ДОПОЛНИТЕЛЬНОЕ СОГЛАШЕНИЕ К ТАРИФНОМУ
СОГЛАШЕНИЮ В СИСТЕМЕ ОБЯЗАТЕЛЬНОГО
МЕДИЦИНСКОГО СТРАХОВАНИЯ ГОРОДА
СЕВАСТОПОЛЯ
от 26 июля 2024 года N 6
г. Севастополь
Департамент здравоохранения
города Севастополя, в лице первого
заместителя директора Семиной Л.В.,
Территориальный фонд обязательного
медицинского страхования города
Севастополя, в лице директора Гроздовой
Т.Ю., первого заместителя директора
Игнатовой И.А., страховые медицинские
организации города Севастополя, в лице
директора Севастопольского филиала ООО
"Страховая медицинская компания
"Крыммедстрах" Галянской Л.С. и директора
Севастопольского филиала "Крымской
страховой медицинской компании" ООО
"Арсенал медицинское страхование"
Колтуновой Е.А., первичная организация
профессионального союза работников
здравоохранения государственного
бюджетного учреждения здравоохранения
Севастополя "Городская больница N 1 им.
Н.И. Пирогова", в лице члена Смоляковой
С.И., Региональная общественная
организация "Ассоциация врачей
Севастополя", в лице члена Коситченкова
А.А., члена Наркевича А.И., включенных в
состав Комиссии по разработке
территориальной программы
обязательного медицинского страхования
города Севастополя, в соответствии со
статьей 30 Федерального закона от 29.11.2010 N
326-ФЗ "Об обязательном медицинском
страховании в Российской Федерации",
именуемые в дальнейшем Стороны,
заключили настоящее дополнительное
соглашение к тарифному соглашению в
системе обязательного медицинского
страхования города Севастополя от 21.12.2023
(далее - дополнительное соглашение,
Тарифное соглашение) о нижеследующем:
1. Подпункт 2 пункта 3.2 Тарифного
соглашения изложить в следующей
редакции:
"2) размер базового (среднего)
подушевого норматива финансирования на
прикрепившихся лиц (ПНБАЗ) согласно
перечню расходов, исключающего влияние
стоимости медицинской помощи,
оплачиваемой за единицу объема ее
оказания, стоимости медицинской помощи,
оказываемой в фельдшерских
здравпунктах, фельдшерских акушерских
пунктах, стоимости проведения
профилактического медицинского осмотра
и диспансеризации, в том числе
углубленной и диспансеризации для
оценки репродуктивного здоровья женщин
и мужчин, а также стоимости
диспансерного наблюдения отдельных
категорий граждан из числа взрослого
населения, включая диспансерное
наблюдение работающих граждан и (или)
обучающихся в образовательных
организациях, при оплате медицинской
помощи в амбулаторных условиях
составляет 2095,45 рубля в соответствии с
Приложением N 10 к Тарифному соглашению;".
2. В пункте 3.3.22 Тарифного соглашения
абзац 8 изложить в следующей редакции:
"В целях повышения эффективности
использования средств обязательного
медицинского страхования на оказание
медицинской помощи пациентам с
онкологическими заболеваниями при
назначении схем противоопухолевой
лекарственной терапии с применением
лекарственных препаратов, указанных в
Приложении N 24 Тарифного соглашения, для
лечения отдельных нозологий, необходимо
обязательное проведение
молекулярно-генетических исследований и
(или) иммуногистохимических
исследований (с получением определенных
результатов проведенных исследований до
назначения схемы противоопухолевой
лекарственной терапии).".
3. Приложение N 2 к Тарифному
соглашению изложить в новой редакции
согласно приложению N 1 к настоящему
дополнительному соглашению.
4. Приложение N 3 к Тарифному
соглашению изложить в новой редакции
согласно приложению N 2 к настоящему
дополнительному соглашению.
5. Приложение N 7 к Тарифному
соглашению изложить в новой редакции
согласно приложению N 3 к настоящему
дополнительному соглашению.
6. Приложение N 10 к Тарифному
соглашению изложить в новой редакции
согласно приложению N 4 к настоящему
дополнительному соглашению.
7. Приложение N 24 к Тарифному
соглашению изложить в новой редакции
согласно приложению N 5 к настоящему
дополнительному соглашению.
8. Настоящее дополнительное
соглашение вступает в силу с момента его
подписания и распространяет свое
действие на правоотношения, возникшие с
01.08.2024, за исключением пунктов NN 2, 5, 7,
действие которых распространяется на
правоотношения, возникшие с 04.06.2024.
9. Настоящее дополнительное
соглашение к тарифному соглашению
составлено и подписано в десяти
экземплярах.
10. Все приложения являются
неотъемлемой частью настоящего
дополнительного соглашения.
11. Настоящее дополнительное
соглашение подлежит обязательному
размещению на официальном сайте
Департамента здравоохранения города
Севастополя и Территориального фонда
обязательного медицинского страхования
города Севастополя в сети "Интернет" в
четырнадцатидневный срок со дня его
принятия.
12. Настоящее дополнительное
соглашение подлежит обязательной
отправке Председателем Комиссии по
разработке территориальной программы
обязательного медицинского страхования
города Севастополя в пятидневный срок
после дня его заключения в Федеральный
фонд обязательного медицинского
страхования для подготовки заключения о
соответствии базовой программе
обязательного медицинского
страхования.
Первый заместитель директора
Департамента здравоохранения
города Севастополя
Л.В.СЕМИНА
Директор Территориального фонда
обязательного медицинского
страхования
города Севастополя
Т.Ю.ГРОЗДОВА
Директор Севастопольского филиала
"Крымской страховой медицинской
компании"
ООО "Арсенал медицинское страхование"
Е.А.КОЛТУНОВА
Первый заместитель директора
Территориального фонда обязательного
медицинского страхования
города Севастополя
И.А.ИГНАТОВА
Член первичной организации
профессионального союза работников
здравоохранения
государственного бюджетного
учреждения
здравоохранения Севастополя
"Городская больница N 1 им. Н.И. Пирогова"
С.И.СМОЛЯКОВА
Директор Севастопольского филиала
ООО "Страховая медицинская компания
"Крыммедстрах"
Л.С.ГАЛЯНСКАЯ
Член Региональной общественной
организации
"Ассоциация врачей Севастополя"
А.А.КОСИТЧЕНКОВ
Член Региональной общественной
организации
"Ассоциация врачей Севастополя"
А.И.НАРКЕВИЧ
Приложение N 1
к дополнительному соглашению
от 26.07.2024 N 6
к Тарифному соглашению
в системе ОМС города Севастополя
от 21.12.2023
Приложение N 2
к Тарифному соглашению
в системе ОМС города Севастополя
от 21.12.2023
ПОРЯДОК ОПЛАТЫ ПЕРВИЧНОЙ
МЕДИКО-САНИТАРНОЙ ПОМОЩИ ПО ПОДУШЕВОМУ
НОРМАТИВУ ФИНАНСИРОВАНИЯ НА
ПРИКРЕПИВШИХСЯ ЛИЦ (ЗА ИСКЛЮЧЕНИЕМ
РАСХОДОВ НА ПРОВЕДЕНИЕ КОМПЬЮТЕРНОЙ
ТОМОГРАФИИ, МАГНИТНО-РЕЗОНАНСНОЙ
ТОМОГРАФИИ, УЛЬТРАЗВУКОВОГО
ИССЛЕДОВАНИЯ СЕРДЕЧНО-СОСУДИСТОЙ
СИСТЕМЫ, ЭНДОСКОПИЧЕСКИХ
ДИАГНОСТИЧЕСКИХ ИССЛЕДОВАНИЙ,
МОЛЕКУЛЯРНО-ГЕНЕТИЧЕСКИХ ИССЛЕДОВАНИЙ И
ПАТОЛОГО-АНАТОМИЧЕСКИХ ИССЛЕДОВАНИЙ
БИОПСИЙНОГО (ОПЕРАЦИОННОГО) МАТЕРИАЛА С
ЦЕЛЬЮ ДИАГНОСТИКИ ОНКОЛОГИЧЕСКИХ
ЗАБОЛЕВАНИЙ И ПОДБОРА ПРОТИВООПУХОЛЕВОЙ
ЛЕКАРСТВЕННОЙ ТЕРАПИИ (ДАЛЕЕ -
МОЛЕКУЛЯРНО-ГЕНЕТИЧЕСКИЕ ИССЛЕДОВАНИЯ И
ПАТОЛОГО-АНАТОМИЧЕСКИЕ ИССЛЕДОВАНИЯ
БИОПСИЙНОГО (ОПЕРАЦИОННОГО) МАТЕРИАЛА),
НА ПРОВЕДЕНИЕ ТЕСТИРОВАНИЯ НА ВЫЯВЛЕНИЕ
НОВОЙ КОРОНАВИРУСНОЙ ИНФЕКЦИИ (COVID-19),
ПРОФИЛАКТИЧЕСКИХ МЕДИЦИНСКИХ ОСМОТРОВ И
ДИСПАНСЕРИЗАЦИИ, В ТОМ ЧИСЛЕ УГЛУБЛЕННОЙ
ДИСПАНСЕРИЗАЦИИ И ДИСПАНСЕРИЗАЦИИ ДЛЯ
ОЦЕНКИ РЕПРОДУКТИВНОГО ЗДОРОВЬЯ ЖЕНЩИН
И МУЖЧИН, А ТАКЖЕ СРЕДСТВ НА ОПЛАТУ
ДИСПАНСЕРНОГО НАБЛЮДЕНИЯ, ВКЛЮЧАЯ
ДИСПАНСЕРНОЕ НАБЛЮДЕНИЕ РАБОТАЮЩИХ
ГРАЖДАН, ФИНАНСОВОЕ ОБЕСПЕЧЕНИЕ
ФЕЛЬДШЕРСКИХ ЗДРАВПУНКТОВ,
ФЕЛЬДШЕРСКО-АКУШЕРСКИХ ПУНКТОВ) С УЧЕТОМ
ПОКАЗАТЕЛЕЙ РЕЗУЛЬТАТИВНОСТИ
ДЕЯТЕЛЬНОСТИ МЕДИЦИНСКОЙ ОРГАНИЗАЦИИ
(ВКЛЮЧАЯ ПОКАЗАТЕЛИ ОБЪЕМА МЕДИЦИНСКОЙ
ПОМОЩИ), ПЕРЕЧЕНЬ КОТОРЫХ
УСТАНАВЛИВАЕТСЯ МИНИСТЕРСТВОМ
ЗДРАВООХРАНЕНИЯ РОССИЙСКОЙ ФЕДЕРАЦИИ, В
ТОМ ЧИСЛЕ С ВКЛЮЧЕНИЕМ РАСХОДОВ НА
МЕДИЦИНСКУЮ ПОМОЩЬ, ОКАЗЫВАЕМУЮ В ИНЫХ
МЕДИЦИНСКИХ ОРГАНИЗАЦИЯХ И ОПЛАЧИВАЕМУЮ
ЗА ЕДИНИЦУ ОБЪЕМА МЕДИЦИНСКОЙ ПОМОЩИ
1. Общие положения
1.1. Порядок оплаты первичной
медико-санитарной помощи по подушевому
нормативу финансирования на
прикрепившихся лиц (за исключением
расходов на проведение компьютерной
томографии, магнитно-резонансной
томографии, ультразвукового
исследования сердечно-сосудистой
системы, эндоскопических
диагностических исследований,
молекулярно-генетических исследований и
патолого-анатомических исследований
биопсийного (операционного) материала, с
целью диагностики онкологических
заболеваний и подбора противоопухолевой
лекарственной терапии (далее -
молекулярно-генетические исследования и
патолого-анатомические исследования
биопсийного (операционного) материала),
на проведение тестирования на выявление
новой коронавирусной инфекции (COVID-19),
профилактических медицинских осмотров и
диспансеризации, в том числе углубленной
диспансеризации и диспансеризации для
оценки репродуктивного здоровья женщин
и мужчин, а также средств на оплату
диспансерного наблюдения, включая
диспансерное наблюдение работающих
граждан, и финансовое обеспечение
фельдшерских здравпунктов,
фельдшерско-акушерских пунктов) с учетом
показателей результативности
деятельности медицинской организации
(включая показатели объема медицинской
помощи), перечень которых
устанавливается Министерством
здравоохранения Российской Федерации, в
том числе с включением расходов на
медицинскую помощь, оказываемую в иных
медицинских организациях и оплачиваемую
за единицу объема медицинской помощи
(далее - Порядок), устанавливает этапы
расчета дифференцированных подушевых
нормативов, в соответствии с которыми
страховые медицинские организации
осуществляют финансирование
медицинских организаций, оказывающих
амбулаторно-поликлиническую помощь,
предусмотренную территориальной
программой обязательного медицинского
страхования, и имеющих прикрепленное
население.
1.2. Настоящий Порядок разработан в
соответствии с пунктами 139, 140 Правил
обязательного медицинского страхования,
утвержденных приказом Министерства
здравоохранения Российской Федерации от
28.02.2019 N 108н, и Методическими
рекомендациями по способам оплаты
медицинской помощи за счет средств
обязательного медицинского
страхования.
Комиссия по разработке
территориальной программы
обязательного медицинского страхования
(далее - Комиссия) утверждает
дифференцированные подушевые нормативы
в соответствии с настоящим Порядком.
Территориальный фонд
обязательного медицинского страхования
города Севастополя (далее - Фонд) доводит
дифференцированные подушевые нормативы
до страховых медицинских организаций.
При определении ежемесячного
объема финансирования конкретной
медицинской организации, оказывающей
амбулаторную медицинскую помощь,
страховые медицинские организации
(далее - СМО) учитывают численность
прикрепившихся застрахованных лиц на
основе акта сверки численности по
договору на оказание и оплату
медицинской помощи и дифференцированные
подушевые нормативы.
1.3. При оплате медицинской помощи по
подушевому нормативу финансирования
объемы неотложной медицинской помощи,
оказанной отделениями (кабинетами)
неотложной медицинской помощи, объемы
посещений травмпунктов, приемных
отделений больниц, объемы на
консультативно-диагностические
посещения в медицинские организации
(структурные подразделения медицинских
организаций) 2-го уровня, расходы на
проведение компьютерной томографии,
магнитно-резонансной томографии,
ультразвукового исследования
сердечно-сосудистой системы,
эндоскопических диагностических
исследований, молекулярно-генетических
исследований и патолого-анатомических
исследований биопсийного
(операционного) материала, на проведение
тестирования на выявление новой
коронавирусной инфекции (COVID-19),
оплачиваемые по тарифу за медицинскую
услугу, объем средств, направляемых на
оплату мероприятий по проведению
профилактических медицинских осмотров
отдельных категорий граждан (в рамках I и
II этапов) и всех видов диспансеризации, в
том числе углубленной диспансеризации,
включающих средства на оплату второго
этапа диспансеризации и диспансеризации
для оценки репродуктивного здоровья
женщин и мужчин, средства на оплату
комплексного посещения в амбулаторных
условиях по профилю "медицинская
реабилитация", расходы на оплату
диспансерного наблюдения отдельных
категорий граждан из числа взрослого
населения, включая диспансерное
наблюдение работающих граждан и (или)
обучающихся в образовательных
организациях, и стоматологическую
медицинскую помощь, а также средства на
финансовое обеспечение фельдшерских
здравпунктов, фельдшерско-акушерских
пунктов не включаются в подушевой
норматив.
Медицинские организации
(структурные подразделения медицинских
организаций), не имеющие прикрепленного
населения и осуществляющие
консультативные приемы, оказывающие
стоматологическую помощь,
предоставляющие услуги гемодиализа и
перитонеального диализа, в подушевом
финансировании не участвуют.
Медицинская помощь, оказанная
лицам, застрахованным в системе ОМС за
пределами территории города
Севастополя, в подушевой норматив
финансирования не включается.
1.4. Распределение застрахованных
лиц по медицинским организациям, имеющим
прикрепившихся лиц, устанавливается на
начало соответствующего года и
корректируется на основании данных
регионального сегмента Единого регистра
застрахованных лиц по состоянию на 1
февраля, 1 апреля, 1 июля и 1 октября.
2. Расчет объема финансового обеспечения
первичной медико-санитарной помощи в
амбулаторных условиях
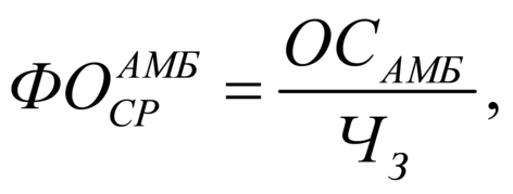
2.1. Расчет среднего размера
финансового обеспечения медицинской
помощи, оказанной в амбулаторных
условиях медицинскими организациями,
участвующими в реализации
территориальной программы
обязательного медицинского страхования
города Севастополя, в расчете на одно
застрахованное лицо осуществляется по
формуле:
где:
ОСАМБ |
объем средств на оплату медицинской помощи в амбулаторных условиях для медицинских организаций, участвующих в реализации территориальной программы обязательного медицинского страхования города Севастополя, рублей |
Чз |
численность застрахованного населения города Севастополя, человек |
Общий объем средств на оплату
медицинской помощи в амбулаторных
условиях для медицинских организаций,
участвующих в реализации
территориальной программы
обязательного медицинского страхования
города Севастополя, определяется на
основе нормативов объемов медицинской
помощи и финансовых затрат на единицу
объема медицинской помощи,
установленных территориальной
программой обязательного медицинского
страхования, по следующей формуле:
ОСАМБ = (НоПМО x НфзПМО + НоДИСП x
НфзДИСП + НоИЦ x НфзИЦ + НоОЗ x НфзОЗ +
НоНЕОТЛ x НфзНЕОТЛ + НоМР x НфзМР + НоДН x
НфзДН) x ЧЗ - ОСМТР,
где:
НоПМО |
средний норматив объема медицинской помощи, оказываемой в амбулаторных условиях, для проведения профилактических медицинских осмотров, установленный Территориальной программой государственных гарантий в части базовой программы, посещений |
НоДИСП |
средний норматив объема медицинской помощи, оказываемой в амбулаторных условиях, для проведения диспансеризации, установленный Территориальной программой государственных гарантий в части базовой программы, посещений |
НоИЦ |
средний норматив объема медицинской помощи, оказываемой в амбулаторных условиях, для посещений с иными целями, установленный Территориальной программой государственных гарантий в части базовой программы, посещений |
НоОЗ |
средний норматив объема медицинской помощи, оказываемой в амбулаторных условиях в связи с заболеваниями, установленный Территориальной программой государственных гарантий в части базовой программы, обращений |
НоНЕОТЛ |
средний норматив объема медицинской помощи, оказываемой в амбулаторных условиях в неотложной форме, установленный Территориальной программой государственных гарантий в части базовой программы, посещений |
НоМР |
средний норматив объема медицинской помощи, оказываемой в амбулаторных условиях, для обращения по заболеванию при оказании медицинской помощи по профилю "Медицинская реабилитация", установленный Территориальной программой государственных гарантий в части базовой программы, комплексных посещений |
НоДН |
средний норматив объема медицинской помощи, оказываемой в амбулаторных условиях, для диспансерного наблюдения, установленный Территориальной программой государственных гарантий в части базовой программы, комплексных посещений |
НфзПМО |
средний норматив финансовых затрат на единицу объема медицинской помощи, оказываемой в амбулаторных условиях, для проведения профилактических медицинских осмотров, установленный Территориальной программой государственных гарантий в части базовой программы, рублей |
НфзДИСП |
средний норматив финансовых затрат на единицу объема медицинской помощи, оказываемой в амбулаторных условиях, для проведения диспансеризации, установленный Территориальной программой государственных гарантий в части базовой программы, рублей |
НфзИЦ |
средний норматив финансовых затрат на единицу объема медицинской помощи, оказываемой в амбулаторных условиях, для посещений с иными целями, установленный Территориальной программой государственных гарантий в части базовой программы, рублей |
НфзОЗ |
средний норматив финансовых затрат на единицу объема медицинской помощи, оказываемой в амбулаторных условиях в связи с заболеваниями, установленный Территориальной программой государственных гарантий в части базовой программы, рублей |
НфзНЕОТЛ |
средний норматив финансовых затрат на единицу объема медицинской помощи, оказываемой в амбулаторных условиях в неотложной форме, установленный Территориальной программой государственных гарантий в части базовой программы, рублей |
НфзМР |
средний норматив финансовых затрат на единицу объема медицинской помощи, оказываемой в амбулаторных условиях, для обращения по заболеванию при оказании медицинской помощи по профилю "Медицинская реабилитация", установленный Территориальной программой государственных гарантий в части базовой программы, рублей |
НфзДН |
средний норматив финансовых затрат на единицу объема медицинской помощи, оказываемой в амбулаторных условиях, для диспансерного наблюдения, установленный Территориальной программой государственных гарантий в части базовой программы, рублей |
ОСМТР |
объем средств, направляемых на оплату медицинской помощи, оказываемой в амбулаторных условиях и оплачиваемой за единицу объема медицинской помощи лицам, застрахованным в системе ОМС за пределами территории города Севастополя, рублей |
2.2. Расчет базового (среднего)
подушевого норматива финансирования на
прикрепившихся лиц.
Значение базового подушевого
норматива финансирования на
прикрепившихся лиц определяется по
следующей формуле:
где:
ПНБАЗ |
базовый (средний) подушевой норматив финансирования на прикрепившихся лиц, рублей |
ОСПНФ |
объем средств на оплату медицинской помощи по подушевому нормативу финансирования, рублей |
ОСРД |
объем средств, направляемых медицинским организациям в случае достижения ими значений показателей результативности деятельности, согласно балльной оценке, рублей |
СКДОТ |
значение среднего взвешенного с учетом численности прикрепленного населения коэффициента дифференциации на прикрепившихся к медицинской организации лиц с учетом наличия подразделений, расположенных в сельской местности, отдаленных территориях, поселках городского типа и малых городах с численностью населения до 50 тысяч человек, и расходов на их содержание и оплату труда персонала |
СКДПВ |
значение среднего взвешенного с учетом численности прикрепленного населения коэффициента половозрастного состава |
КД |
единый коэффициент дифференциации субъекта Российской Федерации, рассчитанный в соответствии с Постановлением N 462 |
Параметр СКДОТ используется в
целях сохранения сбалансированности
территориальных программ обязательного
медицинского страхования и
рассчитывается по следующей формуле:
где:
|
значение коэффициента дифференциации на прикрепившихся к медицинской организации лиц с учетом наличия подразделений, расположенных в сельской местности, отдаленных территориях, поселках городского типа и малых городах с численностью населения до 50 тысяч человек, и расходов на их содержание и оплату труда персонала, установленного тарифным соглашением для i-й медицинской организации в соответствии с пунктом 2.5 настоящего Порядка |
|
численность застрахованных лиц, прикрепленных к i-й медицинской организации, человек |
По аналогичной формуле
рассчитывается значение СКДПВ.
Объем средств на оплату
медицинской помощи в амбулаторных
условиях по подушевому нормативу
финансирования, оказываемой
медицинскими организациями,
участвующими в реализации
территориальной программы
обязательного медицинского страхования
города Севастополя (ОСПНФ),
рассчитывается без учета средств на
финансовое обеспечение медицинской
помощи, оплачиваемой за единицу объема, и
средств на финансовое обеспечение
фельдшерских здравпунктов,
фельдшерско-акушерских пунктов,
определяется по следующей формуле:
ОСПНФ = ОСАМБ - ОСФАП - ОСИССЛЕД -
ОСНЕОТЛ - ОСЕО - ОСПО - ОСДИСП - ОСДН,
где:
ОСФАП |
объем средств, направляемых на финансовое обеспечение фельдшерских здравпунктов, фельдшерско-акушерских пунктов в соответствии с установленными Территориальной программой государственных гарантий размерами финансового обеспечения фельдшерских здравпунктов, фельдшерско-акушерских пунктов (при необходимости - за исключением медицинской помощи в неотложной форме), рублей |
ОСИССЛЕД |
объем средств, направляемых на оплату проведения отдельных диагностических (лабораторных) исследований (компьютерной томографии, магнитно-резонансной томографии, ультразвукового исследования сердечно-сосудистой системы, эндоскопических диагностических исследований, молекулярно-генетических исследований и патолого-анатомических исследований биопсийного (операционного) материала, тестирования на выявление новой коронавирусной инфекции (COVID-19)) в соответствии с нормативами, установленными Территориальной программой государственных гарантий в части базовой программы, рублей |
ОСНЕОТЛ |
объем средств, направляемых на оплату посещений в неотложной форме в соответствии с нормативами, установленными Территориальной программой государственных гарантий в части базовой программы, рублей |
ОСЕО |
объем средств, направляемых на оплату медицинской помощи, оказываемой в амбулаторных условиях за единицу объема медицинской помощи застрахованным в данном субъекте Российской Федерации лицам (в том числе комплексных посещений по профилю "Медицинская реабилитация"), рублей |
ОСПО |
объем средств, направляемых на оплату проведения профилактических медицинских осмотров в соответствии с нормативами, установленными Территориальной программой государственных гарантий в части базовой программы, рублей |
ОСДИСП |
объем средств, направляемых на оплату проведения диспансеризации, включающей профилактический медицинский осмотр и дополнительные методы обследований (в том числе второго этапа диспансеризации, I и II этапов диспансеризации, направленной на оценку репродуктивного здоровья женщин и мужчин, и углубленной диспансеризации), рублей |
ОСДН |
объем средств, направляемых на оплату проведения диспансерного наблюдения в соответствии с нормативами, установленными Территориальной программой государственных гарантий в части базовой программы, рублей |
Объем средств, направляемый на
финансовое обеспечение медицинской
помощи, финансируемой в соответствии с
установленными Программой нормативами,
не включает в себя средства,
направляемые на оплату медицинской
помощи, оказываемой в амбулаторных
условиях застрахованным лицам города
Севастополя за пределами субъекта
Российской Федерации, на территории
которого выдан полис ОМС, и оплачиваемой
за единицу объема медицинской помощи.
2.2.1. Объем средств, направляемых на
оплату проведения отдельных
диагностических (лабораторных)
исследований, рассчитывается по
следующей формуле:
Ноj - средний норматив объема
медицинской помощи для проведения j-го
исследования (компьютерной томографии,
магнитно-резонансной томографии,
ультразвукового исследования
сердечно-сосудистой системы,
эндоскопических диагностических
исследований, молекулярно-генетических
исследований и патолого-анатомических
исследований биопсийного
(операционного) материала, тестирования
на выявление новой коронавирусной
инфекции (COVID-19)), установленный
Территориальной программой
государственных гарантий в части
базовой программы, исследований;
Нфзj - средний норматив финансовых
затрат на единицу объема медицинской
помощи для проведения j-го исследования
(компьютерной томографии,
магнитно-резонансной томографии,
ультразвукового исследования
сердечно-сосудистой системы,
эндоскопических диагностических
исследований, молекулярно-генетических
исследований и патолого-анатомических
исследований биопсийного
(операционного) материала, тестирования
на выявление новой коронавирусной
инфекции (COVID-19)), установленный
Территориальной программой
государственных гарантий в части
базовой программы, рублей;
Чз - численность застрахованного
населения города Севастополя, человек.
2.2.2. Объем средств, направляемых на
оплату медицинской помощи в неотложной
форме.
Объем средств, направляемых на
оплату медицинской помощи в неотложной
форме, рассчитывается по формуле:
ОСНЕОТЛ = НоНЕОТЛ x НфзНЕОТЛ x ЧЗ.
2.2.3. Расчет объема финансового
обеспечения фельдшерских здравпунктов,
фельдшерско-акушерских пунктов.
Размер финансового обеспечения
фельдшерских здравпунктов,
фельдшерско-акушерских пунктов при
условии их соответствия требованиям,
установленным приказом
Минздравсоцразвития России от 15.05.2012 N 543н
"Об утверждении Положения об организации
оказания первичной медико-санитарной
помощи взрослому населению" (далее -
Приказ N 543н), составляет в среднем на 2024
год:
- фельдшерский здравпункт,
фельдшерско-акушерский пункт,
обслуживающий от 100 до 900 жителей, - 1230,5
тыс. рублей;
- фельдшерский здравпункт,
фельдшерско-акушерский пункт,
обслуживающий от 900 до 1500 жителей, - 2460,9
тыс. рублей;
- фельдшерский здравпункт,
фельдшерско-акушерский пункт,
обслуживающий от 1500 до 2000 жителей, - 2907,1
тыс. рублей.
При расчете размеров финансового
обеспечения фельдшерских здравпунктов,
фельдшерско-акушерских пунктов
применяются коэффициенты
дифференциации (КД), рассчитанные в
соответствии с Постановлением N 462. Для
города Севастополя данные коэффициенты
равны 1.
В случае оказания фельдшерскими
здравпунктами, фельдшерско-акушерскими
пунктами медицинской помощи женщинам
репродуктивного возраста, но при
отсутствии в указанных пунктах акушеров,
полномочия по работе с такими женщинами
осуществляются фельдшером или
медицинской сестрой (в части проведения
санитарно-гигиенического обучения
женщин по вопросам грудного
вскармливания, предупреждения
заболеваний репродуктивной системы,
абортов и инфекций, передаваемых половым
путем), размер финансового обеспечения
устанавливается с учетом отдельного
повышающего коэффициента, рассчитанного
с учетом доли женщин репродуктивного
возраста в численности прикрепленного
населения
.
Объем
где:
|
объем средств, направляемых на финансовое обеспечение фельдшерских здравпунктов, фельдшерско-акушерских пунктов в i-й медицинской организации |
|
число фельдшерских здравпунктов, фельдшерско-акушерских пунктов n-типа (в зависимости от численности обслуживаемого населения и соответствия требованиям, установленным положением об организации оказания первичной медико-санитарной помощи взрослому населению) |
|
базовый норматив финансовых затрат на финансовое обеспечение структурных подразделений медицинских организаций - фельдшерских здравпунктов, фельдшерско-акушерских пунктов n-го типа |
|
коэффициент специфики оказания медицинской помощи, применяемый к базовому нормативу финансовых затрат на финансовое обеспечение структурных подразделений медицинской организации, учитывающий критерий соответствия их требованиям, установленным Приказом N 543н (в том числе с учетом расчетного объема средств на оплату консультаций, связанных с проведением санитарно-гигиенического обучения женщин по вопросам грудного вскармливания, предупреждения заболеваний репродуктивной системы, абортов и инфекций, передаваемых половым путем) |
В случае, если у фельдшерских
здравпунктов, фельдшерско-акушерских
пунктов в течение года меняется
численность обслуживаемого населения, а
также факт соответствия требованиям,
установленным Приказом N 543н, годовой
размер финансового обеспечения
фельдшерских здравпунктов,
фельдшерско-акушерских пунктов
изменяется с учетом объема средств,
направленных на финансовое обеспечение
фельдшерских здравпунктов,
фельдшерско-акушерских пунктов за
предыдущие периоды с начала года, и
рассчитывается следующим образом:

|
фактический размер финансового обеспечения фельдшерского здравпункта, фельдшерско-акушерского пункта |
|
размер средств, направленных на финансовое обеспечение фельдшерского здравпункта, фельдшерско-акушерского пункта с начала года |
nМЕС |
количество месяцев, оставшихся до конца календарного года |
Расходы на оплату транспортных
услуг не входят в размеры финансового
обеспечения фельдшерских здравпунктов,
фельдшерско-акушерских пунктов.
2.3. Правила применения
коэффициентов дифференциации
подушевого норматива финансирования.
Для каждой медицинской организации
подушевые нормативы финансирования
должны определяться дифференцированно с
учетом коэффициентов.
При расчете дифференцированных
подушевых нормативов финансирования на
прикрепившихся лиц применяются
следующие коэффициенты дифференциации
подушевого норматива финансирования:
1) коэффициенты дифференциации на
прикрепившихся к медицинской
организации лиц с учетом наличия
подразделений, расположенных в сельской
местности, отдаленных территориях,
поселках городского типа и малых городах
с численностью населения до 50 тысяч
человек, и расходов на их содержание и
оплату труда персонала (далее - КДОТ);
2) коэффициенты половозрастного
состава (далее - КДПВ);
3) коэффициенты уровня расходов
медицинских организаций (далее - КДур);
4) коэффициенты достижения целевых
показателей уровня заработной платы
медицинских работников, установленных
"дорожными картами" развития
здравоохранения в субъекте Российской
Федерации (далее - КДЗП);
5) коэффициенты дифференциации
(далее - КД).
2.4. Расчет половозрастных
коэффициентов в разрезе половозрастных
групп населения.
2.4.1. Для расчета дифференцированных
подушевых нормативов численность
застрахованных лиц на территории города
Севастополя распределяется по следующим
половозрастным группам:
- ноль - один год мужчины/женщины;
- один год - четыре года
мужчины/женщины;
- пять лет - семнадцать лет
мужчины/женщины;
- восемнадцать лет - шестьдесят
четыре года мужчины/женщины;
- шестьдесят пять лет и старше
мужчины/женщины.
В расчете половозрастных
коэффициентов принимается численность
застрахованных лиц на территории города
Севастополя, определяемая на основании
сведений регионального сегмента единого
регистра застрахованных лиц на первое
число первого месяца расчетного
периода.
Определяются затраты на оплату
медицинской помощи, оказанной
застрахованным лицам, на основании
реестров счетов (с учетом видов и условий
оказания медицинской помощи) за
расчетный период в разрезе
половозрастной структуры
застрахованных лиц на территории города
Севастополя.
Рассчитывается размер затрат на
одно застрахованное лицо (Р) в целом по
городу Севастополю (без учета возраста и
пола) за выбранный период по формуле:
З - затраты на оплату медицинской
всем застрахованным лицам за расчетный
период, рублей;
М - количество месяцев в расчетном
периоде;
Ч - численность застрахованных лиц
в целом по региону.
Для каждой j-й половозрастной
группы населения Фондом на основании
фактических данных об объемах и
стоимости медицинской помощи за
предшествующий период рассчитывается
размер затрат на одно застрахованное
прикрепленное лицо (Pj) по формуле:
Зj - затраты на оплату медицинской
всем застрахованным лицам j-й
половозрастной группы за выбранный
Фондом период, рублей;
М - количество месяцев в расчетном
периоде;
Чj - численность застрахованного
населения в j-й половозрастной группе
населения.
Половозрастной коэффициент для j-й
половозрастной группы населения
определится по формуле:
(округляется до шести знаков после
запятой).
Для групп мужчин и женщин в
возрасте 65 лет и старше устанавливается
значение половозрастного коэффициента в
размере не менее 1,6 (в случае, если
расчетное значение коэффициента
потребления медицинской помощи по
группам мужчин и женщин 65 лет и старше
составляет менее 1,6, значение
коэффициента принимается равным 1,6).
2.4.2. Коэффициент половозрастного
состава подушевого норматива для j-й
медицинской организации рассчитывается
по формуле:
(округляется до шести знаков после
запятой), где:
|
коэффициент половозрастного состава, определенный для i-й медицинской организации |
|
коэффициент половозрастного состава, определенный для j-й половозрастной группы населения |
|
численность застрахованных лиц, прикрепленных к i-й медицинской организации, в j-й половозрастной группе, человек |
|
численность застрахованных лиц, прикрепленных к i-й медицинской организации, человек |
2.4.3. Для каждой половозрастной
группы (подгруппы) населения
рассчитываются единые значения
коэффициента дифференциации в пределах
субъекта Российской Федерации.
Указанные коэффициенты устанавливаются
настоящим тарифным соглашением.
2.5. Расчет КДОТ на прикрепившихся к
медицинской организации лиц с учетом
наличия подразделений, расположенных в
сельской местности, отдаленных
территориях, поселках городского типа и
малых городах с численностью населения
до 50 тысяч человек.
КДОТ применяется в отношении
медицинских организаций (юридических
лиц) с учетом наличия у них
подразделений, расположенных в сельской
местности, отдаленных территориях,
поселках городского типа и малых городах
с численностью населения до 50 тысяч
человек (в том числе в отношении
участковых больниц и врачебных
амбулаторий, являющихся как отдельными
юридическими лицами, так и их
подразделениями).
Критерии отдаленности
устанавливаются Комиссией.
К подушевому нормативу
финансирования на прикрепившихся лиц
таких медицинских организаций с учетом
расходов на содержание медицинской
организации и оплату труда персонала,
исходя из расположения и отдаленности
обслуживаемых территорий, применяются
следующие коэффициенты дифференциации в
размере:
- для медицинских организаций и их
подразделений, обслуживающих до 20 тысяч
человек, - не менее 1,113,
- для медицинских организаций и их
подразделений, обслуживающих свыше 20
тысяч человек, - не менее 1,04.
Также допустимо установление
дифференцированных значений
коэффициентов для разных медицинских
организаций или их подразделений в
зависимости от комплектности участков,
обслуживаемого радиуса, плотности
расселения обслуживаемого населения,
транспортной доступности, иных
климатических и географических
особенностей территории обслуживания
населения и др.
