
8,58% |
88972,73 |
88972,73 |
88972,73 |
88972,73 |
88972,73 |
88972,73 |
88972,73 |
88972,73 |
||||||||||||||||||||||||||||
407 |
st36.040 |
Лечение с применением генно-инженерных биологических препаратов и селективных иммунодепрессантов (уровень 13) |
3,73 |
1,00 |
6,39% |
119808,05 |
119808,05 |
119808,05 |
119808,05 |
119808,05 |
119808,05 |
119808,05 |
119808,05 |
||||||||||||||||||||||||||||
408 |
st36.041 |
Лечение с применением генно-инженерных биологических препаратов и селективных иммунодепрессантов (уровень 14) |
4,37 |
1,00 |
5,45% |
140364,92 |
140364,92 |
140364,92 |
140364,92 |
140364,92 |
140364,92 |
140364,92 |
140364,92 |
||||||||||||||||||||||||||||
409 |
st36.042 |
Лечение с применением генно-инженерных биологических препаратов и селективных иммунодепрессантов (уровень 15) |
4,54 |
1,00 |
5,25% |
145825,34 |
145825,34 |
145825,34 |
145825,34 |
145825,34 |
145825,34 |
145825,34 |
145825,34 |
||||||||||||||||||||||||||||
410 |
st36.043 |
Лечение с применением генно-инженерных биологических препаратов и селективных иммунодепрессантов (уровень 16) |
5,87 |
1,00 |
4,06% |
188545,10 |
188545,10 |
188545,10 |
188545,10 |
188545,10 |
188545,10 |
188545,10 |
188545,10 |
||||||||||||||||||||||||||||
411 |
st36.044 |
Лечение с применением генно-инженерных биологических препаратов и селективных иммунодепрессантов (уровень 17) |
8,57 |
1,00 |
4,76% |
275269,43 |
275269,43 |
275269,43 |
275269,43 |
275269,43 |
275269,43 |
275269,43 |
275269,43 |
||||||||||||||||||||||||||||
412 |
st36.045 |
Лечение с применением генно-инженерных биологических препаратов и селективных иммунодепрессантов (уровень 18) |
17,47 |
1,00 |
1,58% |
561138,50 |
561138,50 |
561138,50 |
561138,50 |
561138,50 |
561138,50 |
561138,50 |
561138,50 |
||||||||||||||||||||||||||||
413 |
st36.046 |
Лечение с применением генно-инженерных биологических препаратов и селективных иммунодепрессантов (уровень 19) |
35,70 |
1,00 |
0,67% |
1146688,28 |
1146688,28 |
1146688,28 |
1146688,28 |
1146688,28 |
1146688,28 |
1146688,28 |
1146688,28 |
||||||||||||||||||||||||||||
414 |
st36.047 |
Лечение с применением генно-инженерных биологических препаратов и селективных иммунодепрессантов (уровень 20) |
73,17 |
1,00 |
0,33% |
2350229,18 |
2350229,18 |
2350229,18 |
2350229,18 |
2350229,18 |
2350229,18 |
2350229,18 |
2350229,18 |
||||||||||||||||||||||||||||
415 |
st36.048 |
Досуточная диагностическая госпитализация |
0,14 |
1,00 |
|
4946,50 |
5396,18 |
4047,14 |
4496,82 |
4946,50 |
5396,18 |
4047,14 |
4271,98 |
||||||||||||||||||||||||||||
416 |
st37.001 |
Медицинская реабилитация пациентов с заболеваниями центральной нервной системы (3 балла по ШРМ) |
1,53 |
0,80 |
|
43246,53 |
47178,03 |
35383,52 |
39315,03 |
43246,53 |
47178,03 |
35383,52 |
37349,28 |
||||||||||||||||||||||||||||
417 |
st37.002 |
Медицинская реабилитация пациентов с заболеваниями центральной нервной системы (4 балла по ШРМ) |
3,40 |
0,80 |
|
96103,40 |
104840,07 |
78630,05 |
87366,73 |
96103,40 |
104840,07 |
78630,05 |
82998,39 |
||||||||||||||||||||||||||||
418 |
st37.003 |
Медицинская реабилитация пациентов с заболеваниями центральной нервной системы (5 баллов по ШРМ) |
4,86 |
1,00 |
|
171714,16 |
187324,54 |
140493,40 |
156103,78 |
171714,16 |
187324,54 |
140493,40 |
148298,59 |
||||||||||||||||||||||||||||
419 |
st37.004 |
Медицинская реабилитация пациентов с заболеваниями центральной нервной системы (6 баллов по ШРМ) |
8,60 |
1,00 |
|
276233,03 |
276233,03 |
276233,03 |
276233,03 |
276233,03 |
276233,03 |
276233,03 |
276233,03 |
||||||||||||||||||||||||||||
420 |
st37.005 |
Медицинская реабилитация пациентов с заболеваниями опорно-двигательного аппарата и периферической нервной системы (3 балла по ШРМ) |
1,24 |
1,00 |
|
43811,84 |
47794,74 |
35846,05 |
39828,95 |
43811,84 |
47794,74 |
35846,05 |
37837,50 |
||||||||||||||||||||||||||||
421 |
st37.006 |
Медицинская реабилитация пациентов с заболеваниями опорно-двигательного аппарата и периферической нервной системы (4 балла по ШРМ) |
2,62 |
1,00 |
|
92570,19 |
100985,66 |
75739,24 |
84154,71 |
92570,19 |
100985,66 |
75739,24 |
79946,98 |
||||||||||||||||||||||||||||
422 |
st37.007 |
Медицинская реабилитация пациентов с заболеваниями опорно-двигательного аппарата и периферической нервной системы (5 баллов по ШРМ) |
3,93 |
1,00 |
|
138855,28 |
151478,49 |
113608,86 |
126232,07 |
138855,28 |
151478,49 |
113608,86 |
119920,47 |
||||||||||||||||||||||||||||
423 |
st37.008 |
Медицинская кардиореабилитация (3 балла по ШРМ) |
1,02 |
1,00 |
|
36038,77 |
39315,03 |
29486,27 |
32762,52 |
36038,77 |
39315,03 |
29486,27 |
31124,40 |
||||||||||||||||||||||||||||
424 |
st37.009 |
Медицинская кардиореабилитация (4 балла по ШРМ) |
1,38 |
1,00 |
|
48758,34 |
53190,92 |
39893,19 |
44325,77 |
48758,34 |
53190,92 |
39893,19 |
42109,48 |
||||||||||||||||||||||||||||
425 |
st37.010 |
Медицинская кардиореабилитация (5 баллов по ШРМ) |
2,00 |
1,00 |
|
70664,26 |
77088,29 |
57816,22 |
64240,24 |
70664,26 |
77088,29 |
57816,22 |
61028,23 |
||||||||||||||||||||||||||||
426 |
st37.011 |
Медицинская реабилитация при других соматических заболеваниях (3 балла по ШРМ) |
0,59 |
1,00 |
|
20845,96 |
22741,04 |
17055,78 |
18950,87 |
20845,96 |
22741,04 |
17055,78 |
18003,33 |
||||||||||||||||||||||||||||
427 |
st37.012 |
Медицинская реабилитация при других соматических заболеваниях (4 балла по ШРМ) |
0,84 |
1,00 |
|
29678,99 |
32377,08 |
24282,81 |
26980,90 |
29678,99 |
32377,08 |
24282,81 |
25631,86 |
||||||||||||||||||||||||||||
428 |
st37.013 |
Медицинская реабилитация при других соматических заболеваниях (5 баллов по ШРМ) |
1,17 |
1,00 |
|
41338,59 |
45096,65 |
33822,49 |
37580,54 |
41338,59 |
45096,65 |
33822,49 |
35701,51 |
||||||||||||||||||||||||||||
429 |
st37.014 |
Медицинская реабилитация детей, перенесших заболевания перинатального периода |
1,50 |
1,00 |
|
52998,20 |
57816,22 |
43362,16 |
48180,18 |
52998,20 |
57816,22 |
43362,16 |
45771,17 |
||||||||||||||||||||||||||||
430 |
st37.015 |
Медицинская реабилитация детей с нарушениями слуха без замены речевого процессора системы кохлеарной имплантации |
1,80 |
1,00 |
|
63597,84 |
69379,46 |
52034,59 |
57816,22 |
63597,84 |
69379,46 |
52034,59 |
54925,41 |
||||||||||||||||||||||||||||
431 |
st37.016 |
Медицинская реабилитация детей с онкологическими, гематологическими и иммунологическими заболеваниями в тяжелых формах продолжительного течения |
4,81 |
1,00 |
|
169947,55 |
185397,33 |
139048,00 |
154497,78 |
169947,55 |
185397,33 |
139048,00 |
146772,89 |
||||||||||||||||||||||||||||
432 |
st37.017 |
Медицинская реабилитация детей с поражениями центральной нервной системы |
2,75 |
1,00 |
|
97163,36 |
105996,40 |
79497,30 |
88330,33 |
97163,36 |
105996,40 |
79497,30 |
83913,81 |
||||||||||||||||||||||||||||
433 |
st37.018 |
Медицинская реабилитация детей, после хирургической коррекции врожденных пороков развития органов и систем |
2,35 |
1,00 |
|
83030,51 |
90578,74 |
67934,05 |
75482,28 |
83030,51 |
90578,74 |
67934,05 |
71708,17 |
||||||||||||||||||||||||||||
434 |
st37.019 |
Медицинская реабилитация после онкоортопедических операций |
1,44 |
1,00 |
|
50878,27 |
55503,57 |
41627,68 |
46252,97 |
50878,27 |
55503,57 |
41627,68 |
43940,32 |
||||||||||||||||||||||||||||
435 |
st37.020 |
Медицинская реабилитация по поводу постмастэктомического синдрома в онкологии |
1,24 |
1,00 |
|
43811,84 |
47794,74 |
35846,05 |
39828,95 |
43811,84 |
47794,74 |
35846,05 |
37837,50 |
||||||||||||||||||||||||||||
436 |
st37.021 |
Медицинская реабилитация после перенесенной коронавирусной инфекции COVID-19 (3 балла по ШРМ) |
1,08 |
1,00 |
|
38158,70 |
41627,68 |
31220,76 |
34689,73 |
38158,70 |
41627,68 |
31220,76 |
32955,24 |
||||||||||||||||||||||||||||
437 |
st37.022 |
Медицинская реабилитация после перенесенной коронавирусной инфекции COVID-19 (4 балла по ШРМ) |
1,61 |
1,00 |
|
56884,73 |
62056,07 |
46542,05 |
51713,39 |
56884,73 |
62056,07 |
46542,05 |
49127,72 |
||||||||||||||||||||||||||||
438 |
st37.023 |
Медицинская реабилитация после перенесенной коронавирусной инфекции COVID-19 (5 баллов по ШРМ) |
2,15 |
1,00 |
|
75964,08 |
82869,91 |
62152,43 |
69058,26 |
75964,08 |
82869,91 |
62152,43 |
65605,35 |
||||||||||||||||||||||||||||
439 |
st37.024 |
Продолжительная медицинская реабилитация пациентов с заболеваниями центральной нервной системы |
7,29 |
1,00 |
|
234155,67 |
234155,67 |
234155,67 |
234155,67 |
234155,67 |
234155,67 |
234155,67 |
234155,67 |
||||||||||||||||||||||||||||
440 |
st37.025 |
Продолжительная медицинская реабилитация пациентов с заболеваниями опорно-двигательного аппарата и периферической нервной системы |
6,54 |
1,00 |
|
210065,58 |
210065,58 |
210065,58 |
210065,58 |
210065,58 |
210065,58 |
210065,58 |
210065,58 |
||||||||||||||||||||||||||||
441 |
st37.026 |
Продолжительная медицинская реабилитация пациентов с заболеваниями центральной нервной системы и с заболеваниями опорно-двигательного аппарата и периферической нервной системы (сестринский уход) |
3,86 |
1,00 |
|
123983,66 |
123983,66 |
123983,66 |
123983,66 |
123983,66 |
123983,66 |
123983,66 |
123983,66 |
||||||||||||||||||||||||||||
442 |
st37.027 |
Медицинская реабилитация в детском нейрореабилитационном отделении в медицинской организации 4 группы |
5,56 |
1,00 |
|
196446,65 |
214305,44 |
160729,08 |
178587,87 |
196446,65 |
214305,44 |
160729,08 |
169658,47 |
||||||||||||||||||||||||||||
443 |
st37.028 |
Медицинская реабилитация в детском соматическом реабилитационном отделении в медицинской организации 4 группы |
4,04 |
1,00 |
|
142741,81 |
155718,34 |
116788,76 |
129765,28 |
142741,81 |
155718,34 |
116788,76 |
123277,02 |
||||||||||||||||||||||||||||
444 |
st37.029 |
Медицинская реабилитация в детском ортопедическом реабилитационном отделении в медицинской организации 4 группы |
5,00 |
1,00 |
|
176660,66 |
192720,72 |
144540,54 |
160600,60 |
176660,66 |
192720,72 |
144540,54 |
152570,57 |
||||||||||||||||||||||||||||
445 |
st37.030 |
Комплексная медицинская реабилитация после протезирования нижних конечностей с установкой постоянного экзопротеза, в том числе с болевым синдромом |
5,96 |
1,00 |
89,28% |
208527,31 |
225618,71 |
174344,52 |
191435,92 |
208527,31 |
225618,71 |
174344,52 |
182890,22 |
||||||||||||||||||||||||||||
446 |
st37.031 |
Комплексная медицинская реабилитация у пациентов с последствиями позвоночно-спинномозговой травмы, с нарушением функции нижних мочевыводящих путей |
9,37 |
1,00 |
50,90% |
316284,67 |
331603,81 |
285646,38 |
300965,52 |
316284,67 |
331603,81 |
285646,38 |
293305,95 |
||||||||||||||||||||||||||||
447 |
st38.001 |
Соматические заболевания, осложненные старческой астенией |
1,50 |
1,18 |
|
62537,87 |
68223,13 |
51167,35 |
56852,61 |
62537,87 |
68223,13 |
51167,35 |
54009,98 |
||||||||||||||||||||||||||||
Приложение 4.7
к Тарифному соглашению
на 2025 год
от 27.12.2024
ПЕРЕЧЕНЬ КСГ КРУГЛОСУТОЧНОГО
СТАЦИОНАРА, ПО КОТОРЫМ НЕ ПРИМЕНЯЕТСЯ
КОЭФФИЦИЕНТ УРОВНЯ/ПОДУРОВНЯ
МЕДИЦИНСКОЙ ОРГАНИЗАЦИИ
(в
ред. Дополнительного соглашения к
Тарифному соглашению в системе
обязательного медицинского страхования
Смоленской области от 31.01.2025 N 1)
N КСГ |
Наименование КСГ |
Круглосуточный стационар | |
st01.001 |
Беременность без патологии, дородовая госпитализация в отделение сестринского ухода |
st02.002 |
Беременность, закончившаяся абортивным исходом |
st02.006 |
Послеродовой сепсис |
st02.012 |
Операции на женских половых органах (уровень 3) |
st03.002 |
Ангионевротический отек, анафилактический шок |
st04.001 |
Язва желудка и двенадцатиперстной кишки |
st09.003 |
Операции на мужских половых органах, дети (уровень 3) |
st09.004 |
Операции на мужских половых органах, дети (уровень 4) |
st09.008 |
Операции на почке и мочевыделительной системе, дети (уровень 4) |
st09.009 |
Операции на почке и мочевыделительной системе, дети (уровень 5) |
st09.010 |
Операции на почке и мочевыделительной системе, дети (уровень 6) |
st10.003 |
Аппендэктомия, дети |
st10.005 |
Операции по поводу грыж, дети (уровень 1) |
st14.001 |
Операции на кишечнике и анальной области (уровень 1) |
st15.005 |
Эпилепсия, судороги (уровень 1) |
st15.008 |
Неврологические заболевания, лечение с применением ботулотоксина (уровень 1) |
st15.009 |
Неврологические заболевания, лечение с применением ботулотоксина (уровень 2) |
st16.003 |
Дорсопатии, спондилопатии, остеопатии |
st16.005 |
Сотрясение головного мозга |
st16.010 |
Операции на периферической нервной системе (уровень 2) |
st16.011 |
Операции на периферической нервной системе (уровень 3) |
st20.008 |
Операции на органе слуха, придаточных пазухах носа и верхних дыхательных путях (уровень 4) |
st20.009 |
Операции на органе слуха, придаточных пазухах носа и верхних дыхательных путях (уровень 5) |
st20.010 |
Замена речевого процессора |
st21.004 |
Операции на органе зрения (уровень 4) |
st21.006 |
Операции на органе зрения (уровень 6) |
st21.009 |
Операции на органе зрения (факоэмульсификация с имплантацией ИОЛ) |
st27.001 |
Болезни пищевода, гастрит, дуоденит, другие болезни желудка и двенадцатиперстной кишки |
st27.003 |
Болезни желчного пузыря |
st27.005 |
Гипертоническая болезнь в стадии обострения |
st27.006 |
Стенокардия (кроме нестабильной), хроническая ишемическая болезнь сердца (уровень 1) |
st27.010 |
Бронхит необструктивный, симптомы и признаки, относящиеся к органам дыхания |
st28.004 |
Операции на нижних дыхательных путях и легочной ткани, органах средостения (уровень 3) |
st28.005 |
Операции на нижних дыхательных путях и легочной ткани, органах средостения (уровень 4) |
st29.002 |
Переломы шейки бедра и костей таза |
st29.003 |
Переломы бедренной кости, другие травмы области бедра и тазобедренного сустава |
st29.004 |
Переломы, вывихи, растяжения области грудной клетки, верхней конечности и стопы |
st29.005 |
Переломы, вывихи, растяжения области колена и голени |
st29.012 |
Операции на костно-мышечной системе и суставах (уровень 4) |
st29.013 |
Операции на костно-мышечной системе и суставах (уровень 5) |
st30.004 |
Болезни предстательной железы |
st30.008 |
Операции на мужских половых органах, взрослые (уровень 3) |
st30.009 |
Операции на мужских половых органах, взрослые (уровень 4) |
st30.015 |
Операции на почке и мочевыделительной системе, взрослые (уровень 6) |
st31.002 |
Операции на коже, подкожной клетчатке, придатках кожи (уровень 1) |
st31.009 |
Операции на эндокринных железах кроме гипофиза (уровень 1) |
st31.010 |
Операции на эндокринных железах кроме гипофиза (уровень 2) |
st31.012 |
Артрозы, другие поражения суставов, болезни мягких тканей |
st31.018 |
Открытые раны, поверхностные, другие и неуточненные травмы |
st32.004 |
Операции на желчном пузыре и желчевыводящих путях (уровень 4) |
st32.010 |
Операции на пищеводе, желудке, двенадцатиперстной кишке (уровень 3) |
st32.011 |
Аппендэктомия, взрослые |
st32.013 |
Операции по поводу грыж, взрослые (уровень 1) |
st32.014 |
Операции по поводу грыж, взрослые (уровень 2) |
st32.015 |
Операции по поводу грыж, взрослые (уровень 3) |
st36.001 |
Комплексное лечение с применением препаратов иммуноглобулина |
st36.007 |
Установка, замена, заправка помп для лекарственных препаратов |
st36.009 |
Реинфузия аутокрови |
st36.010 |
Баллонная внутриаортальная контрпульсация |
st36.011 |
Экстракорпоральная мембранная оксигенация |
st36.024 |
Радиойодтерапия |
st36.027 |
Лечение с применением генно-инженерных биологических препаратов и селективных иммунодепрессантов (инициация или замена) |
st36.028 |
Лечение с применением генно-инженерных биологических препаратов и селективных иммунодепрессантов (уровень 1) |
st36.029 |
Лечение с применением генно-инженерных биологических препаратов и селективных иммунодепрессантов (уровень 2) |
st36.030 |
Лечение с применением генно-инженерных биологических препаратов и селективных иммунодепрессантов (уровень 3) |
st36.031 |
Лечение с применением генно-инженерных биологических препаратов и селективных иммунодепрессантов (уровень 4) |
st36.032 |
Лечение с применением генно-инженерных биологических препаратов и селективных иммунодепрессантов (уровень 5) |
st36.033 |
Лечение с применением генно-инженерных биологических препаратов и селективных иммунодепрессантов (уровень 6) |
st36.034 |
Лечение с применением генно-инженерных биологических препаратов и селективных иммунодепрессантов (уровень 7) |
st36.035 |
Лечение с применением генно-инженерных биологических препаратов и селективных иммунодепрессантов (уровень 8) |
st36.036 |
Лечение с применением генно-инженерных биологических препаратов и селективных иммунодепрессантов (уровень 9) |
st36.037 |
Лечение с применением генно-инженерных биологических препаратов и селективных иммунодепрессантов (уровень 10) |
st36.038 |
Лечение с применением генно-инженерных биологических препаратов и селективных иммунодепрессантов (уровень 11) |
st36.039 |
Лечение с применением генно-инженерных биологических препаратов и селективных иммунодепрессантов (уровень 12) |
st36.040 |
Лечение с применением генно-инженерных биологических препаратов и селективных иммунодепрессантов (уровень 13) |
st36.041 |
Лечение с применением генно-инженерных биологических препаратов и селективных иммунодепрессантов (уровень 14) |
st36.042 |
Лечение с применением генно-инженерных биологических препаратов и селективных иммунодепрессантов (уровень 15) |
st36.043 |
Лечение с применением генно-инженерных биологических препаратов и селективных иммунодепрессантов (уровень 16) |
st36.044 |
Лечение с применением генно-инженерных биологических препаратов и селективных иммунодепрессантов (уровень 17) |
st36.045 |
Лечение с применением генно-инженерных биологических препаратов и селективных иммунодепрессантов (уровень 18) |
st36.046 |
Лечение с применением генно-инженерных биологических препаратов и селективных иммунодепрессантов (уровень 19) |
st36.047 |
Лечение с применением генно-инженерных биологических препаратов и селективных иммунодепрессантов (уровень 20) |
st37.004 |
Медицинская реабилитация пациентов с заболеваниями центральной нервной системы (6 баллов по ШРМ) |
st37.024 |
Продолжительная медицинская реабилитация пациентов с заболеваниями центральной нервной системы |
st37.025 |
Продолжительная медицинская реабилитация пациентов с заболеваниями опорно-двигательного аппарата и периферической нервной системы |
st37.026 |
Продолжительная медицинская реабилитация пациентов с заболеваниями центральной нервной системы и с заболеваниями опорно-двигательного аппарата и периферической нервной системы (сестринский уход) |
Приложение 5
к Тарифному соглашению
на 2025 год
от 27.12.2024
ПЕРЕЧЕНЬ МЕДИЦИНСКИХ ОРГАНИЗАЦИЙ
(СТРУКТУРНЫХ ПОДРАЗДЕЛЕНИЙ МЕДИЦИНСКИХ
ОРГАНИЗАЦИЙ), ОКАЗЫВАЮЩИХ СКОРУЮ
МЕДИЦИНСКУЮ ПОМОЩЬ ВНЕ МЕДИЦИНСКОЙ
ОРГАНИЗАЦИИ
(в
ред. Дополнительного соглашения к
Тарифному соглашению в системе
обязательного медицинского страхования
Смоленской области от 31.01.2025 N 1)
N п/п |
Наименование медицинской организации |
Способ оплаты медицинской помощи | |
|
|
по подушевому нормативу на прикрепившихся лиц |
за единицу объема |
1 |
ФГБУЗ "Медико-санитарная часть N 135 медико-биологического агентства" |
+ |
|
2 |
ОГБУЗ "Станция скорой медицинской помощи" |
+ |
|
3 |
ОГБУЗ "Смоленская областная клиническая больница" |
|
+ |
4 |
ОГБУЗ "Смоленская областная детская клиническая больница" |
|
+ |
5 |
ОГБУЗ "Клиническая больница N 1" |
|
+ |
Приложение 5.1
к Тарифному соглашению
на 2025 год
от 27.12.2024
ТАРИФЫ НА ОПЛАТУ СКОРОЙ МЕДИЦИНСКОЙ
ПОМОЩИ
Скорая медицинская помощь |
Тариф на 1 вызов, руб. |
Вызов бригады скорой помощи |
4292,90 |
Вызов бригады скорой помощи с применением тромболитика |
50195,90 |
Приложение 5.2
к Тарифному соглашению
на 2025 год
от 27.12.2024
ДИФФЕРЕНЦИРОВАННЫЙ ПОДУШЕВОЙ НОРМАТИВ,
КОЭФФИЦИЕНТЫ ДИФФЕРЕНЦИАЦИИ ДЛЯ
ФИНАНСИРОВАНИЯ СКОРОЙ МЕДИЦИНСКОЙ
ПОМОЩИ, ОКАЗАННОЙ ВНЕ МЕДИЦИНСКОЙ
ОРГАНИЗАЦИИ
(в ред. Дополнительного соглашения к Тарифному соглашению в системе обязательного медицинского страхования Смоленской области от 31.01.2025 N 1)
┌═══════════════════════════════════════════════════════════════════════════════════════════════════════════════════┬═══════════════════┬═══════════════════┬═══════════════════┬═══════════════════┬═══════════════════┬═══════════════════┬═══════════════════┬═══════════════════┬═══════════════════┬═══════════════════┬═══════════════════┬═══════════════════‰
│Период │ январь │ февраль │ март │ апрель │ май │ июнь │ июль │ август │ сентябрь │ октябрь │ ноябрь │ декабрь │
├═══════════════════════════════════════════════════════════════════════════════════════════════════════════════════┼═══════════════════┼═══════════════════┼═══════════════════┼═══════════════════┼═══════════════════┼═══════════════════┼═══════════════════┼═══════════════════┼═══════════════════┼═══════════════════┼═══════════════════┼═══════════════════┤
│Средний размер финансового обеспечения скорой медицинской помощи (на год), ФОсмпср, рублей │ 1213,77 │ 1213,77 │ 1213,77 │ 1213,77 │ 1213,77 │ 1213,77 │ 1213,77 │ 1213,77 │ 1213,77 │ 1213,77 │ 1213,77 │ 1213,77 │
├═══════════════════════════════════════════════════════════════════════════════════════════════════════════════════┼═══════════════════┼═══════════════════┼═══════════════════┼═══════════════════┼═══════════════════┼═══════════════════┼═══════════════════┼═══════════════════┼═══════════════════┼═══════════════════┼═══════════════════┼═══════════════════┤
│Базовый (средний) подушевой норматив финансирования скорой медицинской помощи на 1 застрахованное лицо (на│ 1182,74 │ 1182,74 │ 1182,74 │ 1182,74 │ 1182,74 │ 1182,74 │ 1182,74 │ 1182,74 │ 1182,74 │ 1182,74 │ 1182,74 │ 1182,74 │
│год), Пнбаз, рублей │ │ │ │ │ │ │ │ │ │ │ │ │
├═══════════════════════════════════════════════════════════════════════════════════════════════════════════════════┼═══════════════════┼═══════════════════┼═══════════════════┼═══════════════════┼═══════════════════┼═══════════════════┼═══════════════════┼═══════════════════┼═══════════════════┼═══════════════════┼═══════════════════┼═══════════════════┤
│Базовый (средний) подушевой норматив финансирования скорой медицинской помощи на 1 застрахованное лицо│ 98,56 │ 98,56 │ 98,56 │ 98,56 │ 98,56 │ 98,56 │ 98,56 │ 98,56 │ 98,56 │ 98,56 │ 98,56 │ 98,56 │
│(месяц), Пнбаз, рублей │ │ │ │ │ │ │ │ │ │ │ │ │
├═══┬════════════┬═══════════════┬════════════════┬══════════════┬═══════════════┬══════════════┬═══════════════════┼═══════════════════┼═══════════════════┼═══════════════════┼═══════════════════┼═══════════════════┼═══════════════════┼═══════════════════┼═══════════════════┼═══════════════════┼═══════════════════┼═══════════════════┼═══════════════════┤
│ N │Наименование│ Коэффициент │ Коэффициент │ Коэффициент │ Коэффициент │ Численность │Дифференцированный │Дифференцированный │Дифференцированный │Дифференцированный │Дифференцированный │Дифференцированный │Дифференцированный │Дифференцированный │Дифференцированный │Дифференцированный │Дифференцированный │Дифференцированный │Дифференцированный │
│п/п│медицинской │половозрастного│ достижения │ уровня │дифференциации,│застрахованных│подушевой норматив │подушевой норматив │подушевой норматив │подушевой норматив │подушевой норматив │подушевой норматив │подушевой норматив │подушевой норматив │подушевой норматив │подушевой норматив │подушевой норматив │подушевой норматив │подушевой норматив │
│ │организации │состава (КДпв) │ уровня целевых │ расходов │рассчитанный в │ лиц на │ (ДПн) (год), руб. │ финансирования │ финансирования │ финансирования │ финансирования │ финансирования │ финансирования │ финансирования │ финансирования │ финансирования │ финансирования │ финансирования │ финансирования │
│ │ │ │ показателей │ медицинских │соответствии с │ 01.01.2025 │ │(ДПн) (месяц), руб.│(ДПн) (месяц), руб.│(ДПн) (месяц), руб.│(ДПн) (месяц), руб.│(ДПн) (месяц), руб.│(ДПн) (месяц), руб.│(ДПн) (месяц), руб.│(ДПн) (месяц), руб.│(ДПн) (месяц), руб.│(ДПн) (месяц), руб.│(ДПн) (месяц), руб.│(ДПн) (месяц), руб.│
│ │ │ │ уровня │ организаций │Постановлением │ │ │ январь │ февраль │ март │ апрель │ май │ июнь │ июль │ август │ сентябрь │ октябрь │ ноябрь │ декабрь │
│ │ │ │заработной платы│ (особенности │ Правительства │ │ │ │ │ │ │ │ │ │ │ │ │ │ │
│ │ │ │ медицинских │ плотности │ РФ от │ │ │ │ │ │ │ │ │ │ │ │ │ │ │
│ │ │ │ работников, │ населения, │ 05.05.2012 N │ │ │ │ │ │ │ │ │ │ │ │ │ │ │
│ │ │ │предусмотренного│ транспортной │ 462 г. (КД) │ │ │ │ │ │ │ │ │ │ │ │ │ │ │
│ │ │ │ "дорожными │ доступности, │ │ │ │ │ │ │ │ │ │ │ │ │ │ │ │
│ │ │ │ картами" │климатических │ │ │ │ │ │ │ │ │ │ │ │ │ │ │ │
│ │ │ │ развития │ и │ │ │ │ │ │ │ │ │ │ │ │ │ │ │ │
│ │ │ │здравоохранения │географических│ │ │ │ │ │ │ │ │ │ │ │ │ │ │ │
│ │ │ │ (КДзп) │особенностей, │ │ │ │ │ │ │ │ │ │ │ │ │ │ │ │
│ │ │ │ │ площади │ │ │ │ │ │ │ │ │ │ │ │ │ │ │ │
│ │ │ │ │ медицинской │ │ │ │ │ │ │ │ │ │ │ │ │ │ │ │
│ │ │ │ │ организации) │ │ │ │ │ │ │ │ │ │ │ │ │ │ │ │
│ │ │ │ │ (КДур) │ │ │ │ │ │ │ │ │ │ │ │ │ │ │ │
├═══┼════════════┼═══════════════┼════════════════┼══════════════┼═══════════════┼══════════════┼═══════════════════┼═══════════════════┼═══════════════════┼═══════════════════┼═══════════════════┼═══════════════════┼═══════════════════┼═══════════════════┼═══════════════════┼═══════════════════┼═══════════════════┼═══════════════════┼═══════════════════┤
