Дополнительное соглашение к Тарифному
соглашению в сфере обязательного
медицинского страхования на территории
Республики Северная Осетия-Алания от 30
декабря 2021 года
от 21 октября 2022 года
Владикавказ
Правительство Республики Северная
Осетия-Алания в лице Заместителя
Председателя Правительства Республики
Северная Осетия-Алания Тугановой Ларисы
Александровны, Министра здравоохранения
Республики Северная Осетия-Алания
Тебиева Сослана Аркадьевича,
Территориальный фонд обязательного
медицинского страхования Республики
Северная Осетия-Алания в лице директора
Дзагоева Алана Руслановича, страховые
медицинские организации в лице
заместителя директора филиала общества
с ограниченной ответственностью
"Капитал Медицинское Страхование" в
Республике Северная Осетия-Алания
Гудиевой Зарифы Деулетовны, медицинские
профессиональные некоммерческие
организации и их ассоциации в лице
председателя региональной общественной
организации "Ассоциация медицинских
работников" Республики Северная
Осетия-Алания Астаховой Замиры
Татарбековны, профессиональные союзы
медицинских работников в лице
председателя Северо-Осетинской
республиканской организации профсоюза
работников здравоохранения Российской
Федерации Торчинова Николая
Султановича, вместе именуемые Сторонами,
в соответствии со статьей 30 Федерального
закона от 29 ноября 2010 года N 326-ФЗ "Об
обязательном медицинском страховании в
Российской Федерации", Приказом
Министерства здравоохранения
Российской Федерации от 29 декабря 2020
года N 1397н "Об утверждении Требований к
структуре и содержанию тарифного
соглашения", Методическими
рекомендациями по способам оплаты
медицинской помощи за счет средств
обязательного медицинского страхования,
утвержденными Министерством
здравоохранения Российской Федерации и
Федеральным фондом обязательного
медицинского страхования 2 февраля 2022
года N 11-7/И/2-1619 и N 00-10-26-2-06/750 (в редакции от
15 августа 2022 года), а также во исполнение
решения комиссии по разработке
территориальной программы
обязательного медицинского страхования
Республики Северная Осетия-Алания от 21
октября 2022 года (протокол N 12) заключили
настоящее дополнительное соглашение к
Тарифному соглашению в сфере
обязательного медицинского страхования
на территории Республики Северная
Осетия-Алания от 30 декабря 2021 года о
нижеследующем:
1. в разделе 2 "Способы оплаты
медицинской помощи, применяемые на
территории Республики Северная
Осетия-Алания" пункт 2.3.7.2 после абзаца
двенадцатого дополнить абзацами
следующего содержания:
"Выплаты по итогам второго
полугодия (года) распределяются на
основе сведений об оказанной
медицинской помощи за период декабрь
предыдущего года - ноябрь текущего года
(включительно) и включаются в счет за
декабрь.
Объем средств, направляемых на
выплаты медицинским организациям в
случае достижения ими значений
показателей результативности
деятельности, за первое полугодие
составляет до 30% от общего объема
средств, направляемых на выплаты
медицинским организациям в случае
достижения ими значений показателей
результативности деятельности,
запланированного на год.
Оставшийся объем средств,
направляемых на выплаты медицинским
организациям в случае достижения ими
значений показателей результативности
деятельности, а также средства, не
распределенные между медицинскими
организациями по итогам первого
полугодия, распределяются между
медицинскими организациями на основе
сведений об оказанной медицинской
помощи за период декабрь предыдущего
года - ноябрь текущего года
(включительно).";
2. приложение N 4 "Перечень
показателей результативности
деятельности медицинских организаций,
применяемых при осуществлении выплат
медицинским организациям, имеющим
прикрепившихся лиц" изложить в редакции
приложения N 1 к настоящему
дополнительному соглашению;
3. приложение N 36 "Средняя стоимость
законченного случая лечения в условиях
дневного стационара (базовая ставка)"
изложить в редакции приложения N 2 к
настоящему дополнительному соглашению;
4. приложение N 37 "Коэффициенты
подуровня медицинских организаций в
условиях дневного стационара" изложить в
редакции приложения N 3 к настоящему
дополнительному соглашению;
5. в приложении N 38 "Перечень КСГ
заболеваний с коэффициентами
относительной затратоемкости по КСГ, к
которой отнесен конкретный случай
лечения в условиях дневного стационара,
коэффициенты специфики и средние сроки
лечения":
а) строку
"
37 |
ds13.001 |
Болезни системы кровообращения, взрослые |
0,8 |
|
|
"
изложить в следующей редакции:
"
37 |
ds13.001 |
Болезни системы кровообращения, взрослые |
0,8 |
1,4 |
|
";
б) строку
"
136 |
ds31.002 |
Операции на коже, подкожной клетчатке, придатках кожи (уровень 1) |
0,75 |
|
|
"
изложить в следующей редакции:
"
136 |
ds31.002 |
Операции на коже, подкожной клетчатке, придатках кожи (уровень 1) |
0,75 |
0,8 |
|
";
6. приложение N 46 "Перечень оснований
для отказа в оплате медицинской помощи и
значения коэффициентов для определения
размера неоплаты или неполной оплаты
затрат медицинской организации на
оказание медицинской помощи и размера
штрафа за неоказание, несвоевременное
оказание либо оказание медицинской
помощи ненадлежащего качества" изложить
в редакции приложения N 4 к настоящему
дополнительному соглашению.
Настоящее дополнительное
соглашение распространяет свое действие
на правоотношения, возникшие с 26
сентября 2022 года.
