ПРАВИТЕЛЬСТВО РОССИЙСКОЙ
ФЕДЕРАЦИИ
ПОСТАНОВЛЕНИЕ
от 24 июля 2023 года N 1199
Об утверждении Правил предоставления в 2023 году иного межбюджетного трансферта из федерального бюджета бюджетам Донецкой Народной Республики, Луганской Народной Республики, Запорожской области и Херсонской области в целях софинансирования в полном объеме расходных обязательств указанных субъектов Российской Федерации, возникающих при реализации мероприятий по приобретению государственной символики Российской Федерации для учреждений культуры и образовательных организаций сферы культуры (детских школ искусств, профессиональных образовательных организаций)
Правительство Российской
Федерации
постановляет:
Утвердить прилагаемые
Правила предоставления в 2023 году иного
межбюджетного трансферта из
федерального бюджета бюджетам Донецкой
Народной Республики, Луганской Народной
Республики, Запорожской области и
Херсонской области в целях
софинансирования в полном объеме
расходных обязательств указанных
субъектов Российской Федерации,
возникающих при реализации мероприятий
по приобретению государственной
символики Российской Федерации для
учреждений культуры и образовательных
организаций сферы культуры (детских школ
искусств, профессиональных
образовательных организаций).
Председатель Правительства
Российской Федерации
М.Мишустин
УТВЕРЖДЕНЫ
постановлением Правительства
Российской Федерации
от 24 июля 2023 года N 1199
Правила предоставления в 2023 году иного межбюджетного трансферта из федерального бюджета бюджетам Донецкой Народной Республики, Луганской Народной Республики, Запорожской области и Херсонской области в целях софинансирования в полном объеме расходных обязательств указанных субъектов Российской Федерации, возникающих при реализации мероприятий по приобретению государственной символики Российской Федерации для учреждений культуры и образовательных организаций сферы культуры (детских школ искусств, профессиональных образовательных организаций)
1.
Настоящие Правила устанавливают цели,
условия и порядок предоставления в 2023
году иного межбюджетного трансферта из
федерального бюджета бюджетам Донецкой
Народной Республики, Луганской Народной
Республики, Запорожской области и
Херсонской области (далее - субъекты
Российской Федерации) в целях
софинансирования в полном объеме
расходных обязательств субъектов
Российской Федерации, возникающих при
реализации мероприятий по приобретению
государственной символики Российской
Федерации для государственных и
муниципальных учреждений культуры и
образовательных организаций сферы
культуры (детских школ искусств,
профессиональных образовательных
организаций) (далее соответственно - иной
межбюджетный трансферт, мероприятия,
учреждения и организации).
2.
Критериями отбора субъектов Российской
Федерации для предоставления иного
межбюджетного трансферта являются:
наличие потребности
субъектов Российской Федерации в
осуществлении мероприятий;
наличие согласованного
исполнительным органом субъекта
Российской Федерации с Министерством
культуры Российской Федерации перечня
учреждений и организаций, а также
перечня приобретаемой для учреждений и
организаций государственной символики
Российской Федерации.
Рекомендуемый перечень
приобретаемой для учреждений и
организаций государственной символики
Российской Федерации и минимальные
требования к такой государственной
символике устанавливаются приказом
Министерства культуры Российской
Федерации.
Потребность в
осуществлении мероприятий,
предусмотренная абзацем вторым
настоящего пункта, оформляется заявкой
субъекта Российской Федерации по форме,
установленной Министерством культуры
Российской Федерации.
3.
Условиями предоставления иного
межбюджетного трансфера являются:
а)
наличие правового акта субъекта
Российской Федерации, утверждающего
перечень мероприятий, при реализации
которых возникают расходные
обязательства субъекта Российской
Федерации, в целях софинансирования
которых предоставляется иной
межбюджетный трансферт;
б)
заключение соглашения о предоставлении
иного межбюджетного трансферта (далее -
соглашение).
4.
Распределение иного межбюджетного
трансферта между субъектами Российской
Федерации утверждается актом
Правительства Российской Федерации.
5.
