ПРАВИТЕЛЬСТВО РОССИЙСКОЙ
ФЕДЕРАЦИИ
ПОСТАНОВЛЕНИЕ
от 27 июня 2024 года № 874
О внесении изменений в постановление Правительства Российской Федерации от 31 мая 2019 г. № 696
Правительство Российской
Федерации
постановляет:
Утвердить прилагаемые
изменения, которые вносятся в
государственную программу Российской
Федерации "Комплексное развитие
сельских территорий", утвержденную
постановлением Правительства
Российской Федерации от 31 мая 2019 г. № 696
"Об утверждении государственной
программы Российской Федерации
"Комплексное развитие сельских
территорий" и о внесении изменений в
некоторые акты Правительства Российской
Федерации" (Собрание законодательства
Российской Федерации, 2019, № 23, ст.2953; 2021, №
44, ст.7418).
Председатель Правительства
Российской Федерации
М.Мишустин
УТВЕРЖДЕНЫ
постановлением Правительства
Российской Федерации
от 27 июня 2024 года № 874
Изменения, которые вносятся в государственную программу Российской Федерации "Комплексное развитие сельских территорий"
1.
Раздел "Задачи обеспечения достижения
показателей социально-экономического
развития субъектов Российской
Федерации, входящих в состав
приоритетных территорий, уровень
которых должен быть выше среднего уровня
по Российской Федерации" дополнить
абзацем следующего содержания:
"Правила предоставления и
распределения субсидий из федерального
бюджета бюджетам Донецкой Народной
Республики, Луганской Народной
Республики, Запорожской области и
Херсонской области на мероприятия по
инфраструктурному обустройству
сельских территорий приведены в
приложении № 13.".
2.
Дополнить приложением № 13 следующего
содержания:
"Приложение № 13
к государственной программе
Российской Федерации
"Комплексное развитие
сельских территорий"
Правила предоставления и распределения субсидий из федерального бюджета бюджетам Донецкой Народной Республики, Луганской Народной Республики, Запорожской области и Херсонской области на мероприятия по инфраструктурному обустройству сельских территорий
1.
Настоящие Правила устанавливают цели,
порядок и условия предоставления
субсидий из федерального бюджета
бюджетам Донецкой Народной Республики,
Луганской Народной Республики,
Запорожской области и Херсонской
области в целях софинансирования
расходных обязательств Донецкой
Народной Республики, Луганской Народной
Республики, Запорожской области и
Херсонской области, возникающих при
реализации мероприятий по
инфраструктурному обустройству
сельских территорий (далее
соответственно - субъекты Российской
Федерации, субсидии), и (или)
предоставления из бюджетов субъектов
Российской Федерации межбюджетных
трансфертов в форме субсидий местным
бюджетам в целях софинансирования
расходных обязательств муниципальных
образований, возникающих при реализации
мероприятий по инфраструктурному
обустройству сельских территорий в
рамках федерального проекта "Развитие
отдельных территорий" государственной
программы Российской Федерации
"Комплексное развитие сельских
территорий", утвержденной
постановлением Правительства
Российской Федерации от 31 мая 2019 г. № 696
"Об утверждении государственной
программы Российской Федерации
"Комплексное развитие сельских
территорий" и о внесении изменений в
некоторые акты Правительства Российской
Федерации", на территориях субъектов
Российской Федерации.
2.
Для целей настоящих Правил используется
понятие "сельские территории" - сельские
населенные пункты, поселки городского
типа и межселенные территории, рабочие
поселки. Перечень таких населенных
пунктов, расположенных на сельских
территориях субъекта Российской
Федерации, определяется высшим
исполнительным органом субъекта
Российской Федерации или исполнительным
органом, уполномоченным высшим
исполнительным органом субъекта
Российской Федерации (далее -
исполнительный орган), по согласованию с
Министерством сельского хозяйства
Российской Федерации.
3.
Субсидии предоставляются в пределах
лимитов бюджетных обязательств,
доведенных до Министерства сельского
хозяйства Российской Федерации как
получателя средств федерального бюджета
на предоставление субсидий на цели,
указанные в пункте 1 настоящих Правил.
