Дополнительное соглашение N 9 к Тарифному
соглашению в сфере обязательного
медицинского страхования Волгоградской
области на 2022 год от 28 января 2022 года
от 6 сентября 2022 года N 9
г. Волгоград
Стороны, действующие в
соответствии с частью 2 статьи 30
Федерального закона от 29.11.2010 N 326-ФЗ "Об
обязательном медицинском страховании в
Российской Федерации" в составе
представителей, включенных в состав
Комиссии по разработке территориальной
программы обязательного медицинского
страхования в Волгоградской области, в
лице председателя комитета
здравоохранения Волгоградской области
А.И. Себелева, заместителя председателя
комитета здравоохранения Волгоградской
области Н.Н. Алимова, директора
государственного учреждения
"Территориальный фонд обязательного
медицинского страхования Волгоградской
области" А.В. Пайль, заместителя
директора по мониторингу системы
обязательного медицинского страхования
государственного учреждения
"Территориальный фонд обязательного
медицинского страхования Волгоградской
области" Т.Г. Грачевой, директора
Волгоградского филиала Акционерного
общества "Страховая компания "СОГАЗ-Мед"
П.В. Сёмина, первого заместителя
директора филиала ООО "Капитал
Медицинское Страхование" в
Волгоградской области И.А. Скрябиной,
председателя Волгоградской областной
организации профсоюза работников
здравоохранения Российской Федерации
И.В. Ерохиной, члена президиума
Волгоградской областной организации
профсоюза работников здравоохранения
Российской Федерации Н.В. Трубиной, члена
правления Волгоградского регионального
отделения общероссийской общественной
организации "Российская медицинская
ассоциация" Е.Н. Зюбиной, члена правления
Волгоградского регионального отделения
общероссийской общественной
организации "Российская медицинская
ассоциация" С.В. Симакова заключили
настоящее дополнительное соглашение к
Тарифному соглашению в сфере
обязательного медицинского страхования
Волгоградской области на 2022 год от 28
января 2022 г. (далее - дополнительное
соглашение) о нижеследующем:
1. Внести изменения в Тарифное
соглашение в сфере обязательного
медицинского страхования Волгоградской
области на 2022 год от 28 января 2022 г. (далее -
Тарифное соглашение) согласно
приложению к настоящему дополнительному
соглашению.
2. Настоящее дополнительное
соглашение вступает в силу с момента
подписания сторонами и распространяет
свое действие на правоотношения,
возникшие с 16 августа 2022 года.
3. Настоящее дополнительное
соглашение является неотъемлемой частью
Тарифного соглашения.
Подписи сторон:
От органа исполнительной власти Волгоградской области: | |
Председатель комитета здравоохранения Волгоградской области |
А.И.СЕБЕЛЕВ |
Заместитель председателя комитета здравоохранения Волгоградской области |
Н.Н.АЛИМОВ |
От государственного учреждения "Территориальный фонд обязательного медицинского страхования Волгоградской области": | |
Директор "ТФОМС Волгоградской области" |
А.В.ПАЙЛЬ |
Заместитель директора по мониторингу системы ОМС "ТФОМС Волгоградской области" |
Т.Г.ГРАЧЕВА |
От страховых медицинских организаций: | |
Директор Волгоградского филиала АО "Страховая компания "СОГАЗ-Мед" |
П.В.СЁМИН |
Первый заместитель директора филиала ООО "Капитал Медицинское Страхование" в Волгоградской области |
И.А.СКРЯБИНА |
От профессионального союза медицинских работников: | |
Председатель Волгоградской областной организации профсоюза работников здравоохранения Российской Федерации |
И.В.ЕРОХИНА |
Член президиума Волгоградской областной организации профсоюза работников здравоохранения Российской Федерации |
Н.В.ТРУБИНА |
От ассоциации медицинских профессиональных некоммерческих организаций: | |
Член правления Волгоградского регионального отделения общероссийской общественной организации "Российская медицинская ассоциация" |
Е.Н.ЗЮБИНА |
Член правления Волгоградского регионального отделения общероссийской общественной организации "Российская медицинская ассоциация" |
С.В.СИМАКОВ |
Приложение
к дополнительному соглашению
от 06.09.2022 N 9
к Тарифному соглашению
в сфере ОМС
Волгоградской области
на 2022 год
ИЗМЕНЕНИЯ В ТАРИФНОЕ СОГЛАШЕНИЕ В СФЕРЕ
ОБЯЗАТЕЛЬНОГО МЕДИЦИНСКОГО СТРАХОВАНИЯ
ВОЛГОГРАДСКОЙ ОБЛАСТИ НА 2022 ГОД ОТ 28
ЯНВАРЯ 2022 ГОДА (ДАЛЕЕ СООТВЕТСТВЕННО -
ИЗМЕНЕНИЯ, ТАРИФНОЕ СОГЛАШЕНИЕ)
1. Приложение 3 к Тарифному
соглашению изложить в новой редакции:
"Приложение 3
к Тарифному соглашению
в сфере ОМС
Волгоградской области
на 2022 год
ПЕРЕЧЕНЬ ПОКАЗАТЕЛЕЙ РЕЗУЛЬТАТИВНОСТИ ДЕЯТЕЛЬНОСТИ МЕДИЦИНСКИХ ОРГАНИЗАЦИЙ, В КОТОРЫХ ОПЛАТА МЕДИЦИНСКОЙ ПОМОЩИ ОСУЩЕСТВЛЯЕТСЯ ПО ПОДУШЕВОМУ НОРМАТИВУ ФИНАНСИРОВАНИЯ НА ПРИКРЕПИВШИХСЯ ЛИЦ, И КРИТЕРИИ ИХ ОЦЕНКИ
N |
Наименование показателя |
Предположительный результат |
Критерии оценки |
Максимальный балл |
Блок 1. Взрослое население (в возрасте 18 лет и старше) |
25 | |||
Оценка эффективности профилактических мероприятий | ||||
1 |
Доля врачебных посещений с профилактической целью за период, от общего числа посещений за период (включая посещения на дому) |
Прирост показателя за период по отношению к показателю за предыдущий период |
Прирост < 3% - 0 баллов; Прирост >= 3% - 0,5 балла; Прирост >= 7% - 1 балл |
1 |
2 |
Доля взрослых пациентов с болезнями системы кровообращения, выявленными впервые при профилактических медицинских осмотрах и диспансеризации за период, от общего числа взрослых пациентов с болезнями системы кровообращения с впервые в жизни установленным диагнозом за период |
Прирост показателя за период по отношению к показателю за предыдущий период |
Прирост < 5% - 0 баллов; Прирост >= 5% - 1 балл; Прирост >= 10% - 2 балла |
2 |
3 |