Соглашение заключается Министерством
культуры Российской Федерации с высшим
исполнительным органом субъекта
Российской Федерации с использованием
государственной интегрированной
информационной системы управления
общественными финансами "Электронный
бюджет" (далее - система "Электронный
бюджет") в соответствии с типовой формой,
утвержденной Министерством финансов
Российской Федерации (по мере ввода в
эксплуатацию компонентов и модулей
системы "Электронный бюджет" в форме
электронных документов, подписанных
усиленной квалифицированной
электронной подписью лиц,
уполномоченных в установленном порядке
действовать от имени высшего
исполнительного органа субъекта
Российской Федерации (далее -
уполномоченное лицо).
До ввода в эксплуатацию
соответствующих компонентов и модулей
системы "Электронный бюджет":
заключение соглашения,
представление отчетности о расходах
субъекта Российской Федерации, в целях
софинансирования которых
предоставляется иной межбюджетный
трансферт, осуществляются в форме
документов на бумажном носителе,
подписанных уполномоченным лицом;
представление отчета о
достижении значения результата
предоставления иного межбюджетного
трансферта и об обязательствах, принятых
в целях его достижения, предусмотренного
подпунктом "б" пункта 9 настоящих Правил,
осуществляется в форме документа на
бумажном носителе, подписанного
уполномоченным лицом.
6.
При заключении соглашения высший
исполнительный орган субъекта
Российской Федерации представляет в
Министерство культуры Российской
Федерации отчетность об исполнении
условия предоставления иного
межбюджетного трансферта,
предусмотренного подпунктом "а" пункта 3
настоящих Правил, на основании которой
Министерство культуры Российской
Федерации осуществляет контроль за
соблюдением субъектом Российской
Федерации условий предоставления иного
межбюджетного трансферта.
7.
Перечисление иного межбюджетного
трансферта осуществляется в
установленном порядке на единые счета
бюджетов, открытые финансовым органам
субъектов Российской Федерации в
территориальных органах Федерального
казначейства.
8.
Размер иного межбюджетного трансферта,
предоставляемого бюджету i-го субъекта
Российской Федерации (
), определяется по формуле:
,
где:
V -
общий размер бюджетных ассигнований,
предусмотренных в федеральном бюджете
на предоставление иного межбюджетного
трансферта;
- потребность i-го субъекта
Российской Федерации в осуществлении
мероприятий в соответствии с заявкой i-го
субъекта Российской Федерации,
предусмотренной абзацем пятым пункта 2
настоящих Правил;
- средняя стоимость i-го комплекта
государственной символики Российской
Федерации, определенная методом
сопоставимых рыночных цен на основании
коммерческих предложений о рыночных
ценах идентичных товаров, работ и услуг,
планируемых к закупкам в соответствии со
статьей 22 Федерального закона "О
контрактной системе в сфере закупок
товаров, работ, услуг для обеспечения
государственных и муниципальных нужд";
i -
порядковый номер субъекта Российской
Федерации, присвоенный (используемый) в
рамках процедуры предоставления и
распределения иного межбюджетного
трансферта (i = 1, ... n, где n - количество
субъектов Российской Федерации,
отвечающих установленным критериям
отбора для предоставления иного
межбюджетного трансферта).
9.
Высший исполнительный орган субъекта
Российской Федерации в порядке и сроки,
которые установлены соглашением,
размещает в системе "Электронный
бюджет":
а)
отчет о расходах бюджета субъекта
Российской Федерации, в целях
софинансирования которых
предоставляется иной межбюджетный
трансферт;
б)
отчет о достижении значения результата
предоставления иного межбюджетного
трансферта и об обязательствах, принятых
в целях его достижения.
10.
Результатом предоставления иного
межбюджетного трансферта является
количество оснащенных государственной
символикой Российской Федерации
учреждений и организаций, в том числе их
структурных подразделений.
11.
Оценка эффективности предоставления
иного межбюджетного трансферта по
итогам финансового года осуществляется
Министерством культуры Российской
Федерации путем сравнения
установленного соглашением планового
значения результата предоставления
иного межбюджетного трансферта и
фактически достигнутого значения
результата предоставления иного
межбюджетного трансферта.
12.
Основания и порядок применения мер
финансовой ответственности к высшему
исполнительному органу субъекта
Российской Федерации при невыполнении
им условий, предусмотренных соглашением,
обязательств по достижению значения
результата предоставления иного
межбюджетного трансферта, а также
основания для освобождения субъекта
Российской Федерации от применения мер
финансовой ответственности установлены
пунктами 13-17 настоящих Правил.
13.