4.
Субсидии предоставляются при соблюдении
следующих условий:
а)
наличие правовых актов субъекта
Российской Федерации, утверждающих
перечень мероприятий по
инфраструктурному обустройству
сельских территорий, при реализации
которых возникают расходные
обязательства субъекта Российской
Федерации, в целях софинансирования
которых предоставляется субсидия, в
соответствии с требованиями нормативных
правовых актов Российской Федерации;
б)
наличие в бюджете субъекта Российской
Федерации бюджетных ассигнований на
исполнение расходного обязательства
субъекта Российской Федерации,
софинансирование которого
осуществляется из федерального бюджета,
в объеме, необходимом для его
исполнения;
в)
заключение между Министерством
сельского хозяйства Российской
Федерации и высшим исполнительным
органом субъекта Российской Федерации
соглашения о предоставлении субсидии
(далее - соглашение) в соответствии с
пунктом 10 Правил формирования,
предоставления и распределения субсидий
из федерального бюджета бюджетам
субъектов Российской Федерации,
утвержденных постановлением
Правительства Российской Федерации от 30
сентября 2014 г. № 999 "О формировании,
предоставлении и распределении субсидий
из федерального бюджета бюджетам
субъектов Российской Федерации" (далее -
Правила предоставления субсидий).
5.
В целях получения субсидии высший
исполнительный орган субъекта
Российской Федерации или исполнительный
орган представляют в Министерство
сельского хозяйства Российской
Федерации заявку на предоставление
субсидии в целях софинансирования
расходных обязательств субъекта
Российской Федерации, возникающих при
реализации мероприятий по
инфраструктурному обустройству
сельских территорий, по форме согласно
приложению с учетом приоритетности их
реализации (с приложением пояснительной
записки по каждому мероприятию).
6.
Критериями отбора субъектов Российской
Федерации для предоставления субсидии
являются:
а)
наличие заявки, указанной в пункте 5
настоящих Правил;
б)
наличие нормативного правового акта
субъекта Российской Федерации,
утверждающего порядок и условия
предоставления из бюджета субъекта
Российской Федерации средств,
источником софинансирования которых
является субсидия, на реализацию
мероприятий по инфраструктурному
обустройству сельских территорий.
7.
Субсидии предоставляются на реализацию
следующих мероприятий по
инфраструктурному обустройству
сельских территорий:
а)
строительство и реконструкция
(модернизация) объектов (в том числе
модульных), капитальный ремонт объектов
(в том числе многофункциональных),
предназначенных для предоставления
соответствующих услуг населению (в том
числе маломобильному) и осуществления
образовательной деятельности:
государственных или
муниципальных дошкольных
образовательных организаций;
государственных или
муниципальных общеобразовательных
организаций;
государственных или
муниципальных организаций
дополнительного образования;
медицинских организаций
государственной и муниципальной систем
здравоохранения и их структурных
подразделений, на базе которых
оказывается первичная медико-санитарная
помощь (поликлиники, их структурные
подразделения, врачебные амбулатории,
центры (отделения) общей врачебной
практики (семейной медицины),
фельдшерско-акушерские пункты и
фельдшерские здравпункты), а также
здания (отдельные здания, комплексы
зданий) центральных районных больниц, в
том числе объектов, предназначенных для
оказания медицинской помощи с
применением телемедицинских
технологий;
государственных или
муниципальных организаций
культурно-досугового типа;
государственных или
муниципальных физкультурно-спортивных
организаций;
государственных
организаций социального обслуживания;
государственных
учреждений, подведомственных
уполномоченным в области ветеринарии
исполнительным органам субъектов
Российской Федерации, и их структурных
подразделений, осуществляющих
проведение профилактических,
диагностических и лечебных
мероприятий;
б)
приобретение транспортных средств (не
бывших в употреблении или эксплуатации)
для обеспечения функционирования
существующих или создаваемых объектов,
указанных в подпункте "а" настоящего
пункта:
пассажирских автобусов
(микроавтобусов), в том числе автобусов
(микроавтобусов), использующих природный
