ДОПОЛНИТЕЛЬНОЕ СОГЛАШЕНИЕ К ТАРИФНОМУ
СОГЛАШЕНИЮ В СИСТЕМЕ ОБЯЗАТЕЛЬНОГО
МЕДИЦИНСКОГО СТРАХОВАНИЯ ГОРОДА
СЕВАСТОПОЛЯ
от 28 ноября 2023 года N 8
г. Севастополь
Департамент здравоохранения
города Севастополя, в лице директора
Департамента - члена Правительства
Севастополя Денисова В.С.,
Территориальный фонд обязательного
медицинского страхования города
Севастополя, в лице директора Гроздовой
Т.Ю., первого заместителя директора
Игнатовой И.А., страховые медицинские
организации города Севастополя, в лице
директора Севастопольского филиала ООО
"Страховая медицинская компания
"Крыммедстрах" Галянской Л.С. и директора
Севастопольского филиала "Крымской
страховой медицинской компании" ООО
"Арсенал медицинское страхование"
Колтуновой Е.А., Севастопольская
территориальная организация
профессионального союза работников
здравоохранения Российской Федерации, в
лице председателя Кравченко И.Д.,
первичная организация
профессионального союза работников
здравоохранения государственного
бюджетного учреждения здравоохранения
Севастополя "Городская больница N 1 им.
Н.И. Пирогова", в лице члена Смоляковой
С.И., Региональная общественная
организация "Ассоциация врачей
Севастополя", в лице члена Игнатьева В.В.
и члена Хабарова О.Р., включенные в состав
Комиссии по разработке территориальной
программы обязательного медицинского
страхования города Севастополя, в
соответствии со статьей 30 Федерального
закона от 29.11.2010 N 326-ФЗ "Об обязательном
медицинском страховании в Российской
Федерации", именуемые в дальнейшем
Стороны, заключили настоящее
дополнительное соглашение к тарифному
соглашению в системе обязательного
медицинского страхования города
Севастополя от 23.12.2022 (далее -
дополнительное соглашение) о
нижеследующем:
1. Пункт 3.5 Тарифного соглашения
изложить в новой редакции:
"3.5. В части скорой медицинской
помощи, оказываемой вне медицинской
организации, Тарифным соглашением
устанавливаются:
1) средний размер финансового
обеспечения скорой медицинской помощи,
оказываемой вне медицинской организации
, медицинскими организациями,
участвующими в реализации
территориальной программы ОМС города
Севастополя, в расчете на одно
застрахованное лицо, определенный на
основе нормативов объемов медицинской
помощи и финансовых затрат на единицу
объема медицинской помощи,
установленных территориальной
программой ОМС, - 918,57 рубля, расчет в
соответствии с Приложением N 9 к
Тарифному соглашению;
2) значение коэффициентов
дифференциации по территориям оказания
медицинской помощи, применяемых к
базовому подушевому нормативу
финансирования, применяемому при оплате
скорой медицинской помощи, оказанной вне
медицинской организации, базовому
нормативу финансовых затрат на оплату
медицинской помощи, оплачиваемой за
вызов скорой медицинской помощи, - 1;
3) базовый размер подушевого
норматива финансирования, применяемый
при оплате скорой медицинской помощи,
оказанной вне медицинской организации
(ПнБАЗ), согласно перечню расходов на
медицинскую помощь, финансовое
обеспечение которых осуществляется по
подушевому нормативу финансирования, -
918,57 рубля, расчет в соответствии с
Приложением N 21 к Тарифному соглашению;
4) значение дифференцированного
подушевого норматива финансирования для
медицинских организаций, оказывающих
скорую медицинскую помощь вне
медицинской организации (ДПнi), - 918,57
рубля, расчет в соответствии с
Приложением N 21 к Тарифному соглашению;
5) фактический дифференцированный
подушевой норматив финансирования
скорой медицинской помощи вне
медицинской организации (ФДПнi), в
соответствии с Приложением N 21 к
Тарифному соглашению;
6) тарифы на оплату вызова бригады
скорой медицинской помощи, в том числе в
случае проведения тромболизиса, в
соответствии с Приложением N 21 к
Тарифному соглашению.".
2. Приложение N 1 к Тарифному
соглашению изложить в новой редакции
согласно приложению N 1 к настоящему
дополнительному соглашению.
3. Приложение N 9 к Тарифному
соглашению изложить в новой редакции
согласно приложению N 2 к настоящему
дополнительному соглашению.
4. Приложение N 21 к Тарифному
соглашению изложить в новой редакции
согласно приложению N 3 к настоящему
дополнительному соглашению.
5. Настоящее Дополнительное
соглашение вступает в силу с момента его
подписания и распространяет свое
действие на правоотношения, возникшие с
01.11.2023.
6. Приложения являются неотъемлемой
частью настоящего дополнительного
соглашения.
7. Настоящее дополнительное
соглашение к тарифному соглашению
составлено и подписано в десяти
экземплярах.
8. Настоящее дополнительное
соглашение подлежит обязательному
размещению на официальных сайтах
Департамента здравоохранения города
Севастополя и Территориального фонда
обязательного медицинского страхования
города Севастополя в сети "Интернет" в
четырнадцатидневный срок со дня его
принятия.
9. Настоящее дополнительное
соглашение подлежит обязательной
отправке Председателем Комиссии по
разработке территориальной программы
обязательного медицинского страхования
города Севастополя в пятидневный срок
после дня его заключения в Федеральный
фонд обязательного медицинского
страхования для подготовки заключения о
соответствии базовой программе
обязательного медицинского
страхования.