В случае если только отдельные
подразделения медицинской организации,
а не медицинская организация в целом
соответствуют условиям применения
коэффициента дифференциации КДОТ, объем
направляемых финансовых средств
рассчитывается исходя из доли
обслуживаемого данными подразделениями
населения:
- коэффициент дифференциации на
прикрепившихся к медицинской
организации лиц с учетом наличия
подразделений, расположенных в сельской
местности, отдаленных территориях,
поселках городского типа и малых городах
с численностью населения до 50 тысяч
человек, с учетом расходов на их
содержание и оплату труда персонала,
определенный для i-й медицинской
организации;
ДОТj - доля населения, обслуживаемая
j-м подразделением, расположенным в
сельской местности, отдаленных
территориях, поселках городского типа и
малых городах с численностью населения
до 50 тысяч человек (значение от 0 до 1);
КДОТj - коэффициент дифференциации,
применяемый к j-му подразделению,
расположенному в сельской местности,
отдаленных территориях, поселках
городского типа и малых городах с
численностью населения до 50 тысяч
человек, с учетом расходов на их
содержание и оплату труда персонала.
2.6. Расчет значений коэффициента
уровня расходов медицинской организации
(особенности плотности населения,
транспортной доступности, климатические
и географические особенности, площади
медицинской организации).
Дифференцированные подушевые
нормативы финансирования медицинской
организации определяются также с учетом
коэффициентов уровня расходов
медицинской организации (особенности
плотности населения, транспортной
доступности, климатические и
географические особенности, площади
медицинской организации), применяемых к
базовому подушевому нормативу
финансирования на прикрепившихся лиц
(далее - КДур).
Расходы на оказание медицинской
помощи с применением телемедицинских
технологий учитываются путем применения
повышающего коэффициента при расчете
КДур. При этом повышающий коэффициент
рассчитывается прямо пропорционально
доле медицинской помощи с применением
телемедицинских технологий в общем
объеме оказанной медицинской помощи,
финансовое обеспечение которой
осуществляется по подушевому нормативу
финансирования.
Показатель объема медицинской помощи с применением телемедицинских технологий (доля медицинской помощи с применением телемедицинских технологий в общем объеме оказанной медицинской помощи, финансовое обеспечение которой осуществляется по подушевому нормативу финансирования), % |
Повышающий коэффициент к коэффициенту уровня (подуровня) |
1% |
1,01 |
2% |
1,02 |
Повышающий коэффициент прямо пропорционален доле медицинской помощи с применением телемедицинских технологий (при увеличении доли оказанной медицинской помощи с применением телемедицинских услуг на 1% повышающий коэффициент увеличивается на 0,01) | |
2.7. Расчет дифференцированных
подушевых нормативов финансирования.
2.7.1. Дифференцированные подушевые
нормативы финансирования для
медицинских организаций, участвующих в
реализации территориальной программы
обязательного медицинского страхования
города Севастополя
, рассчитываются на основе
базового подушевого норматива
финансирования медицинской помощи,
оказываемой в амбулаторных условиях, по
следующей формуле:
где:
|
дифференцированный подушевой норматив для i-й медицинской организации, рублей |
|
коэффициент половозрастного состава для i-й медицинской организации |
|
коэффициент уровня расходов медицинских организаций (особенности плотности населения, транспортной доступности, климатические и географические особенности, площади медицинской организации) для i-й медицинской организации (при необходимости) |
|
коэффициент достижения целевых показателей уровня заработной платы медицинских работников, установленных "дорожными картами" развития здравоохранения в субъекте Российской Федерации, для i-й медицинской организации (при необходимости) |
|
коэффициент специфики оказания медицинской помощи, учитывающий наличие подразделений, расположенных в сельской местности, отдаленных территориях, поселках городского типа и малых городах с численностью населения до 50 тысяч человек, и расходов на их содержание и оплату труда персонала, для i-й медицинской организации |
КДi |
коэффициент дифференциации для i-й медицинской организации |
Значения всех коэффициентов
дифференциации устанавливаются в
соответствии с Приложением N 10 Тарифного
соглашения.
3. Применение показателей
результативности деятельности
медицинской организации
3.1. При оплате медицинской помощи по
подушевому нормативу финансирования на
прикрепившихся лиц с учетом показателей
результативности деятельности
медицинской организации (включая
показатели объема медицинской помощи), в
том числе с включением расходов на
медицинскую помощь, оказываемую в иных
медицинских организациях и оплачиваемую
за единицу объема медицинской помощи в
составе средств, направляемых на
финансовое обеспечение медицинской
организации, имеющей прикрепившихся лиц,
по подушевому нормативу финансирования,
определяется доля средств от базового
подушевого норматива финансирования на
прикрепившихся лиц, направляемых на
выплаты медицинским организациям в
случае достижения ими значений
показателей результативности
деятельности с учетом балльной оценки.
При этом размер финансового
обеспечения медицинской помощи,
оказанной медицинской организацией,
имеющей прикрепившихся лиц, по
подушевому нормативу финансирования
ежемесячно определяется по следующей
формуле:
где:
ОСПН |
финансовое обеспечение медицинской помощи, оказанной медицинской организацией, имеющей прикрепившихся лиц, по подушевому нормативу финансирования, рублей |
ОСРД |
объем средств, направляемых медицинским организациям в случае достижения ими значений показателей результативности деятельности согласно балльной оценке (далее - объем средств с учетом показателей результативности), рублей |
|
дифференцированный подушевой норматив финансирования амбулаторной медицинской помощи для i-й медицинской организации, рублей |
|
численность застрахованных лиц, прикрепленных к i-й медицинской организации на 1 число месяца, на который осуществляется расчет, человек |
3.2. Показатели результативности
деятельности, порядок их применения и
целевые значения устанавливаются
настоящим Тарифным соглашением.
Показатели результативности для
каждой медицинской организации
утверждаются Комиссией один раз в
квартал, с учетом показателей
деятельности медицинской организации в
предыдущем отчетном периоде. Оценка
достижения значений показателей
результативности деятельности
медицинских организаций оформляется
решением Комиссии на основании данных,
представленных в адрес Комиссии:
- ТФОМС города Севастополя об
исполнении показателей
результативности по п. 1, 2, 3, 4, 5, 7, 8, 9, 10, 11,
12, 13, 14 Блока 1 (взрослое население); по п. 16,
17, 18, 19, 20 Блока 2 (детское население); по п.
23, 24 Блока 3 (женское население);
- Департаментом здравоохранения
города Севастополя об исполнении
показателей результативности по п. 6
Блока 1 (взрослое население); по п. 15 Блока
2 (детское население); по п. 21, 22, 25 Блока 3
(женское население).
Решение Комиссии доводится до
сведения медицинских организаций не
позднее 25 числа месяца, следующего за
отчетным периодом.
Осуществление выплат по
результатам оценки достижения
медицинскими организациями,
оказывающими медицинскую помощь в
амбулаторных условиях, значений
показателей результативности
деятельности производится по итогам
года.
Выплаты по итогам года
распределяются на основе сведений об
оказанной медицинской помощи за период
декабрь 2023 года - ноябрь 2024 года
(включительно) и включаются в счет за
декабрь 2024 года.
Размер средств, направляемых на
осуществление выплат стимулирующего
характера всем медицинским
организациям, имеющим прикрепленное
население, составляет 21671270,21 рубля в год,
или 2 процента от базового подушевого
норматива финансирования медицинской
помощи.
Перечень показателей
результативности определен в таблице N 1
данного Порядка.
Коллективными договорами,
соглашениями, локальными нормативными
актами, заключаемыми в соответствии с
трудовым законодательством и иными
нормативными правовыми актами,
содержащими нормы трудового права и
регулирующими системы оплаты труда в
медицинских организациях, в том числе
системы доплат и надбавок
стимулирующего характера, и системы
премирования, необходимо предусмотреть
стимулирующие выплаты медицинским
работникам за достижение аналогичных
показателей результативности
деятельности.
Методика расчета значений
показателей результативности и перечень
медицинских организаций (групп
медицинских организаций) с указанием
показателей результативности,
применяемых для указанных медицинских
организаций (групп медицинских
организаций), определены в таблице N 2 и
таблице N 3 данного Порядка
соответственно.
Показатели результативности
разделены на три блока, которые отражают
результативность оказания медицинской
помощи разным категориям населения
(взрослому населению, детскому
населению, акушерско-гинекологической
помощи) в амбулаторных условиях:
- Блок 1 - включает показатели,
характеризующие оценку эффективности
профилактических мероприятий взрослому
населению (от 18 лет и старше) в рамках
проведения профилактических осмотров и
диспансеризации с целью выявления
важнейших неинфекционных заболеваний;
выполнение плана вакцинации взрослых по
эпидемиологическим показаниям; оценку
эффективности диспансерного наблюдения
пациентов, страдающих хроническими
неинфекционными заболеваниями, в том
числе из группы высокого риска
преждевременной смерти, включая
заболевания системы кровообращения,
обусловливающие высокий риск
преждевременной смерти;
- Блок 2 - включает показатели,
характеризующие оценку эффективности
профилактических мероприятий среди
детского населения (от 0 до 17 лет) при
выполнении плана вакцинации в рамках
Национального календаря прививок;
осуществления диспансерного наблюдения
детей, имеющих хронические соматические
заболевания, с целью предотвращения
инвалидности и развития хронических
неинфекционных заболеваний в будущем;
- Блок 3 - включает показатели
эффективности профилактических
мероприятий при оказании
акушерско-гинекологической помощи с
целью охраны репродуктивного здоровья.
В случае, если группа показателей
результативности одного из блоков
неприменима для конкретной медицинской
организации и (или) отчетного периода,
суммарный максимальный балл и итоговый
коэффициент для соответствующей
медицинской организации будут
рассчитываться без учета этой группы
показателей.
Каждый показатель
результативности, включенный в блок
(таблица N 1 к настоящему Порядку),
оценивается в баллах, которые
суммируются. Методикой расчета
предусмотрена максимально возможная
сумма баллов по каждому блоку, состоящая
из:
- 19 баллов для показателей блока 1;
- 7 баллов для показателей блока 2;
- 6 баллов для показателей блока 3.
В зависимости от результатов
деятельности медицинской организации по
каждому показателю определяется балл в
диапазоне от 0 до 2 баллов. С учетом
фактического выполнения показателей
результативности медицинские
организации распределяются на три
группы:
- I - выполнившие до 40 процентов
показателей;
- II - от 40 (включительно) до 60
процентов показателей;
- III - от 60 (включительно) процентов
показателей.
Объем средств, направляемый в
медицинские организации по итогам
оценки достижения значений показателей
результативности деятельности,
складывается из двух частей:
1 часть - распределение 70 процентов
от объема средств с учетом показателей
результативности за соответствующий
период.
Указанные средства распределяются
среди медицинских организаций II и III
групп с учетом численности
прикрепленного населения.
где:
|
объем средств, используемый при распределении 70 процентов от объема средств на стимулирование медицинских организаций за j-й период, в расчете на 1 прикрепленное лицо, рублей |
|
совокупный объем средств на стимулирование медицинских организаций за j-й период, рублей |
|
численность прикрепленного населения в j-м периоде ко всем медицинским организациям II и III групп |
В качестве численности
прикрепленного населения к конкретной
медицинской организации рекомендуется
использовать среднюю численность за
период.
Объем средств, направляемый в i-ю
медицинскую организацию II и III групп за
j-й период при распределении 70 процентов
от объема средств с учетом показателей
результативности
, рассчитывается следующим
образом:
где:
|
- численность прикрепленного населения в j-м периоде к i-й медицинской организации II и III групп |
2 часть - распределение 30 процентов
от объема средств с учетом показателей
результативности за соответствующий
период.
Указанные средства распределяются
среди медицинских организаций III группы
с учетом абсолютного количества
набранных соответствующими
медицинскими организациями баллов.
где:
|
объем средств, используемый при распределении 30 процентов от объема средств на стимулирование медицинских организаций за j-й период, в расчете на 1 балл, рублей |
|
совокупный объем средств на стимулирование медицинских организаций за j-й период, рублей |
|
количество баллов, набранных в j-м периоде всеми медицинскими организациями III группы |
Объем средств, направляемый в i-ю
медицинскую организацию III группы за j-й
период при распределении 30 процентов от
объема средств на стимулирование
медицинских организаций
, рассчитывается следующим
образом:
где:
|
количество баллов, набранных в j-м периоде i-й медицинской организацией III группы |
Если по итогам года отсутствуют
медицинские организации, включенные в III
группу, средства, предназначенные для
осуществления стимулирующих выплат
медицинским организациям III группы,
распределяются между медицинскими
организациями II группы в соответствии с
установленной методикой (с учетом
численности прикрепленного населения).
Общий объем средств, направляемых
на оплату медицинской помощи с учетом
показателей результативности
деятельности в медицинскую организацию
III группы за j-й период, определяется
путем суммирования 1 и 2 частей, а для
медицинских организаций I группы за j-й
период - равняется нулю.
Осуществление выплат
стимулирующего характера в полном
объеме медицинской организации,
оказывающей медицинскую помощь в
амбулаторных условиях, по результатам
оценки ее деятельности производится при
условии снижения показателей смертности
прикрепленного к ней населения в
возрасте от 30 до 69 лет (за исключением
смертности от внешних причин) и (или)
смертности детей в возрасте от 0 - 17 лет
(за исключением смертности от внешних
причин) (далее - показатели смертности
прикрепленного населения (взрослого и
детского)), а также фактического
выполнения не менее 90 процентов
установленных решением Комиссии объемов
предоставления медицинской помощи с
профилактической и иными целями, а также
по поводу заболеваний (посещений и
обращений соответственно).
При условии недостижения снижения
вышеуказанных показателей смертности
прикрепленного населения (взрослого и
детского) и (или) выполнения медицинской
организацией менее 90 процентов
указанного объема медицинской помощи,
Комиссия устанавливает понижающие
коэффициенты к размеру стимулирующих
выплат в зависимости от процента
снижения показателей смертности
прикрепленного населения (взрослого и
детского), а также процента выполнения
объемов медицинской помощи.
Объем средств, предусмотренных на
стимулирующие выплаты, не
распределенный между медицинскими
организациями II и III групп в результате
применения вышеуказанных понижающих
коэффициентов к размеру стимулирующих
выплат, распределяется между указанными
медицинскими организациями
пропорционально размеру стимулирующих
выплат с учетом вышеуказанных
понижающих коэффициентов.
Таблица N 1
Показатели результативности
деятельности, порядок их применения и
целевые значения
N |
Наименование показателя |
Предположительный результат |
Индикаторы выполнения показателя <***> |
Макс. балл <**> |
Взрослое население (в возрасте 18 лет и старше) |
19 | |||
Оценка эффективности профилактических мероприятий | ||||
1 |
Доля врачебных посещений с профилактической целью за период от общего числа посещений за период (включая посещения на дому) |
Прирост показателя за период по отношению к показателю за предыдущий период |
Прирост < 3% - 0 баллов; Прирост >= 3% - 0,5 балла; Прирост >= 7% - 1 балл; Значение показателя в текущем периоде выше среднего значения по субъекту Российской Федерации <****> в текущем периоде (далее - выше среднего) - 0,5 балла; В текущем периоде достигнуто максимально возможное значение показателя (далее - максимально возможное значение) - 1 балл |
1 |
2 |
Доля взрослых пациентов с болезнями системы кровообращения, выявленными впервые при профилактических медицинских осмотрах и диспансеризации за период, от общего числа взрослых пациентов с болезнями системы кровообращения с впервые в жизни установленным диагнозом за период |
Прирост показателя за период по отношению к показателю за предыдущий период |
Прирост < 5% - 0 баллов; Прирост >= 5% - 1 балл; Прирост >= 10% - 2 балла; Выше среднего - 1 балл; Максимально возможное значение - 2 балла |
2 |
3 |
Доля взрослых пациентов с установленным диагнозом злокачественное новообразование, выявленным впервые при профилактических медицинских осмотрах и диспансеризации за период, от общего числа взрослых пациентов с впервые в жизни установленным диагнозом злокачественное новообразование за период |
Прирост показателя за период по отношению к показателю за предыдущий период |
Прирост < 5% - 0 баллов; Прирост >= 5% - 0,5 балла; Прирост >= 10% - 1 балл; Выше среднего - 0,5 балла; Максимально возможное значение - 1 балл |
1 |
4 |
Доля взрослых пациентов с установленным диагнозом хроническая обструктивная болезнь легких, выявленным впервые при профилактических медицинских осмотрах и диспансеризации за период, от общего числа взрослых пациентов с впервые в жизни установленным диагнозом хроническая обструктивная легочная болезнь за период |
Прирост показателя за период по отношению к показателю за предыдущий период |
Прирост < 5% - 0 баллов; Прирост >= 5% - 0,5 балла; Прирост >= 10% - 1 балл; Выше среднего - 0,5 балла; Максимально возможное значение - 1 балл |
1 |
5 |
Доля взрослых пациентов с установленным диагнозом сахарный диабет, выявленным впервые при профилактических медицинских осмотрах и диспансеризации за период, от общего числа взрослых пациентов с впервые в жизни установленным диагнозом сахарный диабет за период |
Прирост показателя за период по отношению к показателю за предыдущий период |
Прирост < 5% - 0 баллов; Прирост >= 5% - 0,5 балла; Прирост >= 10% - 1 балл; Выше среднего - 0,5 балла; Максимально возможное значение - 1 балл |
1 |
6 |
Выполнение плана вакцинации взрослых граждан против новой коронавирусной инфекции (COVID-19) по эпидемиологическим показаниям за период |
Достижение планового показателя |
100% плана или более - 2 балла; Выше среднего - 1 балл |
2 |
Оценка эффективности диспансерного наблюдения | ||||
7 |
Доля взрослых пациентов с болезнями системы кровообращения <*>, имеющих высокий риск преждевременной смерти, состоящих под диспансерным наблюдением, от общего числа взрослых пациентов с болезнями системы кровообращения <*>, имеющих высокий риск преждевременной смерти, за период |
Прирост показателя за период по отношению к показателю за предыдущий период |
Прирост < 3% - 0 баллов; Прирост >= 3% - 1 балл; Прирост >= 7% - 2 балла; Выше среднего - 1 балл; Максимально возможное значение - 2 балла |
2 |
8 |
Число взрослых пациентов с болезнями системы кровообращения <*>, имеющих высокий риск преждевременной смерти, которым за период оказана медицинская помощь в неотложной форме и (или) скорая медицинская помощь, от общего числа взрослых пациентов с болезнями системы кровообращения <*>, имеющих высокий риск преждевременной смерти, за период |
Уменьшение показателя за период по отношению к показателю в предыдущем периоде |
Уменьшение < 5% - 0 баллов; Уменьшение >= 5% - 0,5 балла; Уменьшение >= 10% - 1 балл; Значение показателя в текущем периоде ниже среднего значения по субъекту Российской Федерации <****> в текущем периоде (далее - ниже среднего) - 0,5 балла; В текущем периоде достигнуто минимально возможное значение показателя (далее - минимально возможное значение) - 1 балл |
1 |
9 |
Доля взрослых пациентов с болезнями системы кровообращения, в отношении которых установлено диспансерное наблюдение за период, от общего числа взрослых пациентов с впервые в жизни установленным диагнозом болезни системы кровообращения за период |
Достижение планового показателя |
100% плана или более - 1 балл; Выше среднего - 0,5 балла |
1 |
10 |
Доля взрослых пациентов с установленным диагнозом хроническая обструктивная болезнь легких, в отношении которых установлено диспансерное наблюдение за период, от общего числа взрослых пациентов с впервые в жизни установленным диагнозом хроническая обструктивная болезнь легких за период |
Достижение планового показателя |
100% плана или более - 1 балл; Выше среднего - 0,5 балла |
1 |
11 |
Доля взрослых пациентов с установленным диагнозом сахарный диабет, в отношении которых установлено диспансерное наблюдение за период, от общего числа взрослых пациентов с впервые в жизни установленным диагнозом сахарный диабет за период |
Достижение планового показателя |
100% плана или более - 2 балла; Выше среднего - 1 балл |
2 |
12 |
Доля взрослых пациентов, госпитализированных за период по экстренным показаниям в связи с обострением (декомпенсацией) состояний, по поводу которых пациент находится под диспансерным наблюдением, от общего числа взрослых пациентов, находящихся под диспансерным наблюдением, за период |
Уменьшение показателя за период по отношению к показателю в предыдущем периоде |
Уменьшение < 5% - 0 баллов; Уменьшение >= 5% - 0,5 балла; Уменьшение >= 10% - 1 балл; Ниже среднего - 0,5 балла; Минимально возможное значение - 1 балл |
1 |
13 |
Доля взрослых пациентов, повторно госпитализированных за период по причине заболеваний сердечно-сосудистой системы или их осложнений в течение года с момента предыдущей госпитализации, от общего числа взрослых пациентов, госпитализированных за период по причине заболеваний сердечно-сосудистой системы или их осложнений |
Уменьшение показателя за период по отношению к показателю в предыдущем периоде |
Уменьшение < 3% - 0 баллов; Уменьшение >= 3% - 1 балл; Уменьшение >= 7% - 2 балла; Ниже среднего - 1 балл; Минимально возможное значение - 2 балла |
2 |
14 |
Доля взрослых пациентов, находящихся под диспансерным наблюдением по поводу сахарного диабета, у которых впервые зарегистрированы осложнения за период (диабетическая ретинопатия, диабетическая стопа), от общего числа взрослых пациентов, находящихся под диспансерным наблюдением по поводу сахарного диабета за период |
Уменьшение показателя за период по отношению к показателю в предыдущем периоде |
Уменьшение < 5% - 0 баллов; Уменьшение >= 5% - 0,5 балла; Уменьшение >= 10% - 1 балл; Ниже среднего - 0,5 балла; Минимально возможное значение - 1 балл |
1 |
Детское население (от 0 до 17 лет включительно) |
7 | |||
Оценка эффективности профилактических мероприятий и диспансерного наблюдения | ||||
15 |
Охват вакцинацией детей в рамках Национального календаря прививок |
Достижение планового показателя |
100% плана или более - 1 балл; Выше среднего - 0,5 балла |
1 |
16 |
Доля детей, в отношении которых установлено диспансерное наблюдение по поводу болезней костно-мышечной системы и соединительной ткани за период, от общего числа детей с впервые в жизни установленными диагнозами болезней костно-мышечной системы и соединительной ткани за период |
Достижение планового показателя |
100% от числа подлежащих диспансерному наблюдению - 1 балл; Выше среднего - 0,5 балла |
1 |
17 |
Доля детей, в отношении которых установлено диспансерное наблюдение по поводу болезней глаза и его придаточного аппарата за период, от общего числа детей с впервые в жизни установленными диагнозами болезней глаза и его придаточного аппарата за период |
Достижение планового показателя |
100% от числа подлежащих диспансерному наблюдению - 1 балл; Выше среднего - 0,5 балла |
1 |
18 |
Доля детей, в отношении которых установлено диспансерное наблюдение по поводу болезней органов пищеварения за период, от общего числа детей с впервые в жизни установленными диагнозами болезней органов пищеварения за период |
Достижение планового показателя |
100% от числа подлежащих диспансерному наблюдению - 1 балл; Выше среднего - 0,5 балла |
1 |
19 |
Доля детей, в отношении которых установлено диспансерное наблюдение по поводу болезней системы кровообращения за период, от общего числа детей с впервые в жизни установленными диагнозами болезней системы кровообращения за период |
Достижение планового показателя |
100% от числа подлежащих диспансерному наблюдению - 2 балла; Выше среднего - 1 балл |
2 |
20 |
Доля детей, в отношении которых установлено диспансерное наблюдение по поводу болезней эндокринной системы, расстройства питания и нарушения обмена веществ за период, от общего числа детей с впервые в жизни установленными диагнозами болезней эндокринной системы, расстройства питания и нарушения обмена веществ за период |
Достижение планового показателя |
100% от числа подлежащих диспансерному наблюдению - 1 балл; Выше среднего - 0,5 балла |
1 |
Оказание акушерско-гинекологической помощи |
6 | |||
Оценка эффективности профилактических мероприятий | ||||
21 |
Доля женщин, отказавшихся от искусственного прерывания беременности, от числа женщин, прошедших доабортное консультирование за период |
Прирост показателя за период по отношению к показателю за предыдущий период |
Прирост < 5% - 0 баллов; Прирост >= 5% - 0,5 балла; Прирост >= 10% - 1 балл; Выше среднего - 0,5 балла; Максимально возможное значение - 1 балл |
1 |
22 |
Доля беременных женщин, вакцинированных против новой коронавирусной инфекции (COVID-19) за период, от числа женщин, состоящих на учете по беременности и родам на начало периода |
Достижение планового показателя |
100% плана или более - 1 балл; Выше среднего - 0,5 балла |
1 |
23 |
Доля женщин с установленным диагнозом злокачественное новообразование шейки матки, выявленным впервые при диспансеризации, от общего числа женщин с установленным диагнозом злокачественное новообразование шейки матки за период |
Прирост показателя за период по отношению к показателю за предыдущий период |
Прирост < 5% - 0 баллов; Прирост >= 5% - 0,5 балла; Прирост >= 10% - 1 балл; Выше среднего - 0,5 балла; Максимально возможное значение - 1 балл |
1 |
24 |
Доля женщин с установленным диагнозом злокачественное новообразование молочной железы, выявленным впервые при диспансеризации, от общего числа женщин с установленным диагнозом злокачественное новообразование молочной железы за период |
Прирост показателя за период по отношению к показателю за предыдущий период |
Прирост < 5% - 0 баллов; Прирост >= 5% - 0,5 балла; Прирост >= 10% - 1 балл; Выше среднего - 0,5 балла; Максимально возможное значение - 1 балл |
1 |
25 |
Доля беременных женщин, прошедших скрининг в части оценки антенатального развития плода за период, от общего числа женщин, состоявших на учете по поводу беременности и родов за период |
Достижение планового показателя |
100% плана или более - 2 балла; Выше среднего - 1 балл |
2 |
* По набору кодов Международной
статистической классификации болезней и
проблем, связанных со здоровьем,
десятого пересмотра (МКБ-10).
** По решению Комиссии
рекомендуемые значения максимальных
баллов и их количество могут быть
пересмотрены для учреждений, которые
оказывают помощь женщинам и детскому
населению (отдельные юридические лица).
*** Выполненным считается
показатель со значением 0,5 и более балла.
В случае, если медицинская организация
удовлетворяет нескольким критериям для
начисления баллов, присваивается
максимальный из возможных для
начисления балл. В случае, если значение,
указанное в знаменателе соответствующих
формул, приведенных в Таблице N 2,
равняется нулю, баллы по показателю не
начисляются, а указанный показатель (по
решению субъекта Российской Федерации)
может исключаться из числа применяемых
показателей при расчете доли
достигнутых показателей
результативности для медицинской
организации за период.
**** Среднее значение по городу
Севастополю по показателям
рекомендуется рассчитывать на основании
сведений об оказании медицинской помощи
медицинскими организациями, имеющими
прикрепленное население, оплата
медицинской помощи в которых
осуществляется по подушевому нормативу
финансирования, путем деления суммы
значений, указанных в числителе
соответствующих формул, приведенных в
Таблице N 2, на сумму значений, указанных в
знаменателе соответствующих формул,
приведенных в Таблице N 2. Полученное
значение умножается на 100 по аналогии с
алгоритмом, описанным в Таблице N 2.
Минимально возможным значением
показателя является значение "0".
Максимально возможным значением
показателя "100 процентов".