газ в качестве моторного топлива;
санитарных автомобилей
(автомобилей скорой помощи класса "А",
оснащенных необходимым оборудованием);
комплексов передвижных
медицинских на колесных транспортных
средствах со стандартным оснащением для
оказания первичной медико-санитарной
помощи и проведения профилактического
медицинского осмотра;
мобильных ветеринарных
пунктов на колесных транспортных
средствах с оснащением для оказания
ветеринарной помощи и проведения
профилактических мероприятий;
мобильных утилизационных
установок для обеспечения деятельности
государственных учреждений, указанных в
абзаце девятом подпункта "а" настоящего
пункта;
в)
приобретение и установка модульных
конструкций (за исключением объектов
массового пребывания граждан, указанных
в части 2_2 статьи 49 Градостроительного
кодекса Российской Федерации),
приобретение и установка оборудования
(не бывшего в употреблении или
эксплуатации) для обеспечения
функционирования существующих или
создаваемых объектов, указанных в
подпункте "а" настоящего пункта;
г)
строительство, реконструкция и
капитальный ремонт централизованных и
нецентрализованных систем
водоснабжения, водоотведения,
канализации, очистных сооружений,
станций водоподготовки и водозаборных
сооружений для функционирования
объектов жилого и нежилого фонда
(объектов социального назначения);
д)
строительство, приобретение и установка
блочно-модульных котельных и перевод
многоквартирных домов на индивидуальное
отопление (включая техническое
присоединение к газовым сетям),
строительство, реконструкция и
капитальный ремонт тепловых сетей (за
исключением котельных);
е)
строительство газораспределительных
сетей с распределительными
газопроводами низкого давления (для
газоснабжения жилых домов, общественных
зданий и коммунально-бытовых
предприятий) и среднего давления (для
подачи газа в газопровод низкого
давления);
ж)
строительство, приобретение и монтаж
газо-поршневых установок, газгольдеров
для функционирования объектов жилого и
нежилого фонда (объектов социального
назначения);
з)
строительство, реконструкция и
капитальный ремонт электрических сетей
уличного освещения, установка
электрооборудования для уличного
освещения (при условии обязательного
использования энергосберегающих
технологий);
и)
строительство и оборудование автономных
и возобновляемых источников энергии для
энергообеспечения объектов жилого и
нежилого фонда (объектов социального
назначения);
к)
развитие телекоммуникаций
(строительство (прокладка) линий
передачи данных, приобретение и монтаж
оборудования, обеспечивающего в том
числе возможность беспроводного
подключения к
информационно-телекоммуникационной
сети "Интернет") объектов жилого и
нежилого фонда (объектов социального
назначения);
л)
строительство объектов (зданий) для
размещения в них многофункциональных
государственных и муниципальных
организаций, включая организации,
указанные в подпункте "а" настоящего
пункта, а также иные государственные и
муниципальные организации и
учреждения;
м)
строительство (приобретение) жилья на
сельских территориях, в том числе путем
участия в долевом строительстве жилых
домов (квартир), участия в строительстве
жилого помещения (жилого дома) на
основании договора инвестирования,
приобретения у юридического лица
объекта индивидуального жилищного
строительства, введенного в
эксплуатацию не ранее чем за 3 года до
заключения государственного
(муниципального) контракта на его
приобретение, предоставляемого
гражданам по договору найма жилого
помещения, в порядке и на условиях,
которые установлены приложением № 2 к
Правилам предоставления и распределения
субсидий из федерального бюджета
бюджетам субъектов Российской Федерации
на развитие жилищного строительства на
сельских территориях и повышение уровня
благоустройства домовладений,
приведенным в приложении № 3 к
государственной программе Российской
Федерации "Комплексное развитие
сельских территорий", утвержденной
постановлением Правительства
Российской Федерации от 31 мая 2019 г. № 696
"Об утверждении государственной
программы Российской Федерации
"Комплексное развитие сельских
территорий" и о внесении изменений в
некоторые акты Правительства Российской
Федерации". Предоставление субсидии из
бюджета субъекта Российской Федерации,