Заместитель Председателя
Правительства
Республики Северная Осетия-Алания
Л.А.ТУГАНОВА
Министр здравоохранения
Республики Северная Осетия-Алания
С.А.ТЕБИЕВ
Директор Территориального фонда
обязательного медицинского
страхования
Республики Северная Осетия-Алания
А.Р.ДЗАГОЕВ
Председатель
региональной общественной организации
"Ассоциация медицинских работников"
Республики Северная Осетия-Алания
З.Т.АСТАХОВА
Заместитель директора филиала
общества
с ограниченной ответственностью
"Капитал Медицинское Страхование"
в Республике Северная Осетия-Алания
З.Д.ГУДИЕВА
Председатель Северо-Осетинской
республиканской организации
профсоюза работников здравоохранения
Российской Федерации
Н.С.ТОРЧИНОВ
Приложение N 1
к дополнительному соглашению
от 21 октября 2022 года
"Приложение N 4 (4.1)
к Тарифному соглашению в сфере
обязательного медицинского
страхования на территории
Республики Северная Осетия-Алания
от 30 декабря 2021 года
ПЕРЕЧЕНЬ ПОКАЗАТЕЛЕЙ РЕЗУЛЬТАТИВНОСТИ
ДЕЯТЕЛЬНОСТИ МЕДИЦИНСКИХ ОРГАНИЗАЦИЙ,
ПРИМЕНЯЕМЫХ ПРИ ОСУЩЕСТВЛЕНИИ ВЫПЛАТ
МЕДИЦИНСКИМ ОРГАНИЗАЦИЯМ, ИМЕЮЩИМ
ПРИКРЕПИВШИХСЯ ЛИЦ
N |
Наименование показателя |
Предположительный результат |
Индикаторы выполнения показателя <***> |
Макс. балл <**> |
Блок 1. Взрослое население (в возрасте 18 лет и старше) |
25 | |||
Оценка эффективности профилактических мероприятий | ||||
1 |
Доля врачебных посещений с профилактической целью за период, от общего числа посещений за период (включая посещения на дому) |
Прирост показателя за период по отношению к показателю за предыдущий период |
Прирост < 3% - 0 баллов; Прирост >= 3% - 0,5 балла; Прирост >= 7% - 1 балл |
1 |
2 |
Доля взрослых пациентов с болезнями системы кровообращения, выявленными впервые при профилактических медицинских осмотрах и диспансеризации за период, от общего числа взрослых пациентов с болезнями системы кровообращения с впервые в жизни установленным диагнозом за период |
Прирост показателя за период по отношению к показателю за предыдущий период |
Прирост < 5% - 0 баллов; Прирост >= 5% - 1 балл; Прирост >= 10% - 2 балла |
2 |
3 |
Доля взрослых пациентов с установленным диагнозом злокачественное новообразование, выявленным впервые при профилактических медицинских осмотрах и диспансеризации за период, от общего числа взрослых пациентов с впервые в жизни установленным диагнозом злокачественное новообразование за период |
Прирост показателя за период по отношению к показателю за предыдущий период |
Прирост < 5% - 0 баллов; Прирост >= 5% - 0,5 балла; Прирост >= 10% - 1 балл |
1 |
4 |
Доля взрослых пациентов с установленным диагнозом хроническая обструктивная болезнь легких, выявленным впервые при профилактических медицинских осмотрах и диспансеризации за период, от общего числа взрослых пациентов с впервые в жизни установленным диагнозом хроническая обструктивная легочная болезнь за период |
Прирост показателя за период по отношению к показателю за предыдущий период |
Прирост < 5% - 0 баллов; Прирост >= 5% - 0,5 балла; Прирост >= 10% - 1 балл |
1 |
5 |
Доля взрослых пациентов с установленным диагнозом сахарный диабет, выявленным впервые при профилактических медицинских осмотрах и диспансеризации за период, от общего числа взрослых пациентов с впервые в жизни установленным диагнозом сахарный диабет за период |
Прирост показателя за период по отношению к показателю за предыдущий период |
Прирост < 5% - 0 баллов; Прирост >= 5% - 0,5 балла; Прирост >= 10% - 1 балл |
1 |
6 |
Выполнение плана вакцинации взрослых граждан против новой коронавирусной инфекции (COVID-19) по эпидемиологическим показаниям за период |
Достижение планового показателя |
100% плана или более |
2 |
Оценка эффективности диспансерного наблюдения | ||||
7 |
Доля взрослых пациентов с болезнями системы кровообращения <*>, имеющих высокий риск преждевременной смерти, состоящих под диспансерным наблюдением, от общего числа взрослых пациентов с болезнями системы кровообращения <*>, имеющих высокий риск преждевременной смерти, за период |
Прирост показателя за период по отношению к показателю за предыдущий период |
Прирост < 3% - 0 баллов; Прирост >= 3% - 1 балл; Прирост >= 7% - 2 балла |
2 |
8 |
Число взрослых пациентов с болезнями системы кровообращения <*>, имеющих высокий риск преждевременной смерти, которым за период оказана медицинская помощь в неотложной форме и (или) скорая медицинская помощь, от общего числа взрослых пациентов с болезнями системы кровообращения <*>, имеющих высокий риск преждевременной смерти, за период |
Уменьшение показателя за период по отношению к показателю в предыдущем периоде |
Уменьшение < 5% - 0 баллов; Уменьшение >= 5% - 0,5 балла; Уменьшение >= 10% - 1 балл |
1 |
9 |
Доля взрослых пациентов с болезнями системы кровообращения, в отношении которых установлено диспансерное наблюдение за период, от общего числа взрослых пациентов с впервые в жизни установленным диагнозом болезни системы кровообращения за период |
Достижение планового показателя |
100% плана или более |
1 |
10 |
Доля взрослых пациентов с установленным диагнозом хроническая обструктивная болезнь легких, в отношении которых установлено диспансерное наблюдение за период, от общего числа взрослых пациентов с впервые в жизни установленным диагнозом хроническая обструктивная болезнь легких за период |
Достижение планового показателя |
100% плана или более |
1 |
11 |
Доля взрослых пациентов с установленным диагнозом сахарный диабет, в отношении которых установлено диспансерное наблюдение за период, от общего числа взрослых пациентов с впервые в жизни установленным диагнозом сахарный диабет за период |
Достижение планового показателя |
100% плана или более |
2 |
12 |
Доля взрослых пациентов, госпитализированных за период по экстренным показаниям в связи с обострением (декомпенсацией) состояний, по поводу которых пациент находится под диспансерным наблюдением, от общего числа взрослых пациентов, находящихся под диспансерным наблюдением за период |
Уменьшение показателя за период по отношению к показателю в предыдущем периоде |
Уменьшение < 5% - 0 баллов; Уменьшение >= 5% - 0,5 балла; Уменьшение >= 10% - 1 балл |
1 |
13 |
Доля взрослых пациентов, повторно госпитализированных за период по причине заболеваний сердечно-сосудистой системы или их осложнений в течение года с момента предыдущей госпитализации, от общего числа взрослых пациентов, госпитализированных за период по причине заболеваний сердечно-сосудистой системы или их осложнений |
Уменьшение показателя за период по отношению к показателю в предыдущем периоде |
Уменьшение < 3% - 0 баллов; Уменьшение >= 3% - 1 балл; Уменьшение >= 7% - 2 балла |
2 |
14 |
Доля взрослых пациентов, находящихся под диспансерным наблюдением по поводу сахарного диабета, у которых впервые зарегистрированы осложнения за период (диабетическая ретинопатия, диабетическая стопа), от общего числа взрослых пациентов, находящихся под диспансерным наблюдением по поводу сахарного диабета за период |