Директор Департамента здравоохранения
города Севастополя -
член Правительства Севастополя
В.С.ДЕНИСОВ
Директор Территориального фонда
обязательного медицинского
страхования
города Севастополя
Т.Ю.ГРОЗДОВА
Директор Севастопольского филиала
"Крымской страховой медицинской
компании"
ООО "Арсенал медицинское страхование"
Е.А.КОЛТУНОВА
Первый заместитель директора
Территориального фонда обязательного
медицинского страхования
города Севастополя
И.А.ИГНАТОВА
Директор Севастопольского филиала
ООО "Страховая медицинская компания
"Крыммедстрах"
Л.С.ГАЛЯНСКАЯ
Председатель Севастопольской
территориальной
организации профсоюзов работников
здравоохранения
Российской Федерации
И.Д.КРАВЧЕНКО
Член Региональной общественной
организации
"Ассоциация врачей Севастополя"
В.В.ИГНАТЬЕВ
Член Региональной общественной
организации
"Ассоциация врачей Севастополя"
О.Р.ХАБАРОВ
Член первичной организации
профессионального союза работников
здравоохранения
государственного бюджетного
учреждения
здравоохранения Севастополя
"Городская больница N 1 им. Н.И. Пирогова"
С.И.СМОЛЯКОВА
Приложение N 1
к дополнительному соглашению
от 28.11.2023 N 8
к Тарифному соглашению
в системе ОМС города Севастополя
от 23.12.2022
Приложение N 1
к Тарифному соглашению
в системе ОМС города Севастополя
от 23.12.2022
ПЕРЕЧЕНЬ МЕДИЦИНСКИХ ОРГАНИЗАЦИЙ,
ВКЛЮЧЕННЫХ В РЕЕСТР МЕДИЦИНСКИХ
ОРГАНИЗАЦИЙ, ОСУЩЕСТВЛЯЮЩИХ
ДЕЯТЕЛЬНОСТЬ В СФЕРЕ ОБЯЗАТЕЛЬНОГО
МЕДИЦИНСКОГО СТРАХОВАНИЯ НА ТЕРРИТОРИИ
ГОРОДА СЕВАСТОПОЛЯ, В РАЗРЕЗЕ УСЛОВИЙ
ОКАЗАНИЯ МЕДИЦИНСКОЙ ПОМОЩИ И
ПРИМЕНЯЕМЫХ СПОСОБОВ ОПЛАТЫ МЕДИЦИНСКОЙ
ПОМОЩИ
Таблица N 1
Медицинские организации, оказывающие
медицинскую помощь в амбулаторных
условиях
Наименование медицинской организации |
Имеющие прикрепленное население |
Не имеющие прикрепленного населения |
1 уровень | ||
ГБУЗС "Городская больница N 1 имени Н.И. Пирогова" (в амбулаторных условиях, за исключением консультативного приема, относящегося ко 2 уровню) |
+ |
- |
ГБУЗС "Городская больница N 4" |
+ |
- |
ГБУЗС "Городская больница N 5 - Центр охраны здоровья матери и ребенка" (в амбулаторных условиях, за исключением консультативного приема, относящегося ко 2 уровню) |
+ |
- |
ГБУЗС "Севастопольская городская больница N 9" |
+ |
- |
Черноморское высшее военно-морское училище имени П.С. Нахимова" (в амбулаторных условиях, за исключением консультативного приема, относящегося ко 2 уровню) |
+ |
- |
2 уровень | ||
ГБУЗС "Городская больница N 1 имени Н.И. Пирогова" (консультативный прием по профилям: онкология, пульмонология, ревматология, сердечно-сосудистая хирургия, эндокринология, сурдолого-оториноларингология) |
+ |
- |
ГБУЗС "Городская больница N 5 - Центр охраны здоровья матери и ребенка" (консультативный прием по профилям: акушерство и гинекология, аллергология и иммунология, гастроэнтерология, гематология, дерматология, детская кардиология, детская онкология, детская урология-андрология, детская хирургия, детская эндокринология, инфекционные болезни, неврология, нейрохирургия, нефрология, оториноларингология, офтальмология, педиатрия, пульмонология, ревматология, травматология и ортопедия, урология, сурдолого-отоларингология) |
+ |
- |
ГБУЗС "Городская инфекционная больница" |
- |
+ |
ГБУЗС "Севастопольский городской онкологический диспансер имени А.А. Задорожного" (консультативный прием по профилям: гематология, онкология, радиотерапия) |
- |
+ |
ГБУЗС "Кожно-венерологический диспансер" (консультативный прием по профилю: дерматология) |
- |
+ |
ГБУЗС "Стоматологическая поликлиника N 1" |
- |
+ |
ГБУЗС "Севастопольская детская стоматологическая поликлиника" |
- |
+ |
ФГБУ "1472 Военно-морской клинический госпиталь" Минобороны России (консультативный прием по профилю: стоматология) |
- |
+ |
Федеральное казенное учреждение здравоохранения "Медико-санитарная часть Министерства внутренних дел Российской Федерации по г. Севастополю" (консультативный прием по профилям: оториноларингология, терапия) |
- |
+ |
Черноморское высшее военно-морское училище имени П.С. Нахимова" (консультативный прием по профилям: акушерство и гинекология, кардиология, неврология, дерматовенерология, педиатрия, терапия, стоматология, офтальмология, хирургия) |
+ |
- |
ООО "Диализный центр "Севастополь" |
- |
+ |
ООО "МЦ "Оптика-хирургия" Севастополь" (консультативный прием по профилю: офтальмология) |
- |
+ |
ООО "Лаборатория Гемотест" |
- |
+ |
ООО "Магнитно-Резонансная Томография Севастополь" (консультативный прием по профилю: эндокринология) |
- |
+ |
ООО "Таврика" |
- |
+ |
ООО "Элит-Мед" (консультативный прием по профилям: дерматология, детская хирургия, неврология, педиатрия, травматология и ортопедия) |
- |
+ |
ООО "Трагус" |
- |
+ |
ООО "Мастерская семейного здоровья" (консультативный прием по профилям: травматология и ортопедия) |
- |
+ |
Федеральное государственное автономное образовательное учреждение высшего образования "Крымский федеральный университет имени В.И. Вернадского" |
- |
+ |
ООО "Таврическая клиника репродуктивной медицины "Ферти-Лайн" (консультативный прием по профилям: акушерство и гинекология) |
