Дополнительное соглашение к "Тарифному
соглашению по оплате медицинской помощи
в сфере обязательного медицинского
страхования Курганской области на 2022
год"
от 27 июля 2022 года N 7
г. Курган
В соответствии с Федеральным
законом от 29.11.2010 N 326-ФЗ "Об обязательном
медицинском страховании в Российской
Федерации", Постановлением
Правительства Курганской области от
13.03.2012 N 71 "О комиссии по разработке
территориальной программы
обязательного медицинского страхования
в Курганской области", на основании
решения комиссии по разработке
территориальной программы
обязательного медицинского страхования
в Курганской области от 27 июля 2022 года,
стороны заключили настоящее
Дополнительное соглашение к "Тарифному
соглашению по оплате медицинской помощи
в сфере обязательного медицинского
страхования Курганской области на 2022
год" (далее - Тарифное соглашение) о
нижеследующем:
1. Приложение 2.4 "Размер финансового
обеспечения фельдшерских,
фельдшерско-акушерских пунктов"
изложить в редакции приложения N 1 к
настоящему Дополнительному соглашению.
2. Приложение 2.5.1 "Стоимость
исследований и медицинских
вмешательств, включенных в углубленную
диспансеризацию" изложить в редакции
приложения N 2 к настоящему
Дополнительному соглашению.
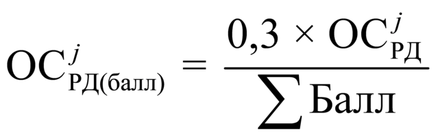
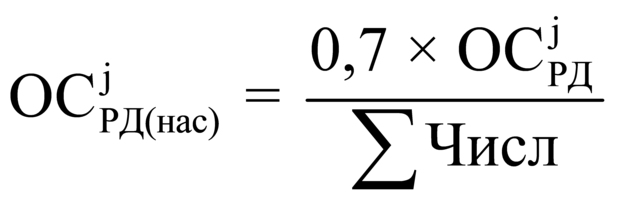
3. Приложение 2.3.1 "Порядок
осуществления выплат медицинскими
организациями за достижение показателей
результативности деятельности
медицинских организаций" изложить в
редакции приложения N 3 к настоящему
Дополнительному соглашению.
4. Настоящее Дополнительное
соглашение вступает в силу с момента его
подписания сторонами и распространяет
свое действие с 01.07.2022.
Приложение N 1
к Дополнительному соглашению
от 27 июля 2022 г. N 7
к Тарифному соглашению
по оплате медицинской помощи в сфере
обязательного медицинского
страхования
Курганской области на 2022 год
Приложение N 2.4
к Тарифному соглашению
по оплате медицинской помощи
в сфере обязательного медицинского
страхования
Курганской области на 2022 год
РАЗМЕР ФИНАНСОВОГО ОБЕСПЕЧЕНИЯ
ФЕЛЬДШЕРСКИХ, ФЕЛЬДШЕРСКО-АКУШЕРСКИХ
ПУНКТОВ
|
Федеральный норматив |
Коэффициент дифференциации |
Коэффициент уровня |
Тариф, рублей |
обслуживающих от 50 до 99 жителей |
1 087 700,00 |
1,105 |
0,30 |
360 572,55 |
обслуживающих от 100 до 899 жителей |
1 087 700,00 |
|
1,00 |
1 201 908,50 |
обслуживающих от 900 до 1499 жителей |
1 723 100,00 |
|
1,00 |
1 904 025,50 |
обслуживающих от 1500 до 2000 жителей |
1 934 900,00 |
|
1,00 |
2 138 064,50 |
обслуживающих от 2000 жителей |
1 934 900,00 |
|
1,00 |
2 138 064,50 |
Коэффициент специфики (применяется при неукомплектованности штатов на ФАПе, ФП) |
0,40 |
| ||
N |
МО |
Наименование ФАП/ФП, с указанием населенного пункта |
Численность населения, прикрепленного к ФАП/ФП |
Годовой размер финансового обеспечения, рублей |
январь 2022 г. |
февраль - апрель 2022 г. |
май 2022 г. |
июнь 2022 г. |
июль - декабрь 2022 г. | ||||||||||||||||||||||||||||||||||
|
|
|
|
|
(+; -) <*> |
месячный размер финансового обеспечения, рублей |
(+; -) <*> |
месячный размер финансового обеспечения, рублей |
(+; -) <*> |
месячный размер финансового обеспечения, рублей |
(+; -) <*> |
месячный размер финансового обеспечения, рублей |
(+; -) <*> |
месячный размер финансового обеспечения, рублей | |||||||||||||||||||||||||||||
1 |
ГБУ "Альменевская центральная районная больница" |
ФАП д. Искандарово |
83 |
360 572,52 |
+ |
30 047,71 |
+ |
30 047,71 |
+ |
30 047,71 |
+ |
30 047,71 |
+ |
30 047,71 | |||||||||||||||||||||||||||||
2 |
ГБУ "Альменевская центральная районная больница" |
ФАП д. Зеникай |
93 |
144 229,08 |
- |
12 019,09 |
- |
12 019,09 |
- |
12 019,09 |
- |
12 019,09 |
- |
12 019,09 | |||||||||||||||||||||||||||||
3 |
ГБУ "Альменевская центральная районная больница" |
ФАП д. Казаккулово |
97 |
72 114,54 |
- |
12 019,09 |
- |
12 019,09 |
- |
12 019,09 |
- |
12 019,09 |
|
- | |||||||||||||||||||||||||||||
4 |
ГБУ "Альменевская центральная районная больница" |
ФАП д. Шарипово |
278 |
480 763,44 |
- |
40 063,62 |
- |
40 063,62 |
- |
40 063,62 |
- |
40 063,62 |
- |
40 063,62 | |||||||||||||||||||||||||||||
5 |
ГБУ "Альменевская центральная районная больница" |
ФАП д. Казенное |
283 |
1 201 908,48 |
+ |
100 159,04 |
+ |
100 159,04 |
+ |
100 159,04 |
+ |
100 159,04 |
+ |
100 159,04 | |||||||||||||||||||||||||||||
6 |
ГБУ "Альменевская центральная районная больница" |
ФАП с. Малышево |
351 |
1 201 908,48 |
+ |
100 159,04 |
+ |
100 159,04 |
+ |
100 159,04 |
+ |
100 159,04 |
+ |
100 159,04 | |||||||||||||||||||||||||||||
7 |
ГБУ "Альменевская центральная районная больница" |
ФАП с. Юламаново |
369 |
1 201 908,48 |
+ |
100 159,04 |
+ |
100 159,04 |
+ |
100 159,04 |
+ |
100 159,04 |
+ |
100 159,04 | |||||||||||||||||||||||||||||
8 |
ГБУ "Альменевская центральная районная больница" |
ФАП с. Танрыкулово |
526 |
1 201 908,48 |
+ |
100 159,04 |
+ |
100 159,04 |
+ |
100 159,04 |
+ |
100 159,04 |
+ |
100 159,04 | |||||||||||||||||||||||||||||
9 |
ГБУ "Альменевская центральная районная больница" |
ФАП с. Мир |
711 |
1 201 908,48 |
+ |
100 159,04 |
+ |
100 159,04 |
+ |
100 159,04 |
+ |
100 159,04 |
+ |
100 159,04 | |||||||||||||||||||||||||||||
10 |
ГБУ "Белозерская центральная районная больница" |
ФАП д. Ачикуль |
87 |
360 572,52 |
+ |
30 047,71 |
+ |
30 047,71 |
+ |
30 047,71 |
+ |
30 047,71 |
+ |
30 047,71 | |||||||||||||||||||||||||||||
11 |
ГБУ "Белозерская центральная районная больница" |
ФАП д. Екимово |
118 |
480 763,44 |
- |
40 063,62 |
- |
40 063,62 |
- |
40 063,62 |
- |
40 063,62 |
- |
40 063,62 | |||||||||||||||||||||||||||||
12 |
ГБУ "Белозерская центральная районная больница" |
ФАП д. Мендерское |
136 |
480 763,44 |
- |
40 063,62 |
- |
40 063,62 |
- |
40 063,62 |
- |
40 063,62 |
- |
40 063,62 | |||||||||||||||||||||||||||||
13 |
ГБУ "Белозерская центральная районная больница" |
ФАП с. Речкино |
138 |
1 201 908,48 |
+ |
100 159,04 |
+ |
100 159,04 |
+ |
100 159,04 |
+ |
100 159,04 |
+ |
100 159,04 | |||||||||||||||||||||||||||||
14 |
ГБУ "Белозерская центральная районная больница" |
ФАП с. Усть-Суерское |
147 |
480 763,44 |
- |
40 063,62 |
- |
40 063,62 |
- |
40 063,62 |
- |
40 063,62 |
- |
40 063,62 | |||||||||||||||||||||||||||||
15 |
ГБУ "Белозерская центральная районная больница" |
ФАП д. Большое Зарослое |
173 |
1 201 908,48 |
+ |
100 159,04 |
+ |
100 159,04 |
+ |
100 159,04 |
+ |
100 159,04 |
+ |
100 159,04 | |||||||||||||||||||||||||||||
16 |
ГБУ "Белозерская центральная районная больница" |
ФАП д. Куликово |
176 |
480 763,44 |
- |
40 063,62 |
- |
40 063,62 |
- |
40 063,62 |
- |
40 063,62 |
- |
40 063,62 | |||||||||||||||||||||||||||||
17 |
ГБУ "Белозерская центральная районная больница" |
ФАП с. Новодостовалово |
193 |
1 201 908,48 |
+ |
100 159,04 |
+ |
100 159,04 |
+ |
100 159,04 |
+ |
100 159,04 |
+ |
100 159,04 | |||||||||||||||||||||||||||||
18 |
ГБУ "Белозерская центральная районная больница" |
ФАП с. Пьянково |
204 |
1 201 908,48 |
+ |
100 159,04 |
+ |
100 159,04 |
+ |
100 159,04 |
+ |
100 159,04 |
+ |
100 159,04 | |||||||||||||||||||||||||||||
19 |
ГБУ "Белозерская центральная районная больница" |
ФАП с. Романовское |
220 |
1 201 908,48 |
+ |
100 159,04 |
+ |
100 159,04 |
+ |
100 159,04 |
+ |
100 159,04 |
+ |
100 159,04 | |||||||||||||||||||||||||||||
20 |
ГБУ "Белозерская центральная районная больница" |
ФАП с. Большой Камаган |
240 |
1 201 908,48 |
+ |
100 159,04 |
+ |
100 159,04 |
+ |
100 159,04 |
+ |
100 159,04 |
+ |
100 159,04 | |||||||||||||||||||||||||||||
21 |
ГБУ "Белозерская центральная районная больница" |
ФАП с. Скопино |
273 |
480 763,44 |
- |
40 063,62 |
- |
40 063,62 |
- |
40 063,62 |
- |
40 063,62 |
- |
40 063,62 | |||||||||||||||||||||||||||||
22 |
ГБУ "Белозерская центральная районная больница" |
ФАП с. Зюзино |
301 |
480 763,44 |
- |
40 063,62 |
- |
40 063,62 |
- |
40 063,62 |
- |
40 063,62 |
- |
40 063,62 | |||||||||||||||||||||||||||||
23 |
ГБУ "Белозерская центральная районная больница" |
ФАП с. Скаты |
305 |
480 763,44 |
- |
40 063,62 |
- |
40 063,62 |
- |
40 063,62 |
- |
40 063,62 |
- |
40 063,62 | |||||||||||||||||||||||||||||
24 |
ГБУ "Белозерская центральная районная больница" |
ФАП с. Баярак |
312 |
1 201 908,48 |
+ |
100 159,04 |
+ |
100 159,04 |
+ |
100 159,04 |
+ |
100 159,04 |
+ |
100 159,04 | |||||||||||||||||||||||||||||
25 |
ГБУ "Белозерская центральная районная больница" |
ФАП пос. Стеклозавод |
316 |
1 201 908,48 |
+ |
100 159,04 |
+ |
100 159,04 |
+ |
100 159,04 |
+ |
100 159,04 |
+ |
100 159,04 | |||||||||||||||||||||||||||||
26 |
ГБУ "Белозерская центральная районная больница" |
ФАП с. Чимеево |
350 |
1 201 908,48 |
+ |
100 159,04 |
+ |
100 159,04 |
+ |
100 159,04 |
+ |
100 159,04 |
+ |
100 159,04 | |||||||||||||||||||||||||||||
27 |
ГБУ "Белозерская центральная районная больница" |
ФАП д. Ягодная |
422 |
1 201 908,48 |
+ |
100 159,04 |
+ |
100 159,04 |
+ |
100 159,04 |
+ |
100 159,04 |
+ |
100 159,04 | |||||||||||||||||||||||||||||
28 |
ГБУ "Белозерская центральная районная больница" |
ФАП д. Редькино |
439 |
1 201 908,48 |
+ |
100 159,04 |
+ |
100 159,04 |
+ |
100 159,04 |
+ |
100 159,04 |
+ |
100 159,04 | |||||||||||||||||||||||||||||
29 |
ГБУ "Белозерская центральная районная больница" |
ФАП с. Нижнетобольное |
471 |
480 763,44 |
- |
40 063,62 |
- |
40 063,62 |
- |
40 063,62 |
- |
40 063,62 |
- |
40 063,62 | |||||||||||||||||||||||||||||
30 |
ГБУ "Белозерская центральная районная больница" |
ФАП с. Рычково |
523 |
1 201 908,48 |
+ |
100 159,04 |
+ |
100 159,04 |
+ |
100 159,04 |
+ |
100 159,04 |
+ |
100 159,04 | |||||||||||||||||||||||||||||
31 |
ГБУ "Белозерская центральная районная больница" |
ФАП с. Боровлянка |
723 |
1 201 908,48 |
+ |
100 159,04 |
+ |
100 159,04 |
+ |
100 159,04 |
+ |
100 159,04 |
+ |
100 159,04 | |||||||||||||||||||||||||||||
32 |
ГБУ "Белозерская центральная районная больница" |
ФАП с. Памятное |
777 |
1 201 908,48 |
+ |
100 159,04 |
+ |
100 159,04 |
+ |
100 159,04 |
+ |
100 159,04 |
+ |
100 159,04 | |||||||||||||||||||||||||||||
33 |
ГБУ "Белозерская центральная районная больница" |
ФАП с. Боровское |
864 |
1 201 908,48 |
+ |
100 159,04 |
+ |
100 159,04 |
+ |
100 159,04 |
+ |
100 159,04 |
+ |
100 159,04 | |||||||||||||||||||||||||||||
34 |
ГБУ "Белозерская центральная районная больница" |
ФАП с. Першино |
903 |
761 610,24 |
- |
63 467,52 |
- |
63 467,52 |
- |
63 467,52 |
- |
63 467,52 |
- |
63 467,52 | |||||||||||||||||||||||||||||
35 |
ГБУ "Белозерская центральная районная больница" |
ФАП с. Светлый Дол |
930 |
761 610,24 |
- |
63 467,52 |
- |
63 467,52 |
- |
63 467,52 |
- |
63 467,52 |
- |
63 467,52 | |||||||||||||||||||||||||||||
36 |
ГБУ "Варгашинская центральная районная больница" |
ФАП с. Урал |
160 |
480 763,44 |
- |
40 063,62 |
- |
40 063,62 |
- |
40 063,62 |
- |
40 063,62 |
- |
40 063,62 | |||||||||||||||||||||||||||||
37 |
ГБУ "Варгашинская центральная районная больница" |
ФАП с. Дундино |
170 |
480 763,44 |
- |
40 063,62 |
- |
40 063,62 |
- |
40 063,62 |
- |
40 063,62 |
- |
40 063,62 | |||||||||||||||||||||||||||||
38 |
ГБУ "Варгашинская центральная районная больница" |
ФАП с. Медвежье |
188 |
721 145,12 |
+ |
100 159,04 |
+ |
100 159,04 |
- |
40 063,62 |
- |
40 063,62 |
- |
40 063,62 | |||||||||||||||||||||||||||||
39 |
ГБУ "Варгашинская центральная районная больница" |
ФАП с. Спорное |
214 |
480 763,44 |
- |
40 063,62 |
- |
40 063,62 |
- |
40 063,62 |
- |
40 063,62 |
- |
40 063,62 | |||||||||||||||||||||||||||||
40 |
ГБУ "Варгашинская центральная районная больница" |
ФАП с. Сычево |
235 |
480 763,44 |
- |
40 063,62 |
- |
40 063,62 |
- |
40 063,62 |
- |
40 063,62 |
- |