│1 │ОГБУЗ │ 0,9997 │ 1,0000 │1,013733130620│ 1,0000 │ 829997 │ 1198,62 │ 99,89 │ 99,89 │ 99,89 │ 99,89 │ 99,89 │ 99,89 │ 99,89 │ 99,89 │ 99,89 │ 99,89 │ 99,89 │ 99,89 │
│ │"Станция │ │ │ │ │ │ │ │ │ │ │ │ │ │ │ │ │ │ │
│ │скорой │ │ │ │ │ │ │ │ │ │ │ │ │ │ │ │ │ │ │
│ │медицинской │ │ │ │ │ │ │ │ │ │ │ │ │ │ │ │ │ │ │
│ │помощи" │ │ │ │ │ │ │ │ │ │ │ │ │ │ │ │ │ │ │
├═══┼════════════┼═══════════════┼════════════════┼══════════════┼═══════════════┼══════════════┼═══════════════════┼═══════════════════┼═══════════════════┼═══════════════════┼═══════════════════┼═══════════════════┼═══════════════════┼═══════════════════┼═══════════════════┼═══════════════════┼═══════════════════┼═══════════════════┼═══════════════════┤
│2 │ФГУЗ МСЧ N│ 1,0086 │ 1,0000 │1,013733130620│ 1,0000 │ 26322 │ 1209,29 │ 100,77 │ 100,77 │ 100,77 │ 100,77 │ 100,77 │ 100,77 │ 100,77 │ 100,77 │ 100,77 │ 100,77 │ 100,77 │ 100,77 │
│ │135 ФМБА│ │ │ │ │ │ │ │ │ │ │ │ │ │ │ │ │ │ │
│ │России │ │ │ │ │ │ │ │ │ │ │ │ │ │ │ │ │ │ │
└═══┴════════════┴═══════════════┴════════════════┴══════════════┴═══════════════┴══════════════┴═══════════════════┴═══════════════════┴═══════════════════┴═══════════════════┴═══════════════════┴═══════════════════┴═══════════════════┴═══════════════════┴═══════════════════┴═══════════════════┴═══════════════════┴═══════════════════┴═══════════════════…
Приложение 5.3
к Тарифному соглашению
на 2025 год
от 27.12.2024
ПОЛОВОЗРАСТНЫЕ КОЭФФИЦИЕНТЫ
ДИФФЕРЕНЦИАЦИИ ПОДУШЕВОГО НОРМАТИВА
ФИНАНСИРОВАНИЯ СКОРОЙ МЕДИЦИНСКОЙ
ПОМОЩИ ДЛЯ КАЖДОЙ ПОЛОВОЗРАСТНОЙ ГРУППЫ
(ПОДГРУППЫ)
Половозрастная группа |
|
Половозрастные коэффициенты дифференциации (Кдпв) |
0 - до 1 года |
муж. |
2,8059 |
|
жен. |
2,6537 |
1 - 4 года |
муж. |
1,5864 |
|
жен. |
1,3138 |
5 - 17 лет |
муж. |
0,4918 |
|
жен. |
0,4931 |
18 - 64 лет |
муж. |
0,6466 |
|
жен. |
0,7109 |
65 лет и старше |
муж. |
1,7751 |
|
жен. |
2,4059 |
Приложение 5.4
к Тарифному соглашению
на 2025 год
от 27.12.2024
ТАРИФЫ НА ОКАЗАНИЯ СКОРОЙ
СПЕЦИАЛИЗИРОВАННОЙ МЕДИЦИНСКОЙ ПОМОЩИ
ВЫЕЗДНЫМИ ЭКСТРЕННЫМИ КОНСУЛЬТАТИВНЫМИ
БРИГАДАМИ
(в
ред. Дополнительного соглашения к
Тарифному соглашению в системе
обязательного медицинского страхования
Смоленской области от 31.01.2025 N 1)
Наименование |
Тариф, руб. |
Вызов специализированной скорой медицинской помощи экстренной бригады (до 50 км) |
18797 |
Вызов специализированной скорой медицинской помощи экстренной бригады (от 50 км до 150 км) |
28034 |
Вызов специализированной скорой медицинской помощи экстренной бригады (от 150 км до 250 км) |
38210 |
Вызов специализированной скорой медицинской помощи экстренной бригады (от 250 км до 500 км) |
69960 |
Вызов специализированной скорой медицинской помощи экстренной бригады (свыше 500 км) |
123274 |
Вызов специализированной скорой медицинской помощи экстренной консультативной бригады |
21022 |
Приложение 6
к Тарифному соглашению
на 2025 год
от 27.12.2024
НОРМАТИВЫ ФИНАНСОВЫХ ЗАТРАТ НА ЕДИНИЦУ
ОБЪЕМА ПРЕДОСТАВЛЕНИЯ
ВЫСОКОТЕХНОЛОГИЧНОЙ МЕДИЦИНСКОЙ ПОМОЩИ
В СТАЦИОНАРНЫХ УСЛОВИЯХ
(в
ред. Дополнительного соглашения к
Тарифному соглашению в системе
обязательного медицинского страхования
Смоленской области от 31.01.2025 N 1)
Профиль медицинской помощи |
Группа ВМП |
Норматив финансовых затрат на единицу объема медицинской помощи, руб. |
Доля заработной платы в структуре среднего норматива финансовых затрат на единицу объема высокотехнологичной медицинской помощи, % |
Акушерство и гинекология |
1 группа ВМП |
171506 |
37% |
|
2 группа ВМП |
262515 |
43% |
|
3 группа ВМП |
167548 |
18% |
|
4 группа ВМП |
294536 |
19% |
Гастроэнтерология |
5 группа ВМП |
175846 |
25% |
Гематология |
6 группа ВМП |
199732 |
34% |
|
7 группа ВМП |
567146 |
8% |
Детская хирургия в период новорожденности |
8 группа ВМП |
359834 |
54% |
Дерматовенерология |
9 группа ВМП |
135718 |
37% |
Комбустиология |
10 группа ВМП |
732178 |
52% |
|
11 группа ВМП |
2081556 |
31% |
Нейрохирургия |
12 группа ВМП |
214238 |
28% |
|
13 группа ВМП |
325152 |
22% |
|
14 группа ВМП |
207526 |
20% |
|
15 группа ВМП |
297888 |
19% |
|
16 группа ВМП |
395517 |
41% |
|
17 группа ВМП |
525984 |
32% |
|
18 группа ВМП |
1350773 |
2% |
Неонатология |
19 группа ВМП |
328020 |
24% |
|
20 группа ВМП |
675272 |
33% |
Онкология |
21 группа ВМП |
250993 |
30% |
|
22 группа ВМП |
137950 |
59% |
|
23 группа ВМП |
181952 |
40% |
|
24 группа ВМП |
508518 |
26% |
|
25 группа ВМП |
96811 |
41% |
|
26 группа ВМП |
218469 |
39% |
|
27 группа ВМП |
290518 |
38% |
Оториноларингология |
28 группа ВМП |
150311 |
29% |
|
29 группа ВМП |
88512 |
23% |
|
30 группа ВМП |
175707 |
48% |
Офтальмология |
31 группа ВМП |
81502 |
39% |
|
32 группа ВМП |
118242 |
38% |
|
33 группа ВМП |
115123 |
27% |
|
34 группа ВМП |
119132 |
9% |
Педиатрия |
35 группа ВМП |
112219 |
42% |
|
36 группа ВМП |
226809 |
25% |
|
37 группа ВМП |
132512 |
37% |
|
38 группа ВМП |
224805 |
24% |
|
39 группа ВМП |
223109 |
22% |
|
40 группа ВМП |
99093 |
33% |
|
41 группа ВМП |
170719 |
22% |
|
42 группа ВМП |
166477 |
45% |
Ревматология |
43 группа ВМП |
177912 |
39% |
Сердечно-сосудистая хирургия |
44 группа ВМП |
162947 |
58% |
|
45 группа ВМП |
195618 |
50% |
|
46 группа ВМП |
240813 |
37% |
|
47 группа ВМП |
129966 |
16% |
|
48 группа ВМП |
157783 |
13% |
|
49 группа ВМП |
199665 |
11% |
|
50 группа ВМП |
258910 |
9% |
|
51 группа ВМП |
286819 |
8% |
|
52 группа ВМП |
328828 |
7% |
|
53 группа ВМП |
181744 |
20% |
|
54 группа ВМП |
337864 |
17% |
|
55 группа ВМП |
277761 |
41% |
|
56 группа ВМП |
862083 |
19% |
|
57 группа ВМП |
489587 |
56% |
|
58 группа ВМП |
417165 |
21% |
|
59 группа ВМП |
778020 |
13% |
|
60 группа ВМП |
892719 |
17% |
|
61 группа ВМП |
710393 |
12% |
|
62 группа ВМП |
391292 |
13% |
|
63 группа ВМП |
1798375 |
4% |
|
64 группа ВМП |
1702925 |
2% |
|
65 группа ВМП |
306509 |
12% |
|
66 группа ВМП |
532230 |
8% |
|
67 группа ВМП |
549482 |
47% |
Торакальная хирургия |
68 группа ВМП |
187721 |
20% |
|
69 группа ВМП |
325958 |
17% |
Травматология и ортопедия |
70 группа ВМП |
177382 |
27% |
|
71 группа ВМП |
365995 |
36% |
|
72 группа ВМП |
209028 |
25% |
|
73 группа ВМП |
286551 |
48% |
|
74 группа ВМП |
438956 |
10% |
|
75 группа ВМП |
335251 |
15% |
|
76 группа ВМП |
474456 |
12% |
|
77 группа ВМП |
246935 |
17% |
|
78 группа ВМП |
208961 |
45% |
Урология |
79 группа ВМП |
126045 |
32% |
|
80 группа ВМП |
186589 |
35% |
|
81 группа ВМП |
124341 |
18% |
Хирургия |
82 группа ВМП |
218122 |
23% |
|
83 группа ВМП |
237475 |
30% |
|
84 группа ВМП |
267658 |
30% |
|
85 группа ВМП |
332048 |
13% |
Челюстно-лицевая хирургия |
86 группа ВМП |
164954 |
35% |
Эндокринология |
87 группа ВМП |
243171 |
19% |
|
88 группа ВМП |
137128 |
35% |
Приложение 7
к Тарифному соглашению
на 2025 год
от 27.12.2024
ПОРЯДОК ПРИМЕНЕНИЯ КОЭФФИЦИЕНТОВ
СЛОЖНОСТИ ЛЕЧЕНИЯ ПАЦИЕНТА
(в ред. Дополнительного соглашения к Тарифному соглашению в системе обязательного медицинского страхования Смоленской области от 31.01.2025 N 1)
Перечень схем сопроводительной
лекарственной терапии
КСЛП в случае проведения
сопроводительной лекарственной терапии
при злокачественных новообразованиях у
взрослых может быть применен в случае,
если проведение сопроводительной
терапии предусмотрено соответствующими
клиническими рекомендациями, в рамках
госпитализаций в стационарных условиях
по КСГ st19.084 - st19.089, st19.094 - st19.102, st19.163 - st19.181;
в условиях дневного стационара по КСГ
ds19.058 - ds19.062, ds19.067 - ds19.078, ds19.135 - ds19.156.
При использовании схем
лекарственной терапии,
предусматривающих применение
лекарственных препаратов филграстим,
деносумаб, эмпэгфилграстим, КСЛП
"Проведение сопроводительной
лекарственной терапии при
злокачественных новообразованиях у
взрослых (уровень 1 - 3)" не применяются.
Перечень схем сопроводительной
лекарственной терапии, при применении
которых может быть применен КСЛП:
Код схемы |
Уровень КСЛП <*> |
Описание схемы |
Условия применения |
supt01 |
1 |
Филграстим 4 дня введения по 300 мкг |
|
supt02 |
2 |
Деносумаб 1 день введения 120 мг |
установленный клиренс креатинина <59 мл/мин на момент принятия решения о назначении препарата Деносумаб |
supt03 |
2 |
Тоцилизумаб 1 день введения 8 мг/кг |
|
supt04 |
2 |
Филграстим 8 дней введения по 300 мкг |
|
supt05 |
3 |
Эмпэгфилграстим 1 день введения 7,5 мг |
|
supt06 |
2 |
Филграстим 10 дней введения по 300 мкг |
|
supt07 |
1 |
Микофенолата мофетил 30 дней введения по 1000 мг 2 раза в день |
|
supt08 |
1 |
Такролимус 30 дней введения по 0,1 мг/кг |
|
supt09 |
3 |
Ведолизумаб 1 день введения 300 мг |
|
supt10 |
3 |
Инфликсимаб 1 день введения 5 мг/кг |
|
supt11 |
3 |
Иммуноглобулин человека нормальный 5 дней введения по 400 мг/кг |
|
supt12 |
3 |
Иммуноглобулин антитимоцитарный 3 - 5 дней введения по 1,5 - 5 мг/кг |
|
* - в стационарных условиях и в
условиях дневного стационара.
Проведение тестирования на выявление
респираторных вирусных заболеваний
(гриппа, новой коронавирусной инфекции
COVID-19) в период госпитализации
Указанный КСЛП не может
применяться при оплате случаев лечения,
оплачиваемых по КСГ st12.012 "Грипп, вирус
гриппа идентифицирован" и КСГ st12.015 - st12.019,
используемых для оплаты случаев лечения
новой коронавирусной инфекции COVID-19.
Наличие у пациентов тяжелой
сопутствующей патологии, осложнений
заболеваний, влияющих на сложность
лечения пациента
К таким сопутствующим заболеваниям
и осложнениям заболеваний целесообразно
относить:
- Сахарный диабет типа 1 и 2;
- Заболевания, включенные в
Перечень редких (орфанных) заболеваний,
размещенный на официальном сайте
Министерства здравоохранения
Российской Федерации;
- Рассеянный склероз (G35);
- Хронический лимфоцитарный лейкоз
(С91.1);
- Состояния после трансплантации
органов и (или) тканей (Z94.0; Z94.1; Z94.4; Z94.8);
- Детский церебральный паралич (G80);
- ВИЧ/СПИД, стадии 4Б и 4В, взрослые (B20
- B24);
- Перинатальный контакт по
ВИЧ-инфекции, дети (Z20.6).
Проведение сочетанных хирургических
вмешательств
Перечень сочетанных (симультанных)
хирургических вмешательств, выполняемых
во время одной госпитализации,
представлен в таблицах:
Уровень 1
Операция 1 |
Операция 2 | ||
A16.01.031 |
Устранение рубцовой деформации |
A16.01.017.001 |
Удаление доброкачественных новообразований кожи методом электрокоагуляции |
A16.01.031 |
Устранение рубцовой деформации |
A16.01.017 |
Удаление доброкачественных новообразований кожи |
A16.01.013 |
Удаление сосудистой мальформации |
A16.01.017 |
Удаление доброкачественных новообразований кожи |
A16.01.013 |
Удаление сосудистой мальформации |
A16.01.017.001 |
Удаление доброкачественных новообразований кожи методом электрокоагуляции |
A16.18.027 |
Эндоскопическое электрохирургическое удаление новообразования толстой кишки |
A16.19.017 |
Удаление полипа анального канала и прямой кишки |
A16.18.027 |
Эндоскопическое электрохирургическое удаление новообразования толстой кишки |
A16.19.003.001 |
Иссечение анальной трещины |
A16.26.093 |
Факоэмульсификация без интраокулярной линзы. Факофрагментация, факоаспирация |
A16.26.073.003 |
Проникающая склерэктомия |
A16.26.093.002 |
Факоэмульсификация с имплантацией интраокулярной линзы |
A16.26.070 |
Модифицированная синустрабекулэктомия |
A16.26.093.001 |
Факоэмульсификация с использованием фемтосекундного лазера |
A16.26.070 |
Модифицированная синустрабекулэктомия |
A16.26.049.008 |
Сквозная кератопластика |
A16.26.092 |
Экстракапсулярная экстракция катаракты с имплантацией ИОЛ |
A16.07.061.001 |
Хейлоринопластика (устранение врожденной расщелины верхней губы) |
A16.07.042 |
Пластика уздечки верхней губы |
A16.07.061.001 |
Хейлоринопластика (устранение врожденной расщелины верхней губы) |
A16.07.044 |
Пластика уздечки языка |
A16.07.066 |
Уранопластика (устранение врожденной расщелины твердого и мягкого неба) |
A16.07.042 |
Пластика уздечки верхней губы |
A16.07.066 |
Уранопластика (устранение врожденной расщелины твердого и мягкого неба) |
A16.07.044 |
Пластика уздечки языка |
A16.30.014 |
Экстирпация срединных кист и свищей шеи |
A16.01.018 |
Удаление доброкачественных новообразований подкожно-жировой клетчатки |
A16.30.014 |
Экстирпация срединных кист и свищей шеи |
A16.01.017 |
Удаление доброкачественных новообразований кожи |
A16.30.015 |
Экстирпация боковых свищей шеи |
A16.01.018 |
Удаление доброкачественных новообразований подкожно-жировой клетчатки |
A16.30.015 |
Экстирпация боковых свищей шеи |
A16.01.017 |
Удаление доброкачественных новообразований кожи |
A16.07.016 |
Цистотомия или цистэктомия |
A16.01.018 |
Удаление доброкачественных новообразований подкожно-жировой клетчатки |
A16.01.031 |
Устранение рубцовой деформации |
A16.01.018 |
Удаление доброкачественных новообразований подкожно-жировой клетчатки |
A16.01.013 |
Удаление сосудистой мальформации |
A16.01.018 |
Удаление доброкачественных новообразований подкожно-жировой клетчатки |
A16.26.106 |
Удаление инородного тела, новообразования из глазницы |
A16.26.111 |
Пластика века (блефаропластика) без и с пересадкой тканей |
A16.07.016 |
Цистотомия или цистэктомия |
A16.07.042 |
Пластика уздечки верхней губы |
A16.07.016 |
Цистотомия или цистэктомия |
A16.07.043 |
Пластика уздечки нижней губы |
Уровень 2
Операция 1 |
Операция 2 | ||
A16.12.009 |
Тромбэндартерэктомия |
A06.12.015 |
Ангиография бедренной артерии прямая, обеих сторон |
A16.12.009.001 |
Тромбоэктомия из сосудистого протеза |
A06.12.015 |
Ангиография бедренной артерии прямая, обеих сторон |
A16.12.038.006 |
Бедренно-подколенное шунтирование |
A06.12.015 |
Ангиография бедренной артерии прямая, обеих сторон |
A16.12.008.001 |
Эндартерэктомия каротидная |
A06.12.005 |
Ангиография внутренней сонной артерии |
A16.12.038.008 |
Сонно-подключичное шунтирование |
A06.12.007 |
Ангиография общей сонной артерии |
A16.12.006.001 |
Удаление поверхностных вен нижней конечности |
A16.30.001 |
Оперативное лечение пахово-бедренной грыжи |
A16.12.006.001 |
Удаление поверхностных вен нижней конечности |
A16.30.001.001 |
Оперативное лечение пахово-бедренной грыжи с использованием видеоэндоскопических технологий |
A16.12.006.001 |
Удаление поверхностных вен нижней конечности |
A16.30.001.002 |
Оперативное лечение пахово-бедренной грыжи с использованием сетчатых имплантов |
A16.14.009 |
Холецистэктомия |
A16.30.002 |
Оперативное лечение пупочной грыжи |
A16.14.009 |
Холецистэктомия |
A16.30.003 |
Оперативное лечение околопупочной грыжи |
A16.14.009 |
Холецистэктомия |
A16.30.004 |
Оперативное лечение грыжи передней брюшной стенки |
A16.14.009.002 |
Холецистэктомия лапароскопическая |
A16.30.002 |
Оперативное лечение пупочной грыжи |
A16.14.009.002 |
Холецистэктомия лапароскопическая |
A16.30.003 |
Оперативное лечение околопупочной грыжи |
A16.14.009.002 |
Холецистэктомия лапароскопическая |
A16.30.004 |
Оперативное лечение грыжи передней брюшной стенки |
A16.14.009.001 |
Холецистэктомия малоинвазивная |
A16.30.002 |
Оперативное лечение пупочной грыжи |
A16.14.009.001 |
Холецистэктомия малоинвазивная |
A16.30.003 |
Оперативное лечение околопупочной грыжи |
A16.14.009.001 |
Холецистэктомия малоинвазивная |
A16.30.004 |
Оперативное лечение грыжи передней брюшной стенки |
A16.09.026.004 |
Пластика диафрагмы с использованием видеоэндоскопических технологий |
A16.16.006.001 |
Бужирование пищевода эндоскопическое |
A16.22.001 |
Гемитиреоидэктомия |
A16.14.009.002 |
Холецистэктомия лапароскопическая |
A16.22.001 |
Гемитиреоидэктомия |
A16.30.001 |
Оперативное лечение пахово-бедренной грыжи |
A16.22.001 |
Гемитиреоидэктомия |
A16.30.001.001 |
Оперативное лечение пахово-бедренной грыжи с использованием видеоэндоскопических технологий |
A16.22.001 |
Гемитиреоидэктомия |
A16.30.001.002 |
Оперативное лечение пахово-бедренной грыжи с использованием сетчатых имплантов |
A16.22.001 |
Гемитиреоидэктомия |
A16.30.002 |
Оперативное лечение пупочной грыжи |
A16.22.001 |
Гемитиреоидэктомия |
A16.30.002.001 |
Оперативное лечение пупочной грыжи с использованием видеоэндоскопических технологий |
A16.22.001 |
Гемитиреоидэктомия |
A16.30.004 |
Оперативное лечение грыжи передней брюшной стенки |
A16.20.032 |
Резекция молочной железы |
A16.20.004 |
Сальпингэктомия лапаротомическая |
A16.20.032 |
Резекция молочной железы |
A16.20.017 |
Удаление параовариальной кисты лапаротомическое |
A16.20.032 |
Резекция молочной железы |
A16.20.061 |
Резекция яичника лапаротомическая |
A16.20.005 |
Кесарево сечение |
A16.20.041 |
Стерилизация маточных труб лапаротомическая |
A16.20.005 |
Кесарево сечение |
A16.20.075 |
Перевязка маточных артерий |
A16.20.063.001 |
Влагалищная экстирпация матки с придатками с использованием видеоэндоскопических технологий |
A16.20.083 |
Кольпоперинеоррафия и леваторопластика |
A16.16.033.001 |
Фундопликация лапароскопическая |
A16.14.009.002 |
Холецистэктомия лапароскопическая |
A16.18.027 |
Эндоскопическое электрохирургическое удаление новообразования толстой кишки |
A16.19.013 |
Удаление геморроидальных узлов |
A16.28.071.001 |
Иссечение кисты почки лапароскопическое |
A16.20.001.001 |
Удаление кисты яичника с использованием видеоэндоскопических технологий |
A16.21.002 |
Трансуретральная резекция простаты |
A16.28.085 |
Трансуретральная эндоскопическая цистолитотрипсия |
A16.26.111.001 |
Пластика верхних век без пересадки тканей чрескожным доступом |
A16.26.041.001 |
Пластика конъюнктивальной полости с использованием свободного лоскута слизистой со щеки |
A16.26.145 |
Пластика опорно-двигательной культи при анофтальме |
A16.26.041.001 |
Пластика конъюнктивальной полости с использованием свободного лоскута слизистой со щеки |
A16.19.013 |
Удаление геморроидальных узлов |
A16.19.003.001 |
Иссечение анальной трещины |
A16.26.093 |
Факоэмульсификация без интраокулярной линзы. Факофрагментация, факоаспирация |
A16.26.069 |
Трабекулотомия |
A16.26.093 |
Факоэмульсификация без интраокулярной линзы. Факофрагментация, факоаспирация |
A16.26.146 |
Реконструкция угла передней камеры глаза |
A16.30.004.011 |
Оперативное лечение грыжи передней брюшной стенки с использованием сетчатых имплантов |
A16.30.001.002 |
Оперативное лечение пахово-бедренной грыжи с использованием сетчатых имплантов |
A16.30.004.011 |
Оперативное лечение грыжи передней брюшной стенки с использованием сетчатых имплантов |
A16.30.001.001 |
Оперативное лечение пахово-бедренной грыжи с использованием видеоэндоскопических технологий |
A16.30.002.001 |
Оперативное лечение пупочной грыжи с использованием видеоэндоскопических технологий |
A16.30.001.002 |
Оперативное лечение пахово-бедренной грыжи с использованием сетчатых имплантов |
A16.30.002.001 |
Оперативное лечение пупочной грыжи с использованием видеоэндоскопических технологий |
A16.30.001.001 |
Оперативное лечение пахово-бедренной грыжи с использованием видеоэндоскопических технологий |
A16.30.002 |
Оперативное лечение пупочной грыжи |
A16.30.001 |
Оперативное лечение пахово-бедренной грыжи |
A16.30.004 |
Оперативное лечение грыжи передней брюшной стенки |
A16.30.001 |
Оперативное лечение пахово-бедренной грыжи |
A16.08.013.001 |
Пластика носовой перегородки с использованием видеоэндоскопических технологий |
A16.08.017.001 |
Гайморотомия с использованием видеоэндоскопических технологий |
A16.26.093 |
Факоэмульсификация без интраокулярной линзы. Факофрагментация, факоаспирация |
A16.26.115 |
Удаление силиконового масла (или иного высокомолекулярного соединения) из витреальной полости |
A16.26.099 |
Эвисцерация глазного яблока |
A16.26.041.001 |
Пластика конъюнктивальной полости с использованием свободного лоскута слизистой со щеки |
A16.26.115 |
Удаление силиконового масла (или иного высокомолекулярного соединения) из витреальной полости |
A16.26.094 |
Имплантация интраокулярной линзы |
A16.12.019.001 |
Ревизия бедренных артерий |
A16.12.028 |
Установка стента в сосуд |
A16.12.019.001 |
Ревизия бедренных артерий |
A16.12.026 |
Баллонная вазодилатация |
A16.12.019.001 |
Ревизия бедренных артерий |
А16.12.026.018 |
Баллонная ангиопластика подвздошной артерии |
A16.14.009 |
Холецистэктомия |
A16.30.002.001 |
Оперативное лечение пупочной грыжи с использованием видеоэндоскопических технологий |
A16.14.009 |
Холецистэктомия |
A16.30.002.002 |
Оперативное лечение пупочной грыжи с использованием сетчатых имплантов |
A16.14.009 |
Холецистэктомия |
A16.30.004.011 |
Оперативное лечение грыжи передней брюшной стенки с использованием сетчатых имплантов |
A16.14.009.002 |
Холецистэктомия лапароскопическая |
A16.30.002.001 |
Оперативное лечение пупочной грыжи с использованием видеоэндоскопических технологий |
A16.14.009.002 |
Холецистэктомия лапароскопическая |
A16.30.002.002 |
Оперативное лечение пупочной грыжи с использованием сетчатых имплантов |
A16.14.009.002 |
Холецистэктомия лапароскопическая |
A16.30.004.011 |
Оперативное лечение грыжи передней брюшной стенки с использованием сетчатых имплантов |
A16.14.009.001 |
Холецистэктомия малоинвазивная |
A16.30.002.001 |
Оперативное лечение пупочной грыжи с использованием видеоэндоскопических технологий |
A16.14.009.001 |
Холецистэктомия малоинвазивная |
A16.30.002.002 |
Оперативное лечение пупочной грыжи с использованием сетчатых имплантов |
A16.14.009.001 |
Холецистэктомия малоинвазивная |
A16.30.004.011 |
Оперативное лечение грыжи передней брюшной стенки с использованием сетчатых имплантов |
A16.30.003 |
Оперативное лечение околопупочной грыжи |
A16.30.001.002 |
Оперативное лечение пахово-бедренной грыжи с использованием сетчатых имплантов |
A16.30.002 |
Оперативное лечение пупочной грыжи |
A16.30.001.002 |
Оперативное лечение пахово-бедренной грыжи с использованием сетчатых имплантов |
A16.30.004 |
Оперативное лечение грыжи передней брюшной стенки |
A16.30.001.002 |
Оперативное лечение пахово-бедренной грыжи с использованием сетчатых имплантов |
A16.30.002 |
Оперативное лечение пупочной грыжи |
A16.16.033.001 |
Фундопликация лапароскопическая |
A16.30.002 |
Оперативное лечение пупочной грыжи |
A16.09.026.004 |
Пластика диафрагмы с использованием видеоэндоскопических технологий |
A16.30.005.003 |
Устранение грыжи пищеводного отверстия диафрагмы с использованием видеоэндоскопических технологий |
A16.16.046.002 |
Лапароскопическая диафрагмокрурорафия |
A16.30.005.003 |
Устранение грыжи пищеводного отверстия диафрагмы с использованием видеоэндоскопических технологий |
A16.16.033.001 |
Фундопликация лапароскопическая |
A16.20.043 |
Мастэктомия |
A16.20.011.002 |
Тотальная гистерэктомия (экстирпация матки) с придатками лапаротомическая |
A16.20.005 |
Кесарево сечение |
A16.20.035 |
Миомэктомия (энуклеация миоматозных узлов) лапаротомическая |
A16.20.005 |
Кесарево сечение |
A16.20.001 |
Удаление кисты яичника |
A16.20.005 |
Кесарево сечение |
A16.20.061 |
Резекция яичника лапаротомическая |
A16.20.005 |
Кесарево сечение |
A16.20.039 |
Метропластика лапаротомическая |
A16.20.083 |
Кольпоперинеоррафия и леваторопластика |
A16.20.042.001 |
Слинговые операции при недержании мочи |
A16.14.009.002 |
Холецистэктомия лапароскопическая |
A16.20.063.001 |
Влагалищная экстирпация матки с придатками с использованием видеоэндоскопических технологий |
A16.18.009.001 |
Аппендэктомия с использованием видеоэндоскопических технологий |
A16.20.061.001 |
Резекция яичника с использованием видеоэндоскопических технологий |
A16.18.009 |
Аппендэктомия |
A16.20.061 |
Резекция яичника лапаротомическая |
A16.28.054 |
Трансуретральная уретеролитоэкстракция |
A16.28.003.001 |
Лапароскопическая резекция почки |
A16.26.093 |
Факоэмульсификация без интраокулярной линзы. Факофрагментация, факоаспирация |
A16.26.049 |
Кератопластика (трансплантация роговицы) |
A16.26.093 |
Факоэмульсификация без интраокулярной линзы. Факофрагментация, факоаспирация |
A16.26.087 |
Замещение стекловидного тела |
A16.26.098 |
Энуклеация глазного яблока |
A16.26.041.001 |
Пластика конъюнктивальной полости с использованием свободного лоскута слизистой со щеки |
A16.26.115 |
Удаление силиконового масла (или иного высокомолекулярного соединения) из витреальной полости |
A16.26.093.002 |
Факоэмульсификация с имплантацией интраокулярной линзы |
A16.26.094 |
Имплантация интраокулярной линзы |
A16.26.086.001 |
Интравитреальное введение лекарственных препаратов |
Уровень 3
Операция 1 |
Операция 2 | ||
A16.22.001 |
Гемитиреоидэктомия |
A16.30.002.002 |
Оперативное лечение пупочной грыжи с использованием сетчатых имплантов |
A16.18.016 |
Гемиколэктомия правосторонняя |
A16.14.030 |
Резекция печени атипичная |
A16.30.002.002 |
Оперативное лечение пупочной грыжи с использованием сетчатых имплантов |
A16.30.001.002 |
Оперативное лечение пахово-бедренной грыжи с использованием сетчатых имплантов |
A16.30.002.002 |
Оперативное лечение пупочной грыжи с использованием сетчатых имплантов |
A16.30.001.001 |
Оперативное лечение пахово-бедренной грыжи с использованием видеоэндоскопических технологий |
A16.26.093.002 |
Факоэмульсификация с имплантацией интраокулярной линзы |
A16.26.049.005 |
Неавтоматизированная эндотекатопластика |
A16.26.049.004 |
Послойная кератопластика |
A16.26.093.002 |
Факоэмульсификация с имплантацией интраокулярной линзы |
A16.26.089.002 |
Витреоэктомия задняя субтотальная закрытая |
A16.26.093.002 |
Факоэмульсификация с имплантацией интраокулярной линзы |
Уровень 4
Операция 1 |