расходные обязательства субъекта
Российской Федерации по предоставлению
которой софинансируются из федерального
бюджета, в целях приобретения у
юридического лица объекта
индивидуального жилищного
строительства, построенного за счет
средств федерального бюджета, не
допускается;
н)
строительство объектов инженерной
инфраструктуры, сетей уличного
освещения и улично-дорожной сети в
рамках реализации проектов по
обустройству объектами инженерной
инфраструктуры и благоустройству
площадок под компактную жилищную
застройку, расположенных на сельских
территориях, а также мероприятия по
благоустройству таких площадок (в том
числе озеленению);
о)
строительство (реконструкция),
капитальный ремонт, ремонт
автомобильных дорог общего пользования
регионального и (или) местного значения,
обеспечивающих транспортную
доступность сельских территорий и (или)
расположенных (создающихся) на сельских
территориях объектов, предусмотренных
подпунктами "а" и "л" настоящего пункта, и
объектов агропромышленного комплекса;
п)
благоустройство общественных
пространств на сельских территориях, в
том числе:
создание и обустройство зон
отдыха, спортивных и детских игровых
площадок;
создание и обустройство
пространств для проведения общественных
мероприятий;
создание и обустройство
мест автомобильных и велосипедных
парковок;
организация пешеходных
коммуникаций;
организация ливневых
стоков;
установка ограждений;
ремонт и оформление фасадов
(внешнего вида) зданий (административных
зданий, объектов социальной сферы,
объектов инфраструктуры и др.),
находящихся в муниципальной
собственности;
обустройство площадок
накопления твердых коммунальных
отходов, общественных колодцев и
водоразборных колонок;
сохранение и
восстановление природных ландшафтов и
историко-культурных памятников;
обустройство общественных
пространств в целях обеспечения
беспрепятственного передвижения
маломобильных групп населения.
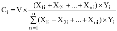
8.
Общий размер субсидии, предоставляемой
бюджету i-го субъекта Российской
Федерации (
), определяется по формуле:
,
где:
V -
объем бюджетных ассигнований,
предусмотренных в федеральном бюджете
на предоставление субсидии на
соответствующий финансовый год;
,
,
- стоимость каждого из мероприятий
по инфраструктурному обустройству
сельских территорий в i-м субъекте
Российской Федерации, при этом общий
размер субсидии, предоставляемой
бюджету одного субъекта Российской
Федерации, не может превышать 500 млн.
рублей, кроме случая, предусмотренного
пунктом 9 настоящих Правил;
n -
количество субъектов Российской
Федерации, представивших заявку,
указанную в пункте 5 настоящих Правил;
- предельный уровень
софинансирования расходного
обязательства i-ro субъекта Российской
Федерации из федерального бюджета на
очередной финансовый год (процентов),
утверждаемый Правительством Российской
Федерации.
9.
В случае если заявленный субъектом
Российской Федерации общий размер
субсидии меньше размера субсидии,
рассчитанного в соответствии с пунктом 8
настоящих Правил, невостребованные
бюджетные ассигнования
перераспределяются между бюджетами
субъектов Российской Федерации, имеющих
право на получение субсидии в
соответствии с настоящими Правилами,
пропорционально размеру субсидии,
рассчитанному в соответствии с пунктом 8
настоящих Правил, с учетом заявленной
субъектом Российской Федерации
потребности в субсидии. Информация о
дополнительной потребности в субсидиях
формируется на основании письменных
обращений высших исполнительных органов
субъектов Российской Федерации или
исполнительных органов в Министерство
сельского хозяйства Российской
Федерации.
10.
Предоставление субсидии бюджету
субъекта Российской Федерации из
федерального бюджета осуществляется на
основании соглашения, заключенного с
использованием государственной
интегрированной информационной системы
управления общественными финансами
"Электронный бюджет" в соответствии с
типовой формой, утвержденной
Министерством финансов Российской
Федерации (по мере ввода в эксплуатацию
ее компонентов и модулей в форме
электронных документов, подписанных
усиленной квалифицированной
электронной подписью лиц,
уполномоченных в установленном порядке
действовать от имени высшего
исполнительного органа субъекта
Российской Федерации).