40 063,62 | |||||||||||||||||||||||||||||
41 |
ГБУ "Варгашинская центральная районная больница" |
ФАП с. Строево |
249 |
480 763,44 |
- |
40 063,62 |
- |
40 063,62 |
- |
40 063,62 |
- |
40 063,62 |
- |
40 063,62 | |||||||||||||||||||||||||||||
42 |
ГБУ "Варгашинская центральная районная больница" |
ФАП с. Терпугово |
260 |
480 763,44 |
- |
40 063,62 |
- |
40 063,62 |
- |
40 063,62 |
- |
40 063,62 |
- |
40 063,62 | |||||||||||||||||||||||||||||
43 |
ГБУ "Варгашинская центральная районная больница" |
ФАП с. Попово |
286 |
480 763,44 |
- |
40 063,62 |
- |
40 063,62 |
- |
40 063,62 |
- |
40 063,62 |
- |
40 063,62 | |||||||||||||||||||||||||||||
44 |
ГБУ "Варгашинская центральная районная больница" |
ФАП с. Яблочное |
315 |
480 763,44 |
- |
40 063,62 |
- |
40 063,62 |
- |
40 063,62 |
- |
40 063,62 |
- |
40 063,62 | |||||||||||||||||||||||||||||
45 |
ГБУ "Варгашинская центральная районная больница" |
ФАП с. Дубровное |
323 |
1 201 908,48 |
+ |
100 159,04 |
+ |
100 159,04 |
+ |
100 159,04 |
+ |
100 159,04 |
+ |
100 159,04 | |||||||||||||||||||||||||||||
46 |
ГБУ "Варгашинская центральная районная больница" |
ФАП с. Ошурково |
376 |
480 763,44 |
- |
40 063,62 |
- |
40 063,62 |
- |
40 063,62 |
- |
40 063,62 |
- |
40 063,62 | |||||||||||||||||||||||||||||
47 |
ГБУ "Варгашинская центральная районная больница" |
ФАП с. Барашково |
412 |
1 201 908,48 |
+ |
100 159,04 |
+ |
100 159,04 |
+ |
100 159,04 |
+ |
100 159,04 |
+ |
100 159,04 | |||||||||||||||||||||||||||||
48 |
ГБУ "Варгашинская центральная районная больница" |
ФАП с. Б. Просеково |
447 |
480 763,44 |
- |
40 063,62 |
- |
40 063,62 |
- |
40 063,62 |
- |
40 063,62 |
- |
40 063,62 | |||||||||||||||||||||||||||||
49 |
ГБУ "Варгашинская центральная районная больница" |
ФАП с. Лихачи |
479 |
1 201 908,48 |
+ |
100 159,04 |
+ |
100 159,04 |
+ |
100 159,04 |
+ |
100 159,04 |
+ |
100 159,04 | |||||||||||||||||||||||||||||
50 |
ГБУ "Варгашинская центральная районная больница" |
ФАП с. Варгаши |
480 |
480 763,44 |
- |
40 063,62 |
- |
40 063,62 |
- |
40 063,62 |
- |
40 063,62 |
- |
40 063,62 | |||||||||||||||||||||||||||||
51 |
ГБУ "Варгашинская центральная районная больница" |
ФАП с. Верхнесуерское |
802 |
1 201 908,48 |
+ |
100 159,04 |
+ |
100 159,04 |
+ |
100 159,04 |
+ |
100 159,04 |
+ |
100 159,04 | |||||||||||||||||||||||||||||
52 |
ГБУ "Варгашинская центральная районная больница" |
ФАП с. Пичугино |
850 |
480 763,44 |
- |
40 063,62 |
- |
40 063,62 |
- |
40 063,62 |
- |
40 063,62 |
- |
40 063,62 | |||||||||||||||||||||||||||||
53 |
ГБУ "Глядянская центральная районная больница" |
ФАП д. Патраки |
85 |
144 229,08 |
- |
12 019,09 |
- |
12 019,09 |
- |
12 019,09 |
- |
12 019,09 |
- |
12 019,09 | |||||||||||||||||||||||||||||
54 |
ГБУ "Глядянская центральная районная больница" |
ФАП д. Нижняя Алабуга |
153 |
480 763,44 |
- |
40 063,62 |
- |
40 063,62 |
- |
40 063,62 |
- |
40 063,62 |
- |
40 063,62 | |||||||||||||||||||||||||||||
55 |
ГБУ "Глядянская центральная районная больница" |
ФАП д. Мочалово |
177 |
480 763,44 |
- |
40 063,62 |
- |
40 063,62 |
- |
40 063,62 |
- |
40 063,62 |
- |
40 063,62 | |||||||||||||||||||||||||||||
56 |
ГБУ "Глядянская центральная районная больница" |
ФАП д. Обрядовка |
181 |
480 763,44 |
- |
40 063,62 |
- |
40 063,62 |
- |
40 063,62 |
- |
40 063,62 |
- |
40 063,62 | |||||||||||||||||||||||||||||
57 |
ГБУ "Глядянская центральная районная больница" |
ФАП с. Обухово |
264 |
480 763,44 |
- |
40 063,62 |
- |
40 063,62 |
- |
40 063,62 |
- |
40 063,62 |
- |
40 063,62 | |||||||||||||||||||||||||||||
58 |
ГБУ "Глядянская центральная районная больница" |
ФАП с. Гладковское |
352 |
480 763,44 |
- |
40 063,62 |
- |
40 063,62 |
- |
40 063,62 |
- |
40 063,62 |
- |
40 063,62 | |||||||||||||||||||||||||||||
59 |
ГБУ "Глядянская центральная районная больница" |
ФАП с. Ярославское |
357 |
480 763,44 |
- |
40 063,62 |
- |
40 063,62 |
- |
40 063,62 |
- |
40 063,62 |
- |
40 063,62 | |||||||||||||||||||||||||||||
60 |
ГБУ "Глядянская центральная районная больница" |
ФАП с. Притобольное |
414 |
480 763,44 |
- |
40 063,62 |
- |
40 063,62 |
- |
40 063,62 |
- |
40 063,62 |
- |
40 063,62 | |||||||||||||||||||||||||||||
61 |
ГБУ "Глядянская центральная районная больница" |
ФАП с. Нагорское |
433 |
480 763,44 |
- |
40 063,62 |
- |
40 063,62 |
- |
40 063,62 |
- |
40 063,62 |
- |
40 063,62 | |||||||||||||||||||||||||||||
62 |
ГБУ "Глядянская центральная районная больница" |
ФАП с. Ялым |
450 |
480 763,44 |
- |
40 063,62 |
- |
40 063,62 |
- |
40 063,62 |
- |
40 063,62 |
- |
40 063,62 | |||||||||||||||||||||||||||||
63 |
ГБУ "Глядянская центральная районная больница" |
ФАП с. Чернавское |
469 |
1 201 908,48 |
+ |
100 159,04 |
+ |
100 159,04 |
+ |
100 159,04 |
+ |
100 159,04 |
+ |
100 159,04 | |||||||||||||||||||||||||||||
64 |
ГБУ "Глядянская центральная районная больница" |
ФАП с. Утятское |
469 |
480 763,44 |
- |
40 063,62 |
- |
40 063,62 |
- |
40 063,62 |
- |
40 063,62 |
- |
40 063,62 | |||||||||||||||||||||||||||||
65 |
ГБУ "Глядянская центральная районная больница" |
ФАП с. Камышное |
475 |
480 763,44 |
- |
40 063,62 |
- |
40 063,62 |
- |
40 063,62 |
- |
40 063,62 |
- |
40 063,62 | |||||||||||||||||||||||||||||
66 |
ГБУ "Глядянская центральная районная больница" |
ФАП с. Давыдовка |
548 |
1 201 908,48 |
+ |
100 159,04 |
+ |
100 159,04 |
+ |
100 159,04 |
+ |
100 159,04 |
+ |
100 159,04 | |||||||||||||||||||||||||||||
67 |
ГБУ "Глядянская центральная районная больница" |
ФАП с. Боровлянка |
569 |
480 763,44 |
- |
40 063,62 |
- |
40 063,62 |
- |
40 063,62 |
- |
40 063,62 |
- |
40 063,62 | |||||||||||||||||||||||||||||
68 |
ГБУ "Глядянская центральная районная больница" |
ФАП с. Плотниково |
600 |
480 763,44 |
- |
40 063,62 |
- |
40 063,62 |
- |
40 063,62 |
- |
40 063,62 |
- |
40 063,62 | |||||||||||||||||||||||||||||
69 |
ГБУ "Глядянская центральная районная больница" |
ФАП с. Раскатиха |
650 |
480 763,44 |
- |
40 063,62 |
- |
40 063,62 |
- |
40 063,62 |
- |
40 063,62 |
- |
40 063,62 | |||||||||||||||||||||||||||||
70 |
ГБУ "Глядянская центральная районная больница" |
ФАП с. Межборное |
803 |
1 201 908,48 |
+ |
100 159,04 |
+ |
100 159,04 |
+ |
100 159,04 |
+ |
100 159,04 |
+ |
100 159,04 | |||||||||||||||||||||||||||||
71 |
ГБУ "Далматовская центральная районная больница" |
ФАП д. Сараткуль |
82 |
360 572,52 |
+ |
30 047,71 |
+ |
30 047,71 |
+ |
30 047,71 |
+ |
30 047,71 |
+ |
30 047,71 | |||||||||||||||||||||||||||||
72 |
ГБУ "Далматовская центральная районная больница" |
ФАП д. Беляковка |
120 |
480 763,44 |
- |
40 063,62 |
- |
40 063,62 |
- |
40 063,62 |
- |
40 063,62 |
- |
40 063,62 | |||||||||||||||||||||||||||||
73 |
ГБУ "Далматовская центральная районная больница" |
ФАП с. Параткуль |
146 |
480 763,44 |
- |
40 063,62 |
- |
40 063,62 |
- |
40 063,62 |
- |
40 063,62 |
- |
40 063,62 | |||||||||||||||||||||||||||||
74 |
ГБУ "Далматовская центральная районная больница" |
ФАП с. Нижний Яр |
209 |
1 201 908,48 |
+ |
100 159,04 |
+ |
100 159,04 |
+ |
100 159,04 |
+ |
100 159,04 |
+ |
100 159,04 | |||||||||||||||||||||||||||||
75 |
ГБУ "Далматовская центральная районная больница" |
ФАП д. Бараба |
220 |
480 763,44 |
- |
40 063,62 |
- |
40 063,62 |
- |
40 063,62 |
- |
40 063,62 |
- |
40 063,62 | |||||||||||||||||||||||||||||
76 |
ГБУ "Далматовская центральная районная больница" |
ФАП с. Лебяжье |
254 |
1 201 908,48 |
+ |
100 159,04 |
+ |
100 159,04 |
+ |
100 159,04 |
+ |
100 159,04 |
+ |
100 159,04 | |||||||||||||||||||||||||||||
77 |
ГБУ "Далматовская центральная районная больница" |
ФАП с. Тамакульское |
276 |
480 763,44 |
- |
40 063,62 |
- |
40 063,62 |
- |
40 063,62 |
- |
40 063,62 |
- |
40 063,62 | |||||||||||||||||||||||||||||
78 |
ГБУ "Далматовская центральная районная больница" |
ФАП с. Уральцевское |
331 |
1 201 908,48 |
+ |
100 159,04 |
+ |
100 159,04 |
+ |
100 159,04 |
+ |
100 159,04 |
+ |
100 159,04 | |||||||||||||||||||||||||||||
79 |
ГБУ "Далматовская центральная районная больница" |
ФАП с. Ключевское |
387 |
1 201 908,48 |
+ |
100 159,04 |
+ |
100 159,04 |
+ |
100 159,04 |
+ |
100 159,04 |
+ |
100 159,04 | |||||||||||||||||||||||||||||
80 |
ГБУ "Далматовская центральная районная больница" |
ФАП с. Белоярка 1-я |
596 |
1 201 908,48 |
+ |
100 159,04 |
+ |
100 159,04 |
+ |
100 159,04 |
+ |
100 159,04 |
+ |
100 159,04 | |||||||||||||||||||||||||||||
81 |
ГБУ "Далматовская центральная районная больница" |
ФАП с. Крутиха |
771 |
1 201 908,48 |
+ |
100 159,04 |
+ |
100 159,04 |
+ |
100 159,04 |
+ |
100 159,04 |
+ |
100 159,04 | |||||||||||||||||||||||||||||
82 |
ГБУ "Далматовская центральная районная больница" |
ФАП с. Песчано-Коледино |
834 |
1 201 908,48 |
+ |
100 159,04 |
+ |
100 159,04 |
+ |
100 159,04 |
+ |
100 159,04 |
+ |
100 159,04 | |||||||||||||||||||||||||||||
83 |
ГБУ "Далматовская центральная районная больница" |
ФАП с. Новопетропавловское |
1 330 |
761 610,24 |
- |
63 467,52 |
- |
63 467,52 |
- |
63 467,52 |
- |
63 467,52 |
- |
63 467,52 | |||||||||||||||||||||||||||||
84 |
ГБУ "Звериноголовская центральная районная больница" |
ФАП д. Жаворонки |
174 |
480 763,44 |
- |
40 063,62 |
- |
40 063,62 |
- |
40 063,62 |
- |
40 063,62 |
- |
40 063,62 | |||||||||||||||||||||||||||||
85 |
ГБУ "Каргапольская центральная районная больница имени Н.А.Рокиной" |
Нечунаевский ФАП, д. Нечунаева |
168 |
1 201 908,48 |
+ |
100 159,04 |
+ |
100 159,04 |
+ |
100 159,04 |
+ |
100 159,04 |
+ |
100 159,04 | |||||||||||||||||||||||||||||
86 |
ГБУ "Каргапольская центральная районная больница имени Н.А.Рокиной" |
Чапаевский ФАП, д. Чапаева |
193 |
480 763,44 |
- |
40 063,62 |
- |
40 063,62 |
- |
40 063,62 |
- |
40 063,62 |
- |
40 063,62 | |||||||||||||||||||||||||||||
87 |
ГБУ "Каргапольская центральная районная больница имени Н.А.Рокиной" |
Бакланский ФАП, с. Бакланское |
221 |
1 201 908,48 |
+ |
100 159,04 |
+ |
100 159,04 |
+ |
100 159,04 |
+ |
100 159,04 |
+ |
100 159,04 | |||||||||||||||||||||||||||||
88 |
ГБУ "Каргапольская центральная районная больница имени Н.А.Рокиной" |
Черепановский ФАП, п. Дачный |
337 |
1 201 908,48 |
+ |
100 159,04 |
+ |
100 159,04 |
+ |
100 159,04 |
+ |
100 159,04 |
+ |
100 159,04 | |||||||||||||||||||||||||||||
89 |
ГБУ "Каргапольская центральная районная больница имени Н.А.Рокиной" |
Малышевский ФАП, с. Малышева |
347 |
1 201 908,48 |
+ |
100 159,04 |
+ |
100 159,04 |
+ |
100 159,04 |
+ |
100 159,04 |
+ |
100 159,04 | |||||||||||||||||||||||||||||
90 |
ГБУ "Каргапольская центральная районная больница имени Н.А.Рокиной" |
Деулинский ФАП, с. Деулино |
372 |
1 201 908,48 |
+ |
100 159,04 |
+ |
100 159,04 |
+ |
100 159,04 |
+ |
100 159,04 |
+ |
100 159,04 | |||||||||||||||||||||||||||||
91 |
ГБУ "Каргапольская центральная районная больница имени Н.А.Рокиной" |
Сосновский ФАП, с. Сосновка |
439 |
1 201 908,48 |
+ |
100 159,04 |
+ |
100 159,04 |
+ |
100 159,04 |
+ |
100 159,04 |
+ |
100 159,04 | |||||||||||||||||||||||||||||
92 |
ГБУ "Каргапольская центральная районная больница имени Н.А.Рокиной" |
Журавлевский ФАП, с. Журавлево |
519 |
1 201 908,48 |
+ |
100 159,04 |
+ |
100 159,04 |
+ |
100 159,04 |
+ |
100 159,04 |
+ |
100 159,04 | |||||||||||||||||||||||||||||
93 |
ГБУ "Каргапольская центральная районная больница имени Н.А.Рокиной" |
Осиновский ФАП, с. Осиновское |
579 |
1 201 908,48 |
+ |
100 159,04 |
+ |
100 159,04 |
+ |
100 159,04 |
+ |
100 159,04 |
+ |
100 159,04 | |||||||||||||||||||||||||||||
94 |
ГБУ "Каргапольская центральная районная больница имени Н.А.Рокиной" |
Окуневский ФАП, с. Окуневское |
607 |
1 201 908,48 |
+ |
100 159,04 |
+ |
100 159,04 |
+ |
100 159,04 |
+ |
100 159,04 |
+ |
100 159,04 | |||||||||||||||||||||||||||||
95 |
ГБУ "Каргапольская центральная районная больница имени Н.А.Рокиной" |