Операция 2 | ||
A16.09.026.004 |
Пластика диафрагмы с использованием видеоэндоскопических технологий |
A16.16.032.002 |
Эндоскопическая кардиодилятация пищевода баллонным кардиодилятатором |
A16.28.004.001 |
Лапароскопическая нефрэктомия |
A16.21.002 |
Трансуретральная резекция простаты |
A16.26.089.002 |
Витреоэктомия задняя субтотальная закрытая |
A16.26.094 |
Имплантация интраокулярной линзы |
A16.26.089.002 |
Витреоэктомия задняя субтотальная закрытая |
A16.26.082 |
Круговое эпиклеральное пломбирование |
A16.12.011.008 |
Пластика глубокой бедренной артерии |
A16.12.026 |
Баллонная вазодилатация |
A16.26.093.001 |
Факоэмульсификация с использованием фемтосекундного лазера |
A16.26.049.005 |
Неавтоматизированная эндотекатопластика |
A16.26.093.001 |
Факоэмульсификация с использованием фемтосекундного лазера |
A16.26.093.002 |
Факоэмульсификация с имплантацией интраокулярной линзы |
A16.30.005.003 |
Устранение грыжи пищеводного отверстия диафрагмы с использованием видеоэндоскопических технологий |
A16.30.005.001 |
Пластика диафрагмы с использованием импланта |
A16.20.014 |
Влагалищная тотальная гистерэктомия (экстирпация матки) с придатками |
A16.20.042.001 |
Слинговые операции при недержании мочи |
A16.20.063.001 |
Влагалищная экстирпация матки с придатками с использованием видеоэндоскопических технологий |
A16.20.042.001 |
Слинговые операции при недержании мочи |
A16.26.049.004 |
Послойная кератопластика |
A16.26.093.001 |
Факоэмульсификация с использованием фемтосекундного лазера |
A16.12.009.001 |
Тромбоэктомия из сосудистого протеза |
А16.12.026.018 |
Баллонная ангиопластика подвздошной артерии |
A16.12.038.006 |
Бедренно-подколенное шунтирование |
А16.12.026.018 |
Баллонная ангиопластика подвздошной артерии |
A16.12.009.001 |
Тромбоэктомия из сосудистого протеза |
A16.12.028 |
Установка стента в сосуд |
A16.12.011.008 |
Пластика глубокой бедренной артерии |
A16.12.028 |
Установка стента в сосуд |
A16.12.011.008 |
Пластика глубокой бедренной артерии |
А16.12.026.018 |
Баллонная ангиопластика подвздошной артерии |
A16.12.009 |
Тромбэндартерэктомия |
A16.12.028 |
Установка стента в сосуд |
A16.12.009 |
Тромбэндартерэктомия |
А16.12.026.018 |
Баллонная ангиопластика подвздошной артерии |
A16.12.038.006 |
Бедренно-подколенное шунтирование |
A16.12.026.002 |
Баллонная ангиопластика подколенной артерии и магистральных артерий голени |
A16.12.038.006 |
Бедренно-подколенное шунтирование |
A16.12.026.004 |
Баллонная ангиопластика со стентированием подколенной артерии и магистральных артерий голени |
A16.26.089.002 |
Витреоэктомия задняя субтотальная закрытая |
A16.26.093.001 |
Факоэмульсификация с использованием фемтосекундного лазера |
Проведение однотипных операций на
парных органах
К данным операциям относятся
операции на парных органах/частях тела,
при выполнении которых необходимы в том
числе дорогостоящие расходные
материалы. Перечень хирургических
вмешательств, при проведении которых
одновременно на двух парных органах
может быть применен КСЛП, представлен в
таблицах:
Уровень 1
Код услуги |
Наименование |
A16.26.007 |
Пластика слезных точек и слезных канальцев |
A16.26.019 |
Устранение эпикантуса |
A16.26.020 |
Устранение энтропиона или эктропиона |
A16.26.021 |
Коррекция блефароптоза |
A16.26.021.001 |
Устранение птоза |
A16.26.022 |
Коррекция блефарохалязиса |
A16.26.023 |
Устранение блефароспазма |
A16.26.028 |
Миотомия, тенотомия глазной мышцы |
A22.26.004 |
Лазерная корепраксия, дисцизия задней капсулы хрусталика |
A22.26.005 |
Лазерная иридэктомия |
A22.26.006 |
Лазергониотрабекулопунктура |
A22.26.007 |
Лазерный трабекулоспазис |
A22.26.009 |
Фокальная лазерная коагуляция глазного дна |
A22.26.010 |
Панретинальная лазерная коагуляция |
A22.26.019 |
Лазерная гониодесцеметопунктура |
A22.26.023 |
Лазерная трабекулопластика |
Уровень 2
Код услуги |
Наименование |
A16.03.033.002 |
Наложение наружных фиксирующих устройств с использованием компрессионно-дистракционного аппарата внешней фиксации |
A16.12.006 |
Разрез, иссечение и закрытие вен нижней конечности |
A16.12.006.002 |
Подапоневротическая перевязка анастомозов между поверхностными и глубокими венами голени |
A16.12.012 |
Перевязка и обнажение варикозных вен |
A16.26.075 |
Склеропластика |
A16.26.075.001 |
Склеропластика с использованием трансплантатов |
A16.26.079 |
Реваскуляризация заднего сегмента глаза |
A16.26.094 |
Имплантация интраокулярной линзы |
A16.26.147 |
Ретросклеропломбирование |
Уровень 3
Код услуги |
Наименование |
A16.12.006.001 |
Удаление поверхностных вен нижней конечности |
A16.12.006.003 |
Диссекция перфорантных вен с использованием видеоэндоскопических технологий |
A16.26.093.002 |
Факоэмульсификация с имплантацией интраокулярной линзы |
Уровень 4
Код услуги |
Наименование |
A16.03.022.002 |
Остеосинтез титановой пластиной |
A16.03.022.004 |
Интрамедуллярный стержневой остеосинтез |
A16.03.022.005 |
Остеосинтез с использованием биодеградируемых материалов |
A16.03.022.006 |
Интрамедуллярный блокируемый остеосинтез |
A16.03.024.005 |
Реконструкция кости. Остеотомия кости с использованием комбинируемых методов фиксации |
A16.03.024.007 |
Реконструкция кости. Корригирующая остеотомия при деформации стоп |
A16.03.024.008 |
Реконструкция кости. Корригирующая остеотомия бедра |
A16.03.024.009 |
Реконструкция кости. Корригирующая остеотомия голени |
A16.03.024.010 |
Реконструкция кости при ложном суставе бедра |
A16.04.014 |
Артропластика стопы и пальцев ноги |
A16.12.008.001 |
Эндартерэктомия каротидная |
A16.12.008.002 |
Эндартерэктомия каротидная с пластикой |
A16.20.043.003 |
Мастэктомия радикальная с односторонней пластикой молочной железы с применением микрохирургической техники |
A16.20.043.004 |
Мастэктомия расширенная модифицированная с пластическим закрытием дефекта грудной стенки |
A16.20.047 |
Мастэктомия расширенная модифицированная с пластическим закрытием дефекта грудной стенки различными вариантами кожно-мышечных лоскутов |
A16.20.048 |
Мастэктомия радикальная с реконструкцией TRAM-лоскутом |
Уровень 5
Код услуги |
Наименование |
A16.20.032.007 |
Резекция молочной железы субтотальная с маммопластикой и эндопротезированием |
A16.20.103 |
Отсроченная реконструкция молочной железы с использованием эндопротеза |
A16.20.049.001 |
Мастэктомия радикальная по Маддену с реконструкцией кожно-мышечным лоскутом и эндопротезированием |
Приложение 7.1
к Тарифному соглашению
на 2025 год
от 27.12.2024
КОЭФФИЦИЕНТ СЛОЖНОСТИ ЛЕЧЕНИЯ ПАЦИЕНТА
(в
ред. Дополнительного соглашения к
Тарифному соглашению в системе
обязательного медицинского страхования
Смоленской области от 31.01.2025 N 1)
N |
Случаи, для которых установлен КСЛП |
Коэффициент сложности лечения пациента |
1 |
предоставление спального места и питания законному представителю несовершеннолетних (детей до 4 лет, детей старше 4 лет при наличии медицинских показаний, детей-инвалидов, детей-инвалидов, которые в соответствии с индивидуальной программой реабилитации или реабилитации ребенка-инвалида, выданной по результатам проведения медико-социальной экспертизы, имеют ограничения основных категорий жизнедеятельности человека второй и (или) третьей степени выраженности (ограничения способности к самообслуживанию, и или самостоятельному передвижению, и (или) ориентации, и (или) общению, и (или) обучению, и (или) контролю своего поведения, - независимо от возраста ребенка-инвалида), за исключением случаев, к которым применяется КСЛП, предусмотренный пунктом 2 настоящего перечня |
0,2 |
2 |
предоставление спального места и питания законному представителю несовершеннолетних (детей до 4 лет, детей старше 4 лет при наличии медицинских показаний, детей-инвалидов, которые в соответствии с индивидуальной программой реабилитации или реабилитации ребенка-инвалида, выданной по результатам проведения медико-социальной экспертизы, имеют ограничения основных категорий жизнедеятельности человека второй и (или) третьей степени выраженности (ограничения способности к самообслуживанию, и (или) самостоятельному передвижению, и (или) ориентации, и (или) общению, и (или) обучению, и (или) контролю своего поведения, - независимо от возраста ребенка-инвалида), получающих медицинскую помощь по профилю "Детская онкология" и (или) "Гематология" |
0,6 |
3 |
оказание медицинской помощи пациенту в возрасте старше 75 лет в случае проведения консультации врача-гериатра, за исключением случаев госпитализации на геронтологические профильные койки |
0,2 |
4 |
развертывание индивидуального поста |
0,2 |
5 |
наличие у пациента тяжелой сопутствующей патологии <1>, требующей оказания медицинской помощи в период госпитализации, представлен в приложении 7 к Тарифному соглашению на 2025 год |
0,6 |
6 |
проведение сочетанных хирургических вмешательств или проведение однотипных операций на парных органах (уровень 1) <2> |
0,05 |
7 |
проведение сочетанных хирургических вмешательств или проведение однотипных операций на парных органах (уровень 2) <2> |
0,47 |
8 |
проведение сочетанных хирургических вмешательств или проведение однотипных операций на парных органах (уровень 3) <2> |
1,16 |
9 |
проведение сочетанных хирургических вмешательств или проведение однотипных операций на парных органах (уровень 4) <2> |
2,07 |
10 |
проведение сочетанных хирургических вмешательств или проведение однотипных операций на парных органах (уровень 5) <2> |
3,49 |
11 |
проведение 1 этапа медицинской реабилитации пациентов <3> |
0,15 |
14 |
проведение тестирования на выявление респираторных вирусных заболеваний (гриппа, COVID-19) в период госпитализации |
0,05 |
15 |
проведение сопроводительной лекарственной терапии при злокачественных новообразованиях у взрослых в стационарных условиях в соответствии с клиническими рекомендациями (уровень 1) <*> |
0,17 |
16 |
проведение сопроводительной лекарственной терапии при злокачественных новообразованиях у взрослых в стационарных условиях в соответствии с клиническими рекомендациями (уровень 2) <*> |
0,61 |
17 |
проведение сопроводительной лекарственной терапии при злокачественных новообразованиях у взрослых в стационарных условиях в соответствии с клиническими рекомендациями (уровень 3) <*> |
1,53 |
18 |
проведение сопроводительной лекарственной терапии при злокачественных новообразованиях у взрослых в условиях дневного стационара в соответствии с клиническими рекомендациями (уровень 2) <*> |
0,29 |
19 |
проведение сопроводительной лекарственной терапии при злокачественных новообразованиях у взрослых в условиях дневного стационара в соответствии с клиническими рекомендациями (уровень 1) <*> |
1,12 |
20 |
проведение сопроводительной лекарственной терапии при злокачественных новообразованиях у взрослых в условиях дневного стационара в соответствии с клиническими рекомендациями (уровень 3) <*> |
2,67 |
<1> - наличие у пациента
дополнительного диагноза (диагноза
осложнения заболевания) из перечня,
определенного настоящим приложением,
медицинская помощь в соответствии с
которым оказывалась пациенту в период
госпитализации;
<2> - перечень возможных операций,
а также критерии отнесения
соответствующих операций к уровню КСЛП
определен настоящим приложением;
<3> - при проведении
реабилитационных мероприятий при
нахождении пациента на реанимационной
койке и/или койке интенсивной терапии,
начавшихся не позднее 48 часов от
поступления в отделение реанимации или
на койку интенсивной терапии с общей
длительностью реабилитационных
мероприятий не менее 5 суток, включая
период после перевода на профильные
койки по окончании реанимационных
мероприятий, при обязательной
продолжительности реабилитационных
мероприятий не менее одного часа в сутки
(при условии организации отделения
ранней медицинской реабилитации на не
менее чем 12 коек отделения, оказывающего
медицинскую помощь по профилю
"Анестезиология и реанимация", и его
укомплектования в соответствии с
порядком оказания медицинской помощи по
медицинской реабилитации);
* - стоимость КСЛП "Проведение
сопроводительной лекарственной терапии
при злокачественных новообразованиях у
взрослых в соответствии с клиническими
рекомендациями (уровень 1 - 3)" в
стационарных условиях и в условиях
дневного стационара определяется без
учета коэффициента дифференциации
Смоленской области.
Приложение 8
к Тарифному соглашению
на 2025 год
от 27.12.2024
КОЭФФИЦИЕНТ СЛОЖНОСТИ ЛЕЧЕНИЯ
ПАЦИЕНТА
N |
Случаи, для которых установлен КСЛП |
Коэффициент сложности лечения пациента |
1 |
предоставление спального места и питания законному представителю несовершеннолетних (детей до 4 лет, детей старше 4 лет при наличии медицинских показаний, детей-инвалидов, которые в соответствии с индивидуальной программой реабилитации или реабилитации ребенка-инвалида, выданной по результатам проведения медико-социальной экспертизы, имеют ограничения основных категорий жизнедеятельности человека второй и (или) третьей степени выраженности (ограничения способности к самообслуживанию, и (или) обучению, и (или) контролю своего поведения, независимо от возраста ребенка-инвалида)), за исключением случая, указанного в пункте 2 настоящего перечня |
0,2 |
2 |
предоставление спального места и питания законному представителю несовершеннолетних (детей до 4 лет, детей старше 4 лет при наличии медицинских показаний, детей-инвалидов, которые в соответствии с индивидуальной программой реабилитации или реабилитации ребенка-инвалида, выданной по результатам проведения медико-социальной экспертизы, имеют ограничения основных категорий жизнедеятельности человека второй и (или) третьей степени выраженности (ограничения способности к самообслуживанию, и (или) обучению, и (или) контролю своего поведения, независимо от возраста ребенка-инвалида)), получающих медицинскую помощь по профилю "Детская онкология" и (или) "Гематология" |
0,6 |
3 |
оказание медицинской помощи пациенту в возрасте старше 75 лет в случае проведения консультации врача-гериатра, за исключением случаев госпитализации на геронтологические профильные койки |
0,2 |
4 |
развертывание индивидуального поста |
0,2 |
5 |
наличие у пациента тяжелой сопутствующей патологии <1>, требующей оказания медицинской помощи в период госпитализации, представлен в приложении 7 к Тарифному соглашению на 2025 год |
0,6 |
6 |
проведение сочетанных хирургических вмешательств или проведение однотипных операций на парных органах (уровень 1) <2> |
0,05 |
7 |
проведение сочетанных хирургических вмешательств или проведение однотипных операций на парных органах (уровень 2) <2> |
0,47 |
8 |
проведение сочетанных хирургических вмешательств или проведение однотипных операций на парных органах (уровень 3) <2> |
1,16 |
9 |
проведение сочетанных хирургических вмешательств или проведение однотипных операций на парных органах (уровень 4) <2> |
2,07 |
10 |
проведение сочетанных хирургических вмешательств или проведение однотипных операций на парных органах (уровень 5) <2> |
3,49 |
11 |
проведение реабилитационных мероприятий при нахождении пациента на реанимационной койке и (или) койке интенсивной терапии, начавшихся не позднее 48 часов от поступления в отделение реанимации или на койку интенсивной терапии с общей длительностью реабилитационных мероприятий не менее 5 суток, включая период после перевода на профильные койки по окончании реанимационных мероприятий, при обязательной продолжительности реабилитационных мероприятий не менее одного часа в сутки (при условии организации отделения ранней медицинской реабилитации на не менее чем 12 коек отделения, оказывающего медицинскую помощь по профилю "Анестезиология и реаниматология", и его укомплектования в соответствии с порядком оказания медицинской помощи по медицинской реабилитации |
0,15 |
14 |
проведение тестирования на выявление респираторных вирусных заболеваний (грипп, COVID-19) в период госпитализации |
0,05 |
15 |
проведение сопроводительной лекарственной терапии при злокачественных новообразованиях у взрослых в соответствии с клиническими рекомендациями в стационарных условиях (уровень 1) <*> |
0,17 |
16 |
проведение сопроводительной лекарственной терапии при злокачественных новообразованиях у взрослых в соответствии с клиническими рекомендациями в стационарных условиях (уровень 2) <*> |
0,61 |
17 |
проведение сопроводительной лекарственной терапии при злокачественных новообразованиях у взрослых в соответствии с клиническими рекомендациями в стационарных условиях (уровень 3) <*> |
1,53 |
18 |
проведение сопроводительной лекарственной терапии при злокачественных новообразованиях у взрослых в соответствии с клиническими рекомендациями в условиях дневного стационара (уровень 1) <*> |
0,29 |
19 |
проведение сопроводительной лекарственной терапии при злокачественных новообразованиях у взрослых в соответствии с клиническими рекомендациями в условиях дневного стационара (уровень 2) <*> |
1,12 |
20 |
проведение сопроводительной лекарственной терапии при злокачественных новообразованиях у взрослых в соответствии с клиническими рекомендациями в условиях дневного стационара (уровень 3) <*> |
2,67 |
21 |
осуществление силами федеральной медицинской организации медицинской эвакуации для проведения лечения |
0,05 |
<1> - наличие у пациента
дополнительного диагноза (диагноза
осложнения заболевания) из перечня,
определенного настоящим приложением,
медицинская помощь в соответствии с
которым оказывалась пациенту в период
госпитализации;
<2> - перечень возможных операций,
а также критерии отнесения
соответствующих операций к уровню КСЛП
определен настоящим приложением;
<3> - при проведении
реабилитационных мероприятий при
нахождении пациента на реанимационной
койке и/или койке интенсивной терапии,
начавшихся не позднее 48 часов от
поступления в отделение реанимации или
на койку интенсивной терапии с общей
длительностью реабилитационных
мероприятий не менее 5 суток, включая
период после перевода на профильные
койки по окончании реанимационных
мероприятий, при обязательной
продолжительности реабилитационных
мероприятий не менее одного часа в сутки
(при условии организации отделения
ранней медицинской реабилитации на не
менее чем 12 коек отделения, оказывающего
медицинскую помощь по профилю
"Анестезиология и реанимация", и его
укомплектования в соответствии с
порядком оказания медицинской помощи по
медицинской реабилитации);
* - стоимость КСЛП "Проведение
сопроводительной лекарственной терапии
при злокачественных новообразованиях у
взрослых в соответствии с клиническими
рекомендациями (уровень 1 - 3)" в
стационарных условиях и в условиях
дневного стационара определяется без
учета коэффициента дифференциации
Смоленской области.
Приложение 9
к Тарифному соглашению
на 2025 год
от 27.12.2024
ТАРИФЫ НА ПРОВЕДЕНИЕ ПРОФИЛАКТИЧЕСКИХ
МЕДИЦИНСКИХ ОСМОТРОВ
НЕСОВЕРШЕННОЛЕТНИХ
(в
ред. Дополнительного соглашения к
Тарифному соглашению в системе
обязательного медицинского страхования
Смоленской области от 03.03.2025 N 2)
Средняя стоимость комплексного посещения профилактического медицинского осмотра, рублей |
2620,50 | |
Наименование |
Тариф (руб.) |
Тариф (руб.) (вечернее время и в выходные дни) <*> |
Комплексная посещение на проведение профилактических медицинских осмотров несовершеннолетних (возрастные периоды - 0 мес., 4 мес., 5 мес., 6 мес., 7 мес., 8 мес., 9 мес., 10 мес., 11 мес., 1 год 3 мес., 1 год 6 мес.) |
788,34 |
867,17 |
Комплексная посещение на проведение профилактических медицинских осмотров несовершеннолетних (возрастные периоды - 1 мес.) |
6708,49 |
7379,34 |
Комплексная посещение на проведение профилактических медицинских осмотров несовершеннолетних (возрастные периоды - 2 мес.) |
1249,96 |
1374,96 |
Комплексная посещение на проведение профилактических медицинских осмотров несовершеннолетних (возрастные периоды - 3 мес.) |
1345,23 |
1479,75 |
Комплексная посещение на проведение профилактических медицинских осмотров несовершеннолетних (возрастные периоды - 12 мес.) |
4555,11 |
5010,62 |
Комплексное посещение на проведение профилактических медицинских осмотров несовершеннолетних (возрастные периоды - 2 года) |
1638,96 |
1802,86 |
Комплексное посещение на проведение профилактических медицинских осмотров несовершеннолетних (возрастные периоды - 3 года) |
4726,47 |
5199,12 |
Комплексное посещение на проведение профилактических медицинских осмотров несовершеннолетних (возрастные периоды - 4 года, 5 лет, 8 лет, 9 лет, 11 лет, 12 лет) |
1101,28 |
1211,41 |
Комплексное посещение на проведение профилактических медицинских осмотров несовершеннолетних (возрастные периоды - 6 лет) |
10818,53 |
11900,38 |
Комплексное посещение на проведение профилактических медицинских осмотров несовершеннолетних (возрастные периоды - 7 лет) |
2989,15 |
3288,07 |
Комплексное посещение на проведение профилактических медицинских осмотров несовершеннолетних (возрастные периоды - 10 лет) |
3803,28 |
4183,61 |
Комплексное посещение на проведение профилактических медицинских осмотров несовершеннолетних (возрастные периоды - 13 лет) |
1473,33 |
1620,66 |
Комплексное посещение на проведение профилактических медицинских осмотров несовершеннолетних (возрастные периоды - 14 лет) |
2819,41 |
3101,35 |
Комплексное посещение на проведение профилактических медицинских осмотров несовершеннолетних (возрастные периоды - 15 лет) |
8559,36 |
9415,30 |
Комплексное посещение на проведение профилактических медицинских осмотров несовершеннолетних (возрастные периоды - 16 лет) |
6512,31 |
7163,54 |
Комплексное посещение на проведение профилактических медицинских осмотров несовершеннолетних (возрастные периоды - 17 лет) |
6874,00 |
7561,40 |
* тариф, увеличенный на 10,0%.
Приложение 9.1
к Тарифному соглашению
на 2025 год
от 27.12.2024
ТАРИФЫ НА ПРОВЕДЕНИЕ ДИСПАНСЕРИЗАЦИИ
ПРЕБЫВАЮЩИХ В СТАЦИОНАРНЫХ УЧРЕЖДЕНИЯХ
ДЕТЕЙ-СИРОТ И ДЕТЕЙ, НАХОДЯЩИХСЯ В
ТРУДНОЙ ЖИЗНЕННОЙ СИТУАЦИИ,
ДИСПАНСЕРИЗАЦИИ ДЕТЕЙ-СИРОТ И ДЕТЕЙ,
ОСТАВШИХСЯ БЕЗ ПОПЕЧЕНИЯ РОДИТЕЛЕЙ, В
ТОМ ЧИСЛЕ УСЫНОВЛЕННЫХ (УДОЧЕРЕННЫХ),
ПРИНЯТЫХ ПОД ОПЕКУ (ПОПЕЧИТЕЛЬСТВО), В
ПРИЕМНУЮ ИЛИ ПАТРОНАТНУЮ СЕМЬЮ*
(в ред. Дополнительного соглашения к Тарифному соглашению в системе обязательного медицинского страхования Смоленской области от 27.03.2025 N 3)
* тариф применяется на проведение
диспансеризации детей, проживающих в
организациях социального обслуживания
(детских домах-интернатах),
предоставляющих социальные услуги в
стационарной форме.
Пол |
Возрастные периоды (лет) |
Тариф, рублей |
Тариф, рублей в (вечернее время и выходные дни) <**> |
м/ж |
0 - 17 |
5121,25 |
5633,00 |
** тариф, увеличенный на 10,0%.
Приложение 10
к Тарифному соглашению
на 2025 год
от 27.12.2024
ТАРИФЫ НА ОПЛАТУ ДИСПАНСЕРИЗАЦИИ
ОПРЕДЕЛЕННЫХ ГРУПП ВЗРОСЛОГО НАСЕЛЕНИЯ
(в
ред. Дополнительного соглашения к
Тарифному соглашению в системе
обязательного медицинского страхования
Смоленской области от 31.01.2025 N 1)
Средняя стоимость комплексного посещения в рамках проведения диспансеризации, рублей |
3202,70 | |||
пол |
возраст |
тариф, руб. |
Тариф (руб.) (вечернее время и в выходные дни) <*> |
Тариф (руб.) (мобильными бригадами) <**> |
М |
18, 24, 30 |
1650,05 |
1815,06 |
1980,06 |
М |
21, 27, 33 |
1299,78 |
1429,76 |
1559,74 |
М |
36 |
1988,13 |
2186,94 |
2385,76 |
М |
39 |
1637,86 |
1801,65 |
1965,43 |
М |
40, 44, 46, 52, 56, 58, 62 |
2869,27 |
3156,20 |
3443,12 |
М |
41, 43, 47, 49, 53, 59, 61 |
1706,77 |
1877,45 |
2048,12 |
М |
42, 48, 54 |
3248,85 |
3573,74 |
3898,62 |
М |
45 |
4458,87 |
4904,76 |
5350,64 |
М |
50, 64 |
3463,21 |
3809,53 |
4155,85 |
М |
51, 57, 63 |
2086,36 |
2295,00 |
2503,63 |
М |
55 |
2651,98 |
2917,18 |
3182,38 |
М |
60 |
3842,80 |
4227,08 |
4611,36 |
М |
71 |
2860,51 |
3146,56 |
3432,61 |
М |
65 |
3211,79 |
3532,97 |
3854,15 |
М |
66, 70, 72 |
2831,19 |
3114,31 |
3397,43 |
М |
67, 69, 73 |
2480,91 |
2729,00 |
2977,09 |
М |
75 |
2832,19 |
3115,41 |
3398,63 |
М |
68, 74 |
3210,78 |
3531,86 |
3852,94 |
М |
76, 78, 82, 84, 88, 90, 94, 96 |
2018,96 |
2220,86 |
2422,75 |
М |
77, 83, 89 |
2048,28 |
2253,11 |
2457,94 |
М |
95 |
2399,55 |
2639,51 |
2879,46 |
М |
79, 81, 87, 91, 93, 97, 99 |
1668,69 |
1835,56 |
2002,43 |
М |
85 |
2019,97 |
2221,97 |
2423,96 |
М |
80, 86, 92, 98 |
2398,56 |
2638,42 |
2878,27 |
пол |
возраст |
тариф, руб. |
Тариф (руб.) (вечернее время и в выходные дни) <*> |
Тариф (руб.) (мобильными бригадами) <**> |
Ж |
18, 24, 30 |
2712,94 |
2984,23 |
3255,53 |
Ж |
21, 27, 33 |
2362,66 |
2598,93 |
2835,19 |
Ж |
36 |
3051,02 |
3356,12 |
3661,22 |
Ж |
39 |
2700,74 |
2970,81 |
3240,89 |
Ж |
40, 44, 46, 50, 52, 56, 58, 62, 64 |
3950,54 |
4345,59 |
4740,65 |
Ж |
41, 43, 47, 49, 53, 59, 61 |
2087,49 |
2296,24 |
2504,99 |
Ж |
55 |
2438,77 |
2682,65 |
2926,52 |
Ж |
42, 48, 54, 60 |
5012,29 |
5513,52 |
6014,75 |
Ж |
45 |
4927,85 |
5420,64 |
5913,42 |
Ж |
51, 57, 63 |
3149,25 |
3464,18 |
3779,10 |
Ж |
71 |
3650,93 |
4016,02 |
4381,12 |
Ж |
65 |
4002,20 |
4402,42 |
4802,64 |
Ж |
66, 70, 72 |
4599,22 |
5059,14 |
5519,06 |
Ж |
67, 69, 73 |
3271,34 |
3598,47 |
3925,61 |
Ж |
75 |
3622,62 |
3984,88 |
4347,14 |
Ж |
68, 74 |
4978,81 |
5476,69 |
5974,57 |
Ж |
76, 78, 82, 84, 88, 90, 94, 96 |
2809,40 |
3090,34 |
3371,28 |
Ж |
77, 83, 89 |
2838,71 |
3122,58 |
3406,45 |
Ж |
95 |
3189,98 |
3508,98 |
3827,98 |
Ж |
79, 81, 87, 91, 93, 97, 99 |
2459,12 |
2705,03 |
2950,94 |
Ж |
85 |
2810,40 |
3091,44 |
3372,48 |
Ж |
80, 86, 92, 98 |
3188,97 |
3507,87 |
3826,76 |
* тариф, увеличенный на 10,0%.