Доля взрослых пациентов с установленным диагнозом злокачественное новообразование, выявленным впервые при профилактических медицинских осмотрах и диспансеризации за период, от общего числа взрослых пациентов с впервые в жизни установленным диагнозом злокачественное новообразование за период |
Прирост показателя за период по отношению к показателю за предыдущий период |
Прирост < 5% - 0 баллов; Прирост >= 5% - 0,5 балла; Прирост >= 10% - 1 балл |
1 |
4 |
Доля взрослых пациентов с установленным диагнозом хроническая обструктивная болезнь легких, выявленным впервые при профилактических медицинских осмотрах и диспансеризации за период, от общего числа взрослых пациентов с впервые в жизни установленным диагнозом хроническая обструктивная легочная болезнь за период |
Прирост показателя за период по отношению к показателю за предыдущий период |
Прирост < 5% - 0 баллов; Прирост >= 5% - 0,5 балла; Прирост >= 10% - 1 балл |
1 |
5 |
Доля взрослых пациентов с установленным диагнозом сахарный диабет, выявленным впервые при профилактических медицинских осмотрах и диспансеризации за период, от общего числа взрослых пациентов с впервые в жизни установленным диагнозом сахарный диабет за период |
Прирост показателя за период по отношению к показателю за предыдущий период |
Прирост < 5% - 0 баллов; Прирост >= 5% - 0,5 балла; Прирост >= 10% - 1 балл |
1 |
6 |
Выполнение плана вакцинации взрослых граждан против новой коронавирусной инфекции (COVID-19) по эпидемиологическим показаниям за период |
Достижение планового показателя |
100% плана или более |
2 |
Оценка эффективности диспансерного наблюдения | ||||
7 |
Доля взрослых пациентов с болезнями системы кровообращения, имеющих высокий риск преждевременной смерти, состоящих под диспансерным наблюдением, от общего числа взрослых пациентов с болезнями системы кровообращения, имеющих высокий риск преждевременной смерти, за период |
Прирост показателя за период по отношению к показателю за предыдущий период |
Прирост < 3% - 0 баллов; Прирост >= 3% - 1 балл; Прирост >= 7% - 2 балла |
2 |
8 |
Число взрослых пациентов с болезнями системы кровообращения, имеющих высокий риск преждевременной смерти, которым за период оказана медицинская помощь в неотложной форме и (или) скорая медицинская помощь, от общего числа взрослых пациентов с болезнями системы кровообращения, имеющих высокий риск преждевременной смерти, за период |
Уменьшение показателя за период по отношению к показателю в предыдущем периоде |
Уменьшение < 5% - 0 баллов; Уменьшение >= 5% - 0,5 балла; Уменьшение >= 10% - 1 балл |
1 |
9 |
Доля взрослых пациентов с болезнями системы кровообращения, в отношении которых установлено диспансерное наблюдение за период, от общего числа взрослых пациентов с впервые в жизни установленным диагнозом болезни системы кровообращения за период |
Достижение планового показателя |
100% плана или более |
1 |
10 |
Доля взрослых пациентов с установленным диагнозом хроническая обструктивная болезнь легких, в отношении которых установлено диспансерное наблюдение за период, от общего числа взрослых пациентов с впервые в жизни установленным диагнозом хроническая обструктивная болезнь легких за период |
Достижение планового показателя |
100% плана или более |
1 |
11 |
Доля взрослых пациентов с установленным диагнозом сахарный диабет, в отношении которых установлено диспансерное наблюдение за период, от общего числа взрослых пациентов с впервые в жизни установленным диагнозом сахарный диабет за период |
Достижение планового показателя |
100% плана или более |
2 |
12 |
Доля взрослых пациентов, госпитализированных за период по экстренным показаниям в связи с обострением (декомпенсацией) состояний, по поводу которых пациент находится под диспансерным наблюдением, от общего числа взрослых пациентов, находящихся под диспансерным наблюдением за период |
Уменьшение показателя за период по отношению к показателю в предыдущем периоде |
Уменьшение < 5% - 0 баллов; Уменьшение >= 5% - 0,5 балла; Уменьшение >= 10% - 1 балл |
1 |
13 |
Доля взрослых пациентов, повторно госпитализированных за период по причине заболеваний сердечно-сосудистой системы или их осложнений в течение года с момента предыдущей госпитализации, от общего числа взрослых пациентов, госпитализированных за период по причине заболеваний сердечно-сосудистой системы или их осложнений |
Уменьшение показателя за период по отношению к показателю в предыдущем периоде |
Уменьшение < 3% - 0 баллов; Уменьшение >= 3% - 1 балл; Уменьшение >= 7% - 2 балла |
2 |
14 |
Доля взрослых пациентов, находящихся под диспансерным наблюдением по поводу сахарного диабета, у которых впервые зарегистрированы осложнения за период (диабетическая ретинопатия, диабетическая стопа), от общего числа взрослых пациентов, находящихся под диспансерным наблюдением по поводу сахарного диабета за период |
Уменьшение показателя за период по отношению к показателю в предыдущем периоде |
Уменьшение < 5% - 0 баллов; Уменьшение >= 5% - 0,5 балла; Уменьшение >= 10% - 1 балл |
1 |
Оценка смертности | ||||
15 |
Смертность прикрепленного населения в возрасте от 30 до 69 лет за период |
Уменьшение показателя за период по отношению к показателю в предыдущем периоде (среднее значение коэффициента смертности за 2019, 2020, 2021 годы) |
Увеличение показателя смертности - 0 баллов; Без динамики или уменьшение < 2% - 0,5 баллов; Уменьшение от 2 до 5% - 1 балл; Уменьшение от 5 до 10% - 2 балла; Уменьшение >= 10% - 3 балла |
3 |
16 |
Число умерших за период, находящихся под диспансерным наблюдением, от общего числа взрослых пациентов, находящихся под диспансерным наблюдением |
Уменьшение показателя за период по отношению к показателю в предыдущем периоде |