Уменьшение показателя за период по отношению к показателю в предыдущем периоде |
Уменьшение < 5% - 0 баллов; Уменьшение >= 5% - 0,5 балла; Уменьшение >= 10% - 1 балл |
1 |
Оценка смертности | ||||
15 |
Смертность прикрепленного населения в возрасте от 30 до 69 лет за период |
Уменьшение показателя за период по отношению к показателю в предыдущем периоде (среднее значение коэффициента смертности за 2019, 2020, 2021 годы) |
Увеличение показателя смертности - 0 баллов: Без динамики или уменьшение < 2% - 0,5 балла; Уменьшение от 2 до 5% - 1 балл; Уменьшение от 5 до 10% - 2 балла; Уменьшение >= 10% - 3 балла |
3 |
16 |
Число умерших за период, находящихся под диспансерным наблюдением, от общего числа взрослых пациентов, находящихся под диспансерным наблюдением |
Уменьшение показателя за период по отношению к показателю в предыдущем периоде |
Уменьшение < 3% - 0 баллов; Уменьшение >= 3% - 1,5 балла; Уменьшение >= 7% - 3 балла |
3 |
Блок 2. Детское население (от 0 до 17 лет включительно) |
10 | |||
Оценка эффективности профилактических мероприятий | ||||
17 |
Охват вакцинацией детей в рамках Национального календаря прививок |
Достижение планового показателя |
100% плана или более |
1 |
18 |
Доля детей, в отношении которых установлено диспансерное наблюдение по поводу болезней костно-мышечной системы и соединительной ткани за период, от общего числа детей с впервые в жизни установленными диагнозами болезней костно-мышечной системы и соединительной ткани за период |
Достижение планового показателя |
100% от числа подлежащих диспансерному наблюдению |
1 |
19 |
Доля детей, в отношении которых установлено диспансерное наблюдение по поводу болезней глаза и его придаточного аппарата за период, от общего числа детей с впервые в жизни установленными диагнозами болезней глаза и его придаточного аппарата за период |
Достижение планового показателя |
100% от числа подлежащих диспансерному наблюдению |
1 |
20 |
Доля детей, в отношении которых установлено диспансерное наблюдение по поводу болезней органов пищеварения за период, от общего числа детей с впервые в жизни установленными диагнозами болезней органов пищеварения за период |
Достижение планового показателя |
100% от числа подлежащих диспансерному наблюдению |
1 |
21 |
Доля детей, в отношении которых установлено диспансерное наблюдение по поводу болезней системы кровообращения за период, от общего числа детей с впервые в жизни установленными диагнозами болезней системы кровообращения за период |
Достижение планового показателя |
100% от числа подлежащих диспансерному наблюдению |
2 |
22 |
Доля детей, в отношении которых установлено диспансерное наблюдение по поводу болезней эндокринной системы, расстройства питания и нарушения обмена веществ за период, от общего числа детей с впервые в жизни установленными диагнозами болезней эндокринной системы, расстройства питания и нарушения обмена веществ за период |
Достижение планового показателя |
100% от числа подлежащих диспансерному наблюдению |
1 |
Оценка смертности | ||||
23 |
Смертность детей в возрасте 0 - 17 лет за период |
Уменьшение показателя за период по отношению к показателю в предыдущем периоде |
Увеличение показателя смертности - 0 баллов; Без динамики или уменьшение до 2% - 0,5 балла; Уменьшение от 2 до 5% - 1 балл; Уменьшение от 5 до 10% - 2 балла; Уменьшение >= 10% - 3 балла; Значение в текущем и предыдущем периодах равно нулю - 1 балл |
3 |
Блок 3. Оказание акушерско-гинекологической помощи |
6 | |||
Оценка эффективности профилактических мероприятий | ||||
24 |
Доля женщин, отказавшихся от искусственного прерывания беременности, от числа женщин, прошедших доабортное консультирование за период |
Прирост показателя за период по отношению к показателю за предыдущий период |
Прирост < 5% - 0 баллов; Прирост >= 5% - 0,5 балла; Прирост >= 10% - 1 балл |
1 |
25 |
Доля беременных женщин, вакцинированных против новой коронавирусной инфекции (COVID-19) за период, от числа женщин, состоящих на учете по беременности и родам на начало периода |
Достижение планового показателя |
100% плана или более |
1 |
26 |
Доля женщин с установленным диагнозом злокачественное новообразование шейки матки, выявленным впервые при диспансеризации, от общего числа женщин с установленным диагнозом злокачественное новообразование шейки матки за период |
Прирост показателя за период по отношению к показателю за предыдущий период |
Прирост < 5% - 0 баллов; Прирост >= 5% - 0,5 балла; Прирост >= 10% - 1 балл |
1 |
27 |
Доля женщин с установленным диагнозом злокачественное новообразование молочной железы, выявленным впервые при диспансеризации, от общего числа женщин с установленным диагнозом злокачественное новообразование молочной железы за период |
Прирост показателя за период по отношению к показателю за предыдущий период |
Прирост < 5% - 0 баллов; Прирост >= 5% - 0,5 балла; Прирост >= 10% - 1 балл |
1 |
28 |
Доля беременных женщин, прошедших скрининг в части оценки антенатального развития плода за период, от общего числа женщин, состоявших на учете по поводу беременности и родов за период |
Достижение планового показателя |
100% плана или более |
2 |
* по набору кодов Международной
статистической классификации болезней и
проблем, связанных со здоровьем,
десятого пересмотра (МКБ-10);
** выполненным считается показатель
со значением 0,5 и более балла.
К группам диагнозов,
обусловливающих высокий риск смерти,
относится любое сочетание сопутствующих
заболеваний и осложнений с основным
диагнозом, указанных в таблице:
Основной диагноз |
Сопутствующие заболевания |
Осложнение заболевания |
Ишемические болезни сердца I20 - I25 Гипертензивные болезни I10 - I11; I12 - I13 Цереброваскулярные болезни I60 - I69 |
Сахарный диабет E10 - E11 Хроническая обструктивная легочная болезнь J44.0 - J44.9 Хроническая болезнь почек, гипертензивная болезнь с поражением почек N18.1 - N18.9 |
Недостаточность сердечная I50.0 - I50.9 Нарушение ритма I48 - 49 Нарушения проводимости I44 - I45 Сердце легочное хроническое I27.9 Гипостатическая пневмония J18.2 Недостаточность почечная N18.9 Уремия N19 Гангрена R02 Недостаточность легочная J98.4 Эмфизема J43.9 |
Приложение N 4 (4.2)
к Тарифному соглашению в сфере
обязательного медицинского
страхования на территории
Республики Северная Осетия-Алания
от 30 декабря 2021 года
ПОРЯДОК ОЦЕНКИ ПОКАЗАТЕЛЕЙ
РЕЗУЛЬТАТИВНОСТИ ДЕЯТЕЛЬНОСТИ И
ОПРЕДЕЛЕНИЯ РАЗМЕРА ВЫПЛАТ ПО
РЕЗУЛЬТАТАМ ОЦЕНКИ ДОСТИЖЕНИЯ ЗНАЧЕНИЙ
ПОКАЗАТЕЛЕЙ РЕЗУЛЬТАТИВНОСТИ
ДЕЯТЕЛЬНОСТИ
Каждый показатель, включенный в
блок (приложение N 4 (4.1), оценивается в
баллах, которые суммируются. Методикой
предусмотрена максимально возможная
сумма баллов по каждому блоку, которая
составляет:
- 25 баллов для показателей блока 1;
- 10 баллов для показателей блока 2;
- 6 баллов для показателей блока 3.