К группам диагнозов,
обусловливающих высокий риск смерти,
целесообразно относить любое сочетание
сопутствующих заболеваний и осложнений
с основным диагнозом, указанных в
таблице:
Основной диагноз |
Сопутствующие заболевания |
Осложнение заболевания |
Ишемические болезни сердца I20 - I25 |
Сахарный диабет E10 - E11 |
Недостаточность сердечная I50.0 - I50.9 |
Гипертензивные болезни I10 - I11; I12 - I13 |
Хроническая обструктивная легочная болезнь J44.0 - J44.9 |
Нарушение ритма I48 - 49 Нарушения проводимости I44 - I45 |
Цереброваскулярные болезни I60 - I69 |
Хроническая болезнь почек, гипертензивная болезнь с поражением почек N18.1 - N18.9 |
Сердце легочное хроническое I27.9 Гипостатическая пневмония J18.2 Недостаточность почечная N18.9 Уремия N19 Гангрена R02 Недостаточность легочная J98.4 Эмфизема J43.9 |
Таблица N 2
Методика расчета значений показателей
результативности деятельности
медицинских организаций
N |
Наименование показателя |
Формула расчета <**> |
Единицы измерения |
Источник |
Взрослое население (в возрасте 18 лет и старше) | ||||
Оценка эффективности профилактических мероприятий | ||||
1. |
Доля врачебных посещений с профилактической целью за период от общего числа посещений за период (включая посещения на дому) |
где: Dprof - доля врачебных посещений с профилактической целью за период от общего числа посещений за период (включая посещения на дому), выраженная в процентах; Pprof - число врачебных посещений с профилактической целью за период; Pvs - посещений за период (включая посещения на дому); Oz - общее число обращений за отчетный период; k - коэффициент перевода обращений в посещения |
Процент |
Источником информации являются реестры оказанной медицинской помощи застрахованным лицам, за исключением посещений стоматологического профиля. Отбор информации для расчета показателей осуществляется по полям реестра: - дата окончания лечения; - цель посещения |
2. |
Доля взрослых пациентов с болезнями системы кровообращения, выявленными впервые при профилактических медицинских осмотрах и диспансеризации за период, от общего числа взрослых пациентов с болезнями системы кровообращения с впервые в жизни установленным диагнозом за период |
где: Dбск - доля взрослых пациентов с болезнями системы кровообращения, выявленными впервые при профилактических медицинских осмотрах и диспансеризации за период, от общего числа взрослых пациентов с болезнями системы кровообращения с впервые в жизни установленным диагнозом за период; BSKдисп - число взрослых пациентов с болезнями системы кровообращения, выявленными впервые при профилактических медицинских осмотрах и диспансеризации за период; BSKвп - общее число взрослых пациентов с болезнями системы кровообращения с впервые в жизни установленным диагнозом за период |
Процент |
Источником информации являются реестры оказанной медицинской помощи застрахованным лицам. Отбор информации для расчета показателей осуществляется по полям реестра: - дата окончания лечения; - диагноз основной; - впервые выявлено (основной); - характер заболевания; - цель посещения; - дата рождения |
3. |
Доля взрослых пациентов с установленным диагнозом злокачественное новообразование, выявленным впервые при профилактических медицинских осмотрах и диспансеризации за период, от общего числа взрослых пациентов с впервые в жизни установленным диагнозом злокачественное новообразование за период |
где: Dзно - доля взрослых пациентов с установленным диагнозом злокачественное новообразование, выявленным впервые при профилактических медицинских осмотрах и диспансеризации за период, от общего числа взрослых пациентов с впервые в жизни установленным диагнозом злокачественное новообразование за период; ZNOдисп - число взрослых пациентов с установленным диагнозом злокачественное новообразование, выявленным впервые при профилактических медицинских осмотрах и диспансеризации за период; ZNOвп - общее число взрослых пациентов с впервые в жизни установленным диагнозом злокачественное новообразование за период |
Процент |
Расчет показателя осуществляется путем отбора информации по полям реестра формата Д3 "Файл со сведениями об оказанной медицинской помощи при диспансеризации" предусматривает поле реестра "признак подозрения на злокачественное новообразование". Движение пациента отслеживается по формату реестра Д4 "Файл со сведениями при осуществлении персонифицированного учета оказанной медицинской помощи при подозрении на злокачественное новообразование или установленном диагнозе злокачественного новообразования": - диагноз основной, - характер основного заболевания |
4. |
Доля взрослых пациентов с установленным диагнозом хроническая обструктивная болезнь легких, выявленным впервые при профилактических медицинских осмотрах и диспансеризации за период, от общего числа взрослых пациентов с впервые в жизни установленным диагнозом хроническая обструктивная легочная болезнь за период |
где: Dхобл - доля взрослых пациентов с установленным диагнозом хроническая обструктивная болезнь легких, выявленным впервые при профилактических медицинских осмотрах и диспансеризации за период, от общего числа взрослых пациентов с впервые в жизни установленным диагнозом хроническая обструктивная легочная болезнь за период; Hдисп - число взрослых пациентов с установленным диагнозом хроническая обструктивная болезнь легких, выявленным впервые при профилактических медицинских осмотрах и диспансеризации за период; Hвп - общее число взрослых пациентов с впервые в жизни установленным диагнозом хроническая обструктивная легочная болезнь за период |
Процент |
Источником информации являются реестры оказанной медицинской помощи застрахованным лицам. Отбор информации для расчета показателей осуществляется по полям реестра: - дата окончания лечения; - диагноз основной; - впервые выявлено (основной); - характер заболевания; - цель посещения; - дата рождения |
5. |
Доля взрослых пациентов с установленным диагнозом сахарный диабет, выявленным впервые при профилактических медицинских осмотрах и диспансеризации за период, от общего числа взрослых пациентов с впервые в жизни установленным диагнозом сахарный диабет за период |
где: Dсд - доля взрослых пациентов с установленным диагнозом сахарный диабет, выявленным впервые при профилактических медицинских осмотрах и диспансеризации за период, от общего числа взрослых пациентов с впервые в жизни установленным диагнозом сахарный диабет за период; SDдисп - число взрослых пациентов с установленным диагнозом сахарный диабет, выявленным впервые при профилактических медицинских осмотрах и диспансеризации за период; SDвп - общее число взрослых пациентов с впервые в жизни установленным диагнозом сахарный диабет за период |
Процент |
Источником информации являются реестры оказанной медицинской помощи застрахованным лицам. Отбор информации для расчета показателей осуществляется по полям реестра: - дата окончания лечения; - диагноз основной; - впервые выявлено (основной); - характер заболевания; - цель посещения; - дата рождения |
6. |
Выполнение плана вакцинации взрослых граждан по эпидемиологическим показаниям за период (коронавирусная инфекция COVID-19) |
где: Vvэпид - процент выполнения плана вакцинации взрослых граждан по эпидемиологическим показаниям за период (коронавирусная инфекция COVID-19); Fvэпид - фактическое число взрослых граждан, вакцинированных от коронавирусной инфекции COVID-19 в отчетном периоде; Pvэпид - число граждан, подлежащих вакцинации по эпидемиологическим показаниям за период (коронавирусная инфекция COVID-19) |
Процент |
Источником информации являются сведения органов государственной власти субъектов Российской Федерации в сфере охраны здоровья, соотносимые с данными федерального регистра вакцинированных |
Оценка эффективности диспансерного наблюдения | ||||
7. |
Доля взрослых пациентов с болезнями системы кровообращения <*>, имеющих высокий риск преждевременной смерти, состоящих под диспансерным наблюдением, от общего числа взрослых пациентов с болезнями системы кровообращения <*>, имеющих высокий риск преждевременной смерти, за период |
где: DNриск - доля взрослых пациентов с болезнями системы кровообращения <*>, имеющих высокий риск преждевременной смерти, состоящих под диспансерным наблюдением, от общего числа взрослых пациентов с болезнями системы кровообращения <*>, имеющих высокий риск преждевременной смерти, за период; Rдн - число взрослых пациентов с болезнями системы кровообращения <*>, имеющих высокий риск преждевременной смерти, состоящих под диспансерным наблюдением; Rвп - общее число взрослых пациентов с болезнями системы кровообращения <*>, имеющих высокий риск преждевременной смерти, обратившихся за медицинской помощью за период |
На 100 пациентов |
Расчет показателя осуществляется путем отбора информации по полям реестра в формате Д1 "Файл со сведениями об оказанной медицинской помощи за период, кроме ВМП, диспансеризации, профилактических медицинских осмотров, медицинской помощи при подозрении на ЗНО": - дата окончания лечения; - результат обращения; - диагноз основной; - диагноз сопутствующего заболевания; - диагноз осложнения заболевания; - диспансерное наблюдение |
8. |
Число взрослых пациентов с болезнями системы кровообращения <*>, имеющих высокий риск преждевременной смерти, которым за период оказана медицинская помощь в неотложной форме и (или) скорая медицинская помощь, от общего числа взрослых пациентов с болезнями системы кровообращения <*>, имеющих высокий риск преждевременной смерти, за период |
где: Sриск - число взрослых пациентов с болезнями системы кровообращения <*>, имеющих высокий риск преждевременной смерти, которым за период оказана медицинская помощь в неотложной форме и (или) скорая медицинская помощь, от общего числа взрослых пациентов с болезнями системы кровообращения <*>, имеющих высокий риск преждевременной смерти, за период; Vриск - число взрослых пациентов с болезнями системы кровообращения <*>, имеющих высокий риск преждевременной смерти, которым за период оказана медицинская помощь в неотложной форме и (или) скорая медицинская помощь по поводу болезней системы кровообращения <*>, приводящих к высокому риску преждевременной смертности; Dриск - общее число взрослых пациентов с болезнями системы кровообращения <*>, имеющих высокий риск преждевременной смерти, обратившихся за медицинской помощью за период |
На 100 пациентов |
Расчет показателя осуществляется путем отбора информации по полям реестра в формате Д1 "Файл со сведениями об оказанной медицинской помощи, кроме ВМП, диспансеризации, профилактических медицинских осмотров, медицинской помощи при подозрении на ЗНО": - дата окончания лечения; - результат обращения; - диагноз основной; - диагноз сопутствующего заболевания; - диагноз осложнения заболевания; - диспансерное наблюдение; - условия оказания медицинской помощи; - форма оказания медицинской помощи |
9. |
Доля взрослых пациентов с болезнями системы кровообращения, в отношении которых установлено диспансерное наблюдение за период, от общего числа взрослых пациентов с впервые в жизни установленным диагнозом болезни системы кровообращения за период |
где: DNбск - доля взрослых пациентов с болезнями системы кровообращения, в отношении которых установлено диспансерное наблюдение за период, от общего числа взрослых пациентов с впервые в жизни установленным диагнозом болезни системы кровообращения за период; BSKдн - число взрослых пациентов с болезнями системы кровообращения, в отношении которых установлено диспансерное наблюдение за период; BSKвп - общее число взрослых пациентов с впервые в жизни установленным диагнозом болезни системы кровообращения за период |
Процент |
Источником информации являются реестры оказанной медицинской помощи застрахованным лицам. Отбор информации для расчета показателей осуществляется по полям реестра: - дата постановки на диспансерный учет; - диагноз основной; - возраст пациента; - характер заболевания; - впервые выявлено (основной); - дата рождения. Источником информации является информационный ресурс территориального фонда в части сведений о лицах, состоящих под диспансерным наблюдением (гл. 15 Приказа 108н МЗ РФ) |
10. |
Доля взрослых пациентов с установленным диагнозом хроническая обструктивная болезнь легких, в отношении которых установлено диспансерное наблюдение за период, от общего числа взрослых пациентов с впервые в жизни установленным диагнозом хроническая обструктивная болезнь легких за период |
где: DNхобл - доля взрослых пациентов с установленным диагнозом хроническая обструктивная болезнь легких, в отношении которых установлено диспансерное наблюдение за период, от общего числа взрослых пациентов с впервые в жизни установленным диагнозом хроническая обструктивная болезнь легких за период; Hдн - число взрослых пациентов с установленным диагнозом хроническая обструктивная болезнь легких, в отношении которых установлено диспансерное наблюдение за период; Hвп - общее число взрослых пациентов с впервые в жизни установленным диагнозом хроническая обструктивная болезнь легких за период |
Процент |
Источником информации являются реестры оказанной медицинской помощи застрахованным лицам. Отбор информации для расчета показателей осуществляется по полям реестра: - дата постановки на диспансерный учет; - диагноз основной; - возраст пациента; - характер заболевания; - впервые выявлено (основной); - дата рождения. Источником информации является информационный ресурс территориального фонда в части сведений о лицах, состоящих под диспансерным наблюдением (гл. 15 Приказа 108н МЗ РФ) |
11. |
Доля взрослых пациентов с установленным диагнозом сахарный диабет, в отношении которых установлено диспансерное наблюдение за период, от общего числа взрослых пациентов с впервые в жизни установленным диагнозом сахарный диабет за период |
где: DNсд - доля взрослых пациентов с установленным диагнозом сахарный диабет, в отношении которых установлено диспансерное наблюдение за период, от общего числа взрослых пациентов с впервые в жизни установленным диагнозом сахарный диабет за период; SDдн - число взрослых пациентов с установленным диагнозом сахарный диабет, в отношении которых установлено диспансерное наблюдение за период; SDвп - общее число взрослых пациентов с впервые в жизни установленным диагнозом сахарный диабет за период |
Процент |
Источником информации являются реестры оказанной медицинской помощи застрахованным лицам. Отбор информации для расчета показателей осуществляется по полям реестра: - дата постановки на диспансерный учет; - диагноз основной; - возраст пациента; - характер заболевания; - впервые выявлено (основной); - дата рождения. Источником информации является информационный ресурс территориального фонда в части сведений о лицах, состоящих под диспансерным наблюдением (гл. 15 Приказа 108н МЗ РФ) |
12. |
Доля взрослых пациентов, госпитализированных за период по экстренным показаниям в связи с обострением (декомпенсацией) состояний, по поводу которых пациент находится под диспансерным наблюдением, от общего числа взрослых пациентов, находящихся под диспансерным наблюдением за период |
где: Hвсего - доля взрослых пациентов, госпитализированных за период по экстренным показаниям в связи с обострением (декомпенсацией) состояний, по поводу которых пациент находится под диспансерным наблюдением, от общего числа взрослых пациентов, находящихся под диспансерным наблюдением за период; Oвсего - число взрослых пациентов, госпитализированных за период по экстренным показаниям в связи с обострением (декомпенсацией) состояний, по поводу которых пациент находится под диспансерным наблюдением; Dnвсего - общее число взрослых пациентов, находящихся под диспансерным наблюдением за период |
Процент |
Источником информации является информационный ресурс территориального фонда в части сведений о лицах, состоящих под диспансерным наблюдением (гл. 15 Приказа 108н МЗ РФ). Источником информации являются реестры (стационар) оказанной медицинской помощи застрахованным лицам. Отбор информации для расчета показателей осуществляется по полям реестра: - дата окончания лечения; - диагноз основной; - диагноз сопутствующий; - диагноз осложнений; - характер заболевания; - форма оказания медицинской помощи |
13. |
Доля взрослых пациентов, повторно госпитализированных за период по причине заболеваний сердечно-сосудистой системы или их осложнений в течение года с момента предыдущей госпитализации, от общего числа взрослых пациентов, госпитализированных за период по причине заболеваний сердечно-сосудистой системы или их осложнений |
где: Pбск - доля взрослых пациентов, повторно госпитализированных за период по причине заболеваний сердечно-сосудистой системы или их осложнений в течение года с момента предыдущей госпитализации, от общего числа взрослых пациентов, госпитализированных за период по причине заболеваний сердечно-сосудистой системы или их осложнений; PHбск - число взрослых пациентов, повторно госпитализированных за период по причине заболеваний сердечно-сосудистой системы или их осложнений в течение года с момента предыдущей госпитализации; Hбск - общее число взрослых пациентов, госпитализированных за период по причине заболеваний сердечно-сосудистой системы или их осложнений |
Процент |
Источником информации являются реестры (стационар) оказанной медицинской помощи застрахованным лицам. Отбор информации для расчета показателей осуществляется по полям реестра: - дата начала лечения; - диагноз основной; - диагноз сопутствующий; - диагноз осложнений; - характер заболевания; - форма оказания медицинской помощи |
14. |
Доля взрослых пациентов, находящихся под диспансерным наблюдением по поводу сахарного диабета, у которых впервые зарегистрированы осложнения за период (диабетическая ретинопатия, диабетическая стопа), от общего числа взрослых пациентов, находящихся под диспансерным наблюдением по поводу сахарного диабета за период |
где: SD - доля взрослых пациентов, находящихся под диспансерным наблюдением по поводу сахарного диабета, у которых впервые зарегистрированы осложнения за период (диабетическая ретинопатия, диабетическая стопа), от общего числа взрослых пациентов, находящихся под диспансерным наблюдением по поводу сахарного диабета за период; Osl - число взрослых пациентов, находящихся под диспансерным наблюдением по поводу сахарного диабета, у которых впервые зарегистрированы осложнения за период (диабетическая ретинопатия, диабетическая стопа); SD - общее число взрослых пациентов, находящихся под диспансерным наблюдением по поводу сахарного диабета за период |
Процент |
Источником информации является информационный ресурс территориального фонда в части сведений о лицах, состоящих под диспансерным наблюдением (гл. 15 Приказа 108н МЗ РФ). Источником информации являются реестры оказанной медицинской помощи застрахованным лицам. Отбор информации для расчета показателей осуществляется по полям реестра: - дата окончания лечения; - диагноз основной; - диагноз сопутствующий; - впервые выявлено (основной); - характер заболевания; - цель посещения |
Детское население (от 0 до 17 лет включительно) | ||||
Оценка эффективности профилактических мероприятий и диспансерного наблюдения | ||||
15. |
Охват вакцинацией детей в рамках Национального календаря прививок |
где: Vdнац - процент охвата вакцинацией детей в рамках Национального календаря прививок в отчетном периоде; Fdнац - фактическое число вакцинированных детей в рамках Национального календаря прививок в отчетном периоде; Pdнац - число детей соответствующего возраста (согласно Национальному календарю прививок) на начало отчетного периода |
Процент |
Источником информации являются данные органов государственной власти субъектов Российской Федерации в сфере охраны здоровья, предоставляемые на бумажных носителях |
16. |
Доля детей, в отношении которых установлено диспансерное наблюдение по поводу болезней костно-мышечной системы и соединительной ткани за период, от общего числа детей с впервые в жизни установленными диагнозами болезней костно-мышечной системы и соединительной ткани за период |
где: Ddkms - доля детей, в отношении которых установлено диспансерное наблюдение по поводу болезней костно-мышечной системы и соединительной ткани за период, от общего числа детей с впервые в жизни установленными диагнозами болезней костно-мышечной системы и соединительной ткани за период; Cdkms - число детей, в отношении которых установлено диспансерное наблюдение по поводу болезней костно-мышечной системы и соединительной ткани за период; Cpkms - общее число детей с впервые в жизни установленными диагнозами болезней костно-мышечной системы и соединительной ткани за период |
Процент |
Источником информации являются реестры оказанной медицинской помощи застрахованным лицам. Отбор информации для расчета показателей осуществляется по полям реестра: - дата рождения; - дата окончания лечения; - диагноз основной; - впервые выявлено (основной); - характер заболевания; - цель посещения |
17. |
Доля детей, в отношении которых установлено диспансерное наблюдение по поводу болезней глаза и его придаточного аппарата за период, от общего числа детей с впервые в жизни установленными диагнозами болезней глаза и его придаточного аппарата за период |
где: Ddgl - доля детей, в отношении которых установлено диспансерное наблюдение по поводу болезней глаза и его придаточного аппарата за период, от общего числа детей с впервые в жизни установленными диагнозами болезней глаза и его придаточного аппарата за период; Cdgl - число детей, в отношении которых установлено диспансерное наблюдение по поводу болезней глаза и его придаточного аппарата за период; Cpgl - общее число детей с впервые в жизни установленными диагнозами болезней глаза и его придаточного аппарата за период |
Процент |
Источником информации являются реестры оказанной медицинской помощи застрахованным лицам. Отбор информации для расчета показателей осуществляется по полям реестра: - дата рождения; - дата окончания лечения; - диагноз основной; - впервые выявлено (основной); - характер заболевания; - цель посещения |
18. |
Доля детей, в отношении которых установлено диспансерное наблюдение по поводу болезней органов пищеварения за период, от общего числа детей с впервые в жизни установленными диагнозами болезней органов пищеварения за период |
где: Dbop - доля детей, в отношении которых установлено диспансерное наблюдение по поводу болезней органов пищеварения за период, от общего числа детей с впервые в жизни установленными диагнозами болезней органов пищеварения за период; Cdbop - число детей, в отношении которых установлено диспансерное наблюдение по поводу болезней органов пищеварения за период; Cpbop - общее число детей с впервые в жизни установленными диагнозами болезней органов пищеварения за период |
Процент |
Источником информации являются реестры оказанной медицинской помощи застрахованным лицам. Отбор информации для расчета показателей осуществляется по полям реестра: - дата рождения; - дата окончания лечения; - диагноз основной; - впервые выявлено (основной); - характер заболевания; - цель посещения |
19. |
Доля детей, в отношении которых установлено диспансерное наблюдение по поводу болезней системы кровообращения за период, от общего числа детей с впервые в жизни установленными диагнозами болезней системы кровообращения за период |
где: Ddbsk - доля детей, в отношении которых установлено диспансерное наблюдение по поводу болезней системы кровообращения за период, от общего числа детей с впервые в жизни установленными диагнозами болезней системы кровообращения за период; Cdbsk - число детей, в отношении которых установлено диспансерное наблюдение по поводу болезней системы кровообращения за период; Cpbsk - общее число детей с впервые в жизни установленными диагнозами болезней системы кровообращения за период |
Процент |
Источником информации являются реестры оказанной медицинской помощи застрахованным лицам. Отбор информации для расчета показателей осуществляется по полям реестра: - дата рождения; - дата окончания лечения; - диагноз основной; - впервые выявлено (основной); - характер заболевания; - цель посещения |
20. |
Доля детей, в отношении которых установлено диспансерное наблюдение по поводу болезней эндокринной системы, расстройства питания и нарушения обмена веществ за период, от общего числа детей с впервые в жизни установленными диагнозами болезней эндокринной системы, расстройства питания и нарушения обмена веществ за период |
где: Ddbes - доля детей, в отношении которых установлено диспансерное наблюдение по поводу болезней эндокринной системы, расстройства питания и нарушения обмена веществ за период, от общего числа детей с впервые в жизни установленными диагнозами болезней эндокринной системы, расстройства питания и нарушения обмена веществ за период; Cdbes - число детей, в отношении которых установлено диспансерное наблюдение по поводу болезней эндокринной системы, расстройства питания и нарушения обмена веществ за период; Cpbes - общее число детей с впервые в жизни установленными диагнозами болезней эндокринной системы, расстройства питания и нарушения обмена веществ за период |
Процент |
Источником информации являются реестры оказанной медицинской помощи застрахованным лицам. Отбор информации для расчета показателей осуществляется по полям реестра: - дата рождения; - дата окончания лечения; - диагноз основной; - впервые выявлено (основной); - характер заболевания; - цель посещения |
Оказание акушерско-гинекологической помощи | ||||
Оценка эффективности профилактических мероприятий | ||||
21. |
Доля женщин, отказавшихся от искусственного прерывания беременности, от числа женщин, прошедших доабортное консультирование за период |
где: W - доля женщин, отказавшихся от искусственного прерывания беременности, от числа женщин, прошедших доабортное консультирование за период; Kотк - число женщин, отказавшихся от искусственного прерывания беременности; K - общее число женщин, прошедших доабортное консультирование за период |
Процент |
Источником информации являются данные органов государственной власти субъектов Российской Федерации в сфере охраны здоровья, предоставляемые на бумажных носителях |
22. |
Доля беременных женщин, вакцинированных от коронавирусной инфекции COVID-19 за период, от числа женщин, состоящих на учете по беременности и родам на начало периода |
где: Vbcovid - доля беременных женщин, вакцинированных от коронавирусной инфекции COVID-19 за период, от числа женщин, состоящих на учете по беременности и родам на начало периода; Fbcovid - фактическое число беременных женщин, вакцинированных от коронавирусной инфекции COVID-19 за период; Pbcovid - число женщин, состоящих на учете по беременности и родам на начало периода |
Процент |
Источником информации являются данные органов государственной власти субъектов Российской Федерации в сфере охраны здоровья, предоставляемые на бумажных носителях (Pbcovid) и данные федерального регистра вакцинированных (Fbcovid) |
23. |
Доля женщин с установленным диагнозом злокачественное новообразование шейки матки, выявленным впервые при диспансеризации, от общего числа женщин с установленным диагнозом злокачественное новообразование шейки матки за период |
где: Zшм - доля женщин с установленным диагнозом злокачественное новообразование шейки матки, выявленным впервые при диспансеризации, от общего числа женщин с установленным диагнозом злокачественное новообразование шейки матки за период; Aшм - число женщин с установленным диагнозом злокачественное новообразование шейки матки, выявленным впервые при диспансеризации; Vшм - общее число женщин с установленным диагнозом злокачественное новообразование шейки матки за период |
Процент |
Расчет показателя производится путем отбора информации по полям реестра формата Д3 "Файл со сведениями об оказанной медицинской помощи при диспансеризации" предусматривает поле реестра: - признак подозрения на злокачественное новообразование. В дальнейшем движение пациента возможно отследить по формату Д4. Файл со сведениями при осуществлении персонифицированного учета оказанной медицинской помощи при подозрении на злокачественное новообразование или установленном диагнозе злокачественного новообразования: - диагноз основной, - характер основного заболевания |
24. |
Доля женщин с установленным диагнозом злокачественное новообразование молочной железы, выявленным впервые при диспансеризации, от общего числа женщин с установленным диагнозом злокачественное новообразование молочной железы за период |
где: Zмж - доля женщин с установленным диагнозом злокачественное новообразование молочной железы, выявленным впервые при диспансеризации, от общего числа женщин с установленным диагнозом злокачественное новообразование молочной железы за период; Aмж - число женщин с установленным диагнозом злокачественное новообразование молочной железы, выявленным впервые при диспансеризации; Vмж - общее число женщин с установленным диагнозом злокачественное новообразование молочной железы за период |
Процент |
Расчет осуществляется путем отбора информации по полям реестра формата Д3 "Файл со сведениями об оказанной медицинской помощи при диспансеризации" предусматривает поле реестра: - признак подозрения на злокачественное новообразование. В дальнейшем движение пациента возможно отследить по формату Д4. Файл со сведениями при осуществлении персонифицированного учета оказанной медицинской помощи при подозрении на злокачественное новообразование или установленном диагнозе злокачественного новообразования: - диагноз основной, - характер основного заболевания |
25. |
Доля беременных женщин, прошедших скрининг в части оценки антенатального развития плода за период, от общего числа женщин, состоявших на учете по поводу беременности и родов за период |
где: B - доля беременных женщин, прошедших скрининг в части оценки антенатального развития плода за период, от общего числа женщин, состоявших на учете по поводу беременности и родов за период; S - число беременных женщин, прошедших скрининг в части оценки антенатального развития плода при сроке беременности 11 - 14 недель (УЗИ и определение материнских сывороточных маркеров) и 19 - 21 неделя (УЗИ), с родоразрешением за период; U - общее число женщин, состоявших на учете по поводу беременности и родов за период, с родоразрешением за период |
Процент |
Источником информации являются данные органов государственной власти субъектов Российской Федерации в сфере охраны здоровья, предоставляемые на бумажных носителях |
* По набору кодов Международной
статистической классификации болезней и
проблем, связанных со здоровьем,
десятого пересмотра (МКБ-10).
** В условиях распространения новой
коронавирусной инфекции (COVID-19) методика
расчета показателя может быть
скорректирована на предмет исключения
из расчета периода, когда деятельность
медицинской организации (в части
соответствующего направления
деятельности) была приостановлена
приказом руководителя медицинской
организации за отчетный и предыдущий
годы соответственно путем пересчета к
годовому значению.
Таблица N 3
Перечень медицинских организаций (групп медицинских организаций) с указанием показателей результативности, применяемых для указанных медицинских организаций (групп медицинских организаций)
N |
Наименование показателя |
ГБУЗС "Городская больница N 1" |
ГБУЗС "Городская больница N 4" |
ГБУЗС "Городская больница N 5" |
ГБУЗС "Севастопольская городская больница N 9" |
ЧВВМУ им. П.С. Нахимова |
Блок 1. Взрослое население (в возрасте 18 лет и старше) | ||||||
Оценка эффективности профилактических мероприятий | ||||||
1 |
Доля врачебных посещений с профилактической целью за период от общего числа посещений за период (включая посещения на дому) |
+ |
+ |
|
+ |
+ |
2 |
Доля взрослых пациентов с болезнями системы кровообращения, выявленными впервые при профилактических медицинских осмотрах и диспансеризации за период, от общего числа взрослых пациентов с болезнями системы кровообращения с впервые в жизни установленным диагнозом за период |
+ |
+ |
|
+ |
+ |
3 |
Доля взрослых пациентов с установленным диагнозом злокачественное новообразование, выявленным впервые при профилактических медицинских осмотрах и диспансеризации за период, от общего числа взрослых пациентов с впервые в жизни установленным диагнозом злокачественное новообразование за период |
+ |
+ |
|
+ |
+ |
4 |
Доля взрослых пациентов с установленным диагнозом хроническая обструктивная болезнь легких, выявленным впервые при профилактических медицинских осмотрах и диспансеризации за период, от общего числа взрослых пациентов с впервые в жизни установленным диагнозом хроническая обструктивная легочная болезнь за период |
+ |
+ |
|
+ |
+ |
5 |
Доля взрослых пациентов с установленным диагнозом сахарный диабет, выявленным впервые при профилактических медицинских осмотрах и диспансеризации за период, от общего числа взрослых пациентов с впервые в жизни установленным диагнозом сахарный диабет за период |
+ |
+ |
|
+ |
+ |
6 |
Выполнение плана вакцинации взрослых граждан по эпидемиологическим показаниям за период (коронавирусная инфекция COVID-19) |
+ |
+ |
|
+ |
+ |
Оценка эффективности диспансерного наблюдения | ||||||
7 |
Доля взрослых пациентов с болезнями системы кровообращения <*>, имеющих высокий риск преждевременной смерти, состоящих под диспансерным наблюдением, от общего числа взрослых пациентов с болезнями системы кровообращения <*>, имеющих высокий риск преждевременной смерти, за период |
+ |
+ |
|
+ |
+ |
8 |
Число взрослых пациентов с болезнями системы кровообращения <*>, имеющих высокий риск преждевременной смерти, которым за период оказана медицинская помощь в неотложной форме и (или) скорая медицинская помощь, от общего числа взрослых пациентов с болезнями системы кровообращения <*>, имеющих высокий риск преждевременной смерти, за период |
+ |
+ |
|
+ |
+ |
9 |
Доля взрослых пациентов с болезнями системы кровообращения, в отношении которых установлено диспансерное наблюдение за период, от общего числа взрослых пациентов с впервые в жизни установленным диагнозом болезни системы кровообращения за период |
+ |
+ |
|
+ |
+ |
10 |
Доля взрослых пациентов с установленным диагнозом хроническая обструктивная болезнь легких, в отношении которых установлено диспансерное наблюдение за период, от общего числа взрослых пациентов с впервые в жизни установленным диагнозом хроническая обструктивная болезнь легких за период |
+ |
+ |
|
+ |
+ |
11 |
Доля взрослых пациентов с установленным диагнозом сахарный диабет, в отношении которых установлено диспансерное наблюдение за период, от общего числа взрослых пациентов с впервые в жизни установленным диагнозом сахарный диабет за период |
+ |
+ |
|
+ |
+ |
12 |
Доля взрослых пациентов, госпитализированных за период по экстренным показаниям в связи с обострением (декомпенсацией) состояний, по поводу которых пациент находится под диспансерным наблюдением, от общего числа взрослых пациентов, находящихся под диспансерным наблюдением за период |
+ |
+ |
|
+ |
+ |
13 |
Доля взрослых пациентов, повторно госпитализированных за период по причине заболеваний сердечно-сосудистой системы или их осложнений в течение года с момента предыдущей госпитализации, от общего числа взрослых пациентов, госпитализированных за период по причине заболеваний сердечно-сосудистой системы или их осложнений |
+ |
+ |
|
+ |
+ |
14 |
Доля взрослых пациентов, находящихся под диспансерным наблюдением по поводу сахарного диабета, у которых впервые зарегистрированы осложнения за период (диабетическая ретинопатия, диабетическая стопа), от общего числа взрослых пациентов, находящихся под диспансерным наблюдением по поводу сахарного диабета за период |
+ |
+ |
|
+ |
+ |
Блок 2. Детское население (от 0 до 17 лет включительно) | ||||||
Оценка эффективности профилактических мероприятий | ||||||
15 |
Охват вакцинацией детей в рамках Национального календаря прививок |
|
+ |
+ |
+ |
|
16 |
Доля детей, в отношении которых установлено диспансерное наблюдение по поводу болезней костно-мышечной системы и соединительной ткани за период, от общего числа детей с впервые в жизни установленными диагнозами болезней костно-мышечной системы и соединительной ткани за период |
|
+ |
+ |
+ |
|
17 |
Доля детей, в отношении которых установлено диспансерное наблюдение по поводу болезней глаза и его придаточного аппарата за период, от общего числа детей с впервые в жизни установленными диагнозами болезней глаза и его придаточного аппарата за период |
|
+ |
+ |
+ |
|
18 |
Доля детей, в отношении которых установлено диспансерное наблюдение по поводу болезней органов пищеварения за период, от общего числа детей с впервые в жизни установленными диагнозами болезней органов пищеварения за период |
|
+ |
+ |
+ |
|
19 |
Доля детей, в отношении которых установлено диспансерное наблюдение по поводу болезней системы кровообращения за период, от общего числа детей с впервые в жизни установленными диагнозами болезней системы кровообращения за период |
|
+ |
+ |
+ |
|
20 |
Доля детей, в отношении которых установлено диспансерное наблюдение по поводу болезней эндокринной системы, расстройства питания и нарушения обмена веществ за период, от общего числа детей с впервые в жизни установленными диагнозами болезней эндокринной системы, расстройства питания и нарушения обмена веществ за период |
|
+ |
+ |
+ |
|
Блок 3. Оказание акушерско-гинекологической помощи | ||||||
Оценка эффективности профилактических мероприятий | ||||||
21 |
Доля женщин, отказавшихся от искусственного прерывания беременности, от числа женщин, прошедших доабортное консультирование за период |
+ |
+ |
|
+ |
|
22 |
Доля беременных женщин, вакцинированных от коронавирусной инфекции (COVID-19) за период, от числа женщин, состоящих на учете по беременности и родам на начало периода |
+ |
+ |
|
+ |
|
23 |
Доля женщин с установленным диагнозом злокачественное новообразование шейки матки, выявленным впервые при диспансеризации, от общего числа женщин с установленным диагнозом злокачественное новообразование шейки матки за период |
+ |
+ |
|
+ |
+ |
24 |
Доля женщин с установленным диагнозом злокачественное новообразование молочной железы, выявленным впервые при диспансеризации, от общего числа женщин с установленным диагнозом злокачественное новообразование молочной железы за период |
+ |
+ |
|
+ |
+ |
25 |
Доля беременных женщин, прошедших скрининг в части оценки антенатального развития плода за период, от общего числа женщин, состоявших на учете по поводу беременности и родов за период |
+ |
+ |
|
+ |
|
Приложение N 2
к дополнительному соглашению
от 26.07.2024 N 6
к Тарифному соглашению
в системе ОМС города Севастополя
от 21.12.2023
Приложение N 3
к Тарифному соглашению
в системе ОМС города Севастополя