Уменьшение < 3% - 0 баллов; Уменьшение >= 3% - 1,5 балла; Уменьшение >= 7% - 3 балла |
3 |
Блок 2. Детское население (от 0 до 17 лет включительно) |
10 | |||
Оценка эффективности профилактических мероприятий | ||||
17 |
Охват вакцинацией детей в рамках Национального календаря прививок |
Достижение планового показателя |
100% плана или более |
1 |
18 |
Доля детей, в отношении которых установлено диспансерное наблюдение по поводу болезней костно-мышечной системы и соединительной ткани за период, от общего числа детей с впервые в жизни установленными диагнозами болезней костно-мышечной системы и соединительной ткани за период |
Достижение планового показателя |
100% от числа подлежащих диспансерному наблюдению |
1 |
19 |
Доля детей, в отношении которых установлено диспансерное наблюдение по поводу болезней глаза и его придаточного аппарата за период, от общего числа детей с впервые в жизни установленными диагнозами болезней глаза и его придаточного аппарата за период |
Достижение планового показателя |
100% от числа подлежащих диспансерному наблюдению |
1 |
20 |
Доля детей, в отношении которых установлено диспансерное наблюдение по поводу болезней органов пищеварения за период, от общего числа детей с впервые в жизни установленными диагнозами болезней органов пищеварения за период |
Достижение планового показателя |
100% от числа подлежащих диспансерному наблюдению |
1 |
21 |
Доля детей, в отношении которых установлено диспансерное наблюдение по поводу болезней системы кровообращения за период от общего числа детей с впервые в жизни установленными диагнозами болезней системы кровообращения за период |
Достижение планового показателя |
100% от числа подлежащих диспансерному наблюдению |
2 |
22 |
Доля детей, в отношении которых установлено диспансерное наблюдение по поводу болезней эндокринной системы, расстройства питания и нарушения обмена веществ за период, от общего числа детей с впервые в жизни установленными диагнозами болезней эндокринной системы, расстройства питания и нарушения обмена веществ за период |
Достижение планового показателя |
100% от числа подлежащих диспансерному наблюдению |
1 |
Оценка смертности | ||||
23 |
Смертность детей в возрасте 0 - 17 лет за период |
Уменьшение показателя за период по отношению к показателю в предыдущем периоде |
Увеличение показателя смертности - 0 баллов; Без динамики или уменьшение до 2% - 0,5 баллов; Уменьшение от 2 до 5% - 1 балл; Уменьшение от 5 до 10% - 2 балла; Уменьшение >= 10% - 3 балла; Значение в текущем и предыдущем периодах равно нулю - 1 балл |
3 |
Блок 3. Оказание акушерско-гинекологической помощи |
6 | |||
Оценка эффективности профилактических мероприятий | ||||
24 |
Доля женщин, отказавшихся от искусственного прерывания беременности, от числа женщин, прошедших доабортное консультирование за период |
Прирост показателя за период по отношению к показателю за предыдущий период |
Прирост < 5% - 0 баллов; Прирост >= 5% - 0,5 балла; Прирост >= 10% - 1 балл |
1 |
25 |
Доля беременных женщин, вакцинированных против новой коронавирусной инфекции (COVID-19), за период, от числа женщин, состоящих на учете по беременности и родам на начало периода |
Достижение планового показателя |
100% плана или более |
1 |
26 |
Доля женщин с установленным диагнозом злокачественное новообразование шейки матки, выявленным впервые при диспансеризации, от общего числа женщин с установленным диагнозом злокачественное новообразование шейки матки за период |
Прирост показателя за период по отношению к показателю за предыдущий период |
Прирост < 5% - 0 баллов; Прирост >= 5% - 0,5 балла; Прирост >= 10% - 1 балл |
1 |
27 |
Доля женщин с установленным диагнозом злокачественное новообразование молочной железы, выявленным впервые при диспансеризации, от общего числа женщин с установленным диагнозом злокачественное новообразование молочной железы за период |
Прирост показателя за период по отношению к показателю за предыдущий период |
Прирост < 5% - 0 баллов; Прирост >= 5% - 0,5 балла; Прирост >= 10% - 1 балл |
1 |
28 |
Доля беременных женщин, прошедших скрининг в части оценки антенатального развития плода за период, от общего числа женщин, состоявших на учете по поводу беременности и родов за период |
Достижение планового показателя |
100% плана или более |
2 |
Доля средств, направляемых на
выплаты медицинским организациям, в
которых оплата медицинской помощи
осуществляется по подушевому нормативу
финансирования на прикрепившихся лиц, в
случае достижения ими значений
показателей результативности
деятельности (включая показатели объема
медицинской помощи) устанавливается в
общем размере 5% от базового подушевого
норматива финансирования медицинской
помощи, оказанной в амбулаторных
условиях, в медицинских организациях,
указанных в части 1.1 приложения 2 и
приложении 8 к настоящему Тарифному
соглашению.
Оценка деятельности медицинских
организаций в 2022 году с целью
осуществления выплат в случае
достижения ими значений показателей
результативности деятельности (включая
показатели объема медицинской помощи)
осуществляется поквартально
нарастающим итогом:
- за 1 и 2 кварталы текущего
финансового года - для оценки
показателей используются сведения об
оказанной медицинской помощи за период 3,
6 месяцев 2022 года,
- за 3 квартал текущего финансового
года - для оценки показателей
используются сведения о медицинской
помощи за период 9 месяцев с декабря 2021
года по август 2022 года,
- за 4 квартал текущего финансового
года (текущий финансовый год) - для оценки
показателей используются сведения об
оказанной медицинской помощи за период с
декабря 2021 года по ноябрь 2022 года
включительно.