- |
+ |
ООО "Научно-Методический центр клинической лабораторной диагностики Ситилаб" |
- |
+ |
ООО "ВитаЛаб" |
- |
+ |
ООО "Научно-производственная фирма "Хеликс" |
- |
+ |
ООО "Медицинский центр "Анатомия здоровья" (консультативный прием по профилям: акушерство и гинекология, дерматология, кардиология, неврология, онкология, педиатрия, терапия, травматология и ортопедия, урология, эндокринология) |
- |
+ |
ООО "Нефролайн-Сев" |
- |
+ |
ООО "БАКВОС" |
- |
+ |
Таблица N 2
Медицинские организации, оказывающие
медицинскую помощь в условиях
круглосуточного стационара и дневного
стационара
Наименование медицинской организации |
Круглосуточный стационар |
Дневной стационар |
2 уровень | ||
ГБУЗС "Городская больница N 1 имени Н.И. Пирогова" (в условиях стационара, за исключением профилей медицинской помощи, отнесенных к третьему уровню) |
+ |
+ |
ГБУЗС "Городская больница N 4" |
+ |
+ |
ГБУЗС "Городская больница N 5 - Центр охраны здоровья матери и ребенка" (в условиях стационара, за исключением профилей медицинской помощи, отнесенных к третьему уровню) |
+ |
+ |
ГБУЗС "Севастопольская городская больница N 9" (в условиях стационара, за исключением профилей медицинской помощи, отнесенных к третьему уровню) |
+ |
+ |
ГБУЗС "Городская инфекционная больница" |
+ |
+ |
ГБУЗС "Севастопольский городской онкологический диспансер имени А.А. Задорожного" |
- |
+ |
ГБУЗС "Кожно-венерологический диспансер" |
- |
+ |
ФГБУ "1472 Военно-морской клинический госпиталь" Минобороны России |
+ |
- |
Черноморское высшее военно-морское училище имени П.С. Нахимова |
- |
+ |
ГАУЗРК "РБВЛ "Черные воды" |
+ |
- |
ООО "МЦ "Оптика-хирургия" Севастополь" |
- |
+ |
ООО "Клиника "Бонус", Севастополь |
+ |
+ |
ООО "Центр клинической онкологии и гематологии" |
+ |
+ |
ООО "Эко центр" |
- |
+ |
ООО "Клиника Генезис" (в условиях стационара, за исключением профилей медицинской помощи, отнесенных к третьему уровню) |
+ |
+ |
ООО "Таврическая клиника репродуктивной медицины "Ферти-Лайн" |
- |
+ |
ООО "Центр ЭКО" |
- |
+ |
ООО "Аймед Плюс" |
- |
+ |
Медицинское частное учреждение дополнительного профессионального образования "Клиника Медекс Севастополь" |
+ |
+ |
3 уровень | ||
ГБУЗС "Городская больница N 1 имени Н.И. Пирогова" (по профилям медицинской помощи: акушерство и гинекология, нейрохирургия, онкология, в т.ч. радиология, радиотерапия, оториноларингология, офтальмология, ревматология, сердечно-сосудистая хирургия, травматология и ортопедия, торакальная хирургия, урология, хирургия, челюстно-лицевая хирургия) |
+ |
- |
ГБУЗС "Городская больница N 5 - Центр охраны здоровья матери и ребенка" (по профилям медицинской помощи: детская урология-андрология, детская хирургия, неонатология - патология новорожденных и недоношенных детей, хирургия, эндокринология, офтальмология) |
+ |
- |
ГБУЗС "Севастопольская городская больница N 9" (по профилям медицинской помощи: урология, акушерство и гинекология, травматология и ортопедия, гастроэнтерология, хирургия) |
+ |
- |
ГБУЗС "Севастопольский городской онкологический диспансер имени А.А. Задорожного" (по профилю: онкология, в т.ч. радиология, радиотерапия, онкогематология, гематология) |
+ |
- |
ГБУЗС "Городской кожно-венерологический диспансер" (по профилю медицинской помощи: дерматовенерология) |
+ |
- |
ООО "Клиника Генезис" (по профилю медицинской помощи: оториноларингология) |
+ |
- |
Таблица N 3
Медицинские организации, оказывающие
скорую медицинскую помощь вне
медицинской организации
Наименование медицинской организации |
Скорая медицинская помощь |
ГБУЗС "Центр экстренной медицинской помощи и медицины катастроф" |
+ |
Таблица N 4
Перечень медицинских организаций по
уровням оказания медицинской помощи в
стационарных условиях
Наименование медицинской организации |
2 уровень медицинской организации |
3 уровень медицинской организации | ||||
|
Подуровень медицинской организации |
Подуровень медицинской организации | ||||
|
2.1 |
2.2 |
2.3 |
3.1 |
3.2 |
3.3 |
|
1 |
1,04 |
1,05 |
1,1 |
1,28 |
1,3 |
ГБУЗС "Городская больница N 1 имени Н.И. Пирогова" |
|
|
+ |
+ <*> |
+ |
|
ГБУЗС "Городская больница N 4" |
|
+ |
|
|
|
|
ГБУЗС "Городская больница N 5 - Центр охраны здоровья матери и ребенка" |
|
+ |
|
|
+ |
|
ГБУЗС "Севастопольская городская больница N 9" |
|
|
+ |
+ <*> |
|
+ |
ГБУЗС "Городская инфекционная больница" |
|
|
+ |
|
|
|
ГБУЗС "Севастопольский городской онкологический диспансер имени А.А. Задорожного" |
|
|
|
+ |
|
|
ГБУЗС "Кожно-венерологический диспансер" |
|
|
|
|
|
+ |
ФГБУ "1472 Военно-морской клинический госпиталь" Минобороны России |
+ |
|
|
|
|
|
ГАУЗРК "РБВЛ "Черные воды" |
|
+ |
|
|
|
|
ООО "Клиника "Бонус" |
+ |
|
|
|
|
|
ООО "Центр клинической онкологии и гематологии" |
+ |
|
|
|
|
|
ООО "Клиника Генезис" |
+ |
|
|
+ |
|
|
Медицинское частное учреждение дополнительного профессионального образования "Клиника Медекс Севастополь" |
+ |
|
|
|
|
|
* По профилям медицинской помощи:
"Онкология" и "Детская онкология".