Вяткинский ФАП, с. Вяткино |
901 |
761 610,24 |
- |
63 467,52 |
- |
63 467,52 |
- |
63 467,52 |
- |
63 467,52 |
- |
63 467,52 | |||||||||||||||||||||||||||||
96 |
ГБУ "Каргапольская центральная районная больница имени Н.А.Рокиной" |
Долговский ФАП, с. Долговское |
902 |
1 904 025,48 |
+ |
158 668,79 |
+ |
158 668,79 |
+ |
158 668,79 |
+ |
158 668,79 |
+ |
158 668,79 | |||||||||||||||||||||||||||||
97 |
ГБУ "Каргапольская центральная районная больница имени Н.А.Рокиной" |
Каргапольский ФАП, п. Каргаполье |
915 |
1 904 025,48 |
+ |
158 668,79 |
+ |
158 668,79 |
+ |
158 668,79 |
+ |
158 668,79 |
+ |
158 668,79 | |||||||||||||||||||||||||||||
98 |
ГБУ "Каргапольская центральная районная больница имени Н.А.Рокиной" |
Житниковский ФАП, с. Житниковское |
976 |
1 904 025,48 |
+ |
158 668,79 |
+ |
158 668,79 |
+ |
158 668,79 |
+ |
158 668,79 |
+ |
158 668,79 | |||||||||||||||||||||||||||||
99 |
ГБУ "Каргапольская центральная районная больница имени Н.А.Рокиной" |
Майский ФАП, п. Майский |
997 |
1 904 025,48 |
+ |
158 668,79 |
+ |
158 668,79 |
+ |
158 668,79 |
+ |
158 668,79 |
+ |
158 668,79 | |||||||||||||||||||||||||||||
100 |
ГБУ "Каргапольская центральная районная больница имени Н.А.Рокиной" |
Тагильский ФАП, с. Тагильское |
1 000 |
761 610,24 |
- |
63 467,52 |
- |
63 467,52 |
- |
63 467,52 |
- |
63 467,52 |
- |
63 467,52 | |||||||||||||||||||||||||||||
101 |
ГБУ "Каргапольская центральная районная больница имени Н.А.Рокиной" |
Брылинский ФАП, с. Брылино |
1 096 |
1 904 025,48 |
+ |
158 668,79 |
+ |
158 668,79 |
+ |
158 668,79 |
+ |
158 668,79 |
+ |
158 668,79 | |||||||||||||||||||||||||||||
102 |
ГБУ "Катайская центральная районная больница" |
ФАП д. Бугаево |
103 |
160 254,48 |
- |
40 063,62 |
- |
40 063,62 |
|
- |
|
- |
|
- | |||||||||||||||||||||||||||||
103 |
ГБУ "Катайская центральная районная больница" |
ФАП с. Большое Касаргульское |
128 |
480 763,44 |
- |
40 063,62 |
- |
40 063,62 |
- |
40 063,62 |
- |
40 063,62 |
- |
40 063,62 | |||||||||||||||||||||||||||||
104 |
ГБУ "Катайская центральная районная больница" |
ФАП д. Анчугово |
132 |
480 763,44 |
- |
40 063,62 |
- |
40 063,62 |
- |
40 063,62 |
- |
40 063,62 |
- |
40 063,62 | |||||||||||||||||||||||||||||
105 |
ГБУ "Катайская центральная районная больница" |
ФАП д. Ипатова |
156 |
480 763,44 |
- |
40 063,62 |
- |
40 063,62 |
- |
40 063,62 |
- |
40 063,62 |
- |
40 063,62 | |||||||||||||||||||||||||||||
106 |
ГБУ "Катайская центральная районная больница" |
ФАП д. Борисова |
255 |
480 763,44 |
- |
40 063,62 |
- |
40 063,62 |
- |
40 063,62 |
- |
40 063,62 |
- |
40 063,62 | |||||||||||||||||||||||||||||
107 |
ГБУ "Катайская центральная районная больница" |
ФАП с. Шутино |
300 |
480 763,44 |
- |
40 063,62 |
- |
40 063,62 |
- |
40 063,62 |
- |
40 063,62 |
- |
40 063,62 | |||||||||||||||||||||||||||||
108 |
ГБУ "Катайская центральная районная больница" |
ФАП с. Петропавловское |
428 |
1 201 908,48 |
+ |
100 159,04 |
+ |
100 159,04 |
+ |
100 159,04 |
+ |
100 159,04 |
+ |
100 159,04 | |||||||||||||||||||||||||||||
109 |
ГБУ "Катайская центральная районная больница" |
ФАП с. Шутихинское |
547 |
1 201 908,48 |
+ |
100 159,04 |
+ |
100 159,04 |
+ |
100 159,04 |
+ |
100 159,04 |
+ |
100 159,04 | |||||||||||||||||||||||||||||
110 |
ГБУ "Катайская центральная районная больница" |
ФАП с. Ушаковское |
589 |
1 201 908,48 |
+ |
100 159,04 |
+ |
100 159,04 |
+ |
100 159,04 |
+ |
100 159,04 |
+ |
100 159,04 | |||||||||||||||||||||||||||||
111 |
ГБУ "Катайская центральная районная больница" |
ФАП с. Боровское |
616 |
480 763,44 |
- |
40 063,62 |
- |
40 063,62 |
- |
40 063,62 |
- |
40 063,62 |
- |
40 063,62 | |||||||||||||||||||||||||||||
112 |
ГБУ "Катайская центральная районная больница" |
ФАП с. Верхнеключевское |
706 |
480 763,44 |
- |
40 063,62 |
- |
40 063,62 |
- |
40 063,62 |
- |
40 063,62 |
- |
40 063,62 | |||||||||||||||||||||||||||||
113 |
ГБУ "Кетовская центральная районная больница" |
ФП д. Шкодинское |
179 |
901 431,38 |
- |
40 063,62 |
- |
40 063,62 |
- |
40 063,62 |
+ |
100 159,04 |
+ |
100 159,04 | |||||||||||||||||||||||||||||
114 |
ГБУ "Кетовская центральная районная больница" |
ФП п. Нефтяников |
202 |
901 431,38 |
- |
40 063,62 |
- |
40 063,62 |
- |
40 063,62 |
+ |
100 159,04 |
+ |
100 159,04 | |||||||||||||||||||||||||||||
115 |
ГБУ "Кетовская центральная районная больница" |
ФП д. Лукино |
251 |
901 431,38 |
- |
40 063,62 |
- |
40 063,62 |
- |
40 063,62 |
+ |
100 159,04 |
+ |
100 159,04 | |||||||||||||||||||||||||||||
116 |
ГБУ "Кетовская центральная районная больница" |
ФП д. Лаптева |
269 |
240 381,72 |
- |
40 063,62 |
- |
40 063,62 |
- |
40 063,62 |
- |
40 063,62 |
|
- | |||||||||||||||||||||||||||||
117 |
ГБУ "Кетовская центральная районная больница" |
ФП д. Романовка |
317 |
901 431,38 |
- |
40 063,62 |
- |
40 063,62 |
- |
40 063,62 |
+ |
100 159,04 |
+ |
100 159,04 | |||||||||||||||||||||||||||||
118 |
ГБУ "Кетовская центральная районная больница" |
ФП д. Белый Яр |
349 |
841 335,96 |
- |
40 063,62 |
- |
40 063,62 |
- |
40 063,62 |
- |
40 063,62 |
+ |
100 159,04 | |||||||||||||||||||||||||||||
119 |
ГБУ "Кетовская центральная районная больница" |
ФП д. Становая |
382 |
1 201 908,48 |
+ |
100 159,04 |
+ |
100 159,04 |
+ |
100 159,04 |
+ |
100 159,04 |
+ |
100 159,04 | |||||||||||||||||||||||||||||
120 |
ГБУ "Кетовская центральная районная больница" |
ФП д. Галишово |
422 |
901 431,38 |
- |
40 063,62 |
- |
40 063,62 |
- |
40 063,62 |
+ |
100 159,04 |
+ |
100 159,04 | |||||||||||||||||||||||||||||
121 |
ГБУ "Кетовская центральная районная больница" |
ФП с. Большое Раково |
440 |
841 335,96 |
- |
40 063,62 |
- |
40 063,62 |
- |
40 063,62 |
- |
40 063,62 |
+ |
100 159,04 | |||||||||||||||||||||||||||||
122 |
ГБУ "Кетовская центральная районная больница" |
ФП с. Ровная |
475 |
901 431,38 |
- |
40 063,62 |
- |
40 063,62 |
- |
40 063,62 |
+ |
100 159,04 |
+ |
100 159,04 | |||||||||||||||||||||||||||||
123 |
ГБУ "Кетовская центральная районная больница" |
ФП с. Темляково |
488 |
1 201 908,48 |
+ |
100 159,04 |
+ |
100 159,04 |
+ |
100 159,04 |
+ |
100 159,04 |
+ |
100 159,04 | |||||||||||||||||||||||||||||
124 |
ГБУ "Кетовская центральная районная больница" |
ФП с. Чесноки |
515 |
901 431,38 |
- |
40 063,62 |
- |
40 063,62 |
- |
40 063,62 |
+ |
100 159,04 |
+ |
100 159,04 | |||||||||||||||||||||||||||||
125 |
ГБУ "Кетовская центральная районная больница" |
ФАП с. Марково |
547 |
901 431,38 |
- |
40 063,62 |
- |
40 063,62 |
- |
40 063,62 |
+ |
100 159,04 |
+ |
100 159,04 | |||||||||||||||||||||||||||||
126 |
ГБУ "Кетовская центральная районная больница" |
ФАП д. Логоушка |
549 |
841 335,96 |
- |
40 063,62 |
- |
40 063,62 |
- |
40 063,62 |
- |
40 063,62 |
+ |
100 159,04 | |||||||||||||||||||||||||||||
127 |
ГБУ "Кетовская центральная районная больница" |
ФП п. Придорожный |
575 |
1 201 908,48 |
+ |
100 159,04 |
+ |
100 159,04 |
+ |
100 159,04 |
+ |
100 159,04 |
+ |
100 159,04 |
|||||||||||||||||||||||||||||
128 |
ГБУ "Кетовская центральная районная больница" |
ФАП с. Митино |
670 |
1 201 908,48 |
+ |
100 159,04 |
+ |
100 159,04 |
+ |
100 159,04 |
+ |
100 159,04 |
+ |
100 159,04 |
|||||||||||||||||||||||||||||
129 |
ГБУ "Кетовская центральная районная больница" |
ФАП с. Пименовка |
699 |
841 335,96 |
- |
40 063,62 |
- |
40 063,62 |
- |
40 063,62 |
- |
40 063,62 |
+ |
100 159,04 |
|||||||||||||||||||||||||||||
130 |
ГБУ "Кетовская центральная районная больница" |
ФП с. Бараба |
719 |
1 201 908,48 |
+ |
100 159,04 |
+ |
100 159,04 |
+ |
100 159,04 |
+ |
100 159,04 |
+ |
100 159,04 |
|||||||||||||||||||||||||||||
131 |
ГБУ "Кетовская центральная районная больница" |
ФАП п. Светлые Поляны |
815 |
1 201 908,48 |
+ |
100 159,04 |
+ |
100 159,04 |
+ |
100 159,04 |
+ |
100 159,04 |
+ |
100 159,04 |
|||||||||||||||||||||||||||||
132 |
ГБУ "Кетовская центральная районная больница" |
ФП п. Введенское, ул. Гагаринская, д. 5 |
921 |
761 610,24 |
- |
63 467,52 |
- |
63 467,52 |
- |
63 467,52 |
- |
63 467,52 |
- |
63 467,52 |
|||||||||||||||||||||||||||||
133 |
ГБУ "Кетовская центральная районная больница" |
ФАП с. Падеринское |
948 |
761 610,24 |
- |
63 467,52 |
- |
63 467,52 |
- |
63 467,52 |
- |
63 467,52 |
- |
63 467,52 |
|||||||||||||||||||||||||||||
134 |
ГБУ "Кетовская центральная районная больница" |
ФАП с. Сычево |
973 |
1 428 019,13 |
- |
63 467,52 |
- |
63 467,52 |
- |
63 467,52 |
+ |
158 668,79 |
+ |
158 668,79 |
|||||||||||||||||||||||||||||
135 |
ГБУ "Кетовская центральная районная больница" |
ФАП с. Лесниково |
1 066 |
761 610,24 |
- |
63 467,52 |
- |
63 467,52 |
- |
63 467,52 |
- |
63 467,52 |
- |
63 467,52 |
|||||||||||||||||||||||||||||
136 |
ГБУ "Кетовская центральная районная больница" |
ФП п. Усть-Утяк |
1 112 |
761 610,24 |
- |
63 467,52 |
- |
63 467,52 |
- |
63 467,52 |
- |
63 467,52 |
- |
63 467,52 |
|||||||||||||||||||||||||||||
137 |
ГБУ "Кетовская центральная районная больница" |
ФАП с. Менщиково |
1 343 |
761 610,24 |
- |
63 467,52 |
- |
63 467,52 |
- |
63 467,52 |
- |
63 467,52 |
- |
63 467,52 |
|||||||||||||||||||||||||||||
138 |
ГБУ "Кетовская центральная районная больница" |
ФАП с. Колесниково |
1 468 |
1 428 019,13 |
- |
63 467,52 |
- |
63 467,52 |
- |
63 467,52 |
+ |
158 668,79 |
+ |
158 668,79 |
|||||||||||||||||||||||||||||
139 |
ГБУ "Кетовская центральная районная больница" |
ФАП с. Колташево |
1 957 |
855 225,84 |
- |
71 268,82 |
- |
71 268,82 |
- |
71 268,82 |
- |
71 268,82 |
- |
71 268,82 |
|||||||||||||||||||||||||||||
140 |
ГБУ "Кетовская центральная районная больница" |
ФАП пос. Введенское, ул. Промышленная. д. 7 |
2 012 |
855 225,84 |
- |
71 268,82 |
- |
71 268,82 |
- |
71 268,82 |
- |
71 268,82 |
- |
71 268,82 |
|||||||||||||||||||||||||||||
141 |
ГБУ "Кетовская центральная районная больница" |
ФАП с. Новая Сидоровка |
2 272 |
855 225,84 |
- |
71 268,82 |
- |
71 268,82 |
- |
71 268,82 |
- |
71 268,82 |
- |
71 268,82 |
|||||||||||||||||||||||||||||
142 |
ГБУ "Кетовская центральная районная больница" |
ФАП с. Большое Чаусово |
2 905 |
855 225,84 |
- |
71 268,82 |
- |
71 268,82 |
- |
71 268,82 |
- |
71 268,82 |
- |
71 268,82 |
|||||||||||||||||||||||||||||
143 |
ГБУ "Кетовская центральная районная больница" |
ФАП с. Просвет |
3 279 |
855 225,84 |
- |
71 268,82 |
- |
71 268,82 |
- |
71 268,82 |
- |
71 268,82 |
- |
71 268,82 |
|||||||||||||||||||||||||||||
144 |
ГБУ "Кетовская центральная районная больница" |
ФАП с. Иковка |
4 807 |
1 496 645,16 |
- |
71 268,82 |
- |
71 268,82 |
- |
71 268,82 |
- |
71 268,82 |
+ |
178 172,04 |
|||||||||||||||||||||||||||||
145 |
ГБУ "Куртамышская центральная районная больница имени К.И.Золотавина" |
ФАП д. Клоктухино |
94 |
144 229,08 |
- |
12 019,09 |
- |
12 019,09 |
- |
12 019,09 |
- |
12 019,09 |
- |
12 019,09 |
|||||||||||||||||||||||||||||
146 |
ГБУ "Куртамышская центральная районная больница имени К.И.Золотавина" |
ФАП д. Степное |
105 |
480 763,44 |
- |
40 063,62 |
- |
40 063,62 |
- |
40 063,62 |
- |
40 063,62 |
- |
40 063,62 |
|||||||||||||||||||||||||||||
147 |
ГБУ "Куртамышская центральная районная больница имени К.И.Золотавина" |
ФАП д. Черноборье |
106 |
480 763,44 |
- |
40 063,62 |
- |
40 063,62 |
- |
40 063,62 |
- |
40 063,62 |
- |
40 063,62 |
|||||||||||||||||||||||||||||
148 |
ГБУ "Куртамышская центральная районная больница имени К.И.Золотавина" |
ФАП д. Новая Калиновка |
110 |
480 763,44 |
- |
40 063,62 |
- |
40 063,62 |
- |
40 063,62 |
- |
40 063,62 |
- |
40 063,62 |
|||||||||||||||||||||||||||||
149 |
ГБУ "Куртамышская центральная районная больница имени К.И.Золотавина" |
ФАП д. Чесноковка |
124 |
480 763,44 |
- |
40 063,62 |
- |
40 063,62 |
- |
40 063,62 |
- |
40 063,62 |