от 21.12.2023
Таблица N 1
Тарифы на оплату медицинской помощи за
единицу объема отдельных
диагностических и лабораторных
исследований, применяемые в том числе
для оплаты стоимости медицинской помощи,
оказанной медицинскими организациями
города Севастополя лицам,
застрахованным на территории других
субъектов Российской Федерации, и
межучрежденческих расчетов
Код услуги |
Наименование медицинской услуги |
Тариф одной услуги, рублей |
Коэффициент для определения стоимости |
Эндоскопические диагностические исследования | |||
A03.09.001 |
Бронхоскопия |
854,77 |
0,7896 |
A03.09.001.001 |
Бронхоскопия жестким бронхоскопом рентгенохирургическая |
854,77 |
0,7896 |
A03.09.001.002 |
Бронхоскопия аутофлюоресцентная |
942,39 |
0,8705 |
A03.09.001.003 |
Бронхоскопия с использованием ультраспектрального метода |
942,39 |
0,8705 |
A03.16.001 |
Эзофагогастродуоденоскопия |
1158,89 |
1,0705 |
A03.16.001.001 |
Эзофагогастродуоденоскопия с электрокоагуляцией кровоточащего сосуда |
1155,15 |
1,0670 |
A03.16.001.002 |
Эзофагогастродуоденоскопия со стимуляцией желчеотделения |
1155,15 |
1,0670 |
A03.16.001.003 |
Эзофагогастродуоденоскопия флюоресцентная |
1155,15 |
1,0670 |
A03.16.001.004 |
Эзофагогастродуоденоскопия с введением лекарственных препаратов |
1155,15 |
1,0670 |
A03.16.001.005 |
Эзофагогастродуоденоскопия трансназальная |
1155,15 |
1,0670 |
A03.17.002 |
Интестиноскопия |
1003,15 |
0,9266 |
A03.17.002.001 |
Интестиноскопия двухбаллонная |
1003,15 |
0,9266 |
A03.18.001 |
Колоноскопия |
854,77 |
0,7896 |
A03.18.001.001 |
Видеоколоноскопия |
888,95 |
0,8211 |
A03.18.001.007 |
Колоноскопия с введением лекарственных препаратов |
1338,54 |
1,2364 |
A03.19.004 |
Ректосигмоидоскопия |
911,75 |
0,8422 |
A03.19.004.001 |
Ректосигмоидоскопия с введением лекарственных препаратов |
749,46 |
0,6923 |
A03.17.002.002 |
Тонкокишечная эндоскопия видеокапсульная |
900,35 |
0,8317 |
A03.18.001.004 |
Эндосонография толстой кишки |
900,35 |
0,8317 |
A03.18.001.006 |
Толстокишечная эндоскопия видеокапсульная |
900,35 |
0,8317 |
A03.08.003 |
Эзофагоскопия |
749,46 |
0,6923 |
A03.08.003.001 |
Эзофагоскопия трансназальная |
749,46 |
0,6923 |
A03.09.002 |
Трахеоскопия |
749,46 |
0,6923 |
A03.09.003 |
Трахеобронхоскопия |
749,46 |
0,6923 |
A03.09.003.001 |
Видеотрахеобронхоскопия |
749,46 |
0,6923 |
A03.16.003 |
Эзофагогастроскопия |
749,46 |
0,6923 |
A03.16.003.001 |
Эзофагогастроскопия трансназальная |
749,46 |
0,6923 |
A03.17.001 |
Эзофагогастроинтестиноскопия |
749,46 |
0,6923 |
A03.17.001.001 |
Эзофагогастроинтестиноскопия трансназальная |
749,46 |
0,6923 |
A03.19.002 |
Ректороманоскопия |
569,84 |
0,5264 |
A03.19.003 |
Сигмоскопия |
749,46 |
0,6923 |
A06.18.001 |
Ирригоскопия |
569,84 |
0,5264 |
A06.18.003 |
Ирригография |
584,20 |
0,5396 |
A04.16.002 |
Эндосонография желудка |
604,11 |
0,5580 |
A04.16.004 |
Ультразвуковое исследование пищевода |
604,11 |
0,5580 |
A04.16.005 |
Эндосонография пищевода |
604,11 |
0,5580 |
Средний тариф с учетом утвержденных объемов |
1082,60 |
1,0 | |
Размер норматива финансовых затрат проведения 1 эндоскопического исследования |
1082,60 |
| |
Молекулярно-генетические исследования с целью выявления онкологических заболеваний | |||
A27.30.016 |
Молекулярно-генетическое исследование мутаций в гене EGFR в биопсийном (операционном) материале |
5459,00 |
0,6005 |
A27.30.008 |
Молекулярно-генетическое исследование мутаций в гене BRAF в биопсийном (операционном) материале |
6214,00 |
0,6835 |
A27.30.006 |
Молекулярно-генетическое исследование мутаций в гене KRAS в биопсийном (операционном) материале |
4500,00 |
0,4950 |
A27.30.007 |
Молекулярно-генетическое исследование мутаций в гене NRAS в биопсийном (операционном) материале |
4500,00 |
0,4950 |
A27.05.040 |
Молекулярно-генетическое исследование мутаций в генах BRCA1 и BRCA2 в крови |
3500,00 |
0,3850 |
A27.30.010 |
Молекулярно-генетическое исследование мутаций в гене BRCA1 в биопсийном (операционном) материале |
4785,30 |
0,5264 |
A27.30.011 |
Молекулярно-генетическое исследование мутаций в гене BRCA2 в биопсийном (операционном) материале |
4785,30 |
0,5264 |
A08.30.036 |
Определение амплификации гена HER2 методом флюоресцентной гибридизации in situ (FISH) |
15569,00 |
1,7125 |
A27.30.018 |
Молекулярно-генетическое исследование транслокаций гена ROS1 |
7267,00 |
0,7993 |
A27.30.017 |
Молекулярно-генетическое исследование транслокаций гена ALK |
7113,40 |
0,7824 |
A27.30.001 |
Определение микросателлитной нестабильности в биопсийном (операционном) материале методом ПЦР |
6854,70 |
0,7540 |
A08.30.037 |
Определение амплификации гена HER2 методом хромогенной гибридизации in situ (CISH) |
13200,00 |
1,4519 |
A08.30.038 |
Определение индекса пролиферативной активности экспрессии Ki-67 иммуногистохимическим методом |
2600,00 |
0,2860 |
A08.30.039 |
Определение экспрессии белка PDL1 иммуногистохимическим методом |
12013,00 |
1,3214 |
A08.30.040 |
Определение мутаций в генах MLH1, MSH2, MSH6, PMS2 иммуногистохимическим методом |
16048,00 |
1,7652 |
A27.05.017 |
Молекулярно-генетическое исследование точечных мутаций гена bcr-abl (химерный ген, образованный слиянием области кластера разрывов на 22 хромосоме и гена тирозин-киназы Абельсона на 9 хромосоме) |
6590,00 |
0,7249 |
A27.05.012 |
Молекулярно-генетическое исследование мутации в гене V617F (замена 617-й аминокислоты с валина на фенилаланин) JAK2 (янус тирозин-киназа второго типа) в крови |
4177,40 |
0,4595 |
A27.05.012.001 |
Молекулярно-генетическое исследование мутации в гене V617F (замена 617-й аминокислоты с валина на фенилаланин) JAK2 (янус тирозин-киназа второго типа) в крови, количественно |
4397,40 |
0,4837 |
A27.05.049 |
Молекулярно-генетическое исследование мутаций в генах MLH1, MSH2, MSH6, PMS2 в крови |
8794,70 |
0,9674 |
A27.30.012 |
Молекулярно-генетическое исследование мутаций в гене c-KIT в биопсийном (операционном) материале |
8987,00 |
0,9885 |
A27.30.036 |
Молекулярно-генетическое исследование транслокации t (1; 2) в биопсийном (операционном) материале |
17766,77 |
1,9542 |
A27.30.069 |
Определение экспрессии мРНК BCR-ABLp210 (количественное) |
5561,30 |
0,6117 |
A27.30.091 |
Молекулярно-генетическое исследование мутаций в гене FLT3-TKI методом секвенирования |
6057,20 |
0,6663 |
A11.30.092 |
Молекулярно-генетическое исследование мутаций в гене NPM1 методом секвенирования |
3949,30 |
0,4344 |
A27.30.093 |
Молекулярно-генетическое исследование мутаций в гене CEBPA методом секвенирования |
4996,27 |
0,5496 |
A27.30.094 |
Молекулярно-генетическое исследование мутаций в гене GATA1 методом секвенирования |
9300,90 |
1,0230 |
A27.30.106 |
Определение амплификации гена ERBB2 (HER2/Neu) в биопсийном (операционном) материале методом флюоресцентной гибридизации in situ (FISH) |
6643,80 |
0,7308 |
A12.05.013 |
Цитогенетическое исследование (кариотип) |
8794,70 |
0,9674 |
A27.05.015 |
Молекулярно-генетическое исследование мутации гена NPM1 (нуклеофосмин 1) в крови |
4177,40 |
0,4595 |
A27.05.016 |
Молекулярно-генетическое исследование мутации гена NPM1 (нуклеофосмин 1) в костном мозге |
4177,40 |
0,4595 |
A27.05.021 |
Молекулярно-генетическое исследование маркеров Ph-негативных миелопролиферативных заболеваний (мутации в генах JAK2, MPL и CALR) |
13290,00 |
1,4618 |
A27.30.051 |
Молекулярно-генетическое исследование мутаций в гене IDH1 в биопсийном (операционном) материале |
15520,10 |
1,7071 |
A27.30.052 |
Молекулярно-генетическое исследование мутаций в гене IDH2 в биопсийном (операционном) материале |
15520,10 |
1,7071 |
A27.30.067 |
Молекулярно-генетическое исследование точечной мутации p.L625P в гене MYD88 методом ПЦР |
5561,30 |
0,6117 |
Средний тариф с учетом утвержденных объемов |
9091,40 |
1,0 | |
Размер норматива финансовых затрат проведения 1 молекулярно-генетического исследования |
9091,40 |
| |
Патолого-анатомические исследования биопсийного (операционного) материала | |||
A08.30.001 |
Патолого-анатомическое исследование биопсийного (операционного) материала плаценты |
1823,82 |
0,8134 |
A08.30.046 |
Патолого-анатомическое исследование биопсийного (операционного) материала |
2308,43 |
1,0296 |
A08.30.030 |
Патолого-анатомическое исследование биопсийного (операционного) материала тканей забрюшинного пространства |
2308,43 |
1,0296 |
A08.30.015 |
Патолого-анатомическое исследование биопсийного (операционного) материала сальника |
2308,43 |
1,0296 |
A08.30.014 |
Патолого-анатомическое исследование биопсийного (операционного) материала опухолей, опухолеподобных образований мягких тканей |
2308,43 |
1,0296 |
A08.30.013 |
Патолого-анатомическое исследование биопсийного (операционного) материала с применением иммуногистохимических методов |
2607,80 |
1,1631 |
A08.30.013.001 |
Патолого-анатомическое исследование белка к рецепторам HER2/neu с применением иммуногистохимических методов |
3209,60 |
1,4315 |
A08.28.013 |
Патолого-анатомическое исследование биопсийного (операционного) материала уретры |
1823,82 |
0,8134 |
A08.28.004 |
Патолого-анатомическое исследование биопсийного (операционного) материала мочевого пузыря |
2308,43 |
1,0296 |
A08.22.008 |
Патолого-анатомическое исследование биопсийного (операционного) материала паращитовидной железы |
2308,43 |
1,0296 |
A08.21.004 |
Патолого-анатомическое исследование биопсийного (операционного) материала удаленного новообразования мужских половых органов |
2308,43 |
1,0296 |
A08.21.001 |
Патолого-анатомическое исследование биопсийного (операционного) материала предстательной железы |
5581,80 |
2,4895 |
A08.20.016 |
Патолого-анатомическое исследование биопсийного (операционного) материала вульвы |
1823,82 |
0,8134 |
A08.20.011 |
Патолого-анатомическое исследование биопсийного (операционного) материала шейки матки |
2308,43 |
1,0296 |
A08.20.009 |
Патолого-анатомическое исследование биопсийного (операционного) материала молочной железы |
5550,68 |
2,4757 |
A08.20.008 |
Патолого-анатомическое исследование биопсийного (операционного) материала удаленного новообразования женских половых органов |
2308,43 |
1,0296 |
A08.20.007 |
Патолого-анатомическое исследование биопсийного (операционного) материала тканей удаленной матки с придатками и связок |
5550,68 |
2,4757 |
A08.20.003 |
Патолого-анатомическое исследование биопсийного (операционного) материала матки |
1823,82 |
0,8134 |
A08.20.002 |
Патолого-анатомическое исследование биопсийного (операционного) материала матки, придатков, стенки кишки |
5550,68 |
2,4757 |
A08.06.003 |
Патолого-анатомическое исследование биопсийного (операционного) материала лимфоузла |
1823,82 |
0,8134 |
A08.06.006 |
Патолого-анатомическое исследование биопсийного (операционного) материала лимфоузла |
1823,82 |
0,8134 |
A08.18.003 |
Патолого-анатомическое исследование биопсийного (операционного) материала толстой кишки |
2308,43 |
1,0296 |
A08.18.001.002 |
Патолого-анатомическое исследование биопсийного (операционного) материала толстой кишки с применением иммуногистохимических методов |
10832,40 |
4,8314 |
A08.15.001 |
Патолого-анатомическое исследование биопсийного (операционного) материала поджелудочной железы |
1823,82 |
0,8134 |
A08.14.005 |
Патолого-анатомическое исследование биопсийного (операционного) материала желчного пузыря |
1823,82 |
0,8134 |
A08.14.001 |
Патолого-анатомическое исследование биопсийного (операционного) материала печени |
2308,43 |
1,0296 |
A08.12.001 |
Патолого-анатомическое исследование биопсийного (операционного) материала сосудистой стенки |
1823,82 |
0,8134 |
A08.11.003 |
Патолого-анатомическое исследование биопсийного (операционного) материала тканей опухоли средостения |
2308,43 |
1,0296 |
A08.11.001 |
Патолого-анатомическое исследование биопсийного (операционного) материала опухоли средостения |
2308,43 |
1,0296 |
A08.10.004 |
Патолого-анатомическое исследование биопсийного (операционного) материала перикарда |
1823,82 |
0,8134 |
A08.10.003 |
Патолого-анатомическое исследование биопсийного (операционного) материала эндокарда |
1823,82 |
0,8134 |
A08.10.001 |
Патолого-анатомическое исследование биопсийного (операционного) материала тканей миокарда |
1823,82 |
0,8134 |
A08.09.005.002 |
Патолого-анатомическое исследование биопсийного (операционного) материала тканей плевры с применением иммуногистохимических методов |
11835,40 |
5,2787 |
A08.09.002.002 |
Патолого-анатомическое исследование биопсийного (операционного) материала тканей легкого с применением иммуногистохимических методов |
11835,40 |
5,2787 |
A08.06.007 |
Патолого-анатомическое исследование биопсийного (операционного) материала лимфоузла |
1823,82 |
0,8134 |
A08.06.004 |
Патолого-анатомическое исследование биопсийного (операционного) материала селезенки |
2308,43 |
1,0296 |
A08.04.001 |
Патолого-анатомическое исследование биопсийного (операционного) материала синовиальной оболочки |
1823,82 |
0,8134 |
A08.03.003 |
Патолого-анатомическое исследование биопсийного (операционного) материала межпозвонкового диска |
3510,50 |
1,5657 |
A08.02.001.001 |
Патолого-анатомическое исследование биопсийного (операционного) материала мышечной ткани с применением иммуногистохимических методов |
8862,00 |
3,9525 |
A08.01.001.002 |
Патолого-анатомическое исследование биопсийного (операционного) материала кожи с применением иммуногистохимических методов |
8803,00 |
3,9262 |
A08.30.046.004 |
Патолого-анатомическое исследование биопсийного (операционного) материала четвертой категории сложности |
1823,82 |
0,8134 |
Средний тариф с учетом утвержденных объемов |
2242,10 |
1,0 | |
Размер норматива финансовых затрат проведения 1 патолого-анатомического исследования |
2242,10 |
| |
Ультразвуковое исследование сердечно-сосудистой системы | |||
A04.01.001 |
Ультразвуковое исследование мягких тканей (одна анатомическая зона) |
590,40 |
1,0000 |
A04.04.001.001 |
Ультразвуковое исследование тазобедренного сустава |
590,40 |
1,0000 |
A04.06.002 |
Ультразвуковое исследование лимфатических узлов (одна анатомическая зона) |
590,40 |
1,0000 |
A04.09.001 |
Ультразвуковое исследование плевральной полости |
590,40 |
1,0000 |
A04.09.002 |
Ультразвуковое исследование легких |
590,40 |
1,0000 |
A04.10.002 |
Эхокардиография |
590,40 |
1,0000 |
A04.10.002.001 |
Эхокардиография чреспищеводная |
543,56 |
0,9207 |
A04.10.002.002 |
Эхокардиография трехмерная |
543,56 |
0,9207 |
A04.10.002.003 |
Эхокардиография с фармакологической нагрузкой |
543,56 |
0,9207 |
A04.10.002.004 |
Эхокардиография с физической нагрузкой |
543,56 |
0,9207 |
A04.10.002.005 |
Эхокардиография чреспищеводная интраоперационная |
543,56 |
0,9207 |
A04.12.001 |
Ультразвуковая допплерография артерий верхних конечностей |
590,40 |
1,0000 |
A04.12.001.001 |
Ультразвуковая допплерография артерий нижних конечностей |
590,40 |
1,0000 |
A04.12.002 |
Ультразвуковая допплерография сосудов (артерий и вен) верхних конечностей |
590,40 |
1,0000 |
A04.12.002.001 |
Ультразвуковая допплерография сосудов (артерий и вен) нижних конечностей |
590,40 |
1,0000 |
A04.12.002.002 |
Ультразвуковая допплерография вен нижних конечностей |
590,40 |
1,0000 |
A04.12.002.003 |
Ультразвуковая допплерография вен верхних конечностей |
590,40 |
1,0000 |
A04.12.007 |
Ультразвуковая допплерография сосудов глаза |
543,60 |
0,9207 |
A04.12.024 |
Ультразвуковая допплерография маточно-плацентарного кровотока |
590,40 |
1,0000 |
A04.12.025 |
Ультразвуковая допплерография сосудов брыжейки |
543,60 |
0,9207 |
A04.12.001.002 |
Дуплексное сканирование артерий почек |
543,60 |
0,9207 |
A04.12.003 |
Дуплексное сканирование аорты |
590,40 |
1,0000 |
A04.12.003.001 |
Дуплексное сканирование брюшной аорты и ее висцеральных ветвей |
543,60 |
0,9207 |
A04.12.003.002 |
Дуплексное сканирование брюшного отдела аорты, подвздошных и общих бедренных артерий |
543,60 |
0,9207 |
A04.12.005 |
Дуплексное сканирование сосудов (артерий и вен) верхних конечностей |
590,40 |
1,0000 |
A04.12.005.002 |
Дуплексное сканирование артерий верхних конечностей |
590,40 |
1,0000 |
A04.12.005.003 |
Дуплексное сканирование брахиоцефальных артерий с цветным допплеровским картированием кровотока |
590,40 |
1,0000 |
A04.12.005.004 |
Дуплексное сканирование вен верхних конечностей |
590,40 |
1,0000 |
A04.12.005.005 |
Дуплексное сканирование экстракраниальных отделов брахиоцефальных артерий |
590,40 |
1,0000 |
A04.12.005.006 |
Дуплексное интракраниальных отделов брахиоцефальных артерий |
590,40 |
1,0000 |
A04.12.005.007 |
Дуплексное сканирование брахиоцефальных артерий, лучевых артерий с проведением ротационных проб |
543,60 |
0,9207 |
A04.12.006 |
Дуплексное сканирование сосудов (артерий и вен) нижних конечностей |
590,40 |
1,0000 |
A04.12.006.001 |
Дуплексное сканирование артерий нижних конечностей |
590,40 |
1,0000 |
A04.12.006.002 |
Дуплексное сканирование вен нижних конечностей |
590,40 |
1,0000 |
A04.12.008 |
Дуплексное сканирование сосудов мошонки и полового члена |
543,60 |
0,9207 |
A04.12.009 |
Дуплексное сканирование сосудов челюстно-лицевой области |
543,60 |
0,9207 |
A04.12.011 |
Дуплексное сканирование сосудов поджелудочной железы |
543,60 |
0,9207 |
A04.12.012 |
Дуплексное сканирование сосудов печени |
543,60 |
0,9207 |
A04.12.013 |
Дуплексное сканирование коронарных сосудов |
543,60 |
0,9207 |
A04.12.014 |
Дуплексное сканирование сосудов гепатобиллиарной зоны |
543,60 |
0,9207 |
A04.12.017 |
Дуплексное сканирование сосудов щитовидной железы |
543,60 |
0,9207 |
A04.12.018 |
Дуплексное сканирование транскраниальное артерий и вен |
590,40 |
1,0000 |
A04.12.019 |
Дуплексное сканирование транскраниальное артерий и вен с нагрузочными пробами |
590,40 |
1,0000 |
A04.12.021 |
Дуплексное сканирование сосудов селезенки |
543,60 |
0,9207 |
A04.12.022 |
Дуплексное сканирование сосудов малого таза |
543,60 |
0,9207 |
A04.12.023 |
Дуплексное сканирование нижней полой и почечных вен |
543,60 |
0,9207 |
A04.12.026 |
Дуплексное сканирование нижней полой вены и вен портальной системы |
543,60 |
0,9207 |
A04.12.001.003 |
Ультразвуковая допплерография с медикаментозной пробой |
543,60 |
0,9207 |
A04.12.001.004 |
Ультразвуковая допплерография артерий методом мониторирования |
543,60 |
0,9207 |
A04.12.001.005 |
Ультразвуковая допплерография транскраниальная с медикаментозной пробой |
543,60 |
0,9207 |
A04.12.001.006 |
Ультразвуковая допплерография транскраниальная артерий методом мониторирования |
590,40 |
1,0000 |
A04.12.001.007 |
Ультразвуковая допплерография транскраниальная артерий методом мониторирования, методом микроэмболодетекции |
543,60 |
0,9207 |
A04.12.001.008 |
Ультразвуковая допплеровская локация газовых пузырьков |
543,60 |
0,9207 |
A04.12.004 |
Внутрисосудистое ультразвуковое исследование сосудистой стенки |
543,60 |
0,9207 |
A04.12.010 |
Лазерная допплеровская флоуметрия сосудов челюстно-лицевой области |
543,60 |
0,9207 |
A04.12.013.001 |
Ультразвуковое исследование коронарных артерий внутрисосудистое |
543,60 |
0,9207 |
A04.12.015 |
Триплексное сканирование вен |
590,40 |
1,0000 |
A04.12.015.001 |
Триплексное сканирование нижней полой вены, подвздошных вен и вен нижних конечностей (комплексное) |
590,40 |
1,0000 |
Средний тариф с учетом утвержденных объемов |
590,40 |
1,0 | |
Размер норматива финансовых затрат проведения 1 ультразвукового исследования |
590,40 |
| |
Компьютерная томография | |||
A06.01.001 |
Компьютерная томография мягких тканей |
2029,50 |
0,6942 |
A06.01.001.001 |
Компьютерная томография мягких тканей с контрастированием |
5979,53 |
2,0452 |
A06.03.002 |
Компьютерная томография лицевого отдела черепа |
2029,50 |
0,6942 |
A06.03.002.004 |
Компьютерно-томографическое перфузное исследование лицевого отдела черепа |
1972,20 |
0,6746 |
A06.03.002.005 |
Компьютерная томография лицевого отдела черепа с внутривенным болюсным контрастированием |
5979,53 |
2,0452 |
A06.03.002.006 |
Компьютерная томография лицевого отдела черепа с внутривенным болюсным контрастированием, мультипланарной и трехмерной реконструкцией |
5979,53 |
2,0452 |
A06.03.021.001 |
Компьютерная томография верхней конечности |
2029,50 |
0,6942 |
A06.03.021.002 |
Компьютерная томография верхней конечности с внутривенным болюсным контрастированием |
5979,53 |
2,0452 |
A06.03.021.003 |
Компьютерная томография верхней конечности с внутривенным болюсным контрастированием, мультипланарной и трехмерной реконструкцией |
5979,53 |
2,0452 |
A06.03.036.001 |
Компьютерная томография нижней конечности |
2029,50 |
0,6942 |
A06.03.036.002 |
Компьютерная томография нижней конечности с внутривенным болюсным контрастированием |
5979,53 |
2,0452 |
A06.03.036.003 |
Компьютерная томография нижней конечности с внутривенным болюсным контрастированием, мультипланарной и трехмерной реконструкцией |
5979,53 |
2,0452 |
A06.03.058 |
Компьютерная томография позвоночника (один отдел) |
2029,50 |
0,6942 |
A06.03.058.001 |
Компьютерная томография позвоночника с мультипланарной и трехмерной реконструкцией |
2029,50 |
0,6942 |
A06.03.058.003 |
Компьютерная томография позвоночника с внутривенным контрастированием (один отдел) |
5979,53 |
2,0452 |
A06.03.062 |
Компьютерная томография кости |
2029,50 |
0,6942 |
A06.03.067 |
Компьютерная томография грудины с мультипланарной и трехмерной реконструкцией |
2019,20 |
0,6906 |
A06.03.068 |
Компьютерная томография ребер с мультипланарной и трехмерной реконструкцией |
2019,20 |
0,6906 |
A06.03.069 |
Компьютерная томография костей таза |
2029,50 |
0,6942 |
A06.04.015 |
Томография височно-нижнечелюстного сустава |
2019,20 |
0,6906 |
A06.04.017 |
Компьютерная томография сустава |
2029,50 |
0,6942 |
A06.04.020 |
Компьютерная томография височно-нижнечелюстных суставов |
2029,50 |
0,6942 |
A06.07.013 |
Компьютерная томография челюстно-лицевой области |
2029,50 |
0,6942 |
A06.08.007 |
Компьютерная томография придаточных пазух носа, гортани |
2029,50 |
0,6942 |
A06.08.007.001 |
Спиральная компьютерная томография гортани |
1972,20 |
0,6746 |
A06.08.007.002 |
Компьютерная томография гортани с внутривенным болюсным контрастированием |
5979,53 |
2,0452 |
A06.08.007.003 |
Спиральная компьютерная томография придаточных пазух носа |
1972,20 |
0,6746 |
A06.08.007.004 |
Компьютерная томография придаточных пазух носа с внутривенным болюсным контрастированием |
5979,53 |
2,0452 |
A06.08.009 |
Компьютерная томография верхних дыхательных путей и шеи |
2029,50 |
0,6942 |
A06.08.009.001 |
Спиральная компьютерная томография шеи |
1972,20 |
0,6746 |
A06.08.009.002 |
Компьютерная томография шеи с внутривенным болюсным контрастированием |
5979,53 |
2,0452 |
A06.08.009.003 |
Компьютерная томография шеи с внутривенным болюсным контрастированием, мультипланарной и трехмерной реконструкцией |
5979,53 |
2,0452 |
A06.09.005 |
Компьютерная томография органов грудной полости |
2029,50 |
0,6942 |
A06.09.005.002 |
Компьютерная томография органов грудной полости с внутривенным болюсным контрастированием |
5979,53 |
2,0452 |
A06.09.005.003 |
Компьютерная томография грудной полости с внутривенным болюсным контрастированием, мультипланарной и трехмерной реконструкцией |
5979,53 |
2,0452 |
A06.09.008 |
Томография легких |
1972,20 |
0,6746 |
A06.09.008.001 |
Спиральная компьютерная томография легких |
1972,20 |
0,6746 |
A06.10.006.001 |
Компьютерно-томографическая коронарография |
2029,50 |
0,6942 |
A06.09.011 |
Компьютерная томография бронхов |
2029,50 |
0,6942 |
A06.10.009 |
Компьютерная томография сердца |
2029,50 |
0,6942 |
A06.10.009.001 |
Компьютерная томография сердца с контрастированием |
5979,53 |
2,0452 |
A06.10.009.002 |
Компьютерная томография левого предсердия и легочных вен |
2029,50 |
0,6942 |
A06.10.009.003 |
Спиральная компьютерная томография сердца с ЭКГ-синхронизацией |
2019,20 |
0,6906 |
A06.11.004 |
Компьютерная томография средостения |
2029,50 |
0,6942 |
A06.11.004.001 |
Компьютерная томография средостения с внутривенным болюсным контрастированием |
5979,53 |
2,0452 |
A06.12.001.001 |
Компьютерно-томографическая ангиография грудной аорты |
5979,53 |
2,0452 |
A06.12.001.002 |
Компьютерно-томографическая ангиография брюшной аорты |
5979,53 |
2,0452 |
A06.12.050 |
Компьютерно-томографическая ангиография одной анатомической области |
5979,53 |
2,0452 |
A06.12.052 |
Компьютерно-томографическая ангиография аорты |
5979,53 |
2,0452 |
A06.12.052.001 |
Компьютерно-томографическая ангиография брюшной аорты и подвздошных сосудов |
5979,53 |
2,0452 |
A06.12.053 |
Компьютерно-томографическая ангиография сосудов нижних конечностей |
5979,53 |
2,0452 |
A06.12.054 |
Компьютерно-томографическая ангиография сосудов верхних конечностей |
5979,53 |
2,0452 |
A06.12.055 |
Компьютерно-томографическая ангиография сосудов таза |
5979,53 |
2,0452 |
A06.12.056 |
Компьютерно-томографическая ангиография сосудов головного мозга |
5979,53 |
2,0452 |
A06.12.057 |
Компьютерно-томографическая ангиография легочных сосудов |
5979,53 |
2,0452 |
A06.12.058 |
Компьютерно-томографическая ангиография брахиоцефальных артерий |
5979,53 |
2,0452 |
A06.12.058.001 |
Компьютерно-томографическая ангиография внутричерепного сегмента брахиоцефальных артерий (артерий Виллизиева круга) |
5949,07 |
2,0348 |
A06.14.007 |
Ретроградная холангиопанкреатография |
2019,20 |
0,6906 |
A06.14.008 |
Холецисто-холангиография лапароскопическая |
2019,20 |
0,6906 |
A06.14.009 |
Чрескожная чреспеченочная холангиография |
2019,20 |
0,6906 |
A06.16.002 |
Компьютерная томография пищевода с пероральным контрастированием |
5979,53 |
2,0452 |
A06.17.007 |
Компьютерная томография тонкой кишки с контрастированием |
5979,53 |
2,0452 |
A06.17.007.001 |
Компьютерная томография тонкой кишки с двойным контрастированием |
5979,53 |
2,0452 |
A06.18.004 |
Компьютерно-томографическая колоноскопия |
2029,50 |
0,6942 |
A06.18.004.001 |
Компьютерно-томографическая колоноскопия с внутривенным болюсным контрастированием |
5979,53 |
2,0452 |
A06.18.004.002 |
Компьютерная томография толстой кишки с ретроградным контрастированием |
5949,07 |
2,0348 |
A06.18.004.003 |
Компьютерная томография толстой кишки с двойным контрастированием |
5949,07 |
2,0348 |
A06.20.002 |
Компьютерная томография органов малого таза у женщин |
2029,50 |
0,6942 |
A06.20.002.001 |
Спиральная компьютерная томография органов малого таза у женщин |
1972,20 |
0,6746 |
A06.20.002.002 |
Спиральная компьютерная томография органов малого таза у женщин с внутривенным болюсным контрастированием |
5979,53 |
2,0452 |
A06.20.002.003 |
Компьютерная томография органов малого таза у женщин с контрастированием |
5979,53 |
2,0452 |
A06.20.002.004 |
Компьютерная томография органов малого таза у женщин с внутривенным болюсным контрастированием, мультипланарной и трехмерной реконструкцией |
5979,53 |
2,0452 |
A06.20.004.006 |
Компьютерно-томографическая маммография |
2029,50 |
0,6942 |
A06.21.003 |
Компьютерная томография органов таза у мужчин |
2029,50 |
0,6942 |
A06.21.003.001 |
Спиральная компьютерная томография органов таза у мужчин |
1972,20 |
0,6746 |
A06.21.003.002 |
Спиральная компьютерная томография органов таза у мужчин с внутривенным болюсным контрастированием |
5979,53 |
2,0452 |
A06.21.003.003 |
Компьютерная томография органов таза у мужчин с контрастированием |
5979,53 |
2,0452 |
A06.22.002 |
Компьютерная томография надпочечников |
2029,50 |
0,6942 |
A06.22.002.001 |
Компьютерная томография надпочечников с внутривенным болюсным контрастированием |
5979,53 |
2,0452 |
A06.23.004 |
Компьютерная томография головного мозга |
2029,50 |
0,6942 |
A06.23.004.001 |
Компьютерно-томографическая перфузия головного мозга |
5979,53 |
2,0452 |
A06.23.004.002 |
Компьютерная томография мягких тканей головы с контрастированием |
5979,53 |
2,0452 |
A06.23.004.006 |
Компьютерная томография головного мозга с внутривенным контрастированием |
5979,53 |
2,0452 |
A06.23.004.007 |
Компьютерная томография сосудов головного мозга с внутривенным болюсным контрастированием |
5979,53 |
2,0452 |
A06.23.004.008 |
Компьютерная томография головного мозга интраоперационная |
2019,20 |
0,6906 |
A06.23.007 |
Компьютерно-томографическая вентрикулография |
2019,20 |
0,6906 |
A06.23.008 |
Компьютерно-томографическая цистернография |
2019,20 |
0,6906 |
A06.25.003 |
Компьютерная томография височной кости |
2029,50 |
0,6942 |
A06.25.003.002 |
Компьютерная томография височной кости с внутривенным болюсным контрастированием |
5979,53 |
2,0452 |
A06.26.006 |
Компьютерная томография глазницы |
2029,50 |
0,6942 |
A06.26.006.001 |
Компьютерная томография глазницы с внутривенным болюсным контрастированием |
5949,07 |
2,0348 |
A06.28.009 |
Компьютерная томография почек и надпочечников |
2029,50 |
0,6942 |
A06.28.009.001 |
Компьютерная томография почек и верхних мочевыводящих путей с внутривенным болюсным контрастированием |
5979,53 |
2,0452 |
A06.28.009.002 |
Спиральная компьютерная томография почек и надпочечников |
1972,20 |
0,6746 |
A06.30.005 |
Компьютерная томография органов брюшной полости |
2029,50 |
0,6942 |
A06.30.005.001 |
Компьютерная томография органов брюшной полости и забрюшинного пространства |
2029,50 |
0,6942 |
A06.30.005.002 |
Компьютерная томография органов брюшной полости и забрюшинного пространства с внутривенным болюсным контрастированием |
5979,53 |
2,0452 |
A06.30.005.003 |
Компьютерная томография органов брюшной полости с внутривенным болюсным контрастированием |
5979,53 |
2,0452 |
A06.30.005.004 |
Спиральная компьютерная томография органов брюшной полости с внутривенным болюсным контрастированием, мультипланарной и трехмерной реконструкцией |
5949,07 |
2,0348 |
A06.30.005.005 |
Компьютерная томография органов брюшной полости с двойным контрастированием |
5979,53 |
2,0452 |
A06.30.007 |
Компьютерная томография забрюшинного пространства |
2029,50 |
0,6942 |
A06.30.007.001 |
Спиральная компьютерная томография забрюшинного пространства |
2019,20 |
0,6906 |
A06.30.007.002 |
Компьютерная томография забрюшинного пространства с внутривенным болюсным контрастированием |
5979,53 |
2,0452 |
A06.30.008.001 |
Компьютерно-томографическая фистулография |
2019,20 |
0,6906 |
Средний тариф с учетом утвержденных объемов |
2923,70 |
1,0 | |
Размер норматива финансовых затрат проведения 1 КТ-исследования |
2923,70 |
| |
Магнитно-резонансная томография | |||
A05.01.002 |
Магнитно-резонансная томография мягких тканей |
2110,34 |
0,5286 |
A05.01.002.001 |
Магнитно-резонансная томография мягких тканей с контрастированием |
8053,67 |
2,0174 |
A05.02.002 |
Магнитно-резонансная томография мышечной системы |
1925,49 |
0,4823 |
A05.03.001 |
Магнитно-резонансная томография костной ткани (одна область) |
2110,34 |
0,5286 |
A05.03.002 |
Магнитно-резонансная томография позвоночника (один отдел) |
2110,34 |
0,5286 |
A05.03.002.001 |
Магнитно-резонансная томография позвоночника с контрастированием (один отдел) |
8053,67 |
2,0174 |
A05.23.009.010 |
Магнитно-резонансная томография спинного мозга (один отдел) |
2110,34 |
0,5286 |
A05.23.009.011 |
Магнитно-резонансная томография спинного мозга с контрастированием (один отдел) |
8053,67 |
2,0174 |
A05.23.009.014 |
Магнитно-резонансная ликворография спинного мозга (один отдел) |
1925,49 |
0,4823 |
A05.23.009.015 |
Магнитно-резонансная томография спинного мозга с контрастированием топометрическая (один отдел) |
7348,24 |
1,8406 |
A05.03.003 |
Магнитно-резонансная томография основания черепа |
1925,49 |
0,4823 |
A05.03.003.001 |
Магнитно-резонансная томография основания черепа с ангиографией |
7348,24 |
1,8406 |
A05.03.004 |
Магнитно-резонансная томография лицевого отдела черепа |
1925,49 |
0,4823 |
A05.03.004.001 |
Магнитно-резонансная томография лицевого отдела черепа с внутривенным контрастированием |
7348,24 |
1,8406 |
A05.23.009 |
Магнитно-резонансная томография головного мозга |
2110,34 |
0,5286 |
A05.23.009.001 |
Магнитно-резонансная томография головного мозга с контрастированием |
8053,67 |
2,0174 |
A05.23.009.002 |
Магнитно-резонансная томография головного мозга функциональная |
1925,49 |
0,4823 |
A05.23.009.005 |
Магнитно-резонансная ликворография головного мозга |
1925,49 |
0,4823 |
A05.23.009.006 |
Магнитно-резонансная томография головного мозга топометрическая |
1925,49 |
0,4823 |
A05.23.009.007 |
Магнитно-резонансная томография головного мозга с контрастированием топометрическая |
7348,24 |
1,8406 |
A05.23.009.008 |
Магнитно-резонансная ангиография интракраниальных сосудов |
8053,67 |
2,0174 |
A05.30.010 |
Магнитно-резонансная томография мягких тканей головы |
2110,34 |
0,5286 |
A05.30.010.001 |
Магнитно-резонансная томография мягких тканей головы с внутривенным контрастированием |
7348,24 |
1,8406 |
A05.04.001 |
Магнитно-резонансная томография суставов (один сустав) |
2110,34 |
0,5286 |
A05.04.001.001 |
Магнитно-резонансная томография суставов (один сустав) с контрастированием |
8053,67 |
2,0174 |
A05.08.001 |
Магнитно-резонансная томография околоносовых пазух |
2110,34 |
0,5286 |
A05.08.002 |
Магнитно-резонансная томография гортаноглотки |
2110,34 |
0,5286 |
A05.08.003 |
Магнитно-резонансная томография преддверно-улиткового органа |
1925,49 |
0,4823 |
A05.08.004 |
Магнитно-резонансная томография носоротоглотки |
2110,34 |
0,5286 |
A05.10.009 |
Магнитно-резонансная томография сердца и магистральных сосудов |
1925,49 |
0,4823 |
A05.10.009.001 |
Магнитно-резонансная томография сердца с контрастированием |
8053,67 |
2,0174 |
A05.09.001 |
Магнитно-резонансная томография легких |
1925,49 |
0,4823 |
A05.11.001 |
Магнитно-резонансная томография средостения |
1925,49 |
0,4823 |
A05.12.004 |
Магнитно-резонансная артериография (одна область) |
2110,34 |
0,5286 |
A05.12.005 |
Магнитно-резонансная венография (одна область) |
2110,34 |
0,5286 |
A05.12.006 |
Магнитно-резонансная ангиография с контрастированием (одна область) |
8053,67 |
2,0174 |
A05.12.007 |
Магнитно-резонансная ангиография (одна область) |
8053,67 |
2,0174 |
A05.14.001 |
Магнитно-резонансная томография органов брюшной полости |
1925,49 |
0,4823 |
A05.14.002 |
Магнитно-резонансная холангиография |
2110,34 |
0,5286 |
A05.15.001 |
Магнитно-резонансная томография поджелудочной железы |
2110,34 |
0,5286 |
A05.15.002 |
Магнитно-резонансная холангиопанкреатография |
2110,34 |
0,5286 |
A05.17.001 |
Магнитно-резонансная томография тонкой кишки |
1925,49 |
0,4823 |
A05.17.001.001 |
Магнитно-резонансная томография тонкой кишки с контрастированием |
8053,67 |
2,0174 |
A05.18.001 |
Магнитно-резонансная томография толстой кишки |
1925,49 |
0,4823 |
A05.18.001.001 |
Магнитно-резонансная томография толстой кишки с контрастированием |
8053,67 |
2,0174 |
A05.20.003 |
Магнитно-резонансная томография молочной железы |
1925,49 |
0,4823 |
A05.20.003.001 |
Магнитно-резонансная томография молочной железы с контрастированием |
7348,24 |
1,8406 |
A05.21.001 |
Магнитно-резонансная томография мошонки |
2110,34 |
0,5286 |
A05.21.001.001 |
Магнитно-резонансная томография мошонки с контрастированием |
8053,67 |
2,0174 |
A05.22.002 |
Магнитно-резонансная томография гипофиза |
2110,34 |
0,5286 |
A05.22.002.001 |
Магнитно-резонансная томография гипофиза с контрастированием |
8053,67 |
2,0174 |
A05.23.010 |
Магнитно-резонансное исследование ликвородинамики |
1925,49 |
0,4823 |
A05.23.009.016 |
Магнитно-резонансная томография спинного мозга фазовоконтрастная (один отдел) |
1925,49 |
0,4823 |
A05.23.009.017 |
Магнитно-резонансная томография головного мозга интраоперационная |
1925,49 |
0,4823 |
A05.26.008 |
Магнитно-резонансная томография глазницы |
1925,49 |
0,4823 |
A05.26.008.001 |
Магнитно-резонансная томография глазниц с контрастированием |
7348,24 |
1,8406 |
A05.22.001 |
Магнитно-резонансная томография надпочечников |
2110,34 |
0,5286 |
A05.22.001.001 |
Магнитно-резонансная томография надпочечников с контрастированием |
8053,67 |
2,0174 |
A05.28.002 |
Магнитно-резонансная томография почек |
2110,34 |
0,5286 |
A05.28.003 |
Магнитно-резонансная томография, урография |
1925,49 |
0,4823 |
A05.28.002.001 |
Магнитно-резонансная томография почек с контрастированием |
8053,67 |
2,0174 |
A05.30.013 |
Магнитно-резонансная томография малого таза с применением ректального датчика |
1925,49 |
0,4823 |
A05.30.004 |
Магнитно-резонансная томография органов малого таза |
2110,34 |
0,5286 |
A05.28.003.001 |
Магнитно-резонансная томография - урография с контрастированием |
7348,24 |
1,8406 |
A05.30.004.001 |
Магнитно-резонансная томография органов малого таза с внутривенным контрастированием |
8053,67 |
2,0174 |
A05.30.005 |
Магнитно-резонансная томография органов брюшной полости |
2110,34 |
0,5286 |
A05.30.005.001 |
Магнитно-резонансная томография органов брюшной полости с внутривенным контрастированием |
8053,67 |
2,0174 |
A05.30.005.002 |
Магнитно-резонансная томография органов брюшной полости с внутривенным введением гепатотропного контрастного препарата |
7348,24 |
1,8406 |
A05.30.006 |
Магнитно-резонансная томография органов грудной клетки |
2110,34 |
0,5286 |
A05.30.006.001 |
Магнитно-резонансная томография органов грудной клетки с внутривенным контрастированием |
8053,67 |
2,0174 |
A05.30.007 |
Магнитно-резонансная томография забрюшинного пространства |
2110,34 |
0,5286 |
A05.30.007.001 |
Магнитно-резонансная томография забрюшинного пространства с внутривенным контрастированием |
8053,67 |
2,0174 |
A05.30.008 |
Магнитно-резонансная томография шеи |
2110,34 |
0,5286 |
A05.30.008.001 |
Магнитно-резонансная томография шеи с внутривенным контрастированием |
8053,67 |
2,0174 |
A05.30.011 |
Магнитно-резонансная томография верхней конечности |
2110,34 |
0,5286 |
A05.30.011.001 |
Магнитно-резонансная томография верхней конечности с внутривенным контрастированием |
7348,24 |
1,8406 |
A05.30.011.002 |
Магнитно-резонансная томография кисти |
2110,34 |
0,5286 |
A05.30.012 |
Магнитно-резонансная томография нижней конечности |
2110,34 |
0,5286 |
A05.30.012.001 |
Магнитно-резонансная томография нижней конечности с внутривенным контрастированием |
7348,24 |
1,8406 |
A05.30.012.002 |
Магнитно-резонансная томография стопы |
2110,34 |
0,5286 |
A05.30.015 |
Магнитно-резонансная томография плода |
1925,49 |
0,4823 |
Средний тариф с учетом утвержденных объемов |
3992,20 |
1,0 | |
Размер норматива финансовых затрат проведения 1 МРТ-исследования |
3992,20 |
| |
* При проведении гистологических
исследований учитываются следующие
критерии:
- при вырезке, проводке и микротомии
- по числу объектов (объектом является
один тканевой образец, залитый в один
парафиновый или замороженный блок) с
последующим описанием материала в
соответствии с необходимыми
требованиями;
- при окраске микропрепаратов
(постановке реакций, определений) - по
числу объектов, обработанных одной
окраской (реакцией, определением), с
последующим описанием материала в
соответствии с необходимыми
требованиями;
- при пересмотре - описание
представленного из одной зоны интереса
биопсийного (операционного и
диагностического) материала вне
зависимости от объема и количества.