Для оценки достижения значений
показателей результативности
деятельности медицинских организаций, в
которых оплата медицинской помощи
осуществляется по подушевому нормативу
финансирования на прикрепившихся лиц,
применяются показатели
результативности деятельности
медицинских организаций, в которых
оплата медицинской помощи
осуществляется по подушевому нормативу
финансирования на прикрепившихся лиц и
критерии их оценки.
Показатели разделены на блоки,
отражающие результативность оказания
медицинской помощи разным категориям
населения (взрослому населению, детскому
населению, акушерско-гинекологической
помощи) в амбулаторных условиях.
Каждый показатель, включенный в
блок, оценивается в баллах, которые
суммируются. Максимально возможная
сумма баллов по каждому блоку
составляет:
- 25 баллов для показателей блока 1;
- 10 баллов для показателей блока 2;
- 6 баллов для показателей блока 3.
В зависимости от результатов
деятельности медицинской организации по
каждому показателю определяется балл в
диапазоне от 0 до 3 баллов.
С учетом фактического выполнения
показателей медицинские организации
распределяются на три группы:
I - выполнившие до 50 процентов
показателей,
II - от 50 до 70 процентов показателей,
III - свыше 70 процентов показателей.
Оценка достижения значений
показателей результативности
деятельности медицинских организаций
оформляется решением комиссии по
разработке территориальной программы
обязательного медицинского страхования
в Волгоградской области (далее -
Комиссия), которое доводится "ТФОМС
Волгоградской области" до сведения
медицинских организаций не позднее 25
числа месяца, следующего за отчетным
периодом оценки.
Определение в 2022 году размера
средств в разрезе медицинских
организаций, оказывающих медицинскую
помощь в амбулаторных условиях, и
осуществление выплат по результатам
оценки достижения медицинскими
организациями значений показателей
результативности деятельности (включая
показатели объема медицинской помощи)
производится по итогам первого
полугодия текущего финансового года и по
итогам второго полугодия текущего
финансового года (текущего финансового
года) на основании решения Комиссии.
Размер средств, установленный для
выплат медицинским организациям за
достижение ими показателей
результативности деятельности,
составляет:
- по итогам первого полугодия
текущего финансового года - до 30% от
общего объема средств, направляемых на
выплаты медицинским организациям в
случае достижения ими значений
показателей результативности
деятельности, запланированного на год;
- по итогам второго полугодия
текущего финансового года (текущего
финансового года) - оставшийся объем
средств, направляемый на выплаты
медицинским организациям в случае
достижения ими значений показателей
результативности деятельности.
Объем средств, направляемый в
медицинские организации по итогам
оценки достижения значений показателей
результативности деятельности,
складывается из двух частей:
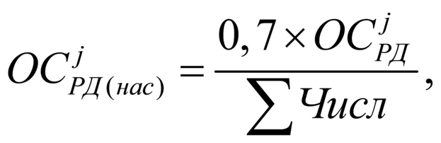
1 часть - распределение 70 процентов
от объема средств с учетом показателей
результативности за соответствующий
период.
Указанные средства распределяются
среди медицинских организаций II и III
групп с учетом численности
прикрепленного населения.
где:
- объем средств, используемый при
распределении 70 процентов от объема
средств на стимулирование медицинских
организаций за j-ый период, в расчете на 1
прикрепленное лицо, рублей;
- совокупный объем средств на
стимулирование медицинских организаций,
достигнувших значений показателей
результативности деятельности, за j-ый
период, рублей;
- численность прикрепленного
населения в j-м периоде ко всем
медицинским организациям II и III групп.
При расчете используется средняя
численность прикрепленного населения к
конкретной медицинской организации за
период оценки.
Объем средств, направляемый в i-ю
медицинскую организацию II и III групп за
j-тый период при распределении 1 части
средств в размере 70 процентов от объема
средств с учетом показателей
результативности (
), рассчитывается следующим
образом:
где:
- численность прикрепленного
населения в j-м периоде к i-той
медицинской организации II и III групп.
2 часть - распределение 30 процентов
от объема средств с учетом показателей
результативности за соответствующий
период.
Указанные средства распределяются
среди медицинских организаций III группы
с учетом абсолютного количества
набранных соответствующими
медицинскими организациями баллов.
где:
- объем средств, используемый при
распределении 30 процентов от объема
средств на стимулирование медицинских
организаций за j-ый период, в расчете на 1
балл, рублей;
- совокупный объем средств на
стимулирование медицинских организаций,
достигнувших значений показателей
результативности деятельности, за j-ый
период, рублей;
- количество баллов, набранных в j-м
периоде всеми медицинскими
организациями III группы.
Объем средств, направляемый в i-ю
медицинскую организацию III группы за
j-тый период, при распределении 30
процентов от объема средств на
стимулирование медицинских организаций
(
), рассчитывается следующим
образом:
где:
- количество баллов, набранных в j-м
периоде i-той медицинской организацией III
группы.
Общий объем средств, направляемых
на оплату медицинской помощи с учетом
показателей результативности
деятельности в медицинскую организацию
III группы за j-тый период, определяется
путем суммирования 1 и 2 частей, а для
медицинских организаций I группы за j-тый
период - равняется нулю.
Осуществление выплат
стимулирующего характера в полном
объеме медицинской организации,
оказывающей медицинскую помощь в
амбулаторных условиях, по результатам
оценки ее деятельности, производится при
условии фактического выполнения не
менее 90 процентов установленных
решением Комиссии объемов
предоставления медицинской помощи с
профилактической и иными целями, а также
по поводу заболеваний (посещений и
обращений соответственно) в разрезе
одной из указанной единицы объема
медицинской помощи.