Таблица N 5
Перечень медицинских организаций по
уровням оказания медицинской помощи в
условиях дневного стационара
Наименование медицинской организации |
Уровень медицинской организации |
|
1,00 |
ГБУЗС "Городская больница N 1 имени Н.И. Пирогова" |
+ |
ГБУЗС "Городская больница N 4" |
+ |
ГБУЗС "Городская больница N 5 - Центр охраны здоровья матери и ребенка" |
+ |
ГБУЗС "Севастопольская городская больница N 9" |
+ |
ГБУЗС "Городская инфекционная больница" |
+ |
ГБУЗС "Севастопольский городской онкологический диспансер имени А.А. Задорожного" |
+ |
ГБУЗС "Кожно-венерологический диспансер" |
+ |
Черноморское высшее военно-морское училище имени П.С. Нахимова |
+ |
ООО "МЦ "Оптика-хирургия" Севастополь" |
+ |
ООО "Клиника "Бонус" |
+ |
ООО "Центр клинической онкологии и гематологии" |
+ |
ООО "Эко центр" |
+ |
ООО "Клиника Генезис" |
+ |
ООО "Таврическая клиника репродуктивной медицины "Ферти-Лайн" |
+ |
ООО "Центр ЭКО" |
+ |
Медицинское частное учреждение дополнительного профессионального образования "Клиника Медекс Севастополь" |
+ |
ООО "Аймед Плюс" |
+ |
Таблица N 6
Перечень медицинских организаций,
оказывающих помощь в амбулаторных
условиях, имеющих прикрепленное
население, обеспечивающих мероприятия
по проведению всех видов
диспансеризации, в том числе
углубленной, и профилактических
осмотров отдельных категорий граждан
Перечень мероприятий |
Наименование медицинской организации | ||||
|
ГБУЗС "Городская больница N 1 имени Н.И. Пирогова" |
ГБУЗС "Городская больница N 4" |
ГБУЗС "Городская больница N 5 - Центр охраны здоровья матери и ребенка" |
ГБУЗС "Севастопольская городская больница N 9" |
Черноморское высшее военно-морское училище имени П.С. Нахимова |
Диспансеризация определенных групп взрослого населения (приказ Министерства здравоохранения РФ от 27.04.2021 N 404н "Об утверждении порядка проведения профилактического медицинского осмотра и диспансеризации определенных групп взрослого населения"), том числе проведение углубленной диспансеризации |
+ |
+ |
|
+ |
+ |
Диспансеризация детей-сирот и детей, оставшихся без попечения родителей, в том числе усыновленных (удочеренных), принятых под опеку (попечительство), в приемную или патронатную семью (приказ Министерства здравоохранения РФ от 21.04.2022 N 275н "Об утверждении Порядка диспансеризации детей-сирот и детей, оставшихся без попечения родителей, в том числе усыновленных (удочеренных), принятых под опеку (попечительство), в приемную или патронатную семью") |
|
+ |
+ |
+ |
|
Диспансеризация пребывающих в стационарных учреждениях детей-сирот и детей, находящихся в трудной жизненной ситуации (приказ Министерства здравоохранения РФ от 15.02.2013 N 72н "О проведении диспансеризации пребывающих в стационарных учреждениях детей-сирот и детей, находящихся в трудной жизненной ситуации") |
|
|
+ |
|
|
Профилактический медицинский осмотр несовершеннолетних (приказ Министерства здравоохранения РФ от 10.08.2017 N 514н "О порядке проведения профилактических медицинских осмотров несовершеннолетних") |
|
+ |
+ |
+ |
|
Профилактический медицинский осмотр взрослого населения (приказ Министерства здравоохранения РФ от 27.04.2021 N 404н "Об утверждении порядка проведения профилактического медицинского осмотра и диспансеризации определенных групп взрослого населения") |
+ |
+ |
|
+ |
+ |
Таблица N 7
Виды оплаты медицинской помощи,
используемой при оплате медицинской
помощи, оказываемой медицинскими
организациями, включенными в реестр
медицинских организаций, осуществляющих
деятельность в сфере обязательного
медицинского страхования города
Севастополя, в разрезе условий оказания
медицинской помощи
В амбулаторных условиях
Таблица N 7.1
Наименование медицинской организации |
В амбулаторных условиях | ||||||
|
по подушевому нормативу финансирования на прикрепившихся лиц <*> |
по нормативу финансирования структурного подразделения медицинской организации - при оплате медпомощи, оказываемой фельдшерскими и фельдшерско-акушерскими пунктами |
за единицу объема медицинской помощи | ||||
|
|
|
(за медицинскую услугу) при оплате | ||||
|
|
|
медпомощи, оказанной в медорганизациях, не имеющих прикрепленных лиц |
медпомощи, оказанной в городских кабинетах медицинских организаций, имеющих прикрепленных лиц, травмпунктах, приемном покое, кабинетах неотложной медпомощи, медицинской реабилитации, диспансерного наблюдения |
диагностических (лабораторных) исследован.: компьютерной томографии, магнитно-резонансной томографии, ультразвукового исследования сердечно-сосудистой системы, эндоскопических диагностических исследований, молекулярно-генетических исследований и патолого-анатомических исследований биопсийного (операционного) материала при оплате тестирования на выявление новой коронавирусной инфекции (COVID-19) |