Таблица N 2
Тарифы на оплату медицинской помощи за
единицу объема, применяемые в том числе
для оплаты стоимости медицинской помощи,
оказанной медицинскими организациями
города Севастополя лицам,
застрахованным на территории других
субъектов Российской Федерации, и
межучрежденческих расчетов
Код услуги |
Наименование медицинской услуги |
Тариф одной услуги (рублей) |
A01.30.026 |
Опрос (анкетирование) на выявление неинфекционных заболеваний и факторов риска их развития |
79,85 |
A02.07.004 |
Антропометрия |
72,40 |
A02.12.002 |
Измерение артериального давления на периферических артериях |
41,80 |
A02.12.002.001 |
Суточное мониторирование артериального давления |
525,25 |
A02.12.002.002 |
Дистанционное наблюдение за показателями артериального давления |
507,68 |
A02.26.015 |
Измерение внутриглазного давления |
96,60 |
A03.01.004 |
Осмотр кожи под увеличением (дерматоскопия) до 10 образований с применением искусственного интеллекта |
1086,00 |
A03.01.005 |
Осмотр кожи под увеличением (дерматоскопия) свыше 10 образований с применением искусственного интеллекта |
2353,15 |
A04.10.001 |
Фонокардиография |
556,60 |
A04.30.002 |
Дуплексное сканирование сердца и сосудов плода |
429,70 |
A05.10.001.001 |
Электрокардиография |
319,72 |
A05.10.008 |
Холтеровское мониторирование сердечного ритма |
1698,20 |
A02.26.005 |
Периметрия статическая (исследование полей зрения) |
551,50 |
A03.20.001 |
Кольпоскопия |
573,20 |
A03.26.020 |
Компьютерная периметрия |
636,00 |
A03.26.019.002 |
Оптическое исследование заднего отдела глаза с помощью компьютерного анализатора |
1060,00 |
A04.24.001 |
Ультразвуковое исследование периферических нервов (одна анатомическая область) |
297,50 |
A04.26.001 |
Ультразвуковое исследование переднего отрезка глаза |
286,50 |
A04.26.002 |
Ультразвуковое исследование глазного яблока |
250,50 |
A04.26.003 |
Ультразвуковое сканирование глазницы |
250,50 |
A04.26.004 |
Ультразвуковая биометрия глаза |
250,50 |
A04.26.005 |
Ультразвуковая допплерография сосудов орбиты и глазного яблока |
297,50 |
A04.26.006 |
Дуплексное сканирование сосудов глаза и орбиты |
323,90 |
A04.01.001 |
Ультразвуковое исследование мягких тканей (одна анатомическая зона) |
590,40 |
A04.01.002 |
Ультразвуковое исследование кожи (одна анатомическая зона) |
297,50 |
A04.03.001 |
Ультразвуковое исследование костей |
323,90 |
A04.03.002 |
Ультразвуковое исследование позвоночника |
323,90 |
A04.03.003 |
Ультразвуковая денситометрия |
323,90 |
A04.04.001 |
Ультразвуковое исследование сустава |
429,68 |
A04.04.001.001 |
Ультразвуковое исследование тазобедренного сустава |
590,40 |
A04.04.002 |
Ультразвуковое исследование сухожилий |
323,90 |
A04.06.001 |
Ультразвуковое исследование селезенки |
297,50 |
A04.06.002 |
Ультразвуковое исследование лимфатических узлов (одна анатомическая зона) |
590,40 |
A04.06.003 |
Ультразвуковое исследование вилочковой железы |
323,90 |
A04.07.001 |
Ультразвуковая денситометрия зуба |
297,50 |
A04.07.002 |
Ультразвуковое исследование слюнных желез |
297,50 |
A04.07.003 |
Ультразвуковое исследование тканей полости рта |
323,90 |
A04.07.004 |
Ультразвуковое исследование языка |
323,90 |
A04.08.001 |
Ультразвуковое исследование околоносовых пазух |
323,90 |
A04.08.002 |
Ультразвуковое исследование гортани |
323,90 |
A04.08.004 |
Ультразвуковое исследование миндалин |
297,50 |
A04.09.001 |
Ультразвуковое исследование плевральной полости |
590,40 |
A04.09.002 |
Ультразвуковое исследование легких |
590,40 |
A04.09.003 |
Эндосонографическое исследование трахеи и бронхов |
561,90 |
A04.11.001 |
Ультразвуковое исследование средостения |
323,90 |
A04.11.002 |
Ультразвуковое исследование интраоперационное |
630,85 |
A04.12.016 |
Исследование ночной пенильной тумесценции |
297,50 |
A04.12.005.001 |
Дуплексное сканирование артерий нижних конечностей |
429,70 |
A04.14.001.005 |
Эластометрия печени |
848,16 |
A04.20.001 |
Ультразвуковое исследование матки и придатков трансабдоминальное |
425,00 |
A04.20.001.001 |
Ультразвуковое исследование матки и придатков трансвагинальное |
504,70 |
A04.20.001.002 |
Ультразвуковое исследование матки и придатков трансректальное |
504,70 |
A04.20.002 |
Ультразвуковое исследование молочных желез |
330,00 |
A04.20.002.002 |
Ультразвуковое исследование молочных желез с допплеровским исследованием |
590,40 |
A04.20.003 |
Ультразвуковое исследование фолликулогенеза |
297,50 |
A04.21.001 |
Ультразвуковое исследование предстательной железы |
412,00 |
A04.21.001.001 |
Ультразвуковое исследование предстательной железы трансректальное |
504,70 |
A04.21.002 |
Ультразвуковое исследование сосудов полового члена |
297,50 |
A04.21.003 |
Ультразвуковая допплерография сосудов семенного канатика |
297,50 |
A04.28.003 |
Ультразвуковое исследование органов мошонки |
297,50 |
A04.22.001 |
Ультразвуковое исследование щитовидной железы и паращитовидных желез |
590,40 |
A04.22.002 |
Ультразвуковое исследование надпочечников |
297,50 |
A04.22.003 |
Ультразвуковое исследование паращитовидных желез |
250,50 |
A04.14.001 |
Ультразвуковое исследование печени |
297,50 |
A04.14.001.001 |
Ультразвуковое исследование печени интраоперационное |
372,50 |
A04.14.001.002 |
Ультразвуковое исследование печени лапароскопическое |
372,50 |
A04.14.001.003 |
Ультразвуковое исследование гепатобиллиарной зоны |
297,50 |
A04.14.001.004 |
Ультразвуковое исследование гепатобиллиарной зоны с функциональными пробами |
561,90 |
A04.14.002 |
Ультразвуковое исследование желчного пузыря и протоков |
297,50 |
A04.14.002.001 |
Ультразвуковое исследование желчного пузыря с определением его сократимости |
429,70 |
A04.15.001 |
Ультразвуковое исследование поджелудочной железы |
297,50 |
A04.16.001 |
Ультразвуковое исследование органов (комплексное) |
715,00 |
A04.16.003 |
Эндосонография двенадцатиперстной кишки |
561,90 |
A04.16.004 |
Ультразвуковое исследование пищевода |
604,11 |
A04.17.001 |
Ультразвуковое исследование тонкой кишки |
590,40 |
A04.18.001 |
Ультразвуковое исследование толстой кишки |
590,40 |
A04.19.001 |
Ультразвуковое исследование сигмовидной и прямой кишки |
323,90 |
A04.19.001.001 |
Ультразвуковое исследование прямой кишки трансректальное |
372,50 |
A04.23.001 |
Нейросонография |
590,40 |
A04.23.001.001 |
Ультразвуковое исследование головного мозга |
614,75 |
A04.23.001.002 |
Ультразвуковое исследование головного мозга интраоперационное |
614,75 |
A04.23.001.003 |
Ультразвуковое исследование кровотока (флуометрия) в артериях головного мозга интраоперационное |
636,90 |
A04.23.002 |
Эхоэнцефалография |
374,00 |
A04.23.003 |
Ультразвуковое исследование спинного мозга |
469,30 |
A04.26.007 |
Ультразвуковое сканирование переднего отдела глаза |
250,50 |
A04.28.001 |
Ультразвуковое исследование почек и надпочечников |
297,50 |
A04.28.001.001 |
Лапароскопическое ультразвуковое исследование почек |
429,70 |
A04.28.002 |
Ультразвуковое исследование мочевыводящих путей |
297,50 |
A04.28.002.001 |
Ультразвуковое исследование почек |
590,40 |
A04.28.002.002 |
Ультразвуковое исследование мочеточников |
297,50 |
A04.28.002.003 |
Ультразвуковое исследование мочевого пузыря |
590,40 |
A04.28.002.004 |
Ультразвуковое исследование уретры |
297,50 |
A04.28.002.005 |
Ультразвуковое исследование мочевого пузыря с определением остаточной мочи |
372,50 |
A04.28.002.006 |
Ультразвуковое исследование почек с функциональной нагрузкой |
372,50 |
A04.30.001 |
Ультразвуковое исследование плода |
561,90 |
A04.30.003 |
Ультразвуковое исследование забрюшинного пространства |
297,50 |
A04.30.004 |
Ультразвуковое определение жидкости в брюшной полости |
297,50 |
A04.30.005 |
Торакоскопическое ультразвуковое исследование |
429,70 |
A04.30.006 |
Ультразвуковое исследование брюшины |
297,50 |
A04.30.007 |
Ультразвуковая топография |
297,50 |
A04.30.008 |
Ультразвуковое исследование в режиме 3D |
323,90 |
A04.30.010 |
Ультразвуковое исследование органов малого таза комплексное (трансвагинальное и трансабдоминальное) |
590,40 |
A05.02.001 |
Электромиография игольчатая (одна мышца) |
1483,75 |
A05.02.001.002 |
Электромиография накожная (одна анатомическая зона) |
794,75 |
A05.02.001.003 |
Электронейромиография стимуляционная одного нерва |
794,75 |
A05.02.001.004 |
Электромиография стимуляционная срединного нерва |
794,75 |
A05.02.001.005 |
Электромиография стимуляционная локтевого нерва |
794,75 |
A05.02.001.006 |
Электромиография стимуляционная лучевого нерва |
794,75 |
A05.02.001.007 |
Электромиография стимуляционная добавочного нерва |
794,75 |
A05.02.001.008 |
Электромиография стимуляционная межреберного нерва |
794,75 |
A05.02.001.009 |
Электромиография стимуляционная диафрагмального нерва |
794,75 |
A05.02.001.010 |
Электромиография стимуляционная грудных нервов |
794,75 |
A05.02.001.011 |
Электронейромиография игольчатыми электродами (один нерв) |
1483,75 |
A05.02.001.012 |
Электромиография игольчатая локтевого нерва |
1483,75 |
A05.02.001.013 |
Электромиография игольчатая лучевого нерва |
1483,75 |
A05.02.001.014 |
Электромиография игольчатая добавочного нерва |
1483,75 |
A05.02.001.015 |
Электромиография игольчатая межреберного нерва |
1483,75 |
A05.23.001 |
Электроэнцефалография |
826,05 |
A05.23.002 |
Реоэнцефалография |
444,50 |
A06.01.002 |
Рентгенография мягких тканей лица |
310,50 |
A06.01.003 |
Рентгенография мягких тканей шеи |
310,50 |
A06.01.004 |
Рентгенография мягких тканей верхней конечности |
310,50 |
A06.01.005 |
Рентгенография мягких тканей нижней конечности |
310,50 |
A06.01.006 |
Рентгенография мягких тканей туловища |
310,50 |
A06.03.001 |
Рентгенография черепа тангенциальная |
310,50 |
A06.03.001.001 |
Рентгенография турецкого седла |
310,50 |
A06.03.001.002 |
Рентгенография скуловой кости |
310,50 |
A06.03.003 |
Рентгенография основания черепа |
481,35 |
A06.03.004 |
Рентгенография черепных отверстий |
310,50 |
A06.03.005 |
Рентгенография всего черепа, в одной или более проекциях |
481,35 |
A06.03.007 |
Рентгенография первого и второго шейных позвонков |
310,50 |
A06.03.008 |
Рентгенография сочленения затылочной кости и первого шейного позвонка |
761,20 |
A06.03.009 |
Рентгенография зубовидного отростка (второго шейного позвонка) |
310,50 |
A06.03.010 |
Рентгенография шейного отдела позвоночника |
481,35 |
A06.03.011 |
Рентгенография шейно-дорсального отдела позвоночника |
481,35 |
A06.03.013 |
Рентгенография грудного отдела позвоночника |
310,50 |
A06.03.014 |
Рентгенография грудного и поясничного отделов позвоночника |
481,35 |
A06.03.015 |
Рентгенография поясничного отдела позвоночника |
310,50 |
A06.03.016 |
Рентгенография поясничного и крестцового отделов позвоночника |
481,35 |
A06.03.017 |
Рентгенография крестца и копчика |
481,35 |
A06.03.017.001 |
Рентгенография крестца |
310,50 |
A06.03.017.002 |
Рентгенография копчика |
310,50 |
A06.03.022 |
Рентгенография ключицы |
310,50 |
A06.03.023 |
Рентгенография ребра(ер) |
310,50 |
A06.03.024 |
Рентгенография грудины |
310,50 |
A06.03.026 |
Рентгенография лопатки |
310,50 |
A06.03.027 |
Рентгенография головки плечевой кости |
481,35 |
A06.03.028 |
Рентгенография плечевой кости |
481,35 |
A06.03.029 |
Рентгенография локтевой кости и лучевой кости |
481,35 |
A06.03.030 |
Рентгенография запястья |
481,35 |
A06.03.031 |
Рентгенография пясти |
481,35 |
A06.03.032 |
Рентгенография кисти |
481,35 |
A06.03.033 |
Рентгенография фаланг пальцев кисти |
481,35 |
A06.03.034 |
Рентгенография пальцев фаланговых костей кисти |
481,35 |
A06.03.035 |
Рентгенография I пальца кисти |
481,35 |
A06.03.036 |
Рентгенография нижней конечности |
481,35 |
A06.03.042 |
Рентгенография головки и шейки бедренной кости |
481,35 |
A06.03.043 |
Рентгенография бедренной кости |
481,35 |
A06.03.050 |
Рентгенография пяточной кости |
481,35 |
A06.03.051 |
Рентгенография плюсны и фаланг пальцев стопы |
481,35 |
A06.03.052 |
Рентгенография стопы в одной проекции |
310,50 |
A06.03.053 |
Рентгенография стопы в двух проекциях |
481,35 |
A06.03.053.001 |
Рентгенография стопы с функциональной нагрузкой |
310,50 |
A06.04.001 |
Рентгенография височно-нижнечелюстного сустава |
481,35 |
A06.04.002 |
Рентгенография межпозвоночных сочленений |
310,50 |
A06.04.003 |
Рентгенография локтевого сустава |
481,35 |
A06.04.004 |
Рентгенография лучезапястного сустава |
481,35 |
A06.04.005 |
Рентгенография коленного сустава |
481,35 |
A06.04.010 |
Рентгенография плечевого сустава |
481,35 |
A06.04.011 |
Рентгенография тазобедренного сустава |
481,35 |
A06.04.012 |
Рентгенография голеностопного сустава |
481,35 |
A06.08.003 |
Рентгенография придаточных пазух носа |
310,50 |
A06.09.001 |
Рентгеноскопия легких |
488,90 |
A06.09.002 |
Рентгенография мягких тканей грудной стенки |
488,90 |
A06.09.006 |
Флюорография легких |
330,00 |
A06.09.006.001 |
Флюорография легких цифровая |
343,70 |
A06.09.007 |
Рентгенография легких |
350,00 |
A06.09.007.002 |
Рентгенография легких цифровая |
350,00 |
A06.10.001 |
Рентгеноскопия сердца и перикарда |
488,90 |
A06.10.002 |
Рентгенография сердца в трех проекциях |
652,55 |
A06.10.003 |
Рентгенография сердца с контрастированием пищевода |
761,20 |
A06.10.004 |
Рентгенография перикарда |
488,90 |
A06.10.005 |
Рентгенокимография сердца |
488,90 |
A06.11.001 |
Рентгенография средостения |
310,50 |
A06.12.001 |
Рентгенография аорты |
310,50 |
A06.12.002 |
Рентгенография легочной артерии |
310,50 |
A06.16.001 |
Рентгенография пищевода |
1117,40 |
A06.16.005 |
Рентгенография кардиально-пищеводного соединения |
761,20 |
A06.16.006 |
Рентгенография желудка и двенадцатиперстной кишки |
1117,40 |
A06.16.007 |
Рентгеноскопия желудка и двенадцатиперстной кишки |
935,05 |
A06.16.009 |
Рентгенография желудочно-кишечная |
1117,40 |
A06.18.001 |
Ирригоскопия |
569,84 |
A06.18.002 |
Рентгеноконтроль прохождения контраста по толстой кишке |
1117,40 |
A06.18.003 |
Ирригография |
584,20 |
A06.19.001 |
Рентгенография нижней части брюшной полости |
761,20 |
A06.19.002 |
Рентгенография прямой и ободочной кишки (двойным контрастированием) |
1117,40 |
A06.20.004 |
Маммография обеих молочных желез |
689,26 |
A06.20.004.001 |
Обзорная рентгенография молочной железы в одной проекции |
397,50 |
A06.20.004.002 |
Прицельная рентгенография молочной железы |
556,50 |
A06.20.004.003 |
Рентгенография молочной железы с разметкой удаленного сектора |
505,60 |
A06.20.004.008 |
Маммография молочных желез (две железы в 2 проекциях) с двойным прочтением рентгенограмм (в т.ч. с применением искусственного интеллекта) |
758,75 |
A06.20.004.009 |
Маммография обеих молочных желез с использованием искусственного интеллекта |
570,00 |
A06.20.004.006.01 |
Компьютерно-томографическая маммография с применением искусственного интеллекта |
1600,00 |
A06.20.004.007.01 |
Рентгенография молочных желез цифровая с применением искусственного интеллекта |
480,00 |
A06.09.006.002 |
Флюорография легких с применением искусственного интеллекта |
290,00 |
A06.09.007.003 |
Рентгенография органов грудной клетки с применением искусственного интеллекта |
270,00 |
A06.09.005.004 |
Компьютерная томография органов грудной клетки без применения внутривенного болюсного контрастирования, с использованием искусственного интеллекта |
1500,00 |
A06.09.005.005 |
Компьютерная томография органов грудной клетки с внутривенным болюсным контрастированием, с использованием искусственного интеллекта |
5400,00 |
A06.30.002.008 |
Описание и интерпретация данных компьютерной томографии с использованием искусственного интеллекта |
128,00 |
A06.23.004.009 |
Компьютерная томография головного мозга с внутривенным контрастированием, с использованием искусственного интеллекта |
5400,00 |
A06.23.004.010 |
Компьютерная томография сосудов головного мозга с внутривенным контрастированием, с использованием искусственного интеллекта |
5400,00 |
A06.30.002.007 |
Описание и интерпретация данных маммографического исследования с использованием искусственного интеллекта |
127,70 |
A07.30.043 |
Позитронная эмиссионная томография, совмещенная с компьютерной томографией с туморотропными РФП |
41172,00 |
A08.01.001 |
Патолого-анатомическое исследование биопсийного (операционного) материала кожи |
1823,82 |
A08.01.001.002 |
Патолого-анатомическое исследование биопсийного (операционного) материала кожи с применением иммуногистохимических методов |
8803,00 |
A08.01.002 |
Цитологическое исследование микропрепарата кожи |
410,20 |
A08.01.005 |
Цитологическое исследование на акантолитические клетки со дна эрозий слизистых оболочек и/или кожи |
410,20 |
A08.01.006 |
Цитологическое исследование пузырной жидкости на эозинофилы |
410,20 |
A08.02.001 |
Патолого-анатомическое исследование биопсийного (операционного) материала мышечной ткани |
1823,82 |
A08.02.001.001 |
Патолого-анатомическое исследование биопсийного (операционного) материала мышечной ткани с применением иммуногистохимических методов |
8862,00 |
A08.03.001 |
Цитологическое исследование микропрепарата пунктатов опухолей, опухолеподобных образований костей |
410,20 |
A08.03.002 |
Патолого-анатомическое исследование биопсийного (операционного) материала костной ткани |
3510,50 |
A08.03.002.002 |
Патолого-анатомическое исследование биопсийного (операционного) материала костной ткани с применением иммуногистохимических методов |
16678,20 |
A08.03.004 |
Цитологическое исследование микропрепарата костной ткани |
434,60 |
A08.04.002 |
Патолого-анатомическое исследование биопсийного (операционного) материала суставной сумки или капсулы сустава |
1823,82 |
A08.04.002.002 |
Патолого-анатомическое исследование биопсийного (операционного) материала тканей сустава с применением иммуногистохимических методов |
16678,20 |
A08.04.003 |
Цитологическое исследование микропрепарата тканей сустава |
434,60 |
A08.04.004 |
Цитологическое исследование синовиальной жидкости |
410,20 |
A08.05.002 |
Патолого-анатомическое исследование биопсийного (операционного) материала костного мозга |
1823,82 |
A08.05.002.001 |
Патолого-анатомическое исследование биопсийного (операционного) материала костного мозга с применением иммуногистохимических методов |
14543,50 |
A08.06.001 |
Цитологическое исследование препарата тканей лимфоузла |
454,75 |
A08.06.002 |
Патолого-анатомическое исследование биопсийного (операционного) материала лимфоузла |
1823,82 |
A08.06.002.001 |
Патолого-анатомическое исследование биопсийного (операционного) материала лимфоузла с применением иммуногистохимических методов |
16678,20 |
A08.06.003.002 |
Патолого-анатомическое исследование биопсийного (операционного) материала лимфоузла с применением иммуногистохимических методов |
16678,20 |
A08.06.005 |
Цитологическое исследование биоптатов лимфоузлов |
454,75 |
A08.07.001 |
Цитологическое исследование микропрепарата тканей полости рта |
410,20 |
A08.07.002 |
Патолого-анатомическое исследование биопсийного (операционного) материала тканей полости рта |
1823,82 |
A08.07.002.002 |
Патолого-анатомическое исследование биопсийного (операционного) материала тканей полости рта с применением иммуногистохимических методов |
16678,20 |
A08.07.003 |
Цитологическое исследование микропрепарата тканей языка |
410,20 |
A08.07.004 |
Патолого-анатомическое исследование биопсийного (операционного) материала тканей языка |
1823,82 |
A08.07.004.002 |
Патолого-анатомическое исследование биопсийного (операционного) материала тканей языка с применением иммуногистохимических методов |
16678,20 |
A08.07.005 |
Патолого-анатомическое исследование биопсийного (операционного) материала тканей губы |
1823,82 |
A08.07.005.002 |
Патолого-анатомическое исследование биопсийного (операционного) материала тканей губы с применением иммуногистохимических методов |
16678,20 |
A08.07.006 |
Цитологическое исследование микропрепарата тканей губы |
410,20 |
A08.07.007 |
Патолого-анатомическое исследование биопсийного (операционного) материала тканей преддверия полости рта |
1823,82 |
A08.07.007.002 |
Патолого-анатомическое исследование биопсийного (операционного) материала тканей преддверия полости рта с применением иммуногистохимических методов |
16678,20 |
A08.07.008 |
Цитологическое исследование микропрепарата тканей слюнной железы |
434,60 |
A08.07.009 |
Патолого-анатомическое исследование биопсийного (операционного) материала тканей слюнной железы |
1823,82 |
A08.07.009.002 |
Патолого-анатомическое исследование биопсийного (операционного) материала тканей слюнной железы с применением иммуногистохимических методов |
16678,20 |
A08.07.010 |
Цитологическое исследование отделяемого полости рта |
410,20 |
A08.07.011 |
Цитологическое исследование содержимого кисты (абсцесса) полости рта или содержимого зубодесневого кармана |
410,20 |
A08.08.001 |
Патолого-анатомическое исследование биопсийного (операционного) материала тканей верхних дыхательных путей |
1823,82 |
A08.08.001.002 |
Патолого-анатомическое исследование биопсийного (операционного) материала тканей верхних дыхательных путей с применением иммуногистохимических методов |
16678,20 |
A08.08.002 |
Цитологическое исследование отделяемого верхних дыхательных путей и отпечатков |
289,40 |
A08.08.003 |
Цитологическое исследование мазков с поверхности слизистой оболочки верхних дыхательных путей |
289,40 |
A08.08.004 |
Цитологическое исследование микропрепарата тканей верхних дыхательных путей |
410,20 |
A08.08.006 |
Цитологическое исследование смывов с верхних дыхательных путей |
410,20 |
A08.09.001 |
Патолого-анатомическое исследование биопсийного (операционного) материала тканей трахеи и бронхов |
1823,82 |
A08.09.001.002 |
Патолого-анатомическое исследование биопсийного (операционного) материала тканей трахеи и бронхов с применением иммуногистохимических методов |
16678,20 |
A08.09.002 |
Патолого-анатомическое исследование биопсийного (операционного) материала тканей легкого |
1823,82 |
A08.09.002.002 |
Патолого-анатомическое исследование биопсийного (операционного) материала тканей легкого с применением иммуногистохимических методов |
11835,40 |
A08.09.003 |
Цитологическое исследование микропрепарата тканей нижних дыхательных путей |
434,60 |
A08.09.005 |
Патолого-анатомическое исследование биопсийного (операционного) материала тканей плевры |
1823,82 |
A08.09.005.002 |
Патолого-анатомическое исследование биопсийного (операционного) материала тканей плевры с применением иммуногистохимических методов |
11835,40 |
A08.09.006 |
Цитологическое исследование микропрепарата тканей плевры |
434,60 |
A08.09.007 |
Цитологическое исследование микропрепарата тканей легкого |
434,60 |
A08.09.008 |
Цитологическое исследование микропрепарата тканей трахеи и бронхов |
434,60 |
A08.09.010 |
Цитологическое исследование плевральной жидкости |
410,20 |
A08.09.011 |
Цитологическое исследование мокроты |
489,70 |
A08.09.012 |
Цитологическое исследование лаважной жидкости |
410,20 |
A08.11.002 |
Цитологическое исследование микропрепарата опухоли средостения |
434,60 |
A08.14.001.002 |
Патолого-анатомическое исследование биопсийного (операционного) материала печени с применением иммуногистохимических методов |
16678,20 |
A08.14.002 |
Цитологическое исследование микропрепарата тканей печени |
434,60 |
A08.14.003 |
Цитологическое исследование микропрепарата тканей желчного пузыря |
434,60 |
A08.14.004 |
Патолого-анатомическое исследование биопсийного (операционного) материала пункционной биопсии печени |
1823,82 |
A08.14.004.001 |
Патолого-анатомическое исследование биоптата печени с применением иммуногистохимических методов |
16678,20 |
A08.14.006 |
Цитологическое исследование панкреатического сока |
410,20 |
A08.15.002 |
Цитологическое исследование микропрепарата тканей поджелудочной железы |
434,60 |
A08.16.001 |
Патолого-анатомическое исследование биопсийного (операционного) материала пищевода |
1823,82 |
A08.16.001.002 |
Патолого-анатомическое исследование биопсийного (операционного) материала пищевода с применением иммуногистохимических методов |
13540,50 |
A08.16.002 |
Патолого-анатомическое исследование биопсийного (операционного) материала желудка |
1823,82 |
A08.16.002.001 |
Патолого-анатомическое исследование биопсийного (операционного) материала желудка с применением гистохимических методов |
1267,80 |
A08.16.002.002 |
Патолого-анатомическое исследование биопсийного (операционного) материала желудка с применением иммуногистохимических методов |
13540,50 |
A08.16.003 |
Патолого-анатомическое исследование биопсийного (операционного) материала двенадцатиперстной кишки |
1823,82 |
A08.16.003.002 |
Патолого-анатомическое исследование биопсийного (операционного) материала двенадцатиперстной кишки с применением иммуногистохимических методов |
16678,20 |
A08.16.005 |
Цитологическое исследование микропрепарата тканей слюнных желез |
434,60 |
A08.16.006 |
Цитологическое исследование микропрепарата тканей пищевода |
434,60 |
A08.16.007 |
Цитологическое исследование микропрепарата тканей желудка |
434,60 |
A08.16.008 |
Цитологическое исследование микропрепарата тканей двенадцатиперстной кишки |
434,60 |
A08.17.001 |
Патолого-анатомическое исследование биопсийного (операционного) материала тонкой кишки |
1823,82 |
A08.17.001.002 |
Патолого-анатомическое исследование биопсийного (операционного) материала тонкой кишки с применением иммуногистохимических методов |
13540,50 |
A08.17.002 |
Цитологическое исследование микропрепарата тканей тонкой кишки |
434,60 |
A08.18.001 |
Патолого-анатомическое исследование биопсийного (операционного) материала толстой кишки |
1823,82 |
A08.18.001.002 |
Патолого-анатомическое исследование биопсийного (операционного) материала толстой кишки с применением иммуногистохимических методов |
10832,40 |
A08.18.002 |
Цитологическое исследование микропрепарата тканей толстой кишки |
434,60 |
A08.19.001 |
Патолого-анатомическое исследование биопсийного (операционного) материала прямой кишки |
1823,82 |
A08.19.001.002 |
Патолого-анатомическое исследование биопсийного (операционного) материала прямой кишки с применением иммуногистохимических методов |
13540,50 |
A08.19.002 |
Патолого-анатомическое исследование биопсийного (операционного) материала ободочной кишки |
1823,82 |
A08.19.002.002 |
Патолого-анатомическое исследование биопсийного (операционного) материала ободочной кишки с применением иммуногистохимических методов |
13540,50 |
A08.19.003 |
Цитологическое исследование микропрепарата тканей сигмовидной кишки |
434,60 |
A08.19.004 |
Цитологическое исследование микропрепарата тканей прямой кишки |
434,60 |
A08.20.001 |
Патолого-анатомическое исследование биопсийного (операционного) материала влагалища |
1823,82 |
A08.20.001.002 |
Патолого-анатомическое исследование биопсийного (операционного) материала влагалища с применением иммуногистохимических методов |
12036,00 |
A08.20.002.001 |
Патолого-анатомическое исследование соскоба полости матки, цервикального канала |
1823,82 |
A08.20.003 |
Патолого-анатомическое исследование биопсийного (операционного) материала матки |
1823,82 |
A08.20.003.002 |
Патолого-анатомическое исследование биопсийного (операционного) материала матки с применением иммуногистохимических методов |
12036,00 |
A08.20.004 |
Цитологическое исследование аспирата из полости матки |
434,60 |
A08.20.005 |
Патолого-анатомическое исследование биопсийного (операционного) материала яичника |
1823,82 |
A08.20.005.002 |
Патолого-анатомическое исследование биопсийного (операционного) материала яичника с применением иммуногистохимических методов |
12036,00 |
A08.20.006 |
Патолого-анатомическое исследование биопсийного (операционного) материала маточной трубы |
1823,82 |
A08.20.006.002 |
Патолого-анатомическое исследование биопсийного (операционного) материала маточной трубы с применением иммуногистохимических методов |
12036,00 |
A08.20.009.002 |
Патолого-анатомическое исследование биопсийного (операционного) материала молочной железы с применением иммуногистохимических методов |
9529,40 |
A08.20.012 |
Цитологическое исследование микропрепарата тканей влагалища |
410,20 |
A08.20.013 |
Цитологическое исследование микропрепарата тканей матки |
434,60 |
A08.20.013.001 |
Цитологическое исследование микропрепарата тканей матки (жидкостная цитология) |
831,00 |
A08.20.014 |
Цитологическое исследование микропрепарата тканей яичников |
434,60 |
A08.20.015 |
Цитологическое исследование микропрепарата тканей молочной железы |
434,60 |
A08.20.017 |
Цитологическое исследование микропрепарата шейки матки |
480,90 |
A08.20.017.001 |
Цитологическое исследование микропрепарата цервикального канала |
400,70 |
A08.20.018 |
Цитологическое исследование аспирата кисты |
410,20 |
A08.20.019 |
Цитологическое исследование отделяемого из соска молочной железы |
434,60 |
A08.21.001.002 |
Патолого-анатомическое исследование биопсийного (операционного) материала предстательной железы с применением иммуногистохимических методов |
6784,00 |
A08.21.002 |
Патолого-анатомическое исследование биопсийного (операционного) материала яичка, семенного канатика и придатков |
2229,30 |
A08.21.002.002 |
Патолого-анатомическое исследование биопсийного (операционного) материала яичка, семенного канатика и придатков с применением иммуногистохимических методов |
16678,20 |
A08.21.003 |
Патолого-анатомическое исследование биопсийного (операционного) материала крайней плоти |
1823,82 |
A08.21.003.002 |
Патолого-анатомическое исследование биопсийного (операционного) материала крайней плоти с применением иммуногистохимических методов |
16678,20 |
A08.21.005 |
Цитологическое исследование микропрепарата тканей предстательной железы |
434,60 |
A08.21.006 |
Цитологическое исследование микропрепарата тканей яичка |
434,60 |
A08.22.002 |
Патолого-анатомическое исследование биопсийного (операционного) материала тканей удаленного новообразования желез внутренней секреции |
2229,30 |
A08.22.002.002 |
Патолого-анатомическое исследование биопсийного (операционного) материала тканей удаленного новообразования желез внутренней секреции с применением иммуногистохимических методов |
16678,20 |
A08.22.003 |
Патолого-анатомическое исследование биопсийного (операционного) материала тканей щитовидной железы |
2229,30 |
A08.22.003.001 |
Патолого-анатомическое исследование биопсийного (операционного) материала тканей щитовидной железы с применением иммуногистохимических методов |
11333,90 |
A08.22.004 |
Цитологическое исследование микропрепарата тканей щитовидной железы |
434,60 |
A08.22.005 |
Цитологическое исследование микропрепарата тканей паращитовидной железы |
434,60 |
A08.22.006 |
Патолого-анатомическое исследование биопсийного (операционного) материала паращитовидной железы |
1823,82 |
A08.22.006.002 |
Патолого-анатомическое исследование биопсийного (операционного) материала паращитовидной железы с применением иммуногистохимических методов |
11333,90 |
A08.22.007 |
Патолого-анатомическое исследование биопсийного (операционного) материала надпочечника |
1823,82 |
A08.22.007.002 |
Патолого-анатомическое исследование биопсийного (операционного) материала надпочечника с применением иммуногистохимических методов |
16678,20 |
A08.23.002 |
Патолого-анатомическое исследование биопсийного (операционного) материала тканей центральной нервной системы и головного мозга |
2229,30 |
A08.23.002.001 |
Патолого-анатомическое исследование биопсийного (операционного) материала тканей центральной нервной системы и головного мозга с применением иммуногистохимических методов |
16678,20 |
A08.23.007 |
Цитологическое исследование клеток спинномозговой жидкости |
434,60 |
A08.24.001 |
Патолого-анатомическое исследование биопсийного (операционного) материала тканей периферической нервной системы |
1823,82 |
A08.24.001.002 |
Патолого-анатомическое исследование биопсийного (операционного) материала тканей периферической нервной системы с применением иммуногистохимических методов |
16678,20 |
A08.25.001 |
Цитологическое исследование микропрепарата тканей уха |
434,60 |
A08.26.001 |
Цитологическое исследование соскоба с конъюнктивы |
410,20 |
A08.26.002 |
Цитологическое исследование отпечатков с конъюнктивы |
410,20 |
A08.26.004 |
Патолого-анатомическое исследование биопсийного (операционного) материала глазного яблока, его придаточного аппарата, глазницы, экссудата при операции |
2229,30 |
A08.26.004.003 |
Патолого-анатомическое исследование биопсийного (операционного) материала глазного яблока, его придаточного аппарата, глазницы с применением иммуногистохимических методов |
16678,20 |
A08.26.005 |
Цитологическое исследование соскоба век |
410,20 |
A08.26.006 |
Цитологическое исследование отпечатков с век |
410,20 |
A08.26.007 |
Цитологическое исследование микропрепарата тонкоигольной аспирационной биопсии |
454,75 |
A08.28.005 |
Патолого-анатомическое исследование биопсийного (операционного) материала почек |
5360,40 |
A08.28.005.002 |
Патолого-анатомическое исследование биопсийного (операционного) материала почки с применением иммуногистохимических методов |
9127,30 |
A08.28.006 |
Цитологическое исследование микропрепарата тканей почек |
434,60 |
A08.28.007 |
Цитологическое исследование микропрепарата тканей мочевого пузыря |
434,60 |
A08.28.008 |
Цитологическое исследование микропрепарата тканей почечной лоханки и мочеточника |
434,60 |
A08.28.009 |
Патолого-анатомическое исследование биопсийного (операционного) материала почечной лоханки и мочеточника |
1823,82 |
A08.28.009.003 |
Патолого-анатомическое исследование биопсийного (операционного) материала тканей мочевыделительной системы с применением иммуногистохимических методов |
9127,30 |
A08.28.012 |
Исследование мочи для выявления клеток опухоли |
434,60 |
A08.28.015 |
Цитологическое исследование содержимого кисты почки |
434,60 |
A08.30.003 |
Цитологическое исследование пунктатов и отпечатков биоптатов опухолей забрюшинного пространства |
434,60 |
A08.30.006 |
Просмотр гистологического препарата |
1224,30 |
A08.30.007 |
Просмотр цитологического препарата |
310,60 |
A08.30.011 |