В зависимости от результатов
деятельности медицинской организации по
каждому показателю определяется балл в
диапазоне от 0 до 3 баллов.
В случае, когда группа показателей
результативности одного из блоков
неприменима для конкретной медицинской
организации и (или) отчетного периода,
суммарный максимальный балл и итоговый
коэффициент для соответствующей
медицинской организации могут
рассчитываться без учета этой группы
показателей.
С учетом фактического выполнения
показателей медицинские организации
распределяются на три группы: I -
выполнившие до 50 процентов показателей,
II - от 50 до 70 процентов показателей, III -
свыше 70 процентов показателей.
Оценка достижения значений
показателей результативности
деятельности медицинских организаций
оформляется решением Комиссии, которое
доводится до сведения медицинских
организаций не позднее 25 числа месяца,
следующего за отчетным периодом.
Объем средств, направляемый в
медицинские организации по итогам
оценки достижения значений показателей
результативности деятельности,
складывается из двух частей:
1 часть - распределение 70 процентов
от объема средств с учетом показателей
результативности за соответствующий
период.
Указанные средства распределяются
среди медицинских организаций II и III
групп с учетом численности
прикрепленного населения.
где:
- объем средств, используемый при
распределении 70 процентов от объема
средств на стимулирование медицинских
организаций за j-й период, в расчете на 1
прикрепленное лицо, рублей;
- совокупный объем средств на
стимулирование медицинских организаций
за j-й период, рублей;
- численность прикрепленного
населения в j-м периоде ко всем
медицинским организациям II и III групп.
В качестве численности
прикрепленного населения к конкретной
медицинской организации используется
средняя численность за период.
Объем средств, направляемый в i-ю
медицинскую организацию II и III групп за
j-й период при распределении 70 процентов
от объема средств с учетом показателей
результативности
, рассчитывается следующим
образом:
где:
- численность прикрепленного
населения в j-м периоде к i-й медицинской
организации II и III групп.
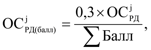
2 часть - распределение 30 процентов
от объема средств с учетом показателей
результативности за соответствующей
период.
Указанные средства распределяются
среди медицинских организаций III группы
с учетом абсолютного количества
набранных соответствующими
медицинскими организациями баллов.
где:
- объем средств, используемый при
распределении 30 процентов от объема
средств на стимулирование медицинских
организаций за j-й период, в расчете на 1
балл, рублей;
- совокупный объем средств на
стимулирование медицинских организаций
за j-й период, рублей;
- количество баллов, набранных в j-м
периоде всеми медицинскими
организациями III группы.
Объем средств, направляемый в i-ю
медицинскую организацию III группы за j-й
период, при распределении 30 процентов от
объема средств на стимулирование
медицинских организаций
, рассчитывается следующим
образом:
где:
- количество баллов, набранных в j-м
периоде i-й медицинской организацией III
группы.
Если по итогам года отсутствуют
медицинские организации, включенные в III
группу, средства, предназначенные для
осуществления стимулирующих выплат
медицинским организациям III группы,
распределяются между медицинскими
организациями II группы в соответствии с
установленной методикой (с учетом
численности прикрепленного населения).
Общий объем средств, направляемых
на оплату медицинской помощи с учетом
показателей результативности
деятельности в медицинскую организацию
III группы за j-й период, определяется
путем суммирования 1 и 2 частей, а для
медицинских организаций I группы за j-й
период - равняется нулю.
В условиях распространения новой
коронавирусной инфекции (COVID-19) методика
расчета показателя может быть
скорректирована на предмет исключения
из расчета периода, когда деятельность
медицинской организации (в части
соответствующего направления
деятельности) была приостановлена
приказом руководителя медицинской
организации за расчетный период путем
перерасчета к значению за период.".
Приложение N 2
к дополнительному соглашению
от 21 октября 2022 года
Приложение N 36
к Тарифному соглашению в сфере
обязательного медицинского
страхования на территории
Республики Северная Осетия-Алания
от 30 декабря 2021 года
СРЕДНЯЯ СТОИМОСТЬ ЗАКОНЧЕННОГО СЛУЧАЯ
ЛЕЧЕНИЯ В УСЛОВИЯХ ДНЕВНОГО СТАЦИОНАРА
(БАЗОВАЯ СТАВКА)
Наименование показателя |
Размер |
Средняя стоимость законченного случая лечения в условиях дневного стационара (базовая ставка), рублей |
19 717,97 |
Средняя стоимость законченного случая лечения в условиях дневного стационара (базовая ставка без учета коэффициента дифференциации), рублей |
19 350,31 |
Коэффициент дифференциации, рассчитанный в соответствии с Постановлением N 462 |
1,019 |
Приложение N 3
к дополнительному соглашению
от 21 октября 2022 года
Приложение N 37
к Тарифному соглашению в сфере
обязательного медицинского
страхования на территории
Республики Северная Осетия-Алания
от 30 декабря 2021 года
КОЭФФИЦИЕНТЫ ПОДУРОВНЯ МЕДИЦИНСКИХ
ОРГАНИЗАЦИЙ В УСЛОВИЯХ ДНЕВНОГО
СТАЦИОНАРА
Код МО |
Наименование медицинской организации |
Профили отделений |
Коэффициент |
III уровень | |||
подуровень 2 | |||
150 031 |
ГБУЗ "Республиканский онкологический диспансер" МЗ РСО-А |
все профили |
1,350 |
150 081 |
ГАУЗ "Республиканский офтальмологический центр" МЗ РСО-А |
все профили |
1,350 |
150 001 |
ГБУЗ "Республиканская клиническая больница" МЗ РСО-А |
все профили |
1,350 |
подуровень 1 | |||
150 003 |
ГБУЗ "Республиканская клиническая больница скорой медицинской помощи" МЗ РСО-А |
все профили |
1,200 |
150 015 |
ФГБОУ ВПО "Северо-Осетинская государственная медицинская академия" МЗ РФ |
все профили |
1,200 |
II уровень | |||
подуровень 3 | |||
150 002 |
ГБУЗ "Республиканская детская клиническая больница" МЗ РСО-А |
все профили |
1,200 |
150 020 |
ГБУЗ "Республиканский центр пульмонологической помощи" МЗ РСО-А |
все профили |
1,200 |
подуровень 2 | |||
150 004 |
ГБУ "Санаторий "Сосновая роща" |
все профили |
1,000 |
150 009 |
ГБУЗ "Ардонская ЦРБ" МЗ РСО-А |
онкология |
1,000 |
150 013 |
ЧУЗ "Клиническая больница "РЖД-Медицина" г. Владикавказ |
все профили |
1,000 |
150 014 |