При условии выполнения медицинской
организацией менее 90 процентов
указанного объема медицинской помощи
(посещений и/или обращений), Комиссия
вправе применять понижающие
коэффициенты к размеру стимулирующих
выплат в зависимости от процента
выполнения объемов медицинской помощи.
При выполнении медицинской
организацией от 50% до 90% объемов
предоставления медицинской помощи с
профилактической и иными целями, а также
по поводу заболеваний (посещений и
обращений соответственно) в разрезе
одной из указанных единиц объемов
медицинской помощи к рассчитанному
исходя из количества баллов объему
средств, подлежащему перечислению в
медицинскую организацию, применяется
понижающий коэффициент в размере 0,5.
При выполнении медицинской
организацией менее 50% объемов
предоставления медицинской помощи с
профилактической и иными целями, а также
по поводу заболеваний (посещений и
обращений соответственно) в разрезе
одной из указанных единиц объемов
медицинской помощи к рассчитанному
исходя из количества баллов объему
средств, подлежащему перечислению в
медицинскую организацию, применяется
понижающий коэффициент в размере 0,1.
Размер средств, направляемых на
выплаты медицинским организациям в
случае достижения ими значений
показателей результативности
деятельности (включая показатели объема
медицинской помощи), утверждается
протоколом на основании решения
Комиссии. Перечисление средств на
основании решения Комиссии
осуществляется страховыми медицинскими
организациями (с выделением суммы
средств, направляемых на стимулирование)
в составе средств, направляемых на
финансовое обеспечение медицинских
организаций, финансируемых по
подушевому нормативу финансирования на
прикрепившихся лиц.
По итогам второго полугодия
текущего финансового года (текущего
финансового года) средства на выплаты
медицинским организациям в случае
достижения ими значений показателей
результативности деятельности
направляются в страховые медицинские
организации в срок не позднее 30 декабря
2022 года.
Медицинским организациям в
соответствии с коллективными
договорами, соглашениями, локальными
нормативными актами, заключаемыми в
соответствии с трудовым
законодательством и иными нормативными
правовыми актами, содержащими нормы
трудового права и регулирующими системы
оплаты труда в медицинской организациях,
в том числе системы доплат и надбавок
стимулирующего характера и системы
премирования, необходимо предусмотреть
стимулирующие выплаты медицинским
работникам за достижение показателей
результативности деятельности.".
2. Приложение 7 к Тарифному
соглашению изложить в новой редакции:
"Приложение 7
к Тарифному соглашению
в сфере ОМС
Волгоградской области
на 2022 год
ПЕРЕЧЕНЬ ПОКАЗАТЕЛЕЙ РЕЗУЛЬТАТИВНОСТИ ДЕЯТЕЛЬНОСТИ МЕДИЦИНСКИХ ОРГАНИЗАЦИЙ, В КОТОРЫХ ОПЛАТА МЕДИЦИНСКОЙ ПОМОЩИ ОСУЩЕСТВЛЯЕТСЯ ПО ПОДУШЕВОМУ НОРМАТИВУ ФИНАНСИРОВАНИЯ НА ПРИКРЕПИВШИХСЯ ЛИЦ ПО ВСЕМ ВИДАМ И УСЛОВИЯМ ОКАЗАНИЯ МЕДИЦИНСКОЙ ПОМОЩИ, ПРИ ВЫПОЛНЕНИИ ТЕРРИТОРИАЛЬНОЙ ПРОГРАММЫ ОБЯЗАТЕЛЬНОГО МЕДИЦИНСКОГО СТРАХОВАНИЯ В ЧАСТИ ПЕРВИЧНОЙ (ПЕРВИЧНОЙ СПЕЦИАЛИЗИРОВАННОЙ) МЕДИКО-САНИТАРНОЙ ПОМОЩИ
N |
Наименование показателя |
Предположительный результат |
Критерии оценки |
Максимальный балл |
Блок 1. Взрослое население (в возрасте 18 лет и старше) |
25 | |||
Оценка эффективности профилактических мероприятий | ||||
1 |
Доля врачебных посещений с профилактической целью за период, от общего числа посещений за период (включая посещения на дому) |
Прирост показателя за период по отношению к показателю за предыдущий период |
Прирост < 3% - 0 баллов; Прирост >= 3% - 0,5 балла; Прирост >= 7% - 1 балл |
1 |
2 |
Доля взрослых пациентов с болезнями системы кровообращения, выявленными впервые при профилактических медицинских осмотрах и диспансеризации за период, от общего числа взрослых пациентов с болезнями системы кровообращения с впервые в жизни установленным диагнозом за период |
Прирост показателя за период по отношению к показателю за предыдущий период |
Прирост < 5% - 0 баллов; Прирост >= 5% - 1 балл; Прирост >= 10% - 2 балла |
2 |
3 |
Доля взрослых пациентов с установленным диагнозом злокачественное новообразование, выявленным впервые при профилактических медицинских осмотрах и диспансеризации за период, от общего числа взрослых пациентов с впервые в жизни установленным диагнозом злокачественное новообразование за период |
Прирост показателя за период по отношению к показателю за предыдущий период |
Прирост < 5% - 0 баллов; Прирост >= 5% - 0,5 балла; Прирост >= 10% - 1 балл |
1 |
4 |
Доля взрослых пациентов с установленным диагнозом хроническая обструктивная болезнь легких, выявленным впервые при профилактических медицинских осмотрах и диспансеризации за период, от общего числа взрослых пациентов с впервые в жизни установленным диагнозом хроническая обструктивная легочная болезнь за период |
Прирост показателя за период по отношению к показателю за предыдущий период |
Прирост < 5% - 0 баллов; Прирост >= 5% - 0,5 балла; Прирост >= 10% - 1 балл |
1 |
5 |
Доля взрослых пациентов с установленным диагнозом сахарный диабет, выявленным впервые при профилактических медицинских осмотрах и диспансеризации за период, от общего числа взрослых пациентов с впервые в жизни установленным диагнозом сахарный диабет за период |
Прирост показателя за период по отношению к показателю за предыдущий период |
Прирост < 5% - 0 баллов; Прирост >= 5% - 0,5 балла; Прирост >= 10% - 1 балл |
1 |
6 |
Выполнение плана вакцинации взрослых граждан против новой коронавирусной инфекции (COVID-19) по эпидемиологическим показаниям за период |
Достижение планового показателя |
100% плана или более |
2 |
Оценка эффективности диспансерного наблюдения | ||||
7 |