- |
40 063,62 |
|||||||||||||||||||||||||||||
150 |
ГБУ "Куртамышская центральная районная больница имени К.И.Золотавина" |
ФАП д. Сычево |
157 |
480 763,44 |
- |
40 063,62 |
- |
40 063,62 |
- |
40 063,62 |
- |
40 063,62 |
- |
40 063,62 |
|||||||||||||||||||||||||||||
151 |
ГБУ "Куртамышская центральная районная больница имени К.И.Золотавина" |
ФАП д. Вехти |
164 |
1 201 908,48 |
+ |
100 159,04 |
+ |
100 159,04 |
+ |
100 159,04 |
+ |
100 159,04 |
+ |
100 159,04 |
|||||||||||||||||||||||||||||
152 |
ГБУ "Куртамышская центральная районная больница имени К.И.Золотавина" |
ФАП с. Закоулово |
187 |
1 201 908,48 |
+ |
100 159,04 |
+ |
100 159,04 |
+ |
100 159,04 |
+ |
100 159,04 |
+ |
100 159,04 |
|||||||||||||||||||||||||||||
153 |
ГБУ "Куртамышская центральная районная больница имени К.И.Золотавина" |
ФАП с. Костылево |
216 |
1 201 908,48 |
+ |
100 159,04 |
+ |
100 159,04 |
+ |
100 159,04 |
+ |
100 159,04 |
+ |
100 159,04 |
|||||||||||||||||||||||||||||
154 |
ГБУ "Куртамышская центральная районная больница имени К.И.Золотавина" |
ФАП д. Малетино |
223 |
480 763,44 |
- |
40 063,62 |
- |
40 063,62 |
- |
40 063,62 |
- |
40 063,62 |
- |
40 063,62 |
|||||||||||||||||||||||||||||
155 |
ГБУ "Куртамышская центральная районная больница имени К.И.Золотавина" |
ФАП с. Жуково |
244 |
480 763,44 |
- |
40 063,62 |
- |
40 063,62 |
- |
40 063,62 |
- |
40 063,62 |
- |
40 063,62 |
|||||||||||||||||||||||||||||
156 |
ГБУ "Куртамышская центральная районная больница имени К.И.Золотавина" |
ФАП д. Коновалова |
255 |
480 763,44 |
- |
40 063,62 |
- |
40 063,62 |
- |
40 063,62 |
- |
40 063,62 |
- |
40 063,62 |
|||||||||||||||||||||||||||||
157 |
ГБУ "Куртамышская центральная районная больница имени К.И.Золотавина" |
ФАП с. Каминское |
276 |
841 335,96 |
- |
40 063,62 |
- |
40 063,62 |
- |
40 063,62 |
- |
40 063,62 |
+ |
100 159,04 |
|||||||||||||||||||||||||||||
158 |
ГБУ "Куртамышская центральная районная больница имени К.И.Золотавина" |
ФАП с. Белоногово |
290 |
1 201 908,48 |
+ |
100 159,04 |
+ |
100 159,04 |
+ |
100 159,04 |
+ |
100 159,04 |
+ |
100 159,04 |
|||||||||||||||||||||||||||||
159 |
ГБУ "Куртамышская центральная районная больница имени К.И.Золотавина" |
ФАП с. Маслово |
306 |
1 201 908,48 |
+ |
100 159,04 |
+ |
100 159,04 |
+ |
100 159,04 |
+ |
100 159,04 |
+ |
100 159,04 |
|||||||||||||||||||||||||||||
160 |
ГБУ "Куртамышская центральная районная больница имени К.И.Золотавина" |
ФАП с. Березово |
327 |
480 763,44 |
- |
40 063,62 |
- |
40 063,62 |
- |
40 063,62 |
- |
40 063,62 |
- |
40 063,62 |
|||||||||||||||||||||||||||||
161 |
ГБУ "Куртамышская центральная районная больница имени К.И.Золотавина" |
ФАП с. Косулино |
425 |
1 201 908,48 |
+ |
100 159,04 |
+ |
100 159,04 |
+ |
100 159,04 |
+ |
100 159,04 |
+ |
100 159,04 |
|||||||||||||||||||||||||||||
162 |
ГБУ "Куртамышская центральная районная больница имени К.И.Золотавина" |
ФАП с. Закомалдино |
433 |
1 201 908,48 |
+ |
100 159,04 |
+ |
100 159,04 |
+ |
100 159,04 |
+ |
100 159,04 |
+ |
100 159,04 |
|||||||||||||||||||||||||||||
163 |
ГБУ "Куртамышская центральная районная больница имени К.И.Золотавина" |
ФАП с. Обанино |
529 |
1 201 908,48 |
+ |
100 159,04 |
+ |
100 159,04 |
+ |
100 159,04 |
+ |
100 159,04 |
+ |
100 159,04 |
|||||||||||||||||||||||||||||
164 |
ГБУ "Куртамышская центральная районная больница имени К.И.Золотавина" |
ФАП с. Камыши |
530 |
1 201 908,48 |
+ |
100 159,04 |
+ |
100 159,04 |
+ |
100 159,04 |
+ |
100 159,04 |
+ |
100 159,04 |
|||||||||||||||||||||||||||||
165 |
ГБУ "Куртамышская центральная районная больница имени К.И.Золотавина" |
ФАП с. Песьяное |
630 |
1 201 908,48 |
+ |
100 159,04 |
+ |
100 159,04 |
+ |
100 159,04 |
+ |
100 159,04 |
+ |
100 159,04 |
|||||||||||||||||||||||||||||
166 |
ГБУ "Куртамышская центральная районная больница имени К.И.Золотавина" |
ФАП с. Верхнее |
701 |
1 201 908,48 |
+ |
100 159,04 |
+ |
100 159,04 |
+ |
100 159,04 |
+ |
100 159,04 |
+ |
100 159,04 |
|||||||||||||||||||||||||||||
167 |
ГБУ "Куртамышская центральная районная больница имени К.И.Золотавина" |
ФАП с. Камаган |
887 |
1 201 908,48 |
+ |
100 159,04 |
+ |
100 159,04 |
+ |
100 159,04 |
+ |
100 159,04 |
+ |
100 159,04 |
|||||||||||||||||||||||||||||
168 |
ГБУ "Куртамышская центральная районная больница имени К.И.Золотавина" |
ФАП с. Нижнее |
981 |
761 610,24 |
- |
63 467,52 |
- |
63 467,52 |
- |
63 467,52 |
- |
63 467,52 |
- |
63 467,52 |
|||||||||||||||||||||||||||||
169 |
ГБУ "Лебяжьевская центральная районная больница" |
ФАП с. Плоское |
136 |
480 763,44 |
- |
40 063,62 |
- |
40 063,62 |
- |
40 063,62 |
- |
40 063,62 |
- |
40 063,62 |
|||||||||||||||||||||||||||||
170 |
ГБУ "Лебяжьевская центральная районная больница" |
ФАП с. Калашное |
142 |
480 763,44 |
- |
40 063,62 |
- |
40 063,62 |
- |
40 063,62 |
- |
40 063,62 |
- |
40 063,62 |
|||||||||||||||||||||||||||||
171 |
ГБУ "Лебяжьевская центральная районная больница" |
ФАП с. Балакуль |
154 |
480 763,44 |
- |
40 063,62 |
- |
40 063,62 |
- |
40 063,62 |
- |
40 063,62 |
- |
40 063,62 |
|||||||||||||||||||||||||||||
172 |
ГБУ "Лебяжьевская центральная районная больница" |
ФАП с. Менщиково |
219 |
480 763,44 |
- |
40 063,62 |
- |
40 063,62 |
- |
40 063,62 |
- |
40 063,62 |
- |
40 063,62 |
|||||||||||||||||||||||||||||
173 |
ГБУ "Лебяжьевская центральная районная больница" |
ФАП с. Прилогино |
227 |
480 763,44 |
- |
40 063,62 |
- |
40 063,62 |
- |
40 063,62 |
- |
40 063,62 |
- |
40 063,62 |
|||||||||||||||||||||||||||||
174 |
ГБУ "Лебяжьевская центральная районная больница" |
ФАП с. Песьяное |
250 |
1 201 908,48 |
+ |
100 159,04 |
+ |
100 159,04 |
+ |
100 159,04 |
+ |
100 159,04 |
+ |
100 159,04 |
|||||||||||||||||||||||||||||
175 |
ГБУ "Лебяжьевская центральная районная больница" |
ФАП с. Черемушки |
283 |
480 763,44 |
- |
40 063,62 |
- |
40 063,62 |
- |
40 063,62 |
- |
40 063,62 |
- |
40 063,62 |
|||||||||||||||||||||||||||||
176 |
ГБУ "Лебяжьевская центральная районная больница" |
ФАП с. Хутора |
304 |
480 763,44 |
- |
40 063,62 |
- |
40 063,62 |
- |
40 063,62 |
- |
40 063,62 |
- |
40 063,62 |
|||||||||||||||||||||||||||||
177 |
ГБУ "Лебяжьевская центральная районная больница" |
ФАП с. Арлагуль |
332 |
480 763,44 |
- |
40 063,62 |
- |
40 063,62 |
- |
40 063,62 |
- |
40 063,62 |
- |
40 063,62 |
|||||||||||||||||||||||||||||
178 |
ГБУ "Лебяжьевская центральная районная больница" |
ФАП с. Камышное |
347 |
1 201 908,48 |
+ |
100 159,04 |
+ |
100 159,04 |
+ |
100 159,04 |
+ |
100 159,04 |
+ |
100 159,04 |
|||||||||||||||||||||||||||||
179 |
ГБУ "Лебяжьевская центральная районная больница" |
ФАП с. Лебяжье-1 |
377 |
480 763,44 |
- |
40 063,62 |
- |
40 063,62 |
- |
40 063,62 |
- |
40 063,62 |
- |
40 063,62 |
|||||||||||||||||||||||||||||
180 |
ГБУ "Лебяжьевская центральная районная больница" |
ФАП с. Лопатки |
539 |
320 508,96 |
|
|
|
|
- |
40 063,62 |
- |
40 063,62 |
- |
40 063,62 |
|||||||||||||||||||||||||||||
181 |
ГБУ "Макушинская центральная районная больница" |
ФАП д. Неверовское |
101 |
480 763,44 |
- |
40 063,62 |
- |
40 063,62 |
- |
40 063,62 |
- |
40 063,62 |
- |
40 063,62 |
|||||||||||||||||||||||||||||
182 |
ГБУ "Макушинская центральная районная больница" |
ФАП с. Требушинное |
291 |
480 763,44 |
- |
40 063,62 |
- |
40 063,62 |
- |
40 063,62 |
- |
40 063,62 |
- |
40 063,62 |
|||||||||||||||||||||||||||||
183 |
ГБУ "Макушинская центральная районная больница" |
ФАП с. Чебаки |
304 |
1 201 908,48 |
+ |
100 159,04 |
+ |
100 159,04 |
+ |
100 159,04 |
+ |
100 159,04 |
+ |
100 159,04 |
|||||||||||||||||||||||||||||
184 |
ГБУ "Макушинская центральная районная больница" |
ФАП с. Клюквенное |
318 |
1 201 908,48 |
+ |
100 159,04 |
+ |
100 159,04 |
+ |
100 159,04 |
+ |
100 159,04 |
+ |
100 159,04 |
|||||||||||||||||||||||||||||
185 |
ГБУ "Макушинская центральная районная больница" |
ФАП с. Золотое |
450 |
1 201 908,48 |
+ |
100 159,04 |
+ |
100 159,04 |
+ |
100 159,04 |
+ |
100 159,04 |
+ |
100 159,04 |
|||||||||||||||||||||||||||||
186 |
ГБУ "Макушинская центральная районная больница" |
ФАП с. Большое Курейное |
468 |
1 201 908,48 |
+ |
100 159,04 |
+ |
100 159,04 |
+ |
100 159,04 |
+ |
100 159,04 |
+ |
100 159,04 |
|||||||||||||||||||||||||||||
187 |
ГБУ "Макушинская центральная районная больница" |
ФАП с. Сетовное |
496 |
1 201 908,48 |
+ |
100 159,04 |
+ |
100 159,04 |
+ |
100 159,04 |
+ |
100 159,04 |
+ |
100 159,04 |
|||||||||||||||||||||||||||||
188 |
ГБУ "Макушинская центральная районная больница" |
ФАП с. Обутковское |
517 |
1 201 908,48 |
+ |
100 159,04 |
+ |
100 159,04 |
+ |
100 159,04 |
+ |
100 159,04 |
+ |
100 159,04 |
|||||||||||||||||||||||||||||
189 |
ГБУ "Макушинская центральная районная больница" |
ФАП с. Казаркино |
602 |
1 201 908,48 |
+ |
100 159,04 |
+ |
100 159,04 |
+ |
100 159,04 |
+ |
100 159,04 |
+ |
100 159,04 |
|||||||||||||||||||||||||||||
190 |
ГБУ "Макушинская центральная районная больница" |
ФАП с. Моршиха |
637 |
1 201 908,48 |
+ |
100 159,04 |
+ |
100 159,04 |
+ |
100 159,04 |
+ |
100 159,04 |
+ |
100 159,04 |
|||||||||||||||||||||||||||||
191 |
ГБУ "Макушинская центральная районная больница" |
ФАП с. Пионерское |
651 |
1 201 908,48 |
+ |
100 159,04 |
+ |
100 159,04 |
+ |
100 159,04 |
+ |
100 159,04 |
+ |
100 159,04 |
|||||||||||||||||||||||||||||
192 |
ГБУ "Макушинская центральная районная больница" |
ФАП с. Коновалово |
663 |
1 201 908,48 |
+ |
100 159,04 |
+ |
100 159,04 |
+ |
100 159,04 |
+ |
100 159,04 |
+ |
100 159,04 |
|||||||||||||||||||||||||||||
193 |
ГБУ "Мишкинская центральная районная больница" |
Лебяжьевский ФАП д. Лебяжье |
100 |
480 763,44 |
- |
40 063,62 |
- |
40 063,62 |
- |
40 063,62 |
- |
40 063,62 |
- |
40 063,62 |
|||||||||||||||||||||||||||||
194 |
ГБУ "Мишкинская центральная районная больница" |
Мыркайский ФАП с. Мыркай |
119 |
1 201 908,48 |
+ |
100 159,04 |
+ |
100 159,04 |
+ |
100 159,04 |
+ |
100 159,04 |
+ |
100 159,04 |
|||||||||||||||||||||||||||||
195 |
ГБУ "Мишкинская центральная районная больница" |
Сосновский ФАП д. Сосново |
141 |
1 201 908,48 |
+ |
100 159,04 |
+ |
100 159,04 |
+ |
100 159,04 |
+ |
100 159,04 |
+ |
100 159,04 |
|||||||||||||||||||||||||||||
196 |
ГБУ "Мишкинская центральная районная больница" |
Гладышевский ФАП с. Гладышево |
142 |
480 763,44 |
- |
40 063,62 |
- |
40 063,62 |
- |
40 063,62 |
- |
40 063,62 |
- |
40 063,62 |
|||||||||||||||||||||||||||||
197 |
ГБУ "Мишкинская центральная районная больница" |
Малоокуневский ФАП д. Малое Окунево |
147 |
1 201 908,48 |
+ |
100 159,04 |
+ |
100 159,04 |
+ |
100 159,04 |
+ |
100 159,04 |
+ |
100 159,04 |
|||||||||||||||||||||||||||||
198 |
ГБУ "Мишкинская центральная районная больница" |
Новопесковский ФАП с. Новые Пески |
155 |
480 763,44 |
- |
40 063,62 |
- |
40 063,62 |
- |
40 063,62 |
- |
40 063,62 |
- |
40 063,62 |
|||||||||||||||||||||||||||||
199 |
ГБУ "Мишкинская центральная районная больница" |
Маслинский ФАП с. Масли |
158 |
1 201 908,48 |
+ |
100 159,04 |
+ |
100 159,04 |
+ |
100 159,04 |
+ |
100 159,04 |
+ |
100 159,04 |
|||||||||||||||||||||||||||||
200 |
ГБУ "Мишкинская центральная районная больница" |
Варлаковский ФАП с. Варлаково |
182 |
480 763,44 |
- |
40 063,62 |
- |
40 063,62 |
- |
40 063,62 |
- |
40 063,62 |
- |
40 063,62 |
|||||||||||||||||||||||||||||
201 |
ГБУ "Мишкинская центральная районная больница" |
Шаламовский ФАП с. Шаламово |
185 |
1 201 908,48 |
+ |
100 159,04 |
+ |
100 159,04 |
+ |
100 159,04 |
+ |
100 159,04 |
+ |
100 159,04 |
|||||||||||||||||||||||||||||
202 |
ГБУ "Мишкинская центральная районная больница" |
Бутырский ФАП с. Бутырское |
209 |
480 763,44 |
- |
40 063,62 |
- |
40 063,62 |
- |
40 063,62 |
- |
40 063,62 |
- |
40 063,62 |
|||||||||||||||||||||||||||||