ГБУЗ "Правобережная ЦРКБ" МЗ РСО-А |
онкология |
1,000 |
150 017 |
ГБУЗ "Республиканский эндокринологический диспансер" МЗ РСО-А |
все профили |
1,000 |
150 030 |
ГБУЗ "Республиканский кожно-венерологический диспансер" МЗ РСО-А |
все профили |
1,000 |
150 035 |
ГБУЗ "Поликлиника N 1" МЗ РСО-А |
онкология |
1,000 |
150 036 |
ГБУЗ "Поликлиника N 4" МЗ РСО-А |
онкология |
1,000 |
150 041 |
ГБУЗ "Поликлиника N 7" МЗ РСО-А |
онкология |
1,000 |
150 093 |
ГБУ СО РСО-Алания РДРЦ "Тамиск" |
все профили |
1,000 |
150 098 |
ГБУЗ "Республиканский центр охраны здоровья семьи и репродукции" МЗ РСО-А |
все профили |
1,000 |
150 112 |
ГБУЗ "Моздокская ЦРБ" МЗ РСО-А |
онкология |
1,000 |
I уровень | |||
150 007 |
ГБУЗ "Алагирская ЦРБ" МЗ РСО-А |
все профили |
1,000 |
150 009 |
ГБУЗ "Ардонская ЦРБ" МЗ РСО-А |
все профили (за исключением онкологии) |
1,000 |
150 010 |
ГБУЗ "Ирафская ЦРБ" МЗ РСО-А |
все профили |
1,000 |
150 012 |
ГБУЗ "Кировская ЦРБ" МЗ РСО-А |
все профили |
1,000 |
150 014 |
ГБУЗ "Правобережная ЦРКБ" МЗ РСО-А |
все профили (за исключением онкологии) |
1,000 |
150 016 |
ГБУЗ "Пригородная ЦРБ" МЗ РСО-А |
все профили |
1,000 |
150 019 |
ГБУЗ "Дигорская ЦРБ" МЗ РСО-А |
все профили |
1,000 |
150 035 |
ГБУЗ "Поликлиника N 1" МЗ РСО-А |
все профили (за исключением онкологии) |
1,000 |
150 036 |
ГБУЗ "Поликлиника N 4" МЗ РСО-А |
все профили (за исключением онкологии) |
1,000 |
150 041 |
ГБУЗ "Поликлиника N 7" МЗ РСО-А |
все профили (за исключением онкологии) |
1,000 |
150 042 |
ГБУЗ "Детская поликлиника N 1" МЗ РСО-А |
все профили |
1,000 |
150 043 |
ГБУЗ "Детская поликлиника N 2" МЗ РСО-А |
все профили |
1,000 |
150 044 |
ГБУЗ "Детская поликлиника N 3" МЗ РСО-А |
все профили |
1,000 |
150 045 |
ГБУЗ "Детская поликлиника N 4" МЗ РСО-А |
все профили |
1,000 |
150 112 |
ГБУЗ "Моздокская ЦРБ" МЗ РСО-А |
все профили (за исключением онкологии |
1,000 |
подуровень 1 | |||
150 026 |
ООО "Северо-Кавказский нефрологический центр" (г. Беслан) |
все профили |
0,800 |
150 063 |
ООО "Здоровье" |
все профили |
0,800 |
150 064 |
ООО "Семейная медицина" |
все профили |
0,800 |
150 100 |
ООО "Клиника внутренних болезней" |
все профили |
0,800 |
150 104 |
ООО "БМК" |
все профили |
0,800 |
150 120 |
ООО "Центр коррекции двигательных нарушений" |
все профили |
0,800 |
150 138 |
ООО "Алания-Хелскеа" |
все профили |
0,800 |
150 139 |
ООО "Медторгсервис" |
все профили |
0,800 |
150 145 |
ООО "Глазная клиника "Прозрение" |
все профили |
0,800 |
150 146 |
ООО Санаторно-курортное объединение "Курорты Осетии" |
все профили |
0,800 |
150 151 |
ООО "Клиника Эксперт Владикавказ" |
все профили |
0,800 |
150 152 |
ООО "Кристалл-Мед" |
все профили |
0,800 |
150 177 |
ООО "Диамед" |
все профили |
0,800 |
Приложение N 4
к дополнительному соглашению
от 21 октября 2022 года
Приложение N 46
к Тарифному соглашению в сфере
обязательного медицинского
страхования на территории
Республики Северная Осетия-Алания
от 30 декабря 2021 года
ПЕРЕЧЕНЬ ОСНОВАНИЙ ДЛЯ ОТКАЗА В ОПЛАТЕ
МЕДИЦИНСКОЙ ПОМОЩИ И ЗНАЧЕНИЯ
КОЭФФИЦИЕНТОВ ДЛЯ ОПРЕДЕЛЕНИЯ РАЗМЕРА
НЕОПЛАТЫ ИЛИ НЕПОЛНОЙ ОПЛАТЫ ЗАТРАТ
МЕДИЦИНСКОЙ ОРГАНИЗАЦИИ НА ОКАЗАНИЕ
МЕДИЦИНСКОЙ ПОМОЩИ И РАЗМЕРА ШТРАФА ЗА
НЕОКАЗАНИЕ, НЕСВОЕВРЕМЕННОЕ ОКАЗАНИЕ
ЛИБО ОКАЗАНИЕ МЕДИЦИНСКОЙ ПОМОЩИ
НЕНАДЛЕЖАЩЕГО КАЧЕСТВА
Код нарушения/дефекта |
Перечень оснований |
Значение коэффициента для определения размера неоплаты или неполной оплаты затрат медицинской организации на оказание медицинской помощи |
Значение коэффициента для определения размера штрафа за неоказание, несвоевременное оказание либо оказание медицинской помощи ненадлежащего качества |
Раздел 1. НАРУШЕНИЯ, ВЫЯВЛЯЕМЫЕ ПРИ ПРОВЕДЕНИИ МЕДИКО-ЭКОНОМИЧЕСКОГО КОНТРОЛЯ | |||
1.1. |
Нарушение условий оказания медицинской помощи, в том числе сроков ожидания медицинской помощи, несвоевременное включение в группу диспансерного наблюдения лиц, которым по результатам проведения профилактических мероприятий или оказания иной медицинской помощи впервые установлены диагнозы, при которых предусмотрено диспансерное наблюдение в соответствии с порядком проведения диспансерного наблюдения |
0 |
0,3 |
1.2. |
Невключение в группу диспансерного наблюдения лиц, которым по результатам проведения профилактических мероприятий или оказания иной медицинской помощи впервые установлены диагнозы, при которых предусмотрено диспансерное наблюдение в соответствии с порядком проведения диспансерного наблюдения (в случае, если установление диагноза и постановка на диспансерное наблюдение должны быть осуществлены в рамках одного случая оказания медицинской помощи) |
0 |
1 |
1.3. |
Госпитализация застрахованного лица, медицинская помощь которому должна быть оказана в стационаре другого профиля (непрофильная госпитализация), кроме случаев госпитализации для оказания медицинской помощи в неотложной и экстренной форме на койки терапевтического и хирургического профилей |
1 |
0,3 |
1.4. |
Нарушения, связанные с оформлением и предъявлением на оплату счетов и реестров счетов, в том числе: | ||
1.4.1. |
наличие ошибок и/или недостоверной информации в реквизитах счета; |
1 |
0 |
1.4.2. |
сумма счета не соответствует итоговой сумме предоставленной медицинской помощи по реестру счетов; |
1 |
0 |
1.4.3. |
наличие незаполненных полей реестра счетов, обязательных к заполнению, в том числе отсутствие указаний о включении в группу диспансерного наблюдения лица, которому установлен диагноз, при котором предусмотрено диспансерное наблюдение, отсутствие сведений о страховом случае с летальным исходом при наличии сведений о смерти застрахованного лица в период оказания ему медицинской помощи по данным персонифицированного учета сведений о застрахованных лицах и (или) о медицинской помощи, оказанной застрахованным лицам; |
1 |
0 |
1.4.4. |
некорректное заполнение полей реестра счетов; |
1 |
0 |
1.4.5. |
заявленная сумма по позиции реестра счетов не корректна (содержит арифметическую ошибку); |
1 |
0 |
1.4.6. |
дата оказания медицинской помощи в реестре счетов не соответствует отчетному периоду/периоду оплаты |
1 |
0 |
1.5. |
Введение в реестр счетов недостоверных персональных данных застрахованного лица, приводящее к невозможности его полной идентификации (включая ошибки в серии и номере полиса обязательного медицинского страхования, адресе) |