Доля взрослых пациентов с болезнями системы кровообращения, имеющих высокий риск преждевременной смерти, состоящих под диспансерным наблюдением, от общего числа взрослых пациентов с болезнями системы кровообращения, имеющих высокий риск преждевременной смерти, за период |
Прирост показателя за период по отношению к показателю за предыдущий период |
Прирост < 3% - 0 баллов; Прирост >= 3% - 1 балл; Прирост >= 7% - 2 балла |
2 |
8 |
Число взрослых пациентов с болезнями системы кровообращения, имеющих высокий риск преждевременной смерти, которым за период оказана медицинская помощь в неотложной форме и (или) скорая медицинская помощь, от общего числа взрослых пациентов с болезнями системы кровообращения, имеющих высокий риск преждевременной смерти, за период |
Уменьшение показателя за период по отношению к показателю в предыдущем периоде |
Уменьшение < 5% - 0 баллов; Уменьшение >= 5% - 0,5 балла; Уменьшение >= 10% - 1 балл |
1 |
9 |
Доля взрослых пациентов с болезнями системы кровообращения, в отношении которых установлено диспансерное наблюдение за период, от общего числа взрослых пациентов с впервые в жизни установленным диагнозом болезни системы кровообращения за период |
Достижение планового показателя |
100% плана или более |
1 |
10 |
Доля взрослых пациентов с установленным диагнозом хроническая обструктивная болезнь легких, в отношении которых установлено диспансерное наблюдение за период, от общего числа взрослых пациентов с впервые в жизни установленным диагнозом хроническая обструктивная болезнь легких за период |
Достижение планового показателя |
100% плана или более |
1 |
11 |
Доля взрослых пациентов с установленным диагнозом сахарный диабет, в отношении которых установлено диспансерное наблюдение за период, от общего числа взрослых пациентов с впервые в жизни установленным диагнозом сахарный диабет за период |
Достижение планового показателя |
100% плана или более |
2 |
12 |
Доля взрослых пациентов, госпитализированных за период по экстренным показаниям в связи с обострением (декомпенсацией) состояний, по поводу которых пациент находится под диспансерным наблюдением, от общего числа взрослых пациентов, находящихся под диспансерным наблюдением за период |
Уменьшение показателя за период по отношению к показателю в предыдущем периоде |
Уменьшение < 5% - 0 баллов; Уменьшение >= 5% - 0,5 балла; Уменьшение >= 10% - 1 балл |
1 |
13 |
Доля взрослых пациентов, повторно госпитализированных за период по причине заболеваний сердечно-сосудистой системы или их осложнений в течение года с момента предыдущей госпитализации, от общего числа взрослых пациентов, госпитализированных за период по причине заболеваний сердечно-сосудистой системы или их осложнений |
Уменьшение показателя за период по отношению к показателю в предыдущем периоде |
Уменьшение < 3% - 0 баллов; Уменьшение >= 3% - 1 балл; Уменьшение >= 7% - 2 балла |
2 |
14 |
Доля взрослых пациентов, находящихся под диспансерным наблюдением по поводу сахарного диабета, у которых впервые зарегистрированы осложнения за период (диабетическая ретинопатия, диабетическая стопа), от общего числа взрослых пациентов, находящихся под диспансерным наблюдением по поводу сахарного диабета за период |
Уменьшение показателя за период по отношению к показателю в предыдущем периоде |
Уменьшение < 5% - 0 баллов; Уменьшение >= 5% - 0,5 балла; Уменьшение >= 10% - 1 балл |
1 |
Оценка смертности | ||||
15 |
Смертность прикрепленного населения в возрасте от 30 до 69 лет за период |
Уменьшение показателя за период по отношению к показателю в предыдущем периоде (среднее значение коэффициента смертности за 2019, 2020, 2021 годы) |
Увеличение показателя смертности - 0 баллов; Без динамики или уменьшение <2% - 0,5 баллов; Уменьшение от 2 до 5% - 1 балл; Уменьшение от 5 до 10% - 2 балла; Уменьшение >= 10% - 3 балла |
3 |
16 |
Число умерших за период, находящихся под диспансерным наблюдением, от общего числа взрослых пациентов, находящихся под диспансерным наблюдением |
Уменьшение показателя за период по отношению к показателю в предыдущем периоде |
Уменьшение < 3% - 0 баллов; Уменьшение >= 3% - 1,5 балла; Уменьшение >= 7% - 3 балла |
3 |
Блок 2. Детское население (от 0 до 17 лет включительно) |
10 | |||
Оценка эффективности профилактических мероприятий | ||||
17 |
Охват вакцинацией детей в рамках Национального календаря прививок |
Достижение планового показателя |
100% плана или более |
1 |
18 |
Доля детей, в отношении которых установлено диспансерное наблюдение по поводу болезней костно-мышечной системы и соединительной ткани за период, от общего числа детей с впервые в жизни установленными диагнозами болезней костно-мышечной системы и соединительной ткани за период |
Достижение планового показателя |
100% от числа подлежащих диспансерному наблюдению |
1 |
19 |
Доля детей, в отношении которых установлено диспансерное наблюдение по поводу болезней глаза и его придаточного аппарата за период, от общего числа детей с впервые в жизни установленными диагнозами болезней глаза и его придаточного аппарата за период |
Достижение планового показателя |
100% от числа подлежащих диспансерному наблюдению |
1 |
20 |
Доля детей, в отношении которых установлено диспансерное наблюдение по поводу болезней органов пищеварения за период, от общего числа детей с впервые в жизни установленными диагнозами болезней органов пищеварения за период |
Достижение планового показателя |
100% от числа подлежащих диспансерному наблюдению |
1 |
21 |
Доля детей, в отношении которых установлено диспансерное наблюдение по поводу болезней системы кровообращения за период от общего числа детей с впервые в жизни установленными диагнозами болезней системы кровообращения за период |