** тариф, увеличенный на 20,0%.
Приложение 10.1
к Тарифному соглашению
на 2025 год
от 27.12.2024
ТАРИФЫ НА ПРОВЕДЕНИЕ II ЭТАПА
ДИСПАНСЕРИЗАЦИИ ОПРЕДЕЛЕННЫХ ГРУПП
ВЗРОСЛОГО НАСЕЛЕНИЯ
(в
ред. Дополнительного соглашения к
Тарифному соглашению в системе
обязательного медицинского страхования
Смоленской области от 23.05.2025 N 5)
Осмотр, исследование, процедура |
Стоимость, рублей |
Осмотр (консультация) врача-невролога (при наличии впервые выявленных указаний или подозрений на ранее перенесенное острое нарушение мозгового кровообращения для граждан, не находящихся по этому поводу под диспансерным наблюдением, а также в случаях выявления по результатам анкетирования нарушений двигательной функции, когнитивных нарушений и подозрений на депрессию у граждан в возрасте 65 лет и старше, не находящихся по этому поводу под диспансерным наблюдением) |
302,51 |
Дуплексное сканирование брахицефальных артерий (для мужчин в возрасте от 45 до 72 лет включительно и женщин в возрасте от 54 до 72 лет включительно при наличии комбинации трех факторов риска развития хронических неинфекционных заболеваний: повышенный уровень артериального давления, гиперхолестеринемия, избыточная масса тела или ожирение, а также по направлению врача-невролога при впервые выявленном указании или подозрении на ранее перенесенное острое нарушение мозгового кровообращения для граждан в возрасте от 65 до 90 лет, не находящихся по этому поводу под диспансерным наблюдением |
958 |
Осмотр (консультация) врача-хирурга или врача-колопроктолога, включая проведение ректороманоскопии (для граждан в возрасте от 40 до 75 лет) включительно с выявленными патологическими изменениями по результатам скрининга на выявление злокачественных новообразований толстого кишечника и прямой кишки, при отягощенной наследственности по семейному аденоматозу и (или) злокачественным новообразованиям толстого кишечника и прямой кишки, при выявлении других медицинских показаний по результатам анкетирования, а также по назначению врача-терапевта, врача общей практики, врача-уролога, врача -акушера-гинеколога в случаях выявления симптомов злокачественных новообразований толстого кишечника и прямой кишки) |
271,66 |
Осмотр (консультация) врача-хирурга или врача-уролога для мужчин в возрасте 45, 50, 55, 60 и 64 лет при повышении уровня простат-специфического антигена в крови более 4 нг/мл |
245,74 |
Колоноскопия (для граждан в случае подозрения на злокачественные новообразования толстого кишечника по назначению врача-хирурга или врача-колопроктолога) |
2563 |
Эзофагогастродуоденоскопия (для граждан в случае подозрения на злокачественные новообразования пищевода, желудка и двенадцатиперстной кишки по назначению врача-терапевта, врача общей практики) |
1052,47 |
Рентгенография легких (для граждан в случае подозрения на злокачественные новообразования легкого по назначению врача-терапевта, врача общей практики) |
400 |
Компьютерная томография легких (для граждан в случае подозрения на злокачественные новообразования легкого по назначению врача-терапевта, врача общей практики) |
3074,39 |
Компьютерная томография легких (для граждан в случае подозрения на злокачественные новообразования легкого по назначению врача-терапевта, врача общей практики) с применением искусственного интеллекта |
3074,39 |
Спирометрия (для граждан с подозрением на хроническое бронхолегочное заболевание, курящих граждан, выявленных по результатам анкетирования, - по назначению врача-терапевта, врача общей практики) |
408,19 |
Осмотр (консультация) врача - акушера-гинеколога (для женщин в возрасте 18 лет и старше с выявленными патологическими изменениями по результатам скрининга на выявление злокачественных новообразований шейки матки, в возрасте от 40 до 75 лет с выявленными патологическими изменениями по результатам скрининга, направленного на раннее выявление злокачественных новообразований молочных желез) |
355,96 |
Осмотр (консультация) врачом-оториноларингологом (для граждан в возрасте 65 лет и старше при наличии медицинских показаний по результатам анкетирования или осмотра врача-терапевта, врача общей практики) |
211,71 |
Осмотр (консультация) врачом-офтальмологом (для граждан в возрасте 40 лет и старше, имеющих повышенное внутриглазное давление, и для граждан в возрасте 65 лет и старше, имеющих снижение остроты зрения, не поддающееся очковой коррекции, выявленное по результатам анкетирования) |
181,48 |
Осмотр (консультация) врачом-дерматологом (врачом-дерматовенерологом) для граждан с подозрением на злокачественные новообразования кожи и (или) слизистых оболочек |
219,04 |
Дерматоскопия |
260,54 |
Проведение исследования уровня гликированного гемоглобина в крови (для граждан с подозрением на сахарный диабет по назначению врача-терапевта по результатам осмотров и исследований первого этапа диспансеризации) |
187 |
Проведение индивидуального или группового (школы пациентов) углубленного профилактического консультирования в отделении медицинской профилактики (центре здоровья) для граждан: а) с выявленной ишемической болезнью сердца, цереброваскулярными заболеваниями, хронической ишемией нижних конечностей атеросклеротического генеза или болезнями, характеризующимися повышенным кровяным давлением; б) с выявленным по результатам анкетирования риском пагубного потребления алкоголя и (или) потребления наркотических средств и психотропных веществ без назначения врача; в) для всех граждан в возрасте 65 лет и старше в целях коррекции выявленных факторов риска и (или) профилактики старческой астении; г) при выявлении высокого относительного, высокого и очень высокого абсолютного сердечно-сосудистого риска, и (или) ожирения, и (или) гиперхолестеринемии с уровнем общего холестерина 8 ммоль/л и более, а также установленным по результатам анкетирования курению более 20 сигарет в день, риске пагубного потребления алкоголя и (или) риске немедицинского потребления наркотических средств и психотропных веществ |
92 |
Прием (осмотр) врачом-терапевтом по результатам второго этапа диспансеризации, включающий установление (уточнение) диагноза, определение группы здоровья, определение группы диспансерного наблюдения, направление граждан при наличии медицинских показаний на дополнительное обследование, не входящее в объем диспансеризации, в т.ч. направление на осмотр (консультацию) врачом-онкологом при подозрении на онкологические заболевания, а также для получения специализированной, в т.ч. высокотехнологичной, медицинской помощи, на санаторно-курортное лечение |
254,99 |
Прием (осмотр) врачом общей практики по результатам второго этапа диспансеризации, включающий установление (уточнение) диагноза, определение группы здоровья, определение группы диспансерного наблюдения, направление граждан при наличии медицинских показаний на дополнительное обследование, не входящее в объем диспансеризации, в т.ч. направление на осмотр (консультацию) врачом-онкологом при подозрении на онкологические заболевания, а также для получения специализированной, в т.ч. высокотехнологичной, медицинской помощи, на санаторно-курортное лечение |
327,91 |
Приложение 10.2
к Тарифному соглашению
на 2025 год
от 27.12.2024
ТАРИФЫ НА ОПЛАТУ ПРОФИЛАКТИЧЕСКИХ
МЕДИЦИНСКИХ ОСМОТРОВ ВЗРОСЛОГО
НАСЕЛЕНИЯ
Средняя стоимость комплексного посещения профилактического медицинского осмотра, рублей |
2620,50 | ||
Наименование |
Тариф, руб. |
Тариф (руб.) (вечернее время и в выходные дни) <*> |
Тариф (руб.) (мобильными бригадами) <**> |
Комплексное посещение на проведение профилактических медицинских осмотров мужчин - (для возрастов - 18, 20, 22, 24, 26, 28, 30, 32, 34) |
1621,63 |
1783,79 |
1945,96 |
Комплексное посещение на проведение профилактических медицинских осмотров мужчин - (для возрастов - 19, 21, 23, 27, 29, 31, 33) |
1204,95 |
1325,45 |
1445,94 |
Комплексное посещение на проведение профилактических медицинских осмотров мужчин - (для возраста - 25) |
1555,88 |
1711,47 |
1867,06 |
Комплексное посещение на проведение профилактических медицинских осмотров мужчин - (для возрастов - 37,39) |
1607,15 |
1767,87 |
1928,58 |
Комплексное посещение на проведение профилактических медицинских осмотров мужчин - (для возраста - 35) |
1958,08 |
2153,89 |
2349,70 |
Комплексное посещение на проведение профилактических медицинских осмотров мужчин - (для возрастов - 36, 38) |
2023,86 |
2226,25 |
2428,63 |
Комплексное посещение на проведение профилактических медицинских осмотров мужчин - (для возрастов - 40, 42, 44, 46, 48, 50, 52, 54, 56, 58, 60, 62, 64) |
2135,59 |
2349,15 |
2562,71 |
Комплексное посещение на проведение профилактических медицинских осмотров мужчин - (для возрастов - 41, 43, 47, 49, 51, 53, 57, 59, 61, 63) |
1718,87 |
1890,76 |
2062,64 |
Комплексное посещение на проведение профилактических медицинских осмотров мужчин - (для возрастов - 45, 55) |
2069,80 |
2276,78 |
2483,76 |
Комплексное посещение на проведение профилактических медицинских осмотров мужчин - (для возрастов - 67, 69, 71, 73, 77, 79, 81, 83, 87, 89, 91, 93, 97, 99) |
1673,39 |
1840,73 |
2008,07 |
Комплексное посещение на проведение профилактических медицинских осмотров мужчин - (для возрастов - 65, 75, 85, 95) |
2024,32 |
2226,75 |
2429,18 |
Комплексное посещение на проведение профилактических медицинских осмотров мужчин - (для возрастов - 66, 68, 70, 72, 74, 76, 78, 80, 82, 84, 86, 88, 90, 92, 94, 96, 98) |
2090,11 |
2299,12 |
2508,13 |
Комплексное посещение на проведение профилактических медицинских осмотров женщин - (для возрастов - 18, 20, 22, 24, 26, 28, 30, 32, 34) |
2074,58 |
2282,04 |
2489,50 |
Комплексное посещение на проведение профилактических медицинских осмотров женщин - (для возрастов - 19, 21, 23, 27, 29, 31, 33) |
1657,88 |
1823,67 |
1989,46 |
Комплексное посещение на проведение профилактических медицинских осмотров женщин - (для возраста - 25) |
2008,81 |
2209,69 |
2410,57 |
Комплексное посещение на проведение профилактических медицинских осмотров женщин - (для возрастов - 37, 39) |
2069,14 |
2276,05 |
2482,97 |
Комплексное посещение на проведение профилактических медицинских осмотров женщин - (для возраста - 35) |
2420,07 |
2662,08 |
2904,08 |
Комплексное посещение на проведение профилактических медицинских осмотров женщин - (для возрастов - 36, 38) |
2476,81 |
2724,49 |
2972,17 |
Комплексное посещение на проведение профилактических медицинских осмотров женщин - (для возрастов - 40, 42, 44, 46, 48, 50, 52, 54, 56, 58, 60, 62, 64) |
2135,59 |
2349,15 |
2562,71 |
Комплексное посещение на проведение профилактических медицинских осмотров женщин - (для возрастов - 41, 43, 47, 49, 51, 53, 57, 59, 61, 63) |
1718,87 |
1890,76 |
2062,64 |
Комплексное посещение на проведение профилактических медицинских осмотров женщин - (для возрастов - 45, 55) |
2069,80 |
2276,78 |
2483,76 |
Комплексное посещение на проведение профилактических медицинских осмотров женщин - (для возрастов - 67, 69, 71, 73, 77, 79, 81, 83, 87, 89, 91, 93, 97, 99) |
1673,57 |
1840,93 |
2008,28 |
Комплексное посещение на проведение профилактических медицинских осмотров женщин - (для возрастов - 65, 75, 85, 95) |
2024,49 |
2226,94 |
2429,39 |
Комплексное посещение на проведение профилактических медицинских осмотров женщин - (для возрастов - 66, 68, 70, 72, 74, 76, 78, 80, 82, 84, 86, 88, 90, 92, 94, 96, 98) |
2090,28 |
2299,31 |
2508,34 |
* тариф, увеличенный на 10,0%.
** тариф, увеличенный на 20,0%.
Приложение 10.3
к Тарифному соглашению
на 2025 год
от 27.12.2024
ТАРИФЫ НА ПРОВЕДЕНИЕ УГЛУБЛЕННОЙ
ДИСПАНСЕРИЗАЦИИ
(в
ред. Дополнительного соглашения к
Тарифному соглашению в системе
обязательного медицинского страхования
Смоленской области от 23.05.2025 N 5)
Средняя стоимость посещения в рамках проведения углубленной диспансеризации, рублей |
1384,8 | |||
Тарифы на проведение 1 этапа углубленной диспансеризации | ||||
Способ оплаты |
Наименование исследований и медицинских вмешательств |
Тариф, рублей |
Тариф (руб.) (вечернее время и в выходные дни) <*> |
Тариф (руб.) (мобильными бригадами) <**> |
комплексное посещение |
Комплексное посещение на проведение углубленной диспансеризации: |
786,26 |
866,00 |
944,00 |
|
измерение насыщения крови кислородом (сатурация) в покое |
25,98 |
29,00 |
31,00 |
|
проведение спирометрии или спирографии |
134,22 |
148,00 |
161,00 |
|
общий (клинический) анализ крови развернутый |
96,43 |
106,00 |
116,00 |
|
биохимический анализ крови (включая исследования уровня холестерина, уровня липопротеинов низкой плотности, C-реактивного белка, определение активности аланинаминотрансферазы в крови, определение активности аспартатаминотрансферазы в крови, определение активности лактатдегидрогеназы в крови, исследование уровня креатинина в крови) |
529,63 |
583,00 |
636,00 |
за единицу объема оказания медицинской помощи |
проведение теста с 6-минутной ходьбой |
74,92 |
82,00 |
90,00 |
|
определение концентрации Д-димера в крови у граждан |
523,62 |
576,00 |
628,00 |
Тарифы на проведение 2 этапа углубленной диспансеризации | ||
Способ оплаты |
Наименование исследований и медицинских вмешательств |
Тариф <*> (руб.) |
за единицу объема оказания медицинской помощи |
проведение эхокардиографии |
429,96 |
|
проведение компьютерной томографии легких |
3074,39 |
|
проведение компьютерной томографии легких с применением искусственного интеллекта |
3074,39 |
|
проведение дуплексного сканирования вен нижних конечностей |
979,00 |
* Тариф увеличен на 10,0%.
** Тариф увеличен на 20,0%.
Приложение 10.4
к Тарифному соглашению
на 2025 год
от 27.12.2024
(в ред. Дополнительного соглашения
к Тарифному соглашению в системе
обязательного медицинского
страхования
Смоленской области от 31.01.2025 N 1)
Средняя стоимость диспансеризации для оценки репродуктивного здоровья женщин, рублей |
2920,10 | |||
женщин |
1842,70 | |||
мужчин |
711,10 | |||
Тарифы на проведение диспансеризации взрослого населения для оценки репродуктивного здоровья | ||||
Возраст |
Наименование исследований и медицинских вмешательств |
Тариф (руб.) |
Тариф (руб.) в вечернее время и субботу <**> |
Тариф (руб.) мобильными бригадами <***> |
Тарифы на проведение 1 этапа диспансеризации для оценки репродуктивного здоровья женщин <*> | ||||
18, 19, 20, 22, 23, 25, 26, 28, 29 лет |
Прием (осмотр) врачом-акушером-гинекологом: (В01.001.001), гинекологический осмотр с визуальным осмотром наружных половых органов (А01.20.002), в том числе: |
355,96 |
391,56 |
427,15 |
|
пальпация молочных желез (А01.20.006) |
х |
х |
х |
|
осмотр шейки матки в зеркалах (А02.20.001) с забором материала на исследование, бимануальным влагалищным исследованием (А01.20.003) |
х |
х |
х |
|
индивидуальное консультирование по вопросам репродуктивного здоровья, репродуктивных установок и мотивации на рождение детей |
х |
х |
х |
|
Микроскопическое исследование влагалищных мазков (А12.20.001), определение концентрации водородных ионов (рН) отделяемого слизистой оболочки влагалища (А09.20.011) |
91,00 |
100,10 |
109,20 |
|
Проведение лабораторных исследований мазков в целях выявления возбудителей инфекционных заболеваний органов малого таза методом полимеразной цепной реакции (ПЦР), определение ДНК возбудителей инфекций, передаваемых половым путем (Neisseria gonorrhoeae, Trichomonas vaginalis, Chlamidia trahomatis, Mycoplasma genitalium) (А26.20.034.001) |
1188,00 |
1306,80 |
1425,60 |
ИТОГО комплексное посещение: |
1634,96 |
1798,46 |
1961,95 | |
21, 24, 27 лет |
Прием (осмотр) врачом-акушером-гинекологом: (В01.001.001), гинекологический осмотр с визуальным осмотром наружных половых органов (А01.20.002), в том числе: |
355,96 |
391,56 |
427,15 |
|
пальпация молочных желез (А01.20.006) |
х |
х |
х |
|
осмотр шейки матки в зеркалах (А02.20.001) с забором материала на исследование, бимануальным влагалищным исследованием (А01.20.003) |
х |
х |
х |
|
индивидуальное консультирование по вопросам репродуктивного здоровья, репродуктивных установок и мотивации на рождение детей |
х |
х |
х |
|
Микроскопическое исследование влагалищных мазков (А12.20.001), определение концентрации водородных ионов (рН) отделяемого слизистой оболочки влагалища (А09.20.011) |
91,00 |
100,10 |
109,20 |
|
Проведение лабораторных исследований мазков в целях выявления возбудителей инфекционных заболеваний органов малого таза методом полимеразной цепной реакции (ПЦР), определение ДНК возбудителей инфекций, передаваемых половым путем (Neisseria gonorrhoeae, Trichomonas vaginalis, Chlamidia trahomatis, Mycoplasma genitalium) (А26.20.034.001) |
1188,00 |
1306,80 |
1425,60 |
|
Цитологическое исследование микропрепарата с шейки матки (А08.20.017) и цервикального канала (А08.20.017.001) или жидкостное цитологическое исследование микропрепарата шейки матки (А08.20.017.002) (соскоба) с окрашиванием по Папаниколау (другие способы окраски не допускаются) |
906,00 |
996,60 |
1087,20 |
ИТОГО комплексное посещение: |
2540,96 |
2795,06 |
3049,15 | |
31, 32, 33, 34, 36, 37, 38, 39, 41, 42, 43, 44, 46, 47, 48, 49 лет |
Прием (осмотр) врачом-акушером-гинекологом: (В01.001.001), гинекологический осмотр с визуальным осмотром наружных половых органов (А01.20.002), в том числе: |
355,96 |
391,56 |
427,15 |
|
пальпация молочных желез (А01.20.006) |
х |
х |
х |
|
осмотр шейки матки в зеркалах (А02.20.001) с забором материала на исследование, бимануальным влагалищным исследованием (А01.20.003) |
х |
х |
х |
|
индивидуальное консультирование по вопросам репродуктивного здоровья, репродуктивных установок и мотивации на рождение детей |
х |
х |
х |
|
Микроскопическое исследование влагалищных мазков (А12.20.001), определение концентрации водородных ионов (рН) отделяемого слизистой оболочки влагалища (А09.20.011) |
91,00 |
100,10 |
109,20 |
ИТОГО комплексное посещение: |
446,96 |
491,66 |
536,35 | |
30, 35, 40, 45 лет |
Прием (осмотр) врачом-акушером-гинекологом: (В01.001.001), гинекологический осмотр с визуальным осмотром наружных половых органов (А01.20.002), в том числе: |
355,96 |
391,56 |
427,15 |
|
пальпация молочных желез (А01.20.006) |
х |
х |
х |
|
осмотр шейки матки в зеркалах (А02.20.001) с забором материала на исследование, бимануальным влагалищным исследованием (А01.20.003) |
х |
х |
х |
|
индивидуальное консультирование по вопросам репродуктивного здоровья, репродуктивных установок и мотивации на рождение детей |
х |
х |
х |
|
Микроскопическое исследование влагалищных мазков (А12.20.001), определение концентрации водородных ионов (рН) отделяемого слизистой оболочки влагалища (А09.20.011) |
91,00 |
100,10 |
109,20 |
|
Цитологическое исследование микропрепарата с шейки матки (А08.20.017) и цервикального канала (А08.20.017.001) или жидкостное цитологическое исследование микропрепарата шейки матки (А08.20.017.002) (соскоба) с окрашиванием по Папаниколау (другие способы окраски не допускаются) |
906,00 |
996,60 |
1087,20 |
ИТОГО комплексное посещение: |
1352,96 |
1488,26 |
1623,55 | |
Средняя стоимость диспансеризации для оценки репродуктивного здоровья мужчин, рублей |
711,10 | |||
Тарифы на проведение 1 этапа диспансеризации для оценки репродуктивного здоровья мужчин <*> | ||||
18 - 49 лет |
Прием (осмотр) врачом-урологом (при его отсутствии врачом-хирургом, прошедшим подготовку по вопросу репродуктивного здоровья у мужчин) |
711,10 |
782,21 |
853,32 |
ИТОГО комплексное посещение: |
711,10 |
782,21 |
853,32 | |
Тарифы на проведение второго этапа диспансеризации для оценки репродуктивного здоровья женщин и мужчин <*> (за единицу объема оказания медицинской помощи) |
Возраст |
Наименование медицинской услуги |
Тариф (руб.) |
Женщины | ||
31 - 34, 36 - 39, 41 - 44 лет |
Проведение лабораторных исследований мазков в целях выявления возбудителей инфекционных заболеваний органов малого таза методом полимеразной цепной реакции (ПЦР), определение ДНК возбудителей инфекций, передаваемых половым путем (Neisseria gonorrhoeae, Trichomonas vaginalis, Chlamidia trahomatis, Mycoplasma genitalium) (А26.20.034.001) |
1188,00 |
30, 35, 40, 45 лет |
Проведение лабораторных исследований мазков в целях выявления возбудителей инфекционных заболеваний органов малого таза методом полимеразной цепной реакции (ПЦР), определение ДНК возбудителей инфекций, передаваемых половым путем (Neisseria gonorrhoeae, Trichomonas vaginalis, Chlamidia trahomatis, Mycoplasma genitalium), в отделяемом слизистых женских половых органов методом ПЦР (А26.20.034.001) и определения ДНК вирусов паппиломы человека (Papilloma virus) высокого канцерогенного риска в отделяемом (соскобе) из цервикального канала методом ПЦР, качественное исследование (А26.20.009.002) |
1484,00 |
18 - 49 лет |
Ультразвуковое исследование матки и придатков трансвагинальное (пороки развития влагалища, virgo) (А04.20.001.001), ультразвуковое исследование матки и придатков трансабдоминальное (А04.20.001) |
412,00 |
|
Ультразвуковое исследование молочных желез (А04.20.002) |
398,00 |
|
Прием (осмотр, консультация) врача-акушера-гинеколога повторный (В01.001.002) |
355,96 |
Мужчины | ||
18 - 49 лет |
Спермограмма |
553,00 |
|
Микроскопическое исследование микрофлоры или проведение лабораторных исследований в целях выявления возбудителей инфекционных заболеваний органов малого таза методом полимеразной цепной реакции (Chlamidia trahomatis, Neisseria gonorrhoeae, Ureaplasma urealyticum, Trichomonas vaginalis, Mycoplasma genitalium) |
1475,00 |
|
Ультразвуковое исследование предстательной железы и органов мошонки |
380,00 |
|
Повторный прием (осмотр) врачом-урологом (при его отсутствии врачом-хирургом, прошедшим подготовку по вопросу репродуктивного здоровья у мужчин) |
219,82 |
* Медицинские услуги по оценке
репродуктивного здоровья мужчин и
женщин соответствуют "Методическим
рекомендациям по диспансеризации мужчин
и женщин репродуктивного возраста с
целью оценки репродуктивного здоровья",
утвержденным Министерством
здравоохранения Российской Федерации от
29 марта 2024 года.
** Тариф увеличен на 10%.
*** Тариф увеличен на 20%.
Приложение 11
к Тарифному соглашению
на 2025 год
от 27.12.2024
ПОРЯДОК ОПЛАТЫ ОТДЕЛЬНЫХ СЛУЧАЕВ
ОКАЗАНИЯ МЕДИЦИНСКОЙ ПОМОЩИ ПО
КЛИНИКО-СТАТИСТИЧЕСКИМ ГРУППАМ,
ОКАЗАННОЙ В СТАЦИОНАРНЫХ УСЛОВИЯХ И В
УСЛОВИЯХ ДНЕВНОГО СТАЦИОНАРА
(в ред. Дополнительного соглашения к Тарифному соглашению в системе обязательного медицинского страхования Смоленской области от 31.01.2025 N 1)
1. Оплата прерванных случаев оказания
медицинской помощи
К прерванным случаям оказания
медицинской помощи (далее - прерванный
случай) относятся:
1. Случаи прерывания лечения по
медицинским показаниям.
2. Случаи прерывания лечения при
переводе пациента из одного отделения
медицинской организации в другое.
3. Случаи изменения условий
оказания медицинской помощи (перевода
пациента из стационарных условий в
условия дневного стационара и наоборот).
4. Случаи перевода пациента в другую
медицинскую организацию.
5. Случаи прерывания лечения
вследствие преждевременной выписки
пациента из медицинской организации,
обусловленной его письменным отказом от
дальнейшего лечения.
6. Случаи лечения, закончившиеся
смертью пациента (летальным исходом).
7. Случаи оказания медицинской
помощи с проведением лекарственной
терапии при злокачественных
новообразованиях, в ходе которой
медицинская помощь по объективным
причинам оказана пациенту не в полном
объеме по сравнению с выбранной для
оплаты схемой лекарственной терапии, в
том числе в случае прерывания лечения
при возникновении абсолютных
противопоказаний к продолжению лечения,
не купируемых при проведении
симптоматического лечения.
8. Законченные случаи лечения (не
являющиеся прерванными по основаниям,
изложенным в подпунктах 1 - 7 пункта 1
данного раздела) длительностью 3 дня и
менее по КСГ, не включенные в перечень
КСГ, для которых оптимальным сроком
лечения является период менее 3 дней
включительно, приведенные в приложения
4.3.
9. Случаи медицинской реабилитации
по КСГ st37.002, st37.003, st37.006, st37.007, st37.024, st37.025,
st37.026, st37.027, st37.028, st37.029, st37.030. st37.031, ds37.017,
ds37.018, ds37.019, а также случаи лечения
хронического вирусного гепатита B и C по
КСГ ds12.020 - ds12.027 с длительностью лечения
менее количества дней, определенного
Программой и приложением 6 и 7 к
Методическим рекомендациям (далее -
Группировщик (приложение 6 и 7).
В случае если перевод пациента из
одного отделения медицинской
организации в другое обусловлен
возникновением (наличием) нового
заболевания или состояния, относящегося
к тому же классу МКБ-10, что и диагноз
основного заболевания, и (или)
являющегося следствием закономерного
прогрессирования основного заболевания,
внутрибольничной инфекции или
осложнением основного заболевания, что
не соответствует критериям оплаты
случая госпитализации/лечения по двум
КСГ, оплата производится в рамках одного
случая лечения по КСГ с наибольшим
размером оплаты, а отнесение такого
случая к прерванным по основанию
перевода пациента из одного отделения
медицинской организации в другое не
производится.
При оплате случаев лечения,
подлежащих оплате по двум КСГ по
основаниям, изложенным в подпунктах 2 - 10
пункта 2 Порядка, случай до перевода не
может считаться прерванным по
основаниям, изложенным в подпунктах 2 - 4
пункта 1 (случаи прерывания лечения при
переводе пациента из одного отделения
медицинской организации в другое; случаи
изменения условий оказания медицинской
помощи (перевода пациента из
стационарных условий в условия дневного
стационара и наоборот); случаи перевода
пациента в другую медицинскую
организацию).
Приложением 4.3 к Тарифному
соглашению определен перечень КСГ, для
которых длительность 3 дня и менее
является оптимальными сроками лечения.
Законченный случай оказания медицинской
помощи по данным КСГ не может быть
отнесен к прерванным случаям по
основаниям, связанным с длительностью
лечения, и оплачивается в полном объеме
независимо от длительности лечения. При
этом в случае наличия оснований
прерванности, не связанных с
длительностью лечения, случай оказания
медицинской помощи оплачивается как
прерванный на общих основаниях.
В случае выделения подгрупп в
составе КСГ, не включенных в
вышеуказанный перечень КСГ, отдельные
подгруппы (но не все) в составе таких КСГ
могут оплачиваться в полном объеме в
случае длительности
госпитализации/лечения 3 дня и менее.
Подгруппы, включаемые в перечень КСГ, по
которым оплата медицинской помощи
осуществляется в полном объеме при
длительности госпитализации/лечения 3
дня и менее, указываются в
соответствующем разделе тарифного
соглашения. Аналогично, отдельные
подгруппы (но не все) в составе КСГ,
включенных в вышеуказанный перечень КСГ,
могут не включаться в соответствующий
раздел тарифного соглашения.
Доля оплаты случаев оказания
медицинской помощи, являющихся
прерванными, за исключением основания,
связанного с проведением лекарственной
терапии при ЗНО не в полном объеме,
определяется в зависимости от
выполнения хирургического
вмешательства и (или) проведения
тромболитической терапии, являющихся
классификационным критерием отнесения
данного случая лечения к конкретной КСГ.
В случае если пациенту было
выполнено хирургическое вмешательство и
(или) тромболитическая терапия, случай
оплачивается в размере:
- при длительности лечения 3 дня и
менее - 80% от стоимости КСГ;
- при длительности лечения более 3
дней - 90% от стоимости КСГ.
Перечень КСГ круглосуточного
стационара, которые предполагают
хирургическое лечение или
тромболитическую терапию, представлен в
приложении 4.2.
Перечень КСГ в условиях дневного
стационара, которые предполагают
хирургическое лечение или
тромболитическую терапию, представлен в
приложении 3.1.
Таким образом, прерванные случаи по
КСГ, не входящим в приложения 3.1 и 4.2 к
Тарифному соглашению, не могут быть
оплачены с применением вышеуказанных
диапазонов уменьшения размеров оплаты
прерванных случаев (80 - 90 процентов и 80 - 100
процентов соответственно).
Если хирургическое вмешательство и
(или) тромболитическая терапия не
проводились, прерванный случай оказания
медицинской помощи оплачивается в
размере:
- при длительности лечения 3 дня и
менее - 30% от стоимости КСГ;
- при длительности лечения более 3
дней - 50% от стоимости КСГ.
Случаи проведения лекарственной
терапии пациентам в возрасте 18 лет и
старше и случаи медицинской
реабилитации, являющиеся прерванными по
основаниям, изложенным в подпунктах 7 и 9
пункта 1 Порядка (случаи оказания
медицинской помощи с проведением
лекарственной терапии при
злокачественных новообразованиях, в
ходе которой медицинская помощь по
объективным причинам оказана пациенту
не в полном объеме по сравнению с
выбранной для оплаты схемой
лекарственной терапии, в том числе в
случае прерывания лечения при
возникновении абсолютных
противопоказаний к продолжению лечения,
не купируемых при проведении
симптоматического лечения, случаи
медицинской реабилитации по КСГ st37.002,
st37.003, st37.006, st37.007, st37.024, st37.025, st37.026, st37.027,
st37.028, st37.029, st37.030. st37.031, ds37.017, ds37.018, ds37.019, а
также случаев лечения хронического
вирусного гепатита B и C по КСГ ds12.020 - ds12.027
с длительностью лечения менее
количества дней), оплачиваются
аналогично случаям лечения, когда
хирургическое вмешательство и (или)
тромболитическая терапия не
проводились.
2. Оплата случая лечения по двум и более
КСГ
Медицинская помощь, оказываемая
пациентам одновременно по двум и более
КСГ, осуществляется в следующих случаях:
1. Перевод пациента из одного
отделения медицинской организации в
другое в рамках круглосуточного или
дневного стационаров (в том числе в
случае перевода из круглосуточного
стационара в дневной стационар и
наоборот), если это обусловлено
возникновением (наличием) нового
заболевания или состояния, входящего в
другой класс МКБ-10 и не являющегося
следствием закономерного
прогрессирования основного заболевания,
внутрибольничной инфекции или
осложнением основного заболевания, а
также при переводе пациента из одной
медицинской организации в другую; оба
случая лечения заболевания подлежат
оплате в рамках соответствующих КСГ, при
этом случай лечения до осуществления
перевода относится к прерванным по
установленным пунктом 1 данного Порядка.
2. Проведение медицинской
реабилитации пациента после завершения
лечения в той же медицинской организации
по поводу заболевания, по которому
осуществлялось лечение.
3. Оказание медицинской помощи,
связанной с установкой, заменой
порт-системы (катетера) для
лекарственной терапии злокачественных
новообразований с последующим
проведением лекарственной терапии или
после хирургического лечения в рамках
одной госпитализации.
4. Этапное хирургическое лечение
при злокачественных новообразованиях,
не предусматривающее выписку пациента
из стационара (например: удаление
первичной опухоли кишечника с
формированием колостомы (операция 1) и
закрытие ранее сформированной колостомы
(операция 2)).
5. Проведение реинфузии аутокрови,
баллонной внутриаортальной
контрпульсации или экстракорпоральной
мембранной оксигенации на фоне лечения
основного заболевания.
6. Дородовая госпитализация
пациентки в отделение патологии
беременности в случае пребывания в
отделении патологии беременности в
течение 6 дней и более с последующим
родоразрешением.
Также осуществляется оплата по
двум КСГ в случае дородовой
госпитализации пациентки в отделение
патологии беременности и пребывания в
нем в течение 2 дней и более с последующим
родоразрешением при оказании
медицинской помощи по следующим МКБ 10:
- O14.1 Тяжелая преэклампсия;
- O34.2 Послеоперационный рубец матки,
требующий предоставления медицинской
помощи матери;
- O36.3 Признаки внутриутробной
гипоксии плода, требующие
предоставления медицинской помощи
матери;
- O36.4 Внутриутробная гибель плода,
требующая предоставления медицинской
помощи матери;
- O42.2 Преждевременный разрыв
плодных оболочек, задержка родов,
связанная с проводимой терапией.
7. Наличие у пациента тяжелой
сопутствующей патологии, требующей в
ходе оказания медицинской помощи в
период госпитализации имплантации в
организм пациента медицинского изделия.
8. Проведение иммунизации против
респираторно-синцитиальной вирусной
инфекции в период госпитализации по
поводу лечения нарушений, возникающих в
перинатальном периоде, являющихся
показанием к иммунизации.