1 |
0 |
1.6. |
Нарушения, связанные с включением в реестр счетов медицинской помощи, не входящей в программу обязательного медицинского страхования, в том числе: | ||
1.6.1. |
включение в реестр счетов видов медицинской помощи, не входящих в программу обязательного медицинского страхования; |
1 |
0 |
1.6.2. |
предъявление к оплате медицинской помощи сверх распределенного объема предоставления медицинской помощи, установленного медицинской организации в соответствии с законодательством об обязательном медицинском страховании; |
1 |
0 |
1.6.3. |
предъявление к оплате медицинской помощи сверх размера финансового обеспечения распределенного объема предоставления медицинской помощи, установленного медицинской организации в соответствии с законодательством об обязательном медицинском страховании; |
1 |
0 |
1.6.4. |
включение в реестр счетов медицинской помощи, подлежащей оплате из других источников финансирования, в том числе тяжелых несчастных случаев на производстве, оплачиваемых Фондом социального страхования, медицинских услуг, оказываемой частными медицинскими организациями в рамках пилотного проекта по вовлечению частных медицинских организаций в оказание медико-социальных услуг лицам в возрасте 65 лет и старше, являющимся гражданами Российской Федерации, в том числе проживающим в сельской местности |
1 |
0 |
1.7. |
Нарушения, связанные с необоснованным применением тарифа на оплату медицинской помощи, в том числе: | ||
1.7.1. |
включение в реестр счетов случаев оказания медицинской помощи по тарифам на оплату медицинской помощи, не установленным в соответствии с законодательством об обязательном медицинском страховании; |
1 |
0 |
1.7.2. |
включение в реестр счетов случаев оказания медицинской по тарифам на оплату медицинской помощи, не соответствующим установленным в соответствии с законодательством об обязательном медицинском страховании |
1 |
0 |
1.8. |
Нарушения, связанные с включением в реестр счетов нелицензированных видов медицинской деятельности, в том числе с нарушением лицензионных требований: | ||
1.8.1. |
включение в реестр счетов страховых случаев по видам медицинской деятельности, отсутствующим в действующей лицензии медицинской организации; |
1 |
0 |
1.8.2. |
предоставление реестров счетов в случае прекращения действия лицензии медицинской организации на осуществление медицинской деятельности по случаям оказания медицинской помощи, завершившимся после прекращения действия лицензии медицинской организации; |
1 |
0 |
1.8.3. |
предоставление на оплату реестров счетов в случае нарушения лицензионных условий и требований при оказании медицинской помощи: в том числе данные лицензии не соответствуют фактическим адресам осуществления медицинской организацией лицензируемого вида деятельности (на основании информации лицензирующих органов) |
1 |
0 |
1.9. |
Включение в реестр счетов страховых случаев, при которых медицинская помощь оказана медицинским работником, не имеющим сертификата или свидетельства об аккредитации специалиста по профилю оказания медицинской помощи |
1 |
0 |
1.10. |
Нарушения, связанные с повторным включением в реестр счетов случаев оказания медицинской помощи, в том числе: | ||
1.10.1. |
позиция реестра счетов оплачена ранее (повторное выставление счета на оплату случаев оказания медицинской помощи, которые были оплачены ранее); |
1 |
0 |
1.10.2. |
дублирование случаев оказания медицинской помощи в одном реестре; |
1 |
0 |
1.10.3. |
стоимость отдельной медицинской услуги, включенной в счет, учтена в тарифе на оплату медицинской помощи другой услуги, также предъявленной к оплате медицинской организацией; |
1 |
0 |
1.10.4. |
стоимость медицинской услуги включена в норматив финансового обеспечения оплаты медицинской помощи, оказанной амбулаторно, на прикрепленное население, застрахованное по обязательному медицинскому страхованию; |
1 |
0 |
1.10.5. |
включение в реестр счетов медицинской помощи, оказанной амбулаторно, в период пребывания застрахованного лица в условиях стационара (кроме дня поступления и выписки из стационара, а также оказания медицинской помощи (консультаций) в других медицинских организациях в экстренной и неотложной форме); |
1 |
0 |
1.10.6. |
включение в реестр счетов нескольких страховых случаев, при которых медицинская помощь оказана застрахованному лицу стационарно в один период оплаты с пересечением или совпадением сроков лечения |
1 |
0 |
Раздел 2. НАРУШЕНИЯ, ВЫЯВЛЯЕМЫЕ ПРИ ПРОВЕДЕНИИ МЕДИКО-ЭКОНОМИЧЕСКОЙ ЭКСПЕРТИЗЫ | |||
2.1. |
Нарушение сроков ожидания медицинской помощи, установленных территориальной программой обязательного медицинского страхования |
0 |
0,3 |
2.2. |
Нарушение условий оказания скорой медицинской помощи, выразившееся в несоблюдении установленного программой обязательного медицинского страхования времени доезда бригады скорой медицинской помощи, при летальном исходе до приезда бригады скорой помощи |
1 |
3 |
2.7. |
Представление в реестрах счетов повторных случаев госпитализации застрахованного лица по одному и тому же заболеванию с длительностью три дня и менее (за исключением случаев, связанных с патологией беременности и родами) в течение четырнадцати календарных дней при оказании медицинской помощи в указанный период в амбулаторных условиях (за исключением случаев, при которых стоимость отдельной медицинской услуги, включенной в счет, учтена в тарифе на оплату медицинской помощи другой услуги, также предъявленной к оплате медицинской организацией) |
1 |
0,3 |
2.8. |
Необоснованное представление в реестрах счетов случаев оказания застрахованному лицу медицинской помощи, оказанной в условиях дневного стационара в период пребывания в условиях круглосуточного стационара (кроме дня поступления и выписки из стационара, а также консультаций в других медицинских организациях при экстренных и неотложных состояниях) |
1 |
0,3 |
2.9. |
Взимание платы с застрахованных лиц за оказанную медицинскую помощь, входящую в базовую либо территориальную программу обязательного медицинского страхования, при оказании медицинской помощи в рамках базовой либо территориальной программы обязательного медицинского страхования |
0 |
1 |
2.10. |