Дополнительные соглашения
к соглашению, предусматривающие
внесение в него изменений и его
расторжение, и уведомления об изменении
условий соглашения оформляются в
соответствии с типовыми формами,
установленными Министерством финансов
Российской Федерации.
11.
Объем бюджетных ассигнований,
предусмотренных в бюджете субъекта
Российской Федерации на исполнение
расходного обязательства субъекта
Российской Федерации, в целях
софинансирования которого
предоставляется субсидия, может быть
увеличен в одностороннем порядке
субъектом Российской Федерации, что не
влечет обязательств по увеличению
размера субсидии.
12.
Перечисление субсидий осуществляется в
установленном порядке на единые счета
бюджетов, открытые финансовым органам
субъектов Российской Федерации в
территориальных органах Федерального
казначейства.
13.
Порядок и условия возврата средств из
бюджета субъекта Российской Федерации в
федеральный бюджет в случае нарушения
субъектом Российской Федерации
обязательств по достижению значения
результата использования субсидии и
соблюдению сроков достижения
контрольных точек строительства,
предусмотренных соглашением, а также
основания освобождения субъектов
Российской Федерации от применения мер
финансовой ответственности установлены
пунктами 16-20 Правил предоставления
субсидий.
14.
Высший исполнительный орган субъекта
Российской Федерации или исполнительный
орган представляют в Министерство
сельского хозяйства Российской
Федерации в порядке и сроки, которые
установлены соглашением, отчетность об
осуществлении расходов бюджета субъекта
Российской Федерации, в целях
софинансирования которых
предоставляется субсидия, о достижении
значений результата использования
субсидии.
15.
Оценка эффективности использования
субсидии осуществляется Министерством
сельского хозяйства Российской
Федерации путем сравнения фактически
достигнутого значения и установленного
соглашением планового значения
результата использования субсидии -
количество завершенных мероприятий по
инфраструктурному обустройству
сельских территорий, единиц.
16.
В случае нарушения целей, установленных
при предоставлении субсидии,
применяются бюджетные меры принуждения
в соответствии с бюджетным
законодательством Российской
Федерации.
17.
Ответственность за достоверность
представляемых Министерству сельского
хозяйства Российской Федерации сведений
и соблюдение условий предоставления
субсидий возлагается на высший
исполнительный орган субъекта
Российской Федерации и исполнительный
орган.
18.
Контроль за соблюдением субъектами
Российской Федерации условий
предоставления субсидий осуществляется
Министерством сельского хозяйства
Российской Федерации и уполномоченными
органами государственного финансового
контроля.
Приложение
к Правилам предоставления и
распределения
субсидий из федерального бюджета
бюджетам
Донецкой Народной Республики,
Луганской Народной Республики,
Запорожской области и Херсонской
области
на мероприятия по инфраструктурному
обустройству сельских территорий
(форма)
ЗАЯВКА
на предоставление субсидии в целях
софинансирования расходных
обязательств субъекта Российской
Федерации, возникающих при реализации
мероприятий по инфраструктурному
обустройству сельских территорий
Наименование субъекта Российской Федерации |
|
| |
Высший исполнительный орган субъекта Российской Федерации или исполнительный орган, уполномоченный высшим исполнительным органом субъекта Российской Федерации, | |
| |
| |
| |
Перечень мероприятий по инфраструктурному обустройству сельских территорий (наименование населенного пункта, мероприятия и общий объем его финансирования указываются в соответствии с пояснительной запиской по форме согласно приложению): | |
№ п/п |
Наименование мероприятия |
Наи- |
Наи- |
Объем финансирования, тыс. рублей |