Цитологическое исследование микропрепарата тканей брюшины |
434,60 |
A08.30.012 |
Патолого-анатомическое исследование биопсийного (операционного) материала брюшины |
1823,82 |
A08.30.012.002 |
Патолого-анатомическое исследование биопсийного (операционного) материала брюшины с применением иммуногистохимических методов |
16678,20 |
A08.30.013 |
Патолого-анатомическое исследование биопсийного (операционного) материала с применением иммуногистохимических методов |
2607,80 |
A08.30.013.001 |
Патолого-анатомическое исследование белка к рецепторам HER2/neu с применением иммуногистохимических методов |
3209,60 |
A08.30.016 |
Цитологическое исследование микропрепарата пунктатов опухолей, опухолеподобных образований мягких тканей |
434,60 |
A08.30.021 |
Патолого-анатомическое исследование последа |
1823,82 |
A08.30.021.001 |
Патолого-анатомическое исследование биопсийного (операционного) материала последа с применением иммуногистохимических методов |
12036,00 |
A08.30.023 |
Патолого-анатомическое исследование биоптата плацентарного ложа матки |
1823,82 |
A08.30.024 |
Патолого-анатомическое исследование материала ранних и поздних выкидышей |
1823,82 |
A08.30.025 |
Патолого-анатомическое исследование материала неразвивающихся беременностей |
1823,82 |
A08.30.027 |
Цитологическое исследование дренажной жидкости (экссудаты, транссудаты) |
410,20 |
A08.30.028 |
Цитологическое исследование соскобов эрозий, язв, ран, свищей |
410,20 |
A08.30.031 |
Цитологическое исследование перитонеальной жидкости |
410,20 |
A08.30.046.001 |
Патолого-анатомическое исследование биопсийного (операционного) материала первой категории сложности |
389,75 |
A08.30.046.002 |
Патолого-анатомическое исследование биопсийного (операционного) материала второй категории сложности |
577,70 |
A08.30.046.003 |
Патолого-анатомическое исследование биопсийного (операционного) материала третьей категории сложности |
816,20 |
A08.30.046.005 |
Патолого-анатомическое исследование биопсийного (операционного) материала пятой категории сложности |
1007,00 |
A08.30.039 |
Определение экспрессии белка PDL1 иммуногистохимическим методом |
12013,00 |
A08.30.026 |
Определение экспрессии рецепторов SSTR2 с применением моноклональных антител к SSTR2A иммуногистохимическим методом |
16678,20 |
A08.30.034 |
Определение экспрессии рецепторов к эстрогенам и прогестерону иммуногистохимическим методом |
3861,55 |
A08.30.038 |
Определение индекса пролиферативной активности экспрессии Ki-67 иммуногистохимическим методом |
2387,40 |
A08.30.040 |
Определение мутаций в генах MLH1, MSH2, MSH6, PMS2 иммуногистохимическим методом |
16048,00 |
A08.30.041 |
Определение экспрессии PDGF альфа или бета иммуногистохимическим методом |
16678,20 |
A08.30.042 |
Определение экспрессии гена SDHB иммуногистохимическим методом |
16678,20 |
A08.30.043 |
Определение мутаций в гене MYOD1 иммуногистохимическим методом |
16678,20 |
A08.30.044 |
Определение мутаций в гене INI1 иммуногистохимическим методом |
16678,20 |
A09.05.004 |
Исследование уровня холестерина липопротеинов высокой плотности в крови |
155,80 |
A09.05.007 |
Исследование уровня железа сыворотки крови |
76,00 |
A09.05.008 |
Исследование уровня трансферрина сыворотки крови |
123,20 |
A09.05.009 |
Исследование уровня C-реактивного белка в сыворотке крови |
218,50 |
A09.05.010 |
Исследование уровня общего белка в крови |
69,20 |
A09.05.011 |
Исследование уровня альбумина в крови |
70,00 |
A09.05.013 |
Определение альбумин/глобулинового соотношения в крови |
444,30 |
A09.05.017 |
Исследование уровня мочевины в крови |
75,50 |
A09.05.018 |
Исследование уровня мочевой кислоты в крови |
74,90 |
A09.05.020 |
Исследование уровня креатинина в крови |
73,50 |
A09.05.021 |
Исследование уровня общего билирубина в крови |
71,60 |
A09.05.023 |
Исследование уровня глюкозы в крови |
180,00 |
A09.05.025 |
Исследование уровня триглицеридов в крови |
85,00 |
A09.05.026 |
Исследование уровня холестерина в крови |
183,65 |
A09.05.028 |
Исследование уровня холестерина липопротеинов низкой плотности |
177,20 |
A09.05.029 |
Исследование уровня фосфолипидов в крови |
70,20 |
A09.05.030 |
Исследование уровня натрия в крови |
121,80 |
A09.05.031 |
Исследование уровня калия в крови |
121,80 |
A09.05.032 |
Исследование уровня общего кальция в крови |
78,70 |
A09.05.033 |
Исследование уровня неорганического фосфора в крови |
69,40 |
A09.05.034 |
Исследование уровня хлоридов в крови |
121,80 |
A09.05.039 |
Определение активности лактатдегидрогеназы в крови |
68,00 |
A09.05.041 |
Определение активности аспартатаминотрансферазы в крови |
52,20 |
A09.05.042 |
Определение активности аланинаминотрансферазы в крови |
52,20 |
A09.05.043 |
Определение активности креатинкиназы в крови |
109,70 |
A09.05.044 |
Определение активности гамма-глютамилтрансферазы в крови |
72,50 |
A09.05.045 |
Определение активности амилазы в крови |
79,40 |
A09.05.046 |
Определение активности щелочной фосфатазы в крови |
177,10 |
A09.05.050 |
Исследование уровня фибриногена в крови |
242,25 |
A09.05.054.001 |
Исследование уровня общего иммуноглобулина E в крови |
201,90 |
A09.05.054.002 |
Исследование уровня иммуноглобулина A в крови |
169,00 |
A09.05.054.003 |
Исследование уровня иммуноглобулина M в крови |
169,00 |
A09.05.054.004 |
Исследование уровня иммуноглобулина G в крови |
169,00 |
A09.05.056 |
Исследование уровня инсулина плазмы крови |
299,85 |
A09.05.058 |
Исследование уровня паратиреоидного гормона в крови |
379,75 |
A09.05.060 |
Исследование уровня общего трийодтиронина (Т3) в крови |
233,20 |
A09.05.061 |
Исследование уровня свободного трийодтиронина (СТ3) в крови |
191,60 |
A09.05.063 |
Исследование уровня свободного тироксина (СТ4) сыворотки крови |
184,20 |
A09.05.064 |
Исследование уровня общего тироксина (Т4) сыворотки крови |
173,3 |
A09.05.065 |
Исследование уровня тиреотропного гормона (ТТГ) в крови |
166,80 |
A09.05.066 |
Исследование уровня соматотропного гормона в крови |
225,30 |
A09.05.067 |
Исследование уровня адренокортикотропного гормона в крови |
463,95 |
A09.05.069 |
Исследование уровня альдостерона в крови |
490,00 |
A09.05.076 |
Исследование уровня ферритина в крови |
179,80 |
A09.05.078 |
Исследование уровня общего тестостерона в крови |
225,30 |
A09.05.083 |
Исследование уровня гликированного гемоглобина в крови |
252,50 |
A09.05.087 |
Исследование уровня пролактина в крови |
184,25 |
A09.05.089 |
Исследование уровня альфа-фетопротеина в сыворотке крови |
260,50 |
A09.05.090 |
Исследование уровня хорионического гонадотропина в крови |
218,15 |
A09.05.106.001 |
Исследование моноклональности иммуноглобулинов в крови методом иммунофиксации |
800,00 |
A09.05.117 |
Исследование уровня тиреоглобулина в крови |
180,00 |
A09.05.119 |
Исследование уровня кальцитонина в крови |
296,80 |
A09.05.124 |
Исследование уровня серотонина, его предшественников и метаболитов в крови |
859,25 |
A09.05.130 |
Исследование уровня простатспецифического антигена в крови |
288,82 |
A09.05.131 |
Исследование уровня лютеинизирующего гормона в сыворотке крови |
190,10 |
A09.05.132 |
Исследование уровня фолликулостимулирующего гормона в сыворотке крови |
190,10 |
A09.05.135 |
Исследование уровня общего кортизола в крови |
184,25 |
A09.05.139 |
Исследование уровня 17-гидроксипрогестерона в крови |
343,00 |
A09.05.051.001 |
Определение концентрации Д-димера в крови |
394,40 |
A09.05.153 |
Исследование уровня прогестерона в крови |
191,60 |
A09.05.154 |
Исследование уровня общего эстрадиола в крови |
302,00 |
A09.05.195 |
Исследование уровня раково-эмбрионального антигена в крови |
218,15 |
A09.05.200 |
Исследование уровня антигена аденогенных раков Ca 72-4 в крови |
290,00 |
A09.05.201 |
Исследование уровня антигена аденогенных раков Ca 19-9 в крови |
225,00 |
A09.05.202 |
Исследование уровня антигена аденогенных раков Ca 125 в крови |
238,40 |
A09.05.205 |
Исследование уровня C-пептида в крови |
300,00 |
A09.05.206 |
Исследование уровня ионизированного кальция в крови |
127,20 |
A09.05.209 |
Исследование уровня прокальцитонина в крови |
789,00 |
A09.05.225 |
Исследование уровня антимюллерова гормона в крови |
689,00 |
A09.05.227 |
Определение хромогранина A в крови |
1047,30 |
A09.05.246 |
Исследование уровня нейронспецифической енолазы в крови |
476,65 |
A09.05.286 |
Определение активности фактора XIII в плазме крови |
971,00 |
A09.19.001 |
Исследование кала на скрытую кровь |
247,50 |
A09.28.011 |
Исследование уровня глюкозы в моче |
122,85 |
A09.28.027 |
Определение активности альфа-амилазы в моче |
112,82 |
A09.28.028 |
Исследование мочи на белок Бенс-Джонса |
830,00 |
A09.28.015.001 |
Обнаружение кетоновых тел в моче экспресс-методом |
122,85 |
A09.28.042 |
Исследование уровня 5-гидроксииндолуксусной кислоты (5-ОИУК) в моче |
1268,85 |
A09.28.087 |
Исследование уровня антигена рака простаты 3 (PCA3) в моче |
2409,00 |
A11.01.003 |
Внутрикожное введение лекарственных препаратов |
108,85 |
A11.01.003.001 |
Внутрикожная проба с туберкулезным аллергеном |
113,95 |
A11.09.007.001 |
Ингаляторное введение лекарственных препаратов через небулайзер |
68,00 |
A11.22.001 |
Биопсия щитовидной и паращитовидной железы |
685,60 |
A11.20.002 |
Получение цервикального мазка |
193,05 |
A12.05.005 |
Определение основных групп по системе AB0 |
302,60 |
A12.05.006 |
Определение антигена D системы Резус (резус-фактор) |
250,76 |
A12.05.027 |
Определение протромбинового (тромбопластинового) времени в крови или в плазме |
108,85 |
A12.05.028 |
Определение тромбинового времени в крови |
95,10 |
A12.05.039 |
Активированное частичное тромбопластиновое время |
108,85 |
A12.05.014 |
Исследование времени свертывания нестабилизированной крови или рекальцификации плазмы неактивированное |
97,25 |
A12.05.123 |
Исследование уровня ретикулоцитов в крови |
197,55 |
A12.06.001 |
Исследование популяций лимфоцитов |
2438,00 |
A12.06.017 |
Определение содержания антител к тироглобулину в сыворотке крови |
163,10 |
A12.06.045 |
Определение содержания антител к тиреопероксидазе в крови |
232,95 |
A12.06.046 |
Определение содержания антител к рецептору тиреотропного гормона (ТТГ) в крови |
604,20 |
A12.06.052 |
Определение содержания антител к циклическому цитруллиновому пептиду (анти-CCP) в крови |
1280,00 |
A12.06.060 |
Определение уровня витамина B12 (цианокобаламин) в крови |
424,00 |
A12.06.061 |
Определение содержания антител к экстрагируемым ядерным антигенам в крови |
805,60 |
A12.06.062 |
Определение содержания антител к цитруллинированному виментину в крови |
752,60 |
A12.09.001 |
Исследование неспровоцированных дыхательных объемов и потоков |
410,30 |
A12.10.001 |
Электрокардиография с физической нагрузкой |
262,10 |
A12.20.001 |
Микроскопическое исследование влагалищных мазков |
190,00 |
A12.21.003 |
Микроскопическое исследование уретрального отделяемого и сока простаты |
164,85 |
A12.30.012.009 |
Определения антигена HLA-B27 методом проточной цитофлуориметрии |
1580,00 |
A16.20.079 |
Вакуум-аспирация эндометрия |
878,05 |
A17.01.007 |
Дарсонвализация кожи |
102,10 |
A17.01.008 |
Воздействие токами ультравысокой частоты на кожу |
114,10 |
A17.01.013 |
Воздействие синусоидальными модулированными токами (СМТ-терапия) при заболеваниях кожи и подкожно-жировой клетчатки |
108,55 |
A17.02.001 |
Электростимуляция мышц |
108,50 |
A17.03.001 |
Электрофорез лекарственных препаратов при костной патологии |
140,20 |
A17.03.003 |
Воздействие синусоидальными модулированными токами (СМТ-терапия) при костной патологии |
108,55 |
A17.03.005 |
Воздействие токами надтональной частоты (ультратонотерапия) при костной патологии |
101,70 |
A17.03.006 |
Воздействие токами ультравысокой частоты при костной патологии |
114,30 |
A17.03.007 |
Воздействие магнитными полями при костной патологии |
102,45 |
A17.04.001 |
Электрофорез лекарственных препаратов при заболеваниях суставов |
143,40 |
A17.08.001 |
Электрофорез лекарственных препаратов при заболеваниях верхних дыхательных путей |
140,00 |
A17.08.001.001 |
Электрофорез лекарственных препаратов эндоназальный |
145,40 |
A17.08.002 |
Дарсонвализация при заболеваниях верхних дыхательных путей |
89,00 |
A17.08.003 |
Аэрозольтерапия при заболеваниях верхних дыхательных путей |
68,00 |
A17.08.004 |
Воздействие токами ультравысокой частоты при заболеваниях верхних дыхательных путей |
109,50 |
A17.08.005 |
Воздействие токами надтональной частоты (ультратонотерапия), ультратонотерапия эндоназальная при заболеваниях верхних дыхательных путей |
101,70 |
A17.09.001 |
Электрофорез лекарственных препаратов при патологии легких |
140,20 |
A17.09.002.001 |
Аэрозольтерапия при заболеваниях нижних дыхательных путей |
68,00 |
A17.09.004 |
Воздействие токами ультравысокой частоты при заболеваниях нижних дыхательных путей |
114,10 |
A17.09.005 |
Высокочастотная магнитотерапия - индуктотермия при заболеваниях нижних дыхательных путей |
114,30 |
A17.13.001 |
Электрофорез лекарственных препаратов при нарушениях микроциркуляции |
14,20 |
A17.13.002 |
Воздействие синусоидальными модулированными токами (СМТ-терапия) при нарушениях микроциркуляции |
108,55 |
A17.28.003 |
Электростимуляция мочевого пузыря |
108,50 |
A17.30.007 |
Воздействие электромагнитным излучением сантиметрового диапазона (СМВ-терапия) |
103,50 |
A17.30.016 |
Воздействие высокочастотными электромагнитными полями (индуктотермия) |
114,50 |
A17.30.017 |
Воздействие электрическим полем ультравысокой частоты (ЭП УВЧ) |
114,30 |
A17.30.018 |
Воздействие электромагнитным излучением дециметрового диапазона (ДМВ) |
114,00 |
A17.30.019 |
Воздействие переменным магнитным полем (ПеМП) |
110,20 |
A17.30.019.001 |
Воздействие магнитными полями при заболеваниях мышц |
110,60 |
A17.30.020 |
Воздействие сверхвысокочастотным электромагнитным полем |
95,90 |
A17.30.024.002 |
Электрофорез синусоидальными модулированными токами (СМТ-форез) |
108,50 |
A17.30.034 |
Ультрафонофорез лекарственный |
91,60 |
A19.04.001.001 |
Индивидуальное занятие лечебной физкультурой при заболеваниях и травмах суставов |
217,75 |
A19.04.001.002 |
Групповое занятие лечебной физкультурой при заболеваниях и травмах суставов |
359,75 |
A20.03.002 |
Воздействие парафином при заболеваниях костной системы |
182,10 |
A20.23.002 |
Воздействие парафином (озокеритом) при заболеваниях центральной нервной системы |
182,10 |
A20.24.002 |
Парафинотерапия заболеваний периферической нервной системы |
182,10 |
A20.24.002.001 |
Воздействие парафином на кисти или стопы (парафиновая ванночка) |
182,10 |
A21.01.003 |
Массаж шеи медицинский |
164,00 |
A21.01.004 |
Массаж верхней конечности медицинский |
164,00 |
A21.01.009 |
Массаж нижней конечности медицинский |
164,00 |
A21.03.001 |
Массаж при переломе костей |
164,00 |
A21.03.002 |
Массаж при заболеваниях позвоночника |
164,00 |
A21.23.001 |
Массаж при заболеваниях центральной нервной системы |
164,00 |
A21.24.004 |
Массаж при заболеваниях периферической нервной системы |
164,00 |
A21.30.001 |
Массаж передней брюшной стенки медицинский |
164,00 |
A21.30.002 |
Общий массаж и гимнастика у детей раннего возраста |
164,00 |
A21.30.003 |
Массаж при заболеваниях нервной системы у детей раннего возраста |
164,00 |
A21.30.004 |
Массаж при заболеваниях опорно-двигательного аппарата у детей раннего возраста |
164,00 |
A21.30.005 |
Массаж грудной клетки медицинский |
164,00 |
A22.01.001 |
Ультразвуковое лечение кожи |
95,00 |
A22.01.005 |
Низкоинтенсивное лазерное облучение кожи |
101,15 |
A22.01.001.001 |
Ультрафонофорез лекарственный кожи |
91,30 |
A22.01.006.003 |
Ультрафиолетовое облучение кожи. Общая ультрафиолетовая терапия дальнего длинноволнового диапазона |
68,30 |
A22.02.001 |
Воздействие низкоинтенсивным лазерным излучением при заболеваниях мышц |
101,15 |
A22.04.002 |
Воздействие ультразвуком при заболеваниях суставов |
89,65 |
A22.04.002.001 |
Ультрафонофорез лекарственный при заболеваниях суставов |
101,90 |
A22.04.003 |
Воздействие низкоинтенсивным лазерным излучением при заболеваниях суставов |
101,15 |
A22.08.003 |
Воздействие лазерным низкоинтенсивным излучением на область зева |
101,15 |
A22.08.004 |
Воздействие лазерным низкоинтенсивным излучением эндоназально |
101,15 |
A22.08.005 |
Ультрафонофорез лекарственный при заболеваниях верхних дыхательных путей |
91,00 |
A22.08.006 |
Воздействие коротким ультрафиолетовым светом при заболеваниях верхних дыхательных путей |
88,00 |
A22.08.007 |
Воздействие низкоинтенсивным лазерным излучением при заболеваниях верхних дыхательных путей |
101,15 |
A22.09.001 |
Эндобронхиальное воздействие низкоинтенсивным лазерным излучением при заболеваниях нижних дыхательных путей |
101,15 |
A22.24.001 |
Воздействие низкоинтенсивным лазерным излучением при заболеваниях периферической нервной системы |
101,15 |
A22.25.001 |
Эндоаурикулярное воздействие низкоинтенсивным лазерным излучением при заболеваниях органов слуха |
101,15 |
A22.25.002 |
Светолечение коротким ультрафиолетовым излучением наружного уха |
101,15 |
A22.30.005 |
Воздействие поляризованным светом |
101,15 |
A26.01.001 |
Микробиологическое (культуральное) исследование гнойного отделяемого на аэробные и факультативно-анаэробные микроорганизмы |
479,30 |
A26.01.024.001 |
Определение ДНК вируса простого герпеса 1 и 2 типов (Herpes simplex virus types 1, 2) в везикулярной жидкости, соскобах с высыпаний методом ПЦР |
241,40 |
A26.02.001 |
Микробиологическое (культуральное) исследование раневого отделяемого на аэробные и факультативно-анаэробные микроорганизмы |
479,30 |
A26.05.001 |
Микробиологическое (культуральное) исследование крови на стерильность |
227,70 |
A26.05.015 |
Микроскопическое исследование пунктатов органов кроветворения (костный мозг, селезенка, лимфатические узлы) на трипаносомы (Trypanosoma spp.) |
191,95 |
A26.05.016.001 |
Исследование микробиоценоза кишечника (дисбактериоз) культуральными методами |
1313,10 |
A26.05.019.001 |
Определение РНК вируса гепатита C (Hepatitis C virus) в крови методом ПЦР, качественное исследование |
401,00 |
A26.05.019.002 |
Определение РНК вируса гепатита C (Hepatitis C virus) в крови методом ПЦР, количественное исследование |
827,05 |
A26.05.019.003 |
Определение генотипа вируса гепатита C (Hepatitis C virus) |
1111,25 |
A26.06.011.001 |
Определение антител класса M (IgM) к возбудителям иксодовых клещевых боррелиозов группы Borrelia burgdorferi sensu lato в крови |
383,35 |
A26.06.011.002 |
Определение антител класса G (IgG) к возбудителям иксодовых клещевых боррелиозов группы Borrelia burgdorferi sensu lato в крови |
307,40 |
A26.06.016 |
Определение антител классов A, M, G (IgA, IgM, IgG) к хламидии пневмонии (Chlamydia pneumoniae) в крови |
390,15 |
A26.06.018.003 |
Определение антител класса G (IgG) к хламидии трахоматис (Chlamydia trachomatis) в крови |
160,20 |
A26.06.022 |
Определение антител классов M, G (IgM, IgG) к цитомегаловирусу (Cytomegalovirus) в крови |
341,70 |
A26.06.022.001 |
Определение антител класса G (IgG) к цитомегаловирусу (Cytomegalovirus) в крови |
185,50 |
A26.06.036 |
Определение антигена (HbsAg) вируса гепатита B (Hepatitis B virus) в крови |
119,30 |
A26.06.041 |
Определение антител к вирусу гепатита C (Hepatitis C virus) в крови |
303,00 |
A26.06.045 |
Определение антител к вирусу простого герпеса (Herpes simplex virus) в крови |
470,00 |
A26.06.045.001 |
Определение антител класса G (IgG) к вирусу простого герпеса 1 типа (Herpes simplex virus 1) в крови |
498,20 |
A26.06.048 |
Определение антител классов M, G (IgM, IgG) к вирусу иммунодефицита человека ВИЧ-1 (Human immunodeficiency virus HIV-1) в крови |
402,40 |
A26.06.049 |
Определение антител классов M, G (IgM, IgG) к вирусу иммунодефицита человека ВИЧ-2 (Human immunodeficiency virus HIV-2) в крови |
138,55 |
A26.06.057 |
Определение антител классов M, G (IgM, IgG) к микоплазме пневмонии (Mycoplasma pneumoniae) в крови |
402,80 |
A26.06.071 |
Определение антител к вирусу краснухи (Rubella virus) в крови |
424,25 |
A26.06.071.002 |
Определение антител класса M (IgM) к вирусу краснухи (Rubella virus) в крови |
211,70 |
A26.06.071.003 |
Определение индекса авидности антител класса G (IgG avidity) к вирусу краснухи (Rubella virus) в крови |
359,55 |
A26.06.081 |
Определение антител к токсоплазме (Toxoplasma gondii) в крови |
415,65 |
A26.06.081.001 |
Определение антител класса G (IgG) к токсоплазме (Toxoplasma gondii) в крови |
145,40 |
A26.06.081.002 |
Определение антител класса M (IgM) к токсоплазме (Toxoplasma gondii) в крови |
280,50 |
A26.06.082.001 |
Определение антител к бледной трепонеме (Treponema pallidum) в нетрепонемных тестах (RPR, РМП) (качественное и полуколичественное исследование) в сыворотке крови |
84,70 |
A26.06.082.002 |
Определение антител к бледной трепонеме (Treponema pallidum) иммуноферментным методом (ИФА) в крови |
307,00 |
A26.05.020.002 |
Определение ДНК вируса гепатита B (Hepatitis B virus) в крови методом ПЦР, количественное исследование |
830,00 |
A26.05.021 |
Молекулярно-биологическое исследование крови на вирус иммунодефицита человека ВИЧ-1 (Human immunodeficiency virus HIV-1) |
310,00 |
A26.05.021.001 |
Количественное определение РНК вируса иммунодефицита человека ВИЧ-1 (Human immunodeficiency virus HIV-1) в плазме крови методом ПЦР |
3210,00 |
A26.05.020.001 |
Определение ДНК вируса гепатита B (Hepatitis B virus) в крови методом ПЦР, качественное исследование |
444,55 |
A26.06.088.001 |
Определение антител класса M (IgM) к вирусу клещевого энцефалита в крови |
286,20 |
A26.06.088.002 |
Определение антител класса G (IgG) к вирусу клещевого энцефалита в крови |
286,20 |
A26.06.113 |
Определение антител к хламидии пневмонии (Chlamydophila pneumoniae) в крови |
390,15 |
A26.08.001 |
Микробиологическое (культуральное) исследование слизи и пленок с миндалин на палочку дифтерии (Corinebacterium diphtheriae) |
293,00 |
A26.08.005 |
Микробиологическое (культуральное) исследование слизи с миндалин и задней стенки глотки на аэробные и факультативно-анаэробные микроорганизмы |
414,00 |
A26.08.006 |
Микробиологическое (культуральное) исследование смывов из околоносных полостей на аэробные и факультативно-анаэробные микроорганизмы |
414,00 |
A26.09.010 |
Микробиологическое (культуральное) исследование мокроты на аэробные и факультативно-анаэробные микроорганизмы |
458,90 |
A26.19.001 |
Микробиологическое (культуральное) исследование фекалий/ректального мазка на возбудителя дизентерии (Shigella spp.) |
254,20 |
A26.19.003 |
Микробиологическое (культуральное) исследование фекалий/ректального мазка на микроорганизмы рода сальмонелла (Salmonella spp.) |
275,00 |
A26.19.006 |
Микробиологическое (культуральное) исследование фекалий на холерные вибрионы (Vibrio cholerae) |
532,67 |
A26.19.010 |
Микроскопическое исследование кала на яйца и личинки гельминтов |
287,70 |
A26.19.034 |
Молекулярно-биологическое исследование фекалий на холерный вибрион (Vibrio cholerae) |
1500,56 |
A26.19.075.001 |
Определение РНК калицивирусов (норовирусов, саповирусов) (Caliciviridae (Norovirus, Sapovirus)) в образцах фекалий методом ПЦР |
521,90 |
A26.19.076.001 |
Определение РНК астровирусов (Astrovirus) в образцах фекалий методом ПЦР |
521,90 |
A26.20.008 |
Микробиологическое (культуральное) исследование отделяемого женских половых органов на аэробные и факультативно-анаэробные микроорганизмы |
425,70 |
A26.20.009.004 |
Определение ДНК и типа вируса папилломы человека (Papilloma virus) высокого канцерогенного риска в отделяемом (соскобе) из цервикального канала методом ПЦР |
486,00 |
A26.20.009.005 |
Определение ДНК вирусов папилломы человека (Papilloma virus) 16 и 18 типов в отделяемом (соскобе) из цервикального канала методом ПЦР, качественное исследование |
274,00 |
A26.20.010.001 |
Определение ДНК вируса простого герпеса 1 и 2 типов (Herpes simplex virus types 1, 2) в отделяемом из цервикального канала |
241,40 |
A26.20.011.001 |
Определение ДНК цитомегаловируса (Cytomegalovirus) в отделяемом из цервикального канала методом ПЦР, качественное исследование |
209,00 |
A26.20.012.005 |
Определение ДНК 16 и 18 типов вирусов папилломы человека (Papilloma virus) высокого канцерогенного риска в отделяемом из влагалища методом ПЦР, качественное исследование |
274,00 |
A26.20.020.001 |
Определение ДНК хламидии трахоматис (Chlamydia trachomatis) в отделяемом слизистых оболочек женских половых органов методом ПЦР |
201,00 |
A26.20.022.001 |
Определение ДНК гонококка (Neiseria gonorrhoeae) в отделяемом слизистых оболочек женских половых органов методом ПЦР |
201,00 |
A26.20.026.001 |
Определение ДНК трихомонас вагиналис (Trichomonas vaginalis) в отделяемом слизистых оболочек женских половых органов методом ПЦР |
201,00 |
A26.20.027.001 |
Определение ДНК микоплазмы гениталиум (Mycoplasma genitalium) в отделяемом слизистых оболочек женских половых органов методом ПЦР |
192,00 |
A26.20.028.001 |
Определение ДНК микоплазмы хоминис (Mycoplasma hominis) в отделяемом слизистых оболочек женских половых органов методом ПЦР, качественное исследование |
189,00 |
A26.20.028.002 |
Определение ДНК микоплазмы хоминис (Mycoplasma hominis) в отделяемом слизистых оболочек женских половых органов методом ПЦР, количественное исследование |
232,00 |
A26.20.030.001 |
Определение ДНК гарднереллы вагиналис (Gadnerella vaginalis) во влагалищном отделяемом методом ПЦР |
160,00 |
A26.21.007.001 |
Определение ДНК хламидии трахоматис (Chlamydia trachomatis) в отделяемом из уретры методом ПЦР |
207,00 |
A26.21.009.001 |
Определение ДНК вируса простого герпеса 1 и 2 типов (Herpes simplex virus types 1, 2) в отделяемом из уретры методом ПЦР |
241,40 |
A26.21.010.001 |
Определение ДНК цитомегаловируса (Cytomegalovirus) в отделяемом из уретры методом ПЦР, качественное исследование |
205,00 |
A26.21.027.001 |
Определение ДНК уреаплазм (Ureaplasma spp.) с уточнением вида в отделяемом из уретры методом ПЦР |
232,00 |
A26.21.030.001 |
Определение ДНК трихомонас вагиналис (Trichomonas vaginalis) в отделяемом из уретры методом ПЦР |
207,00 |
A26.21.031.001 |
Определение ДНК микоплазмы гениталиум (Mycoplasma genitalium) в отделяемом из уретры методом ПЦР |
195,00 |
A26.21.032.001 |
Определение ДНК микоплазмы хоминис (Mycoplasma hominis) в отделяемом из уретры методом ПЦР, качественное исследование |
198,00 |
A26.25.001 |
Микробиологическое (культуральное) исследование отделяемого из ушей на аэробные и факультативно-анаэробные микроорганизмы |
445,00 |
A26.26.004 |
Микробиологическое (культуральное) исследование отделяемого конъюнктивы на аэробные и факультативно-анаэробные условно патогенные микроорганизмы |
460,00 |
A26.28.003 |
Микробиологическое (культуральное) исследование мочи на аэробные и факультативно-анаэробные условно патогенные микроорганизмы |
446,25 |
A26.28.016.001 |
Определение ДНК трихомонас вагиналис (Trichomonas vaginalis) в моче методом ПЦР, качественное исследование |
265,00 |
A26.30.004 |
Определение чувствительности микроорганизмов к антимикробным химиотерапевтическим препаратам |
222,25 |
B03.005.006 |
Коагулограмма (ориентировочное исследование системы гемостаза) |
868,20 |
A26.06.056.001.03 |
Определение антител класса G (IgG) к коронавирусу COVID-19 (SARS-CoV-2) иммуноферментным методом (ИФА) в крови |
1007,00 |
A26.06.056.001.04 |
Определение антител класса M (IgM) к коронавирусу COVID-19 (SARS-CoV-2) иммуноферментным методом (ИФА) в крови |
1007,00 |
B03.016.002 |
Общий (клинический) анализ крови |
153,50 |
B03.016.003 |
Общий (клинический) анализ крови развернутый |
118,60 |
B03.016.004 |
Анализ крови биохимический общетерапевтический |
550,80 |
B03.016.006 |
Общий (клинический) анализ мочи |
150,90 |
B03.016.014 |
Исследование мочи методом Нечипоренко |
100,00 |
B03.037.001 |
Функциональное тестирование легких |
398,40 |
B03.053.002 |
Спермограмма |
1115,16 |
A06.30.002.002 |
Описание и интерпретация магнитно-резонансных томограмм |
508,80 |
A06.30.002.001 |
Описание и интерпретация компьютерных томограмм |
552,30 |
B04.001.002 |
Профилактический прием (осмотр, консультация) врача - акушера-гинеколога |
327,50 |
B04.002.002 |
Профилактический прием (осмотр, консультация) врача - аллерголога-иммунолога |
229,40 |
B04.004.002 |
Профилактический прием (осмотр, консультация) врача-гастроэнтеролога |
187,70 |
B04.005.002 |
Профилактический прием (осмотр, консультация) врача-гематолога |
186,70 |
B04.008.002 |
Профилактический прием (осмотр, консультация) врача-дерматовенеролога |
146,90 |
B04.009.002 |
Профилактический прием (осмотр, консультация) врача - детского онколога |
269,70 |
B04.010.002 |
Профилактический прием (осмотр, консультация) врача - детского хирурга |
334,00 |
B04.013.002 |
Профилактический прием (осмотр, консультация) врача-диетолога |
186,60 |
B04.014.003 |
Профилактический прием (осмотр, консультация) врача-инфекциониста |
187,70 |
B04.015.004 |
Профилактический прием (осмотр, консультация) врача - детского кардиолога |
213,80 |
B04.015.004.001 |
Профилактический прием (осмотр, консультация) врача-кардиолога |
186,60 |
B04.018.002 |
Профилактический прием (осмотр, консультация) врача-колопроктолога |
190,85 |
B04.023.002 |
Профилактический прием (осмотр, консультация) врача-невролога |
348,70 |
B04.024.002 |
Профилактический прием (осмотр, консультация) врача-нейрохирурга |
188,20 |
B04.025.002.005 |
Профилактический прием (осмотр, консультация) врача-нефролога |
159,60 |
B04.026.002 |
Профилактический прием (осмотр, консультация) врача общей практики (семейного врача) |
450,40 |
B04.027.002 |
Профилактический прием (осмотр, консультация) врача-онколога |
228,95 |
B04.028.002 |
Профилактический прием (осмотр, консультация) врача-оториноларинголога |
320,00 |
B04.029.002 |
Профилактический прием (осмотр, консультация) врача-офтальмолога |
246,10 |
B04.031.002 |
Профилактический прием (осмотр, консультация) врача-педиатра |
406,00 |
B04.031.004 |
Профилактический прием (осмотр, консультация) врача-педиатра участкового |
184,60 |
B04.037.002 |
Профилактический прием (осмотр, консультация) врача-пульмонолога |
184,60 |
B04.040.002 |
Профилактический прием (осмотр, консультация) врача-ревматолога |
187,20 |
B04.043.002 |
Профилактический прием (осмотр, консультация) врача - сердечно-сосудистого хирурга |
174,60 |
B04.046.002 |
Профилактический прием (осмотр, консультация) врача - сурдолога-оториноларинголога |
209,15 |
B04.047.002 |
Профилактический прием (осмотр, консультация) врача-терапевта |
467,40 |
B04.047.004 |
Профилактический прием (осмотр, консультация) врача-терапевта участкового |
184,60 |
B04.049.002 |
Профилактический прием (осмотр, консультация) врача - торакального хирурга |
174,60 |
B04.050.002 |
Профилактический прием (осмотр, консультация) врача - травматолога-ортопеда |
351,85 |
B04.053.002 |
Профилактический прием (осмотр, консультация) врача-уролога |
366,75 |
B04.053.004 |
Профилактический прием (осмотр, консультация) врача - детского уролога-андролога |
352,00 |
B04.057.002 |
Профилактический прием (осмотр, консультация) врача-хирурга |
161,90 |
B04.058.003 |
Профилактический прием (осмотр, консультация) врача - детского эндокринолога |
447,00 |
B04.058.003.003 |
Профилактический прием (осмотр, консультация) врача-эндокринолога |
186,60 |
B04.064.002 |
Профилактический прием (осмотр, консультация) врача-стоматолога детского |
395,00 |
B04.065.002 |
Профилактический прием (осмотр, консультация) врача - стоматолога-терапевта |
263,95 |
B04.065.004 |
Профилактический прием (осмотр, консультация) зубного врача |
263,95 |
B04.065.006 |
Профилактический прием (осмотр, консультация) врача-стоматолога |
263,95 |
B04.068.002 |
Профилактический прием (осмотр, консультация) врача - челюстно-лицевого хирурга повторный |
290,45 |
B04.047.006.01 |
Телемедицинская консультация врач - врач, в режиме реального времени |
341,10 |
B04.047.006.02 |
Телемедицинская консультация врач - пациент, в режиме реального времени |
341,10 |
B04.047.006.03 |
Телемедицинская консультация врач - консилиум врачей, в режиме реального времени |
815,00 |
B04.047.006.04 |
Телемедицинская консультация врач - врач, в режиме отложенных консультаций |
324,00 |
B04.047.006.05 |
Телемедицинская консультация врач - пациент, в режиме отложенных консультаций |
324,00 |
B04.047.006.06 |
Телемедицинская консультация врач - консилиум врачей, в режиме отложенных консультаций |
774,25 |
B04.047.006.011 |
Телемедицинская консультация врач - врач, в режиме реального времени (COVID-19) |
409,35 |
B04.047.006.021 |
Телемедицинская консультация врач - пациент, в режиме реального времени (COVID-19) |
409,35 |
B04.047.006.031 |
Телемедицинская консультация врач - консилиум врачей, в режиме реального времени (COVID-19) |
978,00 |
B04.047.006.041 |
Телемедицинская консультация врач - врач, в режиме отложенных консультаций (COVID-19) |
389,00 |
B04.047.006.051 |
Телемедицинская консультация врач - пациент, в режиме отложенных консультаций (COVID-19) |
389,00 |
B04.047.006.061 |
Телемедицинская консультация врач - консилиум врачей, в режиме отложенных консультаций (COVID-19) |
929,10 |
A12.05.026 |
Исследование уровня кислорода крови |
33,10 |
A26.08.019.001 |
Определение РНК вируса гриппа A (Influenza virus A) в мазках со слизистой оболочки носоглотки методом ПЦР |
866,00 |
A26.08.019.002 |
Определение РНК вируса гриппа B (Influenza virus B) в мазках со слизистой оболочки носоглотки методом ПЦР |
866,00 |
A26.08.038.001 |
Определение РНК вируса гриппа A (Influenza virus A) в мазках со слизистой оболочки ротоглотки методом ПЦР |
866,00 |
A26.08.038.002 |
Определение РНК вируса гриппа B (Influenza virus B) в мазках со слизистой оболочки ротоглотки методом ПЦР |
866,00 |
A26.08.019.004 |
Определение РНК вируса гриппа A (Influenza virus A), гриппа B (Influenza virus B) в мазках со слизистой оболочки носоглотки методом ПЦР + РНК коронавируса SARS-CoV-2 |
1142,40 |
A26.08.038.004 |