медпомощи, оказанной медицинской организацией, в том числе по направлениям, выданным иной медицинской организацией, источником финансового обеспечения которой являются средства подушевого норматива финансирования на прикрепившихся лиц, получаемые иной медицинской организацией |
углубленной диспансеризации |
ГБУЗС "Городская больница N 1 имени Н.И. Пирогова" |
+ |
|
|
+ |
+ |
+ |
+ |
ГБУЗС "Городская больница N 4" |
+ |
+ |
|
+ |
+ |
|
+ |
ГБУЗС "Городская больница N 5 - Центр охраны здоровья матери и ребенка" |
+ |
|
|
+ |
+ |
+ |
|
ГБУЗС "Севастопольская городская больница N 9" |
+ |
+ |
|
+ |
+ |
|
+ |
ГБУЗС "Городская инфекционная больница" |
|
|
+ |
|
|
+ |
|
ГБУЗС "Севастопольский городской онкологический диспансер имени А.А. Задорожного" |
|
|
+ |
|
+ |
+ |
|
ГБУЗС "Кожно-венерологический диспансер" |
|
|
+ |
|
+ |
+ |
|
ГБУЗС "Стоматологическая поликлиника N 1" |
|
|
+ |
|
|
|
|
ГБУЗС "Севастопольская детская стоматологическая поликлиника" |
|
|
+ |
|
|
|
|
ФГБУ "1472 Военно-морской клинический госпиталь" Минобороны России |
|
|
+ |
|
|
|
|
Федеральное казенное учреждение здравоохранения "Медико-санитарная часть Министерства внутренних дел Российской Федерации по г. Севастополю" |
|
|
+ |
|
|
|
|
Черноморское высшее военно-морское училище имени П.С. Нахимова |
+ |
|
|
+ |
+ |
|
+ |
ООО "Диализный центр Севастополь" |
|
|
+ |
|
|
|
|
ООО "МЦ "Оптика-хирургия" |
|
|
+ |
|
|
+ |
|
ООО "Центр клинической онкологии и гематологии" |
|
|
+ |
|
|
|
|
ООО "Ферти-Лайн" |
|
|
+ |
|
|
|
|
ООО "Гемотест" |
|
|
|
|
+ |
+ |
|
ООО "Элит-Мед" |
|
|
+ |
|
|
+ |
|
ООО "Трагус" |
|
|
+ |
|
|
|
|
ООО "МРТ Севастополь" |
|
|
+ |
|
+ |
+ |
|
ООО "Таврика" |
|
|
+ |
|
+ |
+ |
|
ООО "Мастерская семейного здоровья" |
|
|
+ |
|
|
|
|
Федеральное государственное автономное образовательное учреждение высшего образования "Крымский федеральный университет имени В.И. Вернадского" |
|
|
|
|
+ |
|
|
ООО "Научно-Методический центр клинической лабораторной диагностики Ситилаб" |
|
|
|
|
+ |
|
|
ООО "ВитаЛаб" |
|
|
|
|
+ |
|
|
ООО "Научно-производственная фирма "Хеликс" |
|
|
|
|
+ |
|
|
ООО "Медицинский центр "Анатомия здоровья" |
|
|
+ |
|
|
|
|
ООО "Нефролайн-Сев" |
|
|
+ |
|
|
|
|
ООО "БАКВОС" |
|
|
+ |
|
|
|
|
* Подушевому нормативу
финансирования на прикрепившихся лиц -
по подушевому нормативу финансирования
на прикрепившихся лиц (за исключением
расходов на проведение компьютерной
томографии, магнитно-резонансной
томографии, ультразвукового
исследования сердечно-сосудистой
системы, эндоскопических
диагностических исследований,
молекулярно-генетических исследований и
патолого-анатомических исследований
биопсийного (операционного) материала,
тестирования на выявление новой
коронавирусной инфекции (COVID-19),
профилактических медицинских осмотров и
диспансеризации, в том числе углубленной
диспансеризации, а также средств на
оплату диспансерного наблюдения и
финансовое обеспечение фельдшерских,
фельдшерско-акушерских пунктов) с учетом
показателей результативности
деятельности медицинской организации
(включая показатели объема медицинской
помощи), в том числе с включением
расходов на медицинскую помощь,
оказываемую в иных медицинских
организациях (за единицу объема
медицинской помощи).
Таблица N 7.2
В условиях круглосуточного стационара,
дневного стационара, скорой медицинской
помощи
Наименование медицинской организации |
Круглосуточный стационар |
Дневной стационар |
Скорая медицинская помощь | ||
|
за случай (законченный случай) лечения заболевания, включенного в соответствующую группу заболеваний, состояний (КСГ) |
за прерванный случай оказания медпомощи |
за случай (законченный случай) лечения заболевания, включенного в соответствующую группу заболеваний, состояний (КСГ) |
за прерванный случай оказания медпомощи |
по подушевому нормативу финансирования |
ГБУЗС "Городская больница N 1 имени Н.И. Пирогова" |
+ |
+ |
+ |
+ |
|
ГБУЗС "Городская больница N 4" |
+ |
+ |
+ |
+ |
|
ГБУЗС "Городская больница N 5 - Центр охраны здоровья матери и ребенка" |
+ |
+ |
+ |
+ |
|
ГБУЗС "Севастопольская городская больница N 9" |
+ |
+ |
+ |
+ |
|
ГБУЗС "Городская инфекционная больница" |
+ |
+ |
+ |
+ |
|
ГБУЗС "Севастопольский городской онкологический диспансер имени А.А. Задорожного" |
+ |
+ |
+ |
+ |
|
ГБУЗС "Кожно-венерологический диспансер" |
+ |
+ |
+ |
+ |
|
ГБУЗС "Центр экстренной медицинской помощи и медицины катастроф" |
|
|
|
|
+ |
ФГБУ "1472 Военно-морской клинический госпиталь" Минобороны России |
+ |
+ |
|
|
|
Черноморское высшее военно-морское училище имени П.С. Нахимова |
|
|
+ |
+ |
|
ГАУЗРК "РБВЛ "Черные воды" |
+ |
+ |
|
|
|
ООО "МЦ "Оптика-хирургия" |
|
|
+ |
+ |
|
ООО "Клиника Бонус" |
+ |
+ |
+ |
+ |
|
ООО "Центр клинической онкологии и гематологии" |