9. Проведение антимикробной терапии
инфекций, вызванных полирезистентными
микроорганизмами.
10. В случае длительности
госпитализации при лекарственной
терапии пациентов со злокачественными
новообразованиями лимфоидной и
кроветворной тканей более 30 дней.
Выставление случая только по КСГ
st36.013 - st36.015 "Проведение антимикробной
терапии инфекций, вызванных
полирезистентными микроорганизмами
(уровень 1 - 3)", без основной КСГ, а также
выставление случая по двум КСГ из
перечня st36.013 - st36.015 "Проведение
антимикробной терапии инфекций,
вызванных полирезистентными
микроорганизмами (уровень 1 - 3)" с
пересекающимися сроками лечения не
допускается.
По каждому случаю оплаты
медицинской помощи по двум КСГ должна
быть проведена медико-экономическая
экспертиза и, при необходимости,
экспертиза качества медицинской помощи.
Если перевод производится в
пределах одной медицинской организации,
а заболевания относятся к одному классу
МКБ 10, оплата производится в рамках
одного случая лечения по КСГ с
наибольшим размером оплаты.
3. Порядок определения полноты
выполнения схемы лекарственной терапии
при лечении пациентов в возрасте 18 лет и
старше
Режим введения лекарственных
препаратов в описании схем
лекарственной терапии включает в себя:
наименование лекарственных препаратов,
длительность цикла, количество дней
введения, способ введения (в случае
указания в схеме), скорость введения
(капельно, струйно, в случае указания в
схеме), разовую дозу препарата
(фиксированная величина или разовая доза
в пересчете на массу тела или площадь
поверхности тела пациента).
Если наименование лекарственных
препаратов, способ введения (в случае
указания в схеме) или скорость введения
(в случае указания в схеме) не
соответствуют описанию ни одной схемы
лекарственной терапии, представленной в
"Группировщиках", являющихся
приложениями 6 и 7 к Методическим
рекомендациям, для оплаты однозначно
выбирается схема лекарственной терапии
sh9003 "Прочие схемы лекарственной терапии",
а случай считается законченным и
оплачивается в полном объеме, если он не
является прерванным по основаниям,
изложенным в подпунктах 1 - 6 пункта 1
Порядка.
В случае снижения дозы
химиотерапевтических препаратов и/или
увеличения интервала между введениями
по сравнению с указанными в столбце
"Наименование и описание схемы" в
"Группировщиках" при соблюдении
следующих условий, отраженных в
первичной медицинской документации
(общее количество дней введения должно
точно соответствовать количеству дней
введения, предусмотренному в описании
схемы лекарственной терапии) схема
лекарственной терапии считается
выполненной полностью и оплачивается в
полном объеме (при отсутствии оснований
считать случай прерванным по иным
основаниям, предусмотренным пунктом 1
Порядка):
- снижение дозы произведено
согласно инструкции по применению к
химиотерапевтическому препарату или в
соответствии с клиническими
рекомендациями, в том числе в связи
усилением токсических реакций или с
тяжестью состояния пациента;
- возможность смещения интервала
между введениями предусмотрена
клиническими рекомендациями, либо
необходимость смещения возникла в связи
с медицинскими противопоказаниями к
введению препаратов в день, указанный в
описании схемы.
Для остальных случаев (в том числе
случаев проведения лекарственной
терапии, при которых снижение дозы
химиотерапевтических препаратов и/или
увеличение интервала между введениями
произведено по другим причинам)
классификационным критерием отнесения к
КСГ служит схема sh9003 "Прочие схемы
лекарственной терапии", а случай
считается законченным и оплачивается в
полном объеме, если он не является
прерванным по основаниям, изложенным в
подпунктах 1 - 6 пункта 1 Порядка.
Также схема лекарственной терапии
считается выполненной полностью и
оплачивается в полном объеме (в том числе
при соблюдении количества дней введения
в тарифе, при отсутствии оснований
считать случай прерванным по иным
основаниям, предусмотренным пунктом 1
Порядка) при проведении лечения в полном
соответствии с одной из схем
лекарственной терапии, указанных в
"Группировщике".
Случаи, в ходе которых
лекарственная терапия проведена в
полном объеме, предусмотренном
соответствующей схемой лекарственной
терапии, оплачиваются по
соответствующей КСГ в полном объеме
независимо от наличия иных оснований
считать случай лечения прерванным.
4. Оплата случаев лечения, предполагающих
сочетание оказания высокотехнологичной
и специализированной медицинской помощи
пациенту
В случае если у пациента после
оказания специализированной
медицинской помощи определяются
показания к получению медицинской
помощи с применением метода лечения,
включенного в Перечень видов
высокотехнологичной медицинской помощи
(далее - ВМП), либо после оказания ВМП
определяются показания к оказанию
специализированной медицинской помощи,
указанные случаи оплачиваются дважды, в
рамках специализированной медицинской
помощи по соответствующей КСГ, а в рамках
ВМП по нормативу (среднему нормативу)
финансовых затрат на единицу объема
медицинской помощи. При этом
предоперационный и послеоперационный
период включается в законченный случай
лечения как для специализированной, так
и для ВМП, и не может быть представлен к
оплате по второму тарифу.
Если пациенту в момент оказания
высокотехнологичной медицинской помощи
по профилям "Неонатология", "Детская
хирургия в период новорожденности",
"Офтальмология", "Сердечно-сосудистая
хирургия", "Педиатрия", "Торакальная
хирургия" определяются показания к
проведению иммунизации против
респираторно-синцитиальной вирусной
(РСВ) инфекции, то данный случай
оплачивается по двум (нескольким)
тарифам: в рамках высокотехнологичной
медицинской помощи по соответствующему
нормативу (среднему нормативу)
финансовых затрат на единицу объема
медицинской помощи и по соответствующей
КСГ в рамках специализированной
медицинской помощи. Кратность
применения КСГ "Проведение иммунизации
против респираторно-синцитиальной
вирусной инфекции" должна
соответствовать количеству введений
паливизумаба для проведения иммунизации
за весь период госпитализации.
Медицинская помощь в неотложной и
экстренной формах, а также медицинская
реабилитация в соответствии с порядками
оказания медицинской помощи, на основе
клинических рекомендаций и с учетом
стандартов медицинской помощи, может
быть предоставлена родителям (законным
представителям), госпитализированным по
уходу за детьми, страдающими тяжелыми
хроническими инвалидизирующими
заболеваниями, требующими
сверхдлительных сроков лечения, при
оказании детям специализированной либо
высокотехнологичной медицинской помощи
и оплачивается медицинским организациям
педиатрического профиля, имеющим
необходимые лицензии, в соответствии с
установленными способами оплаты.
Отнесение случая оказания
медицинской помощи к ВМП осуществляется
при соответствии наименования вида ВМП,
кодов МКБ-10, модели пациента, вида и
метода лечения аналогичным параметрам,
установленным перечнем видов ВМП
(приложение N 1), содержащего, в том числе
методы лечения и источники финансового
обеспечения ВМП (далее - Перечень ВМП).
Оплата видов ВМП, включенных в базовую
программу, осуществляется по нормативам
финансовых затрат на единицу объема
предоставления медицинской помощи,
утвержденным Программой. В случае если
хотя бы один из вышеуказанных параметров
не соответствует Перечню ВМП, оплата
случая оказания медицинской помощи
осуществляется в рамках
специализированной медицинской помощи
по соответствующей КСГ исходя из
выполненной хирургической операции и
(или) других применяемых медицинских
технологий.
5. Оплата случаев лечения по профилю
"Медицинская реабилитация"
Лечение по профилю "Медицинская
реабилитация" в условиях
круглосуточного, а также дневного
стационаров производится в медицинских
организациях и структурных
подразделениях медицинских организаций,
имеющих лицензию на оказание
медицинской помощи по профилю
"Медицинская реабилитация".
Для КСГ st37.001 - st37.013, st37.021 - st37.031 в
стационарных условиях и для КСГ ds37.001 -
ds37.008, ds37.015 - ds37.019 в условиях дневного
стационара критерием для определения
индивидуальной маршрутизации пациента
служит оценка состояния по шкале
реабилитационной маршрутизации (далее -
ШРМ) в соответствии с Порядком
организации медицинской реабилитации
взрослых, утвержденным приказом
Министерства здравоохранения
Российской Федерации от 31.07.2020 N 788н
(зарегистрировано в Минюсте России 25.09.2020
N 60039). При оценке 2 балла по ШРМ пациент
получает медицинскую реабилитацию в
условиях дневного стационара. При оценке
3 балла по ШРМ медицинская реабилитация
оказывается пациенту в условиях
дневного стационара или в стационарных
условиях в зависимости от состояния
пациента и в соответствии с
маршрутизацией, установленной в
субъекте Российской Федерации. При
оценке 4 - 5 - 6 баллов по ШРМ пациенту
оказывается медицинская реабилитация в
стационарных условиях.
Критерием для определения
индивидуальной маршрутизации
реабилитации детей, перенесших
заболевания перинатального периода, с
нарушениями слуха без замены речевого
процессора системы кохлеарной
имплантации, с онкологическими,
гематологическими и иммунологическими
заболеваниями в тяжелых формах,
требующих продолжительного течения, с
поражениями центральной нервной
системы, после хирургической коррекции
врожденных пороков развития органов и
систем служит оценка степени тяжести
заболевания, определяющая сложность и
условия проведения медицинской
реабилитации. При средней и тяжелой
степени тяжести указанных заболеваний
ребенок получает медицинскую
реабилитацию в условиях круглосуточного
стационара с оплатой по соответствующей
КСГ. При средней и легкой степени тяжести
указанных заболеваний ребенок может
получать медицинскую реабилитацию в
условиях дневного стационара.
Стоимость КСГ, предусматривающих
медицинскую реабилитацию пациентов с
заболеваниями центральной нервной
системы и заболеваниями
опорно-двигательного аппарата и
периферической нервной системы
увеличена с учетом установления
плановой длительности случая
реабилитации. Случай реабилитации по КСГ
(st37.002, st37.003, st37.006, st37.007, st37.024, st37.025, st37.026)
длительностью менее предусмотренного
соответствующим классификационным
критерием значения является прерванным
и оплачивается в соответствии с пунктом 1
настоящего Порядка.
Также, при увеличении стоимости КСГ
(st37.002, st37.003, st37.006, st37.007, st37.024, st37.025) были
учтены затраты, связанные с применением
роботизированных систем. При этом в
целях учета случаев лечения с
применением роботизированных систем
были добавлены иные классификационные
критерии "rbprob4", "rbprob5", "rbrob4d12", "rbrob4d14",
"rbrob5d18", "rbrob5d20", включающие в том числе
оценку по шкале реабилитационной
маршрутизации и длительность лечения.
Также в целях учета случаев лечения
с применением ботулинического токсина
предусмотрены иные классификационные
критерии, соответствующие оценке по
шкале реабилитационной маршрутизации в
сочетании с применением ботулинического
токсина.
В целях учета случаев медицинской
реабилитации с применением
роботизированных систем и введение
ботулинического токсина предусмотрены
иные классификационные критерии,
включающие в том числе оценку по шкале
реабилитационной маршрутизации и
длительность лечения.
Применение роботизированных
систем и/или введение ботулинического
токсина для КСГ не является
обязательным.
Оплата первого этапа медицинской
реабилитации осуществляется с
использованием коэффициента сложности
лечения пациентов.
Данный коэффициент
предусматривает оплату
реабилитационных мероприятий при
проведении реабилитационных
мероприятий при нахождении пациента на
реанимационной койке и/или койке
интенсивной терапии, начавшихся не
позднее 48 часов от поступления в
отделение реанимации или на койку
интенсивной терапии с общей
длительностью реабилитационных
мероприятий не менее 5 суток, включая
период после перевода на профильные
койки по окончании реанимационных
мероприятий, при обязательной
продолжительности реабилитационных
мероприятий не менее одного часа в сутки
(при условии организации отделения
ранней медицинской реабилитации на не
менее чем 12 коек отделения, оказывающего
медицинскую помощь по профилю
"Анестезиология и реанимация", и его
укомплектования в соответствии с
порядком оказания медицинской помощи по
медицинской реабилитации).
КСЛП "Проведение 1 этапа
медицинской реабилитации пациентов"
применяется один раз к случаю лечения, в
том числе в случае, если оплата случая
лечения осуществляется по двум КСГ.
В рамках реализации
территориальных программ обязательного
медицинского страхования оплата случаев
медицинской реабилитации детей в
медицинских организациях, которые в
соответствии с Порядком организации
медицинской реабилитации детей,
утвержденным приказом Министерства
здравоохранения Российской Федерации от
23.10.2019 N 878н (зарегистрировано в Минюсте
России 23.12.2019 N 56954), отнесены к
медицинским организациям четвертой
группы (федеральные центры медицинской
реабилитации для детей и федеральные
медицинские организации, оказывающие
специализированную, в том числе
высокотехнологичную, медицинскую помощь
детям, имеющие в своей структуре
отделение (центр) медицинской
реабилитации для детей, осуществляющие
медицинскую реабилитацию в стационарных
условиях и (или) в условиях дневного
стационара), с использованием КСГ st37.027 -
st37.029 и ds37.017 - ds37.019 осуществляется в
следующие порядке.
Случай медицинской реабилитации
детей, оплачиваемый в указанных
медицинских организациях по КСГ st37.027 -
st37.029 и ds37.017 - ds37.019, является:
- законченным при условии
длительности случая лечения 18 дней и
более;
- прерванным при условии
длительности случая лечения от 12 до 17
дней включительно.
Случай медицинской реабилитации
детей в вышеуказанных медицинских
организациях 4 группы длительностью 11
дней и менее подлежит оплате по иным КСГ
по профилю "Медицинская реабилитация", за
исключением КСГ st37.027 - st37.029 и ds37.017 - ds37.019.
Особенности формирования
реабилитационных КСГ
Отнесение к КСГ st37.001 - st37.031 и ds37.001 -
ds37.019, охватывающим случаи оказания
реабилитационной помощи, производится
по коду сложных и комплексных услуг
Номенклатуры (раздел В) в большинстве
случаев вне зависимости от диагноза. В
КСГ, используемые для оплаты медицинской
реабилитации пациентов с заболеваниями
центральной нервной системы,
дополнительно включен диагноз
"Рассеянный склероз" (код МКБ-10 G35).
Также для отнесения к группе КСГ
учитывается иной классификационный
критерий, в котором учтены следующие
параметры:
- шкала реабилитационной
маршрутизации (ШРМ), установленной
Порядком медицинской реабилитации
взрослых;
- уровень курации установленный
порядком медицинской реабилитации для
детей;
- оптимальная длительность
реабилитации в койко-днях
(пациенто-днях);
- факт проведения медицинской
реабилитации после перенесенной
коронавирусной инфекции COVID-19;
- факт назначения ботулинического
токсина;
- факт применения роботизированных
систем;
- факт сочетания (выполнения) 2 и
более медицинских услуг.
Перечень иных классификационных
критериев представлен с расшифровкой в
таблице.
Код ДКК |
Наименование ДКК |
rb2 |
2 балла по шкале реабилитационной маршрутизации (ШРМ) |
rb2cov |
Медицинская реабилитация после перенесенной коронавирусной инфекции COVID-19, 2 балла по шкале реабилитационной маршрутизации (ШРМ) |
rb3 |
3 балла по шкале реабилитационной маршрутизации (ШРМ) |
rb3cov |
Медицинская реабилитация после перенесенной коронавирусной инфекции COVID-19, 3 балла по шкале реабилитационной маршрутизации (ШРМ) |
rb4 |
4 балла по шкале реабилитационной маршрутизации (ШРМ) |
rb4cov |
Медицинская реабилитация после перенесенной коронавирусной инфекции COVID-19, 4 балла по шкале реабилитационной маршрутизации (ШРМ) |
rb4d12 |
4 балла по шкале реабилитационной маршрутизации (ШРМ), не менее 12 дней |
rb4d14 |
4 балла по шкале реабилитационной маршрутизации (ШРМ), не менее 14 дней |
rb5 |
5 баллов по шкале реабилитационной маршрутизации (ШРМ) |
rb5cov |
Медицинская реабилитация после перенесенной коронавирусной инфекции COVID-19, 5 баллов по шкале реабилитационной маршрутизации (ШРМ) |
rb5d18 |
5 баллов по шкале реабилитационной маршрутизации (ШРМ), не менее 18 дней |
rb5d20 |
5 баллов по шкале реабилитационной маршрутизации (ШРМ), не менее 20 дней |
rb6 |
6 баллов по шкале реабилитационной маршрутизации (ШРМ) |
rbb2 |
2 балла по шкале реабилитационной маршрутизации (ШРМ), назначение ботулинического токсина |
rbb3 |
3 балла по шкале реабилитационной маршрутизации (ШРМ), назначение ботулинического токсина |
rbb4d14 |
4 балла по шкале реабилитационной маршрутизации (ШРМ), назначение ботулинического токсина, не менее 14 дней |
rbb5d20 |
5 баллов по шкале реабилитационной маршрутизации (ШРМ), назначение ботулинического токсина, не менее 20 дней |
rbbp4 |
продолжительная медицинская реабилитация (30 дней), 4 балла по шкале реабилитационной маршрутизации (ШРМ), назначение ботулинического токсина |
rbbp5 |
продолжительная медицинская реабилитация (30 дней), 5 баллов по шкале реабилитационной маршрутизации (ШРМ), назначение ботулинического токсина |
rbbprob4 |
продолжительная медицинская реабилитация (30 дней), 4 балла по шкале реабилитационной маршрутизации (ШРМ) с применением роботизированных систем и назначение ботулинического токсина |
rbbprob5 |
продолжительная медицинская реабилитация (30 дней), 5 баллов по шкале реабилитационной маршрутизации (ШРМ) с применением роботизированных систем и назначение ботулинического токсина |
rbbrob4d14 |
4 балла по шкале реабилитационной маршрутизации (ШРМ) с применением роботизированных систем и назначение ботулинического токсина, не менее 14 дней |
rbbrob5d20 |
5 баллов по шкале реабилитационной маршрутизации (ШРМ) с применением роботизированных систем и назначение ботулинического токсина, не менее 20 дней |
rbp4 |
продолжительная медицинская реабилитация (30 дней), 4 балла по шкале реабилитационной маршрутизации (ШРМ) |
rbp5 |
продолжительная медицинская реабилитация (30 дней), 5 баллов по шкале реабилитационной маршрутизации (ШРМ) |
rbprob4 |
продолжительная медицинская реабилитация (30 дней), 4 балла по шкале реабилитационной маршрутизации (ШРМ) с применением роботизированных систем |
rbprob5 |
продолжительная медицинская реабилитация (30 дней), 5 баллов по шкале реабилитационной маршрутизации (ШРМ) с применением роботизированных систем |
rbps5 |
продолжительная медицинская реабилитация (сестринский уход) (30 дней), 5 баллов по шкале реабилитационной маршрутизации (ШРМ) |
rbpt |
Посттрансплантационный период для пациентов, перенесших трансплантацию гемопоэтических стволовых клеток крови и костного мозга (от 30 до 100 дней) |
rbrob4d12 |
4 балла по шкале реабилитационной маршрутизации (ШРМ) с применением роботизированных систем, не менее 12 дней |
rbrob4d14 |
4 балла по шкале реабилитационной маршрутизации (ШРМ) с применением роботизированных систем, не менее 14 дней |
rbrob5d18 |
5 баллов по шкале реабилитационной маршрутизации (ШРМ) с применением роботизированных систем, не менее 18 дней |
rbrob5d20 |
5 баллов по шкале реабилитационной маршрутизации (ШРМ) с применением роботизированных систем, не менее 20 дней |
rbs |
Обязательное сочетание 2 медицинских услуг: B05.069.005 "Разработка индивидуальной программы дефектологической реабилитации", B05.069.006 "Разработка индивидуальной программы логопедической реабилитации" |
ykur1 |
Уровень курации I |
ykur2 |
Уровень курации II |
ykur3d12 |
Уровень курации III, не менее 12 дней |
ykur4d18 |
Уровень курации IV, не менее 18 дней |
ykur3 |
Уровень курации III |
ykur4 |
Уровень курации IV |
rbtcs45d18 |
Транскраниальная магнитная стимуляция ритмическая навигационная под контролем электромиографии (не менее 12 сеансов), в сочетании с тренировками с биологической обратной связью по подографическим показателям, тренировками с биологической обратной связью по опорной реакции, коррекцией нарушения двигательной функции с использованием компьютерных технологий, высокоинтенсивной лазерной терапии и лечебной физкультурой с использованием тренажера у пациентов с размозжением и травматической ампутацией нижних конечностей, полученных при боевой травме, после протезирования и имеющие навыки ходьбы на протезе, с оценкой функциональных нарушений по шкале реабилитационной маршрутизации (ШРМ) 4 - 5 баллов (не менее 18 дней). Дополнительно к транскраниальной магнитной стимуляции обязательное сочетание не менее 5 медицинских услуг: A13.29.003 "Клинико-психологическая адаптация"; A17.24.001 "Чрескожная электронейростимуляция при заболеваниях периферической нервной системы"; A19.03.003.015 "Тренировка с биологической обратной связью по подографическим показателям при переломе костей"; A19.23.004 "Коррекция нарушения двигательной функции с использованием компьютерных технологий"; А19.30.011 "Тренировка с биологической обратной связью по опорной реакции" |
rbbrobсst4d17 |
Комплексная медицинская реабилитация с использованием роботизированного программно-аппаратного комплекса, проведением чрескожной электростимуляции спинного мозга, внутридетрузорным введением ботулинического токсина типа А-гемагглютинину комплекса для восстановления функции нижних мочевыводящих путей у пациентов с последствиями позвоночно-спинномозговой травмы с оценкой по шкале реабилитационной маршрутизации (ШРМ) 4 балла (не менее 17 дней). Обязательное выполнение медицинских услуг: A03.28.001 "Цистоскопия (с введением ботулотоксина)"; A17.23.003 "Электронейростимуляция спинного мозга (ЧЭСММ)"; A19.03.001.003 "Роботизированная механотерапия при травме позвоночника"; A17.24.011 "Электростимуляция двигательных нервов"; A19.03.004.001 "Индивидуальное занятие лечебной физкультурой при травме позвоночника с поражением спинного мозга"; A19.30.012 "Упражнения лечебной физкультуры с использованием подвесных систем" |
rbbrobсst5d17 |
Комплексная медицинская реабилитация с использованием роботизированного программно-аппаратного комплекса, проведением чрескожной электростимуляции спинного мозга, внутридетрузорным введением ботулинического токсина типа А-гемагглютинину комплекса для восстановления функции нижних мочевыводящих путей у пациентов с последствиями позвоночно-спинномозговой травмы с оценкой по шкале реабилитационной маршрутизации (ШРМ) 5 баллов (не менее 17 дней). Обязательное выполнение медицинских услуг: A03.28.001 "Цистоскопия (с введением ботулотоксина)"; A17.23.003 "Электронейростимуляция спинного мозга (ЧЭСММ)"; A19.03.001.003 "Роботизированная механотерапия при травме позвоночника"; A17.24.011 "Электростимуляция двигательных нервов"; A19.03.004.001 "Индивидуальное занятие лечебной физкультурой при травме позвоночника с поражением спинного мозга"; A19.30.012 "Упражнения лечебной физкультуры с использованием подвесных систем" |
Состояние пациента по ШРМ
оценивается при поступлении в
круглосуточный стационар или дневной
стационар по максимально выраженному
признаку.
При оценке 0 - 1 балла по ШРМ пациент
не нуждается в медицинской реабилитации;
при оценке 2 балла пациент получает
медицинскую реабилитацию в условиях
дневного стационара; при оценке 3 балла
медицинская реабилитация оказывается
пациенту в условиях дневного стационара
или в стационарных условиях в
зависимости от состояния пациента и в
соответствии с маршрутизацией,
установленной в Смоленской области; при
оценке 4 - 6 баллов медицинская
реабилитация осуществляется в
стационарных условиях, а также в рамках
выездной реабилитации в домашних
условиях и консультаций в
телемедицинском режиме.
Медицинская реабилитация детей с
нарушениями слуха без замены речевого
процессора системы кохлеарной
имплантации
Отнесение к КСГ "Медицинская
реабилитация детей с нарушениями слуха
без замены речевого процессора системы
кохлеарной имплантации" (КСГ st37.015 и ds37.010)
осуществляется по коду медицинской
услуги B05.028.001 "Услуги по медицинской
реабилитации пациента с заболеваниями
органа слуха" или B05.046.001 "Слухо-речевая
реабилитация глухих детей с кохлеарным
имплантом" в сочетании с двумя
классификационными критериями: возраст
до 18 лет (код 5) и код классификационного
критерия "rbs".
Классификационный критерий "rbs"
означает обязательное сочетание двух
медицинских услуг: B05.069.005 "Разработка
индивидуальной программы
дефектологической реабилитации" и B05.069.006
"Разработка индивидуальной программы
логопедической реабилитации".
6. Оплата случаев лечения при оказании
услуг диализа
При оказании медицинской помощи
пациентам, получающим услуги диализа,
оплата в амбулаторных условиях
осуществляется за услугу диализа, в
условиях дневного стационара - за услугу
диализа и при необходимости в сочетании
с КСГ, учитывающей основное
(сопутствующее) заболевание, или со
случаем оказания высокотехнологичной
медицинской помощи, в условиях
круглосуточного стационара - за услугу
диализа только в сочетании с основной
КСГ, являющейся поводом для
госпитализации, или со случаем оказания
высокотехнологичной медицинской
помощи.
Тарифным соглашением установлены
базовые тарифы на оплату гемодиализа
(код услуги А18.05.002 "Гемодиализ") и
перитонеального диализа (код услуги
А18.30.001 "Перитонеальный диализ") с
применением коэффициентов
относительной затратоемкости,
приложение 3.4.
Учитывая, что единицей
планирования медицинской помощи в
условиях дневного стационара является
случай лечения, в целях учета
выполненных объемов медицинской помощи
в рамках реализации территориальной
программы обязательного медицинского
страхования за единицу объема в условиях
дневного стационара принимается один
месяц лечения. В стационарных условиях
необходимо к законченному случаю
относить лечение в течение всего периода
нахождения пациента в стационаре.
При этом в период лечения, как в
круглосуточном, так и в дневном
стационаре, пациент должен
обеспечиваться всеми необходимыми
лекарственными препаратами, в том числе
для профилактики осложнений.
Законченным случаем лечения в
дневном стационаре с проведением
перитонеального диализа считается
комплекс услуг, оказанных одному
пациенту в течение одного месяца.
Стоимость услуги перитонеального
диализа устанавливается за день обмена.
Стоимость услуги с учетом
количества фактически выполненных услуг
прибавляется в рамках одного случая
лечения по всем КСГ. Поправочные
коэффициенты: КУС, КСЛП, коэффициент
специфики распространяются только на
КСГ, установленные Программой, и
подгруппы в их составе. Применение
поправочных коэффициентов к стоимости
услуг диализа недопустимо.
7. Оплата случаев лечения по профилю
"Акушерство и гинекология"
В стационарных условиях в
стоимость КСГ по профилю "Акушерство и
гинекология", предусматривающих
родоразрешение, включены расходы на
пребывание новорожденного в медицинской
организации, где произошли роды.
Пребывание здорового новорожденного в
медицинской организации в период
восстановления здоровья матери после
родов не является основанием для
предоставления оплаты по КСГ по профилю
"Неонатология".
Учитывая возможность проведения
отдельных этапов процедуры
экстракорпорального оплодотворения, а
также возможность криоконсервации и
размораживания эмбрионов, в модели КСГ
дневного стационара предусмотрены КСГ
ds02.008 - ds02.011.
Хранение криоконсервированных
эмбрионов за счет средств обязательного
медицинского страхования не
осуществляется.
Оптимальная длительность случая
при проведении криопереноса составляет
один день, в связи с чем указанные случаи
могут быть оказаны как в условиях
дневного стационара, так и в
амбулаторных условиях (по решению
субъекта Российской Федерации).
8. Оплата случаев лечения по профилю
"Онкология"
При расчете стоимости случаев
лекарственной терапии онкологических
заболеваний учтены в том числе
нагрузочные дозы в соответствии с
инструкциями по применению
лекарственных препаратов для
медицинского применения (отдельно схемы
лекарственной терапии для нагрузочных
доз не выделяются).
Отнесение к КСГ, предусматривающим
хирургическое лечение, осуществляется
по коду МКБ-10 и коду медицинской услуги в
соответствии с Номенклатурой.
Формирование КСГ для случаев
лучевой терапии осуществляется на
основании кода МКБ-10, кода медицинской
услуги в соответствии с Номенклатурой и
для большинства групп - с учетом
количества дней проведения лучевой
терапии (фракций).
Учитывая, что проведение лучевой
терапии предусмотрено начиная с одной
фракции, оплата случаев лечения
осуществляется путем отнесения случая к
соответствующей КСГ исходя из
фактически проведенного количества дней
облучения (фракций).
Отнесение к КСГ для случаев
проведения лучевой терапии в сочетании с
лекарственной терапией осуществляется
по коду МКБ-10, коду медицинской услуги в
соответствии с Номенклатурой,
количеству дней проведения лучевой
терапии (фракций) и МНН лекарственных
препаратов.
КСГ для случаев лекарственной
терапии взрослых со злокачественными
новообразованиями (кроме лимфоидной и
кроветворной тканей) формируются на
основании кода МКБ-10 и схемы
лекарственной терапии.
КСГ для случаев лекарственной
терапии взрослых со злокачественными
новообразованиями лимфоидной и
кроветворной тканей формируются на
основании кода МКБ-10, длительности и
дополнительного классификационного
критерия, включающего группу
лекарственного препарата или МНН
лекарственного препарата.
Установление отдельных тарифов на
оплату медицинской помощи с
использованием пэгаспаргазы и иных
лекарственных препаратов, ранее
централизованно закупаемых по отдельным
решениям Правительства Российской
Федерации, рекомендуется осуществлять
путем выделения подгрупп в составе
соответствующих КСГ, предусмотренных
Программой.
При условии достаточности
стоимости КСГ, предусмотренных
Программой, для возмещения расходов
медицинских организаций, связанных с
оказанием медицинской помощи с
использованием пэгаспаргазы и иных
лекарственных препаратов, ранее
централизованно закупаемых по отдельным
решениям Правительства Российской
Федерации, Комиссией может быть принято
решение об использовании для оплаты
соответствующей медицинской помощи КСГ,
предусмотренных Программой,
определенных с учетом кода диагноза
пациента (по КСГ st08.002 и ds08.002
"Лекарственная терапия при остром
лейкозе, дети").
В целях повышения эффективности
использования средств обязательного
медицинского страхования на оказание
медицинской помощи пациентам с
онкологическими заболеваниями при
назначении схем противоопухолевой
лекарственной терапии с применением
лекарственных препаратов, указанных в
приложении 13, для лечения отдельных
нозологий, необходимо обязательное
проведение молекулярно-генетических
исследований (с получением определенных
результатов проведенных исследований до
назначения схемы противоопухолевой
лекарственной терапии).
В целях организации учета объема и
стоимости лекарственных препаратов,
введенных конкретному пациенту при
проведении противоопухолевой
лекарственной терапии Федеральным
фондом изменена структура реестра счета,
позволяющая учитывать фактические
затраты медицинской организации на
оказание указанной медицинской помощи, в
том числе с 2025 года в реестрах счетов
предусмотрено обязательное отражение
информации об объеме лекарственного
препарата, введенного пациенту, а также
стоимости единицы действующего вещества
лекарственного препарата (для
лекарственных препаратов, примененных в
схемах противоопухолевой лекарственной
терапии в рамках оказания
специализированной медицинской помощи с
кодировкой "sh...", за исключением sh9003).
Новая структура применяется
начиная с предоставления реестров
счетов на оплату медицинской помощи за
январь 2025 года. Реестры счетов без учета
указанной информации не могут
предоставляться в ГИС ОМС.