Определение РНК вируса гриппа A (Influenza virus A), гриппа B (Influenza virus B) в мазках со слизистой оболочки ротоглотки методом ПЦР + РНК коронавируса SARS-CoV-2 |
1142,40 |
A23.30.056.1 |
Стандартная диета (ОВД) |
514,00 |
A23.30.056.2 |
Щадящая диета (ЩД) |
518,00 |
A23.30.056.3 |
Хирургическая диета 0 (ХД0) |
388,00 |
A23.30.056.4 |
Хирургическая диета 1 (ХД1) |
524,00 |
A23.30.056.5 |
Низкокалорийная диета (НКД) |
546,00 |
A23.30.056.6 |
Высокобелковая диета (ВБД) |
603,30 |
A16.18.019.001.001 |
Удаление полипа толстой кишки эндоскопическое (1 категории сложности) <*> |
10035,00 |
A16.18.019.001.002 |
Удаление полипа толстой кишки эндоскопическое (2 категории сложности) <**> |
14097,50 |
A16.18.019.001.003 |
Удаление полипа толстой кишки эндоскопическое (3 категории сложности) <***> |
20092,50 |
A11.06.002.001 |
Биопсия лимфатического узла под контролем ультразвукового исследования |
2969,96 |
A11.20.010.001 |
Биопсия новообразования молочной железы прицельная пункционная под контролем рентгенографического исследования |
5382,94 |
A11.20.010.004 |
Биопсия непальпируемых новообразований молочной железы аспирационная вакуумная под контролем ультразвукового исследования |
2969,96 |
A11.22.001.001 |
Биопсия щитовидной или паращитовидной железы под контролем ультразвукового исследования |
1941,13 |
A11.30.014 |
Трепанбиопсия опухолей наружных локализаций, лимфатических узлов под визуальным контролем |
2969,96 |
A19.10.001.001 |
Индивидуальное занятие лечебной физкультурой при заболеваниях сердца и перикарда |
218,00 |
A19.10.001.002 |
Групповое занятие лечебной физкультурой при заболеваниях сердца и перикарда |
381,00 |
B03.027.006 |
Комплекс исследований для диагностики злокачественных новообразований щитовидной железы |
2300,00 |
B03.015.009 |
Комплексное исследование сердца |
1600,00 |
B03.029.002 |
Комплекс исследований для диагностики глаукомы |
3324,60 |
B03.029.002.001 |
Комплекс исследований при возрастной макулярной дегенерации, диабетической ретинопатии и других заболеваний сетчатки |
3574,60 |
A06.20.004.008 |
Рентгенография молочных желез цифровая с внутривенным болюсным контрастированием |
6329,60 |
A03.08.001.001 |
Видеоларингоскопия |
1168,48 |
A03.28.001 |
Цистоскопия |
1223,64 |
B04.001.001 |
Диспансерный прием (осмотр, консультация) врача - акушера-гинеколога |
310,95 |
B01.001.002 |
Прием (осмотр, консультация) врача - акушера-гинеколога повторный |
300,00 |
B03.053.002 |
Спермограмма |
1115,16 |
B01.053.002 |
Прием (осмотр, консультация) врача-уролога повторный |
320,00 |
B01.053.001 |
Прием (осмотр, консультация) врача-уролога |
340,00 |
B01.057.001 |
Прием (осмотр, консультация) врача-хирурга |
340,00 |
B01.057.002 |
Прием (осмотр, консультация) врача-хирурга повторный |
320,00 |
B01.001.001.001 |
Профилактический прием (осмотр, консультация) врача - акушера-гинеколога |
450,00 |
A01.20.002 |
Визуальный осмотр наружных половых органов |
|
A01.20.003 |
Бимануальное влагалищное исследование |
|
A01.20.005 |
Визуальное исследование молочных желез |
|
A01.20.006 |
Пальпация молочных желез |
|
A02.20.001 |
Осмотр шейки матки в зеркалах |
|
A12.20.001 |
Микроскопическое исследование влагалищных мазков |
190,00 |
B01.001.002.001 |
Профилактический прием (осмотр, консультация) врача - акушера-гинеколога повторный |
330,00 |
A01.20.005 |
Визуальное исследование молочных желез |
|
A01.20.006 |
Пальпация молочных желез |
|
A09.20.011 |
Определение концентрации водородных ионов (pH) отделяемого слизистой оболочки влагалища |
62,00 |
A04.20.001 |
Ультразвуковое исследование матки и придатков трансабдоминальное |
295,00 |
A04.20.001.001 |
Ультразвуковое исследование матки и придатков трансвагинальное |
295,00 |
A04.20.002 |
Ультразвуковое исследование молочных желез |
330,00 |
A08.20.017.003 |
Цитологическое исследование микропрепарата шейки матки и цервикального канала |
680,90 |
A08.20.017.002 |
Жидкостное цитологическое исследование микропрепарата шейки матки (с окрашиванием по Папаниколау) (21, 24, 27, 30, 35, 40, 45 лет) |
831,00 |
A26.20.009.002 |
Определение ДНК вирусов папилломы человека (Papilloma virus) высокого канцерогенного риска в отделяемом (соскобе) из цервикального канала методом ПЦР, качественное исследование, 1 раз в 5 лет (30, 35, 40, 45 лет) |
327,30 |
A26.21.036.001 |
Определение ДНК возбудителей инфекции, передаваемых половым путем (Neisseria gonorrhoeae, Trichomonas vaginalis, Chlamydia trachomatis, Mycoplasma genitalium) в отделяемом из уретры методом ПЦР |
639,95 |
A26.20.034.001 |
Определение ДНК возбудителей инфекции, передаваемых половым путем (Neisseria gonorrhoeae, Trichomonas vaginalis, Chlamydia trachomatis, Mycoplasma genitalium) в отделяемом слизистых женских половых органов методом ПЦР (18 - 29 лет) |
639,95 |
A26.20.034.001 |
Определение ДНК возбудителей инфекции, передаваемых половым путем (Neisseria gonorrhoeae, Trichomonas vaginalis, Chlamydia trachomatis, Mycoplasma genitalium) в отделяемом слизистых женских половых органов методом ПЦР (30 - 49 лет) |
639,95 |
A26.21.033.001 |
Определение ДНК уреаплазм (Ureaplasma spp.) в отделяемом из уретры методом ПЦР, качественное исследование |
160,00 |
A26.28.008 |
Микроскопическое исследование осадка мочи на трихомонады (Trichomonas vaginalis) |
265,00 |
A12.21.003 |
Микроскопическое исследование уретрального отделяемого и сока простаты |
164,85 |
A04.21.001 |
Ультразвуковое исследование предстательной железы |
310,00 |
A04.28.003 |
Ультразвуковое исследование органов мошонки |
310,00 |
B03.002.004.01 |
Комплексное исследование для выявления аллергена (ринит): g6 тимофеевка луговая; t3 береза бородавчатая; w6 полынь обыкновенная; d1 клещ домашней пыли; e1 кошка, перхоть; e5 собака, перхоть; f1 яичный белок; f2 молоко коровье |
1825,00 |
B03.002.004.02 |
Комплексное исследование для выявления аллергена (экзема): f1 яичный белок; f2 молоко коровье; f4 пшеница; f14 соевые бобы; d1 клещ домашней пыли; e1 кошка, перхоть; e5 собака, перхоть; f3 треска |
1825,00 |
B01.070.009 |
Прием (тестирование, консультация) медицинского психолога первичный |
432,58 |
B01.070.010 |
Прием (тестирование, консультация) медицинского психолога повторный |
288,79 |
A08.30.019.002 |
Патолого-анатомическое вскрытие первой категории сложности |
9524,00 |
A08.30.019.003 |
Патолого-анатомическое вскрытие второй категории сложности |
16990,00 |
A08.30.019.004 |
Патолого-анатомическое вскрытие третьей категории сложности |
17317,00 |
A08.30.019.005 |
Патолого-анатомическое вскрытие четвертой категории сложности |
17933,00 |
A08.30.019.006 |
Патолого-анатомическое вскрытие пятой категории сложности |
18358,00 |
<*> Простой полип на широком основании размером до 5 мм. <**> Полипы на широком основании размером от 5 мм до 10 мм. <***> Полипы на ножке или полипы размером более 10 мм | ||
Таблица N 2.1
Тарифы на оплату посещений с
профилактическими и иными целями,
оказываемые медицинскими организациями
1 уровня, применяемые в том числе для
оплаты стоимости медицинской помощи,
оказанной медицинскими организациями
города Севастополя лицам,
застрахованным на территории других
субъектов Российской Федерации, и
межучрежденческих расчетов
Код услуги |
Наименование медицинской услуги |
Тариф одной услуги (рублей) |
B01.001.001 |
Прием (осмотр, консультация) врача - акушера-гинеколога первичный |
404,80 |
B01.001.002 |
Прием (осмотр, консультация) врача - акушера-гинеколога повторный |
395,90 |
B01.002.001 |
Прием (осмотр, консультация) врача - аллерголога-иммунолога первичный |
549,38 |
B01.002.002 |
Прием (осмотр, консультация) врача - аллерголога-иммунолога повторный |
498,84 |
B01.004.001 |
Прием (осмотр, консультация) врача-гастроэнтеролога первичный |
289,98 |
B01.004.002 |
Прием (осмотр, консультация) врача-гастроэнтеролога повторный |
240,68 |
B01.005.001 |
Прием (осмотр, консультация) врача-гематолога первичный |
308,93 |
B01.005.002 |
Прием (осмотр, консультация) врача-гематолога повторный |
252,10 |
B01.008.001 |
Прием (осмотр, консультация) врача-дерматовенеролога первичный |
249,10 |
B01.008.002 |
Прием (осмотр, консультация) врача-дерматовенеролога повторный |
205,75 |
B01.009.001 |
Прием (осмотр, консультация) врача - детского онколога первичный |
308,93 |
B01.009.002 |
Прием (осмотр, консультация) врача - детского онколога повторный |
293,48 |
B01.010.001 |
Прием (осмотр, консультация) врача - детского хирурга первичный |
308,93 |
B01.010.002 |
Прием (осмотр, консультация) врача - детского хирурга повторный |
302,75 |
B01.013.001 |
Прием (осмотр, консультация) врача-диетолога первичный |
278,56 |
B01.013.002 |
Прием (осмотр, консультация) врача-диетолога повторный |
214,47 |
B01.014.001 |
Прием (осмотр, консультация) врача-инфекциониста первичный |
435,34 |
B01.014.002 |
Прием (осмотр, консультация) врача-инфекциониста повторный |
356,98 |
B01.015.001 |
Прием (осмотр, консультация) врача-кардиолога первичный |
330,19 |
B01.015.002 |
Прием (осмотр, консультация) врача-кардиолога повторный |
269,44 |
B01.015.003 |
Прием (осмотр, консультация) врача - детского кардиолога первичный |
330,19 |
B01.015.004 |
Прием (осмотр, консультация) врача - детского кардиолога повторный |
269,44 |
B01.018.001 |
Прием (осмотр, консультация) врача-колопроктолога первичный |
308,93 |
B01.018.002 |
Прием (осмотр, консультация) врача-колопроктолога повторный |
308,93 |
B01.023.001 |
Прием (осмотр, консультация) врача-невролога первичный |
344,02 |
B01.023.002 |
Прием (осмотр, консультация) врача-невролога повторный |
344,02 |
B01.024.001 |
Прием (осмотр, консультация) врача-нейрохирурга первичный |
308,93 |
B01.024.002 |
Прием (осмотр, консультация) врача-нейрохирурга повторный |
302,75 |
B01.025.001 |
Прием (осмотр, консультация) врача-нефролога первичный |
249,98 |
B01.025.002 |
Прием (осмотр, консультация) врача-нефролога повторный |
204,98 |
B01.026.001 |
Прием (осмотр, консультация) врача общей практики (семейного врача) первичный |
318,52 |
B01.026.002 |
Прием (осмотр, консультация) врача общей практики (семейного врача) повторный |
318,52 |
B01.027.001 |
Прием (осмотр, консультация) врача-онколога первичный |
308,93 |
B01.027.002 |
Прием (осмотр, консультация) врача-онколога повторный |
293,48 |
B01.028.001 |
Прием (осмотр, консультация) врача-оториноларинголога первичный |
240,76 |
B01.028.002 |
Прием (осмотр, консультация) врача-оториноларинголога повторный |
240,76 |
B01.029.001 |
Прием (осмотр, консультация) врача-офтальмолога первичный |
206,38 |
B01.029.002 |
Прием (осмотр, консультация) врача-офтальмолога повторный |
206,38 |
B01.031.001 |
Прием (осмотр, консультация) врача-педиатра первичный |
437,31 |
B01.031.002 |
Прием (осмотр, консультация) врача-педиатра повторный |
415,44 |
B01.031.003 |
Прием (осмотр, консультация) врача-педиатра участкового первичный |
437,31 |
B01.031.004 |
Прием (осмотр, консультация) врача-педиатра участкового повторный |
415,44 |
B01.037.001 |
Прием (осмотр, консультация) врача-пульмонолога первичный |
289,98 |
B01.037.002 |
Прием (осмотр, консультация) врача-пульмонолога повторный |
266,78 |
B01.040.001 |
Прием (осмотр, консультация) врача-ревматолога первичный |
330,19 |
B01.040.002 |
Прием (осмотр, консультация) врача-ревматолога повторный |
270,80 |
B01.043.001 |
Прием (осмотр, консультация) врача - сердечно-сосудистого хирурга первичный |
308,93 |
B01.043.002 |
Прием (осмотр, консультация) врача - сердечно-сосудистого хирурга повторный |
293,48 |
B01.046.001 |
Прием (осмотр, консультация) врача - сурдолога-оториноларинголога первичный |
240,76 |
B01.046.002 |
Прием (осмотр, консультация) врача - сурдолога-оториноларинголога повторный |
228,72 |
B01.047.001 |
Прием (осмотр, консультация) врача-терапевта первичный |
289,98 |
B01.047.002 |
Прием (осмотр, консультация) врача-терапевта повторный |
289,98 |
B01.047.005 |
Прием (осмотр, консультация) врача-терапевта участкового первичный |
289,98 |
B01.047.006 |
Прием (осмотр, консультация) врача-терапевта участкового повторный |
289,98 |
B01.049.001 |
Прием (осмотр, консультация) врача - торакального хирурга первичный |
308,93 |
B01.049.002 |
Прием (осмотр, консультация) врача - торакального хирурга повторный |
302,75 |
B01.050.001 |
Прием (осмотр, консультация) врача - травматолога-ортопеда первичный |
308,93 |
B01.050.002 |
Прием (осмотр, консультация) врача - травматолога-ортопеда повторный |
302,75 |
B01.053.001 |
Прием (осмотр, консультация) врача-уролога первичный |
249,98 |
B01.053.002 |
Прием (осмотр, консультация) врача-уролога повторный |
249,98 |
B01.053.003 |
Прием (осмотр, консультация) врача - детского уролога-андролога первичный |
249,98 |
B01.053.004 |
Прием (осмотр, консультация) врача - детского уролога-андролога повторный |
249,98 |
B01.057.001 |
Прием (осмотр, консультация) врача-хирурга первичный |
308,93 |
B01.057.002 |
Прием (осмотр, консультация) врача-хирурга повторный |
308,93 |
B01.058.001 |
Прием (осмотр, консультация) врача-эндокринолога первичный |
596,57 |
B01.058.002 |
Прием (осмотр, консультация) врача-эндокринолога повторный |
489,20 |
B01.058.003 |
Прием (осмотр, консультация) врача - детского эндокринолога первичный |
596,57 |
B01.058.004 |
Прием (осмотр, консультация) врача - детского эндокринолога повторный |
489,20 |
B01.064.003 |
Прием (осмотр, консультация) врача-стоматолога детского первичный |
394,20 |
B01.064.004 |
Прием (осмотр, консультация) врача-стоматолога детского повторный |
394,20 |
B01.065.001 |
Прием (осмотр, консультация) врача - стоматолога-терапевта первичный |
357,55 |
B01.065.002 |
Прием (осмотр, консультация) врача - стоматолога-терапевта повторный |
291,46 |
B01.065.007 |
Прием (осмотр, консультация) врача-стоматолога первичный |
357,55 |
B01.065.008 |
Прием (осмотр, консультация) врача-стоматолога повторный |
291,46 |
B01.067.001 |
Прием (осмотр, консультация) врача - стоматолога-хирурга первичный |
357,55 |
B01.067.002 |
Прием (осмотр, консультация) врача - стоматолога-хирурга повторный |
291,46 |
B01.068.001 |
Прием (осмотр, консультация) врача - челюстно-лицевого хирурга первичный |
308,93 |
B01.068.002 |
Прием (осмотр, консультация) врача - челюстно-лицевого хирурга повторный |
302,75 |
Таблица N 2.2
Тарифы на оплату посещений с
профилактическими и иными целями,
оказываемые медицинскими организациями
2 уровня, применяемые в том числе для
оплаты стоимости медицинской помощи,
оказанной медицинскими организациями
города Севастополя лицам,
застрахованным на территории других
субъектов Российской Федерации, и
межучрежденческих расчетов
Код услуги |
Наименование медицинской услуги |
Тариф одной услуги (рублей) |
B01.001.001 |
Прием (осмотр, консультация) врача - акушера-гинеколога первичный |
488,80 |
B01.001.002 |
Прием (осмотр, консультация) врача - акушера-гинеколога повторный |
474,15 |
B01.002.001 |
Прием (осмотр, консультация) врача - аллерголога-иммунолога первичный |
663,40 |
B01.002.002 |
Прием (осмотр, консультация) врача - аллерголога-иммунолога повторный |
630,20 |
B01.004.001 |
Прием (осмотр, консультация) врача-гастроэнтеролога первичный |
350,15 |
B01.004.002 |
Прием (осмотр, консультация) врача-гастроэнтеролога повторный |
322,15 |
B01.005.001 |
Прием (осмотр, консультация) врача-гематолога первичный |
373,00 |
B01.005.002 |
Прием (осмотр, консультация) врача-гематолога повторный |
347,00 |
B01.008.001 |
Прием (осмотр, консультация) врача-дерматовенеролога первичный |
301,00 |
B01.008.002 |
Прием (осмотр, консультация) врача-дерматовенеролога повторный |
245,50 |
B01.009.001 |
Прием (осмотр, консультация) врача - детского онколога первичный |
373,00 |
B01.009.002 |
Прием (осмотр, консультация) врача - детского онколога повторный |
347,00 |
B01.010.001 |
Прием (осмотр, консультация) врача - детского хирурга первичный |
373,00 |
B01.010.002 |
Прием (осмотр, консультация) врача - детского хирурга повторный |
347,00 |
B01.013.001 |
Прием (осмотр, консультация) врача-диетолога первичный |
292,50 |
B01.013.002 |
Прием (осмотр, консультация) врача-диетолога повторный |
225,20 |
B01.014.001 |
Прием (осмотр, консультация) врача-инфекциониста первичный |
525,70 |
B01.014.002 |
Прием (осмотр, консультация) врача-инфекциониста повторный |
425,80 |
B01.015.001 |
Прием (осмотр, консультация) врача-кардиолога первичный |
398,70 |
B01.015.002 |
Прием (осмотр, консультация) врача-кардиолога повторный |
366,80 |
B01.015.003 |
Прием (осмотр, консультация) врача - детского кардиолога первичный |
398,70 |
B01.015.004 |
Прием (осмотр, консультация) врача - детского кардиолога повторный |
366,80 |
B01.018.001 |
Прием (осмотр, консультация) врача-колопроктолога первичный |
373,00 |
B01.018.002 |
Прием (осмотр, консультация) врача-колопроктолога повторный |
373,00 |
B01.023.001 |
Прием (осмотр, консультация) врача-невролога первичный |
415,40 |
B01.023.002 |
Прием (осмотр, консультация) врача-невролога повторный |
415,40 |
B01.024.001 |
Прием (осмотр, консультация) врача-нейрохирурга первичный |
373,00 |
B01.024.002 |
Прием (осмотр, консультация) врача-нейрохирурга повторный |
347,00 |
B01.025.001 |
Прием (осмотр, консультация) врача-нефролога первичный |
302,00 |
B01.025.002 |
Прием (осмотр, консультация) врача-нефролога повторный |
277,70 |
B01.027.001 |
Прием (осмотр, консультация) врача-онколога первичный |
373,00 |
B01.027.002 |
Прием (осмотр, консультация) врача-онколога повторный |
347,00 |
B01.028.001 |
Прием (осмотр, консультация) врача-оториноларинголога первичный |
290,70 |
B01.028.002 |
Прием (осмотр, консультация) врача-оториноларинголога повторный |
282,00 |
B01.029.001 |
Прием (осмотр, консультация) врача-офтальмолога первичный |
249,20 |
B01.029.002 |
Прием (осмотр, консультация) врача-офтальмолога повторный |
244,25 |
B01.031.001 |
Прием (осмотр, консультация) врача-педиатра первичный |
528,00 |
B01.031.002 |
Прием (осмотр, консультация) врача-педиатра повторный |
496,40 |
B01.037.001 |
Прием (осмотр, консультация) врача-пульмонолога первичный |
350,20 |
B01.037.002 |
Прием (осмотр, консультация) врача-пульмонолога повторный |
339,70 |
B01.040.001 |
Прием (осмотр, консультация) врача-ревматолога первичный |
398,70 |
B01.040.002 |
Прием (осмотр, консультация) врача-ревматолога повторный |
366,80 |
B01.043.001 |
Прием (осмотр, консультация) врача - сердечно-сосудистого хирурга первичный |
373,00 |
B01.043.002 |
Прием (осмотр, консультация) врача - сердечно-сосудистого хирурга повторный |
347,00 |
B01.046.001 |
Прием (осмотр, консультация) врача - сурдолога-оториноларинголога первичный |
290,70 |
B01.046.002 |
Прием (осмотр, консультация) врача - сурдолога-оториноларинголога повторный |
282,00 |
B01.047.001 |
Прием (осмотр, консультация) врача-терапевта первичный |
350,20 |
B01.047.002 |
Прием (осмотр, консультация) врача-терапевта повторный |
340,00 |
B01.049.001 |
Прием (осмотр, консультация) врача - торакального хирурга первичный |
373,00 |
B01.049.002 |
Прием (осмотр, консультация) врача - торакального хирурга повторный |
347,00 |
B01.050.001 |
Прием (осмотр, консультация) врача - травматолога-ортопеда первичный |
373,00 |
B01.050.002 |
Прием (осмотр, консультация) врача - травматолога-ортопеда повторный |
347,00 |
B01.053.001 |
Прием (осмотр, консультация) врача-уролога первичный |
302,00 |
B01.053.002 |
Прием (осмотр, консультация) врача-уролога повторный |
278,00 |
B01.053.003 |
Прием (осмотр, консультация) врача - детского уролога-андролога первичный |
302,00 |
B01.053.004 |
Прием (осмотр, консультация) врача - детского уролога-андролога повторный |
278,00 |
B01.057.001 |
Прием (осмотр, консультация) врача-хирурга первичный |
373,00 |
B01.057.002 |
Прием (осмотр, консультация) врача-хирурга повторный |
347,00 |
B01.058.001 |
Прием (осмотр, консультация) врача-эндокринолога первичный |
720,40 |
B01.058.002 |
Прием (осмотр, консультация) врача-эндокринолога повторный |
670,00 |
B01.058.003 |
Прием (осмотр, консультация) врача - детского эндокринолога первичный |
720,40 |
B01.058.004 |
Прием (осмотр, консультация) врача - детского эндокринолога повторный |
670,00 |
B01.064.003 |
Прием (осмотр, консультация) врача-стоматолога детского первичный |
414,00 |
B01.064.004 |
Прием (осмотр, консультация) врача-стоматолога детского повторный |
414,00 |
B01.065.001 |
Прием (осмотр, консультация) врача - стоматолога-терапевта первичный |
375,50 |
B01.065.002 |
Прием (осмотр, консультация) врача - стоматолога-терапевта повторный |
306,00 |
B01.065.007 |
Прием (осмотр, консультация) врача-стоматолога первичный |
375,50 |
B01.065.008 |
Прием (осмотр, консультация) врача-стоматолога повторный |
306,00 |
B01.067.001 |
Прием (осмотр, консультация) врача - стоматолога-хирурга первичный |
375,50 |
B01.067.002 |
Прием (осмотр, консультация) врача - стоматолога-хирурга повторный |
306,00 |
B01.068.001 |
Прием (осмотр, консультация) врача - челюстно-лицевого хирурга первичный |
373,00 |
B01.068.002 |
Прием (осмотр, консультация) врача - челюстно-лицевого хирурга повторный |
347,00 |
Таблица N 3
Тарифы на оплату медицинской помощи за
единицу объема в рамках реализации мер,
связанных с риском распространения
новой коронавирусной инфекции (COVID-19),
применяемые в том числе для оплаты
стоимости медицинской помощи, оказанной
медицинскими организациями города
Севастополя лицам, застрахованным на
территории других субъектов Российской
Федерации, и межучрежденческих
расчетов
Код услуги |
Наименование медицинской услуги |
Тариф одной услуги (рублей) |
Коэффициент для определения стоимости |
A26.08.027.002 |
Определение РНК коронавируса COVID-19 в мазках со слизистой оболочки носоглотки и ротоглотки методом ПЦР <*> |
434,00 |
1,0000 |
Средний тариф с учетом утвержденных объемов |
434,00 |
1,0 | |
Размер норматива финансовых затрат на проведение 1 тестирования на выявление новой коронавирусной инфекции |
434,00 |
| |
* Критерием отбора является
применение метода амплификации
нуклеиновых кислот для выявления РНК
ТОРС (SARS-CoV-2) в мазках со слизистой
оболочки носоглотки и ротоглотки
методом ОТ-ПЦР в режиме реального
времени.
Таблица N 4
Тарифы на оплату медицинской помощи в
рамках углубленной диспансеризации
взрослого населения, применяемые в том
числе для оплаты стоимости медицинской
помощи, оказанной медицинскими
организациями города Севастополя лицам,
застрахованным на территории других
субъектов Российской Федерации, и
межучрежденческих расчетов
Код услуги |
Наименование медицинской услуги |
Тариф одной услуги (рублей) |
A12.09.005 |
Пульсоксиметрия |
26,80 |
A12.09.001 |
Исследование неспровоцированных дыхательных объемов и потоков |
410,30 |
B03.016.003 |
Общий (клинический) анализ крови развернутый |
118,80 |
B03.016.004 |
Анализ крови биохимический общетерапевтический <*> |
550,80 |
A23.30.023 |
Проведение теста с физической нагрузкой с использованием эргометра |
65,00 |
A09.05.051.001 |
Определение концентрации Д-димера в крови |
394,40 |
A04.10.002 |
Эхокардиография |
590,40 |
A06.09.005 |
Компьютерная томография органов грудной полости |
2029,50 |
A04.12.006.002 |
Дуплексное сканирование вен нижних конечностей |
590,40 |
* В биохимический анализ
обязательно входят следующие анализы:
исследование уровня холестерина в
крови,
исследование уровня холестерина
липопротеинов низкой плотности,
исследование уровня C-реактивного
белка в сыворотке крови,
определение активности
аланинаминотрансферазы в крови,
определение активности
аспартатаминотрансферазы в крови,
определение активности
лактатдегидрогеназы в крови,
исследование уровня креатинина в крови.
Приложение N 3
к дополнительному соглашению
от 26.07.2024 N 6
к Тарифному соглашению
в системе ОМС города Севастополя
от 21.12.2023
Приложение N 7
к Тарифному соглашению
в системе ОМС города Севастополя
от 21.12.2023
Таблица N 1
Перечень случаев, для которых установлен
КСЛП в круглосуточном стационаре
N п/п |
N в Справочнике |
Случаи, для которых установлен КСЛП |
Значение КСЛП |
1 |
1 |
Предоставление спального места и питания законному представителю несовершеннолетних (детей до 4 лет, детей старше 4 лет при наличии медицинских показаний, детей-инвалидов в возрасте до 18 лет), за исключением случаев, к которым применяется КСЛП, предусмотренный пунктом 2 настоящего перечня |
0,2 |
2 |
2 |
Предоставление спального места и питания законному представителю несовершеннолетних (детей до 4 лет, детей старше 4 лет при наличии медицинских показаний, детей-инвалидов в возрасте до 18 лет), получающих медицинскую помощь по профилю "детская онкология" и (или) "гематология" |
0,6 |
3 |
3 |
Оказание медицинской помощи пациенту в возрасте старше 75 лет в случае проведения консультации врача-гериатра, за исключением случаев госпитализации на геронтологические профильные койки |
0,2 |
4 |
4 |
Развертывание индивидуального поста |
0,2 |
5 |
5 |
Наличие у пациента тяжелой сопутствующей патологии <1>, требующей оказания медицинской помощи в период госпитализации |
0,6 |
6 |
6 |
Проведение сочетанных хирургических вмешательств или проведение однотипных операций на парных органах в зависимости от сложности вмешательств или операций (уровень 1) <2> |
0,05 |
7 |
7 |
Проведение сочетанных хирургических вмешательств или проведение однотипных операций на парных органах в зависимости от сложности вмешательств или операций (уровень 2) <2> |
0,47 |
8 |
8 |
Проведение сочетанных хирургических вмешательств или проведение однотипных операций на парных органах в зависимости от сложности вмешательств или операций (уровень 3) <2> |
1,16 |
9 |
9 |
Проведение сочетанных хирургических вмешательств или проведение однотипных операций на парных органах в зависимости от сложности вмешательств или операций (уровень 4) <2> |
2,07 |
10 |
10 |
Проведение сочетанных хирургических вмешательств или проведение однотипных операций на парных органах в зависимости от сложности вмешательств или операций (уровень 5) <2> |
3,49 |
11 |
11 |
Проведение реабилитационных мероприятий при нахождении пациента на реанимационной койке и (или) койке интенсивной терапии, начавшихся не позднее 48 часов от поступления в отделение реанимации или на койку интенсивной терапии, с общей длительностью реабилитационных мероприятий не менее 5 суток, включая период после перевода на профильные койки по окончании реанимационных мероприятий, при обязательной продолжительности реабилитационных мероприятий не менее одного часа в сутки (при условии организации отделения ранней медицинской реабилитации на не менее чем 12 коек отделения, оказывающего медицинскую помощь по профилю "анестезиология и реанимация", и его укомплектования в соответствии с порядком оказания медицинской помощи по медицинской реабилитации) |
0,15 |
12 |
14 |
Проведение тестирования на выявление респираторных вирусных заболеваний (гриппа, новой коронавирусной инфекции COVID-19) в период госпитализации <**> |
0,05 |
13 |
15 |
Проведение сопроводительной лекарственной терапии при злокачественных новообразованиях у взрослых в стационарных условиях в соответствии с клиническими рекомендациями (уровень 1) <*> |
0,17 |
14 |
16 |
Проведение сопроводительной лекарственной терапии при злокачественных новообразованиях у взрослых в стационарных условиях в соответствии с клиническими рекомендациями (уровень 2) <*> |
0,61 |
15 |
17 |
Проведение сопроводительной лекарственной терапии при злокачественных новообразованиях у взрослых в стационарных условиях в соответствии с клиническими рекомендациями (уровень 3) <*> |
1,53 |
<1> - наличие у пациента
дополнительного диагноза (диагноза
осложнения заболевания) из перечня,
определенного в Таблице N 3 настоящего
Приложения, медицинская помощь в
соответствии с которым оказывалась
пациенту в период госпитализации;
<2> - перечень возможных операций,
а также критерии отнесения
соответствующих операций к уровню КСЛП
определен в Таблице N 4 и Таблице N 5
настоящего Приложения;
* - стоимость КСЛП "проведение
сопроводительной лекарственной терапии
при злокачественных новообразованиях у
взрослых в соответствии с клиническими
рекомендациями (уровни 1 - 3) в
стационарных условиях" определяется без
учета коэффициента дифференциации.
Перечень схем сопроводительной
лекарственной терапии определен в
Таблице N 1.1 настоящего Приложения;
** - указанный КСЛП не может
применяться при оплате случаев лечения,
оплачиваемых по КСГ st12.012 "Грипп, вирус
гриппа идентифицирован" и КСГ st12.015 - st12.019,
используемых для оплаты случаев лечения
новой коронавирусной инфекции COVID-19.
Таблица N 1.1
Перечень схем сопроводительной
лекарственной терапии, при применении
которых может быть применен КСЛП
Код схемы |
Уровень КСЛП |
Описание схемы |
Условия применения |
supt01 |
1 |
Филграстим 4 дня введения по 300 мкг |
|
supt02 |
2 |
Деносумаб 1 день введения 120 мг |
установленный клиренс креатинина < 59 мл/мин на момент принятия решения о назначении препарата Деносумаб |
supt03 |
2 |
Тоцилизумаб 1 день введения 4 мг/кг |
|
supt04 |
2 |
Филграстим 8 дней введения по 300 мкг |
|
supt05 |
3 |
Эмпэгфилграстим 1 день введения 7,5 мг |
|
supt06 |
2 |
Филграстим 10 дней введения по 300 мкг |
|
supt07 |
1 |
Микофенолата мофетил 30 дней введения по 500 мг 2 раза в день |
|
supt08 |
1 |
Такролимус 30 дней введения по 0,1 мг/кг |
|
supt09 |
3 |
Ведолизумаб 1 день введения 300 мг |
|
supt10 |
3 |
Инфликсимаб 1 день введения 800 мг |
|
supt11 |
3 |
Иммуноглобулин человека нормальный 2 дня введения по 1000 мг/кг |
|
supt12 |
3 |
Иммуноглобулин антитимоцитарный 8 - 14 дней введения 10 - 20 мг/кг |
|
КСЛП в случае проведения
сопроводительной лекарственной терапии
при злокачественных новообразованиях у
взрослых может быть применен в случае,
если проведение сопроводительной
терапии предусмотрено соответствующими
клиническими рекомендациями, в рамках
госпитализаций в стационарных условиях
по КСГ st19.084 - st19.089, st19.094 - st19.102, st19.144 - st19.162.
При использовании схем
лекарственной терапии,
предусматривающих применение
лекарственных препаратов филграстим,
деносумаб, эмпэгфилграстим, КСЛП
"Проведение сопроводительной
лекарственной терапии при
злокачественных новообразованиях у
взрослых (уровни 1 - 3)" не применяются.
Таблица N 2
Перечень случаев, для которых установлен
КСЛП в дневном стационаре
N п/п |
N в Справочнике |
Случаи, для которых установлен КСЛП |
Значение КСЛП |
1 |
18 |
Проведение сопроводительной лекарственной терапии при злокачественных новообразованиях у взрослых в условиях дневного стационара в соответствии с клиническими рекомендациями (уровень 1) <*> |
0,29 |
2 |
19 |
Проведение сопроводительной лекарственной терапии при злокачественных новообразованиях у взрослых в условиях дневного стационара в соответствии с клиническими рекомендациями (уровень 2) <*> |
1,12 |
3 |
20 |
Проведение сопроводительной лекарственной терапии при злокачественных новообразованиях у взрослых в условиях дневного стационара в соответствии с клиническими рекомендациями (уровень 3) <*> |
2,67 |
4 |
6 |
Проведение сочетанных хирургических вмешательств или проведение однотипных операций на парных органах в зависимости от сложности вмешательств или операций (уровень 1) <2> |
0,05 |
5 |
7 |
Проведение сочетанных хирургических вмешательств или проведение однотипных операций на парных органах в зависимости от сложности вмешательств или операций (уровень 2) <2> |
0,47 |
6 |
8 |
Проведение сочетанных хирургических вмешательств или проведение однотипных операций на парных органах в зависимости от сложности вмешательств или операций (уровень 3) <2> |
1,16 |
7 |
9 |
Проведение сочетанных хирургических вмешательств или проведение однотипных операций на парных органах в зависимости от сложности вмешательств или операций (уровень 4) <2> |
2,07 |
8 |
10 |
Проведение сочетанных хирургических вмешательств или проведение однотипных операций на парных органах в зависимости от сложности вмешательств или операций (уровень 5) <2> |
3,49 |
<2> - перечень возможных операций,
а также критерии отнесения
соответствующих операций к уровню КСЛП
определены в Таблице N 4 и Таблице N 5
настоящего Приложения;
* - стоимость КСЛП "проведение
сопроводительной лекарственной терапии
при злокачественных новообразованиях у
взрослых в соответствии с клиническими
рекомендациями (уровни 1 - 3) в условиях
дневного стационара" определяется без
учета коэффициента дифференциации.
Перечень схем сопроводительной
лекарственной терапии определен в
Таблице N 2.1 настоящего Приложения.
Таблица N 2.1
Перечень схем сопроводительной
лекарственной терапии, при применении
которых может быть применен КСЛП
Код схемы |
Уровень КСЛП |
Описание схемы |
Условия применения |
supt01 |
1 |
Филграстим 4 дня введения по 300 мкг |
|
supt02 |
2 |
Деносумаб 1 день введения 120 мг |
установленный клиренс креатинина < 59 мл/мин на момент принятия решения о назначении препарата Деносумаб |
supt03 |
2 |
Тоцилизумаб 1 день введения 4 мг/кг |
|
supt04 |
2 |
Филграстим 8 дней введения по 300 мкг |
|
supt05 |
3 |
Эмпэгфилграстим 1 день введения 7,5 мг |
|
supt06 |
2 |
Филграстим 10 дней введения по 300 мкг |
|
supt07 |
1 |
Микофенолата мофетил 30 дней введения по 500 мг 2 раза в день |
|
supt08 |
1 |
Такролимус 30 дней введения по 0,1 мг/кг |
|
supt09 |
3 |
Ведолизумаб 1 день введения 300 мг |
|
supt10 |
3 |
Инфликсимаб 1 день введения 800 мг |
|
supt11 |
3 |
Иммуноглобулин человека нормальный 2 дня введения по 1000 мг/кг |
|
supt12 |
3 |
Иммуноглобулин антитимоцитарный 8 - 14 дней введения 10 - 20 мг/кг |
|
КСЛП в случае проведения
сопроводительной лекарственной терапии
при злокачественных новообразованиях у
взрослых может быть применен в случае,
если проведение сопроводительной
терапии предусмотрено соответствующими
клиническими рекомендациями, в рамках
лечения в условиях дневного стационара
по КСГ ds19.058 - ds19.062, ds19.067 - ds19.078, ds19.116 - ds19.134.
При использовании схем
лекарственной терапии,
предусматривающих применение
лекарственных препаратов филграстим,
деносумаб, эмпэгфилграстим, КСЛП
"Проведение сопроводительной
лекарственной терапии при
злокачественных новообразованиях у
взрослых (уровни 1 - 3)" не применяются.