Достижение планового показателя |
100% от числа подлежащих диспансерному наблюдению |
2 |
22 |
Доля детей, в отношении которых установлено диспансерное наблюдение по поводу болезней эндокринной системы, расстройства питания и нарушения обмена веществ за период, от общего числа детей с впервые в жизни установленными диагнозами болезней эндокринной системы, расстройства питания и нарушения обмена веществ за период |
Достижение планового показателя |
100% от числа подлежащих диспансерному наблюдению |
1 |
Оценка смертности | ||||
23 |
Смертность детей в возрасте 0 - 17 лет за период |
Уменьшение показателя за период по отношению к показателю в предыдущем периоде |
Увеличение показателя смертности - 0 баллов; Без динамики или уменьшение до 2% - 0,5 баллов; Уменьшение от 2 до 5% - 1 балл; Уменьшение от 5 до 10% - 2 балла; Уменьшение >= 10% - 3 балла; Значение в текущем и предыдущем периодах равно нулю - 1 балл |
3 |
Блок 3. Оказание акушерско-гинекологической помощи |
6 | |||
Оценка эффективности профилактических мероприятий | ||||
24 |
Доля женщин, отказавшихся от искусственного прерывания беременности, от числа женщин, прошедших доабортное консультирование за период |
Прирост показателя за период по отношению к показателю за предыдущий период |
Прирост < 5% - 0 баллов; Прирост >= 5% - 0,5 балла; Прирост >= 10% - 1 балл |
1 |
25 |
Доля беременных женщин, вакцинированных против новой коронавирусной инфекции (COVID-19), за период, от числа женщин, состоящих на учете по беременности и родам на начало периода |
Достижение планового показателя |
100% плана или более |
1 |
26 |
Доля женщин с установленным диагнозом злокачественное новообразование шейки матки, выявленным впервые при диспансеризации, от общего числа женщин с установленным диагнозом злокачественное новообразование шейки матки за период |
Прирост показателя за период по отношению к показателю за предыдущий период |
Прирост < 5% - 0 баллов; Прирост >= 5% - 0,5 балла; Прирост >= 10% - 1 балл |
1 |
27 |
Доля женщин с установленным диагнозом злокачественное новообразование молочной железы, выявленным впервые при диспансеризации, от общего числа женщин с установленным диагнозом злокачественное новообразование молочной железы за период |
Прирост показателя за период по отношению к показателю за предыдущий период |
Прирост < 5% - 0 баллов; Прирост >= 5% - 0,5 балла; Прирост >= 10% - 1 балл |
1 |
28 |
Доля беременных женщин, прошедших скрининг в части оценки антенатального развития плода за период, от общего числа женщин, состоявших на учете по поводу беременности и родов за период |
Достижение планового показателя |
100% плана или более |
2 |
Доля средств, направляемых на
выплаты медицинским организациям, в
которых оплата медицинской помощи
осуществляется по подушевому нормативу
финансирования на прикрепившихся лиц, в
случае достижения ими значений
показателей результативности
деятельности (включая показатели объема
медицинской помощи) устанавливается в
общем размере 5% от базового подушевого
норматива финансирования медицинской
помощи, оказанной в амбулаторных
условиях, в медицинских организациях,
указанных в части 1.1 приложения 2 и
приложении 8 к настоящему Тарифному
соглашению.
Оценка деятельности медицинских
организаций в 2022 году с целью
осуществления выплат в случае
достижения ими значений показателей
результативности деятельности (включая
показатели объема медицинской помощи)
осуществляется поквартально
нарастающим итогом:
- за 1 и 2 кварталы текущего
финансового года - для оценки
показателей используются сведения об
оказанной медицинской помощи за период 3,
6 месяцев 2022 года,
- за 3 квартал текущего финансового
года - для оценки показателей
используются сведения о медицинской
помощи за период 9 месяцев с декабря 2021
года по август 2022 года,
- за 4 квартал текущего финансового
года (текущий финансовый год) - для оценки
показателей используются сведения об
оказанной медицинской помощи за период с
декабря 2021 года по ноябрь 2022 года
включительно.
Для оценки достижения значений
показателей результативности
деятельности медицинских организаций, в
которых оплата медицинской помощи
осуществляется по подушевому нормативу
финансирования на прикрепившихся лиц по
всем видам и условиям оказания
медицинской помощи, применяются
показатели результативности
деятельности медицинских организаций, в
которых оплата медицинской помощи
осуществляется по подушевому нормативу
финансирования на прикрепившихся лиц по
всем видам и условиям оказания
медицинской помощи и критерии их оценки.
Показатели разделены на блоки,
отражающие результативность оказания
медицинской помощи разным категориям
населения (взрослому населению, детскому
населению, акушерско-гинекологической
помощи) в амбулаторных условиях.
Каждый показатель, включенный в
блок, оценивается в баллах, которые
суммируются. Максимально возможная
сумма баллов по каждому блоку
составляет:
- 25 баллов для показателей блока 1;
- 10 баллов для показателей блока 2;
- 6 баллов для показателей блока 3.
В зависимости от результатов
деятельности медицинской организации по
каждому показателю определяется балл в
диапазоне от 0 до 3 баллов.
С учетом фактического выполнения
показателей медицинские организации
распределяются на три группы:
I - выполнившие до 50 процентов
показателей,
II - от 50 до 70 процентов показателей,
III - свыше 70 процентов показателей.
Оценка достижения значений
показателей результативности
деятельности медицинских организаций
оформляется решением Комиссии, которое
доводится "ТФОМС Волгоградской области"
до сведения медицинских организаций не
позднее 25 числа месяца, следующего за
отчетным периодом оценки.