203 |
ГБУ "Мишкинская центральная районная больница" |
Первомайский ФАП с. Первомайское |
243 |
480 763,44 |
- |
40 063,62 |
- |
40 063,62 |
- |
40 063,62 |
- |
40 063,62 |
- |
40 063,62 |
|||||||||||||||||||||||||||||
204 |
ГБУ "Мишкинская центральная районная больница" |
Коровинский ФАП с. Коровье |
283 |
480 763,44 |
- |
40 063,62 |
- |
40 063,62 |
- |
40 063,62 |
- |
40 063,62 |
- |
40 063,62 |
|||||||||||||||||||||||||||||
205 |
ГБУ "Мишкинская центральная районная больница" |
Купайский ФАП с. Купай |
294 |
480 763,44 |
- |
40 063,62 |
- |
40 063,62 |
- |
40 063,62 |
- |
40 063,62 |
- |
40 063,62 |
|||||||||||||||||||||||||||||
206 |
ГБУ "Мишкинская центральная районная больница" |
Дубровинский ФАП с. Дубровное |
312 |
1 201 908,48 |
+ |
100 159,04 |
+ |
100 159,04 |
+ |
100 159,04 |
+ |
100 159,04 |
+ |
100 159,04 |
|||||||||||||||||||||||||||||
207 |
ГБУ "Мишкинская центральная районная больница" |
Введенский ФАП с. Введенское |
595 |
480 763,44 |
- |
40 063,62 |
- |
40 063,62 |
- |
40 063,62 |
- |
40 063,62 |
- |
40 063,62 |
|||||||||||||||||||||||||||||
208 |
ГБУ "Мишкинская центральная районная больница" |
Восходский ФАП с. Восход |
659 |
1 201 908,48 |
+ |
100 159,04 |
+ |
100 159,04 |
+ |
100 159,04 |
+ |
100 159,04 |
+ |
100 159,04 |
|||||||||||||||||||||||||||||
209 |
ГБУ "Мишкинская центральная районная больница" |
Краснознаменский ФАП с. Краснознаменское |
694 |
480 763,44 |
- |
40 063,62 |
- |
40 063,62 |
- |
40 063,62 |
- |
40 063,62 |
- |
40 063,62 |
|||||||||||||||||||||||||||||
210 |
ГБУ "Мокроусовская центральная районная больница" |
ФП д. Дмитриевка |
116 |
480 763,44 |
- |
40 063,62 |
- |
40 063,62 |
- |
40 063,62 |
- |
40 063,62 |
- |
40 063,62 |
|||||||||||||||||||||||||||||
211 |
ГБУ "Мокроусовская центральная районная больница" |
ФП д. Новотроицкое |
134 |
480 763,44 |
- |
40 063,62 |
- |
40 063,62 |
- |
40 063,62 |
- |
40 063,62 |
- |
40 063,62 |
|||||||||||||||||||||||||||||
212 |
ГБУ "Мокроусовская центральная районная больница" |
ФП с. Лопарево |
229 |
480 763,44 |
- |
40 063,62 |
- |
40 063,62 |
- |
40 063,62 |
- |
40 063,62 |
- |
40 063,62 |
|||||||||||||||||||||||||||||
213 |
ГБУ "Мокроусовская центральная районная больница" |
ФП с. Шелепово |
264 |
480 763,44 |
- |
40 063,62 |
- |
40 063,62 |
- |
40 063,62 |
- |
40 063,62 |
- |
40 063,62 |
|||||||||||||||||||||||||||||
214 |
ГБУ "Мокроусовская центральная районная больница" |
ФАП с. Лапушки |
265 |
480 763,44 |
- |
40 063,62 |
- |
40 063,62 |
- |
40 063,62 |
- |
40 063,62 |
- |
40 063,62 |
|||||||||||||||||||||||||||||
215 |
ГБУ "Мокроусовская центральная районная больница" |
ФАП с. Михайловка |
308 |
1 201 908,48 |
+ |
100 159,04 |
+ |
100 159,04 |
+ |
100 159,04 |
+ |
100 159,04 |
+ |
100 159,04 |
|||||||||||||||||||||||||||||
216 |
ГБУ "Мокроусовская центральная районная больница" |
ФАП с. Уварово |
311 |
480 763,44 |
- |
40 063,62 |
- |
40 063,62 |
- |
40 063,62 |
- |
40 063,62 |
- |
40 063,62 |
|||||||||||||||||||||||||||||
217 |
ГБУ "Мокроусовская центральная районная больница" |
ФАП с. Малое Мостовское |
328 |
1 201 908,48 |
+ |
100 159,04 |
+ |
100 159,04 |
+ |
100 159,04 |
+ |
100 159,04 |
+ |
100 159,04 |
|||||||||||||||||||||||||||||
218 |
ГБУ "Мокроусовская центральная районная больница" |
ФАП с. Щигры |
385 |
1 201 908,48 |
+ |
100 159,04 |
+ |
100 159,04 |
+ |
100 159,04 |
+ |
100 159,04 |
+ |
100 159,04 |
|||||||||||||||||||||||||||||
219 |
ГБУ "Мокроусовская центральная районная больница" |
ФП с. Крепость |
388 |
480 763,44 |
- |
40 063,62 |
- |
40 063,62 |
- |
40 063,62 |
- |
40 063,62 |
- |
40 063,62 |
|||||||||||||||||||||||||||||
220 |
ГБУ "Мокроусовская центральная районная больница" |
ФАП с. Старопершино |
391 |
1 201 908,48 |
+ |
100 159,04 |
+ |
100 159,04 |
+ |
100 159,04 |
+ |
100 159,04 |
+ |
100 159,04 |
|||||||||||||||||||||||||||||
221 |
ГБУ "Мокроусовская центральная районная больница" |
ФАП с. Травное |
563 |
1 201 908,48 |
+ |
100 159,04 |
+ |
100 159,04 |
+ |
100 159,04 |
+ |
100 159,04 |
+ |
100 159,04 |
|||||||||||||||||||||||||||||
222 |
ГБУ "Мокроусовская центральная районная больница" |
ФАП с. Утичье |
575 |
1 201 908,48 |
+ |
100 159,04 |
+ |
100 159,04 |
+ |
100 159,04 |
+ |
100 159,04 |
+ |
100 159,04 |
|||||||||||||||||||||||||||||
223 |
ГБУ "Петуховская центральная районная больница" |
ФАП с. Большое Каменное |
96 |
144 229,08 |
- |
12 019,09 |
- |
12 019,09 |
- |
12 019,09 |
- |
12 019,09 |
- |
12 019,09 |
|||||||||||||||||||||||||||||
224 |
ГБУ "Петуховская центральная районная больница" |
ФАП с. Горбуново |
98 |
144 229,08 |
- |
12 019,09 |
- |
12 019,09 |
- |
12 019,09 |
- |
12 019,09 |
- |
12 019,09 |
|||||||||||||||||||||||||||||
225 |
ГБУ "Петуховская центральная районная больница" |
ФАП с. Троицкое |
106 |
40 063,62 |
- |
40 063,62 |
|
- |
|
- |
|
- |
|
- |
|||||||||||||||||||||||||||||
226 |
ГБУ "Петуховская центральная районная больница" |
ФАП с. Матасы |
129 |
480 763,44 |
- |
40 063,62 |
- |
40 063,62 |
- |
40 063,62 |
- |
40 063,62 |
- |
40 063,62 |
|||||||||||||||||||||||||||||
227 |
ГБУ "Петуховская центральная районная больница" |
ФАП с. Большое Приютное |
207 |
480 763,44 |
- |
40 063,62 |
- |
40 063,62 |
- |
40 063,62 |
- |
40 063,62 |
- |
40 063,62 |
|||||||||||||||||||||||||||||
228 |
ГБУ "Петуховская центральная районная больница" |
ФАП с. Большое Гусиное |
207 |
480 763,44 |
- |
40 063,62 |
- |
40 063,62 |
- |
40 063,62 |
- |
40 063,62 |
- |
40 063,62 |
|||||||||||||||||||||||||||||
229 |
ГБУ "Петуховская центральная районная больница" |
ФАП с. Жидки |
216 |
40 063,62 |
- |
40 063,62 |
|
- |
|
- |
|
- |
|
- |
|||||||||||||||||||||||||||||
230 |
ГБУ "Петуховская центральная районная больница" |
ФАП с. Зотино |
353 |
480 763,44 |
- |
40 063,62 |
- |
40 063,62 |
- |
40 063,62 |
- |
40 063,62 |
- |
40 063,62 |
|||||||||||||||||||||||||||||
231 |
ГБУ "Петуховская центральная районная больница" |
ФАП с. Новогеоргиевка-2 |
416 |
480 763,44 |
- |
40 063,62 |
- |
40 063,62 |
- |
40 063,62 |
- |
40 063,62 |
- |
40 063,62 |
|||||||||||||||||||||||||||||
232 |
ГБУ "Петуховская центральная районная больница" |
ФАП с. Октябрьское |
728 |
1 201 908,48 |
+ |
100 159,04 |
+ |
100 159,04 |
+ |
100 159,04 |
+ |
100 159,04 |
+ |
100 159,04 |
|||||||||||||||||||||||||||||
233 |
ГБУ "Петуховская центральная районная больница" |
ФАП пос. Курорт "Озеро Медвежье" |
1 052 |
738 206,34 |
- |
40 063,62 |
- |
63 467,52 |
- |
63 467,52 |
- |
63 467,52 |
- |
63 467,52 |
|||||||||||||||||||||||||||||
234 |
ГБУ "Половинская центральная районная больница" |
ФАП д. Филиппово |
126 |
480 763,44 |
- |
40 063,62 |
- |
40 063,62 |
- |
40 063,62 |
- |
40 063,62 |
- |
40 063,62 |
|||||||||||||||||||||||||||||
235 |
ГБУ "Половинская центральная районная больница" |
ФАП с. Чулошное |
170 |
480 763,44 |
- |
40 063,62 |
- |
40 063,62 |
- |
40 063,62 |
- |
40 063,62 |
- |
40 063,62 |
|||||||||||||||||||||||||||||
236 |
ГБУ "Половинская центральная районная больница" |
ФАП с. Воскресенское |
382 |
480 763,44 |
- |
40 063,62 |
- |
40 063,62 |
- |
40 063,62 |
- |
40 063,62 |
- |
40 063,62 |
|||||||||||||||||||||||||||||
237 |
ГБУ "Половинская центральная районная больница" |
ФАП с. Башкирское |
488 |
480 763,44 |
- |
40 063,62 |
- |
40 063,62 |
- |
40 063,62 |
- |
40 063,62 |
- |
40 063,62 |
|||||||||||||||||||||||||||||
238 |
ГБУ "Сафакулевская центральная районная больница" |
ФАП д. Бугуй |
87 |
144 229,08 |
- |
12 019,09 |
- |
12 019,09 |
- |
12 019,09 |
- |
12 019,09 |
- |
12 019,09 |
|||||||||||||||||||||||||||||
239 |
ГБУ "Сафакулевская центральная районная больница" |
ФАП д. Озерное |
108 |
480 763,44 |
- |
40 063,62 |
- |
40 063,62 |
- |
40 063,62 |
- |
40 063,62 |
- |
40 063,62 |
|||||||||||||||||||||||||||||
240 |
ГБУ "Сафакулевская центральная районная больница" |
ФАП с. Аджитарово |
144 |
480 763,44 |
- |
40 063,62 |
- |
40 063,62 |
- |
40 063,62 |
- |
40 063,62 |
- |
40 063,62 |
|||||||||||||||||||||||||||||
241 |
ГБУ "Сафакулевская центральная районная больница" |
ФАП д. Бикберды |
146 |
480 763,44 |
- |
40 063,62 |
- |
40 063,62 |
- |
40 063,62 |
- |
40 063,62 |
- |
40 063,62 |
|||||||||||||||||||||||||||||
242 |
ГБУ "Сафакулевская центральная районная больница" |
ФАП с. Субботино |
295 |
480 763,44 |
- |
40 063,62 |
- |
40 063,62 |
- |
40 063,62 |
- |
40 063,62 |
- |
40 063,62 |
|||||||||||||||||||||||||||||
243 |
ГБУ "Сафакулевская центральная районная больница" |
ФАП д. Абултаево |
307 |
480 763,44 |
- |
40 063,62 |
- |
40 063,62 |
- |
40 063,62 |
- |
40 063,62 |
- |
40 063,62 |
|||||||||||||||||||||||||||||
244 |
ГБУ "Сафакулевская центральная районная больница" |
ФАП с. Мартыновка |
395 |
480 763,44 |
- |
40 063,62 |
- |
40 063,62 |
- |
40 063,62 |
- |
40 063,62 |
- |
40 063,62 |
|||||||||||||||||||||||||||||
245 |
ГБУ "Сафакулевская центральная районная больница" |
ФАП с. Мансурово |
414 |
480 763,44 |
- |
40 063,62 |
- |
40 063,62 |
- |
40 063,62 |
- |
40 063,62 |
- |
40 063,62 |
|||||||||||||||||||||||||||||
246 |
ГБУ "Сафакулевская центральная районная больница" |
ФАП с. Камышное |
534 |
480 763,44 |
- |
40 063,62 |
- |
40 063,62 |
- |
40 063,62 |
- |
40 063,62 |
- |
40 063,62 |
|||||||||||||||||||||||||||||
247 |
ГБУ "Сафакулевская центральная районная больница" |
ФАП с. Сарт-Абдрашево |
786 |
480 763,44 |
- |
40 063,62 |
- |
40 063,62 |
- |
40 063,62 |
- |
40 063,62 |
- |
40 063,62 |
|||||||||||||||||||||||||||||
248 |
ГБУ "Целинная центральная районная больница" |
Фроловский ФАП/с. Фроловка |
89 |
360 572,52 |
+ |
30 047,71 |
+ |
30 047,71 |
+ |
30 047,71 |
+ |
30 047,71 |
+ |
30 047,71 |
|||||||||||||||||||||||||||||
249 |
ГБУ "Целинная центральная районная больница" |
Листвянский ФАП/д. Листвянка |
96 |
360 572,52 |
+ |
30 047,71 |
+ |
30 047,71 |
+ |
30 047,71 |
+ |
30 047,71 |
+ |
30 047,71 |
|||||||||||||||||||||||||||||
250 |
ГБУ "Целинная центральная районная больница" |
Воздвиженский ФАП/д. Воздвиженка |
110 |
480 763,44 |
- |
40 063,62 |
- |
40 063,62 |
- |
40 063,62 |
- |
40 063,62 |
- |
40 063,62 |
|||||||||||||||||||||||||||||
251 |
ГБУ "Целинная центральная районная больница" |
ФАП д. Зеленая Сопка |
124 |
1 201 908,48 |
+ |
100 159,04 |
+ |
100 159,04 |
+ |
100 159,04 |
+ |
100 159,04 |
+ |
100 159,04 |
|||||||||||||||||||||||||||||
252 |
ГБУ "Целинная центральная районная больница" |
Рыбновский ФАП/д. Рыбное |
145 |
1 201 908,48 |
+ |
100 159,04 |
+ |
100 159,04 |
+ |
100 159,04 |
+ |
100 159,04 |
+ |
100 159,04 |
|||||||||||||||||||||||||||||
253 |
ГБУ "Целинная центральная районная больница" |
Становской ФАП/с. Становое |
154 |
1 201 908,48 |
+ |
100 159,04 |
+ |
100 159,04 |
+ |
100 159,04 |
+ |
100 159,04 |
+ |
100 159,04 |
|||||||||||||||||||||||||||||
254 |
ГБУ "Целинная центральная районная больница" |
Рачеевский ФАП/с. Рачеевка |
170 |
1 201 908,48 |
+ |
100 159,04 |
+ |
100 159,04 |
+ |
100 159,04 |
+ |
100 159,04 |
+ |
100 159,04 |
|||||||||||||||||||||||||||||
255 |
ГБУ "Целинная центральная районная больница" |
Дубровинский ФАП/с. Большое Дубровное |
172 |
480 763,44 |
- |
40 063,62 |
- |
40 063,62 |
- |
40 063,62 |
- |
40 063,62 |
- |
40 063,62 |
|||||||||||||||||||||||||||||
256 |
ГБУ "Целинная центральная районная больница" |
Сетовский ФАП/с. Сетово |
239 |
1 201 908,48 |
+ |
100 159,04 |
+ |
100 159,04 |
+ |
100 159,04 |
+ |
100 159,04 |
+ |
100 159,04 |
|||||||||||||||||||||||||||||
257 |
ГБУ "Целинная центральная районная больница" |
Казак-Кочердыкский ФАП/с. Казак-Кочердык |
334 |
480 763,44 |
- |
40 063,62 |
- |
40 063,62 |
- |
40 063,62 |
- |
40 063,62 |
- |
40 063,62 |
|||||||||||||||||||||||||||||
258 |
ГБУ "Целинная центральная районная больница" |