+ |
+ |
+ |
+ |
|
ООО "Эко центр" |
|
|
+ |
+ |
|
ООО "Клиника Генезис" |
+ |
+ |
+ |
+ |
|
ООО "Ферти-Лайн" |
|
|
+ |
+ |
|
ООО "Центр ЭКО" |
|
|
+ |
+ |
|
ООО "Аймед Плюс" |
|
|
+ |
+ |
|
Медицинское частное учреждение дополнительного профессионального образования "Клиника Медекс Севастополь" |
+ |
+ |
+ |
+ |
|
Приложение N 2
к дополнительному соглашению
от 28.11.2023 N 8
к Тарифному соглашению
в системе ОМС города Севастополя
от 23.12.2022
Приложение N 9
к Тарифному соглашению
в системе ОМС города Севастополя
от 23.12.2022
РАСЧЕТ СРЕДНИХ РАЗМЕРОВ ФИНАНСОВОГО
ОБЕСПЕЧЕНИЯ МЕДИЦИНСКОЙ ПОМОЩИ ПО
УСЛОВИЯМ ОКАЗАНИЯ МЕДИЦИНСКИМИ
ОРГАНИЗАЦИЯМИ, УЧАСТВУЮЩИМИ В
РЕАЛИЗАЦИИ ТЕРРИТОРИАЛЬНОЙ ПРОГРАММЫ
ОМС ГОРОДА СЕВАСТОПОЛЯ, В РАСЧЕТЕ НА ОДНО
ЗАСТРАХОВАННОЕ ЛИЦО, ОПРЕДЕЛЕННЫЙ НА
ОСНОВЕ НОРМАТИВОВ ОБЪЕМОВ МЕДИЦИНСКОЙ
ПОМОЩИ И ФИНАНСОВЫХ ЗАТРАТ НА ЕДИНИЦУ
ОБЪЕМА МЕДИЦИНСКОЙ ПОМОЩИ,
УСТАНОВЛЕННЫХ ТЕРРИТОРИАЛЬНОЙ
ПРОГРАММОЙ ОБЯЗАТЕЛЬНОГО МЕДИЦИНСКОГО
СТРАХОВАНИЯ
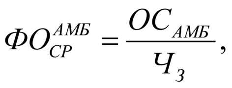
1. Средний размер финансового
обеспечения медицинской помощи,
оказанной в амбулаторных условиях
медицинскими организациями,
участвующими в реализации
территориальной программы ОМС города
Севастополя, в расчете на одно
застрахованное лицо определяется по
следующей формуле:

ОСАМБ |
объем средств на оплату медицинской помощи в амбулаторных условиях для медицинских организаций, участвующих в реализации территориальной программы обязательного медицинского страхования данного субъекта Российской Федерации, рублей |
ЧЗ |
численность застрахованного населения субъекта Российской Федерации, человек |
ОСАМБ = (НоПМО x НфзПМО + НоДИСП x НфзДИСП +
НоИЦ x НфзИЦ +
+ НоОЗ x НфзОЗ + НоНЕОТЛ x НфзНЕОТЛ + НоМР x
НфзМР + НоДН x
x НфзДН) x ЧЗ - ОСМТР,
где:
НоПМО |
средний норматив объема медицинской помощи, оказываемой в амбулаторных условиях, для проведения профилактических медицинских осмотров, установленный Территориальной программой государственных гарантий в части базовой программы, посещений, - 0,26559 |
НоДИСП |
средний норматив объема медицинской помощи, оказываемой в амбулаторных условиях, для проведения диспансеризации, установленный Территориальной программой государственных гарантий в части базовой программы, посещений, - 0,331413 |
НоИЦ |
средний норматив объема медицинской помощи, оказываемой в амбулаторных условиях, для посещений с иными целями, установленный Территориальной программой государственных гарантий в части базовой программы, посещений, - 2,133264 |
НоОЗ |
средний норматив объема медицинской помощи, оказываемой в амбулаторных условиях в связи с заболеваниями, установленный Территориальной программой государственных гарантий в части базовой программы, обращений, - 1,7877 |
НоНЕОТЛ |
средний норматив объема медицинской помощи, оказываемой в амбулаторных условиях в неотложной форме, установленный Территориальной программой государственных гарантий в части базовой программы, посещений, - 0,54 |
НоМР |
средний норматив объема медицинской помощи, оказываемой в амбулаторных условиях, для обращения по заболеванию при оказании медицинской помощи по профилю "Медицинская реабилитация", установленный Территориальной программой государственных гарантий в части базовой программы, комплексных посещений, - 0,002601 |
НоДН |
средний норматив объема медицинской помощи, оказываемой в амбулаторных условиях, для диспансерного наблюдения, установленный Территориальной программой государственных гарантий в части базовой программы, комплексных посещений, - 0,261736 |
НфзПМО |
средний норматив финансовых затрат на единицу объема медицинской помощи, оказываемой в амбулаторных условиях, для проведения профилактических медицинских осмотров, установленный Территориальной программой государственных гарантий в части базовой программы, рублей, - 2051,50 |
НфзДИСП |
средний норматив финансовых затрат на единицу объема медицинской помощи, оказываемой в амбулаторных условиях, для проведения диспансеризации, установленный Территориальной программой государственных гарантий в части базовой программы, рублей, - 2507,20 |
НфзИЦ |
средний норматив финансовых затрат на единицу объема медицинской помощи, оказываемой в амбулаторных условиях, для посещений с иными целями, установленный Территориальной программой государственных гарантий в части базовой программы, рублей, - 355,20 |
НфзОЗ |
средний норматив финансовых затрат на единицу объема медицинской помощи, оказываемой в амбулаторных условиях в связи с заболеваниями, установленный Территориальной программой государственных гарантий в части базовой программы, рублей, - 1727,10 |
НфзНЕОТЛ |