Определение в 2022 году размера
средств в разрезе медицинских
организаций, оказывающих медицинскую
помощь в амбулаторных условиях, и
осуществление выплат по результатам
оценки достижения медицинскими
организациями значений показателей
результативности деятельности (включая
показатели объема медицинской помощи)
производится по итогам первого
полугодия текущего финансового года и по
итогам второго полугодия текущего
финансового года (текущего финансового
года) на основании решения Комиссии.
Размер средств, установленный для
выплат медицинским организациям за
достижение ими показателей
результативности деятельности,
составляет:
- по итогам первого полугодия
текущего финансового года - до 30% от
общего объема средств, направляемых на
выплаты медицинским организациям в
случае достижения ими значений
показателей результативности
деятельности, запланированного на год;
- по итогам второго полугодия
текущего финансового года (текущего
финансового года) - оставшийся объем
средств, направляемый на выплаты
медицинским организациям в случае
достижения ими значений показателей
результативности деятельности.
Объем средств, направляемый в
медицинские организации по итогам
оценки достижения значений показателей
результативности деятельности,
складывается из двух частей:
1 часть - распределение 70 процентов
от объема средств с учетом показателей
результативности за соответствующий
период.
Указанные средства распределяются
среди медицинских организаций II и III
групп с учетом численности
прикрепленного населения.
где:
- объем средств, используемый при
распределении 70 процентов от объема
средств на стимулирование медицинских
организаций за j-ый период, в расчете на 1
прикрепленное лицо, рублей;
- совокупный объем средств на
стимулирование медицинских организаций,
достигнувших значений показателей
результативности деятельности, за j-ый
период, рублей;
- численность прикрепленного
населения в j-м периоде ко всем
медицинским организациям II и III групп.
При расчете используется средняя
численность прикрепленного населения к
конкретной медицинской организации за
период оценки.
Объем средств, направляемый в i-ю
медицинскую организацию II и III групп за
j-тый период при распределении 1 части
средств в размере 70 процентов от объема
средств с учетом показателей
результативности (
), рассчитывается следующим
образом:
где:
- численность прикрепленного
населения в j-м периоде к i-той
медицинской организации II и III групп.
2 часть - распределение 30 процентов
от объема средств с учетом показателей
результативности за соответствующий
период.
Указанные средства распределяются
среди медицинских организаций III группы
с учетом абсолютного количества
набранных соответствующими
медицинскими организациями баллов.
где:
- объем средств, используемый при
распределении 30 процентов от объема
средств на стимулирование медицинских
организаций за j-ый период, в расчете на 1
балл, рублей;
- совокупный объем средств на
стимулирование медицинских организаций,
достигнувших значений показателей
результативности деятельности, за j-ый
период, рублей;
- количество баллов, набранных в j-м
периоде всеми медицинскими
организациями III группы.
Объем средств, направляемый в i-ю
медицинскую организацию III группы за
j-тый период, при распределении 30
процентов от объема средств на
стимулирование медицинских организаций
(
), рассчитывается следующим
образом:
где:
- количество баллов, набранных в j-м
периоде i-той медицинской организацией III
группы.
Общий объем средств, направляемых
на оплату медицинской помощи с учетом
показателей результативности
деятельности в медицинскую организацию
III группы за j-тый период, определяется
путем суммирования 1 и 2 частей, а для
медицинских организаций I группы за j-тый
период - равняется нулю.
Осуществление выплат
стимулирующего характера в полном
объеме медицинской организации,
оказывающей медицинскую помощь в
амбулаторных условиях, по результатам
оценки ее деятельности, производится при
условии фактического выполнения не
менее 90 процентов установленных
решением Комиссии объемов
предоставления медицинской помощи с
профилактической и иными целями, а также
по поводу заболеваний (посещений и
обращений соответственно) в разрезе
одной из указанной единицы объема
медицинской помощи.
При условии выполнения медицинской
организацией менее 90 процентов
указанного объема медицинской помощи
(посещений и/или обращений), Комиссия
вправе применять понижающие
коэффициенты к размеру стимулирующих
выплат в зависимости от процента
выполнения объемов медицинской помощи.
При выполнении медицинской
организацией от 50% до 90% объемов
предоставления медицинской помощи с
профилактической и иными целями, а также
по поводу заболеваний (посещений и
обращений соответственно) в разрезе
одной из указанных единиц объемов
медицинской помощи к рассчитанному
исходя из количества баллов объему
средств, подлежащему перечислению в
медицинскую организацию, применяется
понижающий коэффициент в размере 0,5.
При выполнении медицинской
организацией менее 50% объемов
предоставления медицинской помощи с
профилактической и иными целями, а также
по поводу заболеваний (посещений и
обращений соответственно) в разрезе
одной из указанных единиц объемов
медицинской помощи к рассчитанному
исходя из количества баллов объему
средств, подлежащему перечислению в
медицинскую организацию, применяется
понижающий коэффициент в размере 0,1.
Размер средств, направляемых на
выплаты медицинским организациям в
случае достижения ими значений
показателей результативности
деятельности (включая показатели объема
медицинской помощи), утверждается
протоколом на основании решения
Комиссии. Перечисление средств на
основании решения Комиссии
осуществляется страховыми медицинскими
организациями (с выделением суммы
средств, направляемых на стимулирование)
в составе средств, направляемых на
финансовое обеспечение медицинских
организаций, финансируемых по
подушевому нормативу финансирования на
прикрепившихся лиц по всем видам и
условиям оказания медицинской помощи.
По итогам второго полугодия
текущего финансового года (текущего
финансового года) средства на выплаты
медицинским организациям в случае
достижения ими значений показателей
результативности деятельности
направляются в страховые медицинские
организации в срок не позднее 30 декабря
2022 года.
Медицинским организациям в
соответствии с коллективными
договорами, соглашениями, локальными
нормативными актами, заключаемыми в
соответствии с трудовым
законодательством и иными нормативными
правовыми актами, содержащими нормы
трудового права и регулирующими системы
оплаты труда в медицинской организациях,
в том числе системы доплат и надбавок
стимулирующего характера и системы
премирования, необходимо предусмотреть
стимулирующие выплаты медицинским
работникам за достижение показателей
результативности деятельности.".