Приобретение пациентом или его представителем в период оказания медицинской помощи по назначению врача лекарственных препаратов для медицинского применения, включенных в перечень жизненно необходимых и важнейших лекарственных препаратов <1>, и (или) медицинских изделий, включенных в перечень медицинских изделий, имплантируемых в организм человека <2>, на основе клинических рекомендаций, с учетом стандартов медицинской помощи |
0,5 |
0,5 |
2.11. |
Отсутствие в реестре счетов сведений о страховом случае с летальным исходом при наличии сведений о смерти застрахованного лица в период оказания ему медицинской помощи в первичной медицинской документации и учетно-отчетной документации медицинской организации |
0 |
0,6 |
2.12. |
Непредставление медицинской документации, учетно-отчетной документации, подтверждающей факт оказания застрахованному лицу медицинской помощи в медицинской организации, а также результатов внутреннего и внешнего контроля медицинской организации, безопасности оказания медицинской помощи без объективных причин в течение 10 рабочих дней после получения медицинской организацией соответствующего запроса от Федерального фонда обязательного медицинского страхования или территориального фонда обязательного медицинского страхования, или страховой медицинской организации, или специалиста-эксперта, эксперта качества медицинской помощи, действующего по их поручению |
1 |
0 |
2.13. |
Отсутствие в документации (несоблюдение требований к оформлению) информированного добровольного согласия застрахованного лица на медицинское вмешательство или отказа застрахованного лица от медицинского вмешательства в установленных законодательством Российской Федерации случаях <3> |
0,1 |
0 |
2.14. |
Наличие признаков искажения сведений, представленных в медицинской документации (дописки, исправления, "вклейки", полное переоформление с искажением сведений о проведенных диагностических и лечебных мероприятиях, клинической картине заболевания; расхождение сведений об оказании медицинской помощи в различных разделах медицинской документации и/или учетно-отчетной документации, запрошенной на проведение экспертизы) |
0,5 |
0 |
2.15. |
Дата оказания медицинской помощи, зарегистрированная в первичной медицинской документации и реестре счетов, не соответствует табелю учета рабочего времени врача (в том числе оказание медицинской помощи в период отпуска, обучения, командировок, выходных дней) |
1 |
0 |
2.16. |
Несоответствие данных медицинской документации данным реестра счетов, в том числе: | ||
2.16.1. |
оплаченный случай оказания медицинской помощи не соответствует тарифу, установленному законодательством об обязательном медицинском страховании; |
0,1 |
0,3 |
2.16.2. |
включение в счет на оплату медицинской помощи при отсутствии в медицинской документации сведений, подтверждающих факт оказания медицинской помощи застрахованному лицу; |
1 |
1 |
2.16.3. |
некорректное (неполное) отражение в реестре счета сведений медицинской документации |
1 |
|
2.17. |
Отсутствие в карте стационарного больного протокола врачебной комиссии в случаях назначения застрахованному лицу лекарственного препарата, не входящего в перечень жизненно необходимых и важнейших лекарственных препаратов |
0 |
0,3 |
2.18. |
Нарушение сроков ожидания медицинской помощи, установленных территориальной либо базовой программой обязательного медицинского страхования |
0 |
0,3 |
Раздел 3. НАРУШЕНИЯ, ВЫЯВЛЯЕМЫЕ ПРИ ПРОВЕДЕНИИ ЭКСПЕРТИЗЫ КАЧЕСТВА МЕДИЦИНСКОЙ ПОМОЩИ | |||
3.1. |
Установление неверного диагноза, связанное с невыполнением, несвоевременным или ненадлежащим выполнением необходимых пациенту диагностических и (или) лечебных мероприятий, оперативных вмешательств в соответствии с порядками оказания медицинской помощи, на основе клинических рекомендаций и с учетом стандартов медицинской помощи, в том числе по результатам проведенного диспансерного наблюдения, с учетом рекомендаций по применению методов профилактики, диагностики, лечения и реабилитации, данных медицинскими работниками национальных медицинских центров в ходе консультаций/консилиумов с применением телемедицинских технологий: | ||
3.1.1. |
не повлиявшее на состояние здоровья застрахованного лица; |
0,1 |
0 |
3.1.2. |
приведшее к удлинению или укорочению сроков лечения сверх установленных (за исключением случаев отказа застрахованного лица от медицинского вмешательства в установленных законодательством Российской Федерации случаях); |
0,3 |
0 |
3.1.3. |
приведшее к ухудшению состояния здоровья застрахованного лица, либо создавшее риск прогрессирования имеющегося заболевания, либо создавшее риск возникновения нового заболевания; |
0,4 |
0,3 |
3.1.4. |
приведшее к инвалидизации; |
0,9 |
1 |
3.1.5. |
приведшее к летальному исходу (в том числе при наличии расхождений клинического и патолого-анатомического диагнозов) |
1 |
3 |
3.2. |
Невыполнение, несвоевременное или ненадлежащее выполнение необходимых пациенту диагностических и (или) лечебных мероприятий, оперативных вмешательств в соответствии с порядками оказания медицинской помощи, на основе клинических рекомендаций и с учетом стандартов медицинской помощи, в том числе по результатам проведенного диспансерного наблюдения, рекомендаций по применению методов профилактики, диагностики, лечения и реабилитации, данных медицинскими работниками национальных медицинских исследовательских центров в ходе консультаций/консилиумов с применением телемедицинских технологий: | ||
3.2.1. |
не повлиявшее на состояние здоровья застрахованного лица; |
0,1 |
0 |
3.2.2. |
приведшее к ухудшению состояния здоровья застрахованного лица, либо создавшее риск прогрессирования имеющегося заболевания, либо создавшее риск возникновения нового заболевания (за исключением случаев отказа застрахованного лица от медицинского вмешательства в установленных законодательством Российской Федерации случаях); |
0,4 |
0,3 |
3.2.3. |
приведшее к инвалидизации (за исключением случаев отказа застрахованного лица от медицинского вмешательства в установленных законодательством Российской Федерации случаях); |
0,9 |
1 |
3.2.4. |
приведшее к летальному исходу (за исключением случаев отказа застрахованного лица от медицинского вмешательства в установленных законодательством Российской Федерации случаях); |
1 |
3 |
3.2.5. |