Глубокинский ФАП/с. Пески |
352 |
1 201 908,48 |
+ |
100 159,04 |
+ |
100 159,04 |
+ |
100 159,04 |
+ |
100 159,04 |
+ |
100 159,04 |
|||||||||||||||||||||||||||||
259 |
ГБУ "Целинная центральная районная больница" |
Заманилкинский ФАП/с. Заманилки |
361 |
1 201 908,48 |
+ |
100 159,04 |
+ |
100 159,04 |
+ |
100 159,04 |
+ |
100 159,04 |
+ |
100 159,04 |
|||||||||||||||||||||||||||||
260 |
ГБУ "Целинная центральная районная больница" |
Усть-Уйский ФАП/с. Усть-Уйское |
379 |
1 201 908,48 |
+ |
100 159,04 |
+ |
100 159,04 |
+ |
100 159,04 |
+ |
100 159,04 |
+ |
100 159,04 |
|||||||||||||||||||||||||||||
261 |
ГБУ "Целинная центральная районная больница" |
Косолаповский ФАП/с. Косолапово |
393 |
1 201 908,48 |
+ |
100 159,04 |
+ |
100 159,04 |
+ |
100 159,04 |
+ |
100 159,04 |
+ |
100 159,04 |
|||||||||||||||||||||||||||||
262 |
ГБУ "Целинная центральная районная больница" |
Михалевский ФАП/с. Михалево |
457 |
1 201 908,48 |
+ |
100 159,04 |
+ |
100 159,04 |
+ |
100 159,04 |
+ |
100 159,04 |
+ |
100 159,04 |
|||||||||||||||||||||||||||||
263 |
ГБУ "Целинная центральная районная больница" |
Матвеевский ФАП/с. Матвеевка |
482 |
1 201 908,48 |
+ |
100 159,04 |
+ |
100 159,04 |
+ |
100 159,04 |
+ |
100 159,04 |
+ |
100 159,04 |
|||||||||||||||||||||||||||||
264 |
ГБУ "Целинная центральная районная больница" |
Костыгинский ФАП с. Костыгин-Лог |
813 |
1 201 908,48 |
+ |
100 159,04 |
+ |
100 159,04 |
+ |
100 159,04 |
+ |
100 159,04 |
+ |
100 159,04 |
|||||||||||||||||||||||||||||
265 |
ГБУ "Целинная центральная районная больница" |
Кислянский ФАП/с. Кислянка |
1 016 |
761 610,24 |
- |
63 467,52 |
- |
63 467,52 |
- |
63 467,52 |
- |
63 467,52 |
- |
63 467,52 |
|||||||||||||||||||||||||||||
266 |
ГБУ "Целинная центральная районная больница" |
Половинский ФАП/с. Половинное |
1 190 |
761 610,24 |
- |
63 467,52 |
- |
63 467,52 |
- |
63 467,52 |
- |
63 467,52 |
- |
63 467,52 |
|||||||||||||||||||||||||||||
267 |
ГБУ "Частоозерская центральная районная больница" |
ФАП с. Беляковское |
204 |
480 763,44 |
- |
40 063,62 |
- |
40 063,62 |
- |
40 063,62 |
- |
40 063,62 |
- |
40 063,62 |
|||||||||||||||||||||||||||||
268 |
ГБУ "Частоозерская центральная районная больница" |
ФАП с. Долгие |
362 |
480 763,44 |
- |
40 063,62 |
- |
40 063,62 |
- |
40 063,62 |
- |
40 063,62 |
- |
40 063,62 |
|||||||||||||||||||||||||||||
269 |
ГБУ "Шадринская центральная районная больница" |
ФАП с. Байрак |
57 |
360 572,52 |
+ |
30 047,71 |
+ |
30 047,71 |
+ |
30 047,71 |
+ |
30 047,71 |
+ |
30 047,71 |
|||||||||||||||||||||||||||||
270 |
ГБУ "Шадринская центральная районная больница" |
ФАП д. Ячменево |
58 |
120 190,84 |
+ |
30 047,71 |
+ |
30 047,71 |
|
- |
|
- |
|
- |
|||||||||||||||||||||||||||||
271 |
ГБУ "Шадринская центральная районная больница" |
ФАП д. Жеребенкова |
69 |
48 076,36 |
- |
12 019,09 |
- |
12 019,09 |
|
- |
|
- |
|
- |
|||||||||||||||||||||||||||||
272 |
ГБУ "Шадринская центральная районная больница" |
ФАП д. Кокорина |
91 |
144 229,08 |
- |
12 019,09 |
- |
12 019,09 |
- |
12 019,09 |
- |
12 019,09 |
- |
12 019,09 |
|||||||||||||||||||||||||||||
273 |
ГБУ "Шадринская центральная районная больница" |
ФАП с. Тюленево |
98 |
48 076,36 |
- |
12 019,09 |
- |
12 019,09 |
|
- |
|
- |
|
- |
|||||||||||||||||||||||||||||
274 |
ГБУ "Шадринская центральная районная больница" |
ФАП д. Замараевское |
105 |
1 201 908,48 |
+ |
100 159,04 |
+ |
100 159,04 |
+ |
100 159,04 |
+ |
100 159,04 |
+ |
100 159,04 |
|||||||||||||||||||||||||||||
275 |
ГБУ "Шадринская центральная районная больница" |
ФАП с. Большое Кабанье |
114 |
1 201 908,48 |
+ |
100 159,04 |
+ |
100 159,04 |
+ |
100 159,04 |
+ |
100 159,04 |
+ |
100 159,04 |
|||||||||||||||||||||||||||||
276 |
ГБУ "Шадринская центральная районная больница" |
ФАП д. Октябрь |
125 |
480 763,44 |
- |
40 063,62 |
- |
40 063,62 |
- |
40 063,62 |
- |
40 063,62 |
- |
40 063,62 |
|||||||||||||||||||||||||||||
277 |
ГБУ "Шадринская центральная районная больница" |
ФАП д. Сибирки |
145 |
480 763,44 |
- |
40 063,62 |
- |
40 063,62 |
- |
40 063,62 |
- |
40 063,62 |
- |
40 063,62 |
|||||||||||||||||||||||||||||
278 |
ГБУ "Шадринская центральная районная больница" |
ФАП д. Демьяна Бедного |
151 |
1 201 908,48 |
+ |
100 159,04 |
+ |
100 159,04 |
+ |
100 159,04 |
+ |
100 159,04 |
+ |
100 159,04 |
|||||||||||||||||||||||||||||
279 |
ГБУ "Шадринская центральная районная больница" |
ФАП д. Соровское |
170 |
480 763,44 |
- |
40 063,62 |
- |
40 063,62 |
- |
40 063,62 |
- |
40 063,62 |
- |
40 063,62 |
|||||||||||||||||||||||||||||
280 |
ГБУ "Шадринская центральная районная больница" |
ФАП с. Песчанотаволжанское |
174 |
480 763,44 |
- |
40 063,62 |
- |
40 063,62 |
- |
40 063,62 |
- |
40 063,62 |
- |
40 063,62 |
|||||||||||||||||||||||||||||
281 |
ГБУ "Шадринская центральная районная больница" |
ФАП д. Просвет |
187 |
1 201 908,48 |
+ |
100 159,04 |
+ |
100 159,04 |
+ |
100 159,04 |
+ |
100 159,04 |
+ |
100 159,04 |
|||||||||||||||||||||||||||||
282 |
ГБУ "Шадринская центральная районная больница" |
ФАП д. Завьялова |
190 |
480 763,44 |
- |
40 063,62 |
- |
40 063,62 |
- |
40 063,62 |
- |
40 063,62 |
- |
40 063,62 |
|||||||||||||||||||||||||||||
283 |
ГБУ "Шадринская центральная районная больница" |
ФАП с. Ганино |
196 |
480 763,44 |
- |
40 063,62 |
- |
40 063,62 |
- |
40 063,62 |
- |
40 063,62 |
- |
40 063,62 |
|||||||||||||||||||||||||||||
284 |
ГБУ "Шадринская центральная районная больница" |
ФАП с. Зеленоборское |
197 |
480 763,44 |
- |
40 063,62 |
- |
40 063,62 |
- |
40 063,62 |
- |
40 063,62 |
- |
40 063,62 |
|||||||||||||||||||||||||||||
285 |
ГБУ "Шадринская центральная районная больница" |
ФАП с. Ильтяково |
203 |
480 763,44 |
- |
40 063,62 |
- |
40 063,62 |
- |
40 063,62 |
- |
40 063,62 |
- |
40 063,62 |
|||||||||||||||||||||||||||||
286 |
ГБУ "Шадринская центральная районная больница" |
ФАП д. Шахматово |
203 |
480 763,44 |
- |
40 063,62 |
- |
40 063,62 |
- |
40 063,62 |
- |
40 063,62 |
- |
40 063,62 |
|||||||||||||||||||||||||||||
287 |
ГБУ "Шадринская центральная районная больница" |
ФАП д. Иванищевское |
208 |
440 699,82 |
- |
40 063,62 |
- |
40 063,62 |
- |
40 063,62 |
|
|
- |
40 063,62 |
|||||||||||||||||||||||||||||
288 |
ГБУ "Шадринская центральная районная больница" |
ФАП с. Борчаниново |
209 |
480 763,44 |
- |
40 063,62 |
- |
40 063,62 |
- |
40 063,62 |
- |
40 063,62 |
- |
40 063,62 |
|||||||||||||||||||||||||||||
289 |
ГБУ "Шадринская центральная районная больница" |
ФАП с. Сосновское |
209 |
1 201 908,48 |
+ |
100 159,04 |
+ |
100 159,04 |
+ |
100 159,04 |
+ |
100 159,04 |
+ |
100 159,04 |
|||||||||||||||||||||||||||||
290 |
ГБУ "Шадринская центральная районная больница" |
ФАП с. Погадайское |
240 |
480 763,44 |
- |
40 063,62 |
- |
40 063,62 |
- |
40 063,62 |
- |
40 063,62 |
- |
40 063,62 |
|||||||||||||||||||||||||||||
291 |
ГБУ "Шадринская центральная районная больница" |
ФАП с. Демино |
267 |
1 201 908,48 |
+ |
100 159,04 |
+ |
100 159,04 |
+ |
100 159,04 |
+ |
100 159,04 |
+ |
100 159,04 |
|||||||||||||||||||||||||||||
292 |
ГБУ "Шадринская центральная районная больница" |
ФАП с. Неонилинское |
289 |
480 763,44 |
- |
40 063,62 |
- |
40 063,62 |
- |
40 063,62 |
- |
40 063,62 |
- |
40 063,62 |
|||||||||||||||||||||||||||||
293 |
ГБУ "Шадринская центральная районная больница" |
ФАП д. Макарово |
300 |
440 699,82 |
- |
40 063,62 |
- |
40 063,62 |
- |
40 063,62 |
|
|
- |
40 063,62 |
|||||||||||||||||||||||||||||
294 |
ГБУ "Шадринская центральная районная больница" |
ФАП д. Дрянново |
306 |
480 763,44 |
- |
40 063,62 |
- |
40 063,62 |
- |
40 063,62 |
- |
40 063,62 |
- |
40 063,62 |
|||||||||||||||||||||||||||||
295 |
ГБУ "Шадринская центральная районная больница" |
ФАП с. Понькино |
338 |
480 763,44 |
- |
40 063,62 |
- |
40 063,62 |
- |
40 063,62 |
- |
40 063,62 |
- |
40 063,62 |
|||||||||||||||||||||||||||||
296 |
ГБУ "Шадринская центральная районная больница" |
ФАП с. Черемисское |
354 |
480 763,44 |
- |
40 063,62 |
- |
40 063,62 |
- |
40 063,62 |
- |
40 063,62 |
- |
40 063,62 |
|||||||||||||||||||||||||||||
297 |
ГБУ "Шадринская центральная районная больница" |
ФАП с. Глубокое |
384 |
480 763,44 |
- |
40 063,62 |
- |
40 063,62 |
- |
40 063,62 |
- |
40 063,62 |
- |
40 063,62 |
|||||||||||||||||||||||||||||
298 |
ГБУ "Шадринская центральная районная больница" |
ФАП с. Агапино |
398 |
480 763,44 |
- |
40 063,62 |
- |
40 063,62 |
- |
40 063,62 |
- |
40 063,62 |
- |
40 063,62 |
|||||||||||||||||||||||||||||
299 |
ГБУ "Шадринская центральная районная больница" |
ФАП с. Верхозино |
418 |
1 201 908,48 |
+ |
100 159,04 |
+ |
100 159,04 |
+ |
100 159,04 |
+ |
100 159,04 |
+ |
100 159,04 |
|||||||||||||||||||||||||||||
300 |
ГБУ "Шадринская центральная районная больница" |
ФАП с. Сухринское |
471 |
480 763,44 |
- |
40 063,62 |
- |
40 063,62 |
- |
40 063,62 |
- |
40 063,62 |
- |
40 063,62 |
|||||||||||||||||||||||||||||
301 |
ГБУ "Шадринская центральная районная больница" |
ФАП с. Коврига |
472 |
1 201 908,48 |
+ |
100 159,04 |
+ |
100 159,04 |
+ |
100 159,04 |
+ |
100 159,04 |
+ |
100 159,04 |
|||||||||||||||||||||||||||||
302 |
ГБУ "Шадринская центральная районная больница" |
ФАП с. Юлдус |
472 |
1 201 908,48 |
+ |
100 159,04 |
+ |
100 159,04 |
+ |
100 159,04 |
+ |
100 159,04 |
+ |
100 159,04 |
|||||||||||||||||||||||||||||
303 |
ГБУ "Шадринская центральная районная больница" |
ФАП с. Ичкино |
509 |
480 763,44 |
- |
40 063,62 |
- |
40 063,62 |
- |
40 063,62 |
- |
40 063,62 |
- |
40 063,62 |
|||||||||||||||||||||||||||||
304 |
ГБУ "Шадринская центральная районная больница" |
ФАП с. Нижнеполевское |
539 |
480 763,44 |
- |
40 063,62 |
- |
40 063,62 |
- |
40 063,62 |
- |
40 063,62 |
- |
40 063,62 |
|||||||||||||||||||||||||||||
305 |
ГБУ "Шадринская центральная районная больница" |
ФАП с. Маслянское |
543 |
480 763,44 |
- |
40 063,62 |
- |
40 063,62 |
- |
40 063,62 |
- |
40 063,62 |
- |
40 063,62 |
|||||||||||||||||||||||||||||
306 |
ГБУ "Шадринская центральная районная больница" |
ФАП с. Ключи |
561 |
480 763,44 |
- |
40 063,62 |
- |
40 063,62 |
- |
40 063,62 |
- |
40 063,62 |
- |
40 063,62 |
|||||||||||||||||||||||||||||
307 |
ГБУ "Шадринская центральная районная больница" |
ФАП с. Мыльниково |
575 |
1 201 908,48 |
+ |
100 159,04 |
+ |
100 159,04 |
+ |
100 159,04 |
+ |
100 159,04 |
+ |
100 159,04 |
|||||||||||||||||||||||||||||
308 |
ГБУ "Шадринская центральная районная больница" |
ФАП с. Мальцево |
578 |
841 335,96 |
- |
40 063,62 |
- |
40 063,62 |
- |
40 063,62 |
- |
40 063,62 |
+ |
100 159,04 |
|||||||||||||||||||||||||||||
309 |
ГБУ "Шадринская центральная районная больница" |
ФАП с. Чистопрудное |
587 |
480 763,44 |
- |
40 063,62 |
- |
40 063,62 |
- |
40 063,62 |
- |
40 063,62 |
- |
40 063,62 |
|||||||||||||||||||||||||||||
310 |
ГБУ "Шадринская центральная районная больница" |
ФАП с. Верхняя полевая |
667 |
841 335,96 |
- |
40 063,62 |
- |
40 063,62 |
- |
40 063,62 |
- |
40 063,62 |
+ |
100 159,04 |
|||||||||||||||||||||||||||||
311 |
ГБУ "Шадринская центральная районная больница" |
ФАП с. Прогресс |
738 |
841 335,96 |
+ |
100 159,04 |
+ |
100 159,04 |
+ |
100 159,04 |
+ |
100 159,04 |
- |
40 063,62 |
|||||||||||||||||||||||||||||
312 |
ГБУ "Шадринская центральная районная больница" |
ФАП с. Красномыльское |
916 |
761 610,24 |
- |
63 467,52 |
- |
63 467,52 |
- |
63 467,52 |
- |
63 467,52 |
- |
63 467,52 |
|||||||||||||||||||||||||||||
313 |
ГБУ "Шадринская центральная районная больница" |
ФАП с. Погорелка (ул. Северная, 15) |
1 057 |
761 610,24 |
- |
63 467,52 |
- |
63 467,52 |
- |
63 467,52 |
- |
63 467,52 |
- |
63 467,52 |
|||||||||||||||||||||||||||||
314 |
ГБУ "Шадринская центральная районная больница" |
ФАП с. Красная Нива |
1 474 |