средний норматив финансовых затрат на единицу объема медицинской помощи, оказываемой в амбулаторных условиях в неотложной форме, установленный Территориальной программой государственных гарантий в части базовой программы, рублей, - 770,0 |
НфзМР |
средний норматив финансовых затрат на единицу объема медицинской помощи, оказываемой в амбулаторных условиях, для обращения по заболеванию при оказании медицинской помощи по профилю "Медицинская реабилитация", установленный Территориальной программой государственных гарантий в части базовой программы, рублей, - 23913,50 |
НфзДН |
средний норматив финансовых затрат на единицу объема медицинской помощи, оказываемой в амбулаторных условиях, для диспансерного наблюдения, установленный Территориальной программой государственных гарантий в части базовой программы, рублей, - 1268,60 |
ОСМТР |
объем средств, направляемых на оплату медицинской помощи, оказываемой в амбулаторных условиях и оплачиваемой за единицу объема медицинской помощи застрахованным лицам за пределами субъекта Российской Федерации, на территории которого выдан полис обязательного медицинского страхования, рублей, - 65577181,90 |
2. Средний размер финансового
обеспечения медицинской помощи,
оказываемой медицинскими организациями
в стационарных условиях, участвующими в
реализации территориальной программы
ОМС города Севастополя, в расчете на одно
застрахованное лицо определяется по
следующей формуле:
где:
НОгосп - средний норматив объема
специализированной медицинской помощи в
стационарных условиях, установленный
территориальной программой
государственных гарантий бесплатного
оказания гражданам медицинской помощи в
части базовой программы ОМС, - 0,164585
случая госпитализации;
НФгосп - средний норматив
финансовых затрат на единицу объема
медицинской помощи, оказываемой в
стационарных условиях, установленный
территориальной программой
государственных гарантий бесплатного
оказания гражданам медицинской помощи в
части базовой программы ОМС, - 39951,50
рубля;
ОСМТР - размер средств,
направляемых на оплату медицинской
помощи, оказываемой в стационарных
условиях застрахованным лицам за
пределами субъекта Российской
Федерации, на территории которого выдан
полис обязательного медицинского
страхования, - 321364600,00 рубля;
Чз - численность застрахованного
населения субъекта Российской Федерации
- 462051 человек.
ФОстац = 5879,88 рубля.
3. Средний размер финансового
обеспечения медицинской помощи,
оказываемой медицинскими организациями
в условиях дневного стационара,
участвующими в реализации
территориальной программы ОМС города
Севастополя, в расчете на одно
застрахованное лицо определяется по
следующей формуле:
где:
НОсл - средний норматив объема
медицинской помощи в условиях дневных
стационаров, установленный
территориальной программой
государственных гарантий бесплатного
оказания гражданам медицинской помощи в
части базовой программы ОМС, - 0,067863
случая лечения;
НФсл - средний норматив финансовых
затрат на единицу объема медицинской
помощи, оказываемой в условиях дневных
стационаров, установленный
территориальной программой
государственных гарантий бесплатного
оказания гражданам медицинской помощи в
части базовой программы ОМС, - 25048,50
рубля;
ОСМТР - размер средств,
направляемых на оплату медицинской
помощи, оказываемой в условиях дневных
стационаров застрахованным лицам за
пределами субъекта Российской
Федерации, на территории которого выдан
полис обязательного медицинского
страхования, - 82401700,00 рубля;
Чз - численность застрахованного
населения субъекта Российской Федерации
- 462051 человек.
ФОдн = 1521,53 рубля.
4. Средний размер финансового
обеспечения скорой медицинской помощи,
оказываемой вне медицинской организации
медицинскими организациями,
участвующими в реализации
территориальной программы ОМС города
Севастополя, в расчете на одно
застрахованное лицо определяется по
следующей формуле:
где:
НОвыз - средний норматив объема
скорой медицинской помощи, оказываемой
вне медицинской организации,
установленный территориальной
программой государственных гарантий
бесплатного оказания гражданам
медицинской помощи в части базовой
программы ОМС, - 0,29 вызова;
НФвыз - средний норматив финансовых
затрат на единицу объема скорой
медицинской помощи, оказываемой вне
медицинской организации, установленный
территориальной программой
государственных гарантий бесплатного
оказания гражданам медицинской помощи в
части базовой программы ОМС, - 3288,90 рубля;
ОСМТР - размер средств,
направляемых на оплату скорой
медицинской помощи, оказываемой вне
медицинской организации застрахованным
лицам за пределами субъекта Российской
Федерации, на территории которого выдан
полис обязательного медицинского
страхования, - 15435521,70 рубля;
Чз - численность застрахованного
населения субъекта Российской Федерации
- 462051 человек.
ФОсмп = 918,57 рубля.