Таблица N 3
Перечень тяжелой сопутствующей
патологии, осложнений заболеваний,
влияющих на сложность лечения пациента
N п/п |
Наименование |
1 |
Сахарный диабет типов 1 и 2 |
2 |
Заболевания, включенные в Перечень редких (орфанных) заболеваний, размещенный на официальном сайте Министерства здравоохранения Российской Федерации |
3 |
Рассеянный склероз (G35) |
4 |
Хронический лимфоцитарный лейкоз (C91.1) |
5 |
Состояния после трансплантации органов и (или) тканей (Z94.0; Z94.1; Z94.4; Z94.8) |
6 |
Детский церебральный паралич (G80) |
7 |
ВИЧ/СПИД, стадии 4Б и 4В, взрослые (B20 - B24) |
8 |
Перинатальный контакт по ВИЧ-инфекции, дети (Z20.6) |
Таблица N 4
Перечень сочетанных хирургических
вмешательств
Уровень 1
Операция 1 |
Операция 2 | ||
A16.01.031 |
Устранение рубцовой деформации |
A16.01.017.001 |
Удаление доброкачественных новообразований кожи методом электрокоагуляции |
A16.01.031 |
Устранение рубцовой деформации |
A16.01.017 |
Удаление доброкачественных новообразований кожи |
A16.01.013 |
Удаление сосудистой мальформации |
A16.01.017 |
Удаление доброкачественных новообразований кожи |
A16.01.013 |
Удаление сосудистой мальформации |
A16.01.017.001 |
Удаление доброкачественных новообразований кожи методом электрокоагуляции |
A16.18.027 |
Эндоскопическое электрохирургическое удаление новообразования толстой кишки |
A16.19.017 |
Удаление полипа анального канала и прямой кишки |
A16.18.027 |
Эндоскопическое электрохирургическое удаление новообразования толстой кишки |
A16.19.003.001 |
Иссечение анальной трещины |
A16.26.093 |
Факоэмульсификация без интраокулярной линзы. Факофрагментация, факоаспирация |
A16.26.073.003 |
Проникающая склерэктомия |
A16.26.093.002 |
Факоэмульсификация с имплантацией интраокулярной линзы |
A16.26.070 |
Модифицированная синустрабекулэктомия |
A16.26.093.001 |
Факоэмульсификация с использованием фемтосекундного лазера |
A16.26.070 |
Модифицированная синустрабекулэктомия |
A16.26.049.008 |
Сквозная кератопластика |
A16.26.092 |
Экстракапсулярная экстракция катаракты с имплантацией ИОЛ |
A16.07.061.001 |
Хейлоринопластика (устранение врожденной расщелины верхней губы) |
A16.07.042 |
Пластика уздечки верхней губы |
A16.07.061.001 |
Хейлоринопластика (устранение врожденной расщелины верхней губы) |
A16.07.044 |
Пластика уздечки языка |
A16.07.066 |
Уранопластика (устранение врожденной расщелины твердого и мягкого неба) |
A16.07.042 |
Пластика уздечки верхней губы |
A16.07.066 |
Уранопластика (устранение врожденной расщелины твердого и мягкого неба) |
A16.07.044 |
Пластика уздечки языка |
A16.30.014 |
Экстирпация срединных кист и свищей шеи |
A16.01.018 |
Удаление доброкачественных новообразований подкожно-жировой клетчатки |
A16.30.014 |
Экстирпация срединных кист и свищей шеи |
A16.01.017 |
Удаление доброкачественных новообразований кожи |
A16.30.015 |
Экстирпация боковых свищей шеи |
A16.01.018 |
Удаление доброкачественных новообразований подкожно-жировой клетчатки |
A16.30.015 |
Экстирпация боковых свищей шеи |
A16.01.017 |
Удаление доброкачественных новообразований кожи |
A16.07.016 |
Цистотомия или цистэктомия |
A16.01.018 |
Удаление доброкачественных новообразований подкожно-жировой клетчатки |
A16.01.031 |
Устранение рубцовой деформации |
A16.01.018 |
Удаление доброкачественных новообразований подкожно-жировой клетчатки |
A16.01.013 |
Удаление сосудистой мальформации |
A16.01.018 |
Удаление доброкачественных новообразований подкожно-жировой клетчатки |
A16.26.106 |
Удаление инородного тела, новообразования из глазницы |
A16.26.111 |
Пластика века (блефаропластика) без и с пересадкой тканей |
A16.07.016 |
Цистотомия или цистэктомия |
A16.07.042 |
Пластика уздечки верхней губы |
A16.07.016 |
Цистотомия или цистэктомия |
A16.07.043 |
Пластика уздечки нижней губы |
Уровень 2
Операция 1 |
Операция 2 | ||
A16.12.009 |
Тромбэндартерэктомия |
A06.12.015 |
Ангиография бедренной артерии прямая, обеих сторон |
A16.12.009.001 |
Тромбоэктомия из сосудистого протеза |
A06.12.015 |
Ангиография бедренной артерии прямая, обеих сторон |
A16.12.038.006 |
Бедренно-подколенное шунтирование |
A06.12.015 |
Ангиография бедренной артерии прямая, обеих сторон |
A16.12.008.001 |
Эндартерэктомия каротидная |
A06.12.005 |
Ангиография внутренней сонной артерии |
A16.12.038.008 |
Сонно-подключичное шунтирование |
A06.12.007 |
Ангиография артерий верхней конечности прямая |
A16.12.006.001 |
Удаление поверхностных вен нижней конечности |
A16.30.001 |
Оперативное лечение пахово-бедренной грыжи |
A16.12.006.001 |
Удаление поверхностных вен нижней конечности |
A16.30.001.001 |
Оперативное лечение пахово-бедренной грыжи с использованием видеоэндоскопических технологий |
A16.12.006.001 |
Удаление поверхностных вен нижней конечности |
A16.30.001.002 |
Оперативное лечение пахово-бедренной грыжи с использованием сетчатых имплантов |
A16.14.009 |
Холецистэктомия |
A16.30.002 |
Оперативное лечение пупочной грыжи |
A16.14.009 |
Холецистэктомия |
A16.30.003 |
Оперативное лечение околопупочной грыжи |
A16.14.009 |
Холецистэктомия |
A16.30.004 |
Оперативное лечение грыжи передней брюшной стенки |
A16.14.009.002 |
Холецистэктомия лапароскопическая |
A16.30.002 |
Оперативное лечение пупочной грыжи |
A16.14.009.002 |
Холецистэктомия лапароскопическая |
A16.30.003 |
Оперативное лечение околопупочной грыжи |
A16.14.009.002 |
Холецистэктомия лапароскопическая |
A16.30.004 |
Оперативное лечение грыжи передней брюшной стенки |
A16.14.009.001 |
Холецистэктомия малоинвазивная |
A16.30.002 |
Оперативное лечение пупочной грыжи |
A16.14.009.001 |
Холецистэктомия малоинвазивная |
A16.30.003 |
Оперативное лечение околопупочной грыжи |
A16.14.009.001 |
Холецистэктомия малоинвазивная |
A16.30.004 |
Оперативное лечение грыжи передней брюшной стенки |
A16.09.026.004 |
Пластика диафрагмы с использованием видеоэндоскопических технологий |
A16.16.006.001 |
Бужирование пищевода эндоскопическое |
A16.22.001 |
Гемитиреоидэктомия |
A16.14.009.002 |
Холецистэктомия лапароскопическая |
A16.22.001 |
Гемитиреоидэктомия |
A16.30.001 |
Оперативное лечение пахово-бедренной грыжи |
A16.22.001 |
Гемитиреоидэктомия |
A16.30.001.001 |
Оперативное лечение пахово-бедренной грыжи с использованием видеоэндоскопических технологий |
A16.22.001 |
Гемитиреоидэктомия |
A16.30.001.002 |
Оперативное лечение пахово-бедренной грыжи с использованием сетчатых имплантов |
A16.22.001 |
Гемитиреоидэктомия |
A16.30.002 |
Оперативное лечение пупочной грыжи |
A16.22.001 |
Гемитиреоидэктомия |
A16.30.002.001 |
Оперативное лечение пупочной грыжи с использованием видеоэндоскопических технологий |
A16.22.001 |
Гемитиреоидэктомия |
A16.30.004 |
Оперативное лечение грыжи передней брюшной стенки |
A16.20.032 |
Резекция молочной железы |
A16.20.004 |
Сальпингэктомия лапаротомическая |
A16.20.032 |
Резекция молочной железы |
A16.20.017 |
Удаление параовариальной кисты лапаротомическое |
A16.20.032 |
Резекция молочной железы |
A16.20.061 |
Резекция яичника лапаротомическая |
A16.20.005 |
Кесарево сечение |
A16.20.041 |
Стерилизация маточных труб лапаротомическая |
A16.20.005 |
Кесарево сечение |
A16.20.075 |
Перевязка маточных артерий |
A16.20.063.001 |
Влагалищная экстирпация матки с придатками с использованием видеоэндоскопических технологий |
A16.20.083 |
Кольпоперинеоррафия и леваторопластика |
A16.16.033.001 |
Фундопликация лапароскопическая |
A16.14.009.002 |
Холецистэктомия лапароскопическая |
A16.18.027 |
Эндоскопическое электрохирургическое удаление новообразования толстой кишки |
A16.19.013 |
Удаление геморроидальных узлов |
A16.28.071.001 |
Иссечение кисты почки лапароскопическое |
A16.20.001.001 |
Удаление кисты яичника с использованием видеоэндоскопических технологий |
A16.21.002 |
Трансуретральная резекция простаты |
A16.28.085 |
Трансуретральная эндоскопическая цистолитотрипсия |
A16.26.111.001 |
Пластика верхних век без пересадки тканей чрескожным доступом |
A16.26.041.001 |
Пластика конъюнктивальной полости с использованием свободного лоскута слизистой со щеки |
A16.26.145 |
Пластика опорно-двигательной культи при анофтальме |
A16.26.041.001 |
Пластика конъюнктивальной полости с использованием свободного лоскута слизистой со щеки |
A16.19.013 |
Удаление геморроидальных узлов |
A16.19.003.001 |
Иссечение анальной трещины |
A16.26.093 |
Факоэмульсификация без интраокулярной линзы. Факофрагментация, факоаспирация |
A16.26.069 |
Трабекулотомия |
A16.26.093 |
Факоэмульсификация без интраокулярной линзы. Факофрагментация, факоаспирация |
A16.26.146 |
Реконструкция угла передней камеры глаза |
A16.30.004.011 |
Оперативное лечение грыжи передней брюшной стенки с использованием сетчатых имплантов |
A16.30.001.002 |
Оперативное лечение пахово-бедренной грыжи с использованием сетчатых имплантов |
A16.30.004.011 |
Оперативное лечение грыжи передней брюшной стенки с использованием сетчатых имплантов |
A16.30.001.001 |
Оперативное лечение пахово-бедренной грыжи с использованием видеоэндоскопических технологий |
A16.30.002.001 |
Оперативное лечение пупочной грыжи с использованием видеоэндоскопических технологий |
A16.30.001.002 |
Оперативное лечение пахово-бедренной грыжи с использованием сетчатых имплантов |
A16.30.002.001 |
Оперативное лечение пупочной грыжи с использованием видеоэндоскопических технологий |
A16.30.001.001 |
Оперативное лечение пахово-бедренной грыжи с использованием видеоэндоскопических технологий |
A16.30.002 |
Оперативное лечение пупочной грыжи |
A16.30.001 |
Оперативное лечение пахово-бедренной грыжи |
A16.30.004 |
Оперативное лечение грыжи передней брюшной стенки |
A16.30.001 |
Оперативное лечение пахово-бедренной грыжи |
A16.08.013.001 |
Пластика носовой перегородки с использованием видеоэндоскопических технологий |
A16.08.017.001 |
Гайморотомия с использованием видеоэндоскопических технологий |
A16.26.093 |
Факоэмульсификация без интраокулярной линзы. Факофрагментация, факоаспирация |
A16.26.115 |
Удаление силиконового масла (или иного высокомолекулярного соединения) из витреальной полости |
A16.26.099 |
Эвисцерация глазного яблока |
A16.26.041.001 |
Пластика конъюнктивальной полости с использованием свободного лоскута слизистой со щеки |
A16.26.115 |
Удаление силиконового масла (или иного высокомолекулярного соединения) из витреальной полости |
A16.26.094 |
Имплантация интраокулярной линзы |
A16.12.019.001 |
Ревизия бедренных артерий |
A16.12.028 |
Установка стента в сосуд |
A16.12.019.001 |
Ревизия бедренных артерий |
A16.12.026 |
Баллонная вазодилатация |
A16.12.019.001 |
Ревизия бедренных артерий |
A16.12.026.018 |
Баллонная ангиопластика подвздошной артерии |
A16.14.009 |
Холецистэктомия |
A16.30.002.001 |
Оперативное лечение пупочной грыжи с использованием видеоэндоскопических технологий |
A16.14.009 |
Холецистэктомия |
A16.30.002.002 |
Оперативное лечение пупочной грыжи с использованием сетчатых имплантов |
A16.14.009 |
Холецистэктомия |
A16.30.004.011 |
Оперативное лечение грыжи передней брюшной стенки с использованием сетчатых имплантов |
A16.14.009.002 |
Холецистэктомия лапароскопическая |
A16.30.002.001 |
Оперативное лечение пупочной грыжи с использованием видеоэндоскопических технологий |
A16.14.009.002 |
Холецистэктомия лапароскопическая |
A16.30.002.002 |
Оперативное лечение пупочной грыжи с использованием сетчатых имплантов |
A16.14.009.002 |
Холецистэктомия лапароскопическая |
A16.30.004.011 |
Оперативное лечение грыжи передней брюшной стенки с использованием сетчатых имплантов |
A16.14.009.001 |
Холецистэктомия малоинвазивная |
A16.30.002.001 |
Оперативное лечение пупочной грыжи с использованием видеоэндоскопических технологий |
A16.14.009.001 |
Холецистэктомия малоинвазивная |
A16.30.002.002 |
Оперативное лечение пупочной грыжи с использованием сетчатых имплантов |
A16.14.009.001 |
Холецистэктомия малоинвазивная |
A16.30.004.011 |
Оперативное лечение грыжи передней брюшной стенки с использованием сетчатых имплантов |
A16.30.003 |
Оперативное лечение околопупочной грыжи |
A16.30.001.002 |
Оперативное лечение пахово-бедренной грыжи с использованием сетчатых имплантов |
A16.30.002 |
Оперативное лечение пупочной грыжи |
A16.30.001.002 |
Оперативное лечение пахово-бедренной грыжи с использованием сетчатых имплантов |
A16.30.004 |
Оперативное лечение грыжи передней брюшной стенки |
A16.30.001.002 |
Оперативное лечение пахово-бедренной грыжи с использованием сетчатых имплантов |
A16.30.002 |
Оперативное лечение пупочной грыжи |
A16.16.033.001 |
Фундопликация лапароскопическая |
A16.30.002 |
Оперативное лечение пупочной грыжи |
A16.09.026.004 |
Пластика диафрагмы с использованием видеоэндоскопических технологий |
A16.30.005.003 |
Устранение грыжи пищеводного отверстия диафрагмы с использованием видеоэндоскопических технологий |
A16.16.046.002 |
Лапароскопическая диафрагмокрурорафия |
A16.30.005.003 |
Устранение грыжи пищеводного отверстия диафрагмы с использованием видеоэндоскопических технологий |
A16.16.033.001 |
Фундопликация лапароскопическая |
A16.20.043 |
Мастэктомия |
A16.20.011.002 |
Тотальная гистерэктомия (экстирпация матки) с придатками лапаротомическая |
A16.20.005 |
Кесарево сечение |
A16.20.035 |
Миомэктомия (энуклеация миоматозных узлов) лапаротомическая |
A16.20.005 |
Кесарево сечение |
A16.20.001 |
Удаление кисты яичника |
A16.20.005 |
Кесарево сечение |
A16.20.061 |
Резекция яичника лапаротомическая |
A16.20.005 |
Кесарево сечение |
A16.20.039 |
Метропластика лапаротомическая |
A16.20.083 |
Кольпоперинеоррафия и леваторопластика |
A16.20.042.001 |
Слинговые операции при недержании мочи |
A16.14.009.002 |
Холецистэктомия лапароскопическая |
A16.20.063.001 |
Влагалищная экстирпация матки с придатками с использованием видеоэндоскопических технологий |
A16.18.009.001 |
Аппендэктомия с использованием видеоэндоскопических технологий |
A16.20.061.001 |
Резекция яичника с использованием видеоэндоскопических технологий |
A16.18.009 |
Аппендэктомия |
A16.20.061 |
Резекция яичника лапаротомическая |
A16.28.054 |
Трансуретральная уретеролитоэкстракция |
A16.28.003.001 |
Лапароскопическая резекция почки |
A16.26.093 |
Факоэмульсификация без интраокулярной линзы. Факофрагментация, факоаспирация |
A16.26.049 |
Кератопластика (трансплантация роговицы) |
A16.26.093 |
Факоэмульсификация без интраокулярной линзы. Факофрагментация, факоаспирация |
A16.26.087 |
Замещение стекловидного тела |
A16.26.098 |
Энуклеация глазного яблока |
A16.26.041.001 |
Пластика конъюнктивальной полости с использованием свободного лоскута слизистой со щеки |
A16.26.115 |
Удаление силиконового масла (или иного высокомолекулярного соединения) из витреальной полости |
A16.26.093.002 |
Факоэмульсификация с имплантацией интраокулярной линзы |
A16.26.094 |
Имплантация интраокулярной линзы |
A16.26.086.001 |
Интравитреальное введение лекарственных препаратов |
Уровень 3
Операция 1 |
Операция 2 | ||
A16.22.001 |
Гемитиреоидэктомия |
A16.30.002.002 |
Оперативное лечение пупочной грыжи с использованием сетчатых имплантов |
A16.18.016 |
Гемиколэктомия правосторонняя |
A16.14.030 |
Резекция печени атипичная |
A16.30.002.002 |
Оперативное лечение пупочной грыжи с использованием сетчатых имплантов |
A16.30.001.002 |
Оперативное лечение пахово-бедренной грыжи с использованием сетчатых имплантов |
A16.30.002.002 |
Оперативное лечение пупочной грыжи с использованием сетчатых имплантов |
A16.30.001.001 |
Оперативное лечение пахово-бедренной грыжи с использованием видеоэндоскопических технологий |
A16.26.093.002 |
Факоэмульсификация с имплантацией интраокулярной линзы |
A16.26.049.005 |
Неавтоматизированная эндотекатопластика |
A16.26.049.004 |
Послойная кератопластика |
A16.26.093.002 |
Факоэмульсификация с имплантацией интраокулярной линзы |
A16.26.089.002 |
Витреоэктомия задняя субтотальная закрытая |
A16.26.093.002 |
Факоэмульсификация с имплантацией интраокулярной линзы |
Уровень 4
Операция 1 |
Операция 2 | ||
A16.09.026.004 |
Пластика диафрагмы с использованием видеоэндоскопических технологий |
A16.16.032.002 |
Эндоскопическая кардиодилятация пищевода баллонным кардиодилятатором |
A16.28.004.001 |
Лапароскопическая нефрэктомия |
A16.21.002 |
Трансуретральная резекция простаты |
A16.26.089.002 |
Витреоэктомия задняя субтотальная закрытая |
A16.26.094 |
Имплантация интраокулярной линзы |
A16.26.089.002 |
Витреоэктомия задняя субтотальная закрытая |
A16.26.082 |
Круговое эписклеральное пломбирование |
A16.12.011.008 |
Пластика глубокой бедренной артерии |
A16.12.026 |
Баллонная вазодилатация |
A16.26.093.001 |
Факоэмульсификация с использованием фемтосекундного лазера |
A16.26.049.005 |
Неавтоматизированная эндотекатопластика |
A16.26.093.001 |
Факоэмульсификация с использованием фемтосекундного лазера |
A16.26.093.002 |
Факоэмульсификация с имплантацией интраокулярной линзы |
A16.30.005.003 |
Устранение грыжи пищеводного отверстия диафрагмы с использованием видеоэндоскопических технологий |
A16.30.005.001 |
Пластика диафрагмы с использованием импланта |
A16.20.014 |
Влагалищная тотальная гистерэктомия (экстирпация матки) с придатками |
A16.20.042.001 |
Слинговые операции при недержании мочи |
A16.20.063.001 |
Влагалищная экстирпация матки с придатками с использованием видеоэндоскопических технологий |
A16.20.042.001 |
Слинговые операции при недержании мочи |
A16.26.049.004 |
Послойная кератопластика |
A16.26.093.001 |
Факоэмульсификация с использованием фемтосекундного лазера |
A16.12.009.001 |
Тромбоэктомия из сосудистого протеза |
A16.12.026.018 |
Баллонная ангиопластика подвздошной артерии |
A16.12.038.006 |
Бедренно-подколенное шунтирование |
A16.12.026.018 |
Баллонная ангиопластика подвздошной артерии |
A16.12.009.001 |
Тромбоэктомия из сосудистого протеза |
A16.12.028 |
Установка стента в сосуд |
A16.12.011.008 |
Пластика глубокой бедренной артерии |
A16.12.028 |
Установка стента в сосуд |
A16.12.011.008 |
Пластика глубокой бедренной артерии |
A16.12.026.018 |
Баллонная ангиопластика подвздошной артерии |
A16.12.009 |
Тромбэндартерэктомия |
A16.12.028 |
Установка стента в сосуд |
A16.12.009 |
Тромбэндартерэктомия |
A16.12.026.018 |
Баллонная ангиопластика подвздошной артерии |
A16.12.038.006 |
Бедренно-подколенное шунтирование |
A16.12.026.002 |
Баллонная ангиопластика подколенной артерии и магистральных артерий голени |
A16.12.038.006 |
Бедренно-подколенное шунтирование |
A16.12.026.004 |
Баллонная ангиопластика со стентированием подколенной артерии и магистральных артерий голени |
A16.26.089.002 |
Витреоэктомия задняя субтотальная закрытая |
A16.26.093.001 |
Факоэмульсификация с использованием фемтосекундного лазера |
Таблица N 5
Перечень однотипных операций на парных
органах
Уровень 1
Код услуги |
Наименование |
A16.26.007 |
Пластика слезных точек и слезных канальцев |
A16.26.019 |
Устранение эпикантуса |
A16.26.020 |
Устранение энтропиона или эктропиона |
A16.26.021 |
Коррекция блефароптоза |
A16.26.021.001 |
Устранение птоза |
A16.26.022 |
Коррекция блефарохалязиса |
A16.26.023 |
Устранение блефароспазма |
A16.26.028 |
Миотомия, тенотомия глазной мышцы |
A22.26.004 |
Лазерная корепраксия, дисцизия задней капсулы хрусталика |
A22.26.005 |
Лазерная иридэктомия |
A22.26.006 |
Лазергониотрабекулопунктура |
A22.26.007 |
Лазерный трабекулоспазис |
A22.26.009 |
Фокальная лазерная коагуляция глазного дна |
A22.26.010 |
Панретинальная лазерная коагуляция |
A22.26.019 |
Лазерная гониодесцеметопунктура |
A22.26.023 |
Лазерная трабекулопластика |
Уровень 2
Код услуги |
Наименование |
A16.03.033.002 |
Наложение наружных фиксирующих устройств с использованием компрессионно-дистракционного аппарата внешней фиксации |
A16.12.006 |
Разрез, иссечение и закрытие вен нижней конечности |
A16.12.006.002 |
Подапоневротическая перевязка анастомозов между поверхностными и глубокими венами голени |
A16.12.012 |
Перевязка и обнажение варикозных вен |
A16.26.075 |
Склеропластика |
A16.26.075.001 |
Склеропластика с использованием трансплантатов |
A16.26.079 |
Реваскуляризация заднего сегмента глаза |
A16.26.094 |
Имплантация интраокулярной линзы |
A16.26.147 |
Ретросклеропломбирование |
Уровень 3
Код услуги |
Наименование |
A16.12.006.001 |
Удаление поверхностных вен нижней конечности |
A16.12.006.003 |
Диссекция перфорантных вен с использованием видеоэндоскопических технологий |
A16.26.093.002 |
Факоэмульсификация с имплантацией интраокулярной линзы |
Уровень 4
Код услуги |
Наименование |
A16.03.022.002 |
Остеосинтез титановой пластиной |
A16.03.022.004 |
Интрамедуллярный стержневой остеосинтез |
A16.03.022.005 |
Остеосинтез с использованием биодеградируемых материалов |
A16.03.022.006 |
Интрамедуллярный блокируемый остеосинтез |
A16.03.024.005 |
Реконструкция кости. Остеотомия кости с использованием комбинируемых методов фиксации |
A16.03.024.007 |
Реконструкция кости. Корригирующая остеотомия при деформации стоп |
A16.03.024.008 |
Реконструкция кости. Корригирующая остеотомия бедра |
A16.03.024.009 |
Реконструкция кости. Корригирующая остеотомия голени |
A16.03.024.010 |
Реконструкция кости при ложном суставе бедра |
A16.04.014 |
Артропластика стопы и пальцев ноги |
A16.12.008.001 |
Эндартерэктомия каротидная |
A16.12.008.002 |
Эндартерэктомия каротидная с пластикой |
A16.20.043.003 |
Мастэктомия радикальная с односторонней пластикой молочной железы с применением микрохирургической техники |
A16.20.043.004 |
Мастэктомия расширенная модифицированная с пластическим закрытием дефекта грудной стенки |
A16.20.047 |
Мастэктомия расширенная модифицированная с пластическим закрытием дефекта грудной стенки различными вариантами кожно-мышечных лоскутов |
A16.20.048 |
Мастэктомия радикальная с реконструкцией TRAM-лоскутом |
Уровень 5
Код услуги |
Наименование |
A16.20.032.007 |
Резекция молочной железы субтотальная с маммопластикой и эндопротезированием |
A16.20.103 |
Отсроченная реконструкция молочной железы с использованием эндопротеза |
A16.20.049.001 |
Мастэктомия радикальная по Маддену с реконструкцией кожно-мышечным лоскутом и эндопротезированием |
Приложение N 4
к дополнительному соглашению
от 26.07.2024 N 6
к Тарифному соглашению
в системе ОМС города Севастополя
от 21.12.2023
Приложение N 10
к Тарифному соглашению
в системе ОМС города Севастополя
от 21.12.2023
В соответствии с Порядком оплаты
первичной медико-санитарной помощи по
подушевому нормативу финансирования на
прикрепившихся лиц (за исключением
расходов на проведение компьютерной
томографии, магнитно-резонансной
томографии, ультразвукового
исследования сердечно-сосудистой
системы, эндоскопических
диагностических исследований,
молекулярно-генетических исследований и
патолого-анатомических исследований
биопсийного (операционного) материала,
тестирования на выявление новой
коронавирусной инфекции (COVID-19),
профилактических медицинских осмотров и
диспансеризации, в том числе углубленной
диспансеризации и диспансеризации для
оценки репродуктивного здоровья женщин
и мужчин, а также средств на оплату
диспансерного наблюдения и финансовое
обеспечение фельдшерских здравпунктов,
фельдшерско-акушерских пунктов) с учетом
показателей результативности
деятельности медицинской организации
(включая показатели объема медицинской
помощи), в том числе с включением
расходов на медицинскую помощь,
оказываемую в иных медицинских
организациях и оплачиваемую за единицу
объема медицинской помощи в
соответствии с Порядком оплаты
первичной медико-санитарной помощи по
подушевому нормативу финансирования на
прикрепившихся лиц (за исключением
расходов на проведение компьютерной
томографии, магнитно-резонансной
томографии, ультразвукового
исследования сердечно-сосудистой
системы, эндоскопических
диагностических исследований,
молекулярно-генетических исследований и
патолого-анатомических исследований
биопсийного (операционного) материала,
тестирования на выявление новой
коронавирусной инфекции (COVID-19),
профилактических медицинских осмотров и
диспансеризации, в том числе углубленной
диспансеризации, а также средств на
оплату диспансерного наблюдения и
финансовое обеспечение фельдшерских
здравпунктов, фельдшерско-акушерских
пунктов) с учетом показателей
результативности деятельности
медицинской организации (включая
показатели объема медицинской помощи), в
том числе с включением расходов на
медицинскую помощь, оказываемую в иных
медицинских организациях и оплачиваемую
за единицу объема медицинской помощи,
утвердить:
- базовый (средний) подушевой
норматив финансирования с апреля 2024 года
в размере 2095,45 рубля; в январе - 183,86 рубля;
в феврале - 158,43 рубля; в марте - 158,43 рубля;
с апреля - 174,07 рубля в месяц; с августа -
179,69 рубля в месяц;
- Таблицу N 1:
Половозрастные коэффициенты в разрезе
половозрастных групп населения
Половозрастные группы |
Половозрастные коэффициенты дифференциации | |
|
мужчины |
женщины |
0 - 1 г. |
4,365198 |
4,374693 |
1 - 4 г. |
2,709647 |
2,579831 |
5 - 17 л. |
1,563882 |
1,550463 |
18 - 64 г. |
0,379121 |
0,826563 |
> 65 |
1,600000 |
1,600000 |
- Таблицу N 2:
Коэффициенты половозрастного состава
для каждой медицинской организации
N п/п |
Наименование медицинской организации |
Размер коэффициента половозрастного состава |
1 |
ГБУЗС "Городская больница N 1 им. Н.И. Пирогова" |
0,872879 |
2 |
ГБУЗС "Городская больница N 4" |
1,075849 |
3 |
ГБУЗС "Городская больница N 5 - "Центр охраны здоровья матери и ребенка" |
1,847531 |
4 |
ГБУЗС "Севастопольская городская больница N 9" |
1,049438 |
5 |
Черноморское высшее военно-морское училище имени П.С. Нахимова |
0,753321 |
- Таблицу N 3:
Коэффициенты дифференциации на прикрепившихся к медицинской организации лиц с учетом наличия подразделений, расположенных в сельской местности, отдаленных территориях, поселках городского типа и малых городах с численностью населения до 50 тысяч человек, и расходов на их содержание и оплату труда персонала
N п/п |
Наименование медицинской организации, структурного подразделения |
Население до 20 тысяч |
Размер КДот |
1 |
ГБУЗС "Городская больница N 4" |
45949 |
1,0311 |
1.1 |
Врачебная амбулатория, село Верхнесадовое |
2593 |
1,113 |
1.2 |
Врачебная амбулатория, поселок Кача |
4471 |
1,113 |
1.3 |
Врачебная амбулатория, село П. Осипенко |
4021 |
1,113 |
1.4 |
Врачебная амбулатория, поселок Солнечное |
1546 |
1,113 |
2 |
ГБУЗС "Севастопольская городская больница N 9" |
56538 |
1,0266 |
2.1 |
СВА Орлиное |
6808 |
1,113 |
2.2 |
АОПСМ, село Терновка |
2602 |
1,113 |
2.3 |
Врачебная амбулатория, поселок Сахарная головка |
3907 |
1,113 |
- Таблицу N 4:
Перечень фельдшерских здравпунктов, фельдшерско-акушерских пунктов, по которым доводится финансовое обеспечение исходя из установленных Программой нормативов
Фельдшерско-акушерский пункт/наименование медицинской организации |
Размер финансового обеспечения, рублей |
Коэффициент
специфики |
Соответствует приказу МЗ РФ (+)/не соответствует приказу МЗ РФ (-) |
100 - 900 |
900 - 1500 |
1500 - 2000 |
ФАП села Андреевка |
2934853,46 |
1,0104 |
+ |
|
|
+ |
ФАП села Вишневое |
1237541,11 |
1,0062 |
+ |
+ |
|
|
ФАП села Дальнее |
1235842,65 |
1,0047 |
+ |
+ |
|
|
ФАП села Поворотное |
1238079,00 |
1,0067 |
+ |
+ |
|
|
ФАП села Фронтовое |
1248533,62 |
1,0160 |
+ |
+ |
|
|
ГБУЗС "Городская больница N 4" |
7894850,28 |
|
|
|
|
|
ФАП села Гончарное |
1246705,74 |
1,0144 |
+ |
+ |
|
|
ФАП села Первомайское |
2484434,96 |
1,0104 |
+ |
|
+ |
|
ФАП села Передовое |
2481177,53 |
1,0090 |
+ |
|
+ |
|
ФАП села Родниковое |
1244751,27 |
1,0126 |
+ |
+ |
|
|
ФАП села Родное |
2484434,96 |
1,0104 |
+ |
|
+ |
|
ФАП села Тыловое |
1245484,20 |
1,0133 |
+ |
+ |
|
|
ФАП села Хмельницкое |
1253790,65 |
1,0206 |
+ |
+ |
|
|
ФАП села Широкое |
1248008,71 |
1,0155 |
+ |
+ |
|
|
ГБУЗС "Севастопольская городская больница N 9" |
13688625,15 |
|
|
|
|
|
Всего |
21583475,43 |
|
|
|
|
|
- коэффициент специфики оказания
медицинской помощи, применяемый к
базовому нормативу финансовых затрат на
финансовое обеспечение структурных
подразделений медицинской организации,
учитывающий критерий соответствия их
требованиям, установленным Приказом N 543н
(в том числе с учетом расчетного объема
средств на оплату консультаций,
связанных с проведением
санитарно-гигиенического обучения
женщин по вопросам грудного
вскармливания, предупреждения
заболеваний репродуктивной системы,
абортов и инфекций, передаваемых половым
путем).
Средний размер финансового
обеспечения структурных подразделений
медицинских организаций - фельдшерских
здравпунктов и фельдшерско-акушерских
пунктов на одно застрахованное лицо в
год с февраля 2024 года составляет 2271,10
рубля, в месяц - 190,55 рубля в месяц;
- Таблицу N 5:
Дифференцированные подушевые нормативы
финансирования для медицинских
организаций
N п/п |
Наименование медицинской организации |
Численность прикрепленного населения на 01.07.2024 |
КДОТ |
КДПВ |
КДУР |
КДЗП |
ДПН, рублей (январь - декабрь) |
ДПН, рублей в месяц |
1 |
ГБУЗС "Городская больница N 1 им. Н.И. Пирогова" |
259308 |
1 |
0,875836 |
1,01 |
1,130457 |
2071,32 |
179,69 |
2 |
ГБУЗС "Городская больница N 4" |
45949 |
1,0311 |
1,081916 |
1,01 |
1 |
2351,20 |
202,47 |
3 |
ГБУЗС "Городская больница N 5 - "Центр охраны здоровья матери и ребенка" |
73239 |
1 |
1,865124 |
1,01 |
1 |
3919,85 |
338,50 |
4 |
ГБУЗС "Севастопольская городская больница N 9" |
56538 |
1,0266 |
1,053281 |
1,01 |
1 |
2272,44 |
196,25 |
5 |
Черноморское высшее военно-морское училище имени П.С. Нахимова |
427 |
1 |
0,726813 |
1,01 |
1,362249 |
2043,14 |
179,69 |
|
ИТОГО |
435461 |
|
|
|
|
|
|
Приложение N 5
к дополнительному соглашению
от 26.07.2024 N 6
к Тарифному соглашению
в системе ОМС города Севастополя
от 21.12.2023
Приложение N 24
к Тарифному соглашению
в системе ОМС города Севастополя
от 21.12.2023
ПЕРЕЧЕНЬ ЛЕКАРСТВЕННЫХ ПРЕПАРАТОВ ДЛЯ
ПРОВЕДЕНИЯ ПРОТИВООПУХОЛЕВОЙ
ЛЕКАРСТВЕННОЙ ТЕРАПИИ, ПРИ НАЗНАЧЕНИИ
КОТОРЫХ НЕОБХОДИМО ОБЯЗАТЕЛЬНОЕ
ПРОВЕДЕНИЕ МОЛЕКУЛЯРНО-ГЕНЕТИЧЕСКИХ
ИССЛЕДОВАНИЙ И (ИЛИ)
ИММУНОГИСТОХИМИЧЕСКИХ ИССЛЕДОВАНИЙ
N |
Наименование МНН |
Код маркера |
Результат исследования |
1 |
Абемациклиб |
HER2 |
Отсутствие гиперэкспрессии белка HER2 |
2 |
Алектиниб |
ALK |
Наличие транслокации ALK |
3 |
Вемурафениб |
BRAF |
Наличие активирующей мутации BRAF V600 |
4 |
Гефитиниб |
EGFR |
Наличие активирующих мутаций в EGFR |
5 |
Дабрафениб |
BRAF |
Наличие активирующей мутации BRAF V600 |
6 |
Кобиметиниб |
BRAF |
Наличие активирующей мутации BRAF V600 |
7 |
Кризотиниб |
ALK/ROS1 |
Наличие транслокации ALK или транслокации ROS1 <*> |
8 |
Лапатиниб |
HER2 |
Гиперэкспрессия HER2 |
9 |
Олапариб |
BRCA |
Наличие мутаций в генах BRCA1/2, за исключением поддерживающей монотерапии платиночувствительного рецидива эпителиального рака яичников, рака маточной трубы или первичного перитонеального рака высокой степени злокачественности у взрослых пациенток, ответивших (полный или частичный ответ) на платиносодержащую химиотерапию |
10 |
Осимертиниб |
EGFR |
Наличие активирующих мутаций в EGFR |
11 |
Палбоциклиб |
HER2 |
Отсутствие гиперэкспрессии белка HER2 |
12 |
Панитумумаб |
RAS |
Наличие генов RAS дикого типа |
13 |
Пертузумаб |
HER2 |
Гиперэкспрессия HER2 |
14 |
Рибоциклиб |
HER2 |
Отсутствие гиперэкспрессии белка HER2 |
15 |
Талазопариб |
BRCA |
HER2-негативный статус и наличие герминальных мутаций в генах BRCA1/2 |
16 |
Траметиниб |
BRAF |
Наличие активирующей мутации в гене BRAF V600 |
17 |
Трастузумаб |
HER2 |
Гиперэкспрессия HER2 |
18 |
Трастузумаб эмтанзин |
HER2 |
Гиперэкспрессия HER2 |
19 |
Церитиниб |
ALK |
Наличие транслокации ALK |
* Мутации являются
взаимоисключающими (исследования
проводятся до получения первого
положительного результата по наличию
мутации в каком-либо из указанных генов).