Обращаем внимание, что в 2025 году
оплата медицинской помощи с проведением
противоопухолевой лекарственной
терапии осуществляется по существующему
механизму.
При этом Программой
предусматривается, что с 2026 года оплата
лечения с проведением противоопухолевой
терапии за счет средств обязательного
медицинского страхования с
использованием лекарственных
препаратов по перечню, утвержденному
Минздравом России, будет осуществляться
с учетом количества фактически
использованного лекарственного
препарата.
9. Оплата медицинских услуг при
проведении процедуры ЭКО
Производится в соответствии с
порядком использования вспомогательных
репродуктивных технологий.
В рамках проведения процедуры ЭКО в
соответствии с порядком использования
вспомогательных репродуктивных
технологий выделяются следующие этапы:
1. Стимуляция суперовуляции.
2. Получение яйцеклетки.
3. Экстракорпоральное
оплодотворение и культивирование
эмбрионов.
4. Внутриматочное введение (перенос)
эмбрионов.
5. Дополнительно в процессе
проведения процедуры ЭКО возможно
осуществление криоконсервации
полученных на III этапе эмбрионов.
При этом хранение
криоконсервированных эмбрионов за счет
средств обязательного медицинского
страхования не осуществляется.
Отнесение к КСГ случаев проведения
ЭКО осуществляется на основании иных
классификационных критериев "ivf1" - "ivf7",
отражающих проведение различных этапов
цикла ЭКО (полная расшифровка кодов ДКК
представлена в справочнике "ДКК" в пункте
1.1.6 приложения 9 Методических
рекомендаций).
В случае если базовая программа ЭКО
была завершена по итогам I этапа
(стимуляция суперовуляции) ("ivf2"), I - II
этапов (получение яйцеклетки) ("ivf3"), I - III
этапов (экстракорпоральное
оплодотворение и культивирование
эмбрионов) без последующей
криоконсервации эмбрионов ("ivf4"), оплата
случая осуществляется по КСГ ds02.009
"Экстракорпоральное оплодотворение
(уровень 2)".
В случае проведения первых трех
этапов ЭКО с последующей
криоконсервацией эмбрионов без переноса
эмбрионов ("ivf5"), а также проведения в
рамках случая госпитализации всех
четырех этапов ЭКО без осуществления
криоконсервации эмбрионов ("ivf6"), оплата
случая осуществляется по КСГ ds02.010
"Экстракорпоральное оплодотворение
(уровень 3)".
В случае проведения в рамках одного
случая всех этапов ЭКО с последующей
криоконсервацией эмбрионов ("ivf7"), оплата
случая осуществляется по КСГ ds02.011
"Экстракорпоральное оплодотворение
(уровень 4)".
В случае, проведения цикла ЭКО с
применением ранее криоконсервированных
эмбрионов ("ivf1"), случай госпитализации
оплачивается по КСГ ds02.008
"Экстракорпоральное оплодотворение
(уровень 1)".
Средний норматив финансовых затрат
на единицу объема медицинской помощи для
оказания медицинской помощи при
экстракорпоральном оплодотворении
представляет собой усредненную
стоимость случая ЭКО с учетом проведения
у части пациентов неполных циклов и
проведения в отдельных случаях полного
цикла с криоконсервацией эмбрионов и не
эквивалентен стоимости КСГ ds02.010
"Экстракорпоральное оплодотворение
(уровень 3)".
10. Особенности формирования КСГ для
случаев лечения пациентов с новой
коронавирусной инфекцией (COVID-19) (st12.015 -
st12.019)
Формирование групп осуществляется
по коду МКБ-10 (U07.1 или U07.2) в сочетании с
кодами иного классификационного
критерия: "stt1" - "stt4", отражающих тяжесть
течения заболевания, или "stt5", отражающим
признак долечивания пациента с новой
коронавирусной инфекцией (COVID-19).
Перечень кодов "stt1" - "stt5" с расшифровкой
содержится на вкладке "ДКК" файла
"Расшифровка групп".
Тяжесть течения заболевания
определяется в соответствии с
классификацией новой коронавирусной
инфекции COVID-19 по степени тяжести,
представленной во Временных
методических рекомендациях
"Профилактика, диагностика и лечение
новой коронавирусной инфекции (COVID-19)",
утвержденных Министерством
здравоохранения Российской Федерации.
Каждому уровню тяжести состояния
соответствует отдельная КСГ st12.015 - st12.018
(уровни 1 - 4).
Коэффициенты относительной
затратоемкости по КСГ st12.016 - st12.018 (уровни
2 - 4), соответствующим случаям
среднетяжелого, тяжелого и крайне
тяжелого лечения, учитывают период
долечивания пациента.
Правила оплаты госпитализаций в
случае перевода на долечивание:
- в пределах одной медицинской
организации - оплата в рамках одного
случая оказания медицинской помощи (по
КСГ с наибольшей стоимостью
законченного случая лечения
заболевания);
- в другую медицинскую организацию -
оплата случая лечения до перевода
осуществляется за прерванный случай
оказания медицинской помощи по КСГ,
соответствующей тяжести течения
заболевания. Оплата законченного случая
лечения после перевода осуществляется
по КСГ st12.019 "Коронавирусная инфекция
COVID-19 (долечивание)". Оплата прерванных
случаев после перевода осуществляется в
общем порядке;
- в амбулаторных условиях - оплата
случая лечения до перевода
осуществляется за прерванный случай
оказания медицинской помощи по КСГ,
соответствующей тяжести течения
заболевания. Оплата медицинской помощи в
амбулаторных условиях осуществляется в
общем порядке, определенным тарифным
соглашением.
11. Оплата дополнительных исследований
при стационарном круглосуточном лечении
Застрахованные лица, находящиеся
на стационарном круглосуточном лечении
и требующие дополнительных
исследований, проведения диализа, при
необходимости могут транспортироваться
медицинской организацией в другие
медицинские организации. В этом случае
оказанные медицинские услуги не
предъявляются к оплате в страховые
медицинские организации. Оплата
осуществляется на договорной основе
между медицинскими организациями.
12. Особенности формирования КСГ st36.025,
st36.026 и ds36.012, ds36.013 "Проведение иммунизации
против респираторно-синцитиальной
вирусной инфекции"
Оплата случаев иммунизации против
респираторно-синцитиальной вирусной
(РСВ) инфекции дифференцирована на две
КСГ уровень 1 и уровень 2 в зависимости от
возраста ребенка. При этом МНН
лекарственного препарата и
конкретизация возраста ребенка
закодирована в ином классификационном
критерии:
- irs1 "паливизумаб (1 введение) в
рамках проведения иммунизации против
респираторно-синцитиальной вирусной
инфекции (дети до 2 месяцев,
включительно)";
- irs2 "паливизумаб (1 введение) в
рамках проведения иммунизации против
респираторно-синцитиальной вирусной
инфекции (дети старше 2 месяцев)".
Для отнесения к КСГ st36.025, st36.026 и
ds36.012, ds36.013 случай следует кодировать по
коду МКБ-10 основного диагноза Z25.8
"Необходимость иммунизации против
другой уточненной одной вирусной
болезни", коду возраста "4" (от 0 дней до 2
лет) и коду иного классификационного
критерия "irs1", соответствующего одному
введению паливизумаба в рамках
проведения иммунизации против РСВ
инфекции для детей до 2 месяцев
(включительно) или "irs2", соответствующего
одному введению паливизумаба в рамках
проведения иммунизации против РСВ
инфекции для детей старше 2 месяцев.
Указанная КСГ может применяться
как самостоятельно, в случае, когда
иммунизация против РСВ является
основным поводом к госпитализации, так и
в сочетании с КСГ или ВМП по профилям
"Неонатология", "Детская хирургия в
период новорожденности", "Офтальмология",
"Сердечно-сосудистая хирургия",
"Педиатрия", "Торакальная хирургия" для
случаев госпитализации по поводу
лечения нарушений, возникающих в
перинатальном периоде, являющихся в том
числе показанием к иммунизации.
Если иммунизация против
респираторно-синцитиальной вирусной
инфекции оплачивается в сочетании с
другой КСГ, то случай следует кодировать
с указанием диагноза Z25.8 "Необходимость
иммунизации против другой уточненной
одной вирусной болезни" в качестве
дополнительного диагноза, кодом
возраста "4" (от 0 дней до 2 лет) и коду иного
классификационного критерия "irs1" или
"irs2".
Детальное описание группировки
указанных КСГ для круглосуточного и
дневного стационара представлено в
таблице.
КСГ |
Основной диагноз (Код МКБ-10) |
Дополнительный диагноз (Код МКБ-10) |
Возраст |
Иной классификационный критерий |
Описание классификационного критерия |
st36.025 или ds36.012 "Проведение иммунизации против респираторно-синцитиальной вирусной инфекции (уровень 1)" |
Z25.8 |
|
4 |
irs1 |
Паливизумаб (1 введение) в рамках проведения иммунизации против респираторно-синцитиальной вирусной инфекции (дети до 2 месяцев, включительно) |
st36.025 или ds36.012 "Проведение иммунизации против респираторно-синцитиальной вирусной инфекции (уровень 1)" |
|
Z25.8 |
4 |
irs1 |
Паливизумаб (1 введение) в рамках проведения иммунизации против респираторно-синцитиальной вирусной инфекции (дети до 2 месяцев, включительно) |
st36.026 или ds36.013 "Проведение иммунизации против респираторно-синцитиальной вирусной инфекции (уровень 2)" |
Z25.8 |
|
4 |
irs2 |
Паливизумаб (1 введение) в рамках проведения иммунизации против респираторно-синцитиальной вирусной инфекции (дети старше 2 месяцев) |
st36.026 или ds36.013 "Проведение иммунизации против респираторно-синцитиальной вирусной инфекции (уровень 2)" |
|
Z25.8 |
4 |
irs2 |
Паливизумаб (1 введение) в рамках проведения иммунизации против респираторно-синцитиальной вирусной инфекции (дети старше 2 месяцев) |
13. Особенности формирования КСГ для
оплаты лекарственной терапии при
хронических вирусных гепатитах в
дневном стационаре
Оплата случаев лекарственной
терапии по поводу хронического
вирусного гепатита C (ХВГС) и
хронического вирусного гепатита B с
дельта агентом (далее - ХВГD)
осуществляется в соответствии со
схемами лекарственной терапии.
Для оплаты лекарственной терапии
ХВГС сформированы 13 схем лекарственной
терапии с установленной длительностью
одной госпитализации 28 дней, отнесенные
к одной из четырех КСГ для оплаты случаев
медицинской помощи при данном
заболевании.
Отнесение к той или иной КСГ
случаев лекарственной терапии ХВГС
осуществляется только по сочетанию кода
диагноза по МКБ-10 и иного
классификационного критерия "thc",
отражающего применение определенной
схемы лекарственной терапии в рамках
случая противовирусного лечения.
Для оплаты случаев лекарственной
терапии при ХВГD сформированы 2 схемы
лекарственной терапии с установленной
длительностью одной госпитализации 30
дней. Отнесение к КСГ случаев
лекарственной терапии ХВГД
осуществляется исключительно по
сочетанию кода диагноза по МКБ-10 и иного
классификационного критерия "thbd",
отражающего применение одной из схем
лекарственной терапии при оказании
медицинской помощи при данном
заболевании.
Детальное описание группировки
схем лекарственной терапии ХВГС и ХВГD в
КСГ представлено на листе "ХВГ, схемы ЛТ"
в составе Группировщика.
Также в рамках КСГ ds12.020
осуществляется оплата случаев
лекарственной терапии хронического
вирусного гепатита В без дельта агента
(далее - ХВГВ), при назначении
противовирусной терапии лекарственными
препаратами группы нуклеоз(т)идов
(A25.14.008.002 - назначение нуклеозидов и
нуклеотидов - ингибиторов обратной
транскриптазы при хроническом вирусном
гепатите B) с установленной
длительностью одной госпитализации 30
дней.
Коэффициент относительной
затратоемкости для всех указанных КСГ
приведен в расчете на усредненные
затраты исходя из установленной
длительности лекарственной терапии в
днях.
Длительность полного курса
лекарственной терапии хронических
вирусных гепатитов C, D и B, определяется
соответствующими клиническими
рекомендациями и инструкцией по
медицинскому применению тех или иных
лекарственных препаратов.
Критерии оказания медицинской
помощи больным с гепатитом С в условиях
дневного стационара и стационарных
условиях в соответствии с клиническими
рекомендациями, оплата которой
осуществляется за счет средств
обязательного медицинского страхования,
утверждены приказом Министерства
здравоохранения Российской Федерации от
27.02.2023 N 70н.
Принимая во внимание длительность
полного курса лечения, предполагается,
что подача счетов на оплату медицинской
помощи оказанной в рамках случая
лекарственной терапии возможна со
следующего дня после окончания
установленной длительности одного
случая госпитализации.
14. Порядок определения полноты
выполнения схемы лекарственной терапии
при лечении хронических вирусных
гепатитов C и B с дельта агентом (D)
Режим введения лекарственных
препаратов в описании схем
лекарственной терапии хронических
вирусных гепатитов C и B с дельта агентом
(D) (далее - ХВГ) включает в себя:
наименование лекарственных препаратов,
лекарственную форму, режим дозирования
количество дней введения, а также способ
введения (в случае указания в схеме).
Схема лекарственной терапии
считается выполненной полностью и
оплачивается в полном объеме (в том числе
при соблюдении количества дней введения
в тарифе, при отсутствии оснований
считать случай прерванным по иным
основаниям, предусмотренным пунктом 1
Порядка) в случае проведения лечения в
полном соответствии с одной из схем
лекарственной терапии, указанных в
"Группировщике".
15. КСГ st25.004 "Диагностическое
обследование сердечно-сосудистой
системы" (ds25.001 "Диагностическое
обследование сердечно-сосудистой
системы")
Данные КСГ предназначены для
оплаты краткосрочных (не более трех дней)
случаев госпитализации, целью которых
является затратоемкое диагностическое
обследование при болезнях системы
кровообращения.
Отнесение к данным КСГ
производится по комбинации критериев:
услуга, представляющая собой метод
диагностического обследования, и
терапевтический диагноз, в том числе
относящийся к диапазонам "I." и Q20 - Q28 по
МКБ-10 для болезней системы
кровообращения.
16. Особенности формирования КСГ st36.013 -
st36.015 для случаев проведения
антимикробной терапии инфекций,
вызванных полирезистентными
микроорганизмами
Отнесение к КСГ st36.013 - st36.015
"Проведение антимикробной терапии
инфекций, вызванных полирезистентными
микроорганизмами (уровни 1 - 3)"
осуществляется по коду иного
классификационного критерия из
диапазона "amt01" - "amt15", соответствующего
коду схемы лекарственной терапии в
соответствии со справочником "ДКК" файла
"Расшифровка групп".
Иные классификационные критерии
для данных КСГ включают МНН
дорогостоящего лекарственного
препарата, назначение которого является
критерием отнесения к группе, а также
обязательность наличия результатов
микробиологического исследования,
подтверждающего наличие инфекции,
вызванной полирезистентными
микроорганизмами. При этом не ограничена
возможность использования в составе
применяемой схемы других антимикробных
лекарственных препаратов: для
антибактериальных лекарственных
препаратов возможно сочетание с любыми
другими лекарственными препаратами,
предусмотренными для проведения
антимикробной терапии, в том числе
антимикотическими, и наоборот. Также
возможно использование как схем,
включающих только антибактериальные
лекарственные средства, так и терапии,
включающей только антимикотические
препараты.
Оплата случая лечения по указанным
КСГ во всех случаях осуществляется в
сочетании с КСГ, определенной по коду
основного заболевания. В случае
последовательного назначения
нескольких курсов антимикробной терапии
инфекций, вызванных полирезистентными
микроорганизмами, осуществляется оплата
по нескольким КСГ, однако не допускается
выставление случая по двум КСГ из
перечня st36.013 - st36.015 "Проведение
антимикробной терапии инфекций,
вызванных полирезистентными
микроорганизмами (уровень 1 - 3)" с
пересекающимися сроками лечения.
17. Оплата медицинской помощи при
досуточной госпитализация в
диагностических целях
КСГ st36.048 "Досуточная
госпитализация в диагностических целях"
предусматривает возможность оплаты за
счет средств обязательного медицинского
страхования нахождение пациента при
заболеваниях и состояниях в рамках
базовой программы обязательного
медицинского страхования в стационарном
отделении скорой медицинской помощи,
порядок организации деятельности
которой определен приказом Министерства
здравоохранения Российской Федерации от
20.06.2013 N 388н, продолжительностью не более 24
часов, в том числе для проведения
необходимых лабораторных и/или
диагностических исследований с
последующим принятием решения о
госпитализации либо выписке.
В случае последующей
госпитализации пациента в отделение той
же медицинской организации оплата
медицинской помощи по данной КСГ не
осуществляется.
Приложение 12
к Тарифному соглашению
на 2025 год
от 27.12.2024
ПОРЯДОК ОРГАНИЗАЦИОННОГО И ФИНАНСОВОГО
ВЗАИМОДЕЙСТВИЯ В СФЕРЕ ОБЯЗАТЕЛЬНОГО
МЕДИЦИНСКОГО СТРАХОВАНИЯ ПРИ ОПЛАТЕ
МЕДИЦИНСКОЙ ПОМОЩИ, ОКАЗАННОЙ В
АМБУЛАТОРНЫХ УСЛОВИЯХ, И СКОРОЙ
МЕДИЦИНСКОЙ ПОМОЩИ, ОКАЗАННОЙ ВНЕ
МЕДИЦИНСКОЙ ОРГАНИЗАЦИИ, ПО ПОДУШЕВОМУ
НОРМАТИВУ ФИНАНСИРОВАНИЯ НА
ПРИКРЕПИВШИХСЯ ЛИЦ
(в ред. Дополнительного соглашения к Тарифному соглашению в системе обязательного медицинского страхования Смоленской области от 03.03.2025 N 2)
1. Общие положения
Настоящий Порядок
организационного и финансового
взаимодействия в сфере обязательного
медицинского страхования при оплате
медицинской помощи, оказанной в
амбулаторных условиях, и оплате скорой
медицинской помощи, оказанной вне
медицинской организации (по месту вызова
бригады скорой, в том числе скорой
специализированной, медицинской помощи,
а также в транспортном средстве при
медицинской эвакуации), - по подушевому
нормативу финансирования (далее -
Порядок) разработан в соответствии с
Методическими рекомендациями по
способам оплаты медицинской помощи за
счет средств обязательного медицинского
страхования (далее - Методические
рекомендации) и приказом Министерства
здравоохранения Российской Федерации от
10.02.2023 N 44н "Об утверждении Требований к
структуре и содержанию тарифного
соглашения" (далее - Требования).
2. Расчет объема финансового обеспечения
первичной медико-санитарной медицинской
помощи в амбулаторных условиях
2.1. Расчет подушевого норматива
финансирования на прикрепившихся лиц
(далее - подушевой норматив) при оплате
медицинской помощи, оказываемой в
амбулаторных условиях в рамках базовой
Территориальной программы
обязательного медицинского страхования
Смоленской области (далее -
Территориальной программы),
осуществляется Территориальным фондом
обязательного медицинского страхования
(далее - ТФОМС).
ТФОМС определяет средний размер
финансового обеспечения медицинской
помощи, определенный на основе
нормативов объемов медицинской помощи и
финансовых затрат на единицу объема
медицинской помощи, установленных
территориальной программой
обязательного медицинского страхования
, значение базового (среднего)
подушевого норматива финансирования
(ПНбаз) на прикрепившихся лиц по
формулам, утвержденным в Методических
рекомендациях.
В базовый (средний) подушевой
норматив финансирования на
прикрепившихся лиц не включаются
расходы на финансовое обеспечение
медицинской помощи при социально
значимых заболеваниях (заболевания,
передаваемые половым путем, вызванные
вирусом иммунодефицита человека,
синдром приобретенного иммунодефицита,
туберкулез, психические расстройства и
расстройства поведения) в случае их
финансирования в рамках территориальной
программы обязательного медицинского
страхования за счет бюджетных
ассигнований бюджета субъекта.
Объем средств на оплату
медицинской помощи в амбулаторных
условиях по подушевому нормативу
финансирования, оказываемой
медицинскими организациями,
участвующими в реализации
территориальной программы
обязательного медицинского страхования
Смоленской области (ОСПНФ),
рассчитывается без учета средств на
финансовое обеспечение медицинской
помощи, оплачиваемой за единицу объема, и
средств на финансовое обеспечение
фельдшерских здравпунктов,
фельдшерско-акушерских пунктов,
определяется по формуле утвержденной в
Методических рекомендациях. Объем
средств, направляемый на финансовое
обеспечение медицинской помощи,
финансируемой в соответствии с
установленными Программой нормативами,
используемый при расчете параметра
"ОСПНФ", не включает в себя средства,
направляемые на оплату медицинской
помощи, оказываемой в амбулаторных
условиях застрахованным лицам за
пределами субъекта Российской
Федерации, на территории которого выдан
полис обязательного медицинского
страхования, и оплачиваемой за единицу
объема медицинской помощи.
Средства на финансовое обеспечение
медицинской помощи, оплата которой
согласно разделу IV Программы
осуществляется за единицу объема
медицинской помощи - за медицинскую
услугу, посещение, обращение
(законченный случай), а также средства на
финансовое обеспечение фельдшерских
здравпунктов, фельдшерско-акушерских
пунктов в обязательном порядке
исключаются при расчете объема средств
на оплату медицинской помощи по
подушевому нормативу финансирования.
2.2. Подушевые нормативы
финансирования для каждой медицинской
организации определяются
дифференцированно с учетом
предусмотренных пунктом 5.1 Требований
коэффициентов.
С учетом объективных, экономически
обоснованных критериев и расчетов,
выполненных в соответствии с Методикой
расчета тарифов, коэффициенты
дифференциации подушевого норматива
финансирования могут определяться
дифференцированно, в том числе в
зависимости от уровня (подуровня)
медицинской организации с установлением
коэффициентов по каждому подуровню. В
соответствии с Требованиями при расчете
дифференцированных подушевых
нормативов финансирования на
прикрепившихся лиц применяются
следующие коэффициенты дифференциации
подушевого норматива финансирования,
рассчитанные в соответствии с
Методическими рекомендациями:
1) коэффициенты дифференциации на
прикрепившихся к медицинской
организации лиц с учетом наличия
подразделений, расположенных в сельской
местности, отдаленных территориях,
поселках городского типа и малых городах
с численностью населения до 50 тысяч
человек, и расходов на их содержание и
оплату труда персонала (далее - КДот);
2) коэффициенты половозрастного
состава (далее - КДпв);
3) коэффициенты уровня расходов
медицинских организаций (далее - КДур);
4) коэффициенты достижения целевых
показателей уровня заработной платы
медицинских работников, установленных
"дорожными картами" развития
здравоохранения в субъекте Российской
Федерации (далее - КДзп);
5) коэффициенты дифференциации.
Дифференцированные подушевые
нормативы финансирования для
медицинских организаций, участвующих в
реализации территориальной программы
обязательного медицинского страхования
Смоленской области
, рассчитываются ТФОМС на основе
базового подушевого норматива
финансирования медицинской помощи,
оказываемой в амбулаторных условиях по
формуле, утвержденной в Методических
рекомендациях.
Комиссией по разработке
территориальной программы ОМС (далее -
Комиссия) вне зависимости от
применяемого способа оплаты
устанавливаются единые тарифы на оплату
медицинской помощи по каждой единице
объема, применяемые при
межучрежденческих (могут осуществляться
медицинскими организациями и страховыми
медицинскими организациями в
соответствии с заключенным тарифным
соглашением) и межтерриториальных
(осуществляются территориальным фондом
обязательного медицинского страхования)
расчетах, в соответствии с Требованиями.
При формировании реестров счетов и
счетов на оплату медицинской помощи,
оказываемой в амбулаторных условиях, вне
зависимости от применяемого способа
оплаты отражаются все единицы объема с
указанием размеров установленных
тарифов.
2.3. Расчет объема финансового
обеспечения фельдшерско-акушерских
пунктов
2.3.1 Размер финансового обеспечения
фельдшерско-акушерских пунктов при
условии их соответствия требованиям,
установленным приказом
Минздравсоцразвития России от 15.05.2012 N 543н
"Об утверждении Положения об организации
оказания первичной медико-санитарной
помощи взрослому населению" (далее -
Приказ N 543н), составляет в среднем на 2025
год:
фельдшерский,
фельдшерско-акушерский пункт,
обслуживающий от 101 до 900 жителей, - 1442,9
тыс. рублей;
фельдшерский,
фельдшерско-акушерский пункт,
обслуживающий от 901 до 1500 жителей, - 2885,8
тыс. рублей;
фельдшерский,
фельдшерско-акушерский пункт,
обслуживающий от 1501 до 2000 жителей, - 3430,6
тыс. рублей.
2.3.2. Базовые нормативы финансовых
затрат на финансовое обеспечение
структурных подразделений медицинской
организации устанавливаются в ТФОМС
путем применения коэффициентов
дифференциации, рассчитанных в
соответствии с Постановлением N 462, к
размерам финансового обеспечения
фельдшерско-акушерских пунктов.
2.3.3. При определении объема
финансового обеспечения
фельдшерско-акушерских пунктов,
обслуживающих население до 100 жителей,
применяется коэффициент специфики в
размере 0,15 от базового норматива
финансовых затрат на обеспечение ФАП -
1442,9 тыс. руб. При определении объема
финансового обеспечения
фельдшерско-акушерских пунктов,
обслуживающих население свыше 2000
жителей, применяется коэффициент
специфики в размере 1,05 от базового
норматива финансовых затрат на
обеспечение ФАП - 3430,6 тыс. руб.
2.3.4. При определении объема
финансового обеспечения
фельдшерско-акушерских пунктов при
отсутствии медицинского персонала и
прочих причин, применяется коэффициент
специфики в размере 0,15 к базовому
нормативу финансовых затрат на
обеспечение ФАП (1442,9 тыс. руб. - от 101 до 900
жителей, 2885,8 тыс. руб. - от 901 до 1500 жителей,
3430,6 тыс. руб. - от 1501 до 2000 жителей).
2.3.5 Коэффициенты специфики к
размеру финансового обеспечения ФАП.
Показатели |
Диапазон численности обслуживаемых на ФАП жителей | |||||
ФАП, обслуживающий от 101 до 900 жителей | ||||||
Штатная численность |
от 1,5 и выше |
менее 1,5 - 1,0 |
менее 1 | |||
Коэффициент |
1,00 |
0,6 |
0,43 | |||
ФАП, обслуживающий от 901 до 1500 жителей | ||||||
Штатная численность |
от 3,0 и выше |
менее 3,0 - 2,0 |
менее 2,0 - 1,0 |
менее 1,0 | ||
Коэффициент |
1,00 |
0,75 |
0,43 |
0,25 | ||
ФАП, обслуживающий от 1501 до 2000 | ||||||
Штатная численность |
от 3,5 и выше |
менее 3,5 - 2,5 |
менее 2,5 - 1,5 |
менее 1,5 | ||
Коэффициент |
1,00 |
0,75 |
0,43 |
0,25 | ||
ФАП, обслуживающий свыше 2000 | ||||||
Штатная численность |
от 3,5 и выше |
менее 3,5 - 2,5 |
менее 2,5 - 1,5 |
менее 1,5 | ||
Коэффициент |
1,00 |
0,80 |
0,65 |
0,25 | ||
2.3.6. В случае обслуживания
фельдшерскими, фельдшерско-акушерскими
пунктами женщин репродуктивного
возраста (в возрасте от 18 до 49 лет
включительно), но при отсутствии в
указанных пунктах акушерок, при
возложении отдельных полномочий по
работе с такими женщинами на фельдшера (в
части проведения
санитарно-гигиенического обучения
женщин по вопросам грудного
вскармливания, предупреждения
заболеваний репродуктивной системы,
абортов и инфекций, передаваемых половым
путем), финансовое обеспечение
устанавливается с учетом отдельного
повышающего коэффициента,
рассчитываемого с учетом доли женщин
репродуктивного возраста в численности
населения. Если доля женщин в
численности населения составляет до 30%,
устанавливается коэффициент в размере
1,025, если от 30% (включительно) и выше - 1,05.
Данный повышающий коэффициент (в
разрезе фельдшерских здравпунктов,
фельдшерско-акушерских пунктов)
учитывается в составе коэффициента
специфики оказания медицинской помощи,
применяемого к базовому нормативу
финансовых затрат на финансовое
обеспечение структурных подразделений
медицинской организации, учитывающего
критерий соответствия их требованиям,
установленным Приказом N 543н, и
устанавливается в тарифном соглашении
дифференцированно по структурным
подразделениям.
2.3.7. Размер средств, направляемых на
финансовое обеспечение фельдшерских,
фельдшерско-акушерских пунктов в i-той
медицинской организации, рассчитывается
следующим образом:
![]()
|
размер средств, направляемых на финансовое обеспечение фельдшерско-акушерских пунктов в i-той медицинской организации; |
|
число фельдшерских, фельдшерско-акушерских пунктов n-типа (в зависимости от численности обслуживаемого населения и соответствия требованиям, установленным положением об организации оказания первичной медико-санитарной помощи взрослому населению); |
|
базовый норматив финансовых затрат на финансовое обеспечение структурных подразделений медицинских организаций - фельдшерско-акушерских пунктов n-го типа; |
|
коэффициент специфики оказания медицинской помощи, применяемый к базовому нормативу финансовых затрат на финансовое обеспечение структурных подразделений медицинской организации, учитывающий критерий соответствия их требованиям, установленным Приказом N 543н (в том числе с учетом расчетного объема средств на оплату консультаций, связанных с проведением санитарно-гигиенического обучения женщин по вопросам грудного вскармливания, предупреждения заболеваний репродуктивной системы, абортов и инфекций, передаваемых половым путем). |
2.3.8. В случае если у
фельдшерско-акушерских пунктов в
течение года меняется численность
обслуживаемого населения, а также факт
соответствия требованиям,
установленными Приказом N 543н, годовой
коэффициент специфики, годовой размер
финансового обеспечения фельдшерских,
фельдшерско-акушерских пунктов
изменяется с учетом объема средств,
направленных на финансовое обеспечение
фельдшерских, фельдшерско-акушерских
пунктов за предыдущие периоды с начала
года, и рассчитывается следующим
образом:

|
фактический размер финансового обеспечения фельдшерского, фельдшерско-акушерского пункта; |
|
размер средств, направленный на финансовое обеспечение фельдшерского, фельдшерско-акушерского пункта с начала года; |
|
количество месяцев, оставшихся до конца календарного года. |
2.3.9 Расходы на оплату транспортных
услуг не входят в размеры финансового
обеспечения фельдшерских,
фельдшерско-акушерских пунктов.
2.4. Оплата профилактических медицинских
осмотров, в том числе в рамках
диспансеризации
Финансовое обеспечение
профилактических медицинских осмотров,
диспансеризации и диспансерного
наблюдения осуществляется вне
подушевого норматива финансирования за
единицу объема медицинской помощи
(комплексное посещение) в соответствии с
объемом медицинских исследований,
установленным приказами Министерства
здравоохранения Российской Федерации от
27 апреля 2021 г. N 404н "Об утверждении
порядка проведения профилактического
медицинского осмотра и диспансеризации
определенных групп взрослого населения"
(зарегистрировано в Минюсте России 30
июня 2021 г. N 64042), от 10 августа 2017 г. N 514н "О
Порядке проведения профилактических
медицинских осмотров
несовершеннолетних" (зарегистрировано в
Минюсте России 18 августа 2017 г. N 47855), от 15
февраля 2013 г. N 72н "О проведении
диспансеризации пребывающих в
стационарных учреждениях детей-сирот и
детей, находящихся в трудной жизненной
ситуации" (зарегистрировано в Минюсте
России 2 апреля 2013 г. N 27964), от 21 апреля 2022
г. N 275н "Об утверждении Порядка
диспансеризации детей-сирот и детей,
оставшихся без попечения родителей, в
том числе усыновленных (удочеренных),
принятых под опеку (попечительство), в
приемную или патронатную семью"
(зарегистрировано в Минюсте России 29
апреля 2022 г. N 68366), от 15 марта 2022 г. N 168н "Об
утверждении порядка проведения
диспансерного наблюдения за взрослыми"
(зарегистрировано в Минюсте России 21
апреля 2022 г. N 68288), от 4 июня 2020 г. N 548н "Об
утверждении порядка диспансерного
наблюдения за взрослыми с
онкологическими заболеваниями"
(зарегистрировано в Минюсте России 26
июня 2020 г. N 58786) и с учетом целевых
показателей охвата населения
профилактическими медицинскими
осмотрами федерального проекта
"Развитие системы оказания первичной
медико-санитарной помощи" национального
проекта "Здравоохранение").