Приложение N 3
к дополнительному соглашению
от 28.11.2023 N 8
к Тарифному соглашению
в системе ОМС города Севастополя
от 23.12.2022
Приложение N 21
к Тарифному соглашению
в системе ОМС города Севастополя
от 23.12.2022
1. Основные параметры оплаты скорой
медицинской помощи
На основе нормативов объемов
медицинской помощи и финансовых затрат
на единицу объема медицинской помощи,
установленных ТП ОМС, определяется
размер среднего подушевого норматива
финансирования скорой медицинской
помощи, оказываемой вне медицинской
организации, в расчете на одно
застрахованное лицо по следующей
формуле:
где:
ОССМП |
объем средств на оплату скорой медицинской помощи, оказываемой вне медицинской организации, медицинскими организациями, участвующими в реализации ТП ОМС города Севастополя, рублей |
ЧЗ |
численность застрахованного населения города Севастополя, человек |
ОССМП = (НоСМП x НфзСМП) x ЧЗ - ОСМТР,
где:
НоСМП |
средний норматив объема скорой медицинской помощи вне медицинской организации, установленный ТПГГ в части базовой программы, вызовов |
НфзСМП |
средний норматив финансовых затрат на единицу объема скорой медицинской помощи вне медицинской организации, установленный ТПГГ в части базовой программы, рублей |
ОСМТР |
объем средств, направляемых на оплату скорой медицинской помощи вне медицинской организации, оказываемой застрахованным лицам за пределами субъекта Российской Федерации, на территории которого выдан полис обязательного медицинского страхования, за вызов, рублей |
ЧЗ |
численность застрахованного населения города Севастополя, человек |
1.1. Определение базового подушевого
норматива финансирования скорой
медицинской помощи
Базовый подушевой норматив
финансирования скорой медицинской
помощи, оказываемой вне медицинской
организации, рассчитывается исходя из
объема средств на оплату скорой
медицинской помощи, оказываемой вне
медицинской организации, медицинскими
организациями, участвующими в
реализации ТП ОМС города Севастополя, по
следующей формуле:
где:
ПнБАЗ |
базовый подушевой норматив финансирования скорой медицинской помощи вне медицинской организации, рублей |
ОСВ |
объем средств, направляемых на оплату скорой медицинской помощи вне медицинской организации застрахованным в городе Севастополе лицам, за вызов, рублей |
КД |
единый коэффициент дифференциации субъекта Российской Федерации, рассчитанный в соответствии с Постановлением N 462 |
1.2. Определение дифференцированного
подушевого норматива финансирования
скорой медицинской помощи
На основе базового подушевого
норматива финансирования скорой
медицинской помощи, оказываемой вне
медицинской организации, с учетом
объективных критериев дифференциации
стоимости оказания медицинской помощи в
городе Севастополе, рассчитывается
дифференцированный подушевой норматив
финансирования скорой медицинской
помощи для медицинских организаций по
следующей формуле:
где:
ДПнi |
дифференцированный подушевой норматив финансирования скорой медицинской помощи для i-й медицинской организации, рублей |
КДi |
коэффициент дифференциации i-й медицинской организации |
|
половозрастной коэффициент дифференциации подушевого норматива, рассчитанный для соответствующей медицинской организации |
|
коэффициент уровня расходов медицинских организаций (особенности плотности населения, транспортной доступности, климатических и географических особенностей, размер медицинской организации) для i-й медицинской организации (при необходимости) |
|
коэффициент достижения целевых показателей уровня заработной платы медицинских работников, установленных "дорожными картами" развития здравоохранения в субъекте Российской Федерации, для i-й медицинской организации (при необходимости) |
В связи с тем, что на территории
города Севастополя осуществляет
деятельность одна медицинская
организация скорой медицинской помощи,
оказываемой вне медицинской
организации, половозрастной коэффициент
дифференциации устанавливается в
размере 1.
В целях приведения в соответствие
объема средств, рассчитанного по
дифференцированным подушевым
нормативам финансирования скорой
медицинской помощи вне медицинской
организации, к общему объему средств на
финансирование медицинских организаций
рассчитывается поправочный коэффициент
(ПК) по формуле:
где:
|
численность застрахованных лиц, обслуживаемых i-й медицинской организацией, человек |
Фактический дифференцированный
подушевой норматив финансирования
скорой медицинской помощи вне
медицинской организации (ФДПн)
рассчитывается по формуле:
ФДПнi = ДПнi x ПК,
где:
ФДПнi |
фактический дифференцированный подушевой норматив финансирования скорой медицинской помощи для i-й медицинской организации, рублей |
1.3. Определение размера финансового
обеспечения медицинской организации,
оказывающей скорую медицинскую помощь
вне медицинской организации
Размер финансового обеспечения
медицинской организации, оказывающей
скорую медицинскую помощь вне
медицинской организации, определяется
исходя из значения, дифференцированного
подушевого норматива, численности
обслуживаемого населения, а также
объемов медицинской помощи, оплата
которых осуществляется за вызов, по
следующей формуле:
ФОСМП = ФДПнi x ЧзПР + ОСВ,
где:
ФОСМП |
размер финансового обеспечения медицинской организации, оказывающей скорую медицинскую помощь вне медицинской организации, рублей |
ЧзПР |
численность застрахованных лиц, обслуживаемых данной медицинской организацией, человек |
Таблица 1
Базовый размер месячного подушевого норматива финансирования скорой медицинской помощи (Пнбаз)
N п/п |
Наименование медицинской организации |
Размер норматива (рублей) |
1 |
Государственное бюджетное учреждение здравоохранения Севастополя "Центр экстренной медицинской помощи и медицины катастроф" |
77,59 |
На территории города Севастополя
одна медицинская организация,
оказывающая скорую медицинскую помощь
вне медицинской организации, в связи с
чем половозрастной коэффициент
дифференциации, коэффициент специфики
устанавливается в размере 1.
Объемы средств, направляемых на
оплату скорой медицинской помощи вне
медицинской организации застрахованным
в городе Севастополе лицам за вызов, не
утверждены Комиссией по разработке
территориальной программы ОМС, поэтому
, Пнбаз и ДПн равны между собой.
Фактический размер подушевого
норматива финансирования скорой
медицинской помощи рассчитывается
ежемесячно Территориальным фондом
обязательного медицинского страхования
города Севастополя по следующей
формуле:
где:
Чз - численность застрахованных лиц
на первое число месяца, следующего за
отчетным.
Таблица 2
Тарифы на оплату вызова бригады скорой
медицинской помощи
N п/п |
Медицинская услуга |
Тариф (рублей) без учета коэффициента дифференциации |
Коэффициент для определения стоимости |
Тариф (рублей) с учетом коэффициента дифференциации |
1 |
Вызов бригады скорой медицинской помощи |
3166,25 |
0,9627 |
3166,25 |
2 |
Вызов бригады скорой медицинской помощи с проведением тромболитической терапии с применением проурокиназы |
26663,25 |
8,1070 |
26663,25 |
3 |
Вызов бригады скорой медицинской помощи с проведением тромболитической терапии с применением препарата рекомбинантный белок, содержащий аминокислотную последовательность стафилокиназы |
52459,25 |
15,9504 |
52459,25 |
Размер базового норматива
финансовых затрат на единицу объема
медицинской помощи на 1 вызов скорой
медицинской помощи - 3288,90 рубля.