761 610,24 |
- |
63 467,52 |
- |
63 467,52 |
- |
63 467,52 |
- |
63 467,52 |
- |
63 467,52 |
|||||||||||||||||||||||||||||
315 |
ГБУ "Шадринская центральная районная больница" |
ФАП с. Погорелка (ул. Исетская, 17) |
1 603 |
855 225,84 |
- |
71 268,82 |
- |
71 268,82 |
- |
71 268,82 |
- |
71 268,82 |
- |
71 268,82 |
|||||||||||||||||||||||||||||
316 |
ГБУ "Шатровская центральная районная больница" |
ФАП д. Каширцево |
93 |
144 229,08 |
- |
12 019,09 |
- |
12 019,09 |
- |
12 019,09 |
- |
12 019,09 |
- |
12 019,09 |
|||||||||||||||||||||||||||||
317 |
ГБУ "Шатровская центральная районная больница" |
ФАП д. Ирюм |
102 |
480 763,44 |
- |
40 063,62 |
- |
40 063,62 |
- |
40 063,62 |
- |
40 063,62 |
- |
40 063,62 |
|||||||||||||||||||||||||||||
318 |
ГБУ "Шатровская центральная районная больница" |
ФАП с. Изъедугино |
112 |
480 763,44 |
- |
40 063,62 |
- |
40 063,62 |
- |
40 063,62 |
- |
40 063,62 |
- |
40 063,62 |
|||||||||||||||||||||||||||||
319 |
ГБУ "Шатровская центральная районная больница" |
ФАП с. Дальняя Кубасова |
125 |
480 763,44 |
- |
40 063,62 |
- |
40 063,62 |
- |
40 063,62 |
- |
40 063,62 |
- |
40 063,62 |
|||||||||||||||||||||||||||||
320 |
ГБУ "Шатровская центральная районная больница" |
ФАП д. Саломатова |
142 |
480 763,44 |
- |
40 063,62 |
- |
40 063,62 |
- |
40 063,62 |
- |
40 063,62 |
- |
40 063,62 |
|||||||||||||||||||||||||||||
321 |
ГБУ "Шатровская центральная районная больница" |
ФАП д. Ключи |
193 |
480 763,44 |
- |
40 063,62 |
- |
40 063,62 |
- |
40 063,62 |
- |
40 063,62 |
- |
40 063,62 |
|||||||||||||||||||||||||||||
322 |
ГБУ "Шатровская центральная районная больница" |
ФАП с. Яутла |
202 |
480 763,44 |
- |
40 063,62 |
- |
40 063,62 |
- |
40 063,62 |
- |
40 063,62 |
- |
40 063,62 |
|||||||||||||||||||||||||||||
323 |
ГБУ "Шатровская центральная районная больница" |
ФАП с. Широково |
209 |
480 763,44 |
- |
40 063,62 |
- |
40 063,62 |
- |
40 063,62 |
- |
40 063,62 |
- |
40 063,62 |
|||||||||||||||||||||||||||||
324 |
ГБУ "Шатровская центральная районная больница" |
ФАП с. Ожогино |
218 |
480 763,44 |
- |
40 063,62 |
- |
40 063,62 |
- |
40 063,62 |
- |
40 063,62 |
- |
40 063,62 |
|||||||||||||||||||||||||||||
325 |
ГБУ "Шатровская центральная районная больница" |
ФАП с. Камышевка |
371 |
1 201 908,48 |
+ |
100 159,04 |
+ |
100 159,04 |
+ |
100 159,04 |
+ |
100 159,04 |
+ |
100 159,04 |
|||||||||||||||||||||||||||||
326 |
ГБУ "Шатровская центральная районная больница" |
ФАП с. Ильино |
460 |
1 201 908,48 |
+ |
100 159,04 |
+ |
100 159,04 |
+ |
100 159,04 |
+ |
100 159,04 |
+ |
100 159,04 |
|||||||||||||||||||||||||||||
327 |
ГБУ "Шатровская центральная районная больница" |
ФАП с. Мостовское |
474 |
1 201 908,48 |
+ |
100 159,04 |
+ |
100 159,04 |
+ |
100 159,04 |
+ |
100 159,04 |
+ |
100 159,04 |
|||||||||||||||||||||||||||||
328 |
ГБУ "Шатровская центральная районная больница" |
ФАП с. Самохвалово |
474 |
1 201 908,48 |
+ |
100 159,04 |
+ |
100 159,04 |
+ |
100 159,04 |
+ |
100 159,04 |
+ |
100 159,04 |
|||||||||||||||||||||||||||||
329 |
ГБУ "Шатровская центральная районная больница" |
ФАП с. Кодское |
523 |
1 201 908,48 |
+ |
100 159,04 |
+ |
100 159,04 |
+ |
100 159,04 |
+ |
100 159,04 |
+ |
100 159,04 |
|||||||||||||||||||||||||||||
330 |
ГБУ "Шатровская центральная районная больница" |
ФАП с. Спицыно |
560 |
1 201 908,48 |
+ |
100 159,04 |
+ |
100 159,04 |
+ |
100 159,04 |
+ |
100 159,04 |
+ |
100 159,04 |
|||||||||||||||||||||||||||||
331 |
ГБУ "Шатровская центральная районная больница" |
ФАП с. Терсюкское |
617 |
1 201 908,48 |
+ |
100 159,04 |
+ |
100 159,04 |
+ |
100 159,04 |
+ |
100 159,04 |
+ |
100 159,04 |
|||||||||||||||||||||||||||||
332 |
ГБУ "Шатровская центральная районная больница" |
ФАП с. Кондинское |
642 |
1 201 908,48 |
+ |
100 159,04 |
+ |
100 159,04 |
+ |
100 159,04 |
+ |
100 159,04 |
+ |
100 159,04 |
|||||||||||||||||||||||||||||
333 |
ГБУ "Шатровская центральная районная больница" |
ФАП с. Кызылбай |
811 |
480 763,44 |
- |
40 063,62 |
- |
40 063,62 |
- |
40 063,62 |
- |
40 063,62 |
- |
40 063,62 |
|||||||||||||||||||||||||||||
334 |
ГБУ "Шатровская центральная районная больница" |
ФАП с. Барино |
1 343 |
761 610,24 |
- |
63 467,52 |
- |
63 467,52 |
- |
63 467,52 |
- |
63 467,52 |
- |
63 467,52 |
|||||||||||||||||||||||||||||
335 |
ГБУ "Шумихинская центральная районная больница" |
ФАП д. Куликово |
79 |
144 229,08 |
- |
12 019,09 |
- |
12 019,09 |
- |
12 019,09 |
- |
12 019,09 |
- |
12 019,09 |
|||||||||||||||||||||||||||||
336 |
ГБУ "Шумихинская центральная районная больница" |
ФАП д. Котлик |
132 |
1 201 908,48 |
+ |
100 159,04 |
+ |
100 159,04 |
+ |
100 159,04 |
+ |
100 159,04 |
+ |
100 159,04 |
|||||||||||||||||||||||||||||
337 |
ГБУ "Шумихинская центральная районная больница" |
ФАП с. Прошкино |
132 |
480 763,44 |
- |
40 063,62 |
- |
40 063,62 |
- |
40 063,62 |
- |
40 063,62 |
- |
40 063,62 |
|||||||||||||||||||||||||||||
338 |
ГБУ "Шумихинская центральная районная больница" |
ФАП с. Травяное |
228 |
1 201 908,48 |
+ |
100 159,04 |
+ |
100 159,04 |
+ |
100 159,04 |
+ |
100 159,04 |
+ |
100 159,04 |
|||||||||||||||||||||||||||||
339 |
ГБУ "Шумихинская центральная районная больница" |
ФАП с. Кипель |
246 |
1 201 908,48 |
+ |
100 159,04 |
+ |
100 159,04 |
+ |
100 159,04 |
+ |
100 159,04 |
+ |
100 159,04 |
|||||||||||||||||||||||||||||
340 |
ГБУ "Шумихинская центральная районная больница" |
ФАП д. Карандашово |
258 |
1 201 908,48 |
+ |
100 159,04 |
+ |
100 159,04 |
+ |
100 159,04 |
+ |
100 159,04 |
+ |
100 159,04 |
|||||||||||||||||||||||||||||
341 |
ГБУ "Шумихинская центральная районная больница" |
ФАП с. Кушма |
301 |
1 201 908,48 |
+ |
100 159,04 |
+ |
100 159,04 |
+ |
100 159,04 |
+ |
100 159,04 |
+ |
100 159,04 |
|||||||||||||||||||||||||||||
342 |
ГБУ "Шумихинская центральная районная больница" |
ФАП п. Пристанционный |
302 |
1 201 908,48 |
+ |
100 159,04 |
+ |
100 159,04 |
+ |
100 159,04 |
+ |
100 159,04 |
+ |
100 159,04 |
|||||||||||||||||||||||||||||
343 |
ГБУ "Шумихинская центральная районная больница" |
ФАП с. Трусилово |
370 |
1 201 908,48 |
+ |
100 159,04 |
+ |
100 159,04 |
+ |
100 159,04 |
+ |
100 159,04 |
+ |
100 159,04 |
|||||||||||||||||||||||||||||
344 |
ГБУ "Шумихинская центральная районная больница" |
ФАП с. Каменное |
381 |
1 201 908,48 |
+ |
100 159,04 |
+ |
100 159,04 |
+ |
100 159,04 |
+ |
100 159,04 |
+ |
100 159,04 |
|||||||||||||||||||||||||||||
345 |
ГБУ "Шумихинская центральная районная больница" |
ФАП с. Благовещенское |
387 |
1 201 908,48 |
+ |
100 159,04 |
+ |
100 159,04 |
+ |
100 159,04 |
+ |
100 159,04 |
+ |
100 159,04 |
|||||||||||||||||||||||||||||
346 |
ГБУ "Шумихинская центральная районная больница" |
ФАП с. Березово |
398 |
1 201 908,48 |
+ |
100 159,04 |
+ |
100 159,04 |
+ |
100 159,04 |
+ |
100 159,04 |
+ |
100 159,04 |
|||||||||||||||||||||||||||||
347 |
ГБУ "Шумихинская центральная районная больница" |
ФАП с. Стариково |
502 |
1 201 908,48 |
+ |
100 159,04 |
+ |
100 159,04 |
+ |
100 159,04 |
+ |
100 159,04 |
+ |
100 159,04 |
|||||||||||||||||||||||||||||
348 |
ГБУ "Шумихинская центральная районная больница" |
ФАП с. Карачельское |
523 |
480 763,44 |
- |
40 063,62 |
- |
40 063,62 |
- |
40 063,62 |
- |
40 063,62 |
- |
40 063,62 |
|||||||||||||||||||||||||||||
349 |
ГБУ "Шумихинская центральная районная больница" |
ФАП д. Большое Дюрягино |
574 |
480 763,44 |
- |
40 063,62 |
- |
40 063,62 |
- |
40 063,62 |
- |
40 063,62 |
- |
40 063,62 |
|||||||||||||||||||||||||||||
350 |
ГБУ "Шумихинская центральная районная больница" |
ФАП с. Большая Рига |
601 |
1 201 908,48 |
+ |
100 159,04 |
+ |
100 159,04 |
+ |
100 159,04 |
+ |
100 159,04 |
+ |
100 159,04 |
|||||||||||||||||||||||||||||
351 |
ГБУ "Шумихинская центральная районная больница" |
ФАП с. Малое Дюрягино |
712 |
1 201 908,48 |
+ |
100 159,04 |
+ |
100 159,04 |
+ |
100 159,04 |
+ |
100 159,04 |
+ |
100 159,04 |
|||||||||||||||||||||||||||||
352 |
ГБУ "Шумихинская центральная районная больница" |
ФАП с. Птичье |
745 |
1 201 908,48 |
+ |
100 159,04 |
+ |
100 159,04 |
+ |
100 159,04 |
+ |
100 159,04 |
+ |
100 159,04 |
|||||||||||||||||||||||||||||
353 |
ГБУ "Шумихинская центральная районная больница" |
ФАП с. Галкино |
828 |
1 201 908,48 |
+ |
100 159,04 |
+ |
100 159,04 |
+ |
100 159,04 |
+ |
100 159,04 |
+ |
100 159,04 |
|||||||||||||||||||||||||||||
354 |
ГБУ "Щучанская центральная районная больница" |
ФАП с. Сухоборское |
540 |
1 201 908,48 |
+ |
100 159,04 |
+ |
100 159,04 |
+ |
100 159,04 |
+ |
100 159,04 |
+ |
100 159,04 |
|||||||||||||||||||||||||||||
355 |
ГБУ "Щучанская центральная районная больница" |
ФАП с. Белоярское |
655 |
480 763,44 |
- |
40 063,62 |
- |
40 063,62 |
- |
40 063,62 |
- |
40 063,62 |
- |
40 063,62 |
|||||||||||||||||||||||||||||
356 |
ГБУ "Юргамышская центральная районная больница" |
ФП п. Зырянка |
164 |
240 381,72 |
- |
40 063,62 |
- |
40 063,62 |
- |
40 063,62 |
- |
40 063,62 |
|
- |
|||||||||||||||||||||||||||||
357 |
ГБУ "Юргамышская центральная районная больница" |
ФАП д. Падун |
243 |
480 763,44 |
- |
40 063,62 |
- |
40 063,62 |
- |
40 063,62 |
- |
40 063,62 |
- |
40 063,62 |
|||||||||||||||||||||||||||||
358 |
ГБУ "Юргамышская центральная районная больница" |
ФАП д. Фадюшино |
248 |
480 763,44 |
- |
40 063,62 |
- |
40 063,62 |
- |
40 063,62 |
- |
40 063,62 |
- |
40 063,62 |
|||||||||||||||||||||||||||||
359 |
ГБУ "Юргамышская центральная районная больница" |
ФАП с. Пески |
249 |
480 763,44 |
- |
40 063,62 |
- |
40 063,62 |
- |
40 063,62 |
- |
40 063,62 |
- |
40 063,62 |
|||||||||||||||||||||||||||||
360 |
ГБУ "Юргамышская центральная районная больница" |
ФАП д. Вохменка |
329 |
480 763,44 |
- |
40 063,62 |
- |
40 063,62 |
- |
40 063,62 |
- |
40 063,62 |
- |
40 063,62 |
|||||||||||||||||||||||||||||
361 |
ГБУ "Юргамышская центральная районная больница" |
ФАП с. Вилкино |
340 |
480 763,44 |
- |
40 063,62 |
- |
40 063,62 |
- |
40 063,62 |
- |
40 063,62 |
- |
40 063,62 |
|||||||||||||||||||||||||||||
362 |
ГБУ "Юргамышская центральная районная больница" |
ФАП с. Губерля |
345 |
480 763,44 |
- |
40 063,62 |
- |
40 063,62 |
- |
40 063,62 |
- |
40 063,62 |
- |
40 063,62 |
|||||||||||||||||||||||||||||
363 |
ГБУ "Юргамышская центральная районная больница" |
ФАП с. Гагарье |
462 |
480 763,44 |
- |
40 063,62 |
- |
40 063,62 |
- |
40 063,62 |
- |
40 063,62 |
- |
40 063,62 |
|||||||||||||||||||||||||||||
364 |
ГБУ "Юргамышская центральная районная больница" |
ФАП с. Чинеево |
519 |
480 763,44 |
- |
40 063,62 |
- |
40 063,62 |
- |
40 063,62 |
- |
40 063,62 |
- |
40 063,62 |
|||||||||||||||||||||||||||||
365 |
ГБУ "Юргамышская центральная районная больница" |
ФАП с. Малое Белое |
538 |
480 763,44 |
- |
40 063,62 |
- |
40 063,62 |
- |
40 063,62 |
- |
40 063,62 |
- |
40 063,62 |
|||||||||||||||||||||||||||||
366 |
ГБУ "Юргамышская центральная районная больница" |
ФАП с. Красный Уралец |
563 |
480 763,44 |
- |
40 063,62 |
- |
40 063,62 |
- |
40 063,62 |
- |
40 063,62 |
- |
40 063,62 |
|||||||||||||||||||||||||||||
367 |
ГБУ "Юргамышская центральная районная больница" |
ФАП с. Караси |
710 |
1 201 908,48 |
+ |
100 159,04 |
+ |
100 159,04 |
+ |
100 159,04 |
+ |
100 159,04 |
+ |
100 159,04 |
|||||||||||||||||||||||||||||
368 |
ГБУ "Юргамышская центральная районная больница" |
ФАП с. Кипель |
851 |
1 201 908,48 |
+ |
100 159,04 |
+ |
100 159,04 |
+ |
100 159,04 |
+ |
100 159,04 |
+ |
100 159,04 |
|||||||||||||||||||||||||||||
369 |
ГБУ "Юргамышская центральная районная больница" |
ФАП с. Горохово |
1 002 |
761 610,24 |
- |
63 467,52 |
- |
63 467,52 |
- |
63 467,52 |
- |
63 467,52 |
- |
63 467,52 |
|||||||||||||||||||||||||||||
* штаты укомплектованы (+), штаты не
укомплектованы (-).