В случае если субъектом Российской
Федерации по состоянию на 31 декабря
текущего финансового года допущено
недостижение значения результата
предоставления иного межбюджетного
трансферта, предусмотренного пунктом 11
настоящих Правил, и до первой даты
представления отчетности о достижении
значения результата предоставления
иного межбюджетного трансферта в
соответствии с соглашением в году,
следующем за годом предоставления иного
межбюджетного трансферта, указанные
нарушения не устранены, размер средств,
подлежащих возврату из бюджета субъекта
Российской Федерации в федеральный
бюджет до 1 июня года, следующего за годом
предоставления иного межбюджетного
трансферта (
), определяется по формуле:
,
где:
- размер иного межбюджетного
трансферта, предоставляемого бюджету
субъекта Российской Федерации;
D -
индекс, отражающий уровень недостижения
значения результата предоставления
иного межбюджетного трансферта.
При расчете размера
средств, подлежащих возврату из бюджета
субъекта Российской Федерации в
федеральный бюджет в размере иного
межбюджетного трансферта,
предоставляемого бюджету субъекта
Российской Федерации (
), не учитывается размер остатка
иного межбюджетного трансферта, не
использованного по состоянию на 1 января
года, следующего за годом предоставления
иного межбюджетного трансферта.
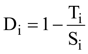
14.
Индекс, отражающий уровень недостижения
i-го результата предоставления иного
межбюджетного трансферта (
), определяется для результатов
предоставления иного межбюджетного
трансферта, по которым большее значение
фактически достигнутого значения
отражает большую эффективность
предоставления иного межбюджетного
трансферта, по формуле:
,
где:
- фактически достигнутое значение
i-го результата предоставления иного
межбюджетного трансферта на отчетную
дату;
- плановое значение i-го результата
предоставления иного межбюджетного
трансферта, установленное соглашением.
15.
В случае нарушения субъектом Российской
Федерации целей, установленных при
предоставлении иного межбюджетного
трансферта, применяются бюджетные меры
принуждения, предусмотренные бюджетным
законодательством Российской
Федерации.
16.
Ответственность за достоверность
представляемой в Министерство культуры
Российской Федерации информации и
документов, предусмотренных настоящими
Правилами, возлагается на высший
исполнительный орган субъекта
Российской Федерации.
17.
Основанием для освобождения субъектов
Российской Федерации от применения мер
ответственности, предусмотренных
пунктом 13 настоящих Правил, является
документально подтвержденное
наступление одного из следующих
обстоятельств непреодолимой силы,
препятствующих исполнению
соответствующих обязательств:
а)
установление регионального
(межмуниципального) и (или) местного
уровня реагирования на чрезвычайную
ситуацию, подтвержденное правовым актом
исполнительного органа субъекта
Российской Федерации и (или) органа
местного самоуправления;
б)
аномальные погодные условия,
подтвержденные справкой
территориального органа федерального
органа исполнительной власти,
осуществляющего функции по оказанию
государственных услуг в области
гидрометеорологии и смежных с ней
областях;
в)
наличие вступившего в законную силу в
году предоставления иного межбюджетного
трансферта решения арбитражного суда о
признании несостоятельной (банкротом)
организации, деятельность которой
оказывала влияние на исполнение
обязательств, предусмотренных
соглашением.
18.
Контроль за соблюдением субъектами
Российской Федерации условий
предоставления иного межбюджетного
трансферта осуществляется
Министерством культуры Российской
Федерации и уполномоченными органами
государственного финансового
контроля.
19.
В целях реализации принятого субъектом
Российской Федерации в установленном
порядке нормативного правового акта,
устанавливающего расходное
обязательство субъекта Российской
Федерации, должна быть также
предусмотрена централизация закупок в
порядке, определенном частью 7 статьи 26
Федерального закона "О контрактной
системе в сфере закупок товаров, работ,
услуг для обеспечения государственных и
муниципальных нужд".
20.
Предоставление иного межбюджетного
трансферта бюджетам субъектов
Российской Федерации осуществляется в
пределах лимитов бюджетных
обязательств, доведенных до
Министерства культуры Российской
Федерации России как получателя средств
федерального бюджета на цели, указанные
в пункте 1 настоящих Правил.
Электронный текст документа
подготовлен АО "Кодекс" и сверен по:
Официальный интернет-портал
правовой информации
www.pravo.gov.ru, 24.07.2023,
N 0001202307240063