Год начала |
Год | ||||
|
|
вание |
вание |
всего |
объем
средств |
объем
средств |
объем |
объем средств
внебюд- |
реали- |
чания |
1. |
Мероприятие № 1 |
|
|
|
|
|
|
|
|
|
2. |
Мероприятие № 2 |
|
|
|
|
|
|
|
|
|
3. |
Мероприятие № 3 |
|
|
|
|
|
|
|
|
|
4. |
Мероприятие № 4 |
|
|
|
|
|
|
|
|
|
|
|
|
|
|
|
|
|
|
|
|
|
|
| |
(должность, подпись) |
|
(расшифровка подписи) | |
| |||
Исполнитель: |
| ||
(должность, контактный
телефон) | |||
|
|
| |
(подпись) |
|
(расшифровка подписи) | |
| |||
МП | |||
Приложение
к заявке на предоставление субсидии
в целях софинансирования
расходных обязательств субъекта
Российской Федерации,
возникающих при реализации
мероприятий по инфраструктурному
обустройству сельских территорий
Пояснительная записка по мероприятию по инфраструктурному обустройству сельских территорий
|
(наименование субъекта Российской Федерации) |
Наименование муниципального района и населенного пункта, на территории которого планируется реализация мероприятия по инфраструктурному обустройству сельских территорий | |||||||
(далее - мероприятие), |
| ||||||
| |||||||
| |||||||
| |||||||
Численность населения, проживающего на территории реализации мероприятия, | |||||||
| |||||||
| |||||||
| |||||||
Наименование мероприятия |
| ||||||
| |||||||
| |||||||
| |||||||
| |||||||
Общий объем финансирования мероприятия (млн. рублей) |
| ||||||
| |||||||
| |||||||
Качественная и количественная характеристика реализуемого мероприятия (мощность (при наличии), количество посещений, площадь объекта) | |||||||
| |||||||
| |||||||
| |||||||
| |||||||
Наличие проектной документации по мероприятию |
| ||||||
| |||||||
(имеется (с указанием реквизитов), не имеется или не требуется - нужное указать) | |||||||
| |||||||
| |||||||
| |||||||
Наличие заключения государственной экспертизы проектной документации по мероприятию | |||||||
| |||||||
(имеется (с указанием реквизитов), не имеется или не требуется - нужное указать) | |||||||
| |||||||
| |||||||
| |||||||
Наличие заключения о достоверности определения сметной стоимости мероприятия | |||||||
| |||||||
(имеется, не имеется или не требуется - нужное указать) | |||||||
| |||||||
| |||||||
| |||||||
Наличие коммерческого предложения, подтверждающего стоимость мероприятия | |||||||
| |||||||
(имеется (с указанием реквизитов), не имеется или не требуется - нужное указать) | |||||||
| |||||||
Наличие генерального плана земельного участка, на котором планируется реализация | |||||||
мероприятия |
| ||||||
(имеется или не имеется - нужное указать) | |||||||
| |||||||
| |||||||
| |||||||
Земельный участок находится в собственности (муниципальной, государственной) | |||||||
| |||||||
(реквизиты подтверждающего документа) | |||||||
| |||||||
| |||||||
| |||||||
Назначение земельного участка соответствует отраслевому направлению мероприятия | |||||||
| |||||||
(да или нет - нужное указать) | |||||||
| |||||||
Относится ли мероприятие к объектам капитального строительства | |||||||
| |||||||
(да или нет - нужное указать) | |||||||
| |||||||
Вид работ в составе мероприятия |
| ||||||
| |||||||
(строительство, ремонт, капитальный ремонт, реконструкция или приобретение - нужное указать) | |||||||
| |||||||
Отраслевое направление мероприятия |
| ||||||
| |||||||
(культура, спорт, образование, здравоохранение, коммунальная инфраструктура, благоустройство | |||||||
| |||||||
общественных пространств, ветеринария, многофункциональные объекты, дополнительное | |||||||
| |||||||
образование, строительство жилья, приобретение жилья, автомобильные дороги - нужное указать) | |||||||
".
Электронный текст документа
подготовлен АО "Кодекс" и сверен по:
Официальный интернет-портал
правовой информации
www.pravo.gov.ru, 01.07.2024,
№ 0001202407010009