рекомендаций медицинских работников национальных медицинских исследовательских центров по применению методов профилактики, диагностики, лечения и реабилитации, данных при проведении указанными центрами консультаций/консилиумов с применением консультаций с применением телемедицинских технологий, при необоснованном невыполнении данных рекомендаций; |
0,9 |
1 |
3.2.6. |
по результатам проведенного диспансерного наблюдения |
0,9 |
1 |
3.3. |
Выполнение непоказанных, не оправданных с клинической точки зрения, не регламентированных порядками оказания медицинской помощи, клиническими рекомендациями, стандартами медицинской помощи мероприятий, приведшее к ухудшению состояния здоровья застрахованного лица, либо создавшее риск прогрессирования имеющегося заболевания, либо создавшее риск возникновения нового заболевания |
0,5 |
0,6 |
3.4. |
Преждевременное с клинической точки зрения прекращение оказания медицинской помощи при отсутствии клинического эффекта (за исключением случаев отказа застрахованного лица от медицинского вмешательства в установленных законодательством Российской Федерации случаях) |
0,5 |
0,3 |
3.5. |
Нарушения при оказании медицинской помощи (в частности, преждевременная выписка из медицинской организации), вследствие которых при отсутствии положительной динамики в состоянии здоровья потребовалось повторное обоснованное обращение застрахованного лица за медицинской помощью по поводу того же заболевания в течение четырнадцати дней со дня окончания оказания медицинской помощи амбулаторно, тридцати дней стационарно (повторная госпитализация) |
0,3 |
0 |
3.6. |
Нарушение по вине медицинской организации преемственности в оказании медицинской помощи (в том числе несвоевременный перевод пациента в медицинскую организацию более высокого уровня), приведшее к удлинению сроков оказания медицинской помощи и (или) ухудшению состояния здоровья застрахованного лица |
0,8 |
1 |
3.7. |
Госпитализация застрахованного лица в плановой или неотложной форме с нарушением требований к профильности оказанной медицинской помощи (непрофильная госпитализация), кроме случаев госпитализации в неотложной и экстренной форме с последующим переводом в течение суток в профильные медицинские организации (структурные подразделения медицинских организаций) |
1 |
0,3 |
3.8. |
Госпитализация застрахованного лица без медицинских показаний (необоснованная госпитализация), медицинская помощь которому могла быть предоставлена в установленном объеме амбулаторно, в дневном стационаре, отсутствие пациента в медицинской организации на дату проверки |
1 |
0,3 |
3.9. |
Необоснованное повторное посещение врача одной и той же специальности в один день при оказании медицинской помощи амбулаторно, за исключением повторного посещения для определения показаний к госпитализации, операции, консультаций в других медицинских организациях, в связи с выпиской лекарственных препаратов группам населения, при амбулаторном лечении которых лекарственные препараты отпускаются по рецептам врачей бесплатно и с 50-процентной скидкой, наблюдения беременных женщин, посещений, связанных с выдачей справок и иных медицинских документов |
1 |
0,3 |
3.10. |
Наличие расхождений клинического и патолого-анатомического диагнозов 2 - 3 категории, обусловленное непроведением необходимых диагностических исследований (за исключением оказания медицинской помощи в экстренной форме) |
0,9 |
0,5 |
3.11. |
Отсутствие в медицинской документации результатов обследований, осмотров, консультаций специалистов, дневниковых записей, позволяющих оценить динамику состояния здоровья застрахованного лица, объем, характер, условия предоставления медицинской помощи и провести оценку качества оказанной медицинской помощи |
0,5 |
0 |
3.12. |
Нарушение прав застрахованных лиц на выбор медицинской организации из медицинских организаций, участвующих в реализации территориальной программы обязательного медицинского страхования, базовой программы обязательного медицинского страхования; на выбор врача |
0 |
0,3 |
3.13. |
Необоснованное назначение лекарственных препаратов; одновременное назначение лекарственных препаратов со схожим фармакологическим действием; нерациональная лекарственная терапия, в том числе несоответствие дозировок, кратности и длительности приема лекарственных препаратов с учетом стандартов медицинской помощи и клинических рекомендаций, связанные с риском для здоровья пациента |
0,5 |
0,6 |
3.14. |
Необоснованный отказ застрахованным лицам в оказании медицинской помощи в соответствии с программами обязательного медицинского страхования, в том числе: | ||
3.14.1. |
с отсутствием последующего ухудшения состояния здоровья; |
|
1 |
3.14.2. |
с последующим ухудшением состояния здоровья; |
|
2 |
3.14.3. |
приведший к летальному исходу |
|
3 |
3.15. |
Непроведение диспансерного наблюдения застрахованного лица (за исключением случаев отказа застрахованного лица, проинформированного лечащим врачом и (или) страховым представителем о возможности прохождения диспансерного наблюдения, от его прохождения), включенного в группу диспансерного наблюдения, в соответствии с порядком и периодичностью проведения диспансерного наблюдения и перечнем включаемых в указанный порядок исследований, в том числе: | ||
3.15.1. |
с отсутствием последующего ухудшения состояния здоровья; |
|
1 |
3.15.2. |
с последующим ухудшением состояния здоровья (за исключением случаев отказа застрахованного лица, проинформированного лечащим врачом и (или) страховым представителем о возможности прохождения диспансерного наблюдения, от его прохождения); |
|
2 |
3.15.3. |
приведший к летальному исходу (за исключением случаев отказа застрахованного лица, проинформированного лечащим врачом и (или) страховым представителем о возможности прохождения диспансерного наблюдения, от его прохождения) |
|
3 |
<1> Распоряжение Правительства
Российской Федерации от 12 октября 2019 г. N
2406-р (Собрание законодательства
Российской Федерации, 2019, N 42, ст. 5979; 2020, N
48, ст. 7813).
<2> Распоряжение Правительства
Российской Федерации 31 декабря 2018 г. N
3053-р (Собрание законодательства
Российской Федерации, 2019, N 2, ст. 196; N 41, ст.
5780).
<3> В соответствии со статьей 20
Федерального закона от 21 ноября 2011 г. N
323-ФЗ "Об основах охраны здоровья граждан
в Российской Федерации" (Собрание
законодательства Российской Федерации,
2011, N 48, ст. 6724; 2020, N 29, ст. 4516).