Медицинская помощь, оказанная в
рамках второго этапа профилактических
медицинских осмотров
несовершеннолетних и всех видов
диспансеризации, оплачивается вне
подушевого норматива финансирования в
зависимости от фактически оказанных в
рамках второго этапа медицинских услуг и
посещений медицинского персонала.
Оплата случаев диспансерного
наблюдения осуществляется за
комплексное посещение, включающее
стоимость посещения врача, проводящего
диспансерное наблюдение, а также
усредненную стоимость лабораторных и
диагностических исследований,
предусмотренных порядком проведения
диспансерного наблюдения, утвержденным
уполномоченным федеральным органом
исполнительной власти в сфере охраны
здоровья.
2.5. Оплата медицинской помощи за единицу
объема медицинской помощи - за
медицинскую услугу, за посещение, за
обращение (законченный случай)
При оплате медицинской помощи за
единицу объема медицинской помощи в
определенных Территориальной
программой случаях размер финансового
обеспечения медицинской организации
складывается исходя из фактически
оказанных объемов медицинской помощи,
определяется по следующей формуле:
где:
ФОФАКТ - фактический размер
финансового обеспечения медицинской
организации, рублей;
ОМП - фактические объемы первичной
медико-санитарной помощи, оказанной в
амбулаторных условиях, посещений
(обращений);
Т - тариф за единицу объема
медицинской первичной медико-санитарной
помощи, оказанной в амбулаторных
условиях, рублей.
Тариф за единицу объема первичной
медико-санитарной помощи, оказанной в
амбулаторных условиях, является единым
для всех медицинских организаций
Смоленской области.
Финансовое обеспечение расходов
медицинских организаций, не имеющих
прикрепившихся лиц, а также видов
расходов, не включенных в подушевой
норматив, осуществляется за единицу
объема медицинской помощи.
Для медицинских организаций,
имеющих в структуре мобильные
медицинские бригады, устанавливаются
повышающие коэффициенты в размере 1,2 к
тарифам на посещения, обращения,
медицинские услуги при оказании
медицинской помощи мобильными
медицинскими бригадами или
устанавливаются отдельные тарифы на
медицинские услуги, оказанные
мобильными медицинскими бригадами.
2.6. Оплата медицинской реабилитации в
амбулаторных условиях
Оплата медицинской реабилитации в
амбулаторных условиях, включая
реабилитацию пациентов после
перенесенной новой коронавирусной
инфекции (COVID-19), осуществляется вне
подушевого норматива финансирования на
прикрепившихся лиц к медицинской
организации, исходя из установленных
Территориальной программой
государственных гарантий в соответствии
с Программой территориальных нормативов
объема и финансовых затрат на единицу
объема для медицинской реабилитации.
При этом комплексное посещение как
законченный случай медицинской
реабилитации в амбулаторных условиях
включает в среднем 10 - 12 посещений.
Рекомендуется осуществлять оплату
медицинской реабилитации в амбулаторных
условиях дифференцированно, в том числе
в зависимости от оценки состояния
пациента по ШРМ (1 - 3 балла) и заболевания
(профиля заболевания), по поводу которого
проводится медицинская реабилитация.
Например, медицинская реабилитация
пациентам:
- при заболеваниях центральной
нервной системы по баллам ШРМ;
- при кардиологических
заболеваниях по баллам ШРМ;
- при заболеваниях
опорно-двигательного аппарата по баллам
ШРМ;
- после перенесенной новой
коронавирусной инфекции (COVID-19)) по баллам
ШРМ;
- при других соматических
заболеваниях по баллам ШРМ.
Оплате за комплексное посещение
подлежит законченный случай медицинской
реабилитации в амбулаторных условиях.
Комплексное посещение включает набор
необходимых консультаций специалистов,
а также проведение методов реабилитации,
определенных программами реабилитации.
При этом, по решению лечащего врача
консультация отдельных специалистов в
рамках комплексного посещения может
осуществляться в том числе с
использованием телемедицинских
технологий (1 - 2 посещения).
2.7. Оплата медицинской помощи при ее
оказании пациентам с хроническими
неинфекционными заболеваниями, в том
числе с сахарным диабетом
Медицинская помощь при ее оказании
пациентам с хроническими
неинфекционными заболеваниями, в том
числе с сахарным диабетом, в части
ведения школ, в том числе сахарного
диабета, оплачивается вне подушевого
норматива финансирования первичной
медико-санитарной помощи в амбулаторных
условиях за единицу объема.
Медицинская помощь в рамках школ
сахарного диабета оплачивается за
комплексное посещение, включающее от 15
до 20 часов занятий в рамках школы
сахарного диабета, а также проверку
дневников самоконтроля.
2.8. Оплата медицинской помощи, оказанной
в центрах здоровья
Комплексное посещение с
профилактическими целями центров
здоровья осуществляется вне подушевого
норматива финансирования первичной
медико-санитарной помощи в амбулаторных
условиях за единицу объема.
Перечень услуг и время оказания
медицинской помощи центрами здоровья
представлены в Таблице.
Таблица
1. Индивидуальное углубленное профилактическое консультирование и разработка индивидуальной программы по ведению здорового образа жизни, рекомендация индивидуальной программы здорового питания
N п/п |
Мероприятие |
Время (мин.) |
1 |
Проведение врачом/фельдшером индивидуального углубленного профилактического консультирования |
25 |
2 |
Анкетирование пациента по теме ЗОЖ |
10 |
3 |
Анкетирование пациента по вопросам питания |
10 |
4 |
Проведение биоимпедансометрии |
3 |
5 |
Проведение антропометрии (рост, вес, окружность талии) |
2 |
6 |
Проведение динамометрии |
2 |
7 |
Проведение исследования при помощи смокелайзера |
3 |
8 |
Проведение спирометрии |
3 |
9 |
Проведение пульсоксиметрии/применение ангиоскана |
2 |
10 |
Разработка врачом/фельдшером программы по ЗОЖ, ее разъяснение |
10 |
11 |
Разработка врачом/фельдшером рекомендации по здоровому питанию, их разъяснение |
10 |
12 |
Установка мобильного приложения на смартфон пациента с помощью медицинской сестры и обучение пациента работе с приложением |
10 |
2. Индивидуальное углубленное профилактическое консультирование и разработка индивидуальной программы по ведению здорового образа жизни, рекомендация индивидуальной программы здорового питания с применением телемедицинских технологий
N п/п |
Мероприятие |
Время (мин.) |
1 |
Проведение врачом/фельдшером индивидуального углубленного профилактического консультирования |
30 |
2 |
Анкетирование пациента по теме ЗОЖ |
10 |
3 |
Анкетирование пациента по вопросам питания |
10 |
4 |
Разработка врачом/фельдшером программы по ЗОЖ, ее разъяснение |
10 |
5 |
Разработка врачом/фельдшером рекомендации по здоровому питанию, их разъяснение |
10 |
6 |
Установка мобильного приложения на смартфон пациента с помощью медицинской сестры и обучение пациента работе с приложением |
10 |
3. Групповое углубленное профилактическое консультирование в центре здоровья для взрослых, в том числе с применением телемедицинских технологий
N п/п |
Мероприятие |
Время (мин.) |
1 |
Проведение врачом/фельдшером группового углубленного профилактического консультирования |
30 |
2.9. Применение показателей
результативности деятельности
медицинской организации
При оплате медицинской помощи по
подушевому нормативу финансирования на
прикрепившихся лиц с учетом показателей
результативности деятельности
медицинской организации (включая
показатели объема медицинской помощи), в
том числе с включением расходов на
медицинскую помощь, оказываемую в иных
медицинских организациях и оплачиваемую
за единицу объема медицинской помощи в
составе средств, направляемых на
финансовое обеспечение медицинской
организации, имеющей прикрепившихся лиц,
по подушевому нормативу финансирования,
определяется доля средств от базового
подушевого норматива финансирования на
прикрепившихся лиц, направляемых на
выплаты медицинским организациям в
случае достижения ими значений
показателей результативности
деятельности с учетом балльной оценки.
При этом размер финансового
обеспечения медицинской помощи,
оказанной медицинской организацией,
имеющей прикрепившихся лиц, по
подушевому нормативу финансирования
определяется по следующей формуле:
где:
ОСПН |
финансовое обеспечение медицинской помощи, оказанной медицинской организацией, имеющей прикрепившихся лиц, по подушевому нормативу финансирования, рублей; |
ОСРД |
объем средств, направляемых медицинским организациям в случае достижения ими значений показателей результативности деятельности согласно балльной оценке (далее - объем средств с учетом показателей результативности), рублей. |
|
дифференцированный подушевой норматив финансирования амбулаторной медицинской помощи для i-той медицинской организации, рублей. |
Приложением к Требованиям
определен перечень показателей
результативности деятельности
медицинских организаций.
Методика расчета критериев
результативности деятельности
медицинских организаций при выполнении
Территориальной программы,
финансируемых по подушевому нормативу,
имеющих прикрепленное население, и
порядок расчета значений критериев
результативности деятельности
медицинских организаций описан в
приложении 12.1 к настоящему приложению.
3. Основные параметры оплаты скорой
медицинской помощи
3.1. Расчет подушевого
финансирования на прикрепившихся лиц
(далее - подушевой норматив) при оплате
скорой медицинской помощи, оказываемой
вне медицинской организации (по месту
вызова бригады скорой, в том числе скорой
специализированной, медицинской помощи,
а также в транспортном средстве при
медицинской эвакуации), в рамках
Территориальной программы
осуществляется по формулам,
утвержденным в Методических
рекомендациях:
- средний размер финансового
обеспечения медицинской помощи,
оказанной вне медицинской организации
;
- общий объем средств на оплату
скорой медицинской помощи по подушевому
нормативу финансирования скорой
медицинской помощи, оказываемой вне
медицинской организации, медицинскими
организациями, участвующими в
реализации Территориальной программы
ОССМП;
- базовый (средний) подушевой
норматив финансирования скорой
медицинской помощи, оказываемой вне
медицинской организации, рассчитывается
исходя из объема средств на оплату
скорой медицинской помощи, оказываемой
вне медицинской организации,
медицинскими организациями,
участвующими в реализации
Территориальной программы ПНБАЗ.
На основе базового (среднего)
подушевого норматива финансирования
скорой медицинской помощи, оказываемой
вне медицинской организации, с учетом
объективных критериев дифференциации
стоимости оказания медицинской помощи в
Смоленской области рассчитывается
дифференцированный подушевой норматив
финансирования скорой медицинской
помощи
для медицинских организаций по
формуле, утвержденной в Методических
рекомендациях.
В реестры счетов на оплату
медицинской помощи в обязательном
порядке включаются все единицы объема
оказанной скорой медицинской помощи по
установленным тарифам.
3.2 Определение размера финансового
обеспечения медицинской организации,
оказывающей скорую медицинскую помощь
вне медицинской организации
Размер финансового обеспечения
медицинской организации, оказывающей
скорую медицинскую помощь вне
медицинской организации, определяется
исходя из значения дифференцированного
подушевого норматива, численности
обслуживаемого населения, а также
объемов медицинской помощи, оплата
которых осуществляется за вызов по
следующей формуле:
где:
ФОСМП |
размер финансового обеспечения медицинской организации, оказывающей скорую медицинскую помощь вне медицинской организации, рублей; |
ЧзПР |
численность застрахованных лиц, обслуживаемых данной медицинской организацией, человек. |
Установленные в тарифном
соглашении тарифы на оплату отдельных
случаев оказания скорой медицинской
помощи вне медицинской организации за
единицу объема медицинской помощи - за
вызов скорой медицинской помощи
(используется при оплате медицинской
помощи, оказанной застрахованным лицам
за пределами субъекта Российской
Федерации, на территории которого выдан
полис обязательного медицинского
страхования, а также оказанной в
отдельных медицинских организациях, не
имеющих прикрепившихся лиц) (в
дополнение к подушевому нормативу
финансирования) являются едиными для
всех медицинских организаций,
оказывающих скорую медицинскую помощь,
участвующих в реализации
Территориальной программы.
Приложение 12.1
к Приложению N 12
на 2025 год
от 27.12.2024
ПОРЯДОК ОСУЩЕСТВЛЕНИЯ ВЫПЛАТ
МЕДИЦИНСКИМ ОРГАНИЗАЦИЯМ, ИМЕЮЩИМ
ПРИКРЕПИВШИХСЯ ЛИЦ, В СЛУЧАЕ ДОСТИЖЕНИЯ
ЦЕЛЕВЫХ ЗНАЧЕНИЙ ПОКАЗАТЕЛЕЙ
РЕЗУЛЬТАТИВНОСТИ ДЕЯТЕЛЬНОСТИ
(в ред. Дополнительного соглашения к Тарифному соглашению в системе обязательного медицинского страхования Смоленской области от 31.01.2025 N 1)
1. При оплате медицинской помощи по
подушевому нормативу финансирования на
прикрепившихся лиц с учетом показателей
результативности деятельности
медицинской организации (включая
показатели объема медицинской помощи), в
том числе с включением расходов на
медицинскую помощь, оказываемую в иных
медицинских организациях и оплачиваемую
за единицу объема медицинской помощи в
составе средств, направляемых на
финансовое обеспечение медицинской
организации, имеющей прикрепившихся лиц,
по подушевому нормативу финансирования,
определяется доля средств от базового
подушевого норматива финансирования на
прикрепившихся лиц, направляемых на
выплаты медицинским организациям в
случае достижения ими значений
показателей результативности
деятельности с учетом балльной оценки.
2. Размер средств, направляемых на
выплаты медицинским организациям в
случае достижения целевых значений
показателей результативности
деятельности, согласно балльной системе
составляет 0,5 процента от базового
подушевого норматива финансирования на
прикрепившихся лиц.
3. Мониторинг достижения значений
показателей результативности
деятельности по каждой медицинской
организации проводится не реже одного
раза в квартал.
4. Осуществление выплат по
результатам оценки достижения
медицинскими организациями,
оказывающими медицинскую помощь в
амбулаторных условиях, значений
показателей результативности
деятельности производится по итогам
года страховыми медицинскими
организациями.
При этом выплаты по итогам года
распределяются на основе сведений об
оказанной медицинской помощи за период
декабрь предыдущего года - ноябрь
текущего года (включительно) и
включаются в счет за декабрь.
5. Оценка достижения показателей
результативности деятельности
медицинских организаций оформляется
решением Комиссии по разработке
территориальной программы ОМС и
доводится до сведения медицинских
организаций не позднее 25 числа месяца,
следующего за отчетным периодом.
6. Оценка деятельности медицинских
организаций с определением достигнутых
значений по каждому показателю
производится на основании
представленных медицинскими
организациями реестров счетов за
оказанную медицинскую помощь, а также
источником информации являются данные
Министерства здравоохранения
Смоленской области, информационный
ресурс территориального фонда.
7. Перечень показателей
результативности деятельности
медицинских организаций определен
Приказом Министерства здравоохранения
Российской Федерации от 10 февраля 2023 г. N
44н:
7.1. Доля врачебных посещений с
профилактической целью за период от
общего числа посещений за период
(включая посещения на дому).
7.2. Доля взрослых с болезнями
системы кровообращения, выявленными
впервые при профилактических
медицинских осмотрах и диспансеризации
за период, от общего числа взрослых
пациентов с болезнями системы
кровообращения с впервые в жизни
установленным диагнозом за период.
7.3. Доля взрослых с установленным
диагнозом злокачественное
новообразование, выявленным впервые при
профилактических медицинских осмотрах и
диспансеризации за период, от общего
числа взрослых пациентов с впервые в
жизни установленным диагнозом
злокачественное новообразование за
период.
7.4. Доля взрослых с установленным
диагнозом хроническая обструктивная
болезнь легких, выявленным впервые при
профилактических медицинских осмотрах и
диспансеризации за период, от общего
числа взрослых пациентов с впервые в
жизни установленным диагнозом
хроническая обструктивная легочная
болезнь за период.
7.5. Доля взрослых с установленным
диагнозом сахарный диабет, выявленным
впервые при профилактических
медицинских осмотрах и диспансеризации
за период, от общего числа взрослых
пациентов с впервые в жизни
установленным диагнозом сахарный диабет
за период.
7.6. Выполнение плана вакцинации
взрослых граждан по эпидемиологическим
показаниям за период (коронавирусная
инфекция COVID-19).
7.7. Доля взрослых с болезнями
системы кровообращения, имеющих высокий
риск преждевременной смерти, состоящих
под диспансерным наблюдением, от общего
числа взрослых пациентов с болезнями
системы кровообращения, имеющих высокий
риск преждевременной смерти, за период.
7.8. Число взрослых с болезнями
системы кровообращения, имеющих высокий
риск преждевременной смерти, которым за
период оказана медицинская помощь в
неотложной форме и (или) скорая
медицинская помощь, от общего числа
взрослых пациентов с болезнями системы
кровообращения, имеющих высокий риск
преждевременной смерти, за период.
7.9. Доля взрослых с болезнями
системы кровообращения, в отношении
которых установлено диспансерное
наблюдение за период, от общего числа
взрослых пациентов с впервые в жизни
установленным диагнозом болезни системы
кровообращения за период.
7.10. Доля взрослых с установленным
диагнозом хроническая обструктивная
болезнь легких, в отношении которых
установлено диспансерное наблюдение за
период, от общего числа взрослых
пациентов с впервые в жизни
установленным диагнозом хроническая
обструктивная болезнь легких за период.
7.11. Доля взрослых с установленным
диагнозом сахарный диабет, в отношении
которых установлено диспансерное
наблюдение за период, от общего числа
взрослых пациентов с впервые в жизни
установленным диагнозом сахарный диабет
за период.
7.12. Доля взрослых,
госпитализированных за период по
экстренным показаниям в связи с
обострением (декомпенсацией) состояний,
по поводу которых пациент находится под
диспансерным наблюдением, от общего
числа взрослых пациентов, находящихся
под диспансерным наблюдением за период.
7.13. Доля взрослых, повторно
госпитализированных за период по
причине заболеваний сердечно-сосудистой
системы или их осложнений в течение года
с момента предыдущей госпитализации, от
общего числа взрослых пациентов,
госпитализированных за период по
причине заболеваний сердечно-сосудистой
системы или их осложнений.
7.14. Доля взрослых, находящихся под
диспансерным наблюдением по поводу
сахарного диабета, у которых впервые
зарегистрированы осложнения за период
(диабетическая ретинопатия,
диабетическая стопа), от общего числа
взрослых пациентов, находящихся под
диспансерным наблюдением по поводу
сахарного диабета за период.
7.15. Охват вакцинацией детей в
рамках Национального календаря
прививок.
7.16. Доля детей, в отношении которых
установлено диспансерное наблюдение по
поводу болезней костно-мышечной системы
и соединительной ткани за период, от
общего числа детей с впервые в жизни
установленными диагнозами болезней
костно-мышечной системы и
соединительной ткани за период.
7.17. Доля детей, в отношении которых
установлено диспансерное наблюдение по
поводу болезней глаза и его придаточного
аппарата за период, от общего числа детей
с впервые в жизни установленными
диагнозами болезней глаза и его
придаточного аппарата за период.
7.18. Доля детей, в отношении которых
установлено диспансерное наблюдение по
поводу болезней органов пищеварения за
период, от общего числа детей с впервые в
жизни установленными диагнозами
болезней органов пищеварения за период.
7.19. Доля детей, в отношении которых
установлено диспансерное наблюдение по
поводу болезней системы кровообращения
за период от общего числа детей с впервые
в жизни установленными диагнозами
болезней системы кровообращения за
период.
7.20. Доля детей, в отношении которых
установлено диспансерное наблюдение по
поводу болезней эндокринной системы,
расстройства питания и нарушения обмена
веществ за период, от общего числа детей
с впервые в жизни установленными
диагнозами болезней эндокринной
системы, расстройства питания и
нарушения обмена веществ за период.
7.21. Доля женщин, отказавшихся от
искусственного прерывания беременности,
от числа женщин, прошедших доабортное
консультирование за период.
7.22. Доля беременных женщин,
вакцинированных от коронавирусной
инфекции COVID-19, за период, от числа женщин,
состоящих на учете по беременности и
родам на начало периода.
7.23. Доля женщин с установленным
диагнозом злокачественное
новообразование шейки матки, выявленным
впервые при диспансеризации, от общего
числа женщин с установленным диагнозом
злокачественное новообразование шейки
матки за период.
7.24. Доля женщин с установленным
диагнозом злокачественное
новообразование молочной железы,
выявленным впервые при диспансеризации,
от общего числа женщин с установленным
диагнозом злокачественное
новообразование молочной железы за
период.
7.25. Доля беременных женщин,
прошедших скрининг в части оценки
антенатального развития плода за период,
от общего числа женщин, состоявших на
учете по поводу беременности и родов за
период.
8. Методика оценки показателей
результативности деятельности
медицинских организаций включает
разделение показателей на блоки,
отражающие результативность оказания
медицинской помощи - профилактические
мероприятия и диспансерное наблюдение
разным категориям населения (взрослому
населению, детскому населению,
акушерско-гинекологической помощи) в
амбулаторных условиях.
Для проведения оценки достижения
медицинскими организациями,
оказывающими медицинскую помощь в
амбулаторных условиях, значений
показателей результативности
деятельности медицинские организации
подразделяются на 3 группы: 1 группа
медицинских организаций - взрослое
население (применяются показатели 1
блока), 2 группа медицинских организаций -
детское население (применяются
показатели 2 блока), 3 группа медицинских
организаций - взрослое, детское
население, женское (применяются
показатели 1, 2, 3 блоков).
В случае, когда группа показателей
результативности одного из блоков
неприменима для конкретной медицинской
организации и (или) отчетного периода,
суммарный максимальный балл и итоговый
коэффициент для соответствующей
медицинской организации могут
рассчитываться без учета этой группы
показателей.
Каждый показатель, включенный в
блок, оценивается в баллах, которые
суммируются. Предусмотрена максимально
возможная сумма баллов по каждому блоку,
которая составляет:
- 19 баллов для показателей блока 1
(взрослое население);
- 7 баллов для показателей блока 2
(детское население);
- 6 баллов для показателей блока 3
(женское население).
В зависимости от результатов
деятельности медицинской организации по
каждому показателю определяется балл в
диапазоне от 0 до 3 баллов.
С учетом фактического выполнения
показателей, медицинские организации
распределяются на три группы: I -
выполнившие до 40 процентов показателей,
II - от 40 (включительно) до 60 процентов
показателей, III - от 60 (включительно)
процентов показателей.
Порядок расчета значений
показателей результативности
деятельности медицинских организаций
представлен в пункте 9.
Объем средств, направляемый в
медицинские организации по итогам
оценки достижения показателей
результативности деятельности
медицинских организаций, складывается
из двух частей:
1 часть - распределение 70 процентов
от объема средств с учетом показателей
результативности за соответствующей
период.
Указанные средства распределяются
среди медицинских организаций, II и III с
учетом численности прикрепленного
населения.
- объем средств, используемый при
распределении 70 процентов от объема
средств на стимулирование медицинских
организаций за j-ый период, в расчете на 1
прикрепленное лицо, рублей;
- совокупный объем средств на
стимулирование медицинских организаций
за j-ый период, рублей;
- численность прикрепленного
населения в j-м периоде ко всем
медицинским организациям II и III групп.
В качестве численности
прикрепленного населения к конкретной
медицинской организации рекомендуется
использовать среднюю численность за
период. Например, при осуществлении
выплат по итогам достижения показателей
результативности ежегодно среднюю
численность рекомендуется рассчитывать
по формуле:
Чмес среднегодовая численность
прикрепленного населения к i-той
медицинской организации в j-м году,
человек;
Чмес1 численность прикрепленного
населения к i-той медицинской
организации по состоянию на 1 число
первого месяца j-го года, человек;
Чмес2 численность прикрепленного
населения к i-той медицинской
организации по состоянию на 1 число
второго месяца года, следующего за j-тым,
человек;
Чмес11 численность прикрепленного
населения к i-той медицинской
организации по состоянию на 1 число
одиннадцатого месяца j-го года, человек;
Чмес12 численность прикрепленного
населения к i-той медицинской
организации по состоянию на 1 число
двенадцатого месяца j-го года, человек.
Объем средств, направляемый в i-ю
медицинскую организацию II и III групп за
j-тый период при распределении 70
процентов от объема средств с учетом
показателей результативности
, рассчитывается следующим
образом:
где:
- численность прикрепленного
населения в j-м периоде к i-той
медицинской организации II и III групп.
2 часть - распределение 30 процентов
от объема средств с учетом показателей
результативности за соответствующей
период.
Указанные средства распределяются
среди медицинских организаций III группы
с учетом абсолютного количества
набранных соответствующими
медицинскими организациями баллов.
- объем средств, используемый при
распределении 30 процентов от объема
средств на стимулирование медицинских
организаций за j-ый период, в расчете на 1
балл, рублей;
- совокупный объем средств на
стимулирование медицинских организаций
за j-ый период, рублей;
- количество баллов, набранных в j-м
периоде всеми медицинскими
организациями III группы.
Объем средств, направляемый в i-ю
медицинскую организацию III группы за
j-тый период, при распределении 30
процентов от объема средств на
стимулирование медицинских организаций
, рассчитывается следующим
образом:
где:
количество баллов, набранных в j-м
периоде i-той медицинской организацией III
группы.
Если по итогам года отсутствуют
медицинские организации, включенные в III
группу, средства, предназначенные для
осуществления стимулирующих выплат
медицинским организациям III группы,
распределяются между медицинскими
организациями II группы в соответствии с
установленной методикой (с учетом
численности прикрепленного населения).
Общий объем средств, направляемых
на оплату медицинской помощи с учетом
показателей результативности
деятельности в медицинскую организацию
III группы за j-тый период определяется
путем суммирования 1 и 2 частей, а для
медицинских организаций I группы за j-тый
период - равняется нулю.
Осуществление выплат
стимулирующего характера медицинской
организации, оказывающей медицинскую
помощь в амбулаторных условиях, по
результатам оценки ее деятельности,
производится в полном объеме при условии
снижения показателей смертности
прикрепленного к ней населения в
возрасте от 30 до 69 лет (за исключением
смертности от внешних причин) и (или)
смертности детей в возрасте от 0 - 17 лет
(за исключением смертности от внешних
причин), а также при условии фактического
выполнения не менее 90 процентов,
установленных решением Комиссии объемов
предоставления медицинской помощи с
профилактической и иными целями
(профилактические осмотры взрослых и
несовершеннолетних, диспансеризация
взрослых и детей-сирот), а также по поводу
заболеваний (посещений и обращений
соответственно).
При условии выполнения медицинской
организацией менее 90 процентов объема
медицинской помощи, применяются
понижающие коэффициенты к размеру
стимулирующих выплат в зависимости от
процента выполнения плана объемов по
амбулаторно-поликлинической
медицинской помощи, утвержденного
Комиссией по разработке территориальной
программы ОМС. При выполнении объемов
медицинской помощи от 80% (включительно)
до 90% (включительно) применяется
понижающий коэффициент в размере 0,9; при
выполнении объемов медицинской помощи
ниже 80% осуществление выплат
стимулирующего характера не
предусматривается. При условии
недостижения снижения показателей
смертности прикрепленного к медицинской
организации населения в возрасте от 30 до
69 лет и снижения показателя смертности
детей в возрасте от 0 - 17 лет применяется
понижающий коэффициент в размере 0,8 по
каждой возрастной категории.