Приложение N 2
к Дополнительному соглашению
от 27 июля 2022 г. N 7
к Тарифному соглашению
по оплате медицинской помощи в сфере
обязательного медицинского
страхования
Курганской области на 2022 год
Приложение N 2.5.1
к Тарифному соглашению
по оплате медицинской помощи
в сфере обязательного медицинского
страхования
Курганской области на 2022 год
СТОИМОСТЬ ИССЛЕДОВАНИЙ И МЕДИЦИНСКИХ
ВМЕШАТЕЛЬСТВ, ВКЛЮЧЕННЫХ В УГЛУБЛЕННУЮ
ДИСПАНСЕРИЗАЦИЮ
первый этап углубленной
диспансеризации
Код услуги |
Наименование услуги |
Стоимость услуги, рублей |
Стоимость комплексного посещения (1 этап углубленной диспансеризации) |
865,41 | |
в том числе: |
| |
A12.09.005 |
Оксигенометрия (Измерение насыщения крови кислородом (сатурация) в покое) |
28,61 |
A12.09.001 |
Функциональное тестирование легких (Проведение спирометрии или спирографии) |
147,81 |
В03.016.003 |
Общий (клинический) анализ крови развернутый |
106,07 |
В03.016.004 |
Анализ крови биохимический общетерапевтический (включая исследование уровня холестерина, уровня липопротеинов низкой плотности, С-реактивного белка, определение активности аланинаминотрансферазы в крови, определение активности аспартатаминотрансферазы в крови, определение активности лактатдегидрогеназы в крови, исследование уровня креатининав крови) |
582,92 |
Стоимость медицинских услуг: | ||
А23.30.023 |
Проведение теста с 6-минутной ходьбой |
71,52 |
А09.05.051.001 |
Определение концентрации Д-димера в крови |
500,18 |
второй этап углубленной
диспансеризации
Код услуги |
Наименование услуги |
Стоимость услуги, рублей |
Стоимость медицинских услуг: |
| |
А 04.10.002 |
Эхокардиография (при проведении второго этапа углубленной диспансеризации) |
844,83 |
А 06.09.005 |
Компьютерная томография органов грудной полости (при проведении второго этапа углубленной диспансеризации) |
2 310,27 |
А 04.12.006.002 |
Дуплексное сканирование вен нижних конечностей (при проведении второго этапа углубленной диспансеризации) |
422,41 |
Приложение N 3
к Дополнительному соглашению
от 27 июля 2022 г. N 7
к Тарифному соглашению
по оплате медицинской помощи в сфере
обязательного медицинского
страхования
Курганской области на 2022 год
Приложение N 2.3.1
к Тарифному соглашению
по оплате медицинской помощи
в сфере обязательного медицинского
страхования
Курганской области на 2022 год
ПОРЯДОК ОСУЩЕСТВЛЕНИЯ ВЫПЛАТ
МЕДИЦИНСКИМ ОРГАНИЗАЦИЯМ ЗА ДОСТИЖЕНИЕ
ПОКАЗАТЕЛЕЙ РЕЗУЛЬТАТИВНОСТИ
ДЕЯТЕЛЬНОСТИ МЕДИЦИНСКИХ ОРГАНИЗАЦИЙ
При оплате медицинской помощи по
подушевому нормативу финансирования на
прикрепившихся лиц (за исключением
расходов на проведение компьютерной
томографии, магнитно-резонансной
томографии, ультразвукового
исследования сердечно-сосудистой
системы, эндоскопических
диагностических исследований,
молекулярно-генетических исследований и
патологоанатомических исследований
биопсийного (операционного) материала,
тестирования на выявление новой
коронавирусной инфекции (COVID-19),
углубленной диспансеризации, а также
средств на финансовое обеспечение
фельдшерских, фельдшерско-акушерских
пунктов) с учетом показателей
результативности деятельности
медицинской организации (включая
показатели объема медицинской помощи), в
том числе с включением расходов на
медицинскую помощь, оказываемую в иных
медицинских организациях и оплачиваемую
за единицу объема медицинской помощи в
составе средств, направляемых на
финансовое обеспечение медицинской
организации, имеющей прикрепившихся лиц,
по подушевому нормативу финансирования,
определена доля средств, направляемых на
выплаты медицинским организациям в
случае достижения ими значений
показателей результативности
деятельности согласно балльной оценке в
размере 5 процентов от базового
подушевого норматива финансирования на
прикрепившихся лиц.
Размер финансового обеспечения
медицинской помощи, оказанной
медицинской организацией, имеющей
прикрепившихся лиц, по подушевому
нормативу финансирования определяется
по следующей формуле:
,
где: |
|
ОСПН |
финансовое обеспечение медицинской помощи, оказанной медицинской организацией, имеющей прикрепившихся лиц, по подушевому нормативу финансирования, рублей; |
ОСРД |
объем средств, направляемых медицинским организациям в случае достижения ими значений показателей результативности деятельности согласно балльной оценке (далее - объем средств с учетом показателей результативности), рублей |
|
фактический дифференцированный подушевой норматив финансирования амбулаторной медицинской помощи для i-той медицинской организации, рублей |
Мониторинг достижения значений
показателей результативности
деятельности по каждой медицинской
организации и ранжирование медицинских
организаций проводится Комиссией по
разработке территориальной программы
обязательного медицинского страхования
в Курганской области" (далее - комиссия)
один раз в квартал.
Осуществление выплат по
результатам оценки достижения
медицинскими организациями,
оказывающими медицинскую помощь в
амбулаторных условиях, значений
показателей результативности
деятельности производится по итогам
каждого полугодия.
Перечень показателей
результативности деятельности
медицинских организаций (далее -
показатели результативности
деятельности) определен приложением 2.3
Тарифного соглашения.
Порядок расчета значений критериев
результативности деятельности
медицинских организаций представлен
приложением 2.3.2 к Тарифному соглашению.
Оценка медицинских организаций,
оказывающих медицинскую помощь в
амбулаторных условиях, производится 1
раз в квартал, начиная со II квартала 2022
года, оформляется решением комиссии,
которое доводится до сведения
медицинских организаций и страховых
медицинских организаций не позднее 30
рабочих дней после окончания отчетного
периода.
Коллективными договорами,
соглашениями, локальными нормативными
актами, заключаемыми в соответствии с
трудовым законодательством и иными
нормативными правовыми актами,
содержащими нормы трудового права и
регулирующими системы оплаты труда в
медицинских организациях, в том числе
системы доплат и надбавок
стимулирующего характера и системы
премирования, следует предусмотреть
стимулирующие выплаты медицинским
работникам за достижение аналогичных
показателей.
В случае, когда группа показателей
результативности одного из блоков
неприменима для конкретной медицинской
организации и (или) отчетного периода,
суммарный максимальный балл и итоговый
коэффициент для соответствующей
медицинской организации рассчитываются
без учета этой группы показателей.
Каждый показатель, включенный в
блок, оценивается в баллах, которые
суммируются. Максимально возможная
сумма баллов по каждому блоку
составляет:
- 25 баллов для показателей блока 1;
- 10 баллов для показателей блока 2;
- 6 баллов для показателей блока 3.
В зависимости от результатов
деятельности медицинской организации по
каждому показателю определяется балл в
диапазоне от 0 до 3 баллов.
С учетом фактического выполнения
показателей, медицинские организации
распределяются на три группы:
I - выполнившие до 50 процентов
показателей,
II - от 50 до 70 процентов показателей,
III - свыше 70 процентов показателей.
Объем средств, направляемый в
медицинские организации по итогам
оценки достижения значений показателей
результативности деятельности,
складывается из двух частей:
1 часть - распределение 70 процентов
от объема средств с учетом показателей
результативности за соответствующий
период.
Указанные средства распределяются
среди медицинских организаций II и III
групп с учетом численности
прикрепленного населения.
,
где: |
|
|
объем средств, используемый при распределении 70 процентов от объема средств на стимулирование медицинских организаций за j-ый период, в расчете на 1 прикрепленное лицо, рублей; |
|
совокупный объем средств на стимулирование медицинских организаций за j-ый период, рублей; |
|
численность прикрепленного населения в j-м периоде ко всем медицинским организациям II и III групп |
Объем средств, направляемый в i-ю
медицинскую организацию II и III групп за
j-тый период при распределении 70
процентов от объема средств с учетом
показателей результативности (
), рассчитывается следующим
образом:
,
где: |
|
|
численность прикрепленного населения в j-м периоде к i-той медицинской организации II и III групп |
2 часть - распределение 30 процентов
от объема средств с учетом показателей
результативности за соответствующий
период.
Указанные средства распределяются
среди медицинских организаций III группы
с учетом абсолютного количества
набранных соответствующими
медицинскими организациями баллов.
,
где: |
|
|
объем средств, используемый при распределении 30 процентов от объема средств на стимулирование медицинских организаций за j-ый период, в расчете на 1 балл, рублей; |
|
совокупный объем средств на стимулирование медицинских организаций за j-ый период, рублей; |
|
количество баллов, набранных в j-м периоде всеми медицинскими организациями III группы |
Объем средств, направляемый в i-ю
медицинскую организацию III группы за
j-тый период, при распределении 30
процентов от объема средств на
стимулирование медицинских организаций
(
), рассчитывается следующим
образом:
![]()
где: |
|
|
количество баллов, набранных в j-м периоде i-той медицинской организацией III группы |
Общий объем средств, направляемых
на оплату медицинской помощи с учетом
показателей результативности
деятельности в медицинскую организацию
III группы за j-тый период определяется
путем суммирования 1 и 2 частей, а для
медицинских организаций I группы за j-тый
период - равняется нулю.
Осуществление выплат
стимулирующего характера в полном
объеме медицинской организации,
оказывающей медицинскую помощь в
амбулаторных условиях, по результатам
оценки ее деятельности, при условии
фактического выполнения не менее 90
процентов, установленных решением
Комиссии объемов предоставления
медицинской помощи с профилактической и
иными целями, а также по поводу
заболеваний (посещений и обращений
соответственно).
При условии выполнения медицинской
организацией менее 90 процентов
указанного объема медицинской помощи,
Комиссия применит понижающие
коэффициенты к размеру стимулирующих
выплат в зависимости от процента
выполнения объемов медицинской помощи.
В условиях распространения новой
коронавирусной инфекции (COVID-19) методика
расчета показателя подлежит
корректировке на предмет исключения из
расчета периода, когда деятельность
медицинской организации (в части
соответствующего направления
деятельности) была приостановлена
приказом руководителя медицинской
организации за расчетный период путем
перерасчета к значению за период.
Перечень медицинских организаций с
указанием групп показателей
результативности
N пп |
Наименование медицинских организаций |
Блок 1. Взрослое население (в возрасте 18 лет и старше) |
Блок 2. Детское население (от 0 до 17 лет включительно) |
Блок 3. Оказание акушерско-гинекологической помощи | ||||||||||||||||||||||||||||
|
|
Всего |
Оценка эффективности профилактических мероприятий |
Оценка эффективности диспансерного наблюдения |
Оценка смертности |
Всего |
Оценка эффективности профилактических мероприятий |
Оценка смертности |
Всего |
Оценка эффективности профилактических мероприятий | ||||||||||||||||||||||
|
N показателя |
|
1 |
2 |
3 |
4 |
5 |
6 |
7 |
8 |
9 |
10 |
11 |
12 |
13 |
14 |
15 |
16 |
|
17 |
18 |
19 |
20 |
21 |
22 |
23 |
|
24 |
25 |
26 |
27 |
28 |
|
Количество баллов |
25 |
1 |
2 |
1 |
1 |
1 |
2 |
2 |
1 |
1 |
1 |
2 |
1 |
2 |
1 |
3 |
3 |
10 |
1 |
1 |
1 |
1 |
2 |
1 |
3 |
6 |
1 |
1 |
1 |
1 |
2 |
1 |
ГБУ "Альменевская центральная районная больница" |
|
|
|
|
|
|
|
|
|
|
|
|
|
|
|
|
|
|
|
|
|
|
|
|
|
|
|
|
|
|
|
2 |
ГБУ "Белозерская центральная районная больница" |
|
|
|
|
|
|
|
|
|
|
|
|
|
|
|
|
|
|
|
|
|
|
|
|
|
|
|
|
|
|
|
3 |
ГБУ "Варгашинская центральная районная больница" |
|
|
|
|
|
|
|
|
|
|
|
|
|
|
|
|
|
|
|
|
|
|
|
|
|
|
|
|
|
|
|
4 |
ГБУ "Глядянская центральная районная больница" |
|
|
|
|
|
|
|
|
|
|
|
|
|
|
|
|
|
|
|
|
|
|
|
|
|
|
|
|
|
|
|
5 |
ГБУ "Далматовская центральная районная больница" |
|
|
|
|
|
|
|
|
|
|
|
|
|
|
|
|
|
|
|
|
|
|
|
|
|
|
|
|
|
|
|
6 |
ГБУ "Звериноголовская центральная районная больница" |
|
|
|
|
|
|
|
|
|
|
|
|
|
|
|
|
|
|
|
|
|
|
|
|
|
|
|
|
|
|
|
7 |
ГБУ "Каргапольская центральная районная больница имени Н.А.Рокиной" |
|
|
|
|
|
|
|
|
|
|
|
|
|
|
|
|
|
|
|
|
|
|
|
|
|
|
|
|
|
|
|
8 |
ГБУ "Катайская центральная районная больница" |
|
|
|
|
|
|
|
|
|
|
|
|
|
|
|
|
|
|
|
|
|
|
|
|
|
|
|
|
|
|
|
9 |
ГБУ "Кетовская центральная районная больница" |
|
|
|
|
|
|
|
|
|
|
|
|
|
|
|
|
|
|
|
|
|
|
|
|
|
|
|
|
|
|
|
10 |
ГБУ "Куртамышская центральная районная больница имени К.И.Золотавина" |
|
|
|
|
|
|
|
|
|
|
|
|
|
|
|
|
|
|
|
|
|
|
|
|
|
|
|
|
|
|
|
11 |
ГБУ "Лебяжьевская центральная районная больница" |
|
|
|
|
|
|
|
|
|
|
|
|
|
|
|
|
|
|
|
|
|
|
|
|
|
|
|
|
|
|
|
12 |
ГБУ "Макушинская центральная районная больница" |
|
|
|
|
|
|
|
|
|
|
|
|
|
|
|
|
|
|
|
|
|
|
|
|
|
|
|
|
|
|
|
13 |
ГБУ "Мишкинская центральная районная больница" |
|
|
|
|
|
|
|
|
|
|
|
|
|
|
|
|
|
|
|
|
|
|
|
|
|
|
|
|
|
|
|
14 |
ГБУ "Мокроусовская центральная районная больница" |
|
|
|
|
|
|
|
|
|
|
|
|
|
|
|
|
|
|
|
|
|
|
|
|
|
|
|
|
|
|
|
15 |
ГБУ "Петуховская центральная районная больница" |
|
|
|
|
|
|
|
|
|
|
|
|
|
|
|
|
|
|
|
|
|
|
|
|
|
|
|
|
|
|
|
16 |
ГБУ "Половинская центральная районная больница" |
|
|
|
|
|
|
|
|
|
|
|
|
|
|
|
|
|
|
|
|
|
|
|
|
|
|
|
|
|
|
|
17 |
ГБУ "Сафакулевская центральная районная больница" |
|
|
|
|
|
|
|
|
|
|
|
|
|
|
|
|
|
|
|
|
|
|
|
|
|
|
|
|
|
|
|
18 |
ГБУ "Целинная центральная районная больница" |
|
|
|
|
|
|
|
|
|
|
|
|
|
|
|
|
|
|
|
|
|
|
|
|
|
|
|
|
|
|
|
19 |
ГБУ "Частоозерская центральная районная больница" |
|
|
|
|
|
|
|
|
|
|
|
|
|
|
|
|
|
|
|
|
|
|
|
|
|
|
|
|
|
|
|
20 |
ГБУ "Шадринская центральная районная больница" |
|
|
|
|
|
|
|
|
|
|
|
|
|
|
|
|
|
|
|
|
|
|
|
|
|
|
|
|
|
|
|
21 |
ГБУ "Шатровская центральная районная больница" |
|
|
|
|
|
|
|
|
|
|
|
|
|
|
|
|
|
|
|
|
|
|
|
|
|
|
|
|
|
|
|
22 |
ГБУ "Шумихинская центральная районная больница" |
|
|
|
|
|
|
|
|
|
|
|
|
|
|
|
|
|
|
|
|
|
|
|
|
|
|
|
|
|
|
|
23 |
ГБУ "Щучанская центральная районная больница" |
|
|
|
|
|
|
|
|
|
|
|
|
|
|
|
|
|
|
|
|
|
|
|
|
|
|
|
|
|
|
|
24 |
ГБУ "Юргамышская центральная районная больница" |
|
|
|
|
|
|
|
|
|
|
|
|
|
|
|
|
|
|
|
|
|
|
|
|
|
|
|
|
|
|
|
25 |
ГБУ "Курганская детская поликлиника" |
x |
x |
x |
x |
x |
x |
x |
x |
x |
x |
x |
x |
x |
x |
x |
x |
x |
|
|
|
|
|
|
|
|
x |
x |
x |
x |
x |
x |
26 |
ГБУ "Курганская поликлиника N 1" |
|
|
|
|
|
|
|
|
|
|
|
|
|
|
|
|
|
x |
x |
x |
x |
x |
x |
x |
x |
|
|
|
|
|
|
27 |
ГБУ "Курганская поликлиника N 2" |
|
|
|
|
|
|
|
|
|
|
|
|
|
|
|
|
|
x |
x |
x |
x |
x |
x |
x |
x |
|
x |
x |
|
|
x |
28 |
ГБУ "Шадринская детская больница" |
x |
x |
x |
x |
x |
x |
x |
x |
x |
x |
x |
x |
x |
x |
x |
x |
x |
|
|
|
|
|
|
|
|
x |
x |
x |
x |
x |
x |
29 |
ГБУ "Шадринская поликлиника" |
|
|
|
|
|
|
|
|
|
|
|
|
|
|
|
|
|
x |
x |
x |
x |
x |
x |
x |
x |
|
x |
x |
|
|
x |
30 |
ЧУЗ "Больница "РЖД-Медицина" города Курган" |
|
|
|
|
|
|
|
|
|
|
|
|
|
|
|
|
|
x |
x |
x |
x |
x |
x |
x |
x |
|
x |
x |
|
|
x |
31 |
ГБУ "Курганская больница N 2" |
|
|
|
|
|
|
|
|
|
|
|
|
|
|
|
|
|
x |
x |
x |
x |
x |
x |
x |
x |
|
|
|
|
|
|
Ссылается на