Размер финансового обеспечения
медицинской помощи, оказанной
медицинской организацией, имеющей
прикрепившихся лиц, по подушевому
нормативу финансирования определяется
по следующей формуле:
где:
ОСПН |
финансовое обеспечение медицинской помощи, оказанной медицинской организацией, имеющей прикрепившихся лиц, по подушевому нормативу финансирования, рублей; |
ОСРД |
объем средств, направляемых медицинским организациям в случае достижения ими значений показателей результативности деятельности согласно балльной оценке (далее - объем средств с учетом показателей результативности), рублей; |
|
фактический дифференцированный подушевой норматив финансирования амбулаторной медицинской помощи для i-той медицинской организации, рублей. |
9. Для оценки результативности
деятельности медицинских организаций
предусмотрен следующий порядок расчета
показателей результативности
деятельности медицинских организаций:
N |
Наименование показателя |
Формула расчета <**> |
Единицы измерения |
Целевой показатель, количество баллов выполнения показателя, коэффициент, результат (индикаторы выполнения показателя) <***> |
Макс. сумма баллов <**> |
Периодичность оценки |
Источник информации |
Блок 1. Взрослое население (в возрасте 18 лет и старше) |
19 |
|
| ||||
Оценка эффективности профилактических мероприятий | |||||||
1. |
Доля врачебных посещений с профилактической целью за период, от общего числа посещений за период (включая посещения на дому) |
где: Dprof - доля врачебных посещений с профилактической целью за период, от общего числа посещений за период (включая посещения на дому), выраженное в процентах; Pprof - число врачебных посещений с профилактической целью за период; Pvs - посещений за период (включая посещения на дому); Оz - общее число обращений за отчетный период; k - коэффициент перевода обращений в посещения |
Процентов |
Прирост показателя за период по отношению к показателю за предыдущий период: - Прирост < 3% - 0 баллов; Прирост >= 3% - 0,5 балла; Прирост >= 7% - 1 балл; Значение показателя в текущем периоде выше среднего значения по субъекту РФ <****> в текущем периоде (далее - выше среднего) - 0,5 балла; В текущем периоде достигнуто максимально возможное значение показателя (далее - максимально возможное значение) - 1 балл |
1 |
Ежеквартально |
Реестры оказанной медицинской помощи застрахованным лицам, за исключением посещений стоматологического профиля. Отбор информации для расчета показателей осуществляется по полям реестра: - дата окончания лечения; - цель посещения |
2. |
Доля взрослых с болезнями системы кровообращения, выявленными впервые при профилактических медицинских осмотрах и диспансеризации за период, от общего числа взрослых пациентов с болезнями системы кровообращения с впервые в жизни установленным диагнозом за период |
где: Dбск - доля взрослых пациентов с болезнями системы кровообращения, выявленными впервые при профилактических медицинских осмотрах и диспансеризации за период, от общего числа взрослых пациентов с болезнями системы кровообращения с впервые в жизни установленным диагнозом за период; BSKдисп - число взрослых пациентов с болезнями системы кровообращения, выявленными впервые при профилактических медицинских осмотрах и диспансеризации за период; BSKвп - общее число взрослых пациентов с болезнями системы кровообращения с впервые в жизни установленным диагнозом за период |
Процентов |
Прирост показателя за период по отношению к показателю за предыдущий период: - Прирост < 5% - 0 баллов; Прирост >= 5% - 1 балл; Прирост >= 10% - 2 балла; Выше среднего - 1 балл; Максимально возможное значение - 2 балла |
2 |
Ежеквартально |
Реестры оказанной медицинской помощи застрахованным лицам. Отбор информации для расчета показателей осуществляется по полям реестра: - дата окончания лечения; - диагноз основной; - впервые выявлено (основной); - характер заболевания - цель посещения; - дата рождения |
3. |
Доля взрослых с установленным диагнозом злокачественное новообразование, выявленным впервые при профилактических медицинских осмотрах и диспансеризации за период, от общего числа взрослых пациентов с впервые в жизни установленным диагнозом злокачественное новообразование за период |
где: Dзно - доля взрослых пациентов с установленным диагнозом злокачественное новообразование, выявленным впервые при профилактических медицинских осмотрах и диспансеризации за период, от общего числа взрослых пациентов с впервые в жизни установленным диагнозом злокачественное новообразование за период; ZNOдисп - число взрослых пациентов с установленным диагнозом злокачественное новообразование, выявленным впервые при профилактических медицинских осмотрах и диспансеризации за период; ZNOвп - общее число взрослых пациентов с впервые в жизни установленным диагнозом злокачественное новообразование за период |
Процентов |
Прирост показателя за период по отношению к показателю за предыдущий период: - Прирост < 5% - 0 баллов; Прирост >= 5% - 0,5 балла; Прирост >= 10% - 1 балл; Выше среднего - 0,5 балла; Максимально возможное значение - 1 балл |
1 |
Ежеквартально |
Расчет показателя осуществляется путем отбора информации по полям реестра формата Д3 "Файл со сведениями об оказанной медицинской помощи при диспансеризации", предусматривает поле реестра "признак подозрения на злокачественное новообразование". Движение пациента отслеживается по формату реестра Д4 "Файл со сведениями при осуществлении персонифицированного учета оказанной медицинской помощи при подозрении на злокачественное новообразование или установленном диагнозе злокачественного новообразования": - диагноз основной; - характер основного заболевания |
4. |
Доля взрослых с установленным диагнозом хроническая обструктивная болезнь легких, выявленным впервые при профилактических медицинских осмотрах и диспансеризации за период, от общего числа взрослых пациентов с впервые в жизни установленным диагнозом хроническая обструктивная легочная болезнь за период |
где: Dхобл - доля взрослых пациентов с установленным диагнозом хроническая обструктивная болезнь легких, выявленным впервые при профилактических медицинских осмотрах и диспансеризации за период, от общего числа взрослых пациентов с впервые в жизни установленным диагнозом хроническая обструктивная легочная болезнь за период; Hдисп - число взрослых пациентов с установленным диагнозом хроническая обструктивная болезнь легких, выявленным впервые при профилактических медицинских осмотрах и диспансеризации за период; Hвп - общее число взрослых пациентов с впервые в жизни установленным диагнозом хроническая обструктивная легочная болезнь за период |
Процентов |
Прирост показателя за период по отношению к показателю за предыдущий период: - Прирост < 5% - 0 баллов; Прирост >= 5% - 0,5 балла; Прирост >= 10% - 1 балл. Выше среднего - 0,5 балла; Максимально возможное значение - 1 балл |
1 |
Ежеквартально |
Реестры оказанной медицинской помощи застрахованным лицам. Отбор информации для расчета показателей осуществляется по полям реестра: - дата окончания лечения; - диагноз основной; - впервые выявлено (основной); - характер заболевания; - цель посещения; - дата рождения |
5. |
Доля взрослых с установленным диагнозом сахарный диабет, выявленным впервые при профилактических медицинских осмотрах и диспансеризации за период, от общего числа взрослых пациентов с впервые в жизни установленным диагнозом сахарный диабет за период |
где: Dсд - доля взрослых пациентов с установленным диагнозом сахарный диабет, выявленным впервые при профилактических медицинских осмотрах и диспансеризации за период, от общего числа взрослых пациентов с впервые в жизни установленным диагнозом сахарный диабет за период; SDдисп - число взрослых пациентов с установленным диагнозом сахарный диабет, выявленным впервые при профилактических медицинских осмотрах и диспансеризации за период; SDвп - общее число взрослых пациентов с впервые в жизни установленным диагнозом сахарный диабет за период |
Процентов |
Прирост показателя за период по отношению к показателю за предыдущий период: - Прирост < 5% - 0 баллов; Прирост >= 5% - 0,5 балла; Прирост >= 10% - 1 балл Выше среднего - 0,5 балла; Максимально возможное значение - 1 балл |
1 |
Ежеквартально |
Реестры оказанной медицинской помощи застрахованным лицам. Отбор информации для расчета показателей осуществляется по полям реестра: - дата окончания лечения; - диагноз основной; - впервые выявлено (основной); - характер заболевания; - цель посещения; - дата рождения |
6. |
Выполнение плана вакцинации взрослых граждан по эпидемиологическим показаниям за период (коронавирусная инфекция COVID-19) |
где: Vvэпид - процент выполнения плана вакцинации взрослых граждан по эпидемиологическим показаниям за период (коронавирусная инфекция COVID-19); Fvэпид - фактическое число взрослых граждан, вакцинированных от коронавирусной инфекции COVID-19 в отчетном периоде; Pvэпид - число граждан, подлежащих вакцинации по эпидемиологическим показаниям за период (коронавирусная инфекция COVID-19) |
Процентов |
Достижение планового показателя: 95% - 100% плана или более - 2 балла. Выше среднего - 1 балл |
2 |
Ежеквартально |
Сведения органов государственной власти субъектов Российской Федерации в сфере охраны здоровья, соотносимые с данными федерального регистра вакцинированных |
Оценка эффективности диспансерного наблюдения | |||||||
7. |
Доля взрослых с болезнями системы кровообращения <*>, имеющих высокий риск преждевременной смерти, состоящих под диспансерным наблюдением, от общего числа взрослых пациентов с болезнями системы кровообращения <*>, имеющих высокий риск преждевременной смерти, за период |
где: DNриск - доля взрослых пациентов с болезнями системы кровообращения <*>, имеющих высокий риск преждевременной смерти, состоящих под диспансерным наблюдением, от общего числа взрослых пациентов с болезнями системы кровообращения <*>, имеющих высокий риск преждевременной смерти, за период; Rдн - число взрослых пациентов с болезнями системы кровообращения <*> имеющих высокий риск преждевременной смерти, состоящих под диспансерным наблюдением; Rвп - общее числа взрослых пациентов с болезнями системы кровообращения <*>, имеющих высокий риск преждевременной смерти, обратившихся за медицинской помощью, за период |
На 100 пациентов |
Прирост показателя за период по отношению к показателю за предыдущий период: - Прирост < 3% - 0 баллов; Прирост >= 3% - 1 балл; Прирост >= 7% - 2 балла Выше среднего - 01 балл; Максимально возможное значение - 2 балла |
2 |
Ежеквартально |
Расчет показателя осуществляется путем отбора информации по полям реестра в формате Д1 "Файл со сведениями об оказанной медицинской помощи, кроме ВМП, диспансеризации, профилактических медицинских осмотров, медицинской помощи при подозрении на ЗНО": - дата окончания лечения; - результат обращения; - диагноз основной; - диагноз сопутствующего заболевания; - диагноз осложнения заболевания; - диспансерное наблюдение |
8. |
Число взрослых с болезнями системы кровообращения <*>, имеющих высокий риск преждевременной смерти, которым за период оказана медицинская помощь в экстренной и неотложной от общего числа взрослых пациентов с болезнями системы кровообращения <*>, имеющих высокий риск преждевременной смерти, за период |
где: Sриск - число взрослых пациентов с болезнями системы кровообращения <*>, имеющих высокий риск преждевременной смерти, которым за период оказана медицинская помощь в неотложной форме и (или) скорая медицинская помощь от общего числа взрослых пациентов с болезнями системы кровообращения <*>, имеющих высокий риск преждевременной смерти, за период; Vриск - число взрослых пациентов с болезнями системы кровообращения <*>, имеющих высокий риск преждевременной смерти, которым за период оказана медицинская помощь в неотложной форме и (или) скорая медицинская помощь по поводу болезней системы кровообращения <*>, приводящих к высокому риску преждевременной смертности; Dриск - общее число взрослых пациентов с болезнями системы кровообращения <*>, имеющих высокий риск преждевременной смерти, за период |
На 100 пациентов |
Уменьшение показателя за период по отношению к показателю в предыдущем периоде: - Уменьшение < 5% - 0 баллов; Уменьшение >= 5% - 0,5 балла; Уменьшение >= 10% - 1 балл Значение показателя в текущем периоде ниже среднего значения по субъекту РФ <****> в текущем периоде (далее - ниже среднего) - 0,5 балла; В текущем периоде достигнуто минимально возможное значение показателя (далее - минимально возможное значение) - 1 балл |
1 |
Ежеквартально |
Расчет показателя осуществляется путем отбора информации по полям реестра в формате Д1 "Файл со сведениями об оказанной медицинской помощи, кроме ВМП, диспансеризации, профилактических медицинских осмотров, медицинской помощи при подозрении на ЗНО": - дата окончания лечения; - результат обращения; - диагноз основной; - диагноз сопутствующего заболевания; - диагноз осложнения заболевания; - диспансерное наблюдение; - условия оказания медицинской помощи; - форма оказания медицинской помощи |
9. |
Доля взрослых с болезнями системы кровообращения, в отношении которых установлено диспансерное наблюдение за период, от общего числа взрослых пациентов с впервые в жизни установленным диагнозом болезни системы кровообращения за период |
где: DNбск - доля взрослых пациентов с болезнями системы кровообращения, в отношении которых установлено диспансерное наблюдение за период, от общего числа взрослых пациентов с впервые в жизни установленным диагнозом болезни системы кровообращения за период; BSKдн - число взрослых пациентов с болезнями системы кровообращения, в отношении которых установлено диспансерное наблюдение за период; BSKвп - общее число взрослых пациентов с впервые в жизни установленным диагнозом болезни системы кровообращения за период |
Процентов |
Достижение планового показателя: 100% 100% плана или более - 1 балл; Выше среднего - 0,5 балла |
1 |
Ежеквартально |
Реестры, оказанной медицинской помощи застрахованным лицам. Отбор информации для расчета показателей осуществляется по полям реестра: - дата постановки на диспансерный учет; - диагноз основной; - возраст пациента; - характер заболевания; - впервые выявлено (основной); - дата рождения. Источником информации является информационный ресурс территориального фонда в части сведений о лицах, состоящих под диспансерном наблюдением (гл. 15 Приказа 108н МЗ РФ) |
10. |
Доля взрослых с установленным диагнозом хроническая обструктивная болезнь легких, в отношении которых установлено диспансерное наблюдение за период, от общего числа взрослых пациентов с впервые в жизни установленным диагнозом хроническая обструктивная болезнь легких за период |
где: DNхобл - доля взрослых пациентов с установленным диагнозом хроническая обструктивная болезнь легких, в отношении которых установлено диспансерное наблюдение за период, от общего числа взрослых пациентов с впервые в жизни установленным диагнозом хроническая обструктивная болезнь легких за период; Hдн - число взрослых пациентов с установленным диагнозом хроническая обструктивная болезнь легких, в отношении которых установлено диспансерное наблюдение за период; Hвп - общее число взрослых пациентов с впервые в жизни установленным диагнозом хроническая обструктивная болезнь легких за период |
Процентов |
Достижение планового показателя: 100% - 100% плана или более - 1 балл; Выше среднего - 0,5 балла |
1 |
Ежеквартально |
Реестры оказанной медицинской помощи застрахованным лицам. Отбор информации для расчета показателей осуществляется по полям реестра: - дата постановки на диспансерный учет; - диагноз основной; - возраст пациента; - характер заболевания; - впервые выявлено (основной); - дата рождения. Информационный ресурс территориального фонда в части сведений о лицах, состоящих под диспансерном наблюдением (гл. 15 Приказа 108н МЗ РФ) |
11. |
Доля взрослых с установленным диагнозом сахарный диабет, в отношении которых установлено диспансерное наблюдение за период, от общего числа взрослых пациентов с впервые в жизни установленным диагнозом сахарный диабет за период |
где: DNсд - доля взрослых пациентов с установленным диагнозом сахарный диабет, в отношении которых установлено диспансерное наблюдение за период, от общего числа взрослых пациентов с впервые в жизни установленным диагнозом сахарный диабет за период; SDдн - число взрослых пациентов с установленным диагнозом сахарный диабет, в отношении которых установлено диспансерное наблюдение за период; SDвп - общее число взрослых пациентов с впервые в жизни установленным диагнозом сахарный диабет за период |
Процентов |
Достижение планового показателя: 100% - 100% плана или более - 2 балла; Выше среднего - 1 балл |
2 |
Ежеквартально |
Реестры оказанной медицинской помощи застрахованным лицам. Отбор информации для расчета показателей осуществляется по полям реестра: - дата постановки на диспансерный учет; - диагноз основной; - возраст пациента; - характер заболевания; - впервые выявлено (основной); - дата рождения. Информационный ресурс территориального фонда в части сведений о лицах, состоящих под диспансерном наблюдением (гл. 15 Приказа 108н МЗ РФ) |
12. |
Доля взрослых, госпитализированных за период по экстренным показаниям в связи с обострением (декомпенсацией) состояний, по поводу которых пациент находится под диспансерным наблюдением, от общего числа взрослых пациентов, находящихся под диспансерным наблюдением за период |
где: Hвсего - доля взрослых пациентов, госпитализированных за период по экстренным показаниям в связи с обострением (декомпенсацией) состояний, по поводу которых пациент находится под диспансерным наблюдением, от общего числа взрослых пациентов, находящихся под диспансерным наблюдением за период; Oвсего - число взрослых пациентов, госпитализированных за период по экстренным показаниям в связи с обострением (декомпенсацией) состояний, по поводу которых пациент находится под диспансерным наблюдением; Dnвсего - общее число взрослых пациентов, находящихся под диспансерным наблюдением за период |
Процентов |
Уменьшение показателя за период по отношению к показателю в предыдущем периоде: - Уменьшение < 5% - 0 баллов; Уменьшение >= 5% - 0,5 балла; Уменьшение >= 10% - 1 балл; Ниже среднего - 0,5 балла; Минимально возможное значение - 1 балл |
1 |
Ежеквартально |
Информационный ресурс территориального фонда в части сведений о лицах, состоящих под диспансерном наблюдением (гл. 15 Приказа 108н МЗ РФ). Реестры (стационар) оказанной медицинской помощи застрахованным лицам. Отбор информации для расчета показателей осуществляется по полям реестра: - дата окончания лечения; - диагноз основной; - диагноз сопутствующий; - диагноз осложнений; - характер заболевания; - форма оказания медицинской помощи |
13. |
Доля взрослых, повторно госпитализированных за период по причине заболеваний сердечно-сосудистой системы или их осложнений в течение года с момента предыдущей госпитализации, от общего числа взрослых, госпитализированных за период по причине заболеваний сердечно-сосудистой системы или их осложнений |
где: Pбск - доля взрослых пациентов, повторно госпитализированных за период по причине заболеваний сердечно-сосудистой системы или их осложнений в течение года с момента предыдущей госпитализации, от общего числа взрослых пациентов, госпитализированных за период по причине заболеваний сердечно-сосудистой системы или их осложнений; PHбск - число взрослых пациентов, повторно госпитализированных за период по причине заболеваний сердечно-сосудистой системы или их осложнений в течение года с момента предыдущей госпитализации; Hбск - общее число взрослых пациентов, госпитализированных за период по причине заболеваний сердечно-сосудистой системы или их осложнений |
Процентов |
Уменьшение показателя за период по отношению к показателю в предыдущем периоде: - Уменьшение < 3% - 0 баллов; Уменьшение >= 3% - 1 балл; Уменьшение >= 7% - 2 балла; Ниже среднего - 1 балл; Минимально возможное значение - 2 балла |
2 |
Ежеквартально |
Реестры (стационар), оказанной медицинской помощи застрахованным лицам. Отбор информации для расчета показателей осуществляется по полям реестра: - дата начала лечения; - диагноз основной; - диагноз сопутствующий; - диагноз осложнений; - характер заболевания; - форма оказания медицинской помощи |
14. |
Доля взрослых, находящихся под диспансерным наблюдением по поводу сахарного диабета, у которых впервые зарегистрированы осложнения за период (диабетическая ретинопатия, диабетическая стопа), от общего числа, находящихся под диспансерным наблюдением по поводу сахарного диабета за период |
где: SD - доля взрослых пациентов, находящихся под диспансерным наблюдением по поводу сахарного диабета, у которых впервые зарегистрированы осложнения за период (диабетическая ретинопатия, диабетическая стопа), от общего числа взрослых пациентов, находящихся под диспансерным наблюдением по поводу сахарного диабета за период; Osl - число взрослых пациентов, находящихся под диспансерным наблюдением по поводу сахарного диабета, у которых впервые зарегистрированы осложнения за период (диабетическая ретинопатия, диабетическая стопа); SD - общее число взрослых пациентов, находящихся под диспансерным наблюдением по поводу сахарного диабета за период |
Процентов |
Уменьшение показателя за период по отношению к показателю в предыдущем периоде: - Уменьшение < 5% - 0 баллов; Уменьшение >= 5% - 0,5 балла; Уменьшение >= 10% - 1 балл; Ниже среднего - 0,5 балла; Минимально возможное значение - 1 балл |
1 |
Ежеквартально |
Информационный ресурс территориального фонда в части сведений о лицах, состоящих под диспансерном наблюдением (гл. 15 Приказа 108н МЗ РФ). Реестры оказанной медицинской помощи застрахованным лицам. Отбор информации для расчета показателей осуществляется по полям реестра: - дата окончания лечения; - диагноз основной; - диагноз сопутствующий; - впервые выявлено (основной); - характер заболевания; - цель посещения |
Блок 2. Детское население (от 0 до 17 лет включительно) |
7 |
| |||||
Оценка эффективности профилактических мероприятий и диспансерного наблюдения | |||||||
15. |
Охват вакцинацией детей в рамках Национального календаря прививок |
где: Vdнац - процент охвата вакцинации детей в рамках Национального календаря прививок в отчетном периоде; Fdнац - фактическое число вакцинированных детей в рамках Национального календаря прививок в отчетном периоде; Pdнац - число детей соответствующего возраста (в соответствие Национального календарю) на начало отчетного периода |
Процентов |
Достижение планового показателя: 95% - 100% плана или более - 1 балл; Выше среднего - 0,5 балла |
1 |
Ежеквартально |
Данные органов государственной власти субъектов Российской Федерации в сфере охраны здоровья, предоставляемые на бумажных носителях |
16. |
Доля детей, в отношении которых установлено диспансерное наблюдение по поводу болезней костно-мышечной системы и соединительной ткани за период, от общего числа детей с впервые в жизни установленными диагнозами болезней костно-мышечной системы и соединительной ткани за период |
где: Ddkms - доля детей, в отношении которых установлено диспансерное наблюдение по поводу болезней костно-мышечной системы и соединительной ткани за период, от общего числа детей с впервые в жизни установленными диагнозами болезней костно-мышечной системы и соединительной ткани за период; Cdkms - число детей, в отношении которых установлено диспансерное наблюдение по поводу болезней костно-мышечной системы и соединительной ткани за период; Cpkms - общее число детей с впервые в жизни установленными диагнозами болезней костно-мышечной системы и соединительной ткани за период |
Процентов |
Достижение планового показателя: 90% - 100% от числа подлежащих диспансерному наблюдению - 1 балл; Выше среднего - 0,5 балла |
1 |
Ежеквартально |
Реестры оказанной медицинской помощи застрахованным лицам. Отбор информации для расчета показателей осуществляется по полям реестра: - дата рождения; - дата окончания лечения; - диагноз основной; - впервые выявлено (основной); - характер заболевания; - цель посещения |
17. |
Доля детей, в отношении которых установлено диспансерное наблюдение по поводу болезней глаза и его придаточного аппарата за период, от общего числа детей с впервые в жизни установленными диагнозами болезней глаза и его придаточного аппарата за период |
где: Ddgl - доля детей, в отношении которых установлено диспансерное наблюдение по поводу болезней глаза и его придаточного аппарата за период, от общего числа детей с впервые в жизни установленными диагнозами болезней глаза и его придаточного аппарата за период; Cdgl - число детей, в отношении которых установлено диспансерное наблюдение по поводу болезней глаза и его придаточного аппарата за период; Cpgl - общее число детей с впервые в жизни установленными диагнозами болезней глаза и его придаточного аппарата за период |
Процентов |
Достижение планового показателя: 80% - 100% от числа подлежащих диспансерному наблюдению - 1 балл; Выше среднего - 0,5 балла |
1 |
Ежеквартально |
Реестры оказанной медицинской помощи застрахованным лицам. Отбор информации для расчета показателей осуществляется по полям реестра: - дата рождения; - дата окончания лечения; - диагноз основной; - впервые выявлено (основной); - характер заболевания; - цель посещения |
18. |
Доля детей, в отношении которых установлено диспансерное наблюдение по поводу болезней органов пищеварения за период, от общего числа детей с впервые в жизни установленными диагнозами болезней органов пищеварения за период |
где: Dbop - доля детей, в отношении которых установлено диспансерное наблюдение по поводу болезней органов пищеварения за период, от общего числа детей с впервые в жизни установленными диагнозами болезней органов пищеварения за период; Cdbop - число детей, в отношении которых установлено диспансерное наблюдение по поводу болезней органов пищеварения за период; Cpbop - общее число детей с впервые в жизни установленными диагнозами болезней органов пищеварения за период |
Процентов |
Достижение планового показателя: 90% - 100% от числа подлежащих диспансерному наблюдению - 1 балл; Выше среднего - 0,5 балла |
1 |
Ежеквартально |
Реестры оказанной медицинской помощи застрахованным лицам. Отбор информации для расчета показателей осуществляется по полям реестра: - дата рождения; - дата окончания лечения; - диагноз основной; - впервые выявлено (основной); - характер заболевания; - цель посещения |
19. |
Доля детей, в отношении которых установлено диспансерное наблюдение по поводу болезней системы кровообращения за период от общего числа детей с впервые в жизни установленными диагнозами болезней системы кровообращения за период |
где: Ddbsk - доля детей, в отношении которых установлено диспансерное наблюдение по поводу болезней системы кровообращения за период от общего числа детей с впервые в жизни установленными диагнозами болезней системы кровообращения за период; Cdbsk - число детей, в отношении которых установлено диспансерное наблюдение по поводу болезней системы кровообращения за период Cpbsk - общее число детей с впервые в жизни установленными диагнозами болезней системы кровообращения за период |
Процентов |
Достижение планового показателя: 90% - 100% от числа подлежащих диспансерному наблюдению - 2 балла; Выше среднего - 1 балл |
2 |
Ежеквартально |
Реестры оказанной медицинской помощи застрахованным лицам. Отбор информации для расчета показателей осуществляется по полям реестра: - дата рождения; - дата окончания лечения; - диагноз основной; - впервые выявлено (основной); - характер заболевания; - цель посещения |
20. |
Доля детей, в отношении которых установлено диспансерное наблюдение по поводу болезней эндокринной системы, расстройства питания и нарушения обмена веществ за период, от общего числа детей с впервые в жизни установленными диагнозами болезней эндокринной системы, расстройства питания и нарушения обмена веществ за период |
где: Ddbes - доля детей, в отношении которых установлено диспансерное наблюдение по поводу болезней эндокринной системы, расстройства питания и нарушения обмена веществ за период, от общего числа детей с впервые в жизни установленными диагнозами болезней эндокринной системы, расстройства питания и нарушения обмена веществ за период; Cdbes - число детей, в отношении которых установлено диспансерное наблюдение по поводу болезней эндокринной системы, расстройства питания и нарушения обмена веществ за период; Cpbes - общее число детей с впервые в жизни установленными диагнозами болезней эндокринной системы, расстройства питания и нарушения обмена веществ за период |
Процентов |
Достижение планового показателя: 85% - 100% от числа подлежащих диспансерному наблюдению - 1 балл; Выше среднего - 0,5 балла |
1 |
Ежеквартально |
Реестры оказанной медицинской помощи застрахованным лицам. Отбор информации для расчета показателей осуществляется по полям реестра: - дата рождения; - дата окончания лечения; - диагноз основной; - впервые выявлено (основной); - характер заболевания; - цель посещения |
Блок 3. Оказание акушерско-гинекологической помощи |
6 |
| |||||
Оценка эффективности профилактических мероприятий | |||||||
21. |
Доля женщин, отказавшихся от искусственного прерывания беременности, от числа женщин, прошедших доабортное консультирование за период |
где: W - доля женщин, отказавшихся от искусственного прерывания беременности, от числа женщин, прошедших доабортное консультирование за период; Kотк - число женщин, отказавшихся от искусственного прерывания беременности; K - общее число женщин, прошедших доабортное консультирование за период |
Процентов |
Прирост показателя за период по отношению к показателю за предыдущий период: - Прирост < 5% - 0 баллов; Прирост >= 5% - 0,5 балла; Прирост >= 10% - 1 балл; Выше среднего - 0,5 балла; Максимально возможное значение - 1 балл |
1 |
Ежеквартально |
Данные органов государственной власти субъектов Российской Федерации в сфере охраны здоровья, предоставляемые на бумажных носителях |
22. |
Доля беременных женщин, вакцинированных от коронавирусной инфекции (COVID-19), за период, от числа женщин, состоящих на учете по беременности и родам на начало периода |
где: Vbcovid - доля беременных женщин, вакцинированных от коронавирусной инфекции COVID-19, за период, от числа женщин, состоящих на учете по беременности и родам на начало периода; Fbcovid - фактическое число беременных женщин, вакцинированных от коронавирусной инфекции COVID-19, за период; Pbcovid - число женщин, состоящих на учете по беременности и родам на начало периода |
Процентов |
Достижение планового показателя: 95% - 100% плана или более - 1 балл; Выше среднего - 0,5 балла |
1 |
Ежеквартально |
Данные органов государственной власти субъектов Российской Федерации в сфере охраны здоровья, предоставляемые на бумажных носителях (Pbcovid), и данные федерального регистра вакцинированных (Fbcovid) |
23. |
Доля женщин с установленным диагнозом злокачественное новообразование шейки матки, выявленным впервые при диспансеризации, от общего числа женщин с установленным диагнозом злокачественное новообразование шейки матки за период |
где: Z шм - доля женщин с установленным диагнозом злокачественное новообразование шейки матки, выявленным впервые при диспансеризации, от общего числа женщин с установленным диагнозом злокачественное новообразование шейки матки за период; A шм - число женщин с установленным диагнозом злокачественное новообразование шейки матки, выявленным впервые при диспансеризации; V шм - общее число женщин с установленным диагнозом злокачественное новообразование шейки матки за период |
Процентов |
Прирост показателя за период по отношению к показателю за предыдущий период: - Прирост < 5% - 0 баллов; Прирост >= 5% - 0,5 балла; Прирост >= 10% - 1 балл; Выше среднего - 0,5 балла; Максимально возможное значение - 1 балл |
1 |
Ежеквартально |
Расчет показателя производится путем отбора информации по полям реестра формата Д3 "Файл со сведениями об оказанной медицинской помощи при диспансеризации", предусматривает поле реестра: - признак подозрения на злокачественное новообразование. В дальнейшем движение пациента возможно отследить по формату Д4 Файл со сведениями при осуществлении персонифицированного учета оказанной медицинской помощи при подозрении на злокачественное новообразование или установленном диагнозе злокачественного новообразования: - диагноз основной; - характер основного заболевания |
24. |
Доля женщин с установленным диагнозом злокачественное новообразование молочной железы, выявленным впервые при диспансеризации, от общего числа женщин с установленным диагнозом злокачественное новообразование молочной железы за период |
где: Z мж - доля женщин с установленным диагнозом злокачественное новообразование молочной железы, выявленным впервые при диспансеризации, от общего числа женщин с установленным диагнозом злокачественное новообразование молочной железы за период; A мж - число женщин с установленным диагнозом злокачественное новообразование молочной железы, выявленным впервые при диспансеризации; V мж - общее число женщин с установленным диагнозом злокачественное новообразование молочной железы за период |
Процентов |
Прирост показателя за период по отношению к показателю за предыдущий период: - Прирост < 5% - 0 баллов; Прирост >= 5% - 0,5 балла; Прирост >= 10% - 1 балл; Выше среднего - 0,5 балла; Максимально возможное значение - 1 балл |
1 |
Ежеквартально |
Расчет осуществляется путем отбора информации по полям реестра формата Д3 "Файл со сведениями об оказанной медицинской помощи при диспансеризации", предусматривает поле реестра: - признак подозрения на злокачественное новообразование. В дальнейшем движение пациента возможно отследить по формату Д4 Файл со сведениями при осуществлении персонифицированного учета оказанной медицинской помощи при подозрении на злокачественное новообразование или установленном диагнозе злокачественного новообразования: - диагноз основной; - характер основного заболевания |
25. |
Доля беременных женщин, прошедших скрининг в части оценки антенатального развития плода за период, от общего числа женщин, состоявших на учете по поводу беременности и родов за период |
где: В - доля беременных женщин, прошедших скрининг в части оценки антенатального развития плода за период, от общего числа женщин, состоявших на учете по поводу беременности и родов за период; S - число беременных женщин, прошедших скрининг в части оценки антенатального развития плода при сроке беременности 11 - 14 недель (УЗИ и определение материнских сывороточных маркеров) и 19 - 21 неделя (УЗИ), с родоразрешением за период; U - общее число женщин, состоявших на учете по поводу беременности и родов за период, с родоразрешением за период |
Процентов |
Достижение планового показателя: 99,0% - 100% плана или более - 2 балла; Выше среднего - 1 балл |
2 |
Ежеквартально |
Данные органов государственной власти субъектов Российской Федерации в сфере охраны здоровья, предоставляемые на бумажных носителях |
* по набору кодов Международной
статистической классификацией болезней
и проблем, связанных со здоровьем,
десятого пересмотра (МКБ-10).
** по решению Комиссии
рекомендуемые значения максимальных
баллов и их количество могут быть
пересмотрены для учреждений, которые
оказывают помощь женщинам и детскому
населению (отдельные юридические лица).
*** выполненным считается
показатель со значением 0,5 и более
баллов. В случае если медицинская
организация удовлетворяет нескольким
критериям для начисления баллов -
присваивается максимальный из возможных
для начисления балл. В случае если
значение, указанное в знаменателе
соответствующих формул, равняется нулю,
баллы по показателям не начисляются, а
указанный показатель (по решению
субъекта РФ) может исключаться из числа
применяемых показателей при расчете
доли достигнутых показателей
результативности для медицинской
организации за период.
**** среднее значение по субъекту
Российской Федерации по показателям
рекомендуется рассчитывать на основании
сведений об оказании медицинской помощи
медицинскими организациями, имеющими
прикрепленное население, оплата
медицинской помощи в которых
осуществляется по подушевому нормативу
финансирования, путем деления суммы
значений, указанных в числителе
соответствующих формул, на сумму
значений, указанных в знаменателе
соответствующих формул. Полученное
значение умножается на 100 по аналогии с
алгоритмом.
Минимально возможным значением
показателя является значение "0".
Максимально возможным значением
показателя "100 процентов".
К группам диагнозов,
обусловливающих высокий риск смерти,
целесообразно относить любое сочетание
сопутствующих заболеваний и осложнений
с основным диагнозом, указанных в
таблице:
Основной диагноз |
Сопутствующие заболевания |
Осложнение заболевания |
Ишемические болезни сердца I20 - I25. Гипертензивные болезни I10 - I11; I12 - I13. Цереброваскулярные болезни I60 - I69 |
Сахарный диабет E10 - E11. Хроническая обструктивная легочная болезнь J44.0 - J44.9. Хроническая болезнь почек, гипертензивная болезнь с поражением почек N18.1 - N18.9 |
Недостаточность сердечная I50.0 - I50.9. Нарушение ритма I48 - 49. Нарушения проводимости I44 - I45. Сердце легочное хроническое I27.9. Гипостатическая пневмония J18.2. Недостаточность почечная N18.9. Уремия N 19. Гангрена R02. Недостаточность легочная J98.4. Эмфизема J43.9 |




